Fuzzy Volterra Integro-Differential Equations Using General Linear Method
Abstract
1. Introduction
2. Preliminaries
- (i)
- u is normal, that is with ;
- (ii)
- u is fuzzy convex, that is min , ;
- (iii)
- u is upper semicontinuous on , that is such that ;
- (iv)
- u is compactly supported, that is is compact, where denotes the closure of the set A.
- (i)
- is a bounded nondecreasing left-continuous function and right-continuous for ;
- (ii)
- is a bounded nonincreasing left-continuous function and right-continuous for ;
- (iii)
- for , which implies
- (i)
- (ii)
- (iii)
- (i)
- for all sufficiently small, and the limits in metric Dis type--differentiability on ,
- (ii)
- for all sufficiently small, and the limits in metric Dis type--differentiability on ,
- (i)
- If F is differentiable in the first form (1), then and are differentiable functions and ,
- (ii)
- If F is differentiable in the second form (2), then and are differentiable functions and .
3. Fuzzy Volterra Integro-Differential Equations
4. General Linear Method
5. Simpson’s Rule and Lagrange Interpolation Polynomial
6. Fuzzy General Linear Method for Fuzzy Volterra Integro-Differential Equations
7. Fuzzy Runge-Kutta Method for Fuzzy Volterra Integro-Differential Equations
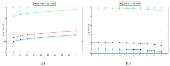
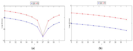
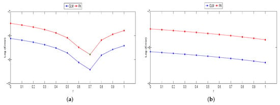
8. Numerical Results
| r | r-level set of fuzzy numbers, |
| Left bound of exact solution, | |
| Right bound of exact solution, | |
| Left bound of approximate solution, | |
| Right bound of approximate solution, | |
| Left bound of error computed (), | |
| Right bound of error computed (), | |
| GLM | Third-order general linear method from this paper, |
| RK | Third-order Runge-Kutta method from Section 7, |
| VIM | Variational iteration method from [15], |
| HAM | Homotopy perturbation method from [15]. |
8.1. Problem 1
8.2. Problem 2
8.3. Problem 3
9. Discussion and Conclusions
Author Contributions
Funding
Acknowledgments
Conflicts of Interest
References
- Khastan, A.; Ivaz, K. Numerical solution of fuzzy differential equations by Nyström method. Chaos Solitons Fractals 2009, 41, 859–868. [Google Scholar] [CrossRef]
- Abu-Arqub, O.; El-Ajou, A.; Momani, S.; Shawagfeh, N. Analytical solutions of fuzzy initial value problems by HAM. Appl. Math. Inf. Sci. 2013, 7, 1903. [Google Scholar] [CrossRef]
- Puri, M.L.; Ralescu, D.A. Differentials of fuzzy functions. J. Math. Anal. Appl. 1983, 91, 552–558. [Google Scholar] [CrossRef]
- Buckley, J.J.; Feuring, T. Fuzzy differential equations. Fuzzy Sets Syst. 2000, 110, 43–54. [Google Scholar] [CrossRef]
- Bede, B.; Gal, S.G. Generalizations of the differentiability of fuzzy-number-valued functions with applications to fuzzy differential equations. Fuzzy Sets Syst. 2005, 151, 581–599. [Google Scholar] [CrossRef]
- Goetschel, R.; Voxman, W. Elementary fuzzy calculus. Fuzzy Sets Syst. 1986, 18, 31–43. [Google Scholar] [CrossRef]
- Kaleva, O. Fuzzy differential equations. Fuzzy Sets Syst. 1987, 24, 301–317. [Google Scholar] [CrossRef]
- Friedman, M.; Ma, M.; Kandel, A. Numerical solutions of fuzzy differential and integral equations. Fuzzy Sets Syst. 1999, 106, 35–48. [Google Scholar] [CrossRef]
- Park, J.Y.; Jeong, J.U. On existence and uniqueness of solutions of fuzzy integrodifferential equations. Indian J. Pure Appl. Math. 2003, 34, 1503–1512. [Google Scholar]
- Hajighasemi, S.; Allahviranloo, T.; Khezerloo, M.; Khorasany, M.; Salahshour, S. Existence and uniqueness of solutions of fuzzy Volterra integro-differential equations. In Proceedings of the International Conference on Information Processing and Management of Uncertainty in Knowledge-Based Systems, Cadiz, Spain, 11–15 June 2010; pp. 491–500. [Google Scholar]
- Zeinali, M.; Shahmorad, S.; Mirnia, K. Fuzzy integro-differential equations: Discrete solution and error estimation. Iranian J. Fuzzy Syst. 2013, 10, 107–122. [Google Scholar]
- Mikaeilvand, N.; Khakrangin, S.; Allahviranloo, T. Solving fuzzy Volterra integro-differential equation by fuzzy differential transform method. In Proceedings of the 7th Conference of the European Society for Fuzzy Logic and Technology, Aix-Les-Bains, France, 18–22 July 2011; Atlantis Press: Paris, France, 2011; pp. 891–896. [Google Scholar]
- Allahviranloo, T.; Abbasbandy, S.; Sedaghatfar, O. A New Method for Solving Fuzzy Integro-Differential Equation Under Generalized Differentiability. Neural Comput. Appl. 2012, 21, 191–196. [Google Scholar] [CrossRef]
- Allahviranloo, T.; Khezerloo, M.; Sedaghatfar, O.; Salahshour, S. Toward the existence and uniqueness of solutions of second-order fuzzy volterra integro-differential equations with fuzzy kernel. Neural Comput. Appl. 2013, 22, 133–141. [Google Scholar] [CrossRef]
- Matinfar, M.; Ghanbari, M.; Nuraei, R. Numerical solution of linear fuzzy Volterra integro-differential equations by variational iteration method. J. Intell. Fuzzy Syst. 2013, 24, 575–586. [Google Scholar]
- Sahu, P.K.; Saha Ray, S. Two-dimensional Legendre wavelet method for the numerical solutions of fuzzy integro-differential equations. J. Intell. Fuzzy Syst. 2015, 28, 1271–1279. [Google Scholar]
- Butcher, J.C. General linear methods. Acta Numer. 2006, 15, 157–256. [Google Scholar] [CrossRef]
- Rabiei, F.; Abd Hamid, F.; Rashidi, M.M.; Ismail, F. Numerical simulation of fuzzy differential equations using general linear method and B-series. Adv. Mech. Eng. 2017, 9, 1–16. [Google Scholar] [CrossRef]
- Bede, B. Mathematics of Fuzzy Sets and Fuzzy Logic; Springer: Berlin, Germany, 2013; 295p. [Google Scholar]
- Chalco-Cano, Y.; Román-Flores, H. On new solutions of fuzzy differential equations. Chaos Solitons Fractals 2008, 38, 112–119. [Google Scholar] [CrossRef]
- Linz, P. Analytical and Numerical Methods for Volterra Equations; Siam: Philadelphia, PA, USA, 1985; 227p. [Google Scholar]
- Butcher, J.C. Numerical Methods or Ordinary Differential Equations Second Edition; John Wiley and Sons: New York, NY, USA, 2008; 48p. [Google Scholar]
- Ghanbari, M. A new approach for solving fuzzy linear Volterra integro-differential equations. Iran. J. Fuzzy Syst. 2016, 13, 69–87. [Google Scholar]








| GLM | RK | VIM | HPM | |||
|---|---|---|---|---|---|---|
| r | ||||||
| 0.0 | 0 | 0 | 0 | 0 | 0 | 0 |
| 0.1 | 9.956810(−11) | 1.209550(−9) | 4.823713(−10) | 7.462263(−9) | 7.6675(−11) | 2.5125(−6) |
| 0.2 | 1.992855(−10) | 2.420914(−9) | 9.654662(−10) | 1.493572(−8) | 1.5347(−10) | 5.0288(−6) |
| 0.3 | 2.998988(−10) | 3.643163(−9) | 1.452902(−9) | 2.247632(−8) | 2.3095(−10) | 7.5676(−6) |
| 0.4 | 4.033500(−10) | 4.899886(−9) | 1.954086(−9) | 3.022960(−8) | 3.1061(−10) | 1.0178(−5) |
| 0.5 | 5.133730(−10) | 6.236430(−9) | 2.487103(−9) | 3.847537(−8) | 3.9534(−10) | 1.2954(−5) |
| 0.6 | 6.360880(−10) | 7.727180(−9) | 3.081621(−9) | 4.767250(−8) | 4.8984(−10) | 1.6051(−5) |
| 0.7 | 7.806100(−10) | 9.482820(−8) | 3.781770(−9) | 5.850381(−8) | 6.0113(−10) | 1.9698(−5) |
| 0.8 | 9.596280(−10) | 1.165754(−8) | 4.649055(−9) | 7.192064(−8) | 7.3899(−10) | 2.4215(−5) |
| 0.9 | 1.190025(−9) | 1.445635(−8) | 5.765231(−9) | 8.918787(−8) | 9.1641(−10) | 3.0029(−5) |
| 1.0 | 1.493445(−9) | 1.814234(−8) | 7.235207(−9) | 1.119283(−7) | 1.1501(−9) | 3.7686(−5) |
| r | ||||||
| 0.0 | 2.986892(−9) | 3.628465(−8) | 1.447042(−8) | 2.238567(−7) | 2.3001(−9) | 7.5371(−5) |
| 0.1 | 2.985401(−9) | 3.626651(−8) | 1.446318(−8) | 2.237446(−7) | 2.2990(−9) | 7.5333(−5) |
| 0.2 | 2.974945(−9) | 3.613950(−8) | 1.441254(−8) | 2.229612(−7) | 2.2909(−9) | 7.5070(−5) |
| 0.3 | 2.946571(−9) | 3.579484(−8) | 1.427506(−8) | 2.208346(−7) | 2.2691(−9) | 7.4354(−5) |
| 0.4 | 2.891310(−9) | 3.512354(−8) | 1.400736(−8) | 2.166932(−7) | 2.2265(−9) | 7.2959(−5) |
| 0.5 | 2.800214(−9) | 3.401690(−8) | 1.356601(−8) | 2.098656(−7) | 2.1564(−9) | 7.0660(−5) |
| 0.6 | 2.664307(−9) | 3.236592(−8) | 1.290761(−8) | 1.996801(−7) | 2.0517(−9) | 6.7231(−5) |
| 0.7 | 2.474641(−9) | 3.006184(−8) | 1.198874(−8) | 1.854652(−7) | 1.9057(−9) | 6.2444(−5) |
| 0.8 | 2.222250(−9) | 2.699583(−8) | 1.076599(−8) | 1.665493(−7) | 1.7113(−9) | 5.6076(−5) |
| 0.9 | 1.898170(−9) | 2.305891(−8) | 9.195954(−8) | 1.422609(−7) | 1.4617(−9) | 4.7899(−5) |
| 1.0 | 1.493445(−9) | 1.814234(−8) | 7.235207(−8) | 1.119283(−7) | 1.1501(−9) | 3.7686(−5) |
| GLM | RK | |||
|---|---|---|---|---|
| r | ||||
| 0.0 | 2.069650(−10) | 8.391900(−10) | 1.431575(−9) | 6.462170(−9) |
| 0.1 | 1.862700(−10) | 7.552900(−10) | 1.288422(−9) | 5.815940(−9) |
| 0.2 | 1.655720(−10) | 6.713560(−10) | 1.145253(−9) | 5.169731(−9) |
| 0.3 | 1.655720(−10) | 5.874450(−10) | 1.145253(−9) | 4.523523(−9) |
| 0.4 | 1.241780(−10) | 5.035170(−10) | 8.589440(−10) | 3.877302(−9) |
| 0.5 | 1.034820(−10) | 4.195950(−10) | 7.157840(−10) | 3.231079(−9) |
| 0.6 | 8.278600(−11) | 3.356810(−10) | 5.726270(−10) | 2.584868(−9) |
| 0.7 | 6.208900(−11) | 2.517620(−10) | 4.294700(−10) | 1.938651(−9) |
| 0.8 | 4.139400(−11) | 1.678420(−10) | 2.863150(−10) | 1.292426(−9) |
| 0.9 | 2.069650(−11) | 8.391900(−10) | 1.431575(−10) | 6.462170(−9) |
| 1.0 | 0 | 0 | 0 | 0 |
| r | ||||
| 0.0 | 2.069650(−10) | 8.391900(−10) | 1.431575(−9) | 6.462170(−9) |
| 0.1 | 1.862700(−10) | 7.552900(−10) | 1.288422(−9) | 5.815940(−9) |
| 0.2 | 1.655720(−10) | 6.713560(−10) | 1.145253(−9) | 5.169731(−9) |
| 0.3 | 1.448800(−10) | 5.874450(−10) | 1.002105(−9) | 4.523523(−9) |
| 0.4 | 1.241780(−10) | 5.035170(−10) | 8.589440(−10) | 3.877302(−9) |
| 0.5 | 1.034820(−10) | 4.195950(−10) | 7.157840(−10) | 3.231079(−9) |
| 0.6 | 8.278600(−11) | 3.356810(−10) | 5.726270(−10) | 2.584868(−9) |
| 0.7 | 6.208900(−11) | 2.517620(−10) | 4.294700(−10) | 1.938651(−9) |
| 0.8 | 4.139400(−11) | 1.678420(−10) | 2.863150(−10) | 1.292426(−9) |
| 0.9 | 2.069650(−11) | 8.391900(−10) | 1.431575(−10) | 6.462170(−9) |
| 1.0 | 0 | 0 | 0 | 0 |
| GLM | RK | |||
|---|---|---|---|---|
| r | ||||
| 0.0 | 9.591260(−9) | 1.703350(−8) | 3.884529(−8) | 8.745231(−8) |
| 0.1 | 8.252610(−9) | 1.499912(−8) | 3.333684(−8) | 7.665465(−8) |
| 0.2 | 6.913930(−9) | 1.296471(−8) | 2.782840(−8) | 6.585705(−8) |
| 0.3 | 5.575350(−9) | 1.093031(−8) | 2.231994(−8) | 5.505935(−8) |
| 0.4 | 4.236740(−9) | 8.895910(−9) | 1.681141(−8) | 4.426157(−8) |
| 0.5 | 2.898090(−9) | 6.861520(−9) | 1.130299(−8) | 3.346385(−8) |
| 0.6 | 1.559467(−9) | 4.827130(−9) | 5.794547(−9) | 2.266616(−8) |
| 0.7 | 2.208310(−10) | 2.792740(−9) | 2.860890(−10) | 1.186848(−8) |
| 0.8 | 1.117786(−9) | 7.583400(−9) | 5.222359(−9) | 1.070790(−8) |
| 0.9 | 2.456414(−9) | 1.276027(−9) | 1.073082(−8) | 9.726932(−8) |
| 1.0 | 3.795042(−9) | 3.310421(−9) | 1.623928(−8) | 2.052464(−8) |
| r | ||||
| 0.0 | 9.591260(−9) | 1.703350(−8) | 3.884529(−8) | 8.745231(−8) |
| 0.1 | 9.011600(−9) | 1.566117(−8) | 3.658467(−8) | 8.075957(−8) |
| 0.2 | 8.431990(−9) | 1.428888(−8) | 3.432415(−8) | 7.406693(−8) |
| 0.3 | 7.852400(−9) | 1.291656(−8) | 3.206350(−8) | 6.737409(−8) |
| 0.4 | 7.272740(−9) | 1.154423(−8) | 2.980293(−8) | 6.068132(−8) |
| 0.5 | 6.693130(−9) | 1.017195(−8) | 2.754225(−8) | 5.398850(−8) |
| 0.6 | 6.113500(−9) | 8.799650(−9) | 2.528165(−8) | 4.729569(−8) |
| 0.7 | 5.533890(−9) | 7.427330(−9) | 2.302113(−8) | 4.060305(−8) |
| 0.8 | 4.954250(−9) | 6.054989(−9) | 2.076049(−8) | 3.391018(−8) |
| 0.9 | 4.374664(−9) | 4.682732(−9) | 1.849986(−8) | 2.721740(−8) |
| 1.0 | 3.795042(−9) | 3.310421(−9) | 1.623928(−8) | 2.052464(−8) |
| GLM | RK | |||
|---|---|---|---|---|
| r | ||||
| 0.0 | 7.590100(−9) | 6.620856(−9) | 3.247856(−8) | 4.104928(−8) |
| 0.1 | 6.451570(−9) | 5.627722(−9) | 2.760677(−8) | 3.489188(−8) |
| 0.2 | 5.313055(−9) | 4.634590(−9) | 2.273503(−8) | 2.873452(−8) |
| 0.3 | 4.174528(−9) | 3.641453(−9) | 1.786324(−8) | 2.257713(−8) |
| 0.4 | 3.036036(−9) | 2.648343(−9) | 1.299143(−8) | 1.641972(−8) |
| 0.5 | 1.897518(−9) | 1.655208(−9) | 8.119643(−9) | 1.026232(−8) |
| 0.6 | 7.590100(−10) | 6.620856(−10) | 3.247856(−9) | 4.104928(−9) |
| 0.7 | 3.795042(−10) | 3.310421(−10) | 1.623928(−9) | 2.052464(−9) |
| 0.8 | 1.518015(−9) | 1.324166(−9) | 6.495721(−9) | 8.209863(−8) |
| 0.9 | 2.656530(−9) | 2.317297(−9) | 1.136750(−8) | 1.436725(−8) |
| 1.0 | 3.795042(−9) | 3.310421(−9) | 1.623928(−8) | 2.052464(−8) |
| r | ||||
| 0.0 | 7.590100(−9) | 6.620856(−9) | 3.247856(−8) | 4.104928(−8) |
| 0.1 | 7.210590(−9) | 6.289804(−9) | 3.085463(−8) | 3.899682(−8) |
| 0.2 | 6.831070(−9) | 5.958752(−9) | 2.923064(−8) | 3.694430(−8) |
| 0.3 | 6.451570(−9) | 5.627722(−9) | 2.760677(−8) | 3.489188(−8) |
| 0.4 | 6.072060(−9) | 5.296667(−9) | 2.598287(−8) | 3.283943(−8) |
| 0.5 | 5.692550(−9) | 4.965625(−9) | 2.435890(−8) | 3.078694(−8) |
| 0.6 | 5.313055(−9) | 4.634590(−9) | 2.273503(−8) | 2.873452(−8) |
| 0.7 | 4.933553(−9) | 4.303548(−9) | 2.111106(−8) | 2.668203(−8) |
| 0.8 | 4.554036(−9) | 3.972496(−9) | 1.948713(−8) | 2.462956(−8) |
| 0.9 | 4.174528(−9) | 3.641453(−9) | 1.786324(−8) | 2.257713(−8) |
| 1.0 | 3.795042(−9) | 3.310421(−9) | 1.623928(−8) | 2.052464(−8) |
© 2019 by the authors. Licensee MDPI, Basel, Switzerland. This article is an open access article distributed under the terms and conditions of the Creative Commons Attribution (CC BY) license (http://creativecommons.org/licenses/by/4.0/).
Share and Cite
Abdul Majid, Z.; Rabiei, F.; Abd Hamid, F.; Ismail, F. Fuzzy Volterra Integro-Differential Equations Using General Linear Method. Symmetry 2019, 11, 381. https://doi.org/10.3390/sym11030381
Abdul Majid Z, Rabiei F, Abd Hamid F, Ismail F. Fuzzy Volterra Integro-Differential Equations Using General Linear Method. Symmetry. 2019; 11(3):381. https://doi.org/10.3390/sym11030381
Chicago/Turabian StyleAbdul Majid, Zanariah, Faranak Rabiei, Fatin Abd Hamid, and Fudziah Ismail. 2019. "Fuzzy Volterra Integro-Differential Equations Using General Linear Method" Symmetry 11, no. 3: 381. https://doi.org/10.3390/sym11030381
APA StyleAbdul Majid, Z., Rabiei, F., Abd Hamid, F., & Ismail, F. (2019). Fuzzy Volterra Integro-Differential Equations Using General Linear Method. Symmetry, 11(3), 381. https://doi.org/10.3390/sym11030381

