Uncertainty Measurement for a Set-Valued Information System: Gaussian Kernel Method
Abstract
:1. Introduction
1.1. Research Background and Related Works
1.2. Motivation and Inspiration
2. Preliminaries
2.1. Fuzzy Sets and Fuzzy Relations
- (1)
- Commutativity:
- (2)
- Associativity:
- (3)
- Monotonicity:
- (4)
- Boundary condition:
- (1)
- Reflexivity:
- (2)
- Symmetry:
- (3)
- T-transitivity:
2.2. Set-Valued Information Systems
3. The Distance between Two Objects in a SIS
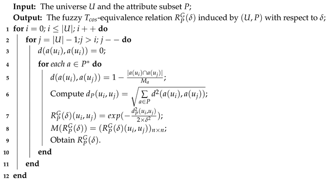
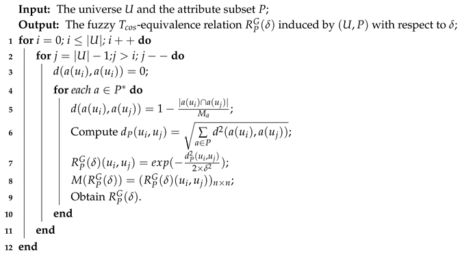
4. The Fuzzy -Equivalence Relation Induced by a SIS
| Algorithm 1: The fuzzy -equivalence relation. |
![]() |
5. Information Structures in a SIS
5.1. Some Concepts of Information Structures in a SIS
- (1)
- is said to be dependent of , if , , which is written as .
- (2)
- is said to be strictly dependent of , if and , which is written as .
5.2. Properties of Information Structures in a SIS
- (1)
- If , then , ;
- (2)
- If , then , .
6. Measuring Uncertainty of a SIS
6.1. Granulation Measures for a SIS
- (1)
- Non-negativity: , ;
- (2)
- Invariability: , if , then ;
- (3)
- Monotonicity: , if , then .
- (1)
- If , then ;
- (2)
- If , then .
- (1)
- If , then , .
- (2)
- If , then , .
6.2. Entropy Measures for a SIS
- (1)
- If , then , ;
- (2)
- If , then , .
- (1)
- If , then ;
- (2)⊆
- If , then .
- (1)
- If , then , ;
- (2)
- If , then , .
6.3. Information Amounts in a SIS
- (1)
- If , then ;
- (2)
- If , then .
- (1)
- If , then , ;
- (2)
- If , then , .
- (1)
- If monotonicity is only considered, then δ-information granulation and δ-rough entropy are both monotonically increasing with the δ value growth, that means the uncertainty of four subsystems increase as the δ value increases. Meanwhile, δ-information amount and δ-information entropy are both monotonically decreasing with δ value growth, That means the uncertainty of four subsystem decreases as the δ value increases (see Figure 1, Figure 2, Figure 3 and Figure 4).
- (2)
- If , consider δ-information granulation and δ-rough entropy, is got. That shows the larger the subsystem, the smaller the measured value. Pay attention to δ-information amount and δ-information entropy, we have That displays the measured value of the subsystem is larger than the smaller one (see Figure 5).
6.4. Effectiveness Analysis
6.4.1. Dispersion Analysis
- (1)
- if monotonicity is only needed, then G, , H and E can evaluate uncertainty of a SIS.
- (2)
- if the dispersion degree is only considered, then E has better performance for measuring uncertainty of a SIS.
6.4.2. Association Analysis
7. Conclusions
Author Contributions
Funding
Conflicts of Interest
References
- Zadeh, L.A. Fuzzy logic equals computing with words. IEEE Trans. Fuzzy Syst. 1996, 4, 103–111. [Google Scholar] [CrossRef]
- Zadeh, L.A. Toward a theory of fuzzy information granulation and its centrality in human reasoning and fuzzy logic. Fuzzy Sets Syst. 1997, 90, 111–127. [Google Scholar] [CrossRef]
- Zadeh, L.A. Some reflections on soft computing, granular computing and their roles in the conception, design and utilization of information intelligent systems. Soft Comput. 1998, 2, 23–25. [Google Scholar] [CrossRef]
- Zadeh, L.A. A new direction in AI-Toward a computational theory of perceptions. AI Mag. 2001, 22, 73–84. [Google Scholar]
- Lin, T.Y. Granular computing on binary relations I: Data mining and neighborhood systems. In Rough Sets in Knowledge Discovery; Skowron, A., Polkowski, L., Eds.; Physica-Verlag: Heidelber, Germany, 1998; pp. 107–121. [Google Scholar]
- Lin, T.Y. Granular computing on binary relations II: Rough set representations and belief functions. In Rough Sets In Knowledge Discovery; Skowron, A., Polkowski, L., Eds.; Physica-Verlag: Heidelber, Germany, 1998; pp. 121–140. [Google Scholar]
- Lin, T.Y. Granular computing: Fuzzy logic and rough sets. In Computing with Words in Information Intelligent Systems; Zadeh, L.A., Kacprzyk, J., Eds.; Physica-Verlag: Heidelber, Germany, 1999; pp. 183–200. [Google Scholar]
- Yao, Y.Y. Information granulation and rough set approximation. Int. J. Intell. Syst. 2001, 16, 87–104. [Google Scholar] [CrossRef]
- Yao, Y.Y. Probabilistic approaches to rough sets. Expert Syst. 2003, 20, 287–297. [Google Scholar] [CrossRef]
- Yao, Y.Y. Perspectives of Granular computing. In Proceedings of the 2005 IEEE International Conference on Granular Computing, Beijing, China, 25–27 July 2005; Volume 1, pp. 85–90. [Google Scholar]
- Pawlak, Z. Rough sets. Int. J. Comput. Inf. Sci. 1982, 11, 341–356. [Google Scholar] [CrossRef]
- Zadeh, L.A. Fuzzy sets. Inf. Control 1965, 8, 338–353. [Google Scholar] [CrossRef]
- Ma, J.; Zhang, W.; Leung, Y.; Song, X. Granular computing and dual Galois connection. Inf. Sci. 2007, 177, 5365–5377. [Google Scholar] [CrossRef]
- Wu, W.Z.; Leung, Y.; Mi, J. Granular computing and knowledge reduction in formal contexts. IEEE Trans. Knowl. Data Eng. 2009, 21, 1461–1474. [Google Scholar]
- Zhang, L.; Zhang, B. Theory and Application of Problem Solving-Theory and Application of Granular Computing in Quotient Spaces; Tsinghua University Publishers: Beijing, China, 2007. [Google Scholar]
- Pawlak, Z. Rough Sets: Theoretical Aspects of Reasoning about Data; Kluwer Academic Publishers: Dordrecht, The Netherlands, 1991. [Google Scholar]
- Pawlak, Z.; Skowron, A. Rough sets and boolean reasoning. Inf. Sci. 2007, 177, 41–73. [Google Scholar] [CrossRef]
- Pawlak, Z.; Skowron, A. Rough sets: Some extensions. Inf. Sci. 2007, 177, 28–40. [Google Scholar] [CrossRef]
- Pawlak, Z.; Skowron, A. Rudiments of rough sets. Inf. Sci. 2007, 177, 3–27. [Google Scholar] [CrossRef]
- Cornelis, C.; Jensen, R.; Martin, G.H.; Slezak, D. Attribute selection with fuzzy decision reducts. Inf. Sci. 2010, 180, 209–224. [Google Scholar] [CrossRef]
- Dubois, D.; Prade, H. Rough fuzzy sets and fuzzy rough sets. Int. J. Gen. Syst. 1990, 17, 191–209. [Google Scholar] [CrossRef]
- Swiniarski, R.W.; Skowron, A. Rough set methods in feature selection and recognition. Pattern Recognit. Lett. 2003, 24, 833–849. [Google Scholar] [CrossRef]
- Slowinski, R.; Vanderpooten, D. A generalized definition of rough approximations based on setilarity. IEEE Trans. Snowledge Data Eng. 2000, 12, 331–336. [Google Scholar] [CrossRef]
- Greco, S.; Inuiguchi, M.; Slowinski, R. Fuzzy rough sets and multiplepremise gradual decision rules. Int. J. Approx. Reason. 2006, 41, 179–211. [Google Scholar] [CrossRef]
- Yao, Y.Y. Relational interpretations of neighborhood operators and rough set approximation operators. Inf. Sci. 1998, 111, 239–259. [Google Scholar] [CrossRef]
- Blaszczynski, J.; Slowinski, R.; Szelag, M. Sequential covering rule induction algorithm for variable consistency rough set approaches. Inf. Sci. 2011, 181, 987–1002. [Google Scholar] [CrossRef]
- Kryszkiewicz, M. Rules in incomplete information systems. Inf. Sci. 1999, 113, 271–292. [Google Scholar] [CrossRef]
- Mi, J.S.; Leung, Y.; Wu, W.Z. An uncertainty measure in partition-based fuzzy rough sets. Int. J. Gen. Syst. 2005, 34, 77–90. [Google Scholar] [CrossRef]
- Wierman, M.J. Measuring uncertainty in rough set theory. Int. J. Gen. Syst. 1999, 28, 283–297. [Google Scholar] [CrossRef]
- Hu, Q.H.; Pedrycz, W.; Yu, D.R.; Lang, J. Selecting discrete and continuous features based on neighborhood decision error minimization. IEEE Trans. Syst. Man Cybern. Part B 2010, 40, 137–150. [Google Scholar]
- Jensen, R.; Shen, Q. Semantics-preserving dimensionality reduction: Rough and fuzzy rough based approaches. IEEE Trans. Snowledge Data Eng. 2004, 16, 1457–1471. [Google Scholar] [CrossRef]
- Jensen, R.; Shen, Q. New approaches to fuzzy-rough feature selection. IEEE Trans. Fuzzy Syst. 2009, 17, 824–838. [Google Scholar] [CrossRef]
- Qian, Y.H.; Liang, J.Y.; Pedrycz, W.; Dang, C.Y. An accelerator for attribute reduction in rough set theory. Artif. Intell. 2010, 174, 597–618. [Google Scholar] [CrossRef]
- Thangavel, S.; Pethalakshmi, A. Dimensionality reduction based on rough set theory: A review. Appl. Soft Comput. 2009, 9, 1–12. [Google Scholar] [CrossRef]
- Xie, S.D.; Wang, Y.X. Construction of tree network with limited delivery latency in homogeneous wireless sensor networks. Wirel. Pers. Commun. 2014, 78, 231–246. [Google Scholar] [CrossRef]
- Cament, L.A.; Castillo, L.E.; Perez, J.P.; Galdames, F.J.; Perez, C.A. Fusion of local normalization and Gabor entropy weighted features for face identification. Pattern Recognit 2014, 47, 568–577. [Google Scholar] [CrossRef]
- Gu, B.; Sheng, V.S.; Wang, Z.J.; Ho, D.; Osman, S. Incremental learning for v-support vector regression. Neural Netw. 2015, 67, 140–150. [Google Scholar] [CrossRef] [PubMed]
- Navarrete, J.; Viejo, D.; Cazorla, M. Color smoothing for RGB-D data using entropy information. Appl. Soft Comput. 2016, 46, 361–380. [Google Scholar] [CrossRef]
- Hempelmann, C.F.; Sakoglu, U.; Gurupur, V.P.; Jampana, S. An entropy-based evaluation method for knowledge bases of medical information systems. Expert Syst. Appl. 2016, 46, 262–273. [Google Scholar] [CrossRef]
- Delgado, A.; Romero, I. Environmental conflict analysis using an integrated grey clustering and entropy-weight method: A case study of a mining project in Peru. Environ. Model. Softw. 2016, 77, 108–121. [Google Scholar] [CrossRef]
- Bianucci, D.; Cattaneo, G. Information entropy and granulation co-entropy of partitions and coverings: A summary. Trans. Rough Sets 2009, 10, 15–66. [Google Scholar]
- Bianucci, D.; Cattaneo, G.; Ciucci, D. Entropies and cocentropies of coverings with application to incomplete information systems. Fundam. Informaticae 2007, 75, 77–105. [Google Scholar]
- Beaubouef, T.; Petry, F.E.; Arora, G. Information-theoretic measures of uncertainty for rough sets and rough relational databases. Inf. Sci. 1998, 109, 185–195. [Google Scholar] [CrossRef]
- Liang, J.Y.; Shi, Z.Z. The information entropy, rough entropy and knowledge granulation in rough set theory. Int. J. Uncertain. Fuzziness Knowl.-Based Syst. 2004, 12, 37–46. [Google Scholar] [CrossRef]
- Liang, J.Y.; Shi, Z.Z.; Li, D.Y.; Wierman, M.J. The information entropy, rough entropy and knowledge granulation in incomplete information systems. Int. J. Gen. Syst. 2006, 35, 641–654. [Google Scholar] [CrossRef]
- Dai, J.H.; Tian, H.W. Entropy measures and granularity measures for set-valued information systems. Inf. Sci. 2013, 240, 72–82. [Google Scholar] [CrossRef]
- Qian, Y.H.; Liang, J.Y.; Wu, W.Z.; Dang, C.Y. Knowledge structure, knowledge granulation and knowledge distance in a knowledge base. Int. J. Approx. Reason. 2009, 50, 174–188. [Google Scholar] [CrossRef]
- Qian, Y.H.; Liang, J.Y.; Wu, W.Z.; Dang, C.Y. Information granularity in fuzzy binary GrC model. IEEE Trans. Fuzzy Syst. 2011, 19, 253–264. [Google Scholar] [CrossRef]
- Xu, W.H.; Zhang, X.Y.; Zhang, W.X. Knowledge granulation, knowledge entropy and knowledge uncertainty measure in ordered information systems. Appl. Soft Comput. 2009, 9, 1244–1251. [Google Scholar]
- Dai, J.H.; Wei, B.J.; Zhang, X.H.; Zhang, Q.L. Uncertainty measurement for incomplete interval-valued information systems based on α-weak similarity. Knowl.-Based Syst. 2017, 136, 159–171. [Google Scholar] [CrossRef]
- Xie, N.X.; Liu, M.; Li, Z.W.; Zhang, G.Q. New measures of uncertainty for an interval-valued information system. Inf. Sci. 2019, 470, 156–174. [Google Scholar] [CrossRef]
- Zhang, G.Q.; Li, Z.W.; Wu, W.Z.; Liu, X.F.; Xie, N.X. Information structures and uncertainty measures in a fully fuzzy information system. Int. J. Approx. Reason. 2018, 101, 119–149. [Google Scholar] [CrossRef]
- Moser, B. On representing and generating kernels by fuzzy equivalence relations. J. Mach. Learn. Res. 2006, 7, 2603–2630. [Google Scholar]
- Zeng, A.P.; Li, T.R.; Liu, D.; Zhang, J.B.; Chen, H.M. A fuzzy rough set approach for incremental feature selection on hybrid information systems. Fuzzy Sets Syst. 2015, 258, 39–60. [Google Scholar] [CrossRef]
- Moser, B. On the T-transitivity of kernels. Fuzzy Sets Syst. 2006, 157, 1787–1796. [Google Scholar] [CrossRef]
- Yao, Y.Y.; Noroozi, N. A unified framework for set-based computations. In Proceedings of the 3rd International Workshop on Rough Sets and Soft Computing, San Jose, CA, USA, 10–12 November 1994; pp. 10–12. [Google Scholar]
- Shawe-Tayor, J.; Cristianini, N. Kernel Methods for Patternn Analysis; Cambridge University Press: Cambridge, UK, 2004. [Google Scholar]
- Yang, S.; Yan, S.; Zhang, C.; Tang, X. Bilinear analysis for kernel selection and nonlinear feature extraction. IEEE Trans. Neural Netw. 2007, 18, 1442–1452. [Google Scholar] [CrossRef]
- Hu, Q.H.; Xie, Z.X.; Yu, D.R. Hybrid attribute reduction based on a novel fuzzy-rough model and information granulation. Pattern Recognit. 2007, 40, 3509–3521. [Google Scholar] [CrossRef]
- Hu, Q.H.; Zhang, L.; Chen, D.G.; Pedrycz, W.; Yu, D.R. Gaussian kernel based fuzzy rough sets: Model, uncertainty measures and applications. Int. J. Approx. Reason. 2010, 51, 453–471. [Google Scholar] [CrossRef]
- Liang, J.Y.; Qu, K.S. Information measures of roughness of knowledge and rough sets for information systems. J. Syst. Sci. Syst. Eng. 2002, 10, 95–103. [Google Scholar]






| Price () | Mileage () | Size () | Max-Speed () | |
|---|---|---|---|---|
| {high} | {high} | {full} | {high,mid,low} | |
| {mid,low} | {high,mid,low} | {compact} | {high,mid,low} | |
| {high,low} | {high} | {full} | {high} | |
| {high} | {high,low} | {compact} | {low} | |
| {mid} | {high,mid} | {full} | {high,low} | |
| {high,mid} | {mid} | {compact} | {high} | |
| {high,mid,low} | {high} | {full} | {high,low} | |
| {low} | {high,low} | {compact} | {low} | |
| {high} | {mid} | {full} | {low} | |
| {high} | {high,mid,low} | {compact} | {mid} |
| r | ||||
|---|---|---|---|---|
| 1 | ||||
| −0.99447 | 1 | |||
| 0.99444 | −1 | 1 | ||
| −1 | 0.99446 | 0.99446 | 1 |
| G | E | H | ||
|---|---|---|---|---|
| G | CPC | |||
| E | HNC | CPC | ||
| HPC | CNC | CPC | ||
| H | CNC | HPC | HPC | CPC |
© 2019 by the authors. Licensee MDPI, Basel, Switzerland. This article is an open access article distributed under the terms and conditions of the Creative Commons Attribution (CC BY) license (http://creativecommons.org/licenses/by/4.0/).
Share and Cite
He, J.; Wang, P.; Li, Z. Uncertainty Measurement for a Set-Valued Information System: Gaussian Kernel Method. Symmetry 2019, 11, 199. https://doi.org/10.3390/sym11020199
He J, Wang P, Li Z. Uncertainty Measurement for a Set-Valued Information System: Gaussian Kernel Method. Symmetry. 2019; 11(2):199. https://doi.org/10.3390/sym11020199
Chicago/Turabian StyleHe, Jiali, Pei Wang, and Zhaowen Li. 2019. "Uncertainty Measurement for a Set-Valued Information System: Gaussian Kernel Method" Symmetry 11, no. 2: 199. https://doi.org/10.3390/sym11020199
APA StyleHe, J., Wang, P., & Li, Z. (2019). Uncertainty Measurement for a Set-Valued Information System: Gaussian Kernel Method. Symmetry, 11(2), 199. https://doi.org/10.3390/sym11020199

