Role of Asymmetric Autocatalysis in the Elucidation of Origins of Homochirality of Organic Compounds
Abstract
1. Introduction
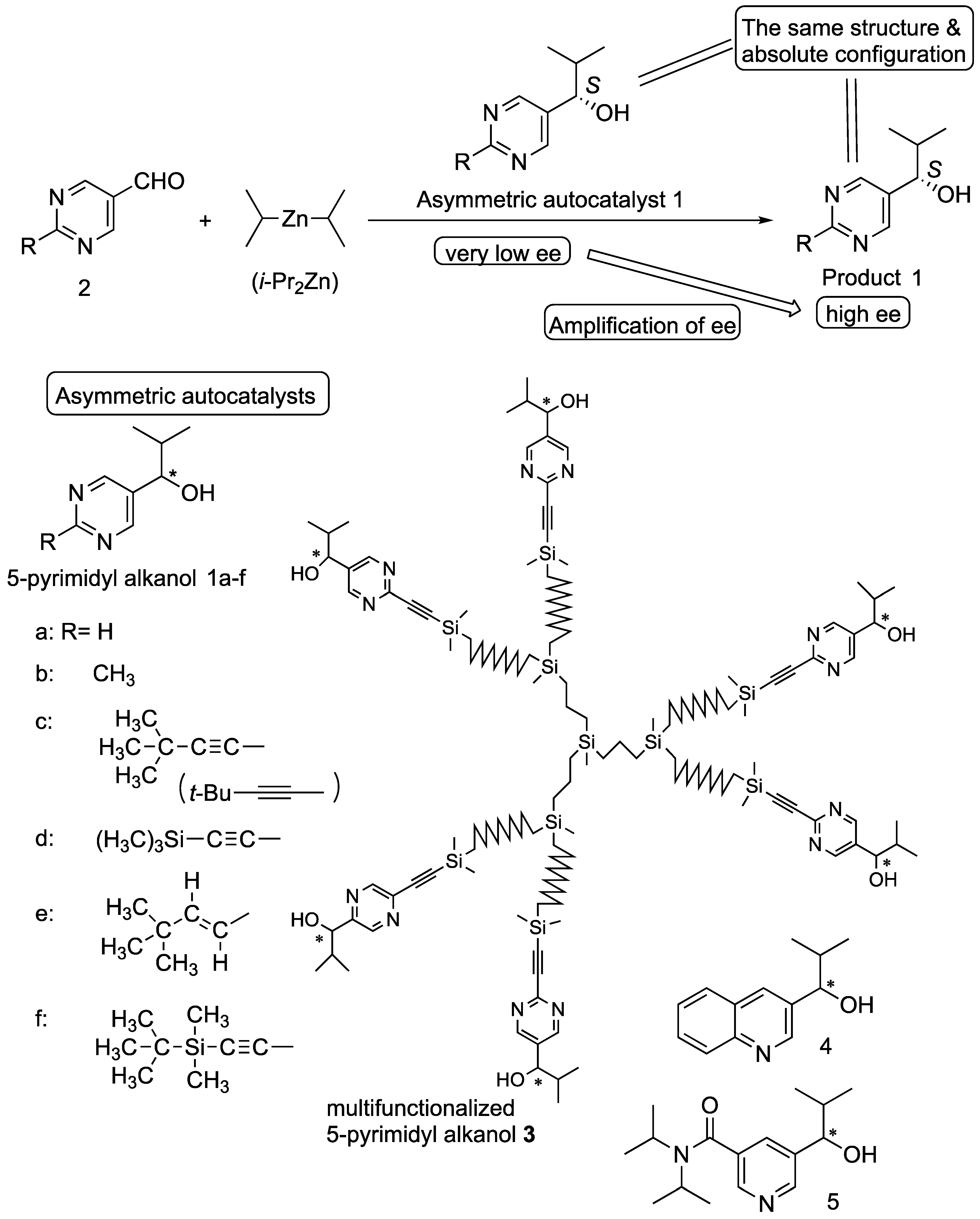
2. Discovery of Asymmetric Autocatalysis with Amplification of Enantiomeric Excess
3. Study on the Mechanism of Asymmetric Autocatalysis
4. Elucidation of the Origins of Homochirality by Using Asymmetric Autocatalysis
4.1. Circularly Polarized Light
4.2. Chiral Inorganic Crystals of Quartz, Sodium Chlorate, Cinnabar, and Retgersite, and the Enantiotopic Face of the Achiral Crystal of Gypsum
4.3. Chiral Crystals Formed from Achiral Organic Compounds
4.4. Enantiotopic Face of Achiral Organic Crystal Composed of Achiral Organic Compound
4.5. Spontaneous Absolute Asymmetric Synthesis by Asymmetric Autocatalysis
4.6. Asymmetric Autocatalysis Triggered by Hydrogen, Carbon, Oxygen, and Nitrogen Chiral Isotopomers
5. Various Chiral Compounds as Triggers of Asymmetric Autocatalysis
6. Conclusions
Author Contributions
Funding
Acknowledgments
Conflicts of Interest
References
- Pasteur, L. Recherches sur les relations qui peuvent exister entre la forme crystalline, la composition chimique et le sens de la polarisation rotatoire. Ann. Chim. Phys. 1848, 24, 442–459. [Google Scholar]
- Guijarro, A.; Yus, M. The Origin of Chirality in the Molecules of Life; The Royal Society of Chemistry: Cambridge, UK, 2009. [Google Scholar]
- Mislow, K. Absolute asymmetric synthesis: A commentary. Collect. Czech. Chem. Commun. 2003, 68, 849–864. [Google Scholar] [CrossRef]
- Feringa, B.L.; van Delden, R.A. Absolute asymmetric synthesis: The origin, control, and amplification of chirality. Angew. Chem. Int. Ed. 1999, 38, 3418–3438. [Google Scholar]
- Inoue, Y. Asymmetric photochemical reactions in solution. Chem. Rev. 1992, 92, 741–770. [Google Scholar] [CrossRef]
- Hazen, R.M.; Sholl, D.S. Chiral selection on inorganic crystalline surfaces. Nat. Mater. 2003, 2, 367–374. [Google Scholar] [PubMed]
- Bolli, M.; Micura, R.; Eschenmoser, A. Pyranosyl-RNA: Chiroselective self-assembly of base sequences by ligative oligomerization of tetranucleotide-2′, 3′-cyclophosphates (with a commentary concerning the origin of biomolecular homochirality). Chem. Biol. 1997, 4, 309–320. [Google Scholar] [CrossRef]
- Ribó, J.M.; Crusats, J.; Sagués, F.; Claret, J.; Rubires, R. Chiral sign induction by vortices during the formation of mesophases in stirred solutions. Science 2001, 292, 2063–2066. [Google Scholar]
- Ernst, K.-H. Molecular chirality at surfaces. Phys. Status Solidi 2012, 249, 2057–2088. [Google Scholar] [CrossRef]
- Weissbuch, I.; Lahav, M. Crystalline architectures as templates of relevance to the origins of homochirality. Chem. Rev. 2011, 111, 3236–3267. [Google Scholar] [CrossRef] [PubMed]
- Kitamura, M.; Okada, S.; Suga, S.; Noyori, R. Enantioselective addition of dialkylzincs to aldehydes promoted by chiral amino alcohols. Mechanism and nonlinear effect. J. Am. Chem. Soc. 1989, 111, 4028–4036. [Google Scholar]
- Satyanarayana, T.; Abraham, S.; Kagan, H.B. Nonlinear effects in asymmetric catalysis. Angew. Chem. Int. Ed. 2009, 48, 456–494. [Google Scholar] [CrossRef]
- Kondepudi, D.K.; Asakura, K. Chiral autocatalysis, spontaneous symmetry breaking, and stochastic behavior. Acc. Chem. Res. 2001, 34, 946–954. [Google Scholar] [CrossRef] [PubMed]
- Viedma, C. Chiral symmetry breaking during crystallization: Complete chiral purity induced by nonlinear autocatalysis and recycling. Phys. Rev. Lett. 2005, 94, 065504. [Google Scholar] [CrossRef] [PubMed]
- Soloshonok, V.A.; Ueki, H.; Yasumoto, M.; Mekala, S.; Hirschi, J.S.; Singleton, D.A. Phenomenon of optical self-purification of chiral non-racemic compounds. J. Am. Chem. Soc. 2007, 129, 12112–12113. [Google Scholar] [CrossRef] [PubMed]
- Hayashi, Y.; Matsuzawa, M.; Yamaguchi, J.; Yonehara, S.; Matsumoto, Y.; Shoji, M.; Hashizume, D.; Koshino, H. Large nonlinear effect observed in the enantiomeric excess of proline in solution and that in the solid state. Angew. Chem. Int. Ed. 2006, 45, 4593–4597. [Google Scholar] [CrossRef] [PubMed]
- Córdova, A.; Engqvist, M.; Ibrahem, I.; Casas, J.; Sundén, H. Plausible origins of homochirality in the amino acid catalyzed neogenesis of carbohydrates. Chem. Commun. 2005, 2047–2049. [Google Scholar] [CrossRef]
- Green, M.M.; Park, J.-W.; Sato, T.; Teramoto, A.; Lifson, S.; Selinger, R.L.B.; Selinger, J.V. The macromolecular route to chiral amplification. Angew. Chem. Int. Ed. 1999, 38, 3138–3154. [Google Scholar] [CrossRef]
- Noorduin, W.L.; Vlieg, E.; Kellogg, R.M.; Kaptein, B. From Ostwald ripening to single chirality. Angew. Chem. Int. Ed. 2009, 48, 9600–9606. [Google Scholar] [CrossRef]
- Saito, Y.; Hyuga, H. Colloquium: Homochirality: Symmetry breaking in systems driven far from equilibrium. Rev. Mod. Phys. 2013, 85, 603–621. [Google Scholar] [CrossRef]
- Frank, F.C. On spontaneous asymmetric synthesis. Biochim. Biophys. Acta 1953, 11, 459–463. [Google Scholar] [CrossRef]
- Han, J.; Kitagawa, O.; Wzorek, A.; Klia, K.D.; Soloshonok, V.A. The self-disproportionation of enantiomers (SDE): A menace or an opportunity? Chem. Sci. 2018, 9, 1718–1739. [Google Scholar] [CrossRef]
- Moberg, C. Recycling in asymmetric catalysis. Acc. Chem. Res. 2016, 49, 2736–2745. [Google Scholar] [CrossRef] [PubMed]
- Soai, K.; Shibata, T.; Sato, I. Enantioselective automultiplication of chiral molecules by asymmetric autocatalysis. Acc. Chem. Res. 2000, 33, 382–390. [Google Scholar] [CrossRef] [PubMed]
- Soai, K.; Kawasaki, T. Discovery of asymmetric autocatalysis with amplification of chirality and its implication in chiral homogeneity of biomolecules. Chirality 2006, 18, 469–478. [Google Scholar] [CrossRef] [PubMed]
- Soai, K.; Kawasaki, T. Asymmetric autocatalysis with amplification of chirality. Top. Curr. Chem. 2008, 284, 1–31. [Google Scholar]
- Kawasaki, T.; Soai, K. Amplification of chirality as a pathway to biological homochirality. J. Fluor. Chem. 2010, 131, 525–534. [Google Scholar] [CrossRef]
- Kawasaki, T.; Soai, K. Asymmetric induction arising from enantiomerically enriched carbon-13 isotopomers and highly sensitive chiral discrimination by asymmetric autocatalysis. Bull. Chem. Soc. Jpn. 2011, 84, 879–892. [Google Scholar] [CrossRef]
- Kawasaki, T.; Soai, K. Asymmetric autocatalysis triggered by chiral crystals formed from achiral compounds and chiral isotopomers. Isr. J. Chem. 2012, 52, 582–590. [Google Scholar] [CrossRef]
- Soai, K.; Kawasaki, T. Asymmetric Autocatalysis—Discovery and State of The Art. In The Soai Reaction and Related Topic; Palyi, G., Zicchi, C., Caglioti, C., Eds.; Academia Nationale di Scienze Lettere e Arti Modena, Edizioni Artestampa: Modena, Italy, 2012; pp. 9–34. [Google Scholar]
- Soai, K.; Kawasaki, T.; Matsumoto, A. The origins of homochirality examined by using asymmetric autocatalysis. Chem. Rec. 2014, 14, 70–83. [Google Scholar] [CrossRef]
- Soai, K.; Kawasaki, T.; Matsumoto, A. Asymmetric autocatalysis of pyrimidyl alkanol and its application to the study on the origin of homochirality. Acc. Chem. Res. 2014, 47, 3643–3654. [Google Scholar] [CrossRef]
- Soai, K.; Kawasaki, T.; Matsumoto, A. Asymmetric autocatalysis of pyrimidyl alkanol and related compounds. Self-replication, amplification of chirality and implication for the origin of biological enantioenriched chirality. Tetrahedron 2018, 74, 1973–1990. [Google Scholar] [CrossRef]
- Soai, K. Asymmetric autocatalysis. Chiral symmetry breaking and the origins of homochirality of organic molecules. Proc. Jpn. Acad. Ser. B 2019, 95, 89–110. [Google Scholar] [CrossRef]
- Podlech, J.; Gehring, T. New aspects of Soai’s asymmetric autocatalysis. Angew. Chem. Int. Ed. 2005, 44, 5776–5777. [Google Scholar] [CrossRef]
- Gehring, T.; Busch, M.; Schlageter, M.; Weingand, D. A concise summary of experimental facts about the Soai reaction. Chirality 2010, 22, E173–E182. [Google Scholar] [CrossRef]
- Soai, K.; Niwa, S.; Hori, H. Asymmetric self-catalytic reaction. Self-production of chiral 1-(3-pyridyl) alkanols as chiral self-catalysts in the enantioselective addition of dialkylzinc reagents to pyridine-3-carbaldehyde. J. Chem. Soc. Chem. Commun. 1990, 982–983. [Google Scholar] [CrossRef]
- Soai, K.; Hayase, T.; Shimada, C.; Isobe, K. Catalytic asymmetric synthesis of chiral diol, bis[2-(l-hydroxyalkyl)phenylether, an asymmetric autocatalytic reaction. Tetrahedron Asymm. 1994, 5, 789–792. [Google Scholar] [CrossRef]
- Soai, K.; Shibata, T.; Morioka, H.; Choji, K. Asymmetric autocatalysis and amplification of enantiomeric excess of a chiral molecule. Nature 1995, 378, 767–768. [Google Scholar] [CrossRef]
- Shibata, T.; Morioka, H.; Hayase, T.; Choji, K.; Soai, K. Highly enantioselective catalytic asymmetric automultiplication of chiral pyrimidylalcohol. J. Am. Chem. Soc. 1996, 118, 471–472. [Google Scholar] [CrossRef]
- Shibata, T.; Yonekubo, S.; Soai, K. Practically perfect asymmetric autocatalysis using 2-alkynyl-5-pyrimidylalkanol. Angew. Chem. Int. Ed. 1999, 38, 659–661. [Google Scholar] [CrossRef]
- Sato, I.; Urabe, H.; Ishiguro, S.; Shibata, T.; Soai, K. Amplification of chirality from extremely low to greater than 99.5% ee by asymmetric autocatalysis. Angew. Chem. Int. Ed. 2003, 42, 315–317. [Google Scholar] [CrossRef]
- Sato, I.; Yanagi, T.; Soai, K. Highly enantioselective asymmetric autocatalysis of 2-alkenyl- and 2-vinyl-5-pyrimidyl alkanols with significant amplification of anantiomeric axcess. Chirality 2002, 14, 166–168. [Google Scholar] [CrossRef]
- Shibata, T.; Choji, K.; Morioka, H.; Hayase, T.; Soai, K. Highly enantioselective synthesis of a chiral 3-quinolylalkanol by an asymmetric autocatalytic reaction. Chem. Commun. 1996, 751–752. [Google Scholar] [CrossRef]
- Shibata, T.; Choji, K.; Hayase, T.; Aizu, Y.; Soai, K. Asymmetric autocatalytic reaction of 3-quinolylalkanol with amplification of enantiomeric excess. Chem. Commun. 1996, 1235–1236. [Google Scholar] [CrossRef]
- Sato, I.; Nakao, T.; Sugie, R.; Kawasaki, T.; Soai, K. Enantioselective synthesis of substituted 3-quinolyl alkanols and their application to asymmetric autocatalysis. Synthesis 2004, 1419–1428. [Google Scholar] [CrossRef]
- Shibata, T.; Morioka, H.; Tanji, S.; Hayase, T.; Kodaka, Y.; Soai, K. Enantioselective synthesis of chiral 5-carbamoyl-3-pyridyl alcohols by asymmetric autocatalytic reaction. Tetrahedron Lett. 1996, 37, 8783–8786. [Google Scholar] [CrossRef]
- Tanji, S.; Kodaka, Y.; Ohno, A.; Shibata, T.; Sato, I.; Soai, K. Asymmetric autocatalysis of 5-carbamoyl-3-pyridyl alkanols with amplification of enantiomeric excess. Tetrahedron Asymm. 2000, 11, 4249–4253. [Google Scholar] [CrossRef]
- Kawasaki, T.; Nakaoda, M.; Takahashi, Y.; Kanto, Y.; Kuruhara, N.; Hosoi, K.; Sato, I.; Matsumoto, A.; Soai, K. Self-replication and amplification of enantiomeric excess of chiral multi-functionalized large molecule by asymmetric autocatalysis. Angew. Chem. Int. Ed. 2014, 53, 11199–11202. [Google Scholar] [CrossRef]
- Kawasaki, T.; Ishikawa, Y.; Minato, Y.; Otsuka, T.; Yonekubo, S.; Sato, I.; Shibata, T.; Matsumoto, A.; Soai, K. Point-to-point ultra-remote asymmetric control with flexible linker. Chem. A Eur. J. 2017, 23, 282–285. [Google Scholar] [CrossRef]
- Kitamura, M.; Suga, S.; Oka, H.; Noyori, R. Quantitative analysis of the chiral amplification in the amino alcohol-promoted asymmetric alkylation of aldehydes with dialkylzincs. J. Am. Chem. Soc. 1998, 120, 9800–9809. [Google Scholar] [CrossRef]
- Guillaneux, D.; Zhao, S.-H.; Samuel, O.; Rainford, D.; Henri, B.; Kagan, H.B. Nonlinear effects in asymmetric catalysis. J. Am. Chem. Soc. 1994, 116, 9430–9439. [Google Scholar] [CrossRef]
- Sato, I.; Omiya, D.; Tsukiyama, K.; Ogi, Y.; Soai, K. Evidence of asymmetric autocatalysis in the enantioselective addition of diisopropylzinc to pyrimidine-5-carbaldehyde using chiral pyrimidyl alkanol. Tetrahedron Asymm. 2001, 12, 1965–1969. [Google Scholar] [CrossRef]
- Sato, I.; Omiya, D.; Igarashi, H.; Kato, K.; Ogi, Y.; Tsukiyama, K.; Soai, K. Relationship between the time, yield, and enantiomeric excess of asymmetric autocatalysis of chiral 2-alkynyl-5-pyrimidyl alkanol with amplification of enantiomeric excess. Tetrahedron Asymm. 2003, 14, 975–979. [Google Scholar] [CrossRef]
- Blackmond, D.G.; McMillan, C.R.; Ramdeehul, S.; Schorm, A.; Brown, J.M. Origins of asymmetric amplification in autocatalytic alkylzinc additions. J. Am. Chem. Soc. 2001, 123, 10103–10104. [Google Scholar] [CrossRef]
- Quaranta, M.; Gehring, T.; Odell, B.; Brown, J.M.; Blackmond, D.G. Unusual inverse temperature dependence on reaction rate in the asymmetric autocatalytic alkylation of pyrimidyl aldehydes. J. Am. Chem. Soc. 2010, 132, 15104–15107. [Google Scholar] [CrossRef]
- Gehring, T.; Quaranta, M.; Odell, B.; Blackmond, D.G.; Brown, J.M. Observation of a transient intermediate in Soai’s asymmetric autocatalysis: Insights from 1H NMR turnover in real time. Angew. Chem. Int. Ed. 2012, 51, 9539–9542. [Google Scholar] [CrossRef]
- Schiaffino, L.; Ercolani, G. Unraveling the mechanism of the Soai asymmetric autocatalytic reaction by first-principles calculations: Induction and amplification of chirality by self-assembly of hexamolecular complexes. Angew. Chem. Int. Ed. 2008, 47, 6832–6835. [Google Scholar] [CrossRef]
- Ercolani, G.; Schiaffino, L. Putting the mechanism of the Soai reaction to the test: DFT study of the role of aldehyde and dialkylzinc structure. J. Org. Chem. 2011, 76, 2619–2626. [Google Scholar] [CrossRef]
- Gridnev, I.D.; Vorobiev, A.K. Quantification of sophisticated equilibria in the reaction pool and amplifying catalytic cycle of the Soai reaction. ACS Catal. 2012, 2, 2137–2149. [Google Scholar] [CrossRef]
- Gridnev, I.D.; Vorobiev, A.K. On the origin and structure of the recently observed acetal in the Soai reaction. Bull. Chem. Soc. Jpn. 2015, 88, 333–340. [Google Scholar] [CrossRef]
- Barabás, B.; Caglioti, L.; Micskei, K.; Pályi, G. Data-based stochastic approach to absolute asymmetric synthesis by autocatalysis. Bull. Chem. Soc. Jpn. 2009, 82, 1372–1376. [Google Scholar] [CrossRef]
- Micheau, J.C.; Cruz, J.M.; Coudret, C.; Buhse, T. An autocatalytic cycle model of asymmetric amplification and mirror-symmetry breaking in the Soai reaction. ChemPhysChem 2010, 11, 3417–3419. [Google Scholar] [CrossRef]
- Micheau, J.C.; Coudret, C.; Cruz, J.M.; Buhse, T. Amplification of enantiomeric excess, mirror-image symmetry breaking and kinetic proofreading in Soai reaction models with different oligomeric orders. Phys. Chem. Chem. Phys. 2012, 14, 13239–13248. [Google Scholar] [CrossRef]
- Micskei, K.; Rábai, G.; Gál, E.; Caglioti, L.; Pályi, G. Oscillatory symmetry breaking in the Soai reaction. J. Phys. Chem. B 2008, 112, 9196–9200. [Google Scholar] [CrossRef]
- Maioli, M.; Micskei, K.; Caglioti, L.; Zucchi, C.; Pályi, G. Evolution of chirality in consecutive asymmetric autocatalytic reaction cycles. J. Math. Chem. 2008, 43, 1505–1515. [Google Scholar] [CrossRef]
- Crusats, J.; Hochberg, D.; Moyano, A.; Ribó, J.M. Frank model and spontaneous emergence of chirality in closed systems. Chem. Phys. Chem. 2009, 10, 2123–2131. [Google Scholar] [CrossRef]
- Dóka, É.; Lente, G. Mechanism-based chemical understanding of chiral symmetry breaking in the Soai reaction. A combined probabilistic and deterministic description of chemical reactions. J. Am. Chem. Soc. 2011, 133, 17878–17881. [Google Scholar] [CrossRef]
- Lavabre, D.; Micheau, J.-C.; Islas, J.R.; Buhse, T. Enantioselectivity Reversal by achiral additives in the Soai reaction: A kinetic understanding. J. Phys. Chem. A 2007, 111, 281–286. [Google Scholar] [CrossRef]
- Matsumoto, A.; Abe, T.; Hara, A.; Tobita, T.; Sasagawa, T.; Kawasaki, T.; Soai, K. Crystal structure of isopropylzinc alkoxide of pyrimidyl alkanol: Mechanistic insights for asymmetric autocatalysis with amplification of enantiomeric excess. Angew. Chem. Int. Ed. 2015, 54, 15218–15221. [Google Scholar] [CrossRef]
- Matsumoto, A.; Fujiwara, S.; Abe, T.; Hara, A.; Tobita, T.; Sasagawa, T.; Kawasaki, T.; Soai, K. Elucidation of the structures of asymmetric autocatalyst based on X-ray crystallography. Bull. Chem. Soc. Jpn. 2016, 89, 1170–1177. [Google Scholar] [CrossRef]
- Noble-Teran, M.E.; Cruz, J.-M.; Micheau, J.-C.; Buhse, T.W. A quantification of the Soai reaction. ChemCatChem 2018, 10, 642–648. [Google Scholar] [CrossRef]
- Bailey, J.; Chrysostomou, A.; Hough, J.H.; Gledhill, T.M.; McCall, A.; Clark, S.; Ménard, F.; Tamura, M. Circular polarization in star-formation regions: Implications for biomolecular homochirality. Science 1998, 281, 672–674. [Google Scholar] [CrossRef] [PubMed]
- Shibata, T.; Yamamoto, J.; Matsumoto, N.; Yonekubo, S.; Osanai, S.; Soai, K. Amplification of a slight enantiomeric imbalance in molecules based on asymmetric autocatalysis—The first correlation between high enantiomeric enrichment in a chiral molecule and circularly polarized light. J. Am. Chem. Soc. 1998, 120, 12157–12158. [Google Scholar] [CrossRef]
- Kawasaki, T.; Sato, M.; Ishiguro, S.; Saito, T.; Morishita, Y.; Sato, I.; Nishino, H.; Inoue, Y.; Soai, K. Enantioselective synthesis of near enantiopure compound by asymmetric autocatalysis triggered by asymmetric photolysis with circularly polarized light. J. Am. Chem. Soc. 2005, 127, 3274–3275. [Google Scholar] [CrossRef] [PubMed]
- Sato, I.; Sugie, R.; Matsueda, Y.; Furumura, Y.; Soai, K. Asymmetric synthesis utilizing circularly polarized light mediated by the photoequilibrium of chiral olefins in conjunction with asymmetric autocatalysis. Angew. Chem. Int. Ed. 2004, 43, 4490–4492. [Google Scholar] [CrossRef] [PubMed]
- Noorduin, W.L.; Bode, A.C.; van der Meijden, M.; Meekes, H.; van Etteger, A.F.; van Enckevort, W.J.P.; Christianen, P.C.M.; Kaptein, B.; Kellogg, R.M.; Rasing, T.; Vlieg, E. Complete chiral symmetry breaking of an amino acid derivative directed by circularly polarized light. Nat. Chem. 2009, 1, 729–732. [Google Scholar] [CrossRef]
- Bonner, W.A.; Kavasmaneck, P.R.; Martin, F.S.; Flores, J.J. Asymmetric adsorption of alanine by quartz. Science 1974, 186, 143–144. [Google Scholar] [CrossRef]
- Soai, K.; Osanai, S.; Kadowaki, K.; Yonekubo, S.; Shibata, T.; Sato, I. d- and l-Quartz-promoted highly enantioselective synthesis of a chiral organic compound. J. Am. Chem. Soc. 1999, 121, 11235–11236. [Google Scholar] [CrossRef]
- Kondepudi, D.K.; Kaufman, R.J.; Singh, N. Chiral symmetry breaking in sodium chlorate crystallizaton. Science 1990, 250, 975–976. [Google Scholar] [CrossRef]
- McBride, J.M.; Carter, R.L. Spontaneous resolution by stirred crystallization. Angew. Chem. Int. Ed. 1991, 30, 293–295. [Google Scholar] [CrossRef]
- Sato, I.; Kadowaki, K.; Soai, K. Asymmetric synthesis of an organic compound with high enantiomeric excess induced by inorganic ionic sodium chlorate. Angew. Chem. Int. Ed. 2000, 39, 1510–1512. [Google Scholar] [CrossRef]
- Sato, I.; Kadowaki, K.; Ohgo, Y.; Soai, K. Highly enantioselective asymmetric autocatalysis induced by chiral ionic crystals of sodium chlorate and sodium bromate. J. Mol. Cat. A Chem. 2004, 216, 209–214. [Google Scholar] [CrossRef]
- Shindo, H.; Shirota, Y.; Niki, K.; Kawasaki, T.; Suzuki, K.; Araki, Y.; Matsumoto, A.; Soai, K. Asymmetric autocatalysis induced by cinnabar: Observation of the enantioselective adsorption of a 5-pyrimidyl alkanol on the crystal surface. Angew. Chem. Int. Ed. 2013, 52, 9135–9138. [Google Scholar] [CrossRef]
- Matsumoto, A.; Ozawa, H.; Inumaru, A.; Soai, K. Asymmetric induction by retgersite, nickel sulfate hexahydrate, in conjunction with asymmetric autocatalysis. New. J. Chem. 2015, 39, 6742–6745. [Google Scholar] [CrossRef][Green Version]
- Matsumoto, A.; Kaimori, Y.; Uchida, M.; Omori, H.; Kawasaki, T.; Soai, K. Achiral inorganic gypsum acts as an origin of chirality through its enaniotopic surface in conjunction with asymmetric autocatalysis. Angew. Chem. Int. Ed. 2017, 56, 545–548. [Google Scholar] [CrossRef]
- Matsuura, T.; Koshima, H. Introduction to chiral crystallization of achiral organic compounds. Spontaneous generation of chirality. J. Photochem. Photobiol. C Photochem. Rev. 2005, 6, 7–24. [Google Scholar] [CrossRef]
- Ishikawa, K.; Tanaka, M.; Suzuki, T.; Sekine, A.; Kawasaki, T.; Soai, K.; Shiro, M.; Lahav, M.; Asahi, T. Absolute chirality of the gamma-polymorph of glycine: Correlation of the absolute structure with the optical rotation. Chem. Commun. 2012, 48, 6031–6033. [Google Scholar] [CrossRef] [PubMed]
- Tarasevych, A.V.; Sorochinsky, A.E.; Kukhar, V.P.; Toupet, L.; Crassous, J.; Guillemin, J.-C. Attrition-induced spontaneous chiral amplification of the γ polymorphic modification of glycine. Cryst. Eng. Comm. 2015, 17, 1513–1517. [Google Scholar] [CrossRef]
- Matsumoto, A.; Ozaki, H.; Tsuchiya, S.; Asahi, T.; Lahav, M.; Kawasaki, T.; Soai, K. Achiral amino acid glycine acts as an origin of homochirality in asymmetric autocatalysis. Org. Biomol. Chem. 2019, 17, 4200–4203. [Google Scholar] [CrossRef]
- Robertson, M.P.; Miller, S.L. An efficient prebiotic synthesis of cytosine and uracil. Nature 1995, 375, 772–774. [Google Scholar] [CrossRef]
- Kawasaki, T.; Suzuki, K.; Hakoda, Y.; Soai, K. Achiral nucleobase cytosine acts as an origin of homochirality of biomolecules in conjunction with asymmetric autocatalysis. Angew. Chem. Int. Ed. 2008, 47, 496–499. [Google Scholar] [CrossRef]
- Kawasaki, T.; Hakoda, Y.; Mineki, H.; Suzuki, K.; Soai, K. Generation of absolute controlled crystal chirality by the removal of crystal water from achiral crystal of nucleobase cytosine. J. Am. Chem. Soc. 2010, 132, 2874–2875. [Google Scholar] [CrossRef]
- Mineki, H.; Kaimori, Y.; Kawasaki, T.; Matsumoto, A.; Soai, K. Enantiodivergent formation of a chiral cytosine crystal by removal of crystal water from an achiral monohydrate crystal under reduced pressure. Tetrahedron Asymm. 2013, 24, 1365–1367. [Google Scholar] [CrossRef]
- Mineki, H.; Hanasaki, T.; Matsumoto, A.; Kawasaki, T.; Soai, K. Asymmetric autocatalysis initiated by achiral nucleic acid base adenine: Implications on the origin of homochirality of biomolecul. Chem. Commun. 2012, 48, 10538–10540. [Google Scholar] [CrossRef]
- Kawasaki, T.; Suzuki, K.; Hatase, K.; Otsuka, M.; Koshima, H.; Soai, K. Enantioselective synthesis mediated by chiral crystal of achiral hippuric acid in conjunction with asymmetric autocatalysis. Chem. Commun. 2006, 1869–1871. [Google Scholar] [CrossRef]
- Carter, D.J.; Rohl, A.L.; Shtukenberg, A.; Bian, S.D.; Hu, C.-H.; Baylon, L.; Kahr, B.; Mineki, H.; Abe, K.; Kawasaki, T. Prediction of Soai reaction enantioselectivity induced by crystals of N-(2-thienylcarbonyl) glycine. Cryst. Growth Des. 2012, 12, 2138–2145. [Google Scholar] [CrossRef]
- Kawasaki, T.; Jo, K.; Igarashi, H.; Sato, I.; Nagano, M.; Koshima, H.; Soai, K. Asymmetric amplification using chiral co-crystal f formed from achiral organic molecules by asymmetric autocatalysis. Angew. Chem. Int. Ed. 2005, 44, 2774–2777. [Google Scholar] [CrossRef]
- Kawasaki, T.; Harada, Y.; Suzuki, K.; Tobita, T.; Florini, N.; Palyi, G.; Soai, K. Enantioselective synthesis utilizing enantiomorphous organic crystal of achiral benzils as a source of chirality in asymmetric autocatalysis. Org. Lett. 2008, 10, 4085–4088. [Google Scholar] [CrossRef]
- Kawasaki, T.; Nakaoda, M.; Kaito, N.; Sasagawa, T.; Soai, K. Asymmetric autocatalysis induced by chiral crystals of achiral tetraphenylethylenes. Orig. Life Evol. Biosph. 2010, 40, 65–78. [Google Scholar] [CrossRef]
- Matsumoto, A.; Ide, T.; Kaimori, Y.; Fujiwara, S.; Soai, K. Asymmetric autocatalysis triggered by chiral crystal of achiral ethylenediamine sulfate. Chem. Lett. 2015, 44, 688–690. [Google Scholar] [CrossRef]
- Kawasaki, T.; Uchida, M.; Kaimori, Y.; Sasagawa, T.; Matsumoto, A.; Soai, K. Enantioselective synthesis induced by the helical molecular arrangement in the chiral crystal of achiral tris(2-hydroxyethyl)-1,3,5-benzenetricarboxylate in conjunction with asymmetric autocatalysis. Chem. Lett. 2013, 42, 711–713. [Google Scholar] [CrossRef]
- Matsumoto, A.; Takeda, S.; Harada, S.; Soai, K. Determination of the absolute structure of the chiral crystal consisting of achiral dibutylhydroxytoluene and asymmetric autocatalysis triggered by this chiral crystal. Tetrahedron Asymm. 2016, 27, 943–946. [Google Scholar] [CrossRef][Green Version]
- Kawasaki, T.; Sasagawa, T.; Shiozawa, K.; Uchida, M.; Suzuki, K.; Soai, K. Enantioselective synthesis induced by chiral crystal composed of dl-serine in conjunction with asymmetric autocatalysis. Org. Lett. 2011, 13, 2361–2363. [Google Scholar] [CrossRef]
- Kawasaki, T.; Kamimura, S.; Amihara, A.; Suzuki, K.; Soai, K. Enantioselective C-C bond formation as a result of the oriented prochirality of an achiral aldehyde at the single-crystal face upon treatment with a dialkyl zinc vapor. Angew. Chem. Int. Ed. 2011, 50, 6796–6798. [Google Scholar] [CrossRef]
- Caglioti, L.; Hajdu, C.; Holczknecht, O.; Zékány, L.; Zucchi, C.; Micskei, K.; Pályi, G. The concept of racemates and the Soai-reaction. Viva Origino 2006, 34, 62–80. [Google Scholar]
- Maioli, M.; Varadi, G.; Kurdi, R.; Caglioti, L.; Palyi, G. Limits of the classical concept of concentration. J. Phys. Chem. B 2016, 120, 7438–7445. [Google Scholar] [CrossRef]
- Barabas, B.; Caglioti, L.; Zucchi, C.; Maioli, M.; Gál, E.; Micskei, K.; Pályi, G. Violation of distribution symmetry in statistical evaluation of absolute enantioselective synthesis. J. Phys. Chem. B 2007, 111, 11506–11510. [Google Scholar] [CrossRef]
- Soai, K.; Shibata, T.; Kowata, Y. Japan Kokai Tokkyo Koho. Patent No. JP1997–268179, 2 January 1997. [Google Scholar]
- Soai, K.; Sato, I.; Shibata, T.; Komiya, S.; Hayashi, M.; Matsueda, Y.; Imamura, H.; Hayase, T.; Morioka, H.; Tabira, H.; Yamamoto, J.; Kowata, Y. Asymmetric synthesis of pyrimidyl alkanol without adding chiral substances by the addition of diisopropylzinc to pyrimidine-5-carbaldehyde in conjunction with asymmetric autocatalysis. Tetrahedron Asymm. 2003, 14, 185–188. [Google Scholar] [CrossRef]
- Kawasaki, T.; Suzuki, K.; Shimizu, M.; Ishikawa, K.; Soai, K. Spontaneous absolute asymmetric synthesis in the presence of achiral silica gel in conjunction with asymmetric autocatalysis. Chirality 2006, 18, 479–482. [Google Scholar] [CrossRef]
- Suzuki, K.; Hatase, K.; Nishiyama, D.; Kawasaki, T.; Soai, K. Spontaneous absolute asymmetric synthesis promoted by achiral amines in conjunction with asymmetric autocatalysis. J. Syst. Chem. 2010, 1, 5. [Google Scholar] [CrossRef]
- Singleton, D.A.; Vo, L.K. A few molecules can control the enantiomeric outcome. Evidence supporting absolute asymmetric synthesis using the Soai asymmetric autocatalysis. Org. Lett. 2003, 5, 4337–4339. [Google Scholar] [CrossRef]
- Lente, G. Stochastic kinetic models of chiral autocatalysis: A general tool for the quantitative interpretation of total asymmetric synthesis. J. Phys. Chem. A 2005, 109, 11058–11063. [Google Scholar] [CrossRef]
- Islas, J.R.; Lavabre, D.; Grevy, J.-M.; Lamoneda, R.H.; Cabrera, H.R.; Micheau, J.-C.; Buhse, T. Mirror-symmetry breaking in the Soai reaction: A kinetic understanding. Proc. Natl. Acad. Sci. USA 2005, 102, 13743–13748. [Google Scholar] [CrossRef]
- Lavabre, D.; Micheau, J.-C.; Rivera Islas, J.; Buhse, T. Kinetic insight into specific features of the autocatalytic Soai reaction. Top. Curr. Chem. 2008, 284, 67–96. [Google Scholar]
- Saito, Y.; Hyuga, H. Rate equation approaches to amplification of enantiomeric excess and chiral symmetry breaking. Top. Curr. Chem. 2008, 284, 97–118. [Google Scholar]
- Kaimori, Y.; Hiyoshi, Y.; Kawasaki, T.; Matsumoto, A.; Soai, K. Formation of enantioenriched alkanol with stochastic distribution of enantiomers in the absolute asymmetric synthesis under heterogeneous solid–vapor phase conditions. Chem. Commun. 2019, 55, 5223–5226. [Google Scholar] [CrossRef]
- Kawasaki, T.; Matsumura, Y.; Tsutsumi, T.; Suzuki, K.; Ito, M.; Soai, K. Asymmetric autocatalysis triggered by carbon isotope (13C/12C) chirality. Science 2009, 324, 492–495. [Google Scholar] [CrossRef] [PubMed]
- Matsumoto, A.; Ozaki, H.; Harada, S.; Tada, K.; Ayugase, T.; Ozawa, H.; Kawasaki, T.; Soai, K. Asymmetric induction by nitrogen 14N/15N isotopomer in conjunction with asymmetric autocatalysis. Angew. Chem. Int. Ed. 2016, 55, 15246–15249. [Google Scholar] [CrossRef]
- Kawasaki, T.; Okano, Y.; Suzuki, E.; Takano, S.; Oji, S.; Soai, K. Asymmetric autocatalysis: Triggered by chiral isotopomer arising from oxygen isotope substitution. Angew. Chem. Int. Ed. 2011, 50, 8131–8133. [Google Scholar] [CrossRef]
- Matsumoto, A.; Oji, S.; Takano, S.; Tada, K.; Kawasaki, T.; Soai, K. Asymmetric autocatalysis triggered by oxygen isotopically chiral glycerin. Org. Biomol. Chem. 2013, 11, 2928–2931. [Google Scholar] [CrossRef]
- Horeau, A.; Nouaille, A.; Mislow, K. Secondary deuterium isotope effects in asymmetric syntheses and kinetic resolutions. J. Am. Chem. Soc. 1965, 87, 4957–4958. [Google Scholar] [CrossRef]
- Pracejus, H. Ein sterischer isotopeneffekt als ursache einer katalytisch-asymmetrischen synthese. Tetrahedron Lett. 1966, 7, 3809–3813. [Google Scholar] [CrossRef]
- Sato, I.; Omiya, D.; Saito, T.; Soai, K. Highly enantioselective synthesis induced by chiral primary alcohols due to deuterium substitution. J. Am. Chem. Soc. 2000, 122, 11739–11740. [Google Scholar] [CrossRef]
- Kawasaki, T.; Ozawa, H.; Ito, M.; Soai, K. Enantioselective synthesis induced by compounds with chirality arising from partially deuterated methyl groups in conjunction with asymmetric autocatalysis. Chem. Lett. 2011, 40, 320–321. [Google Scholar] [CrossRef]
- Kawasaki, T.; Shimizu, M.; Nishiyama, D.; Ito, M.; Ozawa, H.; Soai, K. Asymmetric autocatalysis induced by meteoritic amino acids with hydrogen isotope chirality. Chem. Commun. 2009, 4396–4398. [Google Scholar] [CrossRef]
- Sato, I.; Ohgo, Y.; Igarashi, H.; Nishiyama, D.; Kawasaki, T.; Soai, K. Determination of absolute configurations of amino acids by asymmetric autocatalysis of 2-alkynylpyrimidyl alkanol as a chiral sensor. J. Organomet. Chem. 2007, 692, 1783–1787. [Google Scholar] [CrossRef]
- Sato, I.; Yamashima, R.; Kadowaki, K.; Yamamoto, J.; Shibata, T.; Soai, K. Asymmetric induction by helical hydrocarbons: [6]- and [5]helicenes. Angew. Chem. Int. Ed. 2001, 40, 1096–1098. [Google Scholar] [CrossRef]
- Kawasaki, T.; Suzuki, K.; Licandro, E.; Bossi, A.; Maiorana, S.; Soai, K. Enantioselective synthesis induced by tetrathia-[7]-helicenes in conjunction with asymmetric autocatalysis. Tetrahedron Asymm. 2006, 17, 2050–2053. [Google Scholar] [CrossRef]
- Matsumoto, A.; Yonemitsu, K.; Ozaki, H.; Míšek, J.; Starý, I.; Stará, I.G.; Soai, K. Reversal of the sense of enantioselectivity between 1- and 2-aza[6]helicenes used as chiral inducers of asymmetric autocatalysis. Org. Biomol. Chem. 2017, 15, 1321–1324. [Google Scholar] [CrossRef]
- Kawasaki, T.; Tanaka, H.; Tsutsumi, T.; Kasahara, T.; Sato, I.; Soai, K. Chiral discrimination of cryptochiral saturated quaternary and tertiary hydrocarbons by asymmetric autocatalysis. J. Am. Chem. Soc. 2006, 128, 6032–6033. [Google Scholar] [CrossRef]
- Kawasaki, T.; Hohberger, C.; Araki, Y.; Hatase, K.; Beckerle, K.; Okuda, J.; Soai, K. Discrimination of cryptochirality in chiral isotactic polystyrene by asymmetric autocatalysis. Chem. Commun. 2009, 5621–5623. [Google Scholar] [CrossRef][Green Version]
- Sato, I.; Kadowaki, K.; Urabe, H.; Hwa Jung, J.; Ono, Y.; Shinkai, S.; Soai, K. Highly enantioselective synthesis of organic compound using right- and left-handed helical silica. Tetrahedron Lett. 2003, 44, 721–724. [Google Scholar] [CrossRef]
- Kawasaki, T.; Araki, Y.; Hatase, K.; Suzuki, K.; Matsumoto, A.; Yokoi, T.; Kubota, Y.; Tatsumi, T.; Soai, K. Helical mesoporous silica as an inorganic heterogeneous chiral trigger for asymmetric autocatalysis with amplification of enantiomeric excess. Chem. Commun. 2015, 51, 8742–8744. [Google Scholar] [CrossRef] [PubMed]












© 2019 by the authors. Licensee MDPI, Basel, Switzerland. This article is an open access article distributed under the terms and conditions of the Creative Commons Attribution (CC BY) license (http://creativecommons.org/licenses/by/4.0/).
Share and Cite
Soai, K.; Kawasaki, T.; Matsumoto, A. Role of Asymmetric Autocatalysis in the Elucidation of Origins of Homochirality of Organic Compounds. Symmetry 2019, 11, 694. https://doi.org/10.3390/sym11050694
Soai K, Kawasaki T, Matsumoto A. Role of Asymmetric Autocatalysis in the Elucidation of Origins of Homochirality of Organic Compounds. Symmetry. 2019; 11(5):694. https://doi.org/10.3390/sym11050694
Chicago/Turabian StyleSoai, Kenso, Tsuneomi Kawasaki, and Arimasa Matsumoto. 2019. "Role of Asymmetric Autocatalysis in the Elucidation of Origins of Homochirality of Organic Compounds" Symmetry 11, no. 5: 694. https://doi.org/10.3390/sym11050694
APA StyleSoai, K., Kawasaki, T., & Matsumoto, A. (2019). Role of Asymmetric Autocatalysis in the Elucidation of Origins of Homochirality of Organic Compounds. Symmetry, 11(5), 694. https://doi.org/10.3390/sym11050694

