A Nonparametric HEWMA-p Control Chart for Variance in Monitoring Processes
Abstract
1. Introduction
2. Design of the Enhanced HEWMA-p Chart
- Step 1: Select a random sample of size () from the process at time t. Compute using (3) and using (5).
- Step 2: The process is declared to be as out-of-control if or and to be in-control if , here LCL and UCL show the lower control limit and upper control limit.
3. The Average Run Length of Enhanced HEWMA-p Control Chart
- Step 1. Setting specified values of n, pv0, and ARLv0.
- Step 2. Evaluation of proposed control chart coefficients and for in-control process
- 2.1. Generate 10,000 possible values of control chart coefficients and .
- 2.2. When the process is in-control, from a binomial distribution with the in-control parameters a random sample of size 2000 is generated, i.e., at time t.
- 2.3. The enhanced HEWMA-p statistic HEWMA-p is computed for each subgroup of size 2000.
- 2.4. The proposed statistic HEWMA-p is plotted and in-control if go to step 2.5 and the run length for out of control process is noted.
- 2.5. Repeat 10,000 times steps 2.2 through 2.3, to compute run lengths. If the average of these run lengths (ARLs) is equal to the specified ARLv0 note the corresponding values of and , and move to step 3, otherwise select other possible values of and , and repeat the procedure from steps 2.2.
- Step 3 Evaluation of ARLv1 for proposed control chart when the process is shifted
- 3.1. Let the out-of-control proportion, pv1, be a proportion of the in-control proportion, pv0. That is, pv1 = c pv0, c ≠ 1, and 0 < pv1 ≤ 1, where c is the amount of shift in the process proportion, pv0.
- 3.2. From binomial distribution, with the in-control parameters, , a random sample of size 2000 is generated, i.e., at time t.
- 3.3. The Enhanced HEWMA-p Statistic HEWMA-p is Computed for Each Subgroup of Size 2000.
- 3.4. Using the Values of and , the proposed statistic HEWMA-p is plotted and in-control if go to step 3.5 and the run length for out of control process is noted.
- 3.5. Repeat 10,000 times steps 3.2 through 3.3, to compute run lengths. The average of run length (ARLv1) and standard error of run length (SERLv1) for each specified amount of shift is computed.
- 2. The ARLv1 and SERLv1 values decrease when pv1 is far away from pv0.
- 3. The ARLv1 and SERLv1 values decrease more rapidly as c increases rather than it decreases. For example, for 0.5n = 4 and pv1 = 0.05 (c = 0.5) from Table 2 we have ARLv1 = 107.03 and SERLv1 = 0.8830, whereas if pv1 = 0.15 (c = 1.5), we have ARLv1 = 47.74 and SERLv1 = 0.4055. We also observed a similar trend from Table 4.
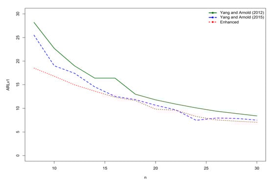
4. Comparative Study
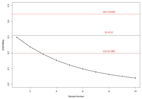
5. Example
6. Concluding Remarks
Author Contributions
Funding
Acknowledgments
Conflicts of Interest
Nomenclature
| ARL | Average run length |
| HEWMA-p | Hybrid exponentially weighted moving average proportion |
| EWMA | Exponentially weighted moving average |
| HEWMA | Hybrid exponentially weighted moving average |
| EWMA–CUSUM | Exponentially weighted moving average–Cumulative sum |
| LCL | Lower control limit |
| UCL | Upper control limit |
| SERL | Standard error of run length |
Appendix A
References
- Chakraborti, S.; Van der Laan, P.; Bakir, S. Nonparametric control charts: An overview and some results. J. Qual. Technol. 2001, 33, 304. [Google Scholar] [CrossRef]
- Chakraborti, S.; Eryilmaz, S. A nonparametric Shewhart-type signed-rank control chart based on runs. Commun. Stat. Simul. Comput. 2007, 36, 335–356. [Google Scholar] [CrossRef]
- Li, S.-Y.; Tang, L.-C.; Ng, S.-H. Nonparametric CUSUM and EWMA control charts for detecting mean shifts. J. Qual. Technol. 2010, 42, 209. [Google Scholar] [CrossRef]
- Yang, S.F.; C. Arnold, B. Signal detection for process with unknown distribution. In Advanced Materials Research; Trans Tech Publications: Zurich, Switzerland, 2012; pp. 1472–1475. [Google Scholar]
- Yang, S.-F.; Arnold, B.C. A simple approach for monitoring business service time variation. Sci. World J. 2014, 2014. [Google Scholar] [CrossRef] [PubMed]
- Avinadav, T.; Perlman, Y.; Cheng, T. Economic design of control charts for monitoring batch manufacturing processes. Int. J. Comput. Integr. Manuf. 2016, 29, 212–221. [Google Scholar] [CrossRef]
- Chen, F.-L.; Huang, H.-J. A synthetic control chart for monitoring process dispersion with sample range. Int. J. Adv. Manuf. Technol. 2005, 26, 842–851. [Google Scholar] [CrossRef]
- Aslam, M.; Khan, N.; Azam, M.; Jun, C.-H. Designing of a new monitoring t-chart using repetitive sampling. Inf. Sci. 2014, 269, 210–216. [Google Scholar] [CrossRef]
- Aslam, M.; Azam, M.; Jun, C.H. A control chart for COM–poisson distribution using resampling and exponentially weighted moving average. Qual. Reliab. Eng. Int. 2016, 32, 727–735. [Google Scholar] [CrossRef]
- Aslam, M.; Azam, M.; Jun, C.-H. A new exponentially weighted moving average sign chart using repetitive sampling. J. Process. Control. 2014, 24, 1149–1153. [Google Scholar] [CrossRef]
- Nyau, S.Y.; Lee, M.H.; Wong, M.D. Optimal statistical design of variable sample size multivariate exponentially weighted moving average control chart based on median run-length. Qual. Technol. Quant. Manag. 2017, 14, 478–495. [Google Scholar] [CrossRef]
- Riaz, M.; Khaliq, Q.-U.-A.; Gul, S. Mixed Tukey EWMA-CUSUM control chart and its applications. Qual. Technol. Quant. Manag. 2017, 14, 378–411. [Google Scholar] [CrossRef]
- Osei-Aning, R.; Abbasi, S.A.; Riaz, M. Mixed EWMA-CUSUM and mixed CUSUM-EWMA modified control charts for monitoring first order autoregressive processes. Qual. Technol. Quant. Manag. 2017, 14, 429–453. [Google Scholar] [CrossRef]
- Yang, S.F.; Arnold, B.C. Monitoring process variance using an ARL-unbiased EWMA-p control chart. Qual. Reliab. Eng. Int. 2015. [Google Scholar] [CrossRef]
- Bakir, S.T.; Reynolds, M.R. A nonparametric procedure for process control based on within-group ranking. Technometrics 1979, 21, 175–183. [Google Scholar] [CrossRef]
- Amin, R.W.; Searcy, A.J. A nonparametric exponentially weighted moving average control scheme. Commun. Stat. Simul. Comput. 1991, 20, 1049–1072. [Google Scholar] [CrossRef]
- Amin, R.W.; Reynolds, M.R., Jr.; Saad, B. Nonparametric quality control charts based on the sign statistic. Commun. Stat. Theory Methods 1995, 24, 1597–1623. [Google Scholar] [CrossRef]
- Qiu, P.; Hawkins, D. A rank-based multivariate CUSUM procedure. Technometrics 2001, 43, 120–132. [Google Scholar] [CrossRef]
- Zamba, K.; Hawkins, D.M. A multivariate change-point model for statistical process control. Technometrics 2006, 48, 539–549. [Google Scholar] [CrossRef]
- Bakir, S.T. A distribution-free Shewhart quality control chart based on signed-ranks. Qual. Eng. 2004, 16, 613–623. [Google Scholar] [CrossRef]
- Bakir, S.T. Distribution-free quality control charts based on signed-rank-like statistics. Commun. Stat. Theory Methods 2006, 35, 743–757. [Google Scholar] [CrossRef]
- Zhou, C.; Zou, C.; Zhang, Y.; Wang, Z. Nonparametric control chart based on change-point model. Stat. Pap. 2009, 50, 13–28. [Google Scholar] [CrossRef]
- Qiu, P.; Zou, C.; Wang, Z. Nonparametric profile monitoring by mixed effects modeling. Technometrics 2010, 52, 265–277. [Google Scholar] [CrossRef]
- Hawkins, D.M.; Deng, Q. A nonparametric change-point control chart. J. Qual. Technol. 2010, 42, 165–173. [Google Scholar] [CrossRef]
- Human, S.; Chakraborti, S.; Smit, C. Nonparametric Shewhart-type sign control charts based on runs. Commun. Stat. Theory Methods 2010, 39, 2046–2062. [Google Scholar] [CrossRef]
- Graham, M.A.; Chakraborti, S.; Human, S.W. A nonparametric exponentially weighted moving average signed-rank chart for monitoring location. Comput. Stat. Data Anal. 2011, 55, 2490–2503. [Google Scholar] [CrossRef]
- Graham, M.A.; Chakraborti, S.; Human, S.W. A nonparametric EWMA sign chart for location based on individual measurements. Qual. Eng. 2011, 23, 227–241. [Google Scholar] [CrossRef]
- Yang, S.F.; Cheng, S.W. A new non-parametric CUSUM mean chart. Qual. Reliab. Eng. Int. 2011, 27, 867–875. [Google Scholar] [CrossRef]
- Yang, S.-F.; Lin, J.-S.; Cheng, S.W. A new nonparametric EWMA sign control chart. Expert Syst. Appl. 2011, 38, 6239–6243. [Google Scholar] [CrossRef]
- Bakir, S.T. A nonparametric shewhart-type quality control chart for monitoring broad changes in a process distribution. Int. J. Qual. Stat. Reliab. 2012, 2012. [Google Scholar] [CrossRef]
- Ghute, V.; Shirke, D. A nonparametric signed-rank control chart for bivariate process location. Qual. Technol. Quant. Manag. 2012, 9, 317–328. [Google Scholar] [CrossRef]
- Yang, S.-F. An improved distribution free EWMA mean chart. Commun. Stat. Simul. Comput. 2016, 45, 1410–1427. [Google Scholar] [CrossRef]
- Lu, S.L. An extended nonparametric exponentially weighted moving average sign control chart. Qual. Reliab. Eng. Int. 2015, 31, 3–13. [Google Scholar] [CrossRef]
- Mukherjee, A.; Sen, R. Comparisons of Shewhart-type rank based control charts for monitoring location parameters of univariate processes. Int. J. Prod. Res. 2015, 53, 4414–4445. [Google Scholar] [CrossRef]
- Riaz, M. A sensitive non-parametric EWMA control chart. J. Chin. Inst. Eng. 2015, 38, 208–219. [Google Scholar] [CrossRef]
- Chakraborty, N.; Chakraborti, S.; Human, S.W.; Balakrishnan, N. A generally weighted moving average signed-rank control chart. Qual. Reliab. Eng. Int. 2016, 32, 2835–2845. [Google Scholar] [CrossRef]
- Haq, A.; Khoo, M.B. A new synthetic control chart for monitoring process mean using auxiliary information. J. Stat. Comput. Simul. 2016, 86, 3068–3092. [Google Scholar] [CrossRef]
- Abid, M.; Nazir, H.Z.; Riaz, M.; Lin, Z. An efficient nonparametric EWMA Wilcoxon signed-rank chart for monitoring location. Qual. Reliab. Eng. Int. 2017, 33, 669–685. [Google Scholar] [CrossRef]
- Petcharat, K. Sensitive non-parametric control charts for monitoring process variation. Int. J. Sci. Technol. Res. 2017, 6, 23–25. [Google Scholar]
- Lu, S.-L. Non parametric double generally weighted moving average sign charts based on process proportion. Commun. Stat. Theory Methods 2018, 47, 2684–2700. [Google Scholar] [CrossRef]
- Haq, A.; Khoo, M.B. A new double sampling control chart for monitoring process mean using auxiliary information. J. Stat. Comput. Simul. 2018, 88, 869–899. [Google Scholar] [CrossRef]
- Yang, S.-F.; Arnold, B.C. A simple approach for monitoring process mean and variance simultaneously. In Frontiers in Statistical Quality Control 11; Springer: Berlin, Germany, 2015; pp. 135–149. [Google Scholar]
- Yang, S.F.; Cheng, T.C.; Hung, Y.C.; W. Cheng, S. A new chart for monitoring service process mean. Qual. Reliab. Eng. Int. 2012, 28, 377–386. [Google Scholar] [CrossRef]
- Lowry, C.A.; Champ, C.W.; Woodall, W.H. The performance of control charts for monitoring process variation. Commun. Stat. Simul. Comput. 1995, 24, 409–437. [Google Scholar] [CrossRef]
- Haq, A. A new hybrid exponentially weighted moving average control chart for monitoring process mean. Qual. Reliab. Eng. Int. 2013, 29, 1015–1025. [Google Scholar] [CrossRef]
- Haq, A. A new hybrid exponentially weighted moving average control chart for monitoring process mean: Discussion. Qual. Reliab. Eng. Int. 2017, 33, 1629–1631. [Google Scholar] [CrossRef]
- Noor-ul-Amin, M.; Khan, S.; Sanaullah, A. HEWMA control chart using auxiliary information. Iran. J. Sci. Technol. Trans. A Sci. 2018, 1–13. [Google Scholar] [CrossRef]
- Aslam, M.; Khan, N.; Aldosari, M.S.; Jun, C.-H. Mixed control charts using EWMA statistics. IEEE Access 2016, 4, 8286–8293. [Google Scholar] [CrossRef]
- Haq, A. A new nonparametric EWMA control chart for monitoring process variability. Qual. Reliab. Eng. Int. 2017, 33, 1499–1512. [Google Scholar] [CrossRef]
- Riaz, M.; Abbasi, S.A. Nonparametric double EWMA control chart for process monitoring. Revist. Colomb. Estad. 2016, 39, 167–184. [Google Scholar] [CrossRef]
- Aslam, M.; Azam, M.; Jun, C.-H. A HEWMA-CUSUM control chart for the Weibull distribution. Commun. Stat. Theory Methods 2018, 47, 5973–5985. [Google Scholar] [CrossRef]
- Aslam, M.; Khan, N.; Jun, C.-H. A hybrid exponentially weighted moving average chart for COM-Poisson distribution. Trans. Inst. Meas. Control 2018, 40, 456–461. [Google Scholar] [CrossRef]


| n | 0.5n | UCL | LCL | ||
|---|---|---|---|---|---|
| 8 | 4 | 0.1892 | 0.0126 | 5.3509 | 5.2421 |
| 10 | 5 | 0.1823 | 0.0252 | 5.5211 | 5.0203 |
| 12 | 6 | 0.1751 | 0.0314 | 5.5216 | 5.0416 |
| 14 | 7 | 0.1699 | 0.0364 | 5.5459 | 5.0498 |
| 16 | 8 | 0.1689 | 0.0430 | 5.8435 | 4.8326 |
| 18 | 9 | 0.1612 | 0.0431 | 5.5045 | 5.1243 |
| 20 | 10 | 0.1573 | 0.0448 | 5.4378 | 5.2352 |
| 22 | 11 | 0.1618 | 0.0525 | 6.1448 | 4.7231 |
| 24 | 12 | 0.1553 | 0.0524 | 5.7484 | 4.9475 |
| 26 | 13 | 0.1566 | 0.0561 | 6.1275 | 4.7436 |
| 28 | 14 | 0.1492 | 0.0541 | 5.5185 | 5.1495 |
| 30 | 15 | 0.1477 | 0.0558 | 5.5422 | 5.1406 |
| n | 0.5n | pv1 = 0.025 | pv1 = 0.050 | pv1 = 0.075 | pv0 = 0.100 | pv1 = 0.125 | pv1 = 0.150 | pv1 = 0.175 | pv1 = 0.200 |
|---|---|---|---|---|---|---|---|---|---|
| 8 | 4 | 35.29 | 107.03 | 227.89 | 370.30 | 108.55 | 47.74 | 27.62 | 18.52 |
| 0.2125 | 0.8830 | 4.1031 | 3.7450 | 1.0118 | 0.4055 | 0.2032 | 0.1169 | ||
| 10 | 5 | 22.51 | 55.24 | 204.00 | 370.36 | 107.43 | 45.55 | 25.30 | 16.80 |
| 0.1067 | 0.4342 | 1.9517 | 3.7060 | 0.9798 | 0.3844 | 0.1749 | 0.0992 | ||
| 12 | 6 | 19.22 | 44.42 | 168.19 | 370.36 | 101.22 | 40.28 | 22.00 | 14.99 |
| 0.0794 | 0.3273 | 1.5208 | 3.5468 | 0.9420 | 0.3305 | 0.1508 | 0.0837 | ||
| 14 | 7 | 16.81 | 37.03 | 141.92 | 370.09 | 98.87 | 36.21 | 19.87 | 13.64 |
| 0.0630 | 0.2572 | 1.3294 | 3.7582 | 0.9133 | 0.2828 | 0.1276 | 0.0716 | ||
| 16 | 8 | 14.15 | 28.21 | 100.20 | 370.12 | 106.17 | 37.22 | 18.71 | 12.36 |
| 0.0473 | 0.1753 | 0.8503 | 3.5983 | 0.9782 | 0.2861 | 0.1260 | 0.0680 | ||
| 18 | 9 | 14.17 | 29.27 | 116.90 | 370.35 | 82.10 | 29.98 | 16.52 | 11.66 |
| 0.0443 | 0.1870 | 1.0169 | 3.6899 | 0.7268 | 0.2192 | 0.0986 | 0.0549 | ||
| 20 | 10 | 13.41 | 27.90 | 114.63 | 370.35 | 74.67 | 26.99 | 15.20 | 9.83 |
| 0.0411 | 0.1772 | 1.0130 | 3.7271 | 0.6372 | 0.1921 | 0.0860 | 0.0478 | ||
| 22 | 11 | 11.07 | 20.20 | 65.97 | 370.20 | 101.72 | 31.72 | 15.01 | 9.60 |
| 0.0285 | 0.1097 | 0.5498 | 3.5711 | 0.9293 | 0.2351 | 0.0942 | 0.0491 | ||
| 24 | 12 | 10.12 | 19.51 | 71.04 | 370.29 | 78.48 | 24.22 | 12.61 | 8.29 |
| 0.0270 | 0.1122 | 0.5978 | 3.6796 | 0.7026 | 0.1885 | 0.0756 | 0.0420 | ||
| 26 | 13 | 9.21 | 17.79 | 57.10 | 370.28 | 90.92 | 24.92 | 11.07 | 7.55 |
| 0.0219 | 0.0912 | 0.4547 | 3.6574 | 0.7930 | 0.1952 | 0.0787 | 0.0420 | ||
| 28 | 14 | 9.69 | 19.33 | 70.98 | 370.34 | 62.21 | 21.78 | 11.49 | 7.28 |
| 0.0231 | 0.1001 | 0.5895 | 3.8081 | 0.5213 | 0.1400 | 0.0600 | 0.0339 | ||
| 30 | 15 | 9.28 | 18.12 | 65.59 | 370.11 | 60.42 | 20.57 | 11.07 | 7.07 |
| 0.0213 | 0.0921 | 0.5349 | 3.8897 | 0.5151 | 0.1291 | 0.0566 | 0.0326 |
| n | 0.5n | UCL | LCL | ||
|---|---|---|---|---|---|
| 8 | 4 | 0.4404 | 0.1691 | 5.5158 | 5.1435 |
| 10 | 5 | 0.4342 | 0.1873 | 5.8915 | 4.9485 |
| 12 | 6 | 0.4137 | 0.1911 | 5.4695 | 5.2405 |
| 14 | 7 | 0.4049 | 0.1990 | 5.4499 | 5.2481 |
| 16 | 8 | 0.4040 | 0.2094 | 5.7765 | 5.0350 |
| 18 | 9 | 0.3931 | 0.2111 | 5.4839 | 5.2395 |
| 20 | 10 | 0.3924 | 0.2186 | 5.7395 | 5.0565 |
| 22 | 11 | 0.3883 | 0.2225 | 5.7495 | 5.0485 |
| 24 | 12 | 0.3803 | 0.2230 | 5.4635 | 5.2414 |
| 26 | 13 | 0.3815 | 0.2287 | 5.7725 | 5.0515 |
| 28 | 14 | 0.3925 | 0.2352 | 6.7985 | 4.7655 |
| 30 | 15 | 0.3887 | 0.2376 | 6.7485 | 4.7465 |
| n | 0.5n | pv1 = 0.20 | pv1 = 0.225 | pv1 = 0.250 | pv1 = 0.275 | pv0 = 0.300 | pv1 = 0.325 | pv1 = 0.350 | pv1 = 0.375 | pv1 = 0.400 |
|---|---|---|---|---|---|---|---|---|---|---|
| 8 | 4 | 35.28 | 60.05 | 118.01 | 245.61 | 370.90 | 226.17 | 107.71 | 61.38 | 38.35 |
| 0.2524 | 0.4932 | 1.0515 | 2.3753 | 3.8363 | 2.2024 | 0.9818 | 0.5119 | 0.3029 | ||
| 10 | 5 | 26.68 | 43.27 | 84.94 | 188.98 | 370.31 | 280.15 | 124.92 | 63.86 | 38.04 |
| 0.1754 | 0.3237 | 0.7445 | 1.7778 | 3.5587 | 2.7424 | 1.1877 | 0.5410 | 0.2896 | ||
| 12 | 6 | 25.94 | 43.63 | 88.21 | 218.61 | 370.36 | 193.66 | 82.10 | 44.11 | 27.30 |
| 0.1651 | 0.3323 | 0.7546 | 2.1131 | 3.7020 | 1.8944 | 0.7278 | 0.3442 | 0.1879 | ||
| 14 | 7 | 22.86 | 38.41 | 77.95 | 203.34 | 370.12 | 180.32 | 72.49 | 38.13 | 23.90 |
| 0.1408 | 0.2824 | 0.6669 | 1.9692 | 3.6434 | 1.7636 | 0.6397 | 0.2950 | 0.1580 | ||
| 16 | 8 | 19.08 | 30.41 | 59.02 | 155.32 | 370.12 | 213.84 | 80.71 | 40.05 | 23.99 |
| 0.1092 | 0.2102 | 0.4795 | 1.4364 | 3.6315 | 2.0796 | 0.7144 | 0.3078 | 0.1549 | ||
| 18 | 9 | 18.64 | 29.35 | 61.47 | 169.83 | 370.12 | 161.54 | 62.54 | 31.54 | 19.87 |
| 0.0991 | 0.1991 | 0.5082 | 1.6226 | 3.5624 | 1.5162 | 0.5296 | 0.2273 | 0.1222 | ||
| 20 | 10 | 16.21 | 25.20 | 49.94 | 139.81 | 370.11 | 185.81 | 65.54 | 29.22 | 19.90 |
| 0.0827 | 0.1632 | 0.3935 | 1.3342 | 3.6760 | 1.8122 | 0.5570 | 0.2378 | 0.1183 | ||
| 22 | 11 | 15.02 | 23.56 | 45.65 | 128.87 | 370.29 | 176.40 | 61.05 | 27.67 | 16.29 |
| 0.0716 | 0.1513 | 0.3694 | 1.1736 | 3.5888 | 1.6707 | 0.5079 | 0.2084 | 0.1034 | ||
| 24 | 12 | 14.60 | 23.50 | 46.43 | 141.41 | 370.11 | 132.92 | 49.45 | 22.94 | 16.06 |
| 0.0683 | 0.1484 | 0.3717 | 1.2653 | 3.5991 | 1.3040 | 0.4106 | 0.1661 | 0.0836 | ||
| 26 | 13 | 13.54 | 20.49 | 39.45 | 115.26 | 370.11 | 161.59 | 52.72 | 26.01 | 15.38 |
| 0.0593 | 0.1236 | 0.3016 | 1.0572 | 3.6564 | 1.5568 | 0.4251 | 0.1730 | 0.0858 | ||
| 28 | 14 | 12.08 | 17.50 | 32.06 | 88.77 | 370.20 | 356.82 | 88.25 | 29.94 | 13.28 |
| 0.0489 | 0.0966 | 0.2331 | 0.7514 | 3.6537 | 3.4724 | 0.7457 | 0.2628 | 0.1168 | ||
| 30 | 15 | 11.49 | 16.59 | 30.72 | 83.96 | 370.08 | 326.41 | 79.90 | 27.51 | 13.22 |
| 0.0457 | 0.0902 | 0.2163 | 0.7208 | 3.6923 | 3.1849 | 0.6792 | 0.2246 | 0.1001 |
| n | 0.5n | pv0 = 0.1 | pv0 = 0.3 | |||||||
|---|---|---|---|---|---|---|---|---|---|---|
| Yang and Arnold [4] | Yang and Arnold [14] | Enhanced | Yang and Arnold [4] | Yang and Arnold [14] | Enhanced | Yang and Arnold [4] | Yang and Arnold [14] | Enhanced | ||
| pv1 = 0.2 | pv1 = 0.2 | pv1 = 0.2 | pv1 = 0.2 | pv1 = 0.2 | pv1 = 0.2 | pv1 = 0.4 | pv1 = 0.4 | pv1 = 0.4 | ||
| 8 | 4 | 28.2 | 25.50 | 18.52 | 41.90 | 43.59 | 35.28 | 50.50 | 47.55 | 38.35 |
| 10 | 5 | 22.7 | 19.02 | 16.80 | 33.70 | 34.06 | 26.68 | 40.80 | 40.29 | 38.04 |
| 12 | 6 | 19 | 17.43 | 14.99 | 28.20 | 31.24 | 25.94 | 34.20 | 31.36 | 27.30 |
| 14 | 7 | 16.4 | 14.54 | 13.64 | 24.20 | 25.69 | 22.86 | 29.40 | 28.23 | 23.90 |
| 16 | 8 | 16.4 | 12.55 | 12.36 | 21.30 | 22.42 | 19.08 | 25.80 | 24.58 | 23.99 |
| 18 | 9 | 13 | 11.85 | 11.66 | 19.00 | 19.96 | 18.64 | 23.00 | 22.13 | 19.87 |
| 20 | 10 | 11.8 | 10.67 | 9.83 | 17.20 | 17.27 | 16.21 | 20.70 | 20.96 | 19.90 |
| 22 | 11 | 10.9 | 9.67 | 9.60 | 15.70 | 17.92 | 15.02 | 18.90 | 17.03 | 16.29 |
| 24 | 12 | 10.1 | 7.47 | 8.29 | 14.50 | 14.77 | 14.90 | 17.40 | 17.25 | 15.96 |
| 26 | 13 | 9.4 | 7.95 | 7.55 | 13.40 | 14.07 | 13.54 | 16.10 | 15.62 | 15.38 |
| 28 | 14 | 8.9 | 7.87 | 7.28 | 12.60 | 13.45 | 12.08 | 15.10 | 14.26 | 13.28 |
| 30 | 15 | 8.4 | 7.51 | 7.07 | 11.80 | 11.98 | 11.59 | 14.10 | 14.23 | 13.22 |
| t | X1 | X2 | X3 | X4 | X5 | X6 | X7 | X8 | X9 | X10 | Vt | EWMApt | HEWMApt |
|---|---|---|---|---|---|---|---|---|---|---|---|---|---|
| 1 | 3.54 | 0.01 | 1.33 | 7.27 | 5.52 | 0.09 | 1.84 | 1.04 | 2.91 | 0.63 | 0 | 0.2480 | 0.2976 |
| 2 | 0.86 | 1.61 | 1.15 | 0.96 | 0.54 | 3.05 | 4.11 | 0.63 | 2.37 | 0.05 | 0 | 0.1984 | 0.2381 |
| 3 | 1.45 | 0.19 | 4.18 | 0.18 | 0.02 | 0.70 | 0.80 | 0.97 | 3.60 | 2.94 | 0 | 0.1587 | 0.1905 |
| 4 | 1.37 | 0.14 | 1.54 | 1.58 | 0.45 | 6.01 | 4.59 | 1.74 | 3.92 | 4.82 | 0 | 0.1270 | 0.1524 |
| 5 | 3.00 | 2.46 | 0.06 | 1.80 | 3.25 | 2.13 | 2.22 | 1.37 | 2.13 | 0.25 | 0 | 0.1016 | 0.1219 |
| 6 | 1.59 | 3.88 | 0.39 | 0.54 | 1.58 | 1.70 | 0.68 | 1.25 | 6.83 | 0.31 | 0 | 0.0813 | 0.0975 |
| 7 | 5.01 | 1.85 | 3.10 | 1.00 | 0.09 | 1.16 | 2.69 | 2.79 | 1.84 | 2.62 | 0 | 0.0650 | 0.0780 |
| 8 | 4.96 | 0.55 | 1.43 | 4.12 | 4.06 | 1.42 | 1.43 | 0.86 | 0.67 | 0.13 | 0 | 0.0520 | 0.0624 |
| 9 | 1.08 | 0.65 | 0.91 | 0.88 | 2.02 | 2.88 | 1.76 | 2.87 | 1.97 | 0.62 | 0 | 0.0416 | 0.0499 |
| 10 | 4.56 | 0.44 | 5.61 | 2.79 | 1.73 | 2.46 | 0.53 | 1.73 | 7.02 | 2.13 | 0 | 0.0333 | 0.0399 |
© 2019 by the author. Licensee MDPI, Basel, Switzerland. This article is an open access article distributed under the terms and conditions of the Creative Commons Attribution (CC BY) license (http://creativecommons.org/licenses/by/4.0/).
Share and Cite
Aslam, M.; Rao, G.S.; AL-Marshadi, A.H.; Jun, C.-H. A Nonparametric HEWMA-p Control Chart for Variance in Monitoring Processes. Symmetry 2019, 11, 356. https://doi.org/10.3390/sym11030356
Aslam M, Rao GS, AL-Marshadi AH, Jun C-H. A Nonparametric HEWMA-p Control Chart for Variance in Monitoring Processes. Symmetry. 2019; 11(3):356. https://doi.org/10.3390/sym11030356
Chicago/Turabian StyleAslam, Muhammad, G. Srinivasa Rao, Ali Hussein AL-Marshadi, and Chi-Hyuck Jun. 2019. "A Nonparametric HEWMA-p Control Chart for Variance in Monitoring Processes" Symmetry 11, no. 3: 356. https://doi.org/10.3390/sym11030356
APA StyleAslam, M., Rao, G. S., AL-Marshadi, A. H., & Jun, C.-H. (2019). A Nonparametric HEWMA-p Control Chart for Variance in Monitoring Processes. Symmetry, 11(3), 356. https://doi.org/10.3390/sym11030356

