(Non-)Thermal Production of WIMPs during Kination
Abstract
1. Introduction
2. Boltzmann Equations for the Model
3. Production of WIMPs during Kination
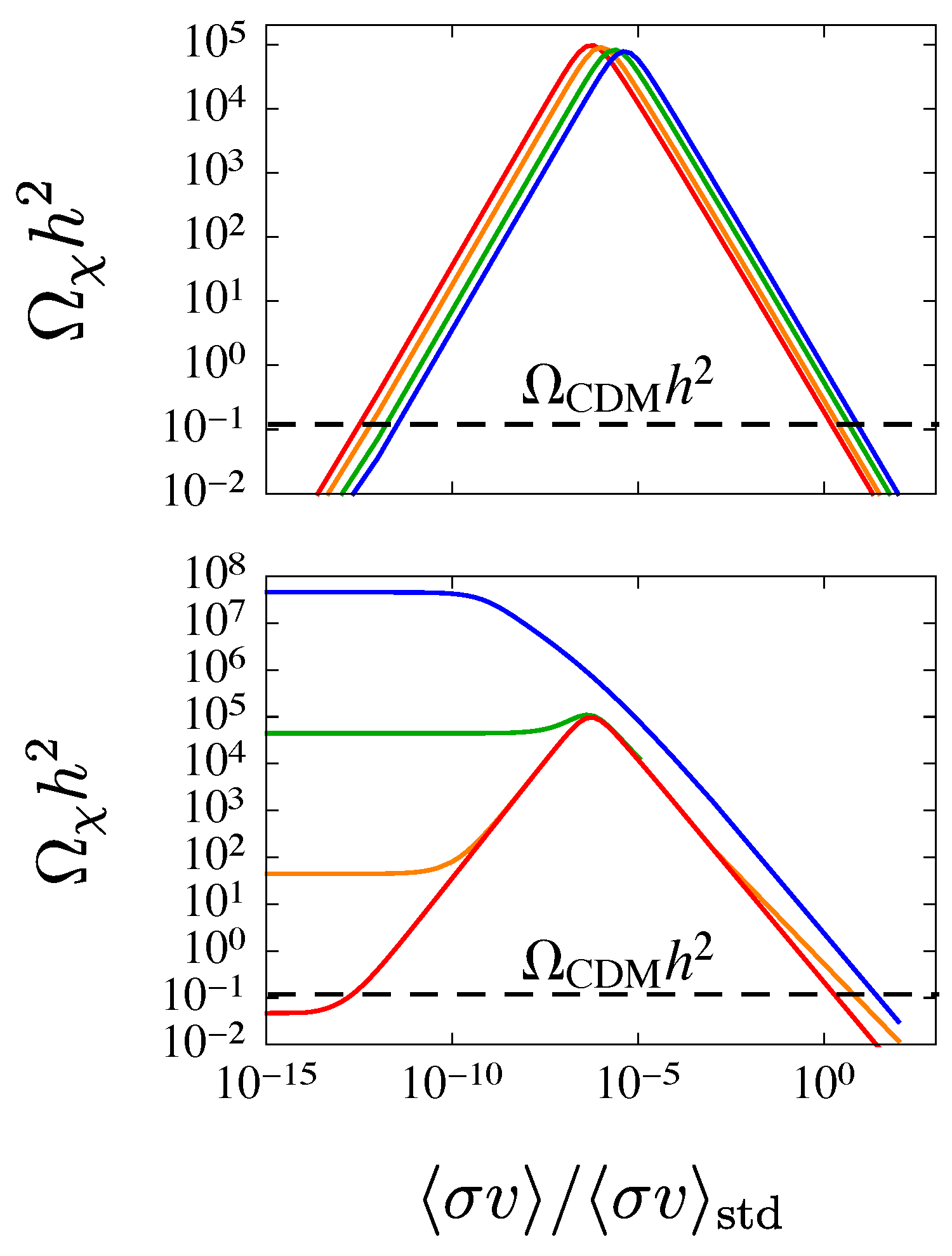
- Thermal production with chemical equilibrium (“freeze-out”). We first focus on the case , corresponding to the negligible decay with respect to the annihilation into SM particles and approximated by the red dot-dashed and blue solid lines in Figure 2. We assume that the temperature is lower than the freeze-out temperature , which is defined as the temperature at which , orHowever, in modified cosmologies where the expansion rate is faster than during radiation (such as kination), WIMP annihilation persists even after the departure from chemical equilibrium (i.e., freeze-out) has occurred, actually ceasing when the Universe transitions to the standard radiation-dominated scenario [78]. For this reason, the WIMP number density in the kination cosmology is not fixed at and annihilation continues until the temperature drops to . We assume that the freeze-out is reached at , when . At later times, using the approximation in Equation (18) and the non-relativistic regime for the WIMPs, Equation (13) readswhose solution at give the abundance of thermally produced WIMPs at as
- Thermal production without ever reaching chemical equilibrium (“freeze-in”). If the cross section is sufficiently low [77], WIMPs never reach thermal equilibrium and their number density freezes in at a fixed quantity. Since the number density of particles is always smaller than their value at thermal equilibrium, we neglect so Equation (13) with readswhereThe solution to Equation (25) reaches the asymptotic value of X at freeze-inwhich is reached when . This solution differs from the similar case of WIMP freeze-in studied in Ref. [77], because of the different dependence of the temperature on the scale factor in this work. However, the methodology used is qualitatively the same. In principle, the number density in a comoving volume is fixed prior , depending on the branching ratio of the field into radiation and the consequent entropy conservation during kination. However, we can safely set into Equation (19) for this estimate, since the comoving number of WIMPs is conserved after freeze-in and . The present WIMP abundance from the freeze-in mechanism is thenThe solution describes, for example, the lines with positive slopes in Figure 2, for and the cross sections GeV, GeV, and GeV.
- Non-thermal production without chemical equilibrium. We now discuss the non-thermal production of DM, in the case in which the particle has never reached the chemical equilibrium. For a sufficiently large branching ratio b and for , the abundance of DM is set by the decay of the field, with an energy density at given by [53,55,58,61,63,81]Deriving the result from directly integrating Equation (13) with and neglecting the contributions from R and X in the denominator gives an extra logarithmic dependence on , as
- Non-thermal production with chemical equilibrium. If the branching ratio b is sufficiently high, the evolution of the WIMP number density attains a secular equilibrium in which the rate at which WIMPs are produced from the decay of the field equates that from WIMP annihilation. In this regime, the quantity X is fixed to the value obtained by setting to zero the right-hand side of Equation (13),The result in Equation (32), confirmed numerically in Figure 3 below, can be alternatively derived by considering the balancing between the decay rate of the field into WIMPs and the annihilation rate of WIMPs, valid at when , asThe value of remains constant until , without experiencing the additional depletion obtained in the freeze-out regime with a faster-than-radiation expansion rate [77,78]. However, when the temperature of the plasma falls below , the secular equilibrium is no longer maintained since the energy density in the field drops to zero and WIMPs are no longer produced. In this new regime, radiation evolves as and Equation (13) readswhich gives the WIMP number density when , corresponding to the number density . Compare Equation (34) with the approximation in Equation (25) valid during -domination and , the expression for Equation (34) has been obtained by replacing with as the leading term in the expression for the Hubble rate. The present abundance is proportional to
4. Discussion and Summary
Funding
Acknowledgments
Conflicts of Interest
Abbreviations
| DM | Dark Matter |
| BBN | Big Bang Nucleosynthesis |
| WIMP | Weakly Interacting Massive Particle |
| LRTS | Low Reheat Temperature Scenario |
| KS | Kination Scenario |
References
- Jungman, G.; Kamionkowski, M.; Griest, K. Supersymmetric dark matter. Phys. Rep. 1996, 267, 195–373. [Google Scholar] [CrossRef]
- Bertone, G.; Hooper, D.; Silk, J. Particle dark matter: Evidence, candidates and constraints. Phys. Rep. 2005, 405, 279–390. [Google Scholar] [CrossRef]
- Ade, P.A.R.; Aghanim, N.; Ahmed, Z.; Aikin, R.W.; Alexander, K.D.; Arnaud, M.; Aumont, J.; Baccigalupi, C.; Banday, A.J.; Barkats, D.; et al. Joint Analysis of BICEP2/Keck Array and Planck Data. Phys. Rev. Lett. 2015, 114, 101301. [Google Scholar] [CrossRef] [PubMed]
- Ade, P.A.R.; Aghanim, N.; Arnaud, M.; Ashdown, M.; Aumont, J.; Baccigalupi, C.; Banday, A.J.; Barreiro, R.B.; Bartlett, J.G.; et al. Planck 2015 results. XIII. Cosmological parameters. Astron. Astrophys. 2016, 594, A13. [Google Scholar] [CrossRef]
- Vysotsky, M.I.; Dolgov, A.D.; Zeldovich, Y.B. Cosmological Restriction on Neutral Lepton Masses. JETP Lett. 1977, 26, 188–190. [Google Scholar]
- Hut, P. Limits on Masses and Number of Neutral Weakly Interacting Particles. Phys. Lett. B 1977, 69, 85–88. [Google Scholar] [CrossRef]
- Sato, K.; Kobayashi, M. Cosmological Constraints on the Mass and the Number of Heavy Lepton Neutrinos. Prog. Theor. Phys. 1977, 58, 1775–1789. [Google Scholar] [CrossRef]
- Lee, B.W.; Weinberg, S. Cosmological Lower Bound on Heavy Neutrino Masses. Phys. Rev. Lett. 1977, 39, 165–168. [Google Scholar] [CrossRef]
- Dicus, D.A.; Kolb, E.W.; Teplitz, V.L. Cosmological Implications of Massive, Unstable Neutrinos: New and Improved. Astrophys. J. 1978, 221, 327–341. [Google Scholar] [CrossRef]
- Steigman, G. Cosmology Confronts Particle Physics. Ann. Rev. Nucl. Part. Sci. 1979, 29, 313–338. [Google Scholar] [CrossRef]
- Bernstein, J.; Brown, L.S.; Feinberg, G. The Cosmological Heavy Neutrino Problem Revisited. Phys. Rev. D 1985, 32, 3261. [Google Scholar] [CrossRef]
- Kolb, E.W.; Olive, K.A. The Lee-Weinberg Bound Revisited. Phys. Rev. D 1986, 33, 1202. [Google Scholar] [CrossRef]
- Profumo, S.; Sigurdson, K.; Kamionkowski, M. What mass are the smallest protohalos? Phys. Rev. Lett. 2006, 97, 031301. [Google Scholar] [CrossRef] [PubMed]
- Griest, K.; Seckel, D. Three exceptions in the calculation of relic abundances. Phys. Rev. D 1991, 43, 3191–3203. [Google Scholar] [CrossRef]
- Edsjo, J.; Gondolo, P. Neutralino relic density including coannihilations. Phys. Rev. D 1997, 56, 1879–1894. [Google Scholar] [CrossRef]
- D’Agnolo, R.T.; Ruderman, J.T. Light Dark Matter from Forbidden Channels. Phys. Rev. Lett. 2015, 115, 061301. [Google Scholar] [CrossRef] [PubMed]
- Cline, J.; Liu, H.; Slatyer, T.; Xue, W. Enabling Forbidden Dark Matter. Phys. Rev. D 2017, 96, 083521. [Google Scholar] [CrossRef]
- Chang, S.; Pierce, A.; Weiner, N. Momentum Dependent Dark Matter Scattering. J. Cosmol. Astropart. Phys. 2010, 1001, 006. [Google Scholar] [CrossRef]
- Fan, J.; Reece, M.; Wang, L.T. Non-relativistic effective theory of dark matter direct detection. J. Cosmol. Astropart. Phys. 2010, 1011, 042. [Google Scholar] [CrossRef]
- Fitzpatrick, A.L.; Haxton, W.; Katz, E.; Lubbers, N.; Xu, Y. The Effective Field Theory of Dark Matter Direct Detection. J. Cosmol. Astropart. Phys. 2013, 1302, 004. [Google Scholar] [CrossRef]
- Hisano, J.; Matsumoto, S.; Nojiri, M.M.; Saito, O. Non-perturbative effect on dark matter annihilation and gamma ray signature from galactic center. Phys. Rev. D 2005, 71, 063528. [Google Scholar] [CrossRef]
- Lattanzi, M.; Silk, J.I. Can the WIMP annihilation boost factor be boosted by the Sommerfeld enhancement? Phys. Rev. D 2009, 79, 083523. [Google Scholar] [CrossRef]
- Cirelli, M.; Kadastik, M.; Raidal, M.; Strumia, A. Model-independent implications of the e+-, anti-proton cosmic ray spectra on properties of Dark Matter. Nucl. Phys. B 2009, 813, 1–21. [Google Scholar] [CrossRef]
- Arkani-Hamed, N.; Finkbeiner, D.P.; Slatyer, T.R.; Weiner, N. A Theory of Dark Matter. Phys. Rev. D 2009, 79, 015014. [Google Scholar] [CrossRef]
- Pospelov, M.; Ritz, A. Astrophysical Signatures of Secluded Dark Matter. Phys. Lett. B 2009, 671, 391–397. [Google Scholar] [CrossRef]
- Fox, P.J.; Poppitz, E. Leptophilic Dark Matter. Phys. Rev. D 2009, 79, 083528. [Google Scholar] [CrossRef]
- Iengo, R. Sommerfeld enhancement: General results from field theory diagrams. J. High Energy Phys. 2009, 05, 024. [Google Scholar] [CrossRef]
- Hall, L.J.; Jedamzik, K.; March-Russell, J.; West, S.M. Freeze-In Production of FIMP Dark Matter. J. High Energy Phys. 2010, 03, 080. [Google Scholar] [CrossRef]
- Co, R.T.; D’Eramo, F.; Hall, L.J.; Pappadopulo, D. Freeze-In Dark Matter with Displaced Signatures at Colliders. J. Cosmol. Astropart. Phys. 2015, 1512, 024. [Google Scholar] [CrossRef]
- Bernal, N.; Heikinheimo, M.; Tenkanen, T.; Tuominen, K.; Vaskonen, V. The Dawn of FIMP Dark Matter: A Review of Models and Constraints. Int. J. Mod. Phys. 2017, A32, 1730023. [Google Scholar] [CrossRef]
- Kamionkowski, M.; Turner, M.S. Thermal relics: Do we know their abundances? Phys. Rev. D 1990, 42, 3310–3320. [Google Scholar] [CrossRef]
- Kofman, L.; Linde, A.D.; Starobinsky, A.A. Reheating after inflation. Phys. Rev. Lett. 1994, 73, 3195–3198. [Google Scholar] [CrossRef] [PubMed]
- Kofman, L.; Linde, A.D.; Starobinsky, A.A. Towards the theory of reheating after inflation. Phys. Rev. D 1997, 56, 3258–3295. [Google Scholar] [CrossRef]
- Kawasaki, M.; Kohri, K.; Sugiyama, N. Cosmological constraints on late time entropy production. Phys. Rev. Lett. 1999, 82, 4168. [Google Scholar] [CrossRef]
- Kawasaki, M.; Kohri, K.; Sugiyama, N. MeV scale reheating temperature and thermalization of neutrino background. Phys. Rev. D 2000, 62, 023506. [Google Scholar] [CrossRef]
- Hannestad, S. What is the lowest possible reheating temperature? Phys. Rev. D 2004, 70, 043506. [Google Scholar] [CrossRef]
- Ichikawa, K.; Kawasaki, M.; Takahashi, F. The Oscillation effects on thermalization of the neutrinos in the Universe with low reheating temperature. Phys. Rev. D 2005, 72, 043522. [Google Scholar] [CrossRef]
- De Bernardis, F.; Pagano, L.; Melchiorri, A. New constraints on the reheating temperature of the universe after WMAP-5. Astropart. Phys. 2008, 30, 192–195. [Google Scholar] [CrossRef]
- Gelmini, G.B.; Gondolo, P. Ultra-cold WIMPs: Relics of non-standard pre-BBN cosmologies. J. Cosmol. Astropart. Phys. 2008, 0810, 002. [Google Scholar] [CrossRef]
- Visinelli, L.; Gondolo, P. Kinetic decoupling of WIMPs: Analytic expressions. Phys. Rev. D 2015, 91, 083526. [Google Scholar] [CrossRef]
- Waldstein, I.R.; Erickcek, A.L.; Ilie, C. Quasidecoupled state for dark matter in nonstandard thermal histories. Phys. Rev. D 2017, 95, 123531. [Google Scholar] [CrossRef]
- Waldstein, I.R.; Erickcek, A.L. Comment on “Kinetic decoupling of WIMPs: Analytic expressions”. Phys. Rev. D 2017, 95, 088301. [Google Scholar] [CrossRef]
- Dine, M.; Fischler, W. The Not So Harmless Axion. Phys. Lett. B 1983, 120, 137–141. [Google Scholar] [CrossRef]
- Steinhardt, P.J.; Turner, M.S. Saving the Invisible Axion. Phys. Lett. B 1983, 129, 51–56. [Google Scholar] [CrossRef]
- Turner, M.S. Coherent Scalar Field Oscillations in an Expanding Universe. Phys. Rev. D 1983, 28, 1243. [Google Scholar] [CrossRef]
- Scherrer, R.J.; Turner, M.S. Decaying Particles Do Not Heat Up the Universe. Phys. Rev. D 1985, 31, 681. [Google Scholar] [CrossRef]
- Lyth, D.H.; Stewart, E.D. Thermal inflation and the moduli problem. Phys. Rev. D 1996, 53, 1784–1798. [Google Scholar] [CrossRef]
- Chung, D.J.H.; Kolb, E.W.; Riotto, A. Production of massive particles during reheating. Phys. Rev. D 1999, 60, 063504. [Google Scholar] [CrossRef]
- Giudice, G.F.; Kolb, E.W.; Riotto, A. Largest temperature of the radiation era and its cosmological implications. Phys. Rev. D 2001, 64, 023508. [Google Scholar] [CrossRef]
- Moroi, T.; Randall, L. Wino cold dark matter from anomaly mediated SUSY breaking. Nucl. Phys. B 2000, 570, 455–472. [Google Scholar] [CrossRef]
- Fujii, M.; Hamaguchi, K. Nonthermal dark matter via Affleck-Dine baryogenesis and its detection possibility. Phys. Rev. D 2002, 66, 083501. [Google Scholar] [CrossRef]
- Fujii, M.; Ibe, M.; Yanagida, T. Thermal leptogenesis and gauge mediation. Phys. Rev. D 2004, 69, 015006. [Google Scholar] [CrossRef]
- Gelmini, G.B.; Gondolo, P. Neutralino with the right cold dark matter abundance in (almost) any supersymmetric model. Phys. Rev. D 2006, 74, 023510. [Google Scholar] [CrossRef]
- Gelmini, G.; Gondolo, P.; Soldatenko, A.; Yaguna, C.E. The Effect of a late decaying scalar on the neutralino relic density. Phys. Rev. D 2006, 74, 083514. [Google Scholar] [CrossRef]
- Acharya, B.S.; Kane, G.; Watson, S.; Kumar, P. A Non-thermal WIMP Miracle. Phys. Rev. D 2009, 80, 083529. [Google Scholar] [CrossRef]
- Grin, D.; Smith, T.; Kamionkowski, M. Thermal axion constraints in non-standard thermal histories. AIP Conf. Proc. 2010, 1274, 78–84. [Google Scholar]
- Harigaya, K.; Kawasaki, M.; Mukaida, K.; Yamada, M. Dark Matter Production in Late Time Reheating. Phys. Rev. D 2014, 89, 083532. [Google Scholar] [CrossRef]
- Baer, H.; Choi, K.Y.; Kim, J.E.; Roszkowski, L. Dark matter production in the early Universe: Beyond the thermal WIMP paradigm. Phys. Rep. 2015, 555, 1–60. [Google Scholar] [CrossRef]
- Monteux, A.; Shin, C.S. Thermal Goldstino Production with Low Reheating Temperatures. Phys. Rev. D 2015, 92, 035002. [Google Scholar] [CrossRef]
- Reece, M.; Roxlo, T. Nonthermal production of dark radiation and dark matter. J. High Energy Phys. 2016, 09, 096. [Google Scholar] [CrossRef]
- Kane, G.L.; Kumar, P.; Nelson, B.D.; Zheng, B. Dark matter production mechanisms with a nonthermal cosmological history: A classification. Phys. Rev. D 2016, 93, 063527. [Google Scholar] [CrossRef]
- Erickcek, A.L. The Dark Matter Annihilation Boost from Low-Temperature Reheating. Phys. Rev. D 2015, 92, 103505. [Google Scholar] [CrossRef]
- Kim, H.; Hong, J.P.; Shin, C.S. A map of the non-thermal WIMP. Phys. Lett. B 2017, 768, 292–298. [Google Scholar] [CrossRef]
- Barrow, J.D. Massive Particles as a Probe of the Early Universe. Nucl. Phys. B 1982, 208, 501–508. [Google Scholar] [CrossRef]
- Ford, L.H. Gravitational Particle Creation and Inflation. Phys. Rev. D 1987, 35, 2955. [Google Scholar] [CrossRef]
- Spokoiny, B. Deflationary universe scenario. Phys. Lett. B 1993, 315, 40–45. [Google Scholar] [CrossRef]
- Joyce, M. Electroweak Baryogenesis and the Expansion Rate of the Universe. Phys. Rev. D 1997, 55, 1875–1878. [Google Scholar] [CrossRef]
- Salati, P. Quintessence and the relic density of neutralinos. Phys. Lett. B 2003, 571, 121–131. [Google Scholar] [CrossRef]
- Profumo, S.; Ullio, P. SUSY dark matter and quintessence. J. Cosmol. Astropart. Phys. 2003, 0311, 006. [Google Scholar] [CrossRef]
- Feng, J.L.; Rajaraman, A.; Takayama, F. SuperWIMP dark matter signals from the early universe. Phys. Rev. D 2003, 68, 063504. [Google Scholar] [CrossRef]
- Feng, J.L.; Su, S.f.; Takayama, F. SuperWIMP gravitino dark matter from slepton and sneutrino decays. Phys. Rev. D 2004, 70, 063514. [Google Scholar] [CrossRef]
- Pallis, C. Quintessential kination and cold dark matter abundance. J. Cosmol. Astropart. Phys. 2005, 0510, 015. [Google Scholar] [CrossRef]
- Gomez, M.E.; Lola, S.; Pallis, C.; Rodriguez-Quintero, J. Quintessential Kination and Thermal Production of SUSY e-WIMPs. AIP Conf. Proc. 2009, 1115, 157–162. [Google Scholar]
- Lola, S.; Pallis, C.; Tzelati, E. Tracking Quintessence and Cold Dark Matter Candidates. J. Cosmol. Astropart. Phys. 2009, 0911, 017. [Google Scholar] [CrossRef]
- Lewicki, M.; Rindler-Daller, T.; Wells, J.D. Enabling Electroweak Baryogenesis through Dark Matter. J. High Energy Phys. 2016, 06, 055. [Google Scholar] [CrossRef]
- Artymowski, M.; Lewicki, M.; Wells, J.D. Gravitational wave and collider implications of electroweak baryogenesis aided by non-standard cosmology. J. High Energy Phys. 2017, 03, 066. [Google Scholar] [CrossRef]
- Redmond, K.; Erickcek, A.L. New Constraints on Dark Matter Production during Kination. Phys. Rev. D 2017, 96, 043511. [Google Scholar] [CrossRef]
- D’Eramo, F.; Fernandez, N.; Profumo, S. When the Universe Expands Too Fast: Relentless Dark Matter. J. Cosmol. Astropart. Phys. 2017. [Google Scholar] [CrossRef]
- Pallis, C. Kination-dominated reheating and cold dark matter abundance. Nucl. Phys. B 2006, 751, 129–159. [Google Scholar] [CrossRef]
- Allahverdi, R.; Drees, M. Production of Massive Stable Particles in Inflaton Decay. Phys. Rev. Lett. 2002, 89, 091302. [Google Scholar] [CrossRef] [PubMed]
- Choi, K.Y.; Kim, J.E.; Lee, H.M.; Seto, O. Neutralino dark matter from heavy axino decay. Phys. Rev. D 2008, 77, 123501. [Google Scholar] [CrossRef]
- Ackermann, M. Updated search for spectral lines from Galactic dark matter interactions with pass 8 data from the Fermi Large Area Telescope. Phys. Rev. D 2015, 91, 122002. [Google Scholar] [CrossRef]
- Gondolo, P.; Gelmini, G. Cosmic abundances of stable particles: Improved analysis. Nucl. Phys. B 1991, 360, 145–179. [Google Scholar] [CrossRef]
- Kim, Y.G.; Lee, K.Y. The Minimal model of fermionic dark matter. Phys. Rev. D 2007, 75, 115012. [Google Scholar] [CrossRef]




© 2018 by the author. Licensee MDPI, Basel, Switzerland. This article is an open access article distributed under the terms and conditions of the Creative Commons Attribution (CC BY) license (http://creativecommons.org/licenses/by/4.0/).
Share and Cite
Visinelli, L. (Non-)Thermal Production of WIMPs during Kination. Symmetry 2018, 10, 546. https://doi.org/10.3390/sym10110546
Visinelli L. (Non-)Thermal Production of WIMPs during Kination. Symmetry. 2018; 10(11):546. https://doi.org/10.3390/sym10110546
Chicago/Turabian StyleVisinelli, Luca. 2018. "(Non-)Thermal Production of WIMPs during Kination" Symmetry 10, no. 11: 546. https://doi.org/10.3390/sym10110546
APA StyleVisinelli, L. (2018). (Non-)Thermal Production of WIMPs during Kination. Symmetry, 10(11), 546. https://doi.org/10.3390/sym10110546
