Regional Differences in the Impact of Land Use Pattern on Total Phosphorus Concentration in the Yangtze River Basin
Abstract
1. Introduction
2. Materials and Methods
2.1. Study Area
2.2. Data Source
2.2.1. State-Controlled Sections and Water Resource Allocation
2.2.2. Land Use Type Data
2.3. Methods
2.3.1. Getis-Ord Gi* Hot Spot Analysis
2.3.2. Land Use Impact Factor (LUIF)
3. Results
3.1. Spatial Distribution Pattern of TP Concentration in the YRB
3.1.1. Spatial Distribution Characteristics of TP Concentration
3.1.2. Analysis of Hotspot Areas for TP Concentration
3.2. Spatial Distribution Characteristics of Land Use Patterns in the YRB
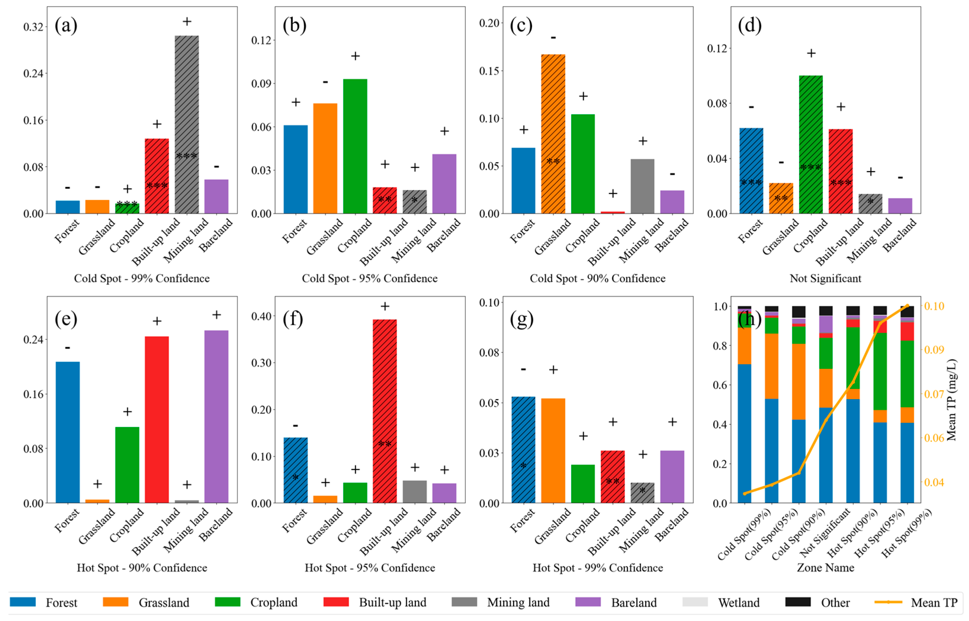
3.3. Effects of Land Use Types on TP Concentration at Different Scales
3.3.1. Impact of Land Use Patterns on TP Concentrations at the Whole Basin Scale
3.3.2. Impact of Land Use Patterns on TP Concentrations at the Sub-Basin Scale
3.3.3. Impact of Land Use Patterns on TP Concentrations at the Regional Scale
4. Discussion
4.1. Significant Spatial Clustering of TP Concentration in the YRB
4.2. Regional Differences in the Impact of Land Use Patterns on TP Concentration in the YRB
4.3. Limitations and Future Works
5. Conclusions
Author Contributions
Funding
Data Availability Statement
Conflicts of Interest
Appendix A


References
- Qin, Y.W.; Ma, Y.Q.; Wang, L.J.; Zheng, B.; Ren, C.; Tong, H.; Wang, H. Pollution of the total phosphorus in the Yangtze River Basin: Distribution characteristics, source and control strategy. Res. Environ. Sci. 2018, 31, 9–14. [Google Scholar]
- Yao, J.Z.; Fan, X.J.; Yang, X.; Huang, Y.B. Current situation, causes and control measures of water bloom in the key tributaries of the Three Gorges Reservoir. Chin. J. Environ. Eng. 2022, 16, 2041–2048. [Google Scholar]
- Song, J.W.; Zhang, X.X.; Jiang, D.Y.; Zhao, C.H.Z.; Li, P.F. Impact of Land Use Types at Different Scales on Surface Water Environment Quality and Its Driving Mechanism. Environ. Sci. 2022, 43, 3016–3026. [Google Scholar] [CrossRef]
- Zhang, J.; Li, S.Y.; Jiang, C.S. Effects of land use on water quality in a River Basin (Daning) of the Three Gorges Reservoir Area, China: Watershed versus riparian zone. Ecol. Indic. 2020, 113, 106226. [Google Scholar] [CrossRef]
- Xu, S.; Li, S.L.; Zhong, J.; Li, C. Spatial scale effects of the variable relationships between landscape pattern and water quality: Example from an agricultural karst river basin, Southwestern China. Agric. Ecosyst. Environ. 2020, 300, 106999. [Google Scholar] [CrossRef]
- Xu, E.Q. Research progress in the impact of land use on water nutrients. Chin. J. Eco-Agric. 2019, 27, 1880–1891. [Google Scholar] [CrossRef]
- Wen, J.W.; Wang, P.; Huang, G.X.; Zahng, H.; Nie, M.H.; Ding, M.J.; She, Y.Y. Influence of Land Use Structure and Spatial Pattern on Water Quality of Small and Medium-sized Rivers in Poyang Lake Basin. Environ. Sci. 2023, 44, 6728–6743. [Google Scholar] [CrossRef]
- Xu, Y.X.; Wu, X.; Lu, R.; Yang, W.J.; Zhao, Y. Total Phosphorus Pollution, Countermeasures and Suggestions of the Yangtze River Economic Belt. Environ. Conform. Assess. 2018, 10, 70–74. [Google Scholar] [CrossRef]
- Liu, L.S.; Huang, G.X.; Wang, F.; Chu, Z.S.; Li, H.S. Problems, Situation and Countermeasures of Water Eco-Environment Security in the Yangtze River Basin. Res. Environ. Sci. 2020, 33, 1081–1090. [Google Scholar]
- Chen, F.; Li, X.H.; Wang, W.J.; Peng, L.; Qian, B. and spatial variation characteristics of total phosphorus in Yangtze River Basin from 2018 to 2022. Express Water Resour. Hydropower Inf. 2023, 44, 91–97. [Google Scholar]
- Yin, W.; Wang, C.; Zhang, H. Consideration on total phosphorus problem in Yangtze River Basin. Yangtze River 2022, 53, 44–52. [Google Scholar] [CrossRef]
- Li, Q.; Yang, Z.H.; Yin, W.; Yu, M.H.; Bai, F.P.; Yue, Y.; Ren, Y.F. Tracing the sources and transport of the total phosphorus in the upper Yangtze River. Ecol. Inf. 2023, 77, 102230. [Google Scholar] [CrossRef]
- Yi, F.; Chen, M.; He, X.F.; Yu, C.H.; An, R.D. Effect of spatial scale on water quality in watershed land use analysis. China Environ. Sci. 2023, 43, 4280–4291. [Google Scholar] [CrossRef]
- Wang, P.; Qi, S.H.; Chen, B. Influence of land use on river water quality in the Ganjiang basin. Acta Ecol. Sin. 2015, 35, 4326–4337. [Google Scholar] [CrossRef][Green Version]
- Chen, Y.P.; Yue, A.R.; Wei, Y.L.; Yang, C.J. Source Apportionment of Ammonia Nitrogen and Total Phosphorus of Minjiang Bridge Control Unit. Sichuan Environ. 2018, 37, 44–50. [Google Scholar] [CrossRef]
- Fang, N.; Liu, L.L.; You, Q.H.; Tian, N.; Wu, Y.P.; Yang, W.J. Effects of Land Use Types at Different Spatial Scales on Water Quality in Poyang Lake Wetland. Environ. Sci. 2019, 40, 5348–5357. [Google Scholar] [CrossRef]
- Wang, J.; Liu, A.A.; Zhang, J.W.; Chen, Q.S.; Yang, H.W. Effect of Integrated Landscape Characteristics Around Chaohu Lake on River Water Quality Based on Watershed Units. Environ. Sci. 2024, 45, 3214–3224. [Google Scholar] [CrossRef]
- Zhang, H.S.; Jiao, Y.M.; Xu, Q.E.; Zhang, Z.N.; Tao, Y. Research review on land use change in Dianchi Lake Basin and its impact on water quality. Yangtze River 2023, 54, 65–73. [Google Scholar] [CrossRef]
- Ding, J.; Jiang, Y.; Liu, Q.; Hou, Z.J.; Liao, J.Y.; Fu, L.; Peng, Q.Z. Influences of the land use pattern on water quality in low-order streams of the Dongjiang River basin, China: A multi-scale analysis. Sci. Total Env. 2016, 551–552, 205–216. [Google Scholar] [CrossRef]
- Wang, Y.B.; Junaid, M.; Deng, J.Y.; Tang, Q.P.; Luo, L.; Xie, Z.Y.; Pei, D.S. Effects of land-use patterns on seasonal water quality at multiple spatial scales in the Jialing River, Chongqing, China. Catena Giess. 2024, 234, 107646. [Google Scholar] [CrossRef]
- Guan, W.H.; Luo, G.H.; Wang, P.F.; Lou, B.F.; Qiu, G.S. Variation of TP flux in Jialing River and spatial source apportionment. China Environ. Sci. 2024, 44, 1448–1456. [Google Scholar] [CrossRef]
- Guan, B.H.; Li, J.; Zeng, A.B.; Deng, J.S.; Zhang, J. Impacts of Urban Land Use on Water Quality in Hangzhou. Resour. Sci. 2008, 30, 857–863. [Google Scholar] [CrossRef]
- Cao, X.F.; Sun, J.H.; Huang, Y. The impact of landscape pattern on water quality in Lake Dianchi watershed. Ecol. Environ. Sci. 2012, 21, 364–369. [Google Scholar] [CrossRef]
- Yang, W.; Li, R.Q. Characteristics and Causes of the Total Phosphorus Pollution in the Yangtze River and Han River. China Rural. Water Hydropower 2021, 1, 42–47. [Google Scholar] [CrossRef]
- Chen, S.R.; He, L.; Zhang, F.Y.; Ma, G.W.; Lin, L.Y. Characteristics of Surface Water Quality of the Yangtze River Basin during 2016–2019. Res. Environ. Sci. 2020, 33, 1100–1108. [Google Scholar]
- Deng, F.L.; Lin, T.; Zhao, Y.; Yuan, Y. Zoning and Analysis of Control Units for Water Pollution Control in the Yangtze River Basin, China. Sustainability 2017, 9, 1374. [Google Scholar] [CrossRef]
- Wang, J.Y.; Xie, D.T.; Wang, S.; Yan, J.Z. Research on spatial distribution of rural tourism in mountainous and hilly areas base Don POI extraction—A case study of Chongqing city. Chin. J. Agric. Resour. Reg. Plan. 2020, 41, 257–267. [Google Scholar]
- Wang, J.; Xu, C. Geographical Detector: Principles and Prospects. Acta Geogr. Sin. 2017, 72, 116–134. [Google Scholar]
- Ji, X.Y.; Peng, D. Characteristics of Total Phosphorus Concentration in the Yangtze River Basin in the Thirteenth Five-Year Plan Period. J. Chang. River Sci. Res. Inst. 2022, 39, 1–9. [Google Scholar] [CrossRef]
- Chen, S.R.; He, L.H.; Lin, L.Y.; Fang, D.K.; Zhang, F.Y. Change Trends of Surface Water Quality in the Mainstream of the Yangtze River during the Past Four Decades. Res. Environ. Sci. 2020, 33, 1119–1128. [Google Scholar] [CrossRef]
- Li, Z.M. Introduction to China’s Chemical Mineral Geology. Ind. Miner. Process. 2002, 5, 33–34. [Google Scholar]
- Shi, Y.; Qin, Y.W.; Ma, Y.Q.; Zhao, Y.M.; Wen, Q.; Cao, W.; Qiao, F. Pollution Status and Control Strategy of ‘Three Phosphorus’ Pollution in the Upper Reaches of Yangtze River Basin, China. Res. Environ. Sci. 2020, 33, 2283–2289. [Google Scholar]
- Yan, W.J.; Li, Q.Q.; Wang, F.; Wang, J.N.; Yu, Q.B.; Song, Y.H.; Wang, D.S. Basin-scale phosphorus and “three-P” loads into the river network and their contributions to the riverine P fluxes at key stations of the Changjiang River: Model and scenario analysis. Acta Sci. Circumstantiae 2022, 42, 149–159. [Google Scholar] [CrossRef]
- Zou, L.L.; Liu, Y.S.; Wang, Y.S.; Hu, X.D. Assessment and analysis of agricultural non-point source pollution loads in China: 1978–2017. J. Env. Manag. 2020, 263, 110400. [Google Scholar] [CrossRef] [PubMed]
- Jiang, W.; Li, J.; Chen, Y.H. Current Situation and Analysis of Water Quality of the Jinsha River(Yunnan Section) Basin. Environ. Sci. Surv. 2023, 6, 78–82. [Google Scholar] [CrossRef]
- Wu, L.; Long, T.Y.; Wang, Y.X.; Lu, Q.Q. Prediction of non-point source nitrogen and phosphorus pollution load in Jialing River watershed based on distributed hydrological model. Trans. Csae 2011, 27, 55–60. [Google Scholar] [CrossRef]
- Zhao, L. Analysis of water quality changes in Yichang section of the Changjiang River Basin under the background of Great Protection of the Changjiang River. Environ. Prot. Technol. 2023, 29, 41–46+64. [Google Scholar] [CrossRef]
- Cheng, M.; Tang, M.; Liang, G.L. Research on the transformation of one kilometer industrial space along the Yangtze River in Yichang under the background of Yangtze River protection. Contemp. Econ. 2019, 4, 24–28. [Google Scholar] [CrossRef]
- Sun, J.; Wang, Z.F. Water quality and main pollutants in the Sinan section of the Wujiang river in Guizhou Province. Inn. Mong. Environ. Sci. 2020, 32, 24–25. [Google Scholar] [CrossRef]
- Sun, J.W.; Wang, J.; Yang, Y.L.; Chen, J.; Zhou, Q.; Zhong, W.J. Temporal and spatial characteristics and abnormal changes of nitrogen and phosphorus in Poyang lake and the impact pathways. Jiangxi Hydraul. Sci. Technol. 2024, 50, 199–205. [Google Scholar] [CrossRef]
- Wang, Y.D.; Jia, J.J.; Lu, Y.; Tian, L.L.; Gao, Y. Nitrogen and phosphorus budget and eutrophication impacts in Poyang Lake from 2010 to 2019. Acta Sci. Circumstantiae 2024, 44, 151–160. [Google Scholar]










| Judgment Basis | Interaction |
|---|---|
| Nonlinear weakening | |
| Single-factor nonlinear weakening | |
| Two-factor enhancement | |
| Independence | |
| Nonlinear enhancement |
| Land Use Type | q Value | Pearson Correlation (corr) | Direction |
|---|---|---|---|
| Built-up land | 0.19 *** | 0.43 *** | + |
| Cropland | 0.18 *** | 0.40 *** | + |
| Forest | 0.16 *** | −0.38 *** | - |
| Bareland | 0.10 *** | 0.24 *** | + |
| Industrial and mining land | 0.06 *** | 0.24 *** | + |
| Grassland | 0.05 *** | −0.16 *** | - |
| Wetland | 0.00 | −0.02 | - |
Disclaimer/Publisher’s Note: The statements, opinions and data contained in all publications are solely those of the individual author(s) and contributor(s) and not of MDPI and/or the editor(s). MDPI and/or the editor(s) disclaim responsibility for any injury to people or property resulting from any ideas, methods, instructions or products referred to in the content. |
© 2025 by the authors. Licensee MDPI, Basel, Switzerland. This article is an open access article distributed under the terms and conditions of the Creative Commons Attribution (CC BY) license (https://creativecommons.org/licenses/by/4.0/).
Share and Cite
Deng, F.; Liu, W.; Liu, W.; Xu, Y.; Sun, Y.; Zhang, C.; Sun, M.; Yuan, Y. Regional Differences in the Impact of Land Use Pattern on Total Phosphorus Concentration in the Yangtze River Basin. Land 2025, 14, 210. https://doi.org/10.3390/land14020210
Deng F, Liu W, Liu W, Xu Y, Sun Y, Zhang C, Sun M, Yuan Y. Regional Differences in the Impact of Land Use Pattern on Total Phosphorus Concentration in the Yangtze River Basin. Land. 2025; 14(2):210. https://doi.org/10.3390/land14020210
Chicago/Turabian StyleDeng, Fuliang, Wenhui Liu, Wei Liu, Yanxue Xu, Yuanzhuo Sun, Chen Zhang, Mei Sun, and Ying Yuan. 2025. "Regional Differences in the Impact of Land Use Pattern on Total Phosphorus Concentration in the Yangtze River Basin" Land 14, no. 2: 210. https://doi.org/10.3390/land14020210
APA StyleDeng, F., Liu, W., Liu, W., Xu, Y., Sun, Y., Zhang, C., Sun, M., & Yuan, Y. (2025). Regional Differences in the Impact of Land Use Pattern on Total Phosphorus Concentration in the Yangtze River Basin. Land, 14(2), 210. https://doi.org/10.3390/land14020210
