Leading Core or Lagging Periphery? Spatial Gradient, Explanatory Mechanisms and Policy Response of Urban-Rural Integrated Development in Xi’an Metropolitan Area
Abstract
1. Introduction
2. Materials and Methods
2.1. Study Area
2.2. URID Evaluation Framework and Explanatory Factor System
2.2.1. Review of URID Theory
2.2.2. Design of the URID Evaluation Framework
2.2.3. Explanatory Factors Selection and Data Processing
2.3. Methods
2.3.1. Entropy-Weighted TOPSIS Method
2.3.2. Kernel Density Estimation
2.3.3. Optimal Parameters-Based Geographical Detector (OPGD) Model
2.4. Data Sources and Preprocessing
3. Results
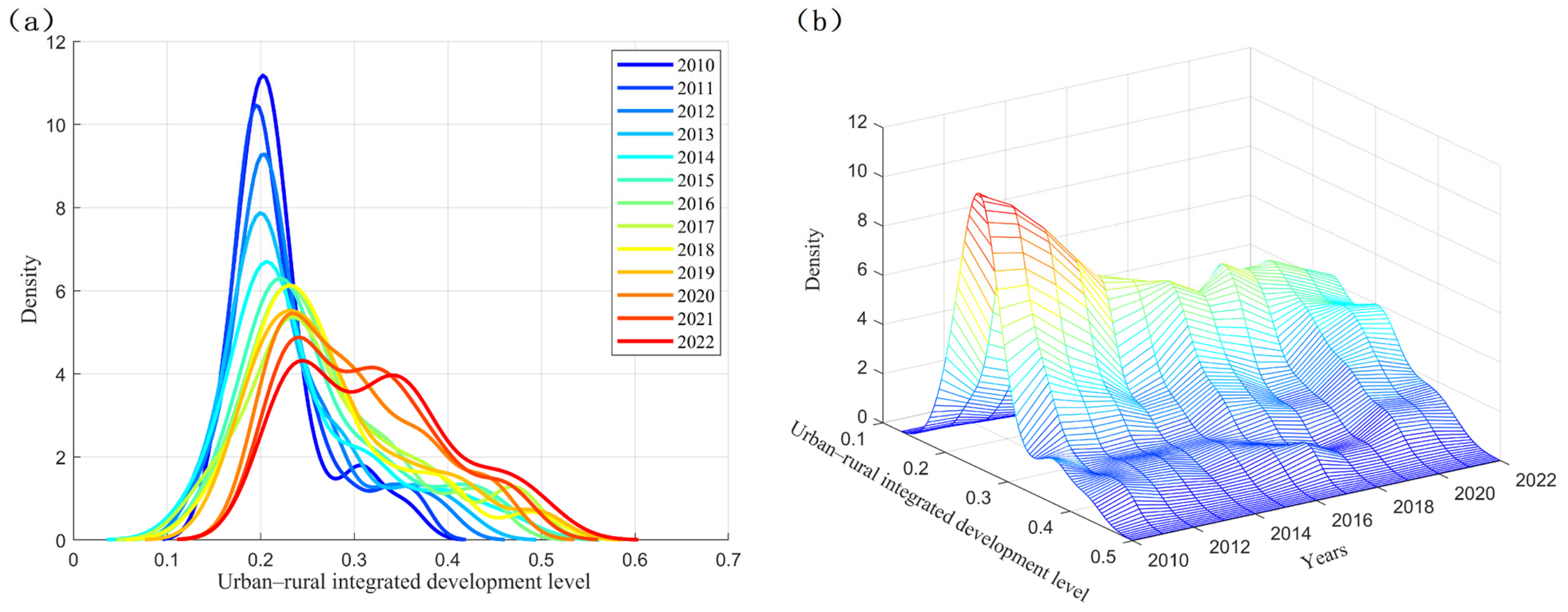
3.1. Temporal Evolution of URID in the Xi’an Metropolitan Area
3.2. Spatial Evolution of URID in the Xi’an Metropolitan Area
3.3. Explanatory Factors and Their Interaction Effects on URID in the Xi’an Metropolitan Area
3.3.1. Explanatory Factors and Interaction Effects from 2010 to 2022
3.3.2. Stage-Specific Heterogeneity of Explanatory Patterns
4. Discussion
4.1. Influence of Parameter Settings on the OPGD Model and Corresponding Refinement Scheme
- (1)
- Construct the discretization matrix. Construct a valid “break number-discretization method” discretization matrix for each indicator.
- (2)
- Screen based on significance. This step sequentially tests three significance levels, starting with p < 0.01, then p < 0.05, and finally the non-significant level. For each break number, test all discretization methods and retain the one with the highest q-value; collect the retained results across break numbers to form the break-number set. If valid results exist, proceed to step (3); otherwise relax the criterion to the next significance level. This step reduces the break number-discretization method matrix to the break-number set.
- (3)
- Verify thresholds. For the break-number set obtained in step (2), progressive verification begins with p < 0.01. Using the smallest break number as the baseline, compare successive break numbers (+1, +2, +3) and compute the q-value growth rate. If all three comparisons (n with n + 1, n with n + 2, n with n + 3) yield growth rates below 5%, the q-value is considered stable and the corresponding parameter combination is identified as optimal. If any comparison exceeds the threshold, promote the next break number to the baseline and repeat the procedure (+1 → +2 → +3) until the upper bound of the predefined range is reached.
- (4)
- Significance-level downgrading and adaptation. If no valid result is obtained under p < 0.01, sequentially relax to p < 0.05 and then to the non-significant level. When an indicator remains non-significant overall, select the parameter combination with the highest q-value as a reference.


4.2. Optimization Strategies and Pathways for URID Advancement in the Xi’an Metropolitan Area
4.2.1. Strengthening Transportation Connectivity and Spatial Accessibility to Consolidate the Foundation for URID
4.2.2. Optimizing Regional Land Use Structure to Promote Urban-Rural Functional Complementarity and Spatially Coordinated Development
4.2.3. Promoting Positive Population-Industry Interaction to Build a Bidirectional Circulation of Factors
4.3. Limitations and Future Prospects
5. Conclusions
- (1)
- URID in the Xi’an metropolitan area exhibited a pattern of “overall enhancement, internal divergence, accelerated growth in core areas, and moderated progress in peripheral zones.” Temporally, the average URID level increased from 0.218 in 2010 to 0.323 in 2022. Spatially, high values concentrated in core units such as Yanta district and Qindu district and low values in peripheral agricultural counties such as Fuping and Jingyang. The eight national URID pilot zones improved particularly rapidly after 2020, underscoring the role of targeted policy guidance in narrowing regional gaps.
- (2)
- The explanatory patterns of URID evolved toward stronger multidimensional coupling. Geographical factors provided a stable structural background, whereas socioeconomic factors, especially the proportion of built-up area and GRP, had the strongest association with URID. The effect of net migration was clearly stage-specific: after 2017, industrial upgrading in the metropolitan core coincided with stronger population inflows and a gradually released demographic dividend. With the interaction between forest coverage and economic variables weakening over time, while the role of grain output remained relatively stable. In the post-pandemic period, the marginal influence of single factors has declined, and URID is increasingly shaped by coordinated interactions across multiple dimensions.
- (3)
- Advancing URID in the Xi’an metropolitan area requires building a new type of urban-rural relationship featuring mutual reinforcement between industry and agriculture, functional complementarity and shared development. Policy efforts should focus on three fronts. First, strengthen transport connectivity and spatial accessibility, especially between core cities and peripheral counties, to reduce travel costs and support more frequent factor flows. Second, optimize land-use structures to promote compact, efficient urban development in core districts while supporting productive, ecologically sound land-use patterns in surrounding agricultural and ecological counties. Third, foster positive population-industry interactions by enhancing employment absorption and improving basic public services in both in-migration and out-migration areas, and by using digital tools such as e-commerce and smart agriculture to lower circulation costs and expand market access.
Author Contributions
Funding
Data Availability Statement
Conflicts of Interest
Abbreviations
| URID | Urban-rural integrated development |
| GDP | Gross domestic product |
| GRP | Gross regional product |
| NPP | Net primary productivity |
| SSH | Spatial stratified heterogeneity |
| GD | Geographical detector |
| OPGD | Optimal parameters-based geographical detector |
| DEM | Digital Elevation Model |
| VIF | Variance inflation factor |
| A1 | Per capita retail sales of consumer goods of urban and rural residents (CNY/person) |
| A2 | Ratio of per capita disposable income between urban and rural residents (%) |
| A3 | Per capita GDP of urban and rural residents (CNY/person) |
| A4 | Proportion of non-agricultural industrial output value (%) |
| A5 | Ratio of primary industry added value to cultivated land area (CNY/km2) |
| A6 | Number of industrial enterprises above designated size (unit) |
| B1 | Population density (person/km2) |
| B2 | Ratio of primary and secondary school students to permanent population (%) |
| B3 | Number of hospital beds per 10,000 urban and rural residents (unit/10,000 persons) |
| B4 | Primary-school teacher-student ratio of urban and rural residents (%) |
| B5 | Middle-school teacher-student ratio of urban and rural residents (%) |
| C1 | NPP (gC/(m2·a)) |
| C2 | Average PM2.5 concentration (μg/m3) |
| X1 | Forest coverage rate (%) |
| X2 | Output of grain crops (10,000 tons) |
| X3 | Proportion of built-up area (%) |
| X4 | Gross regional product (10,000 CNY) |
| X5 | Per capita fiscal budget revenue (CNY) |
| X6 | Rate of net migration (%) |
| X7 | DEM (m) |
| X8 | Slope (°) |
| X9 | Commute time to the core area (minutes) |
References
- World Urbanization Prospects: The 2018 Revision. Available online: https://population.un.org/wup/ (accessed on 23 August 2025).
- World Cities Report 2022: Envisaging the Future of Cities. Available online: https://unhabitat.org/world-cities-report-2022-envisaging-the-future-of-cities (accessed on 23 August 2025).
- Su, K.; He, D.; Wang, R.; Han, Z.; Deng, X. Assessment of natural resource endowment and urban-rural integration for sustainable development in Xinjiang, China. J. Clean. Prod. 2024, 450, 142046. [Google Scholar] [CrossRef]
- The Sustainable Development Goals Report 2024. Available online: https://unstats.un.org/sdgs/report/2024/ (accessed on 23 August 2025).
- Fang, C. On integrated urban and rural development. J. Geogr. Sci. 2022, 32, 1411–1426. [Google Scholar] [CrossRef]
- Zhan, L.; Wang, S.; Xie, S.; Zhang, Q.; Qu, Y. Spatial path to achieve urban-rural integration development—Analytical framework for coupling the linkage and coordination of urban-rural system functions. Habitat Int. 2023, 142, 102953. [Google Scholar] [CrossRef]
- Yang, Y.; Bao, W.; Wang, Y.; Liu, Y. Measurement of urban-rural integration level and its spatial differentiation in China in the new century. Habitat Int. 2021, 117, 102420. [Google Scholar] [CrossRef]
- Wan, G.; Zhang, X.; Zhao, M. Urbanization can help reduce income inequality. npj Urban Sustain. 2022, 2, 1. [Google Scholar] [CrossRef]
- Liu, Y. Research on the urban-rural integration and rural revitalization in the new era in China. Acta Geogr. Sin. 2018, 73, 637–650. [Google Scholar]
- Fang, C. Theoretical analysis on the mechanism and evolution law of urban-rural integration development. Acta Geogr. Sin. 2022, 77, 759–776. [Google Scholar]
- Zheng, Y.; Long, H. Measurement and spatio-temporal pattern of urban-rural integrated development in China. Acta Geogr. Sin. 2023, 78, 1869–1887. [Google Scholar]
- Chen, K.; Long, H.; Liao, L.; Tu, S.; Li, T. Land use transitions and urban-rural integrated development: Theoretical framework and China’s evidence. Land Use Policy 2020, 92, 104465. [Google Scholar] [CrossRef]
- Duan, K.; Shi, J.; Wu, G.; Hua, W. Driving factors and paths of urban-rural integration development. Chin. J. Popul. Resour. Environ. 2024, 34, 150–161. [Google Scholar]
- Zhang, H.; He, R.; Li, G.; Wang, J. Spatiotemporal evolution of coupling coordination degree of urban-rural integration system in metropolitan area and its influencing factors: Taking the capital region as an example. Econ. Geogr. 2020, 40, 56–67. [Google Scholar]
- Luo, W.; Wang, W.; Lin, Z.; Zhou, W. Spatiotemporal evolution and driving factors of urban-rural integration in China. Prog. Geogr. 2023, 42, 629–643. [Google Scholar] [CrossRef]
- Zhang, C.; Fan, Y.; Fang, C. When will China realize urban-rural integration? A case study of 30 provinces in China. Cities 2024, 153, 105290. [Google Scholar] [CrossRef]
- Liu, S.; Long, T. The theory of urban-rural integration: Stages, characteristics and enlightenment. Econ. Perspect. 2022, 3, 21–34. [Google Scholar]
- Wei, M.; Huang, T. The influence mechanism of county urban-rural integration development on the realization of common prosperity of rural tourism destinations: Take 60 typical counties in the Yangtze River Delta region as examples. J. Nat. Resour. 2024, 39, 1591–1612. [Google Scholar] [CrossRef]
- Liu, Y.; Zang, Y.; Yang, Y. China’s rural revitalization and development: Theory, technology and management. J. Geogr. Sci. 2020, 30, 1923–1942. [Google Scholar] [CrossRef]
- Zhou, D.; Qi, J.; Zhong, W. Review of urban-rural integration evaluation: Connotation identification, theoretical analysis, and system reconstruction. J. Nat. Resour. 2021, 36, 2634–2651. [Google Scholar] [CrossRef]
- Long, H.; Xu, Y.; Zheng, Y.; Chen, K. Urban-rural integrated development at county level under Chinese path to modernization. Econ. Geogr. 2023, 43, 12–19. [Google Scholar]
- Cui, S.; Zhou, G.; Wu, G.; Bi, F. The evaluation of urban-rural integration degree and its driving mechanism in Changsha-Zhuzhou-Xiangtan urban agglomeration from the perspective of spatial interaction. Geogr. Res. 2023, 42, 1029–1049. [Google Scholar]
- Liu, M.; Li, Q.; Bai, Y.; Fang, C. A novel framework to evaluate urban-rural coordinated development: A case study in Shanxi Province, China. Habitat Int. 2024, 144, 103013. [Google Scholar] [CrossRef]
- Zhang, X.; Qiu, F.; Zhu, C. Evolution of urban-rural integration in Huaihai Economic Zone from the perspective of spatio-temporal interaction. J. Nat. Resour. 2020, 35, 1867–1880. [Google Scholar]
- Liu, H.; Lu, G.; Luo, K.; Zong, H. Measurement and spatio-temporal pattern evolution of urban-rural integration development in the Chengdu-Chongqing Economic Circle. Land 2024, 13, 942. [Google Scholar] [CrossRef]
- Pan, W.; Wang, J.; Li, Y.; Chen, S.; Lu, Z. Spatial pattern of urban-rural integration in China and the impact of geography. Geogr. Sustain. 2023, 4, 404–413. [Google Scholar] [CrossRef]
- Feng, W.; Liu, Y.; Qu, L. Effect of land-centered urbanization on rural development: A regional analysis in China. Land Use Policy 2019, 87, 104072. [Google Scholar] [CrossRef]
- Liu, B.; Qi, C.; Xue, B.; Yang, Z. Measuring urban-rural integration through the lenses of sustainability and social equity: Evidence from China. Habitat Int. 2025, 165, 103559. [Google Scholar] [CrossRef]
- Zhao, W.; Pan, W.; Li, Y. Urban-rural integration within the county territory: Theoretical connotation and research progress. Geogr. Res. 2023, 42, 1445–1464. [Google Scholar]
- Xi’an Metropolitan Area Development Plan. Available online: https://www.shaanxi.gov.cn/zfxxgk/fdzdgknr/zcwj/nszfwj/szf/202208/t20220808_2238133.html (accessed on 25 August 2025).
- Wang, X.; Liu, Y.; Shao, Y.; Li, S. Evolution pattern and mechanism of rural areal functions in Xi’an metropolitan area, China. Habitat Int. 2024, 148, 103088. [Google Scholar] [CrossRef]
- Zhu, L.; Zhao, M.; Li, Y.; Fan, Y.; Wang, J. The space-time relationship between the ecosystem service value and the human activity intensity in Xi’an Metropolitan Area. J. Ecol. Rural Environ. 2024, 40, 325–334. [Google Scholar]
- Salem, M.; Ravetz, J.; Sareen, S.; Dong, T.; Haque, M.; Bayoumi, W.; Tsurusaki, N.; Xu, G. Managing the urban-rural transition: A review of approaches and policies for peri-urban land use. J. Urban Manag. 2025, 14, 1115–1129. [Google Scholar] [CrossRef]
- Bezemer, D.; Headey, D. Agriculture, Development, and Urban Bias. World Dev. 2008, 36, 1342–1364. [Google Scholar] [CrossRef]
- Dijkstra, L.; Florczyk, A.J.; Freire, S.; Kemper, T.; Melchiorri, M.; Pesaresi, M.; Schiavina, M. Applying the Degree of Urbanisation to the globe: A new harmonised definition reveals a different picture of global urbanisation. J. Urban Econ. 2021, 125, 103312. [Google Scholar] [CrossRef]
- Zhai, G.; Zhang, M.; Hu, Y.; Chen, Y.; Wu, C.; Lu, Y.; He, T. Nighttime light metrics for analysing urban-rural economic disparities: A case study in 36 Chinese metropolitan areas. Cities 2025, 162, 105930. [Google Scholar] [CrossRef]
- He, Y.; Liu, Y.; Fang, X. How urban-rural interactions promote sustainable rural development: Evidence from the Chang-Zhu-Tan urban agglomeration, China. Geogr. Sustain. 2025, 6, 100338. [Google Scholar] [CrossRef]
- Zhou, J.; Qin, F.; Liu, J.; Zhu, G.; Zou, W. Measurement, spatial-temporal evolution and influencing mechanism of urban-rural integration level in China from a multidimensional perspective. Chin. J. Popul. Resour. Environ. 2019, 29, 166–176. [Google Scholar]
- Yang, T.; Zhou, C.; Xiao, T.; Xu, Q. Coordinated Development of the Digital Economy and Urban–Rural Integration in the Yangtze River Delta and Its Spatial Correlation Structure. Sustainability 2025, 17, 4144. [Google Scholar] [CrossRef]
- Zhu, X.; Yu, F. Evolution characteristics, regional differences and influencing factors of urban-rural integrated development at the county scale: Take 64 counties in Wuling Mountain Area as examples. J. Nat. Resour. 2025, 40, 1386–1411. [Google Scholar] [CrossRef]
- Ge, K.; Wang, Y.; Liu, X.; Ke, S.; Jiang, X.; Lu, X. Impacts and threshold effects of urban-rural integration on the transition of arable land use functions. Ecol. Indic. 2024, 166, 112595. [Google Scholar] [CrossRef]
- Zhou, B.-B.; Aggarwal, R.; Wu, J.; Lv, L. Urbanization-associated farmland loss: A macro-micro comparative study in China. Land Use Policy 2021, 101, 105228. [Google Scholar] [CrossRef]
- Deng, Z.; Zhao, Q.; Bao, H.X.H. The impact of urbanization on farmland productivity: Implications for China’s requisition-compensation balance of farmland policy. Land 2020, 9, 311. [Google Scholar] [CrossRef]
- Liu, Y.; Long, H.; Li, Y. Human geography research based on the new thinking of global rural-urban relationship. Acta Geogr. Sin. 2021, 76, 2869–2884. [Google Scholar]
- Long, H.; Ma, L.; Zhang, Y.; Qu, L. Multifunctional rural development in China: Pattern, process and mechanism. Habitat Int. 2022, 121, 102530. [Google Scholar] [CrossRef]
- Zhou, M.; Lyu, H. Intensifying separation or collaborative prosperity? The impact of the Belt and Road Initiative on China’s urban-rural integration development from a spatial justice lens. Habitat Int. 2025, 156, 103249. [Google Scholar] [CrossRef]
- Zhang, T.; Peng, J.; Cao, X. China’s urban and rural development significantly affects the pattern of human appropriation of net primary production. Land 2023, 12, 1062. [Google Scholar] [CrossRef]
- Arnold, M.; Powell, B.; Shanley, P.; Sunderland, T.C.H. Editorial: Forests, biodiversity and food security. Int. For. Rev. 2011, 13, 259–264. [Google Scholar] [CrossRef]
- Cheng, M.; Yin, Z.; Westlund, H. Counterurbanization in China? A case study of counties in Huang-Huai-Hai area from the perspective of urban-rural relations. J. Rural Stud. 2024, 110, 103386. [Google Scholar] [CrossRef]
- Ai, X.S.; Yu, Y.X.; Liang, Z.M.; Shi, X.Y.; Cao, R.; Zhang, X.K. Multilayer entropy-weighted TOPSIS method and its decision-making in ecological operation during the subsidence period of the Three Gorges Reservoir. Sci. Rep. 2025, 15, 2954. [Google Scholar]
- He, Y.; Huang, X.; Yang, X. Adaptation of land-lost farmers to rapid urbanization in urban fringe: A case study of Xi’an. Geogr. Res. 2017, 36, 226–240. [Google Scholar]
- Wang, J.-F.; Zhang, T.-L.; Fu, B.-J. A measure of spatial stratified heterogeneity. Ecol. Indic. 2016, 67, 250–256. [Google Scholar] [CrossRef]
- Song, Y.Z.; Wang, J.F.; Ge, Y.; Xu, C.D. An optimal parameters-based geographical detector model enhances geographic characteristics of explanatory variables for spatial heterogeneity analysis: Cases with different types of spatial data. GISci. Remote Sens. 2020, 57, 593–610. [Google Scholar] [CrossRef]
- Yang, J.; Huang, X. The 30 m annual land cover dataset and its dynamics in China from 1990 to 2019. Earth Syst. Sci. Data 2021, 13, 3907–3925. [Google Scholar] [CrossRef]
- Li, Y.H.; Westlund, H.; Liu, Y.S. Why some rural areas decline while some others not: An overview of rural evolution in the world. J. Rural Stud. 2019, 68, 135–143. [Google Scholar] [CrossRef]
- Shi, S.Q.; Han, Y.; Yu, W.T.; Cao, Y.Q.; Cai, W.M.; Yang, P.; Wu, W.B.; Yu, Q.Y. Spatio-temporal differences and factors influencing intensive cropland use in the Huang-Huai-Hai Plain. J. Geogr. Sci. 2018, 28, 1626–1640. [Google Scholar] [CrossRef]
- Han, Y. The impact of the COVID-19 pandemic on China’s economic structure: An input-output approach. Struct. Change Econ. Dyn. 2022, 63, 181–195. [Google Scholar] [CrossRef] [PubMed]
- Cao, Z.J.; Li, Z.; Zhou, K.X. Does the inter-provincial floating population affect regional economic development in China? An empirical analysis. Sustainability 2024, 16, 7142. [Google Scholar] [CrossRef]
- Fang, C.L.; Liang, L.W.; Chen, D. Quantitative simulation and verification of urbanization and eco-environment coupling coil in Beijing-Tianjin-Hebei urban agglomeration, China. Sust. Cities Soc. 2022, 83, 103985. [Google Scholar] [CrossRef]
- Zhang, Y.; Guo, X.; Su, Y.; Koura H, Y.H.; Wang, N.; Song, W. Changes in spatiotemporal pattern and network characteristics in population migration of China’s cities before and after COVID-19. Hum. Soc. Sci. Commun. 2023, 10, 673. [Google Scholar] [CrossRef]
- Li, Y.; Luo, P.; Song, Y.Z.; Zhang, L.Q.; Qu, Y.; Hou, Z.Y. A locally explained heterogeneity model for examining wetland disparity. Int. J. Digit. Earth 2023, 16, 4533–4552. [Google Scholar] [CrossRef]
- Guo, J.G.; Wang, J.F.; Xu, C.D.; Song, Y.Z. Modeling of spatial stratified heterogeneity. GISci. Remote Sens. 2022, 59, 1660–1677. [Google Scholar] [CrossRef]
- Luo, P.; Song, Y.Z.; Huang, X.; Ma, H.L.; Liu, J.; Yao, Y.; Meng, L.Q. Identifying determinants of spatio-temporal disparities in soil moisture of the Northern Hemisphere using a geographically optimal zones-based heterogeneity model. ISPRS-J. Photogramm. Remote Sens. 2022, 185, 111–128. [Google Scholar] [CrossRef]
- Song, Y.; Shen, Z.; Wu, P.; Viscarra Rossel, R.A. Wavelet geographically weighted regression for spectroscopic modelling of soil properties. Sci. Rep. 2021, 11, 17503. [Google Scholar] [CrossRef]
- Zhao, P.; Wan, J. Land use and travel burden of residents in urban fringe and rural areas: An evaluation of urban-rural integration initiatives in Beijing. Land Use Policy 2021, 103, 105309. [Google Scholar] [CrossRef]
- Cattaneo, A.; Adukia, A.; Brown, D.L.; Christiaensen, L.; Evans, D.K.; Haakenstad, A.; McMenomy, T.; Partridge, M.; Vaz, S.; Weiss, D.J. Economic and social development along the urban-rural continuum: New opportunities to inform policy. World Dev. 2022, 157, 105941. [Google Scholar] [CrossRef]
- Ma, L.; Liu, S.; Fang, F.; Che, X.; Chen, M. Evaluation of urban-rural difference and integration based on quality of life. Sust. Cities Soc. 2020, 54, 101877. [Google Scholar] [CrossRef]
- Li, L.; Ma, S.; Zheng, Y.; Xiao, X. Integrated regional development: Comparison of urban agglomeration policies in China. Land Use Policy 2022, 114, 105939. [Google Scholar] [CrossRef]
- Pan, M.; Huang, Y.; Qin, Y.; Li, X.; Lang, W. Problems and strategies of allocating public service resources in rural areas in the context of county urbanization. Int. J. Environ. Res. Public Health 2022, 19, 14596. [Google Scholar] [CrossRef]
- He, Z.; Chen, M.; Gu, D. How digital village construction affects to the effectiveness of rural governance?—Research on the NCA and QCA methods. Cities 2025, 156, 105514. [Google Scholar] [CrossRef]










| Target Layer | Criterion Layer | Indicator Layer | Attribute | Weight | Reference |
|---|---|---|---|---|---|
| URID | Economic integration | Per capita retail sales of consumer goods of urban and rural residents (CNY/person), A1 | + | 0.151 | [15] |
| Ratio of per capita disposable income between urban and rural residents (%), A2 | + | 0.074 | [25] | ||
| Per capita GDP of urban and rural residents (CNY/person), A3 | + | 0.087 | [46] | ||
| Proportion of non-agricultural industrial output value (%), A4 | + | 0.029 | [25] | ||
| Ratio of primary industry added value to cultivated land area (CNY/km2), A5 | + | 0.118 | [7] | ||
| Number of industrial enterprises above designated size (unit), A6 | + | 0.112 | [36] | ||
| Social integration | Population density (person/km2), B1 | + | 0.122 | [40] | |
| Ratio of primary and secondary school students to permanent population (%), B2 | + | 0.043 | [41] | ||
| Number of hospital beds per 10,000 urban and rural residents (unit/10,000 persons), B3 | + | 0.099 | [25] | ||
| Primary-school teacher-student ratio of urban and rural residents (%), B4 | + | 0.07 | [46] | ||
| Middle-school teacher-student ratio of urban and rural residents (%), B5 | + | 0.036 | [46] | ||
| Ecological integration | NPP (gC/(m2·a)), C1 | + | 0.035 | [47] | |
| Average PM2.5 concentration (μg/m3), C2 | − | 0.024 | [11] |
| Detection Dimensions | Explanatory Factors | Variable |
| Ecological environment | Forest coverage rate (%) | X1 |
| Output of grain crops (10,000 tons) | X2 | |
| Proportion of built-up area (%) | X3 | |
| Socioeconomic factors | Gross regional product (10,000 CNY) | X4 |
| Per capita fiscal budget revenue (CNY) | X5 | |
| Rate of net migration (%) | X6 | |
| Geographical factors | DEM (m) | X7 |
| Slope (°) | X8 | |
| Commute time to the core area (minutes) | X9 |
| Year | Mean | Maximum | Minimum | Standard Deviation | Coefficient of Variation |
| 2010 | 0.218 | 0.354 (Yanta district) | 0.158 (Fuping county) | 0.048 | 0.220 |
| 2011 | 0.218 | 0.365 (Yanta district) | 0.131 (Fuping county) | 0.056 | 0.255 |
| 2012 | 0.229 | 0.390 (Yanta district) | 0.135 (Fuping county) | 0.062 | 0.269 |
| 2013 | 0.233 | 0.409 (Yanta district) | 0.131 (Fuping county) | 0.069 | 0.298 |
| 2014 | 0.248 | 0.462 (Yanta district) | 0.136 (Fuping county) | 0.083 | 0.336 |
| 2015 | 0.263 | 0.456 (Yanta district) | 0.156 (Fuping county) | 0.081 | 0.309 |
| 2016 | 0.264 | 0.436 (Qindu district) | 0.152 (Fuping county) | 0.076 | 0.288 |
| 2017 | 0.276 | 0.474 (Weiyang district) | 0.131 (Jingyang county) | 0.092 | 0.335 |
| 2018 | 0.269 | 0.490 (Qindu district) | 0.145 (Jingyang county) | 0.084 | 0.313 |
| 2019 | 0.280 | 0.495 (Qindu district) | 0.166 (Jingyang county) | 0.088 | 0.313 |
| 2020 | 0.296 | 0.448 (Gaoling district) | 0.206 (Jingyang county) | 0.076 | 0.256 |
| 2021 | 0.309 | 0.464 (Qindu district) | 0.212 (Jingyang county) | 0.078 | 0.252 |
| 2022 | 0.323 | 0.498 (Qindu district) | 0.216 (Jingyang county) | 0.085 | 0.264 |
Disclaimer/Publisher’s Note: The statements, opinions and data contained in all publications are solely those of the individual author(s) and contributor(s) and not of MDPI and/or the editor(s). MDPI and/or the editor(s) disclaim responsibility for any injury to people or property resulting from any ideas, methods, instructions or products referred to in the content. |
© 2025 by the authors. Licensee MDPI, Basel, Switzerland. This article is an open access article distributed under the terms and conditions of the Creative Commons Attribution (CC BY) license.
Share and Cite
Liu, Z.; Zhang, Z.; Lü, H.; Zhang, T. Leading Core or Lagging Periphery? Spatial Gradient, Explanatory Mechanisms and Policy Response of Urban-Rural Integrated Development in Xi’an Metropolitan Area. Land 2026, 15, 33. https://doi.org/10.3390/land15010033
Liu Z, Zhang Z, Lü H, Zhang T. Leading Core or Lagging Periphery? Spatial Gradient, Explanatory Mechanisms and Policy Response of Urban-Rural Integrated Development in Xi’an Metropolitan Area. Land. 2026; 15(1):33. https://doi.org/10.3390/land15010033
Chicago/Turabian StyleLiu, Zuoyou, Zhiyi Zhang, Huiling Lü, and Tian Zhang. 2026. "Leading Core or Lagging Periphery? Spatial Gradient, Explanatory Mechanisms and Policy Response of Urban-Rural Integrated Development in Xi’an Metropolitan Area" Land 15, no. 1: 33. https://doi.org/10.3390/land15010033
APA StyleLiu, Z., Zhang, Z., Lü, H., & Zhang, T. (2026). Leading Core or Lagging Periphery? Spatial Gradient, Explanatory Mechanisms and Policy Response of Urban-Rural Integrated Development in Xi’an Metropolitan Area. Land, 15(1), 33. https://doi.org/10.3390/land15010033

