Fractional Telegraph Equation and Its Solution by Natural Transform Decomposition Method
Abstract
1. Introduction
2. Preliminaries
3. Natural Transform Adomian Decomposition Method Linear and Nonlinear Telegraph Equations (NTADM)
4. Convergence Analysis
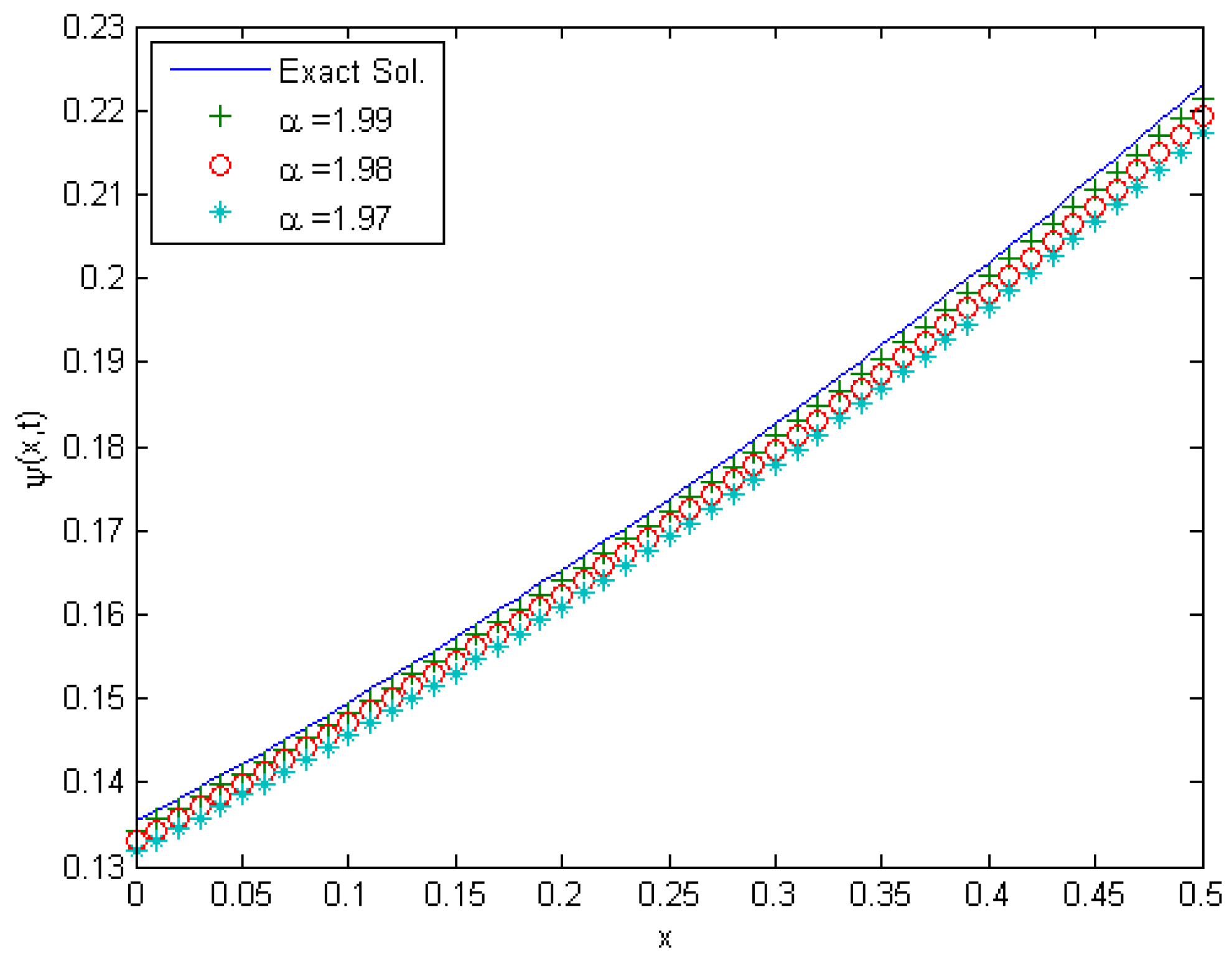
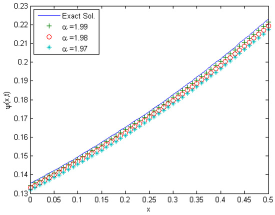
5. Numerical Examples
6. Numerical Result
7. Conclusions
Author Contributions
Funding
Conflicts of Interest
References
- Hosseini, V.R.; Chen, W.; Avazzadeh, Z. Numerical solution of fractional telegraph equation by using radial basis functions. Eng. Anal. Bound. Elem. 2014, 38, 31–39. [Google Scholar] [CrossRef]
- Kumar, S. A new analytical modelling for fractional telegraph equation via Laplace transform. Appl. Math. Model. 2014, 38, 3154–3163. [Google Scholar] [CrossRef]
- Alawad, F.A.; Yousif, E.A.; Arbab, A.I. A new technique of Laplace variational iteration method for solving space-time fractional telegraph equations. Int. J. Differ. Equ. 2013, 2013, 256593. [Google Scholar] [CrossRef]
- Dhunde, R.R.; Waghmare, G. Double Laplace transform method for solving space and time fractional telegraph equations. Int. J. Math. Math. Sci. 2016, 2016, 1414595. [Google Scholar] [CrossRef]
- Biazar, J.; Shafiof, S. A simple algorithm for calculating Adomian polynomials. Int. J. Contemp. Math. Sci. 2007, 2, 975–982. [Google Scholar] [CrossRef]
- Garg, M.; Sharma, A. Solution of space-time fractional telegraph equation by Adomian decomposition method. J. Inequal. Spec. Funct. 2011, 2, 1–7. [Google Scholar]
- Kashuri, A.; Fundo, A.; Kreku, M. Mixture of a new integral transform and homotopy perturbation method for solving nonlinear partial differential equations. Adv. Pure Math. 2013, 3, 317. [Google Scholar] [CrossRef]
- Xu, H.; Liao, S.-J.; You, X.-C. Analysis of nonlinear fractional partial differential equations with the homotopy analysis method. Commun. Nonlinear Sci. Numer. Simul. 2009, 14, 1152–1156. [Google Scholar] [CrossRef]
- Saadatmandi, A.; Dehghan, M. Numerical solution of hyperbolic telegraph equation using the Chebyshev tau method. Numer. Methods Part. Differ. Equ. 2010, 26, 239–252. [Google Scholar] [CrossRef]
- Chen, J.; Liu, F.; Anh, V. Analytical solution for the time-fractional telegraph equation by the method of separating variables. J. Math. Anal. Appl. 2008, 338, 1364–1377. [Google Scholar] [CrossRef]
- Wazwaz, A.-M. Partial Differential Equations And Solitary Waves Theory; Springer Science & Business Media: Berlin/Heidelberg, Germany, 2010. [Google Scholar]
- Belgacem, F.B.M.; Silambarasan, R. Theory of natural transform. Math. Eng. Sci. Aerosp. J. 2012, 3, 99–124. [Google Scholar]
- Maitama, S. A hybrid natural transform homotopy perturbation method for solving fractional partial differential equations. Int. J. Differ. Equ. 2016, 2016, 9207869. [Google Scholar] [CrossRef]
- Shah, K.; Khalil, H.; Khan, R.A. Analytical solutions of fractional order diffusion equations by natural transform method. Iranian J. Sci. Technol. Trans. A Sci. 2016, 1–12. [Google Scholar] [CrossRef]
- Podlubny, I. Fractional Differential Equations: An Introduction to Fractional Derivatives, Fractional Differential Equations, to Methods of Their Solution and Some of Their Applications; Elsevier: Amsterdam, The Netherlands, 1998; Volume 198. [Google Scholar]
- El-Kalla, I. Convergence of the Adomian method applied to a class of nonlinear integral equations. Appl. Math. Lett. 2008, 21, 372–376. [Google Scholar] [CrossRef]




| t | Exact Solution | Approximate Sol | |
|---|---|---|---|
| 0.0 | 1.648721270700128 | 1.648721270700128 | 0.0 |
| 0.5 | 1.0 | 1.000000000040401 | 4.040101586 |
| 1.0 | 0.606530659712633 | 0.606530742852590 | 8.313995659 |
| 1.5 | 0.367879441171442 | 0.367886690723836 | 7.249552393 |
| 2.0 | 0.223130160148429 | 0.223303762933655 | 1.569783692 |
| t | |||
|---|---|---|---|
| 0.0 | 1.648721270700128 | 1.648721270700128 | 1.648721270700128 |
| 0.5 | 1.002243362235993 | 1.004498274095028 | 1.006764389796932 |
| 1.0 | 0.609569757949665 | 0.612585971492061 | 0.615579284214978 |
| 1.5 | 0.369222108754806 | 0.371788163947318 | 0.370522335669580 |
| 2.0 | 0.221291547575669 | 0.219269844467107 | 0.217240584657229 |
| t | Exact Solution | |||
|---|---|---|---|---|
| 0.0 | 0.5 | 0.5 | 0.5 | 1.5 |
| 5.0 | 0.824360635350064 | 0.830817752645242 | 0.837755999175080 | 0.845202109327201 |
| 1.0 | 1.359140914229523 | 1.378259288907402 | 1.398076433466764 | 1.418592017094073 |
| 1.5 | 2.240844535169032 | 2.276244404149126 | 2.312171661003479 | 2.348587393416824 |
| 2.0 | 3.694528049465325 | 3.748855797997422 | 3.803171995755493 | 3.857406067787722 |
© 2019 by the authors. Licensee MDPI, Basel, Switzerland. This article is an open access article distributed under the terms and conditions of the Creative Commons Attribution (CC BY) license (http://creativecommons.org/licenses/by/4.0/).
Share and Cite
Eltayeb, H.; Abdalla, Y.T.; Bachar, I.; Khabir, M.H. Fractional Telegraph Equation and Its Solution by Natural Transform Decomposition Method. Symmetry 2019, 11, 334. https://doi.org/10.3390/sym11030334
Eltayeb H, Abdalla YT, Bachar I, Khabir MH. Fractional Telegraph Equation and Its Solution by Natural Transform Decomposition Method. Symmetry. 2019; 11(3):334. https://doi.org/10.3390/sym11030334
Chicago/Turabian StyleEltayeb, Hassan, Yahya T. Abdalla, Imed Bachar, and Mohamed H. Khabir. 2019. "Fractional Telegraph Equation and Its Solution by Natural Transform Decomposition Method" Symmetry 11, no. 3: 334. https://doi.org/10.3390/sym11030334
APA StyleEltayeb, H., Abdalla, Y. T., Bachar, I., & Khabir, M. H. (2019). Fractional Telegraph Equation and Its Solution by Natural Transform Decomposition Method. Symmetry, 11(3), 334. https://doi.org/10.3390/sym11030334

