Next Article in Journal
On the Nodal Structure of Nonlinear Stationary Waves on Star Graphs
Previous Article in Journal
Optimal Control of Nonsmooth Production Systems with Deteriorating Items, Stock-Dependent Demand, with or without Backorders
error_outline You can access the new MDPI.com website here. Explore and share your feedback with us.
 
 
Font Type:
Arial Georgia Verdana
Font Size:
Aa Aa Aa
Line Spacing:
Column Width:
Background:
Article

A New Ellipse or Math Porcelain Service

by
Valery Ochkov
1,2,
Massimiliano Nori
3,
Ekaterina Borovinskaya
4,5,* and
Wladimir Reschetilowski
4,5
1
National Research University, Moscow Power Engineering Institute, 111250 Moscow, Russia
2
Joint Institute for High Temperatures of the Russian Academy of Science, 125412 Moscow, Russia
3
Department, Universtity or Institution, Viale delle Mimose 18, 64025 Pineto (TE), Italy
4
Technische Universität Dresden, 01062 Dresden, Germany
5
Saint-Petersburg State Institute of Technology (Technical University), 190013 St. Petersburg, Russia
*
Author to whom correspondence should be addressed.
Symmetry 2019, 11(2), 184; https://doi.org/10.3390/sym11020184
Submission received: 9 December 2018 / Revised: 25 January 2019 / Accepted: 29 January 2019 / Published: 4 February 2019

Abstract

:
Egglipse was first explored by Maxwell, but Descartes discovered a way to modify the pins-and-string construction for ellipses to produce more egg-shaped curves. There are no examples of serious scientific and practical applications of Three-foci ellipses until now. This situation can be changed if porcelain and ellipses are combined. In the introduced concept of the egg-ellipse, unexplored points are observed. The new Three-foci ellipse with an equilateral triangle, a square, and a circle as “foci” are presented for this application and can be transformed by animation. The new elliptic-hyperbolic oval is presented. The other two similar curves, hyperbola and parabola, can be also used to create new porcelain designs. Curves of the order of 3, 4, 5, etc. are interesting for porcelain decoration. An idea of combining of 3D printer and 2D colour printer in the form of 2.5D Printer for porcelain production and painting is introduced and listings functions in Mathcad are provided.

1. Introduction

The inventor of European white porcelain is Count Ehrenfried Walther von Tschirnhaus (1651–1708), who at the turn of the 17th and 18th centuries conducted experiments in Saxony on the creation of porcelain, and then organized its production in Meissen near Dresden. However, some historians believe that the real inventor of European white porcelain was not the aristocrat Tschirnhaus, but the monk-alchemist Johann Friedrich Böttger (1682–1719). Tschirnhaus kept him under arrest in the fortress. After the death of Tschirnhaus Böttger appropriated the laurels of the inventor of European porcelain and was locked up because he once tried to sell the secret of making porcelain to Prussia, however this attempt was suppressed.
Böttger was an alchemist. These medieval “non-chemists” tried, in particular, to get the philosopher’s stone—a reagent necessary for the transformation of inexpensive metals into gold. The invention of porcelain somehow realized this dream—porcelain in those years, and even now is a very expensive commodity made from relatively cheap raw materials (kaolin, quartz, etc.), but bringing high profits, if it is manufactured with intelligence and talent. Prior to Tschirnhaus and Böttger in Europe there was only imported Chinese porcelain. Then porcelain was produced in Austria, France, England, Italy, Russia, the USA and in other countries. However Saxon porcelain is a special porcelain, also because of the areola of the European “primogeniture”. Furthermore, European porcelain (hard porcelain) cannot be considered a replica of Chinese porcelain (soft porcelain).
Tschirnhaus left his mark in mathematics also. In Dresden there is a gymnasium with a mathematical inclination, which bears the name of Count Tschirnhaus. He, in particular, explored ellipses with three foci, which in German literature are called: The egg-shaped ellipses of Tschirnhaus [1]. This ellipse was first explored by James Maxwell in 1846. However, Rene Descartes discovered an interesting way to modify the pins-and-string construction for ellipses to produce more egg-shaped curves [2,3]. Fresh ideas for porcelain decoration can be generated due to a combination of porcelain with ellipses.
At Meissen manufactory, all plates and saucers are only made round. Only large plates are made oval (elliptical). Other porcelain factories produce plates and saucers not only round, but also oval, square or triangular with rounded corners and so on. Oval (elongated) plates are usually served with fish. However, Meissen porcelain is not the porcelain on which something is served at the table. Meissen porcelain is usually only admired or bragged about before the guests:”Anxious to obliterate the memory of that emotion, he could think of nothing better than china; and moving with her slowly from cabinet to cabinet, he kept taking up bits of Dresden and Lowestoft and Chelsea, turning them round and round with his thin, veined hands, whose skin, faintly freckled, had such an aged look?” [4].
An ellipse is the locus of points on a plane, for each of which the sum of the distances from two other points, called foci, are constant [5,6,7,8]. There is a simple way of drawing an ellipse: Two pins are fixed into a sheet of paper, a string is attached to them, along which a pencil slides, drawing an ellipse.
If two pins stick to one point (take only one pin), then a circle will be drawn—the locus of points equidistant from the center of the circle. If one takes three pins and sticks them into three different points (foci), one can draw an ellipse with three foci—the egg-shaped ellipse investigated by Tschirnhaus (Figure 1 and Figure 2).
The rope is fixed with a pin to point F1, then the pencil lead is tossed over through the pin stuck at point F2 and fixed to point F3. Moving the pencil and thus changing the lengths L1, L2, and L3, but keeping the sum of L1 + 2L2 + L3 constant, it is possible to draw the closed curves shown in Figure 2. Authors will not use in the further text the 2 before L2. This trick was obtained because the authors used a model with a string in Figure 1 with a double string between the second focus and the pencil.
Two-foci ellipses have important scientific applications—many natural and artificial celestial objects (planets and their satellites) move in elliptical orbits or in orbits close to circular ones. Three-foci ellipses, as mentioned in the introduction, do not have any serious scientific and practical application. This situation can be fixed, if you think that the mathematician Tschirnhaus attended the creation of European porcelain.
Figure 2 shows a sketch of a porcelain plate with two blue Three-foci ellipses of Tschirnhaus. The plate itself is made in the form of such an ellipse (black contour of the plate) [9].
Three foci f1, f2, f3, are drawn on the plate, as well as a trace of a stretched rope, the length of which remains constant when drawing the outer large ellipse of Tschirnhaus, on which one point is marked. To draw the same internal ellipse, the rope was shortened. The distances from the foci to one of the points of the outer ellipse are denoted by L1, L2 and L3. These parameters can be estimated in this way:
L 1 = ( x x f 1 ) 2 + ( y y f 1 ) 2 = 24.59   cm , L 2 = ( x x f 2 ) 2 + ( y y f 2 ) 2 = 9.35   cm , L 3 = ( x x f 3 ) 2 + ( y y f 3 ) 2 = 16.06   cm , L 1 + L 2 + L 3 = const = 50   cm .
The sum of these distances remains constant. For the outer ellipse, this distance is 50 cm, for the inner ellipse it is 33 cm, and for the edge of the plate it is 52.5 cm.

2. Materials and Methods

The first idea of the article was to show a scanning method, which uses one flat rectangular area and allows generation of new unusual and interesting curves with very simple properties. The traditional mathematical methods for analysis, based on the symbolic solution of equations and equation systems, cannot always provide the solution method to generate curves with given properties. The method proposed by the author is applicable for the generation of not only curves, but also geometric figures, i.e., if not equations, but inequalities are considered. This method is also applicable for the generation of geometrical bodies with given properties.
The second idea of the article was to provide the scanning method for the generation of geometric objects, which is optimally correlated with the currently widely used 2D and 3D printing technology. The authors introduced a concept of a 2.5D printer.
The inventors and researchers of new curves used as a rule, the analytical method for solving the problems. This significantly limits the search capabilities and is very time consuming. Numerical methods, one of which is proposed by the authors, opens new possibilities in this search, but does not deny analytical methods.
In Figure 2, three foci are marked, not by points, but by small circles. And this is understandable—the point in its mathematical representation will not be visible on the plate. In this connection, there was an idea which broadens the notion of an ellipse. What if, in constructing ellipses, one does not rely on point-foci, but on circles and draws an ellipse with such a new property. Two, three, four or more circles are drawn on the plane, and then a curve is drawn, the sum of the distances from the curve points to the circles-foci (guiding circles) are constant. This is a directrix curled into a circle. The distance from a point to a circle is easy to determine—the length of a straight line between the point itself and the point on the circle lying on the line joining the point to the centre of the circle. The centre of the circle, the point on its circumference and the point on our new ellipse must lie on one straight line. Instead of circle-foci, other closed curves: Ellipses, triangles, squares, rhombuses, rectangles (polygons), straight lines, etc. can be used. The distance from a point to these curves is also easy to determine. For example, a point on the contour of a triangle or of a square that is closest to a point, that is not on this contour, can be either on the vertex of the triangle or of the square (see the triangle in Figure 3) or on a segment perpendicular to the side of the triangle or of the square (Figure 3). It is easy to create appropriate procedures or functions and use them when building our new ellipses. A Mathcad document with functions returning the coordinates of a point on segments of lines, circles, squares and equilateral triangles closest to the given point is stored as Supplementary Materials (File_S1.xmcd). The codes are shown below.

3. Results and Discussion

3.1. New Type of Ellipses

Using as a focus of the ellipse a circle instead of a point does not change anything in the form of the ellipse if the ellipse does not intersect the circle-focus. This occurs when the value of the sum of L1 + L2 (bifocal ellipse) or the sum of L1 + L2 + L3 (three focal ellipse) is sufficiently large. Therefore, the authors conducted a study not only of a circle, but of an equilateral triangle and a square as the focus of the ellipse. The animation of this study is provided within the Supplementary Materials (Video S1).
Figure 3 shows a new previously unseen Three-foci ellipse, where an equilateral triangle, a square and a circle act as “foci” (directing closed curves, directrixes). The square in Figure 3 seems distorted due to optical illusion because of the intersection with the triangle and the circle.
By changing discretely, the sum of the distances from the points of the ellipse to fixed “foci”, families of ellipses can be obtained. Figure 4 and Figure 5 show modified Tschirnhaus ellipses in blue. The blue closed curves have different sums of distances. The three “foci” of these ellipses are the three red circles.
In Figure 4, the outer largest ellipse is the traditional (normal) egg-shaped Tschirnhaus ellipse with three focus points, located at the centers of the three circles. The remaining six ellipses have deviations from the traditional ellipse inside the circles-foci, which cause a specific visual effect. This is one of the goals of fine art in general and of the decoration of porcelain in particular.
Figure 5 shows two sketches of a Tschirnhaus mathematical plate obtained with a circle and two squares in the role of foci. On the right-hand figure, a kind of horse or zebra with longitudinal, instead of transverse, strips can be seen. The foci in Figure 4 and Figure 5 can be likened to certain lenses, which distort the images.
The task of determining the distance from a given point to an ellipse is itself quite difficult even for a simple two-foci ellipse. However, the methods for constructing curves with given properties, described below, allow us to solve this problem in a simple way, which consists of finding the minimum element of a vector.
Combining figures (closed curves), which are used as “foci”, and their mutual arrangement, it is possible to manufacture and to color plates with a non-repetitive mathematical pattern.
If a circle is used as a focus instead of a point, a classic ellipse (see Figure 6a) or a new closed curve (elliptic-hyperbolic oval), which consists of a part of an ellipse and a part of one hyperbola branch (see Figure 6b), can be obtained. Such an elliptic-hyperbolic oval is observed if the sum of distances from its points to the focus point and to the focus circle is sufficiently small and the elliptic-hyperbolic oval crosses the circle.

3.2. Animation and Augmented Reality

Figure 7 shows a Tschirnhaus plate with the three-foci ellipses formed by a red circle, a blue square, and a green equilateral triangle (see also Figure 4). However, on the plate only one modified three-foci ellipse can be put and shown in the animation.
At the moment, a new trend of Information Technology called augmented reality is booming: Museum visitors look at the exhibit through their tablets or smartphones and receive not only additional audio and video information, but also see the object in a new perspective or in a new way.
A person who sees a mathematical Tschirnhaus plate on the wall, on a table or in a museum display, directs his tablet or smartphone to the plate and sees on his screen not only information about the mathematics and the porcelain art object, but also animation, five frames which are shown in Figure 8.
Figure 8 shows only one blue Tschirnhaus ellipse, which changes its length and forms intricate closed curves, tearing into parts at some point during the animation. This animation is provided within the Supplementary Materials (Video S1). In the shrinking ellipse, a secret meaning associated with the practical, rather than the decorative function of the plate can be seen. The vanishing ellipse is the food eaten from the plate.
In this augmented reality, one can also make interactivity. The owner of the tablet can change the parameters of the expanded Tschirnhaus ellipse (the number and shape of the “foci”, their relative position, the length of the “string”, etc.) and create new sketches for the plate. If such “creativity” takes place in a museum with porcelain manufacture, then this sketch can be immediately transferred to a white plate and to get its own author’s porcelain artwork.

3.3. Tschirnhaus Watch

Porcelain plates are often hung on the walls to decorate the interior of the rooms. Sometimes such plates are made in the form of a wall clock: Make a hole in the centre of the plate through which the axes for hands pass. These clock-plates can also be made in the style of the Tschirnhaus ellipse (Figure 9).
Figure 9 takes us back to Figure 1, where a pencil moves along the closed egg-shaped curve, drawing the Tschirnhaus ellipse. Figure 9 shows a moving triple of straight lines: The hour hand (blue lines: Twelve and a half hours) and the minute hand (black lines: Thirty minutes).

3.4. Parabola and Hyperbola

The ellipse is one of the three curves of the second order. The other two similar curves are the hyperbola and the parabola, which can also be used for porcelain applications.
A porcelain vase can be made in the form of a parabola (paraboloid), in which the stand is the directrix, and the top handle is the focus (Figure 10). The parabola is the geometric locus of points equidistant from the focus of the parabola and from a straight line called the parabola directrix (Figure 11).
However, as a focus of the parabola, one could also take a circle instead of a point (Figure 12), where four frames of the animation of the movement of the directrix (blue line) of the parabola through its focus circle (black curve) are shown. The new “parabola” (red curve) is broken into two branches, and then remerges into one line.
Focus in the German language (in the native language of Tschirnhaus) is der Brennpunkt—“burning point”. A parabola has this property—if a parallel beam of light falls on a parabolic mirror, then the reflected beam converges into the focus. There is such a kind of fine arts—burning in the sun on a tree with the help of a magnifying glass or a parabolic mirror. Without fire, it is impossible to make porcelain—billets of porcelain products are burned in special furnaces. Tschirnhaus himself developed paraboloid mirror, an example of this is at the Dresden museum.
If a factor is introduced into the constitutive equation of the parabola and makes it different from unity, then the parabola will either collapse into an ellipse or split into two branches of the hyperbola (Figure 13). This factor is called eccentricity [10]. A silhouette of a vase can be formed by two hyperbolas (Figure 13).
The hyperbola is the geometrical locus of points, such that the modulus of the difference of distances from each point to the two foci is constant. In the ellipse, the sum of these two quantities remains constant. However, Figure 13 shows not a focal, but a directional method for constructing a hyperbola, when not two foci are fixed on the plane, but only one focus supplemented by the directrix. Figure 14 and Figure 15 show two branches of the hyperbola, when the focal points are replaced by circles or ellipses. These new hyperboles also represent the profiles of porcelain vases.
If, in constructing plane curves with the support of two foci, instead of using the sum (ellipse) or the difference (hyperbola), the product is used, then a curve is obtained, that is known as the Cassini oval (Figure 16).
Cassini ovals can also have more than two foci, and these foci may not be points, but circles (see Figure 17), squares, triangles.
If one does not work with the sum (ellipse), the difference (hyperbola) or the product (Cassini’s ovals), but with the ratio, one gets the so-called Apollonius circles. All these curves are also suitable for the design of the mathematical porcelain service. If, in the focal (two-foci) construction of an ellipse, hyperbola, Cassini ovals, or Apollonius circles, one point-focus is replaced by a straight line, the new curves (Figure 18) can be obtained.
In Figure 18, the point can be replaced by a circle, a square or a triangle and get new curves for research and for drawings on porcelain. In this case, a circle, a square or a triangle can intersect and not intersect with a straight line. A straight line, in turn, can be replaced by a curve, and in particular, by a parabola. Figure 19 shows a “new ellipse” with two foci, one focus is a point, and the other is a parabola.
Attempts by the authors to find information on the Internet about point and line on the plane did not lead to mathematical formulas, but to a book with the same title by Vasily Kandinsky with the subtitle "Contribution to the analysis of pictorial elements". This book was originally published in German with the title “Punkt und linie zu flache” when Kandinsky was teaching at the well-known Bauhaus (before in Weimar, then in Dessau). True, in Kandinsky and other Russian avant-garde artists, everything was reduced only to aesthetic issues. We also added mathematics to this creative process. However, the phrase “point and line to the plane” is redundant in terms of classical Euclidean geometry: The points and the straight line are always in one definite plane. If a similar book was written by a sculptor, instead of a painter, he would have entitled it “Point and a straight line in space”! and one more remark from the point of view of mathematics. On a picturesque canvas, we see not a straight line, but only a segment of a straight line, which can also act as a focal point. Figure 20 shows the metamorphosis of a traditional ellipse, when one of its focus turns into an elongating segment of a straight line.
Figure 21 shows two sketches of the Tschirnhaus plate. The usual three-foci ellipse (the edge of the plate—Figure 2) is dissected by three straight lines, whose points of intersection serve as foci of the ellipse. Red lines are formed by points, whose sum (Figure 21a) or product (Figure 21b) of the distances to the straight lines remains constant.

3.5. Curves of Order Greater Than Two

The ellipse, the hyperbola, and the parabola are curves of the second order. It was interesting to know what curves of the order of 3, 4, 5, etc. are good for porcelain decoration. Figure 22 illustrates such a problem: Points are dashed randomly through a plane through which curves of different orders are drawn. A parabola can only come about with a special and almost incredible arrangement of five points. The probability of the ellipse falling out (about 28%) can be considered a certain new mathematical constant. Through two points, it is possible to draw a straight line (a curve of the first order), in five—an ellipse or two branches of a hyperbola (the second order), through nine points curves of the third order, etc. These intricate curves can be also used to decorate porcelain. This will in some way resemble the so-called blue onion pattern.
It is possible to see the modification of the pattern shown in the animation provided with the Supplementary Materials (Video S2).

3.6. 2.5D Printer

Tschirnhaus plates are made by traditional technology from porcelain, and then painted by hand. However, they can be printed on a 3D printer, and then painted on an ordinary 2D colour printer (kitsch). These two printers can be combined into one, which can be named a 2.5D printer.
The figures and closed curves given above were not created through an analytic study of functions, but by a simple (“blunt”) scan of a rectangular region in Cartesian coordinates. Modern printers similarly form text or drawing—scan a sheet of paper and put black or coloured dots (rasters) in the right places. Figure 23 shows a part of Mathcad document (a virtual 2D printer) that depicts the egg-shaped Tschirnhaus ellipse.
In the program in Figure 23, the for loop with parameter x, in which is nested a second for a loop with parameter y, moves points in the rectangular area from x1 to x2 and from y1 to y2. Variables x1, x2, y1 and y2, as well as other quantities and functions needed for calculation, are set in advance. The value of the integer variable n that defines the scan step can be changed, achieving a compromise between accuracy and duration of the computation. In the double for loop, the distances from the current point of x and y coordinates to the first focus (L1), to the second focus (L2) and to the third focus (L3) are calculated. Instead of points as foci, segments of curves, circles, squares, triangles, etc. can be put. Distances from a point to these curves can be easily calculated using special functions created by the authors. Available in the Supplementary Materials (File_S2.xmcd). If the sum of the distances L1, L2 and L3 turns out to be approximately equal to the given variable a, then the coordinates of the current point are recorded in the vectors X and Y, whose length is increased by one (i ← i + 1, where i is the index of the vectors X and Y). Then the vectors X and Y are displayed on the graph in the form of a desired curve consisting of points. If these points are large enough, they merge into a line.
Figure 24, Figure 25 and Figure 26 show the listings of the functions used to work with a new focus—with circle, square and triangle. In addition, these functions are provided with the Supplementary Materials (File_S1.xmcd).
The distance from the already constructed ellipse to a given point is easy to determine, bearing in mind that our ellipse is formed not by an analytic formula, but by two vectors with discrete values of coordinates. Figure 27 shows the body of the double-cycle with parameters x and y (see the headings of these cycles in Figure 23), which solves this problem: The coordinates of the two closed curves are given by the vectors (X1, Y1) and (X2, Y2). It is necessary to find and to place in the vectors X and Y the coordinates of the new curve whose points have a certain property with respect to the two initial (reference) curves. In particular, the sum of the distances from the points forming the new curve to the points of the reference curves must be constant. It turns out a super-ellipse, shown in Figure 28. When solving this problem, auxiliary vectors D1 and D2 are formed, storing distances from a given point to the points of the reference curves. In the vectors D1 and D2, it is easy to find the minimum values—corresponding to the distance from the point to the curve. We repeat this task analytically, it is rather difficult to solve, while numerically can be without problems.
The small three-foci ellipses shown in Figure 28 are in turn foci, in fact foci can be not only points, but new ellipses with focal points-ellipses. There may be a fractal [11] and fractals themselves are very interesting objects, also for the decoration of porcelain with elements of mathematics. However, this is the topic of a separate “mathematical-aesthetic” conversation [12,13].
The super-ellipse or Lame ellipse is an ellipse described by the equation (x/a)n + (y/b)n = 1. For n = 2, we have an ordinary ellipse. Figure 29 and Figure 30 show sketches for the design of porcelain plates in the style of Lame ellipses with different exponents of degree n. In the right parts of the drawing’s information is given, which will need to be placed on the reverse sides of these “mathematical” plates.

5. Conclusions

A scanning method, which is used in one flat rectangular area and allows the generation of new unusual and interesting curves with very simple properties, was introduced. This method is applicable for generation of not only curves, but also geometric figures, i.e., if inequalities instead of equations are considered.
The suggested method introduces a new stream into the design of porcelain dishes. The egg-ellipse can help to provide new ideas for porcelain decoration and to find practical as well as decorative application. The new Three-foci ellipse (elliptic-hyperbolic oval) with an equilateral triangle, a square and a circle as “foci” is introduced. The other two second order curves, the hyperbola and the parabola, can be also used to create a new porcelain design. Curves of the order of 3, 4, 5, etc. can also inspire a porcelain designer. An idea of combination of 3D printer and 2D colour printer in form of 2.5D printer for porcelain production and decoration is presented and the functions codes in Mathcad are provided. The super-ellipse or lame ellipse can provide ideas for the design of porcelain plates in the style of lame ellipses with different exponents of degree n.
The ideas proposed in the article were presented at the porcelain factory in Meissen. Factory representatives were interested in the work and plan to use mathematical drawings on porcelain when receiving orders.

Supplementary Materials

The following are available online at https://www.mdpi.com/2073-8994/11/2/184/s1, File_S1: Mathcad document with functions returning the coordinates of a point on segments of lines, circles, squares and equilateral triangles closest to the given point, File_S2: Calculation of distances from a point to the curves using special functions created by the authors, Video S1: Frames of drawing animation on a Tschirnhaus plate at (Lc + Ls + Lt = S), Video S2: Curves of different orders.

Author Contributions

Conceptualization, V.O.; methodology, V.O.; software, M.N.; validation, V.O., M.N.; formal analysis, E.B., W.R.; investigation, V.O.; resources, E.B.; writing—original draft preparation, V.O., M.N., E.B., W.R.; writing—review and editing, M.N., E.B., W.R.; visualization, V.O, M.N., E.B., W.R.; supervision, W.R.

Funding

This research received no external funding.

Conflicts of Interest

The authors declare no conflict of interest.

References

  1. Sahadevan, P.V. The theory of egglipse—A new curve with three focal points. Int. J. Math. Educ. Sci. Technol. 1987, 18, 29–39. [Google Scholar] [CrossRef]
  2. Williamson, B. The properties of the Cartesian oval treated geometrically. Hermathena 1876, 2, 509–518. [Google Scholar]
  3. Descartes, R. Geometry Selected Works. P. Fermat and Descartes Correspondence, 2nd ed.; Translated from French; URSS: Moscow, Russia, 2010. (In Russian) [Google Scholar]
  4. Galsworthy, J. The Forsyte Saga; Tauchnitz: Leipzig, Germany, 1926; p. 328. [Google Scholar]
  5. Besant, W.H. Conic Sections, Treated Geometrically; George Bell and Sons: London, UK, 1907; pp. 50–86. [Google Scholar]
  6. Levi, H.; Coxeter, H.S.M. Introduction to Geometry. J. Philos. 1963, 60, 19. [Google Scholar] [CrossRef]
  7. Ochkov, V.F.; Fal’koni, A.D. Computer science, algebra, geometry: Four arithmetic curves with pokemon. Inform. V Shkole (Comput. Sci. Sch.) 2016, 9, 57–61. (In Russian) [Google Scholar]
  8. Ochkov, V.F.; Fal’koni, A.D. Seven computing curves or Apollonio bike. Cloud Sci. 2016, 3, 397–418. (In Russian) [Google Scholar]
  9. Ochkov, V.F.; Ochkova, N.A. The project of the monument to three mathematicians or MatMetry. Cloud Sci. 2017, 4, 548–571. (In Russian) [Google Scholar]
  10. Akopyan, A.V.; Zaslavskiy, A.A. Geometric Properties of Curves of the Second Order; MtsNMO Publishing: Moscow, Russia, 2017. (In Russian) [Google Scholar]
  11. Ochkov, V.; Kalova, J.; Nikulchev, E. Optimized Fractal or FMI. Cloud Sci. 2015, 2, 544–561. (In Russian) [Google Scholar]
  12. Ziatdinov, R.; Yoshida, N.; Kim, T. Analytic parametric equations of log-aesthetic curves in terms of incomplete gamma functions. Comput. Aided Geom. Des. 2012, 29, 129–140. [Google Scholar] [CrossRef]
  13. Yoshida, N.; Saito, T. Interactive Aesthetic Curve Segments. Vis. Comput. 2006, 22, 896–905. [Google Scholar] [CrossRef]
Figure 1. Drawing a three-foci ellipse, L1 + 2L2 + L3 = const.
Figure 1. Drawing a three-foci ellipse, L1 + 2L2 + L3 = const.
Symmetry 11 00184 g001
Figure 2. Sketch of a porcelain plate with two blue three-foci ellipses of Tschirnhaus.
Figure 2. Sketch of a porcelain plate with two blue three-foci ellipses of Tschirnhaus.
Symmetry 11 00184 g002
Figure 3. New Three-foci ellipse Lc + Ls + Lt = 1.80 m.
Figure 3. New Three-foci ellipse Lc + Ls + Lt = 1.80 m.
Symmetry 11 00184 g003
Figure 4. Sketch of a porcelain plate with modified ellipses of Tschirnhaus (different blue ovals correspond to different values of the sum Lcircle1 + Lcircle2 + Lcircle3).
Figure 4. Sketch of a porcelain plate with modified ellipses of Tschirnhaus (different blue ovals correspond to different values of the sum Lcircle1 + Lcircle2 + Lcircle3).
Symmetry 11 00184 g004
Figure 5. Sketches of the drawing of two porcelain plates obtained with a circle and two squares as “foci” (different blue ovals correspond to different values of the sum Lcircle + Lsquate1 + L squate2).
Figure 5. Sketches of the drawing of two porcelain plates obtained with a circle and two squares as “foci” (different blue ovals correspond to different values of the sum Lcircle + Lsquate1 + L squate2).
Symmetry 11 00184 g005
Figure 6. An Ellipse (a - the blue oval) and an elliptic-hyperbolic oval (b - the blue oval); the brown circle is the second focus, the first focus is a point.
Figure 6. An Ellipse (a - the blue oval) and an elliptic-hyperbolic oval (b - the blue oval); the brown circle is the second focus, the first focus is a point.
Symmetry 11 00184 g006
Figure 7. Another sketch of a Tschirnhaus plate; the green triangle is a first focus, the dark blue square is the second focus, the red circle is a third focus; blue ovals have different sum Lc + Ls + Lt.
Figure 7. Another sketch of a Tschirnhaus plate; the green triangle is a first focus, the dark blue square is the second focus, the red circle is a third focus; blue ovals have different sum Lc + Ls + Lt.
Symmetry 11 00184 g007
Figure 8. Frames of the drawing animation on a Tschirnhaus plate at (Lc + Ls + Lt = S): (a) S = 1.920 m; (b) S = 1.360 m; (c) S = 0.910 m; (d) S = 0.620 m; (e) S = 0.330 m (the green triangle is a first focus, the blue square is the second focus and the red circle is a third focus).
Figure 8. Frames of the drawing animation on a Tschirnhaus plate at (Lc + Ls + Lt = S): (a) S = 1.920 m; (b) S = 1.360 m; (c) S = 0.910 m; (d) S = 0.620 m; (e) S = 0.330 m (the green triangle is a first focus, the blue square is the second focus and the red circle is a third focus).
Symmetry 11 00184 g008
Figure 9. Watch with an elliptical three-focal dial (blue lines are the hours hand and black lines are for the minutes hand).
Figure 9. Watch with an elliptical three-focal dial (blue lines are the hours hand and black lines are for the minutes hand).
Symmetry 11 00184 g009
Figure 10. Profile of the vase in the form of a parabola (red curve), a directrix (bottom black straight line), a focus (top ball), and a vertical bar connecting all parts.
Figure 10. Profile of the vase in the form of a parabola (red curve), a directrix (bottom black straight line), a focus (top ball), and a vertical bar connecting all parts.
Symmetry 11 00184 g010
Figure 11. Parabola with a focus and a directrix (Dir) L1 = L2 = 2.235 (the red line is the parabola, the black point is the focus and the dashed line is the directory).
Figure 11. Parabola with a focus and a directrix (Dir) L1 = L2 = 2.235 (the red line is the parabola, the black point is the focus and the dashed line is the directory).
Symmetry 11 00184 g011
Figure 12. Frames of the animation of the parabola with a circular focus (the red lines are the parabolas, the black circles are the foci and the blue lines are the directories).
Figure 12. Frames of the animation of the parabola with a circular focus (the red lines are the parabolas, the black circles are the foci and the blue lines are the directories).
Symmetry 11 00184 g012
Figure 13. Profile of a vase for flowers made in the form of a single-sheeted hyperboloid.
Figure 13. Profile of a vase for flowers made in the form of a single-sheeted hyperboloid.
Symmetry 11 00184 g013
Figure 14. Hyperbola with two circular foci |L1 −L2| = a, a = 1.7 m, r = 0.5 m, r1 = 0.7 m (the red circles are the foci, the blue curves is two blanch of the hyperbola).
Figure 14. Hyperbola with two circular foci |L1 −L2| = a, a = 1.7 m, r = 0.5 m, r1 = 0.7 m (the red circles are the foci, the blue curves is two blanch of the hyperbola).
Symmetry 11 00184 g014
Figure 15. Hyperbola with two square foci |L1 − L2| = a, a = 0.940 m (the red squares are the foci, the blue curves is two blanch of the hyperbola).
Figure 15. Hyperbola with two square foci |L1 − L2| = a, a = 0.940 m (the red squares are the foci, the blue curves is two blanch of the hyperbola).
Symmetry 11 00184 g015
Figure 16. Ovals of Cassini (red ovals).
Figure 16. Ovals of Cassini (red ovals).
Symmetry 11 00184 g016
Figure 17. Three frames of animation of the three-foci (L1·L2·L3 = a) blue Cassini oval with red circles in the role of foci: (a) a = 0.073 m3; (b) a = 0.317 m3; (c) a = 1.003 m3.
Figure 17. Three frames of animation of the three-foci (L1·L2·L3 = a) blue Cassini oval with red circles in the role of foci: (a) a = 0.073 m3; (b) a = 0.317 m3; (c) a = 1.003 m3.
Symmetry 11 00184 g017
Figure 18. Extended ellipse, hyperbola, Cassini oval and Apollonius circle (red ovals and curves): (a) L1 + L2 = s, s = 0.5 m; (b) |L1 + L2| = s, s = 0.15 m; (c) L1·L2 = s, s = 0.05 m2; (d) L1/L2 = s or L2/L1 = s s = 0.7 (blue lines are the first focus and the black points are the second focus).
Figure 18. Extended ellipse, hyperbola, Cassini oval and Apollonius circle (red ovals and curves): (a) L1 + L2 = s, s = 0.5 m; (b) |L1 + L2| = s, s = 0.15 m; (c) L1·L2 = s, s = 0.05 m2; (d) L1/L2 = s or L2/L1 = s s = 0.7 (blue lines are the first focus and the black points are the second focus).
Symmetry 11 00184 g018
Figure 19. An ellipse with two foci given by a point and a parabola.
Figure 19. An ellipse with two foci given by a point and a parabola.
Symmetry 11 00184 g019
Figure 20. An ellipse with a focus changing from a point to a line segment.
Figure 20. An ellipse with a focus changing from a point to a line segment.
Symmetry 11 00184 g020
Figure 21. Sketches of the Tschirnhaus plates with a: (a) Constant sum or (b) product of distances from a point to three straight lines.
Figure 21. Sketches of the Tschirnhaus plates with a: (a) Constant sum or (b) product of distances from a point to three straight lines.
Symmetry 11 00184 g021
Figure 22. Curves of different orders: (a) 2; (b) 3; (c) 4; (d) 5; (e) 6; (f) 7; (h) 13; (i) 16; (j) 17.
Figure 22. Curves of different orders: (a) 2; (b) 3; (c) 4; (d) 5; (e) 6; (f) 7; (h) 13; (i) 16; (j) 17.
Symmetry 11 00184 g022
Figure 23. Scanning a flat area for drawing a Tschirnhaus three-foci ellipse.
Figure 23. Scanning a flat area for drawing a Tschirnhaus three-foci ellipse.
Symmetry 11 00184 g023
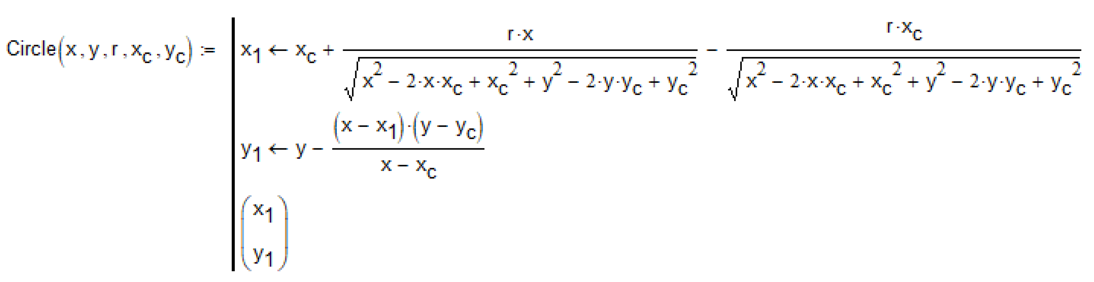
Figure 24. A Mathcad function that returns the coordinates of a point on the circumference of a circle with radius r and centre at the point (xc, yc) closest to a given point with the coordinates (x, y).
Figure 24. A Mathcad function that returns the coordinates of a point on the circumference of a circle with radius r and centre at the point (xc, yc) closest to a given point with the coordinates (x, y).
Symmetry 11 00184 g024
Figure 25. A Mathcad function that returns the coordinates of a point on the contour of a square with a “radius” r (half the length of the side of the square) and centred at the point (xs, ys) closest to the given point with the coordinates (x, y).
Figure 25. A Mathcad function that returns the coordinates of a point on the contour of a square with a “radius” r (half the length of the side of the square) and centred at the point (xs, ys) closest to the given point with the coordinates (x, y).
Symmetry 11 00184 g025
Figure 26. A Mathcad function that returns the coordinates of a point on the contour of an equilateral triangle with a “radius” r (the distance from the center of the triangle to its vertex) and centered at the point (xt, yt) closest to the given point with coordinates (x, y).
Figure 26. A Mathcad function that returns the coordinates of a point on the contour of an equilateral triangle with a “radius” r (the distance from the center of the triangle to its vertex) and centered at the point (xt, yt) closest to the given point with coordinates (x, y).
Symmetry 11 00184 g026
Figure 27. The procedure for forming the super-ellipse shown in Figure 28.
Figure 27. The procedure for forming the super-ellipse shown in Figure 28.
Symmetry 11 00184 g027
Figure 28. Super-ellipse with “elliptical” foci, L1 + L2 = const, L3 + L3 + L5 = const.
Figure 28. Super-ellipse with “elliptical” foci, L1 + L2 = const, L3 + L3 + L5 = const.
Symmetry 11 00184 g028
Figure 29. Lame round plate.
Figure 29. Lame round plate.
Symmetry 11 00184 g029
Figure 30. Lame Oval plate with golden section proportion.
Figure 30. Lame Oval plate with golden section proportion.
Symmetry 11 00184 g030

Share and Cite

MDPI and ACS Style

Ochkov, V.; Nori, M.; Borovinskaya, E.; Reschetilowski, W. A New Ellipse or Math Porcelain Service. Symmetry 2019, 11, 184. https://doi.org/10.3390/sym11020184

AMA Style

Ochkov V, Nori M, Borovinskaya E, Reschetilowski W. A New Ellipse or Math Porcelain Service. Symmetry. 2019; 11(2):184. https://doi.org/10.3390/sym11020184

Chicago/Turabian Style

Ochkov, Valery, Massimiliano Nori, Ekaterina Borovinskaya, and Wladimir Reschetilowski. 2019. "A New Ellipse or Math Porcelain Service" Symmetry 11, no. 2: 184. https://doi.org/10.3390/sym11020184

APA Style

Ochkov, V., Nori, M., Borovinskaya, E., & Reschetilowski, W. (2019). A New Ellipse or Math Porcelain Service. Symmetry, 11(2), 184. https://doi.org/10.3390/sym11020184

Note that from the first issue of 2016, this journal uses article numbers instead of page numbers. See further details here.

Article Metrics

Back to TopTop