Therapeutic Drug Monitoring of Infliximab and Adalimumab through Concentration and Anti-Drug Antibodies Assessment; Comparison of Sanquin Diagnostics and Theradiag Assays
Abstract
1. Introduction
2. Methods
2.1. Patient Population and Sample Selection
2.2. Sample Collection
2.3. Biologic Concentration and Anti-Drug Antibody (ADA) Assays
2.4. Statistical Analysis
3. Results
3.1. Patient Population
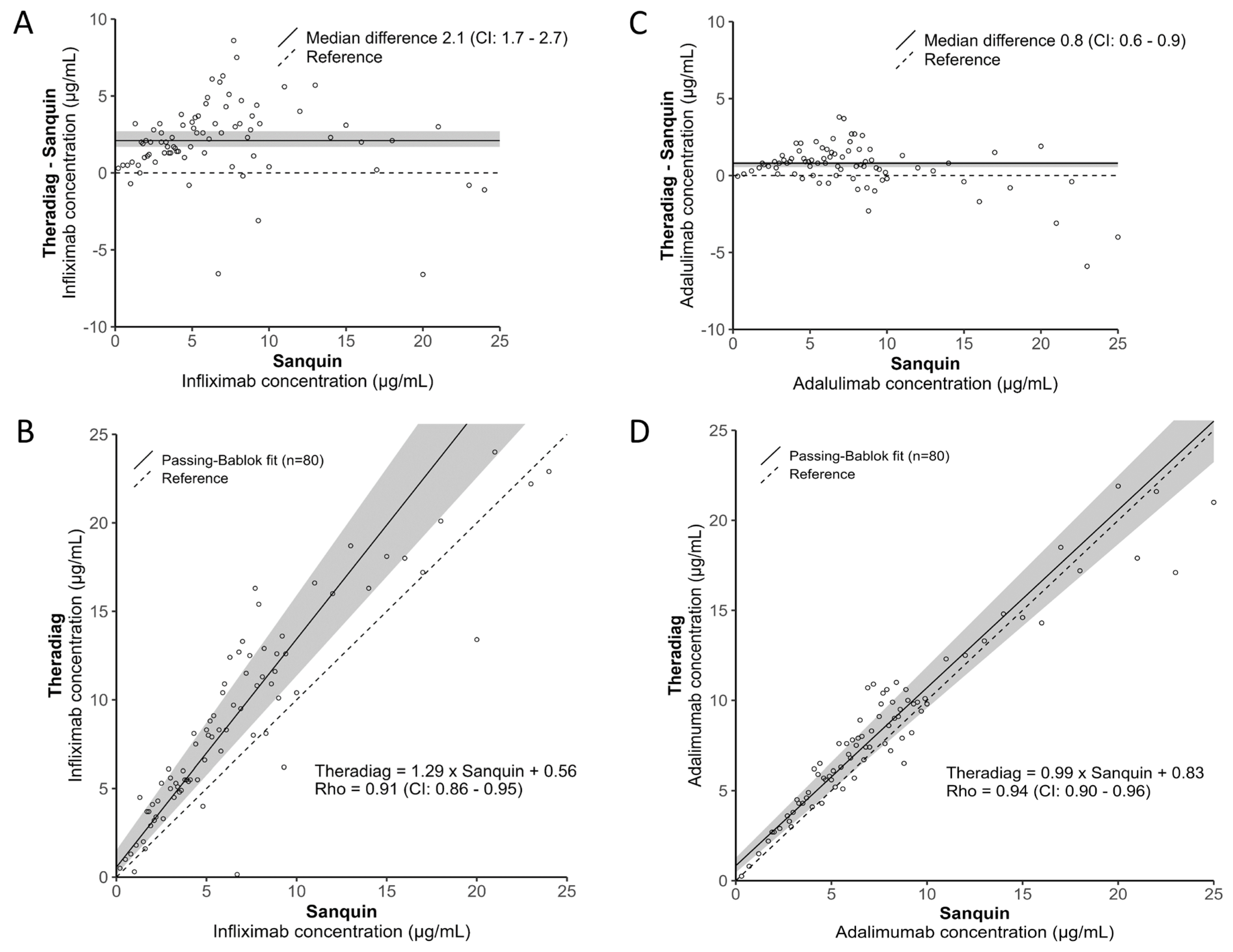
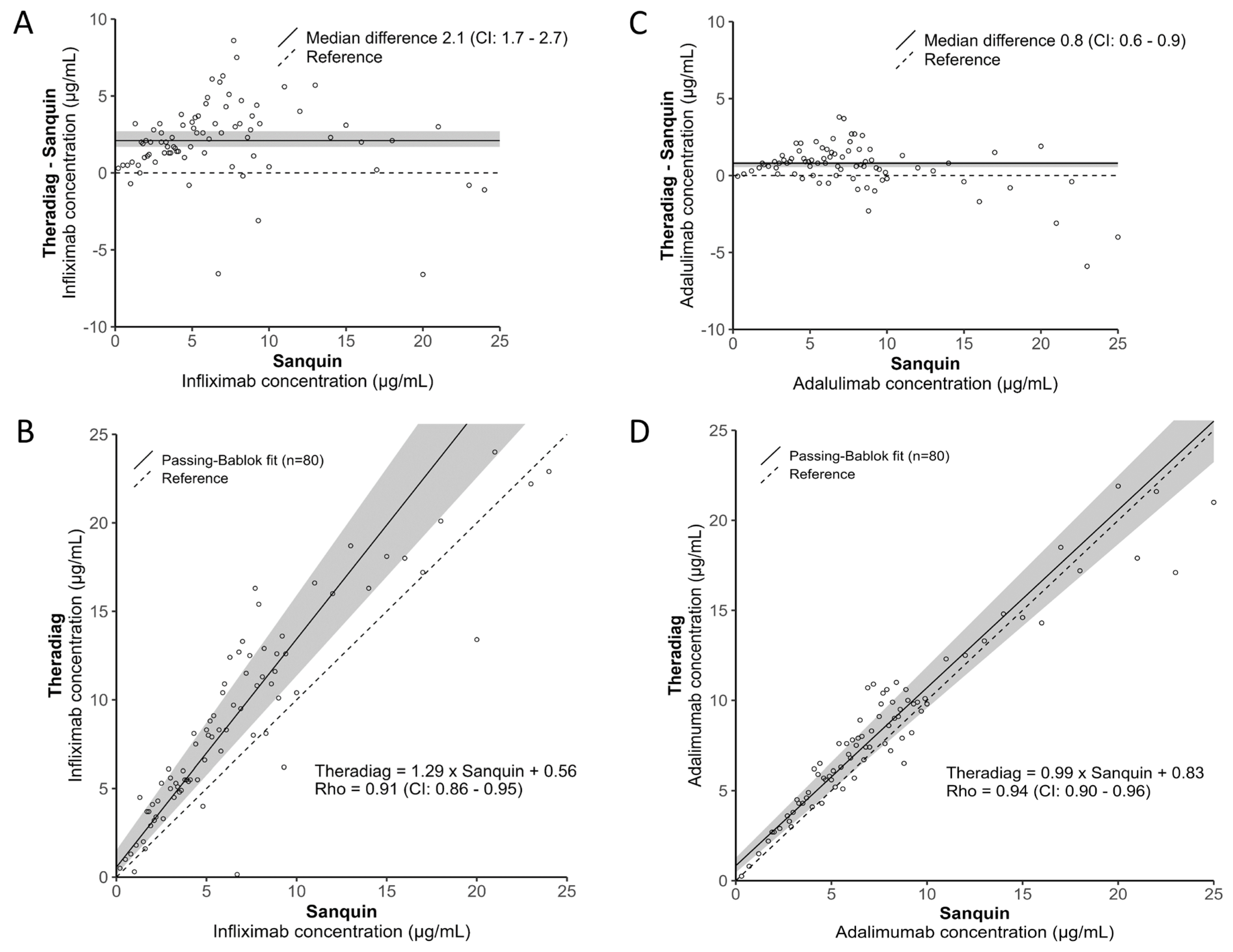
3.2. Agreement between Infliximab and Adalimumab Concentration Assays
3.3. Agreement between Infliximab and Adalimumab ADA Assays
3.4. ADA Assay Discordance Analyses
4. Discussion
4.1. Implications
4.2. Limitations
5. Conclusions
Supplementary Materials
Author Contributions
Funding
Institutional Review Board Statement
Informed Consent Statement
Data Availability Statement
Acknowledgments
Conflicts of Interest
References
- Colombel, J.F.; Sandborn, W.J.; Reinisch, W.; Mantzaris, G.J.; Kornbluth, A.; Rachmilewitz, D.; Lichtiger, S.; d’Haens, G.; Diamond, R.H.; Broussard, D.L.; et al. Infliximab, azathioprine, or combination therapy for Crohn’s disease. N. Engl. J. Med. 2010, 362, 1383–1395. [Google Scholar] [CrossRef] [PubMed]
- Vaisman-Mentesh, A.; Gutierrez-Gonzalez, M.; DeKosky, B.J.; Wine, Y. The Molecular Mechanisms That Underlie the Immune Biology of Anti-drug Antibody Formation following Treatment with Monoclonal Antibodies. Front. Immunol. 2020, 11, 1951. [Google Scholar] [CrossRef] [PubMed]
- Krishna, M.; Nadler, S.G. Immunogenicity to Biotherapeutics—The Role of Anti-Drug Immune Complexes. Front. Immunol. 2016, 7, 21. [Google Scholar] [CrossRef] [PubMed]
- van Schouwenburg, P.A.; Rispens, T.; Wolbink, G.J. Immunogenicity of anti-TNF biologic therapies for rheumatoid arthritis. Nat. Rev. Rheumatol. 2013, 9, 164–172. [Google Scholar] [CrossRef] [PubMed]
- Hansel, T.T.; Kropshofer, H.; Singer, T.; Mitchell, J.A.; George, A.J. The safety and side effects of monoclonal antibodies. Nat. Rev. Drug Discov. 2010, 9, 325–338. [Google Scholar] [CrossRef] [PubMed]
- Homann, A.; Rockendorf, N.; Kromminga, A.; Frey, A.; Jappe, U. B cell epitopes on infliximab identified by oligopeptide microarray with unprocessed patient sera. J. Transl. Med. 2015, 13, 339. [Google Scholar] [CrossRef] [PubMed]
- Shankar, G.; Devanarayan, V.; Amaravadi, L.; Barrett, Y.C.; Bowsher, R.; Finco-Kent, D.; Fiscella, M.; Gorovits, B.; Kirschner, S.; Moxness, M.; et al. Recommendations for the validation of immunoassays used for detection of host antibodies against biotechnology products. J. Pharm. Biomed. Anal. 2008, 48, 1267–1281. [Google Scholar] [CrossRef]
- Gorovits, B.; Baltrukonis, D.J.; Bhattacharya, I.; Birchler, M.A.; Finco, D.; Sikkema, D.; Vincent, M.S.; Lula, S.; Marshall, L.; Hickling, T.P. Immunoassay methods used in clinical studies for the detection of anti-drug antibodies to adalimumab and infliximab. Clin. Exp. Immunol. 2018, 192, 348–365. [Google Scholar] [CrossRef]
- Soenen, R.; Stove, C.; Capobianco, A.; De Schutter, H.; Dobbelaere, M.; Mahjor, T.; Follens, M.; Lambert, J.; Grine, L. Promising Tools to Facilitate the Implementation of TDM of Biologics in Clinical Practice. J. Clin. Med. 2022, 11, 3011. [Google Scholar] [CrossRef]
- McHugh, M.L. Interrater reliability: The kappa statistic. Biochem. Med. 2012, 22, 276–282. [Google Scholar] [CrossRef]
- Vande Casteele, N. Assays for measurement of TNF antagonists in practice. Frontline Gastroenterol. 2017, 8, 236–242. [Google Scholar] [CrossRef] [PubMed]
- Berger, A.E.; Gleizes, A.; Waeckel, L.; Roblin, X.; Krzysiek, R.; Hacein-Bey-Abina, S.; Soriano, A.; Paul, S. Validation Study of a New Random-Access Chemiluminescence Immunoassay Analyzer i-TRACK10((R)) to Monitor Infliximab and Adalimumab Serum trough Levels and Anti-Drug Antibodies. Int. J. Mol. Sci. 2022, 23, 9561. [Google Scholar] [CrossRef] [PubMed]
- Ruiz-Argüello, B.; del Agua, A.R.; Torres, N.; Monasterio, A.; Martínez, A.; Nagore, D. Comparison study of two commercially available methods for the determination of infliximab, adalimumab, etanercept and anti-drug antibody levels. Clin. Chem. Lab. Med. 2013, 51, e287–e289. [Google Scholar] [CrossRef] [PubMed]
- Damoiseaux, J. The perspective on standardisation and harmonisation: The viewpoint of the EASI president. Autoimmun. Highlights 2020, 11, 4. [Google Scholar] [CrossRef] [PubMed]
- van Schouwenburg, P.A.; Kruithof, S.; Wolbink, G.; Wouters, D.; Rispens, T. Using monoclonal antibodies as an international standard for the measurement of anti-adalimumab antibodies. J. Pharm. Biomed. Anal. 2016, 120, 198–201. [Google Scholar] [CrossRef] [PubMed]

| Infliximab Concentration | Infliximab ADA | Adalimumab Concentration | Adalimumab ADA | |
|---|---|---|---|---|
| Assay principle | ELISA | RIA | ELISA | RIA |
| Units | µg/mL | AU/mL | µg/mL | AU/mL |
| Cut-off | N.A. | <12 = negative 12–30 = ADA present, not quantifiable 30–875 = ADA present | N.A. | <12 = negative 12–30 = ADA present, not quantifiable 30–875 = ADA present |
| Measuring range | 0.03–250 | 12–875 | 0.01–250 | 12–875 |
| Ref. number * | J289 | J288 | J291 | J290 |
| Infliximab Concentration | Infliximab ADA Free | Infliximab ADA Total | Adalimumab Concentration | Adalimumab ADA Free | Adalimumab ADA Total | |
|---|---|---|---|---|---|---|
| Assay principle | CLIA | |||||
| Units | µg/mL | ng/mL | ng/mL | µg/mL | ng/mL | ng/mL |
| Cut-off | N.A. | 10 | 10 | N.A. | 10 | 10 |
| Measuring range | 0.3–24 | 10–2000 | 10–2000 | 0.5–24 | 10–2000 | 10–2000 |
| Ref. number | CTI 002–100 | CTI 003–100 | CTI 003T-50-R | CTA 002–100 | CTA 003–100 | CTA 003T-50-R |
| Infliximab Concentration | Infliximab ADA | Adalimumab Concentration | Adalimumab ADA | |
|---|---|---|---|---|
| Patient characteristics | ||||
| n | 80 | 80 | 80 | 79 |
| Age (years) | 42 ± 18 | 49 ± 18 | 48 ± 18 | 46 ± 18 |
| Female (%) | 56 | 73 | 56 | 65 |
| Medical specialty | ||||
| Gastrointestinal and liver diseases (%) | 68 | 48 | 74 | 68 |
| Rheumatology (%) | 10 | 28 | 5 | 9 |
| Ophthalmology (%) | 3 | 9 | 15 | 10 |
| Pediatrics (%) | 15 | 8 | 1 | 6 |
| Internal medicine (%) | 3 | 5 | 3 | 6 |
| Dermatology (%) | 0 | 4 | 0 | 0 |
| Pulmonology (%) | 3 | 0 | 0 | 0 |
| Plastic surgery (%) | 0 | 0 | 1 | 0 |
| Other (%) | 0 | 0 | 1 | 0 |
| Biologic | Theradiag ADA Assay | Number of Samples | Cohen’s Kappa |
|---|---|---|---|
| Infliximab | Free | 80 | 0.458 |
| Infliximab | Free (paired) | 64 | 0.448 |
| Infliximab | Total | 64 | 0.717 |
| Adalimumab | Free | 79 | 0.119 |
| Adalimumab | Free (paired) | 74 | 0.124 |
| Adalimumab | Total | 74 | 0.802 |
| Sanquin Diagnostics | Theradiag | ||||
|---|---|---|---|---|---|
| Theradiag (Free) Assay | Number of Discordant Samples | Median [IQR] Biologic Concentration (µg/mL) | ADA Positive/Negative | Median [IQR] Biologic Concentration (µg/mL) | ADA Positive/Negative |
| Infliximab | 16 | 1.3 [0.4–4.2] (n = 12) | All positive (n = 16) | 1.4 [0.8–5.4] (n = 15) | All negative (n = 16) |
| Adalimumab | 45 | 1.4 [0.6–3.9] (n = 43) | All positive (n = 45) | 2.0 [0.5–5.3] (n = 41) | All negative (n = 45) |
| Sanquin Diagnostics | Theradiag | ||
|---|---|---|---|
| Theradiag (Total) Assay | Number of Discordant Samples | Median [IQR] Biologic Concentration in µg/mL (and Corresponding ADA Result) | Median [IQR] Biologic Concentration in µg/mL (and Corresponding ADA Result) |
| Infliximab | 4 | 2.6 (negative) | 3.2 (positive) |
| 3.3 (negative) | 3.3 (positive) | ||
| 5.1 (negative) | 4.6 (positive) | ||
| 7.8 (negative) | 9.4 (positive) | ||
| Adalimumab | 4 | 0.2 (positive) | <0.5 (negative) |
| 0.3 (positive) | <0.5 (negative) | ||
| 4.1 (positive) | 5.7 (negative) | ||
| 4.7 (positive) | 7.9 (negative) |
Disclaimer/Publisher’s Note: The statements, opinions and data contained in all publications are solely those of the individual author(s) and contributor(s) and not of MDPI and/or the editor(s). MDPI and/or the editor(s) disclaim responsibility for any injury to people or property resulting from any ideas, methods, instructions or products referred to in the content. |
© 2024 by the authors. Licensee MDPI, Basel, Switzerland. This article is an open access article distributed under the terms and conditions of the Creative Commons Attribution (CC BY) license (https://creativecommons.org/licenses/by/4.0/).
Share and Cite
Vroemen, W.H.M.; Agata, S.S.; van Beers, J.J.B.C.; Damoiseaux, J.G.M.C. Therapeutic Drug Monitoring of Infliximab and Adalimumab through Concentration and Anti-Drug Antibodies Assessment; Comparison of Sanquin Diagnostics and Theradiag Assays. Antibodies 2024, 13, 73. https://doi.org/10.3390/antib13030073
Vroemen WHM, Agata SS, van Beers JJBC, Damoiseaux JGMC. Therapeutic Drug Monitoring of Infliximab and Adalimumab through Concentration and Anti-Drug Antibodies Assessment; Comparison of Sanquin Diagnostics and Theradiag Assays. Antibodies. 2024; 13(3):73. https://doi.org/10.3390/antib13030073
Chicago/Turabian StyleVroemen, Wim H. M., Shakira S. Agata, Joyce J. B. C. van Beers, and Jan G. M. C. Damoiseaux. 2024. "Therapeutic Drug Monitoring of Infliximab and Adalimumab through Concentration and Anti-Drug Antibodies Assessment; Comparison of Sanquin Diagnostics and Theradiag Assays" Antibodies 13, no. 3: 73. https://doi.org/10.3390/antib13030073
APA StyleVroemen, W. H. M., Agata, S. S., van Beers, J. J. B. C., & Damoiseaux, J. G. M. C. (2024). Therapeutic Drug Monitoring of Infliximab and Adalimumab through Concentration and Anti-Drug Antibodies Assessment; Comparison of Sanquin Diagnostics and Theradiag Assays. Antibodies, 13(3), 73. https://doi.org/10.3390/antib13030073

