Next Article in Journal
Leading Core or Lagging Periphery? Spatial Gradient, Explanatory Mechanisms and Policy Response of Urban-Rural Integrated Development in Xi’an Metropolitan Area
Previous Article in Journal
Monitoring Forest Restoration in Berenty Reserve, Southern Madagascar
 
 
Font Type:
Arial Georgia Verdana
Font Size:
Aa Aa Aa
Line Spacing:
Column Width:
Background:
Article

Multifaceted Adaptive Strategies of Alternanthera philoxeroides in Response to Soil Copper Contamination

1
Hubei Key Laboratory of Regional Development and Environmental Response, Faculty of Resources and Environmental Science, Hubei University, Wuhan 430062, China
2
Division of Plant Sciences and Technology, School of Natural Resources, University of Missouri, Columbia, MO 65211, USA
3
Indian River Research and Education Center, University of Florida, Fort Pierce, FL 34945, USA
*
Author to whom correspondence should be addressed.
These authors contributed equally to this work.
Land 2026, 15(1), 31; https://doi.org/10.3390/land15010031
Submission received: 14 November 2025 / Revised: 16 December 2025 / Accepted: 19 December 2025 / Published: 23 December 2025
(This article belongs to the Topic Water-Soil Pollution Control and Environmental Management)

Abstract

Excessive copper (Cu) content in soil can affect plant growth and also cause damage to the soil ecosystem, making it one of the risk control projects for agricultural land soil pollution in China. Alternanthera philoxeroides exhibits stronger colonization ability in heavy metal-contaminated soil, but its physiological and ecological mechanisms of tolerance to excessive Cu remain unclear. A greenhouse incubation experiment was conducted to study the multifaced responses of A. philoxeroides to Cu stress at artificially augmented concentrations of 0, 250, 500, and 1000 mg kg−1. The results showed that A. philoxeroides exhibited high tolerance to Cu2+, with a tolerance index (TI) exceeding 60%. As the Cu concentration increased from 0 mg kg−1 to 500 mg kg−1, root biomass and Cu concentration in the root increased. Additionally, soluble sugar (SS) and malondialdehyde (MDA) contents, and catalase (CAT) and peroxidase (POD) activities of A. philoxeroides continued to increase, whereas superoxide dismutase (SOD) enzyme activity, branch number, leaf area, and net photosynthetic rate kept declining. However, the trend of these indicators was opposite when Cu2+ concentrations were above 500 mg kg−1, while the canopy area and underground root system of A. philoxeroides increased. These results suggested A. philoxeroides displayed a standing “silent” tolerance strategy to survive when soil copper was lower than 500 mg kg−1 concentrations, and an “escape” strategy to avoid high copper stress by expanding the above- and below-ground areas of plants when soil copper concentrations were higher than 500 mg kg−1. This study recommends the controlled utilization of A. philoxeroides for pollution remediation in Cu-contaminated soil areas where most local native plants are unable to survive.

1. Introduction

Soil copper content in certain areas has exceeded the soil’s environmental capacity due to copper mining, frequent use of copper-containing fungicides in agricultural production, composting of urban sludge for agricultural application, and improper discharge of copper-containing waste [1,2]. Published data indicate that soil Cu concentrations ranged from 8.2 mg kg−1 to 5204.5 mg kg−1 at 72 mining regions in China, with an average of 58.8 mg kg−1 in 12 agricultural soils in China, which exceed the risk screening value for soil copper in China’s Agricultural Land Soil Pollution Risk Control Standard [3,4]. In soils near the Daye copper mine in Hubei province, Cu values range from 1645 mg kg−1 to 8950 mg kg−1 [5], seriously threatening plant growth and agricultural productivity. Soil Cu contamination not only degrades soil environmental quality but also disrupts the balanced and stable growth of plants, soil microorganisms, and soil enzyme activities, leading to a loss of plant community species diversity [6]. It is of great importance to remediate Cu-contaminated soils to alleviate the shortage of agricultural land in China.
In environments with high heavy metal contamination, heavy metal tolerance represents a significant limiting factor influencing plant survival and reproduction [7]. Invasive plants have a greater ability than native plants to occupy ecological niches and alter ecosystems in invaded areas [8]. It has been demonstrated that soil heavy metal pollution facilitates the invasion and colonization of invasive plants in highly contaminated areas and further negatively impacts native plant communities [9,10]. Originally from South America, Alternanthera philoxeroides is an aggressive invasive plant with strong dispersal ability in China, which is currently found in more than 20 provinces in China [11]. It is also widely distributed across numerous other countries and regions in Oceania, South America, North America, and Africa [12]. Due to its exceptional phenotypic plasticity, A. philoxeroides exhibits a broad ecological range and can effectively adapt to a wide range of abiotic conditions, including acidity [13], salinity [14], flooding, extreme weather, heavy metals [15], and nutrient variations [10,16,17]. Through clonal growth, A. philoxeroides can rapidly colonize both aquatic and terrestrial ecosystems, forming extensive, dense monocultures that significantly reduce the biodiversity of the invaded areas [10,18].
The competitive and colonizing behavior of A. philoxeroides in environments with high levels of heavy metal contamination has attracted increasing research attention due to its strong dispersal ability. According to a study, A. philoxeroides may outcompete native congeners in a Cd, Cu, and Zn-contaminated environment by modifying leaf characteristics, biomass, and its allocation [10]. Another study also demonstrated that long-term high Cd levels in soil, combined with interspecific competition, favor the colonization of A. philoxeroides [11]. Although heavy metal contamination promotes the invasion of A. philoxeroides, it also negatively impacts its clonal reproductive capacity and necessitates the development of diverse defense mechanisms to cope with adverse growth conditions [19]. Consequently, under heavy metal stress conditions, phenotypic indicators of A. philoxeroides, such as root, stem, and leaf morphology, and physiological indicators, including biomass, MDA, chlorophyll, photosynthetic rate, and antioxidant enzymes, may increase, decrease, or remain unchanged [10,20,21]. Several of these indicators exhibited divergent patterns under low and high heavy metal stress conditions [20]. However, little is known about the differences in tolerance of A. philoxeroides to varying levels of Cu stress and their physiological regulatory mechanisms.
Therefore, this study was conducted to investigate the copper tolerance and underlying mechanisms of A. philoxeroides. This was achieved by monitoring changes in the growth status of the invasive plant A. philoxeroides under varying copper stress concentrations, as well as its physiological metabolic responses to different copper stress levels, through greenhouse incubation experiments. The hypotheses guiding this research are as follows: (1) A. philoxeroides exhibits high tolerance to the heavy metal copper; (2) A. philoxeroides employs distinct tolerance strategies in response to low and high concentrations of copper stress; and (3) the phenotypic and physiological processes of A. philoxeroides collectively drive the shift in its tolerance strategies under different copper stress concentrations.

2. Materials and Methods

2.1. Soil Treatment

The soil used in this experiment was collected from the Oil Crops Research Institute’s experimental field at the Chinese Academy of Agricultural Sciences, with a depth of 0–20 cm (30°34′37″ N, 114°19′52″ E). The soil was dried, ground, sieved (100 mm), thoroughly mixed, and the following properties were determined according to previously described methods [22]. The soil texture is consisting of 27.65% sand, 47.31% silt, and 25.04% clay; soil pH (H2O) is 6.45 (dry soil: solution = 1:5, w/v); organic matter content is 1.41%; total nitrogen content (TN) is 524 mg kg−1; total phosphorus content (TP) is 455 mg kg−1; and total Cu concentration is 28.40 mg kg−1. Four Cu treatments were applied using copper sulfate (Cu(SO4)2) at Cu2+ concentrations of 0, 250, 500, and 1000 mg kg−1 soil (designated as Cu-0, Cu-250, Cu-500, and Cu-1000, respectively). The highest and lowest Cu2+ concentrations were set within the range of Cu levels found in severely and frequently polluted agricultural soils, respectively [2,4]. The four Cu(SO4)2 solution concentrations were added to corresponding pots containing 5.5 kg of soil each, applied to the soil surface, and incubated for 20 days to allow for equilibration.

2.2. Plant Pre-Cultivation and Treatment

The pre-cultivation of A. philoxeroides was conducted in the greenhouse at the College of Resources and Environment, Hubei University, Wuhan, China, in October 2023. The greenhouse conditions were as follows: temperature 25 ± 2 °C, relative humidity over 75%, light intensity 6000 lux, and a light period of 12 h on/12 h off using time-controlled light racks. The stem segments of A. philoxeroides with comparable morphology were collected from Shahu Lake (30°34′25″ N, 114°19′41″ E) and placed in the greenhouse for tap water culture. The pre-cultivation lasted 15 days.
After pre-cultivation, plants exhibiting consistent growth were selected. Ten cm stolons with intact apices were cut from these plants and soaked in 1/8 Hoagland nutritional solution. On the second day, the stolons were randomly planted in pots containing soils treated with Cu(SO4)2 solutions. Each treatment consisted of 3 pots, with 8 stolons per pot, resulting in a total of 96 stolons. One week after planting, plant height and branch number were measured and recorded. During subsequent cultivation, 1/8 Hoagland nutrient solution was sprayed every 3 days to maintain plant growth [23]. Plant length and branch number were recorded every 5 days, and the plants were harvested at the end of a 45-day incubation period.

2.3. Growth Measurements

At harvest, the branch number, plant height (PL), and main stem length (SL) of each plant were measured. Then, the leaf area at the third node from the top of the growth and main root length (RL) were determined using the Wanshen LA-S series Plant Image Analyzer System (LA-S, Hangzhou Wanshen Testing Technology Co., Ltd., Hangzhou, China). The leaves, stems, and roots were separated, and their fresh weight (FW) was measured promptly. Samples were then heated at 105 °C for 10 min and dried in an oven at 80 °C until a constant weight was achieved, which was recorded as dry weight (DW). The biomass allocation traits, including root biomass ratio (RMR), stem biomass ratio (SMR), leaf biomass ratio (LMR), and root-shoot ratio, were calculated using DW by the following equations [24]:
SMR = shoot mass/total biomass;
RMR = root mass/total biomass;
LMR = leaf mass/total biomass;
Root shoot ratio = root mass/shoot mass.
where total biomass is the sum of leaf mass, shoot mass, and root mass.
The tolerance index (TI) for FW, DW, SL, and RL was calculated by the following equation, respectively [25]:
TI (%) = PCu/Pck.
where PCu is the FW, DW, SL, and RL in Cu treatment; and Pck is the FW, DW, SL, and RL in control treatment.

2.4. Copper Content Measurements

Each plant sample was separated into leaves, stems, and roots. After drying in a 40 °C oven for 12 h, the samples were separately ground into powder with a particle size less than 0.1 mm using an agate mortar. Subsequently, 0.1 g of each dried sample was digested in a microwave digestion system with 10 mL of HNO3-HClO4 mixed solution (4:1, v/v) [26]. The resulting digested solution was then diluted to a final volume of 25 mL with deionized water and filtered through a 0.45 μm filter membrane. Reagent blanks were prepared by following the same procedure without adding the sample. The supernatant from each sample was then analyzed for copper content using an atomic absorption spectrophotometer (novAA800, Analytik Jena AG, Jena, Germany) [27].
A transfer coefficient (TF) was derived for plants from each treatment, which is calculated by the following equation [28]:
TF = (Cleaf + Cstem)/Croot
Cleaf means leaf copper content (mg kg−1), Cstem means stem copper content (mg kg−1), and Croot means root copper content (mg kg−1).

2.5. Antioxidant Enzyme Activity, MDA, and Soluble Sugar Measurements

Plant malondialdehyde (MDA), superoxide dismutase (SOD, EC 1.15.1.1), peroxidase (POD, EC 1.11.1.1), catalase (CAT, EC 1.11.1.6), and soluble sugar (SS) contents were extracted using reagent kits G0110F, G0104F, G0108F, G0106F, and G0501F, respectively, from Suzhou Grace Biotechnology Co., Ltd. (Suzhou, China). The fresh leaf samples (0.1 g) were placed in an ice box and thoroughly ground in 1 mL of phosphate-buffered saline (PBS) extraction solution from the MDA, SOD, POD, and CAT reagent kits separately. The resulting mixtures were then centrifuged at 4 °C × 12,000 rpm for 10 min. For the SS content determination, fresh leaves (0.1 g) were similarly placed in an ice box and thoroughly ground in 1.5 mL of 80% ethanol solution from the SS reagent kit. The mixture was then placed in a water bath at 50 °C for 20 min and centrifuged at 4 °C × 12,000 rpm for 10 min. After adding the appropriate reagents according to the instructions of the respective kits, the MDA, SOD, POD, CAT, and SS contents in the supernatant were determined using a UV-2600 spectrophotometer (UNICO, Franksville, WI, USA) at wavelengths of 532–600 nm, 560 nm, 470 nm, 620 nm, and 510 nm, respectively.

2.6. Chlorophyll, Chlorophyll Fluorescence Parameters, and Photosynthesis Measurements

Relative chlorophyll content was measured using the SPAD-502 chlorophyll analyzer (KONICA MINOLTA, Tokyo, Japan), and net photosynthetic rate was determined with the LI-6400XT portable photosynthesis measurement system (LI-COR, Lincoln, NE, USA). Measurements were taken on the opposing leaves of the third stem node from the top, at three randomly selected positions along the leaf vein of each leaf, with the average value calculated. The selected leaf was then dark-adapted for 20 min, after which chlorophyll fluorescence parameters were assessed using the MINI-PAM (WALZ, Effeltrich, Germany).

2.7. Data Statistical Analysis

Differences in growth indexes, TI, copper concentrations in different plant parts, TF, antioxidant enzyme activity, MDA, and SS contents, and photosynthetic indexes among Cu treatments were examined using one-way ANOVAs. Post-hoc multiple comparisons were conducted using Duncan’s multiple range test (MRT). All statistical analyses were conducted using SPSS v. 25.0 (SPSS Inc., Chicago, IL, USA). p-values lower than 0.05 were considered statistically significant. Figures were generated using Origin 2022 b (OriginLab, Northampton, MA, USA), as well as the principal component analysis (PCA). R-Studio v. 4.0.3 (R Core Team, Vienna, Austria) was used to generate the correlation heatmap reflecting the correlation of various indices of A. philoxeroides under four Cu treatments. All data are presented as averages ± standard errors of the mean of three replicates.

3. Results

3.1. Effects of Copper on Plant Growth and Tolerance Index

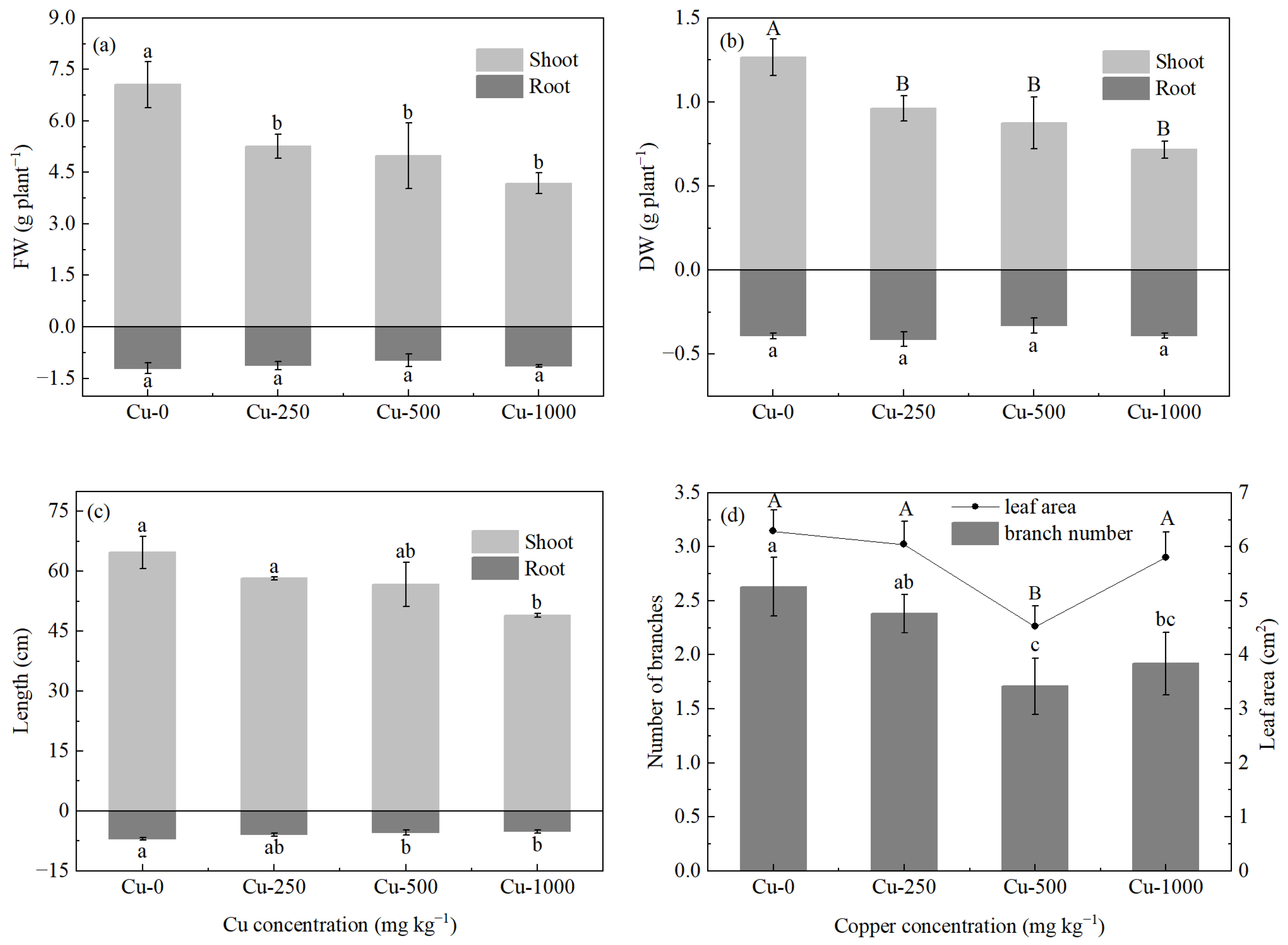
The copper treatment exerted a significant impact on A. philoxeroides, particularly at higher copper concentrations (Figure 1). In the copper-treated groups, both the aboveground fresh weight and dry weight of the plant were significantly inhibited (p < 0.05). The aboveground fresh weights under the 250, 500, and 1000 mg kg−1 copper treatments were 74.6%, 70.7%, and 59.3% of the control, respectively. The aboveground dry weights were 76.0%, 69.2%, and 56.6% of the control, respectively (Figure 1a,b). No significant differences in fresh weight and dry weight of the underground parts (roots) were observed across treatments (Figure 1a,b). The tolerance indexes for fresh weight and dry weight were all above 60% (Table 1).
Figure 1c showed that the copper treatment significantly reduced the length of the main stem and roots (p < 0.05), while the corresponding tolerance index (TI) was above 70% (Table 1). Copper treatment also significantly decreased the number of branches and leaf area (p < 0.05, Figure 1d), with the lowest levels observed at the Cu-500 treatment, which accounted for 65.1% and 71.9% of the control treatment, respectively. However, both branch number and leaf area exhibited an increasing trend with the subsequent Cu-1000 treatment, with leaf area showing no significant difference from the control.

3.2. Effect of Copper on Plant Copper Content and Transfer Coefficient

The copper content in A. philoxeroides increased significantly following copper treatment (p < 0.01, Table 2). The most pronounced increase was observed in the root copper concentration. Under Cu-250, Cu-500, and Cu-1000 treatments, the copper content in plant roots was 2.93, 6.42, and 9.54 times that of the Cu-0 treatment, respectively. As soil copper concentration increased, stem copper content also increased, though no significant difference was observed compared to the control. Consequently, the plant transfer coefficient decreased dramatically under copper exposure, reaching 36.79%, 26.39%, and 19.42% of the control under 250, 500, and 1000 mg kg−1 copper treatments, respectively (p < 0.05). All transfer coefficients under copper treatment were less than 1 (Table 2).

3.3. Effect of Copper on Soluble Sugar, MDA, Antioxidant Enzyme, and Photosynthetic Progress

When copper concentration was below 500 mg kg−1, soluble sugar, POD, and CAT increased with increasing copper concentration, whereas MDA and SOD decreased significantly (Figure 2a–e). These indices reached their maximum or minimum values at a copper treatment of 500 mg kg−1, with SOD accounting for only 35.06% of the control. However, when copper concentration exceeded 500 mg kg−1, soluble sugar, POD, and CAT declined after reaching their peak levels, while MDA and SOD increased following their lowest points. Under the Cu-1000 treatment, POD and CAT remained higher than the control despite the decline, and soluble sugar was reduced to 0.69 times that of the control (p < 0.05).
Chlorophyll content, actual photochemical quantum efficiency, and net photosynthetic rate all exhibited significant alterations due to copper treatment and differed significantly from the control at the Cu-500 treatment (p < 0.05, Figure 2f–h). Chlorophyll content increased steadily with rising copper concentration (p < 0.01, Figure 2f). However, both actual photochemical quantum efficiency and net photosynthetic rate gradually declined with increasing copper concentration when the treatment concentration was less than 500 mg kg−1 (p < 0.05, Figure 2g,h). The net photosynthetic rate significantly increased when copper treatment concentration exceeded 500 mg kg−1, reaching 1.09 times the control level (Figure 2h).

3.4. Correlation of Physiological and Biochemical Indexes Under Copper Treatment

Figure 3a demonstrates a significant negative correlation between all growth indexes and copper content, along with a substantial positive association between root length and other growth indexes (p < 0.05). Soluble sugar content was negatively correlated with leaf area, photosynthetic indexes, and copper content, yet positively associated with other phenotypic indexes. POD and CAT exhibited negative correlations with leaf area, root length, MDA, SOD, growth indexes, and photosynthetic indexes (YII, Photo), but positive correlations with copper content. MDA and SOD were negatively correlated with copper concentration (p < 0.05) and positively correlated with growth and photosynthetic indexes. Among the three antioxidant enzymes, SOD displayed the strongest association with copper level. Chlorophyll and copper content exhibited the strongest positive correlation among all variables (p < 0.001).
The PCA plot (Figure 3b) reveals that PC1 and PC2 contribute 52.9% and 22.6% respectively. The Cu-treated group shows significant separation from the control group (Cu-0) along the PC1 axis. Among all indices of A. philoxeroides, only net photosynthetic rate, actual optical quantum efficiency, and SS content had extremely low correlation to four groups along the PC1 axis, indicating these three factors had a weak effect on copper stress responses. CAT, POD, and chlorophyll content had similar and higher correlation to the Cu-treated group than the control group along the PC1 axis, indicating they are primary environmental factors in the Cu-1000 group. POD had a close positive correlation with CAT (p < 0.05), suggesting their activities respond synergistically to copper stress. Conversely, MDA and chlorophyll content are negatively correlated, reflecting the divergent responses of plant photosynthesis and antioxidant systems under Copper stress.

4. Discussion

4.1. Tolerance Strategies of A. philoxeroides in Response to Copper Stress

The tolerance of plants to heavy metals is vital to plant survival and reproduction in environments with high heavy metal contamination [7]. In this study, copper stress impeded the main stem elongation and new branch sprouting of A. philoxeroides to some extent, but did not result in plant death or growth stagnation (Figure 1). Even under a 1000 mg kg−1 copper treatment, the leaf area and root biomass (dry weight) of A. philoxeroides did not differ significantly from the control, remaining at 92.16% and 99.51% of the control, respectively (Figure 1). As demonstrated, A. philoxeroides is capable of withstanding up to 1000 mg kg−1 of copper, with copper tolerance indices (TI) exceeding 60% (Table 1), indicating that it exhibits high tolerance to copper, similar to its strong tolerance to other heavy metals, such as cadmium, lead, and zinc [7,15,20,21].
Numerous studies have demonstrated that aggressive invasive plants can tolerate and even accumulate high concentrations of heavy metals [9,29,30]. In response to the deleterious effects of elevated copper concentrations in the environment, A. philoxeroides exhibits adaptive strategies such as morphological alterations and biomass redistribution, which help to reduce the metabolic costs associated with detoxification [31,32]. In the present study, copper treatments suppressed both the above-ground and below-ground components of A. philoxeroides, although these components displayed differing phenotypic plasticity [33]. Specifically, the fresh weight, dry weight, and main stem length of the above-ground parts of A. philoxeroides were significantly decreased under copper treatment (i.e., exhibiting a phenotypic variation strategy), whereas the corresponding growth indicators of the below-ground parts did not differ significantly from the control (i.e., exhibiting a phenotypic maintenance strategy) (Figure 1a–c). Phenotypic variation and phenotypic maintenance are plant coping strategies to different environmental disturbances, and phenotypic maintenance may represent high tolerance to environmental disturbances [34,35]. It is evident that the underground parts of A. philoxeroides exhibit greater copper tolerance.
Changes in root biomass under metal stress are an important indicator of metal tolerance [36]. Plants increasing allocation to root biomass not only enhances their capacity to store copper ions but also promotes the synthesis of various cellular biomolecules related to defense in the root system [37]. In this study, the root biomass of A. philoxeroides was not significantly affected (Figure 1a,b). The content of heavy metal copper in roots, stems, and leaves increased with the elevation of copper treatment concentration; however, the absorption of copper ions by the plant was primarily accumulated in the roots (Table 2). Furthermore, after copper addition treatment, the root-to-shoot transfer coefficient of the plant gradually decreased and was significantly lower than that of the control treatment (Table 2). This indicates that copper treatment significantly altered the internal distribution pattern of copper in A. philoxeroides, reducing the transport capacity of copper ions to the aboveground canopy as copper concentration increased. Root tissues can act as a barrier to copper ion transport, restricting the movement of copper ions to sensitive tissues such as stems and leaves of the plant [38], thereby increasing the tolerance of A. philoxeroides to copper.
Previous studies have demonstrated that heavy metals entering plants are primarily sequestered in the cell wall [39,40]. Plants mitigate cytosolic copper toxicity by forming a barrier through their cell walls, which prevents excessive copper ions from entering the protoplasts [41,42]. In the present study, soluble sugars increased, and MDA decreased in A. philoxeroides under copper treatments of less than 500 mg kg−1 (Figure 2a,b). This suggests that under copper stress, the cell wall of A. philoxeroides thickens to create additional space for copper accumulation and reduce the migration of heavy metal copper into the protoplasts [43,44], while also increasing the binding of copper ions through elevated soluble sugars [43]. The plant may also experience oxidative stress due to an excess of copper ions trapped in the cell wall, leading to the overproduction of reactive oxygen species (ROS) [45]. To counteract this, A. philoxeroides enhances the activity of antioxidant enzymes POD and CAT to scavenge excess ROS (Figure 2b,d,e) [20,24].

4.2. Diffusive Escape Strategy of A. philoxeroides in Response to High Copper Stress

When copper concentration was 250 mg kg−1, A. philoxeroides was able to cope with copper stress-induced interference through a series of mechanisms, including elevating root biomass proportion to increase root growth resource intake and restrict copper ion translocation to the canopy (Table 1) [37], enhancing the soluble sugars content in cell wall (which may bind divalent and trivalent heavy metal ions), to thicken the cell wall and improve the activities of antioxidant enzyme POD and CAT (Figure 2a,d,e; Table 2). However, during this phase, both the number of plant branches and leaf area decreased, and the net photosynthetic rate continued to decline due to thickened leaf cell walls (Figure 1d and Figure 2h). The strongest positive correlation was observed between chlorophyll levels in A. philoxeroides and copper content (p < 0.0001, Figure 3), leading to a significant increase in chlorophyll following copper treatment (Figure 2f) and chlorophyll redundancy in the plant [38]. The excessive light energy absorbed by leaves under chlorophyll-redundant conditions not only causes photoinhibition, reducing the actual photochemical quantum efficiency of A. philoxeroides (Figure 2g), but also generates harmful byproducts such as excessive reactive oxygen species during photosynthetic electron transport [46]. The plant’s primary antioxidant enzyme, SOD, also exhibited a steady decline (Figure 2c). Notably, SOD typically increases under low stress conditions and decreases under high stress [47,48].
Following treatment with 500 mg kg−1 Cu, the number of branches, leaf area, actual photochemical quantum efficiency, and net photosynthetic rate of A. philoxeroides all significantly decreased, and SOD enzyme activity dropped by 64.9% (Figure 1d and Figure 2c,g,h). These changes indicated significant heavy metal stress on A. philoxeroides, which has emerged as a driving factor for the alteration of plant defense mechanisms. Among these, SOD enzymes can regulate a variety of cellular processes through their signaling functions, and the absence of a specific SOD can lead to distinct developmental or physiological changes [24]. These factors may have triggered A. philoxeroides’ initial transition from its “silent” to “escaped” stage [49,50,51].
The number of branches and leaf area of A. philoxeroides, which represent the expansion capacity of aboveground components, significantly increased after copper treatment at >500 mg kg−1 (Figure 1d). Concurrently, despite a reduction in root length, the root biomass of the below-ground components also increased to some extent (Figure 1b,c), indicating that the underground root system of A. philoxeroides was expanded as well. This adaptation enables A. philoxeroides to expand both above and below ground, enabling it to escape copper stress and optimize the utilization of limited environmental resources. Plants respond to environmental stress through two distinct mechanisms: tolerance and resistance [52]. Plant tolerance refers to internal physiological changes that occur under stress conditions, which are compatible with environmental alterations, resulting in minimal or no harm, or even restoration of damage. Plant resistance, which can be further categorized into constitutive and induced resistance, is the capacity to adapt to adversity developed in response to stress, thereby avoiding or mitigating damage [52]. Plants typically exhibit constitutive resistance, whereas induced resistance is activated or triggered in response to external stimuli [16,33]. The reduced promotion or inhibition of soluble sugars, MDA, and antioxidant enzymes in A. philoxeroides under 1000 mg kg−1 copper treatment, along with the slower decline in actual photochemical quantum efficiency (Figure 2), may be attributed to the induction of resistance by high copper levels, which, to some extent, alleviated the plant’s intrinsic stress [17]. The net photosynthetic rate of A. philoxeroides was significantly increased as a result of decreased soluble sugar accumulation in leaves and weakened cell wall thickening. This accelerated the diffusive escape of the plants.

5. Conclusions

In this study, we found that A. philoxeroides could tolerate 1000 mg/kg of copper in soil, with copper tolerance indices (TI) over 60%. It seems to be a highly copper-tolerant plant by employing adapted strategies, including morphological alterations and biomass reallocation in response to varying copper concentrations. A significant portion of copper was sequestered in the roots of A. philoxeroides, which exhibit enhanced tolerance. Thus, it could be used for controlled remediation in soil with copper concentrations around 1000 mg kg−1.
Specifically, A. philoxeroides displayed a “silent” tolerance strategy at low copper concentrations (<500 mg kg−1) and an “escape” strategy at high copper concentrations (>500 mg kg−1). Under the “silent” state, A. philoxeroides mitigated copper stress by elevating root biomass proportion, increasing SS content in the cell wall, thickening cell walls, and enhancing activities of antioxidant enzyme POD and CAT. Thereafter, the stress on A. philoxeroides induced by 500 mg kg−1 Cu treatment, such as net photosynthetic rate and SOD enzyme activity, significantly decreased, which might drive the alteration of plant defense mechanisms to the “escaped” stage. Under the “escaped” state, A. philoxeroides promotes the expansion of above- and below-ground areas to avoid copper stress, and maximize the capture of limited environmental resources. The effects of SS, MDA, and antioxidant enzymes POD and CAT on A. philoxeroides were also reduced, while the net photosynthetic rate showed a significant increase.

Author Contributions

Conceptualization, L.W. and K.L.; methodology, L.W., K.L. and X.H.; investigation, L.W. and X.H.; data analysis, L.W. and X.H.; writing—original draft preparation, L.W. and X.H.; writing—review and editing, K.L., X.X., A.W., Z.L. and L.Z.; supervision, L.Z.; project administration, L.Z.; funding acquisition, L.W. and K.L. All authors have read and agreed to the published version of the manuscript.

Funding

This research was funded by the National Natural Science Foundation of China, grant numbers 42201325 and 41807043.

Data Availability Statement

Data is contained within the article. For detailed information on each part, please contact the corresponding author.

Conflicts of Interest

The authors declare no conflicts of interest.

References

  1. Brun, L.A.; Maillet, J.; Hinsinger, P. Evaluation of copper availability to plants in copper-contaminated vineyard soils. Environ. Pollut. 2001, 111, 293–302. [Google Scholar] [CrossRef] [PubMed]
  2. Duan, Q.; Lee, J.; Liu, Y.; Chen, H.; Hu, H. Distribution of heavy metal pollution in surface soil samples in China: A graphical review. Bull. Environ. Contam. Toxicol. 2016, 97, 303–309. [Google Scholar] [CrossRef] [PubMed]
  3. Ministry of Environmental Protection of the People’s Republic of China. Q&A for Nationwide Soil Pollution Survey Report; MEP: Beijing, China, 2014.
  4. Li, Z.Y.; Ma, Z.W.; van der Kuijp, T.J.; Yuan, Z.W.; Huang, L. A review of soil heavy metal pollution from mines in china: Pollution and health risk assessment. Sci. Total Environ. 2014, 468–469, 843–853. [Google Scholar] [CrossRef] [PubMed]
  5. Hu, X.Y.; Sun, H.F.; Chen, D.L. Accumulation and distribution of heavy metals in dominant plants growing on Tonglushan mineral areas in Hubei Province, China. Resour. Environ. Yangtze Basin 2008, 03, 436–439. (In Chinese) [Google Scholar]
  6. Muyumba, D.K.; Liénard, A.; Mahy, G.; Luhembwe, M.N.; Colinet, G. Characterization of soil-plant systems in the hills of the copper belt in katanga. A review. Biotechnol. Agron. Soc. Environ. 2015, 19, 204–214. [Google Scholar]
  7. Deng, H.; Ye, Z.; Wong, M. Lead and zinc accumulation and tolerance in populations of six wetland plants. Environ. Pollut. 2006, 141, 69–80. [Google Scholar] [CrossRef]
  8. Li, J.; He, J.Z.; Liu, M.; Yan, Z.Q.; Xu, X.L.; Kuzyakov, Y. Invasive plant competitivity is mediated by nitrogen use strategies and rhizosphere microbiome. Soil Biol. Biochem. 2024, 192, 109361. [Google Scholar] [CrossRef]
  9. Prabakaran, K.; Li, J.; Anandkumar, A.; Leng, Z.; Zou, C.B.; Du, D. Managing environmental contamination through phytoremediation by invasive plants: A review. Ecol. Eng. 2019, 138, 28–37. [Google Scholar] [CrossRef]
  10. Wang, Y.; Chen, C.; Xiong, Y.T.; Wang, Y.; Li, Q.J. Combination effects of heavy metal and inter-specific competition on the invasiveness of Alternanthera philoxeroides. Environ. Exp. Bot. 2021, 189, 104532. [Google Scholar] [CrossRef]
  11. Wang, Y.; Xiong, Y.; Wang, Y.; Li, Q. Long period exposure to serious cadmium pollution benefits an invasive plant (Alternanthera philoxeroides) competing with its native congener (Alternanthera sessilis). Sci. Total Environ. 2021, 786, 147456. [Google Scholar] [CrossRef]
  12. Telesnicki, M.C.; Sosa, A.J.; Greizerstein, E.; Julien, M.H. Cytogenetic effect of Alternanthera philoxeroides (alligator weed) on Agasicles hygrophila (Coleoptera: Chrysomelidae) in its native range. Biol. Control 2011, 57, 138–142. [Google Scholar] [CrossRef]
  13. He, M.; Hua, Z.; Chen, H.; Liu, Y.; Li, Y.; Zhang, Z. Effects of simulated acid rain on rhizosphere microorganisms of invasive Alternanthera philoxeroides and native Alternanthera sessilis. Front. Microbiol. 2022, 13, 993147. [Google Scholar] [CrossRef] [PubMed]
  14. Longstreth, D.J.; Burow, G.B.; Yu, G. Solutes involved in osmotic adjustment to increasing salinity in suspension cells of Alternanthera philoxeroides Griseb. Plant Cell Tissue Organ Cult. 2004, 78, 225–230. [Google Scholar] [CrossRef]
  15. Naqvi, S.M.; Rizvi, S.A. Accumulation of chromium and copper in three different soils and bioaccumulation in an aquatic plant, Alternanthera philoxeroides. Bull. Environ. Contam. Toxicol. 2000, 65, 55–61. [Google Scholar] [CrossRef] [PubMed]
  16. Geng, Y.P.; Pan, X.Y.; Xu, C.Y.; Zhang, W.J.; Li, B.; Chen, J.K.; Lu, B.R.; Song, Z.P. Phenotypic plasticity rather than locally adapted ecotypes allows the invasive alligator weed to colonize a wide range of habitats. Biol. Invasions 2007, 9, 245–256. [Google Scholar] [CrossRef]
  17. Liu, M.; Zhou, F.; Pan, X.Y.; Zhang, Z.J.; Li, B. Effects of soil nitrogen levels on growth and defense of the native and introduced genotypes of alligator weed. J. Plant Ecol. 2022, 3, 461–472. [Google Scholar] [CrossRef]
  18. Lu, X.; Siemann, E.; He, M.; Wei, H.; Shao, X.; Ding, J. Climate warming increases biological control agent impact on a non-target species. Ecol. Lett. 2015, 18, 48–56. [Google Scholar] [CrossRef]
  19. Lin, H.; Liu, J.; Dong, Y.; Ren, K.; Zhang, Y. Absorption characteristics of compound heavy metals vanadium, chromium, and cadmium in water by emergent macrophytes and its combinations. Environ. Sci. Pollut. Res. 2018, 25, 17820–17829. [Google Scholar] [CrossRef]
  20. Ding, B.Z.; Shi, G.X.; Xu, Y.; Hu, J.Z.; Xu, Q.S. Physiological responses of Alternanthera philoxeroides (mart.) griseb leaves to cadmium stress. Environ. Pollut. 2007, 147, 800–803. [Google Scholar] [CrossRef]
  21. Wang, X.G.; Zhang, R.; Qian, Z.H.; Qiu, S.Y.; He, X.G.; Wang, S.J.; Si, C. Effects of cadmium and nutrients on the growth of the invasive plant Alternanthera philoxeroides. Folia Geobot. 2022, 57, 259–267. [Google Scholar] [CrossRef]
  22. Xing, X.Y.; Xu, H.F.; Zhang, W.Z.; Hou, H.J.; Qin, H.L.; Liu, Y.; Zhang, L.M.; Fang, Y.; Wei, W.X.; Sheng, R. The characteristics of the community structure of typical nitrous oxide-reducing denitrifiers in agricultural soils derived from different parent materials. Appl. Soil Ecol. 2019, 142, 8–17. [Google Scholar] [CrossRef]
  23. Gong, Q.; Wang, L.; Dai, T.W.; Zhou, J.Y.; Kang, Q.; Chen, H.B.; Li, Z.H. Effects of copper on the growth, antioxidant enzymes and photosynthesis of spinach seedlings. Ecotoxicol. Environ. Saf. 2019, 171, 771–780. [Google Scholar] [CrossRef] [PubMed]
  24. Wang, Y.; Branicky, R.; Noë, A.; Hekimi, S. Superoxide dismutases: Dual roles in controlling ROS damage and regulating ROS signaling. J. Cell Biol. 2018, 217, 1915–1928. [Google Scholar] [CrossRef] [PubMed]
  25. Wilkins, D.A. The measurement of tolerance to edaphic factors by means of roots growth. New Phytol. 1978, 80, 623–633. [Google Scholar] [CrossRef]
  26. Chandrasekhar, C.; Ray, J.G. Copper accumulation, localization and antioxidant response in Eclipta alba L. in relation to quantitative variation of the metal in soil. Acta Physiol. Plant. 2017, 39, 205. [Google Scholar] [CrossRef]
  27. Saleem, M.H.; Fahad, S.; Khan, S.U.; Ahmar, S.; Khan, M.H.U.; Rehman, M.; Maqbool, Z.; Liu, L.J. Morpho-physiological traits, gaseous exchange attributes, and phytoremediation potential of jute (Corchorus capsularis L.) grown in different concentrations of copper-contaminated soil. Ecotoxicol. Environ. Saf. 2022, 189, 109915. [Google Scholar] [CrossRef]
  28. Aziz, R.A.; Yiwen, M.; Saleh, M.; Salleh, M.N.; Gopinath, S.C.B.; Giap, S.G.E.; Chinni, S.V.; Gobinath, R. Bioaccumulation and Translocation of Heavy Metals in Paddy (Oryza sativa L.) and Soil in Different Land Use Practices. Sustainability 2023, 15, 13426. [Google Scholar] [CrossRef]
  29. Liu, X.W.; Qi, C.M.; Wang, Z.C.; Ouyang, C.B.; Li, Y.; Yan, D.D.; Wang, Q.X.; Guo, M.X.; Yuan, Z.H.; He, F.L. Biochemical and ultrastructural changes induced by lead and cadmium to crofton weed (Eupatorium adenophorum Spreng.). Int. J. Environ. Res. 2018, 12, 597–607. [Google Scholar] [CrossRef]
  30. Yuan, Y.Q.; Yu, S.; Bañuelos, G.S.; He, Y.F. Accumulation of Cr, Cd, Pb, Cu, and Zn by plants in tanning sludge storage sites: Opportunities for contamination bioindication and phytoremediation. Environ. Sci. Pollut. Res. 2016, 23, 22477–22487. [Google Scholar] [CrossRef]
  31. Chen, C.; Zhang, H.X.; Wang, A.; Min, L.; Shen, Z.G.; Lian, C.L. Phenotypic plasticity accounts for most of the variation in leaf manganese concentrations in Phytolacca americana growing in manganese-contaminated environments. Plant Soil 2015, 396, 215–227. [Google Scholar] [CrossRef]
  32. Maestri, E.; Marmiroli, M.; Visioli, G.; Marmiroli, N. Metal tolerance and hyperaccumulation: Costs and trade-offs between traits and environment. Environ. Exp. Bot. 2010, 68, 1–13. [Google Scholar] [CrossRef]
  33. Holloway, G.J. Phenotypic Plasticity: Beyond Nature and Nurture. Heredity 2002, 89, 410. [Google Scholar] [CrossRef]
  34. Chen, Y.; Zhou, Y.; Yin, T.F.; Liu, C.X.; Luo, F.L. The Invasive Wetland Plant Alternanthera philoxeroides Shows a Higher Tolerance to Waterlogging than Its Native Congener Alternanthera sessilis. PLoS ONE 2013, 8, e81456. [Google Scholar] [CrossRef] [PubMed]
  35. Wu, J.; Hu, J.; Wang, L.; Zhao, L.; Ma, F. Responses of Phragmites australis to copper stress: A combined analysis of plant morphology, physiology and proteomics. Plant Biol. 2021, 23, 351–362. [Google Scholar] [CrossRef]
  36. Shu, X.; Yin, L.Y.; Zhang, Q.F.; Wang, W.B. Effect of Pb toxicity on leaf growth, antioxidant enzyme activities, and photosynthesis in cuttings and seedlings of Jatropha curcas L. Environ. Sci. Pollut. Res. 2012, 19, 893–902. [Google Scholar] [CrossRef]
  37. Audet, P.; Charest, C. Allocation plasticity and plant-metal partitioning: Meta-analytical perspectives in phytoremediation. Environ. Pollut. 2008, 156, 290–296. [Google Scholar] [CrossRef]
  38. Mir, A.R.; Pichtel, J.; Hayat, S. Copper: Uptake, toxicity and tolerance in plants and management of Cu-contaminated soil. Biometals 2021, 34, 737–759. [Google Scholar] [CrossRef]
  39. Bouazizi, H.; Jouili, H.; Geitmann, A.; Ferjani, E.E. Cell wall accumulation of Cu ions and modulation of lignifying enzymes in primary leaves of bean seedlings exposed to excess copper. Biol. Trace Elem. Res. 2010, 139, 97–107. [Google Scholar] [CrossRef]
  40. Cambrollé, J.; Mateos-Naranjo, E.; Redondo-Gómez, S.; Luque, T.; Figueroa, M.E. Growth, reproductive and photosynthetic responses to copper in the yellow-horned poppy, Glaucium flavum Crantz. Environ. Exp. Bot. 2011, 71, 57–64. [Google Scholar] [CrossRef]
  41. Bouazizi, H.; Jouili, H.; Geitmann, A.; Ferjani, E.E. Structural changes of cell wall and lignifying enzymes modulations in bean roots in response to copper stress. Biol. Trace Elem. Res. 2010, 136, 232–240. [Google Scholar] [CrossRef]
  42. Sahi, S.V.; Israr, M.; Srivastava, A.K.; Gardea-Torresdey, J.L.; Parsons, J.G. Accumulation, speciation and cellular localization of copper in Sesbania drummondii. Chemosphere 2007, 67, 2257–2266. [Google Scholar] [CrossRef] [PubMed]
  43. Krzeslowska, M. The cell wall in plant cell response to trace metals: Polysaccharide remodeling and its role in defense strategy. Acta Physiol. Plant. 2011, 33, 35–51. [Google Scholar] [CrossRef]
  44. Krzesłowska, M.; Rabęda, I.; Basińska, A.; Lewandowski, M.; Mellerowicz, E.J.; Napieralska, A.; Samardakiewicz, S.; Woźny, A. Pectinous cell wall thickenings formation—A common defense strategy of plants to cope with lead. Environ. Pollut. 2016, 214, 354–361. [Google Scholar] [CrossRef] [PubMed]
  45. Yuan, H.M.; Liu, W.C.; Jin, Y.; Lu, Y.T. Role of ROS and auxin in plant response to metal-mediated stress. Plant Signal. Behav. 2013, 8, e24671. [Google Scholar] [CrossRef]
  46. Murchie, E.H.; Niyogi, K.K. Manipulation of Photoprotection to Improve Plant Photosynthesis. Plant Physiol. 2011, 155, 86–92. [Google Scholar] [CrossRef]
  47. Alscher, R.G.; Erturk, N.; Heath, L.S. Role of superoxide dismutases (SODs) in controlling oxidative stress in plants. J. Exp. Bot. 2002, 53, 1331–1341. [Google Scholar] [CrossRef]
  48. Mohamadhasani, F.; Rahimi, M. Growth response and mycoremediation of heavy metals by fungus Pleurotus sp. Sci. Rep. 2022, 12, 19947. [Google Scholar] [CrossRef]
  49. Akman, M.; Bhikharie, A.V.; McLean, E.H.; Boonman, A.; Visser, E.J.W.; Schranz, M.E.; van Tienderen, P.H. Wait or escape? Contrasting submergence tolerance strategies of Rorippa amphibia, Rorippa sylvestris and their hybrid. Ann. Bot. 2012, 7, 1263–1276. [Google Scholar] [CrossRef]
  50. Jing, S.F.; Zhang, X.P.; Niu, H.G.; Lin, F.; Ayi, Q.L.; Wan, B.N.; Ren, X.Y.; Su, X.L.; Shi, S.H.; Liu, S.P.; et al. Differential Growth Responses of Alternanthera philoxeroides as Affected by Submergence Depths. Front. Environ. Sci. 2022, 13, 883800. [Google Scholar] [CrossRef]
  51. Luo, F.L.; Thiele, B.; Janzik, I.; Zeng, B.; Schurr, U.; Matsubara, S. De-submergence responses of antioxidative defense systems in two wetland plants having escape and quiescence strategies. J. Plant Physiol. 2012, 17, 1680–1689. [Google Scholar] [CrossRef]
  52. Wang, T.; Hu, J.; Wang, R.; Liu, C.; Yu, D. Tolerance and resistance facilitate the invasion success of Alternanthera philoxeroides in disturbed habitats: A reconsideration of the disturbance hypothesis in the light of phenotypic variation. Environ. Exp. Bot. 2018, 153, 135–142. [Google Scholar] [CrossRef]
Figure 1. Effects of copper treatments on above- (shoot) and belowground (root): (a) fresh weight, (b) dry weight, (c) length, and (d) number of branches and leaf area in Alternanthera philoxeroides. Different lowercase letters indicate significant differences among different copper treatments (p < 0.05); Different capital letters indicate extremely significant differences among different copper treatments (p < 0.01).
Figure 1. Effects of copper treatments on above- (shoot) and belowground (root): (a) fresh weight, (b) dry weight, (c) length, and (d) number of branches and leaf area in Alternanthera philoxeroides. Different lowercase letters indicate significant differences among different copper treatments (p < 0.05); Different capital letters indicate extremely significant differences among different copper treatments (p < 0.01).
Land 15 00031 g001
Figure 2. Effects of copper treatment on: (a) soluble sugar contents, (b) malondialdehyde contents, (c) superoxide dismutase activities, (d) peroxidase activities, (e) catalase activities; (f) relative chlorophyll contents, (g) actual quantum yield, and (h) net photosynthetic rate in Alternanthera philoxeroides. Different lowercase letters indicate significant differences among different copper treatments (p < 0.05); Different capital letters indicate extremely significant differences among different copper treatments (p < 0.01).
Figure 2. Effects of copper treatment on: (a) soluble sugar contents, (b) malondialdehyde contents, (c) superoxide dismutase activities, (d) peroxidase activities, (e) catalase activities; (f) relative chlorophyll contents, (g) actual quantum yield, and (h) net photosynthetic rate in Alternanthera philoxeroides. Different lowercase letters indicate significant differences among different copper treatments (p < 0.05); Different capital letters indicate extremely significant differences among different copper treatments (p < 0.01).
Land 15 00031 g002
Figure 3. (a) Correlation matrix between plant growth indexes and physiological and biochemical indexes of Alternanthera philoxeroides based on Spearman’s correlation coefficients; and (b) Principal component analysis (PCA) of Cu contents in the whole plant of Alternanthera philoxeroides under Cu treatments and associated plant growth indexes and physiological and biochemical indexes. FW = fresh weight; DW = dry weight; Cu content = copper content in the whole plant; POD = Peroxidase; CAT = Catalase; SOD = Superoxide dismutase; MDA = Malondialdehyde; YII = Actual optical quantum efficiency; Photo = Net photosynthetic rate. Red and blue indicate positive and negative correlations between two factors, respectively. The size of the ellipse is inversely proportional to the correlation coefficient. The asterisk indicates statistical significance, * p < 0.05, ** p < 0.01, *** p < 0.001.
Figure 3. (a) Correlation matrix between plant growth indexes and physiological and biochemical indexes of Alternanthera philoxeroides based on Spearman’s correlation coefficients; and (b) Principal component analysis (PCA) of Cu contents in the whole plant of Alternanthera philoxeroides under Cu treatments and associated plant growth indexes and physiological and biochemical indexes. FW = fresh weight; DW = dry weight; Cu content = copper content in the whole plant; POD = Peroxidase; CAT = Catalase; SOD = Superoxide dismutase; MDA = Malondialdehyde; YII = Actual optical quantum efficiency; Photo = Net photosynthetic rate. Red and blue indicate positive and negative correlations between two factors, respectively. The size of the ellipse is inversely proportional to the correlation coefficient. The asterisk indicates statistical significance, * p < 0.05, ** p < 0.01, *** p < 0.001.
Land 15 00031 g003
Table 1. Biomass proportion of different parts and tolerance index of Alternanthera philoxeroides.
Table 1. Biomass proportion of different parts and tolerance index of Alternanthera philoxeroides.
TreatmentRBRSMRLMRRoot Shoot RatioTI (%)
FWDWSLRL
Cu-00.2 ± 0.0 c0.6 ± 0.0 a0.1 ± 0.0 a0.3 ± 0.0 c////
Cu-2500.3 ± 0.0 b0.6 ± 0.0 b0.1 ± 0.0 a0.4 ± 0.0 b77.382.990.084.4
Cu-5000.3 ± 0.0 b0.6 ± 0.0 b0.1 ± 0.0 a0.4 ± 0.0 b72.272.787.676.9
Cu-10000.4 ± 0.0 a0.5 ± 0.0 c0.1 ± 0.0 a0.5 ± 0.0 a64.466.775.673.3
RBR is the root biomass ratio; SMR is the stem biomass ratio; LMR is the leaf biomass ratio; FW is the fresh weight of the whole plant; DW is the dry weight of the whole plant; SL is the main stem length; RL is the main root length; and TI is the tolerance index. Different lowercase letters indicate extremely significant differences among different copper treatments (p < 0.01).
Table 2. Copper content in different parts and the transfer coefficient of Alternanthera philoxeroides.
Table 2. Copper content in different parts and the transfer coefficient of Alternanthera philoxeroides.
TreatmentCopper Concentration (mg kg−1)TFroot→shoot
RootStemLeaf
Cu-027.7 ± 4.4 D37.3 ± 9.9 a29.9 ± 1.8 C1.37 a
Cu-25081.2 ± 15.1 C38.8 ± 6.0 a48.5 ± 2.9 BC0.51 b
Cu-500178.0 ± 7.2 B64.9 ± 8.3 a62.3 ± 3.4 AB0.36 b
Cu-1000264.5 ± 20.0 A69.7 ± 20.8 a77.1 ± 14.9 A0.27 b
Different lowercase letters indicate significant differences among different copper treatments (p < 0.05); Different capital letters indicate extremely significant differences among different copper treatments (p < 0.01).
Disclaimer/Publisher’s Note: The statements, opinions and data contained in all publications are solely those of the individual author(s) and contributor(s) and not of MDPI and/or the editor(s). MDPI and/or the editor(s) disclaim responsibility for any injury to people or property resulting from any ideas, methods, instructions or products referred to in the content.

Share and Cite

MDPI and ACS Style

Wang, L.; Li, K.; Huang, X.; Xin, X.; Wright, A.; Li, Z.; Zhao, L. Multifaceted Adaptive Strategies of Alternanthera philoxeroides in Response to Soil Copper Contamination. Land 2026, 15, 31. https://doi.org/10.3390/land15010031

AMA Style

Wang L, Li K, Huang X, Xin X, Wright A, Li Z, Zhao L. Multifaceted Adaptive Strategies of Alternanthera philoxeroides in Response to Soil Copper Contamination. Land. 2026; 15(1):31. https://doi.org/10.3390/land15010031

Chicago/Turabian Style

Wang, Ling, Kun Li, Xun Huang, Xiaoping Xin, Alan Wright, Zhaohua Li, and Liya Zhao. 2026. "Multifaceted Adaptive Strategies of Alternanthera philoxeroides in Response to Soil Copper Contamination" Land 15, no. 1: 31. https://doi.org/10.3390/land15010031

APA Style

Wang, L., Li, K., Huang, X., Xin, X., Wright, A., Li, Z., & Zhao, L. (2026). Multifaceted Adaptive Strategies of Alternanthera philoxeroides in Response to Soil Copper Contamination. Land, 15(1), 31. https://doi.org/10.3390/land15010031

Note that from the first issue of 2016, this journal uses article numbers instead of page numbers. See further details here.

Article Metrics

Article metric data becomes available approximately 24 hours after publication online.
Back to TopTop