Next Article in Journal
Democratic Processes in Urban Agriculture: A Comparative Analysis of Community Gardens and Allotments in London
Previous Article in Journal
Exploring the Impact Mechanism on Collaborative Governance of Urban–Rural Integrated Development in the Yangtze River Delta Region
Previous Article in Special Issue
A Double-Edged Sword: Farmland Transfer and Productivity Gaps Among Farmers with Diverse Livelihood Capital
 
 
Font Type:
Arial Georgia Verdana
Font Size:
Aa Aa Aa
Line Spacing:
Column Width:
Background:
Article

Spatiotemporal Dynamics and Driving Mechanisms of Vegetation Net Primary Productivity in the Giant Panda National Park Under the Context of Ecological Conservation

1
Research Institute of Forestry Policy and Information, Chinese Academy of Forestry, Beijing 100091, China
2
Chinese Academy of Forestry, Beijing 100091, China
*
Author to whom correspondence should be addressed.
Land 2025, 14(12), 2394; https://doi.org/10.3390/land14122394 (registering DOI)
Submission received: 5 November 2025 / Revised: 1 December 2025 / Accepted: 5 December 2025 / Published: 10 December 2025

Abstract

Nature reserves serve as core spatial units for maintaining regional ecological security and biodiversity. Owing to their high ecosystem integrity, extensive vegetation cover, and low levels of disturbance, they play a crucial role in sustaining ecological processes and ensuring functional stability. Taking the Giant Panda National Park (GPNP), which spans the provinces of Gansu, Sichuan, and Shaanxi in China, as the study region, the vegetation net primary productivity (NPP) during 2001–2023 was simulated using the Carnegie–Ames–Stanford Approach (CASA) model. Spatial and temporal variations in NPP were examined using Moran’s I, Getis-Ord Gi* hotspot analysis, Theil–Sen trend estimation, and the Mann–Kendall test. In addition, the Optimal Parameters-based Geographical Detector (OPGD) model was applied to quantitatively assess the relative contributions of natural and anthropogenic factors to NPP dynamics. The results demonstrated that: (1) The mean annual NPP within the GPNP reached 646.90 gC·m−2·yr−1, exhibiting a fluctuating yet generally upward trajectory, with an average growth rate of approximately 0.65 gC·m−2·yr−1, reflecting the positive ecological outcomes of national park establishment and ecological restoration projects. (2) NPP exhibits significant spatial heterogeneity, with higher NPP values in the northern, while the central and western regions and some high-altitude areas remain at relatively low levels. Across the four major subregions of the GPNP, the Qinling has the highest mean annual NPP at 758.89 gC·m−2·yr−1, whereas the Qionglai–Daxiaoxiangling subregion shows the lowest value at 616.27 gC·m−2·yr−1. (3) Optimal NPP occurred under favorable temperature and precipitation conditions combined with relatively high solar radiation. Low elevations, gentle slopes, south facing aspects, and leached soils facilitated productivity accumulation, whereas areas with high elevation and steep slopes exhibited markedly lower productivity. Moderate human disturbance contributed to sustaining and enhancing NPP. (4) Factor detection results indicated that elevation, mean annual temperature, and land use were the dominant drivers of spatial heterogeneity when considering all natural and anthropogenic variables. Their interactions further enhanced explanatory power, particularly the interaction between elevation and climatic factors. Overall, these findings reveal the complex spatiotemporal characteristics and multi-factorial controls of vegetation productivity in the GPNP and provide scientific guidance for strengthening habitat conservation, improving ecological restoration planning, and supporting adaptive vegetation management within the national park systems.

1. Introduction

Nature reserves are key spatial units for conserving biodiversity and safeguarding regional ecological security. By maintaining relatively intact habitats, they support continuous ecological processes and stable ecosystem functions [1]. Net primary productivity (NPP) is a central indicator of ecosystem productivity and carbon cycling [2,3], reflecting vegetation responses to environmental change and enabling quantitative assessments of ecosystem health, resilience, and carbon sequestration capacity [4,5]. Compared with urban or intensively cultivated areas, protected ecosystems typically exhibit higher NPP, revealing their inherent ecological capacity and carbon-sink potential [6,7]. Therefore, long-term monitoring of NPP and its natural and anthropogenic drivers is essential for evaluating habitat conditions and improving conservation and management strategies in nature reserves.
With the advancement of methodology, NPP estimation has evolved from traditional experimental methods such as harvesting and chlorophyll measurement to model simulations relying on remote sensing data. Commonly used models include the Thornthwaite Memorial model [8], the Chikugo model [9], the Biome-BGC model [10], the BEPS model [11], the CASA model [12], and the GLO-PEM model [13]. Among these, the CASA model integrates key physiological and ecological processes of plant growth, particularly light use efficiency and water stress, and is capable of accurately characterizing vegetation carbon fixation [14,15]. In recent years, with the increasing availability of multi-source meteorological, geographic, and remote sensing data, the accuracy and applicability of CASA have been substantially improved [16,17]. Striking a balance between mechanistic rationality and parameter simplicity [14,18], the CASA model offers strong potential for regional extension and long-term application, and has therefore been widely employed for productivity estimation across diverse ecosystems [19,20]. Previous studies conducted in forests, grasslands, and mountainous ecosystems have demonstrated that the CASA model performs reliably under highly heterogeneous environmental conditions and provides robust estimates of vegetation productivity across diverse biomes [12,21].
Notably, NPP results from the synergistic influences of topography, climate, soil, and human activities rather than from any single controlling factor [12,22]. Nevertheless, the influence of each driver exhibits distinct spatial heterogeneity. The dominant controlling factors vary significantly across regions [23]. Topography modifies local climatic patterns and thereby influences vegetation activity and phenological processes [24]. For instance, Xu et al. [25] demonstrated that in alpine valleys and plateau regions, elevation plays a critical role in the spatial differentiation of NPP. Climatic factors directly govern vegetation physiological processes, with temperature and precipitation exerting distinct influences depending on climate zones and ecosystem types [26]. Liang et al. [27] demonstrated that temperature plays a more dominant role in regulating NPP in humid and semi-humid regions, whereas precipitation limitation exerts a stronger influence in arid and semi-arid ecosystems. Solar radiation, as the primary source of photosynthetically active radiation, often emerges as the dominant driver of NPP in highly productive ecosystems such as tropical rainforests [28,29]. Moreover, soil texture and organic matter content play a fundamental role in constraining vegetation productivity through their influence on moisture retention and nutrient supply.
Conversely, the effect of human activities on NPP demonstrates greater uncertainty and duality. Urban expansion, land reclamation, and industrial restructuring intensify land use changes, which may result in vegetation degradation and productivity decline [30,31,32]. Conversely, afforestation, returning farmland to forest, and ecological restoration initiatives contribute to enhancing vegetation cover and ecosystem resilience, thereby promoting NPP. For example, Yang et al. [33] indicated that annual fluctuations of grassland NPP in China were mainly driven by variations in mining intensity and ecological restoration efforts. This indicates that under human disturbances, destructive and restorative effects coexist, and that reasonable ecological protection and restoration efforts can mitigate or even reverse degradation trends [34,35]. Overall, although substantial progress has been made in exploring vegetation NPP, two major gaps remain. First, most existing studies have focused on the effects of single factors, with limited efforts devoted to systematically quantifying the relative contributions and interactions of multiple drivers. Second, the majority of findings concentrate on regions subject to strong anthropogenic disturbance, while natural reserves, particularly those under strict protection and weak disturbance such as national parks, still lack long-term and systematic investigations.
Within China’s nature reserve system, national parks represent the category with the highest ecological value and the strictest protection, and they are entrusted with the comprehensive conservation of ecosystems that hold both national representativeness and global significance [36]. As NPP serves as a key indicator for evaluating vegetation productivity and ecosystem function, NPP monitoring in China’s protected areas has increasingly relied on remote sensing-based approaches, including MODIS-derived NPP products [34,37] as well as energy balance and climate-driven models [38,39], to assess vegetation dynamics and conservation outcomes. The Giant Panda National Park (GPNP), as one of the first national parks established in China [40], spans multiple mountain ranges and is characterized by complex topography, pronounced climatic gradients, and diverse vegetation types. It provides critical habitats for the giant panda and its associated species. However, research on NPP in this region remains limited, particularly with respect to long-term systematic assessments and analyses of driving mechanisms, which constrains a comprehensive scientific understanding of ecosystem functional responses since the implementation of the national park system.
It is worth noting that China officially launched the Natural Forest Protection Program (NFPP) in 2001, which has significantly promoted forest recovery and the enhancement of ecosystem functions nationwide. Accordingly, the period from 2001 to 2023 was selected as the study timeframe, as it not only encompasses the ecological functional changes before and after the establishment of the national park system but also provides a rational temporal framework for identifying the long-term ecological responses to major conservation policies. Based on this, the present study focuses on the GPNP during 2001–2023, integrating multi-source remote sensing and environmental datasets. Vegetation NPP was estimated using the CASA model, spatial patterns were explored through Moran’s I and Getis-Ord Gi* hotspot analysis, temporal trends were detected by Theil–Sen slope estimation and the Mann–Kendall test, and the dominant as well as interactive effects of natural and anthropogenic drivers were quantitatively assessed using the geographical detector model. The objectives of this study are threefold: (1) to characterize the spatial-temporal distribution and long-term variation in vegetation NPP within the GPNP; (2) to analyze the single factor effects and interactive effects of topography, climate, soil and human activities on the NPP of vegetation in the Park, and identify their dominant controlling factors; and (3) to evaluate the dynamic ecosystem responses since the implementation of the national park system. This study enhances the comprehension of ecosystem functional dynamics within representative nature reserves and offers empirical evidence to evaluate the effectiveness of national park conservation and management strategies.

2. Materials and Methods

2.1. Study Area

The GPNP is situated in western China (102°11′10″–108°30′52″ E, 28°51′03″–34°10′07″ N), extending across the provinces of Gansu, Sichuan, and Shaanxi. It comprises four major subregions, including Qinling, Baishuijiang, Minshan, and Qionglai–Daxiaoxiangling, and lies within one of the world’s biodiversity hotspots as well as the core area of China’s ecological security framework, commonly referred to as the “Two Barriers and Three Belts” strategy [41]. The park is distinguished by unique geomorphological, biotic, and habitat features. The planned area of GPNP covers 27,134 km2 across 3 provinces, 12 prefecture-level cities, and 30 counties [42]. The region is situated within a transitional monsoon climate zone, lying between the northern subtropical and warm temperate regions. The prevailing climate is humid, characterized by abundant and uneven precipitation that generally varies between 500 and 1200 mm per year [43]. Rainfall tends to be more concentrated during the summer and autumn months, particularly in the southwestern part of the park, and gradually decreases toward the northeast. The annual mean temperature typically ranges from 12 °C to 16 °C, with historical extremes recorded between –28 °C and 37.7 °C [44,45]. Elevation spans from 566 to 6567 m (Figure 1), forming a vertical difference of nearly 6000 m. The terrain is generally higher in the southwest and lower in the northeast, forming distinct vertical vegetation zones. As the altitude increases, the dominant vegetation transitions from subtropical evergreen broadleaf forests and deciduous broadleaf forests to mixed evergreen and deciduous broadleaf forests, then to temperate coniferous forests, alpine coniferous forests, shrublands, and alpine meadows [46]. The soils are diverse, encompassing mountain brown, yellow-brown, paddy, fluvo-aquic, and cinnamon mountain soils. The institutional development of GPNP has proceeded in phases. In August 2017, China approved the Pilot Scheme for the GPNP System, officially initiating the pilot phase. On 12 October 2021, the GPNP was formally established.

2.2. Data Sources and Processing

This study employed multiple datasets covering six domains, namely climate, topography, soil, vegetation, land use, and socioeconomic factors. The types, sources, and basic attributes of these datasets are summarized in Table 1. For climate data, monthly mean temperature and precipitation were obtained from the National Tibetan Plateau Data Center. Monthly solar radiation was derived from the Terra Climate dataset. For topography, elevation data were sourced from the Advanced Spaceborne Thermal Emission and Reflection Radiometer Global Digital Elevation Model (ASTER GDEM) provided by the National Geospatial Information Cloud Platform; slope and aspect were derived from the elevation dataset [47]. Soil data included soil type information from the Harmonized World Soil Database, while Soil texture and soil macro-nutrients were collected from the Spatial Distribution Dataset of Soil Texture in China and the China Soil Dataset for Land Surface Modeling (Version 2) [48]. Vegetation data included the MCD12Q1 product for vegetation type, the MOD13Q1 dataset (2001–2023) for Normalized Difference Vegetation Index (NDVI), Low-quality observations in MOD13Q1, including cloud, cloud shadow, snow or ice, high aerosol contamination, and pixels flagged as low reliability, were removed using the MODIS QA layers. After quality control, the remaining valid observations were composited using the Maximum Value Composite method to generate monthly NDVI. In addition, the MOD17A3 NPP product was further employed to verify the consistency of NPP estimates produced by the CASA model. All vegetation related datasets were processed via the Google Earth Engine (GEE) platform. The land use information was derived from the Annual China Land Cover Dataset [49]. Socioeconomic data included GDP and population density, both obtained from the CAS Resource and Environment Data Center. Data were available for the years 2000, 2005, 2010, 2015, and 2020. In this study, 2000 data were used to substitute for 2001 values, and linear fitting based on the five available years was performed to estimate per-pixel GDP and population density for 2023. All datasets were uniformly projected to the WGS 1984 UTM Zone 48N coordinate system using the Universal Transverse Mercator (UTM) projection to ensure spatial consistency among the multi-source datasets. Subsequently, all variables were resampled to a spatial resolution of 500 m. For categorical variables, the nearest neighbor method was applied, while for continuous variables, bilinear interpolation and cubic convolution were compared and the optimal approach was selected.

3. Methodology

3.1. CASA Model

NPP in the GPNP was estimated using the CASA model, which is based on the principle of light use efficiency [50]. This study adopted the enhanced version proposed by Zhu Wenquan [51], which refines vegetation type classification, simulates maximum light use efficiency for major vegetation categories in China, and incorporates improved parameterization of water stress factors. According to the 1:1,000,000 Vegetation Type Map of China, the study area encompasses seven major vegetation type groups, namely grasses, meadows, alpine vegetation, broadleaf forests, cultivated vegetation, mixed conifer–broadleaf forests, and coniferous forests. Incorporating these vegetation types into the enhanced CASA framework ensures closer alignment with the actual ecological conditions of the GPNP and enables more accurate estimation of regional NPP. In addition, NPP was calculated using the “Vegetation NPP Module V1.0” implemented on the IDL/ENVI platform. Key model parameters, including NDVI maximum/minimum thresholds and maximum light-use efficiency (ε_max), were configured following the parameter system for typical vegetation types in China established by Zhu Wenquan et al. [52].

3.2. Global Moran’s I Index and Getis-Ord Gi* Hotspot Analysis

To characterize spatial clustering patterns of vegetation productivity, spatial autocorrelation analysis was conducted using global Moran’s I and local Getis-Ord Gi* statistics. Moran’s I was employed to determine whether vegetation NPP exhibits overall spatial aggregation or dispersion within the GPNP [53,54,55], while the Getis-Ord Gi* analysis was used to identify localized high-value and low-value clusters [56]. Both metrics were calculated based on standardized spatial weight matrices, and the results were tested for statistical significance [53]. Persistent NPP hotspots typically reflect areas with favorable environmental conditions and intact vegetation, representing high-functioning ecosystems that warrant priority protection. In contrast, coldspots often indicate environmentally stressed or potentially degraded regions where vegetation productivity is limited. These patterns provide practical guidance for conservation planning by highlighting where protection should be strengthened and where restoration or targeted management may be required.

3.3. Theil–Sen Median Slope Estimation and Mann–Kendall Trend Test

The spatiotemporal trends of vegetation NPP in the GPNP from 2001 to 2023 were analyzed using the Theil–Sen median slope estimator in combination with the Mann–Kendall statistical test [57]. Compared with conventional linear regression, this combined method is more robust to outliers and non-normal data distributions, effectively capturing long-term monotonic trends in environmental time series [58,59].
The Theil–Sen estimator was used to quantify the magnitude and direction of NPP change, while the Mann–Kendall test evaluated the statistical significance of the trend. A significance level of α = 0.05 was adopted, corresponding to the 90%, 95%, 99% confidence levels for |Z| > 1.645, |Z| > 1.960 and |Z| > 2.576, respectively. Based on these thresholds, NPP trends were first classified into the nine standard Mann–Kendall categories (Table 2), ranging from highly significant increase to highly significant decrease. For clearer visualization and interpretation in the mapping and statistical summaries, the “significant” and “slightly significant” classes were subsequently merged, resulting in seven final trend categories used throughout the analysis.

3.4. Coefficient of Variation Method

To assess the stability and interannual variability of vegetation productivity, the coefficient of variation (CV) method was applied at the pixel scale. This approach measures the relative dispersion of NPP over time, effectively eliminating the influence of different units or magnitudes [60]. The CV was calculated for each pixel based on the 2001–2023 NPP time series, reflecting the degree of fluctuation in vegetation productivity. Higher CV values indicate greater temporal variability, while lower values denote greater stability. For interpretation, CV values were divided into four categories: very stable (CV ≤ 0.1), stable (0.1 < CV ≤ 0.2), unstable (0.2 < CV ≤ 0.3), and highly unstable (CV > 0.3) [61].

3.5. Methods for Analyzing Influencing Factors

3.5.1. Partial Correlation Analysis

To accurately identify the independent effects of climatic factors on vegetation NPP while minimizing multicollinearity, partial correlation analysis was employed [62]. This method quantifies the relationship between NPP and each major climatic variable, namely mean annual temperature, mean annual precipitation, and annual solar radiation, while statistically controlling for the influence of the remaining factors. Through this approach, the intrinsic associations between NPP and individual climatic variables were revealed without the confounding effects of covariates.

3.5.2. Statistical Analysis

To examine the influence of environmental and anthropogenic factors on vegetation productivity within the GPNP, topographic, vegetation, soil, and land use variables were systematically classified and analyzed. Three topographic parameters, namely elevation, slope, and aspect, were extracted from the digital elevation model (DEM). Elevation values ranged from 566 m to 6567 m and were divided into 200 m intervals, while slopes between 0° and 78° were grouped at 2° intervals [63]. Aspect was categorized into eight cardinal directions and further grouped according to relative exposure to sunlight [64].
Vegetation, soil, and land use variables were organized using standardized classification systems to ensure consistency across datasets. Vegetation was divided into seven major types: cultivated vegetation, broadleaf forest, coniferous forest, mixed forest, thicket, grassland, and alpine vegetation [65]. Soil types followed the FAO-90 classification and included Argosols, Semi-Luvisols, Aridisols, Desert soil, Primary soil, Semi-hydromorphic soil, Hydromorphic soil, Saline soil, Ferralosols, Anthrosols, and Alpine soil [66]. Land use categories were based on the CLCD system (Table 3) and included cropland, forest, shrubland, grassland, water, snow or ice, barren land, and construction land [67].
The mean NPP was calculated for each class to evaluate the relative contributions of topographic, vegetation, and soil factors to spatial variations in productivity. To further analyze the impact of human activities, land use transition patterns were examined over three distinct stages: 2001–2017, 2017–2023, and the entire period from 2001 to 2023. These intervals correspond to the phases before, during, and after the official establishment of the GPNP system. By integrating land use transition matrices with temporal changes in NPP, the analysis identified how different forms of land conversion influenced vegetation productivity and ecological restoration outcomes across the region.

3.5.3. Geographical Detector

The Optimal Parameters-based Geographical Detector (OPGD) was employed to quantify the contributions and interactions of multiple driving factors associated with the spatial heterogeneity of vegetation NPP [68]. In contrast to traditional geographical detector methods, the OPGD model automatically determines the most appropriate parameter combinations for discretizing continuous variables, thereby reducing subjectivity and enhancing the accuracy of factor detection. In this study, vegetation NPP was defined as the dependent variable, while seventeen explanatory factors were considered, including fifteen natural variables and two socioeconomic variables. Continuous variables were divided into multiple strata using a series of classification approaches, such as equal-interval, natural-break, quantile, geometric-interval, and standard-deviation methods. The optimal number of strata and the most suitable discretization scheme were identified by searching parameter combinations that maximize the q-statistic, ensuring that the stratification results provide the strongest explanatory power for spatial heterogeneity.
The analytical framework of the OPGD model consisted of three major components. The first was factor detection, which measured the explanatory power of individual variables for spatial heterogeneity in vegetation NPP using the q-statistic. The second was interaction detection, which examined whether the combined effects of two factors were associated with enhanced, weakened, or independently explanatory capacities, thereby revealing synergistic or nonlinear relationships. The third was risk detection, which identified regions with significantly higher or lower NPP values under specific environmental or anthropogenic conditions. All analytical procedures, including factor detection, interaction analysis, and visualization, were carried out using the R 4.5.1 statistical software environment.

4. Results

4.1. Spatiotemporal Variations in Vegetation NPP

4.1.1. Spatial Distribution Characteristics

According to the dataset and analytical procedure described in Section 2.1, the spatial heterogeneity of vegetation NPP in the GPNP from 2001 to 2023 was quantitatively assessed. The mean annual NPP during this 23-year period ranged from 0.12 to 1596.78 gC·m−2·yr−1. Overall, productivity is higher in the northern and southern regions, while the central area is relatively lower. Areas with NPP values exceeding 800 gC·m−2·yr−1 accounted for approximately 7.55% of the total area and were mainly distributed in the Qinling range of Shaanxi and the Qionglai–Daxiaoxiangling region of Sichuan (Figure 2). Zones where NPP ranged between 500 and 800 gC·m−2·yr−1 represented about 83.75% of the park, predominantly concentrated in its northern and eastern sectors. In contrast, regions with NPP below 500 gC·m−2·yr−1 covered roughly 8.71% of the area, primarily located in the western Minshan and adjacent Qionglai–Daxiaoxiangling sectors.
The global Moran’s I was 0.77 (p < 0.01), indicating a pronounced spatial clustering of vegetation NPP and showing a strong positive spatial autocorrelation. Clustering was significant at the 99% confidence level, with hotspot and coldspot areas accounting for 22.57% and 14.19% of the park, respectively. Areas of high productivity were mainly located in the Qinling Mountains and along the peripheries of the Baishuijiang region, extending toward Qingchuan County in the Minshan Mountains and the Shimian and Tianquan country in the Qionglai–Daxiaoxiangling range. In contrast, low value coldspots were clustered in the central-western part of the study area, particularly in Songpan, Pingwu, and Pengzhou counties of the Minshan sector, as well as Baoxing, Tianquan, and Wenchuan counties in the Qionglai–Daxiaoxiangling sector.

4.1.2. Temporal Variations in Vegetation NPP

To further characterize temporal dynamics, vegetation NPP was analyzed annually from 2001 to 2023. The results showed that vegetation NPP in the GPNP displayed an overall increasing trend with interannual fluctuations during the 23-year period (Figure 3). The mean rate of increase was estimated at 0.65 gC·m−2·yr−1. The multi-year mean was 646.90 gC·m−2·yr−1, with the minimum value of 598.23 gC·m−2·yr−1 occurring in 2020 and the maximum value of 708.05 gC·m−2yr−1 recorded in 2013. The largest annual increase was observed between 2010 and 2011 (13.79 gC·m−2·yr−1), whereas the sharpest decline occurred between 2013 and 2014 (−10.60 gC·m−2·yr−1).

4.1.3. Spatial Variations in Vegetation NPP

Between 2001 and 2023, vegetation productivity in the GPNP exhibited an overall upward trajectory, with 71.87% of the area showing positive trends, reflecting widespread vegetation recovery and growth (Figure 4a). Within this region, 12.93% demonstrated statistically significant enhancement (p < 0.05), of which a smaller subset reached strong significance (p < 0.01). These high-growth zones were mainly concentrated in Taibai and Zhouzhi counties of the Qinling range, Wenchuan County in the Qionglai–Daxiaoxiangling range, and the southern part of Pingwu County in the Minshan range. Areas with mild or non-significant increases represented 58.51% of the park. In contrast, only 2.85% of the GPNP showed a declining tendency, where statistically evident decreases (p < 0.05 or p < 0.01) occurred primarily in northern Pingwu (Minshan range) and Baoxing County (Qionglai–Daxiaoxiangling range). About 25.12% of the region experienced weak declines, while merely 0.59% remained largely unchanged (Figure 4b).
The variability in vegetation NPP, expressed by its coefficient of variation (CV), ranged between 0.02 and 2.89, with an overall mean of 0.12 (Figure 4c). Areas exhibiting high consistency (CV ≤ 0.1) and relative stability (0.1 < CV ≤ 0.2) covered 63.84% and 24.38% of the park, respectively, and were mainly concentrated in the Qinling and Baishuijiang sections in the north. Regions characterized by moderate variability (0.2 < CV ≤ 0.3) were largely located within the southern Minshan range and the northern Qionglai–Daxiaoxiangling zone. Approximately 5.76% of the landscape had CV values exceeding 0.3, signifying substantial temporal oscillations in vegetation productivity.

4.2. Analysis of Factors Influencing Vegetation NPP

4.2.1. Impacts of Climate Change on Vegetation NPP

Based on the results of the partial correlation analysis conducted between NPP and key climatic variables within the GPNP (Figure 5), vegetation productivity was found to be generally positively related to climatic conditions. The correlation coefficient between NPP and precipitation was 0.03, with approximately 55.53% of the region displaying positive associations, among which 5.47% reached statistical significance at either the 0.01 or 0.05 level. In contrast, negative relationships accounted for 44.47% of the total area. Regarding temperature, the correlation coefficient reached 0.07, and 67.30% of the GPNP exhibited positive correlations, including 4.39% that were highly significant or significant, whereas 32.70% showed negative correlations, of which 1.42% were statistically significant. Solar radiation demonstrated the strongest association with NPP, with a coefficient of 0.46. As much as 96.34% of the park displayed positive correlations, and 71.14% of the area showed highly significant or significant positive relationships. In contrast, only 3.66% of the region exhibited negative correlations, with merely 0.13% being statistically significant.

4.2.2. Influence of Topographic Variation on Vegetation Productivity

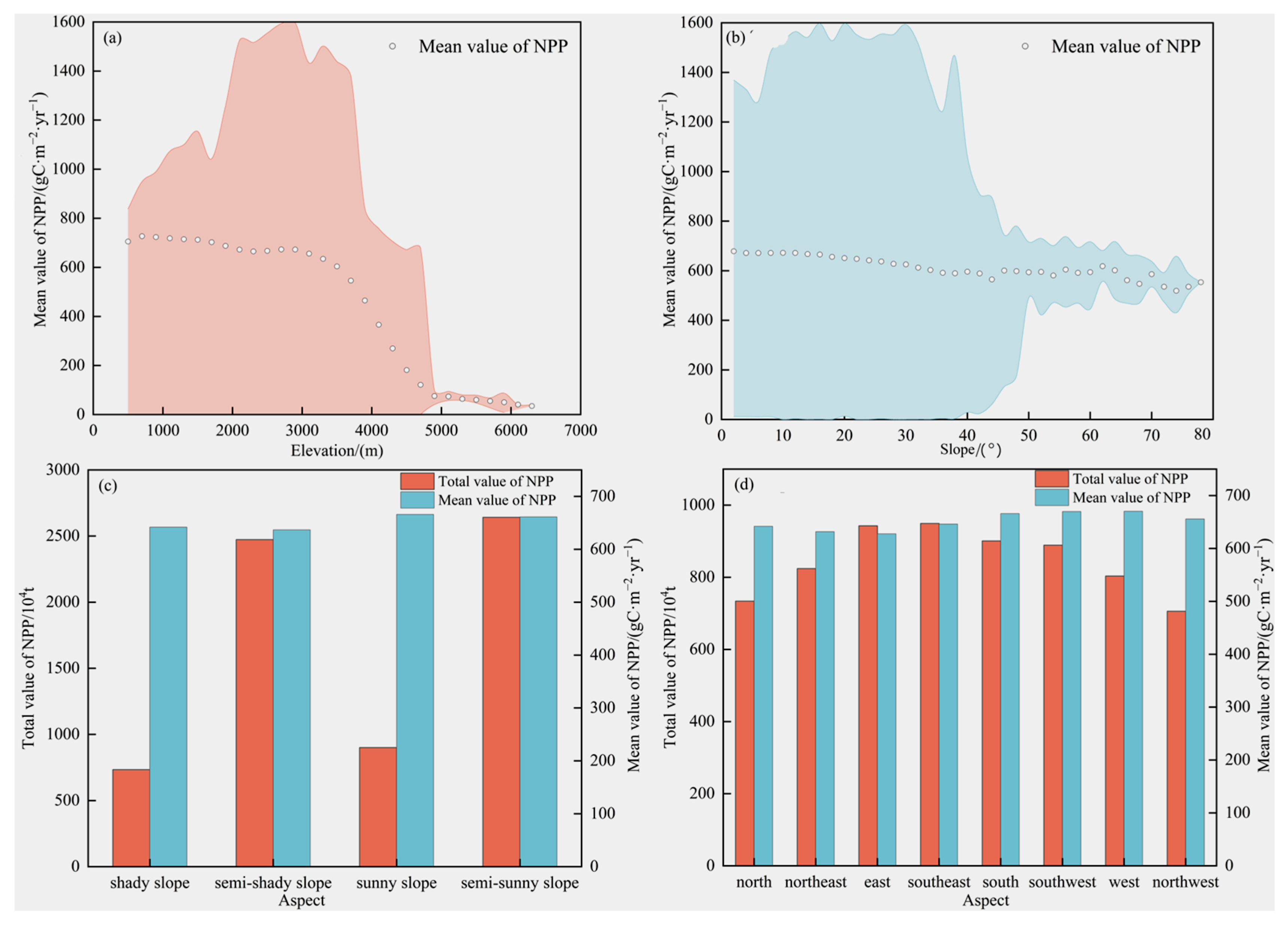
Variations in hydrothermal regimes shaped by terrain features strongly regulate the spatial pattern and magnitude of vegetation NPP. Analysis of NPP along gradients of elevation, slope, and aspect within the GPNP (Figure 6) revealed that NPP values generally increase with altitude up to a certain threshold, after which they decline. The NPP value is the highest between 500 and 1500 m above sea level. When the altitude exceeds 3400 m, NPP decreases significantly (Figure 6a). With respect to slope, NPP generally decreased with increasing slope, declining from 678.39 gC·m−2·yr−1 to 553.35 gC·m−2·yr−1 (Figure 6b). Regarding slope orientation, the mean NPP values of sunny and semi-sunny slopes were overall higher than those of shady and semi-shady slopes: sunny slopes (665.92 gC·m−2·yr−1) > semi-sunny slopes (661.26 gC·m−2·yr−1) > shady slopes (641.95 gC·m−2·yr−1) > semi-shady slopes (636.75 gC·m−2·yr−1) (Figure 6c). When classified by cardinal aspect, the mean NPP followed the order: west (670.35 gC·m−2·yr−1) > southwest (669.86 gC·m−2·yr−1) > south (665.92 gC·m−2·yr−1) > northwest (655.79 gC·m−2·yr−1) > north (641.95 gC·m−2·yr−1) > southeast (646.08 gC·m−2·yr−1) > northeast (631.64 gC·m−2·yr−1) > east (627.58 gC·m−2·yr−1).

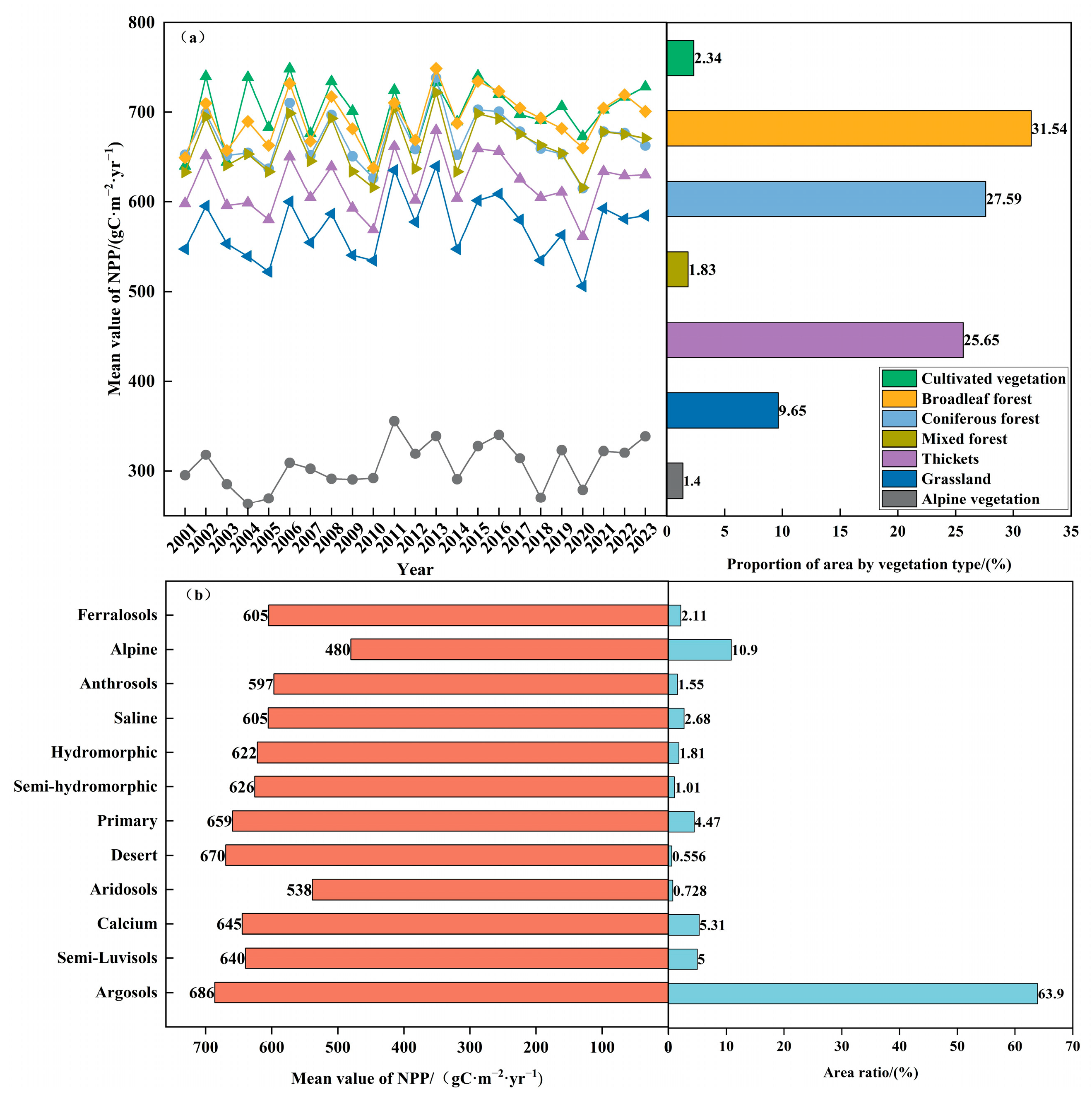
4.2.3. Effects of Vegetation and Soil Types on the Spatial Distribution of NPP

Differences in physiological characteristics among vegetation types lead to varying capacities for NPP accumulation. Statistical analysis of multi-year mean NPP and area proportions across different vegetation and soil types in the GPNP (Figure 7) yielded the following results. For vegetation types, the mean NPP followed the order: Cultivated vegetation (701.21 gC·m−2·yr−1) > Broadleaf (693.23 gC·m−2·yr−1) > Coniferous forest (670.17 gC·m−2·yr−1) > Mixed forest (663.71 gC·m−2·yr−1) > Thicket (619.21 gC·m−2·yr−1) > Grassland (570.75 gC·m−2·yr−1) > Alpine vegetation (306.82 gC·m−2·yr−1). Forest was the dominant vegetation type in the park, characterized by high biodiversity and complex ecosystem structure, with strong carbon sequestration capacity, contributing 63.93% of the total carbon fixation. Thicket and Grassland followed, contributing 24.42% and 8.46% of the total, respectively. Alpine vegetation covered the smallest area and contributed the least, only 0.66%.
For soil types, differences in soil fertility and nutrient supply significantly influenced vegetation growth and the spatial heterogeneity of NPP. The mean NPP across soil types followed the order: Argosols > Semi-Luvisols > Calcium layer soil > Aridosols > Desert soil > Primary soil > Semi-hydromorphic soil > Hydromorphic soil > Saline soil > Ferralosols > Anthrosols > Alpine soil.

4.2.4. Impacts of Human Activities on Vegetation NPP

Land use change represents the primary pathway through which human activities influence the natural environment and provides a direct spatial indicator of anthropogenic disturbance intensity. Statistics of land use types and their corresponding NPP in 2001, 2017, and 2023 were compiled, and land use transitions were visualized using a Sankey diagram (Figure 8). The results showed that land use changes constituted 3.24% of the total area during the 2001–2017 period, and 2.36% during the 2017–2023 period. Overall, the areas of Forest, Shrub, Construction, and Snow/ice increased, whereas Crop land, Grassland, Water, and Barren decreased. In terms of total NPP, all land use types exhibited an increasing trend between 2001 and 2017. However, during 2017–2023, the total NPP of Crop land, Forest, Water, Snow/ice, and Barren declined, while Shrub, Grassland, and Construction continued to increase. Despite these fluctuations, the total NPP of all land use types collectively showed a persistent upward trend across the entire period from 2001 to 2023.
In the GPNP, a landscape dominated by forest and grassland, the forest area steadily expanded by 103 km2 from 2001 to 2023, mainly by converting cropland, grassland, and shrubland, which yielded a net NPP gain of 7.34 × 108 kgC. In contrast, grassland showed a two-stage dynamic. It first decreased by 142 km2 between 2001 and 2017, largely transitioning to forest and barren land while adding 5.20 × 107 kgC to the NPP. Subsequently, the area recovered by 13.75 km2 between 2017 and 2023, a change driven by conversions from barren land that contributed a further 3.32 × 107 kgC of NPP.
Shrub area expanded continuously from 2001 to 2023, with a net increase of 79.75 km2, primarily converted from Forest and Grassland, corresponding to an NPP gain of 5.58 × 107 kgC. Construction increased by 7 km2 during the same period; although the extent of change was relatively small, its total NPP still increased by 4.35 × 106 kgC, largely through conversion from Crop land. In contrast, Crop land area declined persistently, yet its total NPP still increased by 1.57 × 107 kgC. Specifically, Crop land area decreased by only 1.5 km2 during 2001–2017, associated with an NPP increase of 2.77 × 107 kgC, whereas during 2017–2023 Crop land area decreased by 32.75 km2, leading to an NPP reduction of 1.20 × 107 kgC.
Water and Snow/ice areas expanded between 2001 and 2017, mainly through conversions from Grassland and Barren, respectively, contributing NPP increases of 4.43 × 106 kgC and 2.16 × 106 kgC. However, both contracted during 2017–2023, converting back to Grassland and Barren, with corresponding NPP losses of 2.79 × 106 kgC and 2.00 × 106 kgC. Overall, their areal changes were relatively minor, indicating general stability. Barren increased by 23.25 km2 from 2001 to 2017, primarily converted from Grassland, resulting in an NPP gain of 1.21 × 107 kgC. By contrast, it decreased by 43 km2 between 2017 and 2023, largely converted into Grassland, leading to an NPP loss of 8.71 × 106 kgC. Overall, Barren experienced a net reduction of 19.75 km2 over the study period (2001–2023).

4.3. Quantitative Detection of Drivers of Vegetation NPP

The impacts of different factors on vegetation NPP varied substantially (Figure 9). Based on the Geodetector results for 17 natural and socioeconomic variables in the GPNP, the explanatory power (q-values) ranked as follows: elevation (DEM, 0.344) > mean annual temperature (0.289) > land use type (0.223) > silt content (0.200) > clay content (0.175) > total nitrogen (TN, 0.173) > soil type (0.166) > sand content (0.164) > solar radiation (SR, 0.158) > vegetation type (0.125) > mean annual precipitation (PR, 0.112) > population density (POP, 0.105) > gross domestic product (GDP, 0.083) > total potassium (TK, 0.082) > total phosphorus (TP, 0.079) > slope (0.023) > aspect (0.015). The explanatory power of factor interactions was consistently higher than that of individual factors, with more than 90% of variable pairs exhibiting either bi-enhancement or nonlinear enhancement effects. Only a minority of interactions showed univariate weakening, mainly where slope, TN, TP, TK, or sand content were associated with reduced explanatory power. Interannual variations in q-values were observed, but overall, the interaction between elevation and climatic variables remained the strongest, particularly between elevation and solar radiation (Figure 10).
Risk detection was employed to identify the optimal ranges or categories of key factors associated with the highest NPP values, thereby determining the most favorable conditions for vegetation growth. Among climatic variables, NPP peaked under mean annual temperatures of 6–10 °C, annual precipitation of 500–800 mm, and annual solar radiation of 1800–2000 MJ m−2. Regarding topographic factors, the optimal ranges were elevations of 500–1500 m and slopes of 0–10°, while south- and west-facing slopes exhibited slightly higher NPP values than other aspects. For soil conditions, leached soils supported the highest NPP, with optimal nutrient contents of TP (0.03–0.05), TK (1.5–2.0), and TN (0.10–0.20). In terms of soil texture, clay (32–37), sand (65–80), and silt (15–22) proportions were most conducive to productivity accumulation. Socioeconomic factors also played a role: regions with per capita GDP between 103 and 1.72 × 104 yuan and population densities of 1–12 persons km−2 exhibited the most favorable levels of human activity intensity for maintaining or enhancing vegetation NPP.

5. Discussion

5.1. Accuracy of NPP Estimation and Cross-Regional Comparisons

A comparison between the CASA-simulated NPP and the MOD17A3 NPP products for the Giant Panda National Park (GPNP) during 2001–2023 indicates that the two datasets exhibit strong consistency in both magnitude and temporal variation (Table 4, Figure 11a). Furthermore, a 2 km × 2 km grid was constructed to extract center-pixel values from both datasets. After removing abnormal and null values, a total of 6493 samples were used for correlation analysis, yielding a significant overall correlation (R2 = 0.50, p < 0.01). Correlation coefficients varied among the four subregions: the Qinling and Baishuijiang subregions showed the highest agreement, with R2 values of 0.70 and 0.66, respectively (Figure 11c–f), whereas the Minshan and Qionglai–Daxiaoxiangling subregions were slightly lower, with R2 values of 0.59 and 0.55. These differences may be attributed to the prevalence of alpine valleys, high terrain fragmentation, complex vegetation patterns, and frequent cloud cover in Minshan and Qionglai–Daxiaoxiangling, which increase radiometric and topographic distortions in remote sensing observations and consequently reduce pixel-level consistency. Overall, these findings demonstrate that the CASA model effectively captures vegetation productivity dynamics at the national-park scale, even in the absence of extensive field observations, and provides reliable and broadly applicable estimates. One advantage of the CASA model is that its parameters can be regionally customized based on local vegetation types and climatic conditions, enabling more robust performance in mountainous environments [20]. In contrast, MOD17A3 is generally more suitable for large-scale, regional NPP assessments [69]. Such spatial heterogeneity between models has been widely reported in mountain-region NPP studies [70,71]. Therefore, in this study, MOD17A3 was used primarily as a consistency reference rather than an absolute calibration source, with the purpose of validating the temporal rationality of the CASA outputs rather than achieving pixel-to-pixel agreement.
The multi-year average NPP of the Giant Panda National Park (GPNP) from 2001 to 2023 was 649.90 gC·m−2·yr−1, indicating a relatively high level of vegetation productivity. According to Wang et al. (2022), the multi-year average NPP of four national nature reserves in the Qinling region (Zhouzhi, Foping, Laoxiancheng, and Taibai) during 2000–2018 was 670, 660, 640, and 610 gC·m−2·yr−1, respectively [72]. In contrast, the estimated average NPP of the Qinling subregion of GPNP for 2001–2018 reached 757.91 gC·m−2·yr−1, substantially higher than those individual reserves. This can be attributed to the fact that the Qinling subregion encompasses the core areas of multiple protected sites, where forest ecosystems remain highly intact, thereby supporting stronger vegetation productivity [73]. At a broader regional scale, the multi-year average NPP of GPNP is significantly higher than the national average (514.48 gC·m−2·yr−1), as well as that of the Yangtze River Basin (528.02 gC·m−2·yr−1) and the Qinba Mountains (585.11 gC·m−2·yr−1) [74], and is close to the average level of China’s national forest parks (667 gC·m−2·yr−1) [75]. These results indicate that GPNP maintains a relatively high level of ecological productivity, reflecting its high forest coverage, rich biodiversity, and well-preserved ecosystem integrity.

5.2. Spatiotemporal Differentiation of NPP

At the temporal scale, vegetation NPP in GPNP exhibited a generally fluctuating yet increasing trend from 2001 to 2023, with an average growth rate of 0.65 gC·m−2·yr−1. The implementation of the Natural Forest Protection Program (NFPP) in 2001 allowed natural forests to fully recover, while the “Grain-for-Green” and grazing prohibition policies further expanded forest and grassland areas, collectively promoting the long-term enhancement of NPP [76]. The lowest NPP values occurred in 2010 and 2020, whereas the peak occurred in 2013. These anomalous years closely correspond to extreme climate events. The severe drought in Southwest China in 2010 caused a sharp decline in soil moisture, leading vegetation to close stomata to reduce transpiration, which consequently limited CO2 uptake and reduced photosynthetic rates, resulting in a marked reduction in NPP [77]. The extreme flooding in the Sichuan Basin in 2020 caused prolonged soil saturation, heightened erosion risks, and intensified nutrient leaching, while also altering the distribution and transport of soil organic and dissolved organic carbon, exerting negative impacts on NPP [78,79]. These observations indicate that extreme climate events exert strong control over interannual productivity fluctuations. Meanwhile, the establishment of the national park system in 2013 strengthened ecological protection, resource integration, and regulatory enforcement, facilitating the targeted allocation of financial, technological, and managerial resources and thereby enhancing the quality and stability of forest ecosystems at the institutional level.
At the spatial scale, pronounced NPP differences were observed among subregions of the GPNP. The Qinling subregion recorded the highest NPP (758.89 gC·m−2·yr−1), followed by the Baishuijiang subregion (688.71 gC·m−2·yr−1), whereas the Minshan (624.09 gC·m−2·yr−1) and Qionglai–Daxiaoxiangling subregions (616.27 gC·m−2·yr−1) exhibited relatively lower levels. The Qinling region maintains high NPP due to favorable hydrothermal conditions and abundant forest resources. In contrast, the Qionglai–Daxiaoxiangling subregion, located on the eastern margin of the Tibetan Plateau, is characterized by high elevation, low temperatures, and fragile ecosystems dominated by shrubs and grasslands, which together limit carbon sequestration potential and lead to lower productivity. This study also identified a significant NPP decline in Wenchuan County following the 2008 Wenchuan Earthquake, dropping from 555.77 gC·m−2·yr−1 in 2008 to 479.63 gC·m−2·yr−1 in 2009 and remaining low in 2010, reflecting the ecological stress caused by the disturbance [80]. From 2011 onward, NPP steadily recovered, coinciding with the effectiveness of post-earthquake restoration efforts. In contrast, Baoxing County exhibited a significant decline in NPP over the study period. With 99.7% of its area being mountainous, the region’s ecosystems are highly sensitive to disturbance; rapid economic growth and urban expansion have reduced forest cover and undermined vegetation stability, leading to declines in NPP in certain areas. This pattern is consistent with the findings of Pan et al. [81]. Overall, the spatiotemporal distribution characteristics of NPP in the Giant Panda National Park reflect the combined effects of policy interventions, extreme climate events, and physical geographic constraints.

5.3. Core Driving Mechanisms of Ecosystem Quality Dynamics

The strong sensitivity of vegetation NPP in the Giant Panda National Park (GPNP) to solar radiation indicates that radiation-driven energy input plays a crucial role in constraining photosynthetic efficiency, consistent with previous research findings [82]. Topography further regulates the spatial pattern and magnitude of NPP by shaping regional thermal and moisture conditions. Our results show that NPP reaches its highest level at elevations between 500 and 1500 m, whereas it declines markedly above 3400 m due to adverse environmental factors such as low temperatures and persistent snow cover. In addition to thermal limitations, high-elevation areas are typically characterized by shallow and poorly developed soils and stronger wind exposure, all of which restrict root development and reduce biomass accumulation, thereby contributing to low NPP [83,84]. Slope also influences vegetation productivity. Gentle slopes facilitate soil moisture retention and root development [85,86], and slopes below 10° within the park generally support higher NPP. Moreover, due to longer sunshine duration and more favorable thermal conditions, south-facing slopes exhibit higher NPP than north-facing slopes, consistent with earlier studies [87]. In terms of aspect categories, sunny and semi-sunny slopes show higher mean NPP and occupy relatively large areas of the park, thus contributing substantially to the overall carbon sequestration. Vegetation types differ in their physiological attributes, resulting in varying NPP accumulation capacities. Although cultivated vegetation accounts for only 2.34% of the total area, it exhibits the highest mean NPP under scientific management practices such as irrigation, fertilization [88], soil improvement, and the use of high-yield cultivars [89]. In contrast, natural vegetation is constrained by intrinsic physiological limits and environmental stress. Soil types also significantly influence vegetation growth and the spatial heterogeneity of NPP. Leached soils and semi-leached soils, together covering 68.9% of the study area, possess relatively high fertility and strong water retention, providing favorable conditions for forests and shrubs, which may partially explain the higher NPP observed in the eastern portion of the park.
Results from the Geographical Detector further indicate that the formation and evolution of vegetation NPP in the GPNP are driven by multiple interacting factors. Elevation, mean annual temperature, and land use type emerged as the dominant natural and anthropogenic drivers, consistent with the findings of Wang et al. [90]. Stretching across the Qinling, Minshan, and Qionglai–Daxiaoxiangling mountain ranges, the park exhibits dramatic topographic variation, with an elevation span of nearly 6000 m. Elevation jointly regulates temperature, precipitation, and solar radiation, creating pronounced hydrothermal gradients [91] that shape photosynthetic capacity, growing-season length, soil moisture availability, and vegetation physiological stress, ultimately producing strong interactive effects [92]. Temperature also exerts a bidirectional influence on NPP [93,94]. The suitable mean annual temperature range (6–10 °C) within the park supports a longer photosynthetically active period and promotes biomass accumulation, whereas excessive warming enhances evapotranspiration, reduces soil moisture, and suppresses vegetation growth [94]. Human activities affect vegetation dynamics primarily through urbanization, grazing, land use transformation, and ecological restoration projects [95,96]. Based on the results of the risk detector, this study identifies that regions with a per capita GDP of 103–1.72 × 104 yuan and a population density of 1–12 people/km2 have the highest NPP levels, indicating that moderate socio-economic activities can help maintain or enhance vegetation productivity. Previous studies have shown that moderate grazing can reduce interspecific competition, improve light conditions, and promote soil nutrient cycling, thereby enhancing vegetation growth and productivity [97]. Concurrently, ecological restoration programs have played an important role in improving vegetation conditions within the park.

5.4. Uncertainty Analysis and Future Research Directions

Several uncertainties remain in this study with respect to data, methodology, and model mechanisms. First, ecosystem process models are constrained by limitations in model structure, parameterization, and input datasets. To ensure consistency among multiple data sources, all variables were resampled to a spatial resolution of 500 m. Although this approach facilitates data integration, the moderate resolution cannot fully represent the fine-scale heterogeneity of the GPNP. Sharp terrain gradients, fragmented vegetation mosaics, and microclimatic variation may therefore lead to local biases in NPP estimation and affect the identification of environmental drivers. In addition, the CASA model depends on NDVI, which tends to saturate in dense and high-biomass forests. Terrain shadows, snow cover, and cross-sensor inconsistencies may further influence the stability of remote sensing inputs. Second, socioeconomic variables including GDP and population density were available only for five benchmark years (2000, 2005, 2010, 2015, and 2020). The Geographical Detector analysis inferred the relationship between NPP and human activities during 2001 to 2023 based on these discrete time points, and this temporal sparsity may affect the reliability of identifying dominant contributors in specific years. Furthermore, although the study considered the urbanization levels of the eleven surrounding cities, it did not explicitly quantify the spatial correlation between urban expansion and NPP dynamics along the park boundaries. As a result, potential edge effects may not have been fully captured. In areas where NPP remained stable or declined, the absence of wildlife monitoring data also prevents the separation of herbivore impacts from other drivers such as terrain constraints, climatic stress, or localized human disturbance. Third, the OPGD method applied in this study has diagnostic rather than causal capabilities. It can identify statistical associations and interaction effects among variables, but it cannot reveal the underlying ecological mechanisms that determine vegetation productivity.
Future research may address these limitations in several ways. Collecting higher-resolution observations of vegetation, soil properties, and microclimatic conditions will improve parameterization and enhance the representation of spatial heterogeneity within mountainous national parks. Integrating multi-scale and multi-source datasets together with flux-tower or forest inventory measurements will strengthen model validation and support more accurate assessments of the effects of extreme climate events, forest management practices, grazing pressure, and urbanization. Using vegetation indices that are less prone to saturation, such as Enhanced vegetation index (EVI) or Enhanced vegetation index 2 (EVI2), and applying Bidirectional reflectance distribution function (BRDF) and terrain corrections can further improve the reliability of remote sensing inputs. Expanding human-pressure indicators, including road density, nighttime light intensity, and grazing intensity, will refine the diagnosis of human impacts. Finally, developing NPP assessment frameworks tailored to the conservation objectives of different national parks and linking productivity dynamics with flagship species habitat quality and ecosystem service functions will provide stronger support for ecological management and long-term conservation planning.

6. Conclusions

This study employed the CASA model, spatial statistical methods, and the Geographical Detector to systematically estimate vegetation NPP and explore its driving mechanisms in the GPNP during 2001–2023. The findings revealed a generally rising trajectory in NPP, with a mean annual increase of 0.65 gC·m−2·yr−1, reflecting the beneficial impacts of ecological restoration initiatives and the establishment of the national park on overall ecosystem productivity. However, marked spatial heterogeneity was observed. Among them, Taibai and Zhouzhi Counties in the Qinling subregion and Wenchuan County in the Qionglai–Daxiaoxiangling subregion showed the most significant NPP growth. The central and western parts and some high-altitude areas were still in relatively low values, reflecting the constraints of terrain complexity and environmental conditions on productivity patterns.
The spatial distribution of NPP was jointly regulated by multiple environmental factors. Higher productivity was observed under mean annual temperature ranges of 6–10 °C, precipitation of 500–800 mm, and solar radiation of 1800–2000 MJ·m−2. Low elevations (500–1500 m), gentle slopes (0–10°), and south-facing aspects were more favorable for productivity accumulation, while high elevations and steep slopes exhibited markedly lower values. Among soil types, Luvisols demonstrated the highest carbon sequestration potential, underscoring the critical role of superior water and nutrient conditions. Furthermore, low-intensity human disturbances were found to help sustain and enhance vegetation productivity.
The Geographical Detector analysis revealed that elevation, mean annual temperature, and land use were the dominant factors associated with NPP spatial differentiation. More than 90% of factor interactions exhibited bivariate or nonlinear enhancement, with the combined effects of elevation and climatic variables being particularly significant. These results demonstrate that NPP variation in the GPNP arises not from a single driver but from the synergistic interplay of multiple environmental factors.
Overall, this study demonstrated a sustained improvement in ecosystem functions following the establishment of the national park system, while underscoring the persistence of spatial heterogeneity and its dominant driving mechanisms. The findings enhance understanding of ecosystem responses to conservation policies and provide a solid basis for precision management in high-altitude fragile regions and areas with intensive human disturbance. Furthermore, they support the evaluation of protected area performance, the optimization of national park management strategies, and the advancement of ecosystem monitoring and adaptive management in similar protected landscapes.

Author Contributions

Conceptualization, W.L., S.C. and R.Z.; Methodology, W.L. and D.H.; Data curation, W.L., J.L., P.Z. and X.H.; Formal analysis, W.L.; Visualization, W.L.; Writing—original draft, W.L.; Writing—review and editing, S.C. and R.Z.; Supervision, S.C. and R.Z.; Project administration, S.C. and R.Z. All authors provided constructive suggestions on research ideas, data processing, manuscript structure, and revision. All authors have read and agreed to the published version of the manuscript.

Funding

This research was supported by the Jiangsu Province Forestry Science and Technology Innovation and Promotion Project: Research on the Valuation Standards and Implementation Mechanism of Forestry Ecological Products in Jiangsu (No. LYKJ[2024]02), the Forestry and Grassland Soft Science Research Project: Research on the Mechanism for Realizing the Value of Ecological Products (No. 2025131016), the National Key Research and Development Program of China: Intelligent Multifunctional Management Decision-making Technology for Larch Plantation Forests (No. 2023YFD2200804), the Fundamental Research Funds for Central Non-profit Research Institutes: Demonstration Project for the Compilation of the Wuxi Forest Ecological Product Catalogue (No. CAFYBB2024ZA028-3).

Data Availability Statement

The raw data supporting the conclusions of this article will be made available by the authors on request.

Conflicts of Interest

The authors declare no conflicts of interest.

References

  1. Tang, Z.; Fang, J.; Sun, J.; Gaston, K.J. Effectiveness of Protected Areas in Maintaining Plant Production. PLoS ONE 2024, 6, e19116. [Google Scholar] [CrossRef] [PubMed]
  2. Zhou, L.; Dong, Q.; Pan, Y.; Yang, F.; He, M.; Huang, X.; Xu, J. Spatiotemporal Variations and Driving Forces of Regional-Scale NPP Based on a Multi-Method Integration: A Case Study in the Beibu Gulf Economic Zone. Ecol. Indic. 2025, 174, 113453. [Google Scholar] [CrossRef]
  3. Lyu, J.; Fu, X.; Lu, C.; Zhang, Y.; Luo, P.; Guo, P.; Huo, A.; Zhou, M. Quantitative Assessment of Spatiotemporal Dynamics in Vegetation NPP, NEP and Carbon Sink Capacity in the Weihe River Basin from 2001 to 2020. J. Clean. Prod. 2023, 428, 139384. [Google Scholar] [CrossRef]
  4. Jiang, Z.; Li, Y.; Wu, H.; Mohamed Shariff, A.R.B.; Zhou, H.; Fan, K. Unveiling the Impacts of Climate Change and Human Activities on Land-Use Evolution in Ecologically Fragile Urbanizing Areas: A Case Study of China’s Central Plains Urban Agglomeration. Ecol. Indic. 2024, 169, 112936. [Google Scholar] [CrossRef]
  5. Liu, G.; Pan, J.; Jiang, Y.; Ye, X.; Shao, F. Exploring the Effects of Urban Development in Ten Chinese Node Cities along the Belt and Road Initiative on Vegetation Net Primary Productivity. Sustainability 2024, 16, 4845. [Google Scholar] [CrossRef]
  6. Vačkář, D.; Harmáčková, Z.V.; Kaňková, H.; Stupková, K. Human Transformation of Ecosystems: Comparing Protected and Unprotected Areas with Natural Baselines. Ecol. Indic. 2016, 66, 321–328. [Google Scholar] [CrossRef]
  7. Pettorelli, N.; Chauvenet, A.L.M.; Duffy, J.P.; Cornforth, W.A.; Meillere, A.; Baillie, J.E.M. Tracking the Effect of Climate Change on Ecosystem Functioning Using Protected Areas: Africa as a Case Study. Ecol. Indic. 2012, 20, 269–276. [Google Scholar] [CrossRef]
  8. Lieth, H. Modeling the Primary Productivity of the World. In Primary Productivity of the Biosphere; Springer: Berlin/Heidelberg, Germany, 1975; pp. 237–263. ISBN 978-3-642-80913-2. [Google Scholar]
  9. Pranuthi, G.; Dubey, S.K.; Tripathi, S.K. Comparison of Different Models for Estimation of Net Primary Productivity in India. J. Agrometeorol. 2012, 14, 105–110. [Google Scholar] [CrossRef]
  10. Sun, Q.; Li, B.; Zhang, T.; Yuan, Y.; Gao, X.; Ge, J.; Li, F.; Zhang, Z. An Improved Biome-BGC Model for Estimating Net Primary Productivity of Alpine Meadow on the Qinghai-Tibet Plateau. Ecol. Model. 2017, 350, 55–68. [Google Scholar] [CrossRef]
  11. Kang, F.; Li, X.; Du, H.; Mao, F.; Zhou, G.; Xu, Y.; Huang, Z.; Ji, J.; Wang, J. Spatiotemporal Evolution of the Carbon Fluxes from Bamboo Forests and Their Response to Climate Change Based on a BEPS Model in China. Remote Sens. 2022, 14, 366. [Google Scholar] [CrossRef]
  12. Wu, C.; Chen, K.; E, C.; You, X.; He, D.; Hu, L.; Liu, B.; Wang, R.; Shi, Y.; Li, C.; et al. Improved CASA Model Based on Satellite Remote Sensing Data: Simulating Net Primary Productivity of Qinghai Lake Basin Alpine Grassland. Geosci. Model Dev. 2022, 15, 6919–6933. [Google Scholar] [CrossRef]
  13. Zhou, L. Study on Temporal and Spacial Characteristics of Jiangxi NPP Based on GLO-PEM Model. J. Simul. 2021, 9, 123. [Google Scholar]
  14. Ren, J.; Wang, W.J.; Fei, L.; Wang, L.; Xing, S.; Cong, Y. Impacts of Climate Change and Land Use/Cover Change on Ecological Security Networks in Changbai Mountains, Northeast China. Ecol. Indic. 2024, 169, 112849. [Google Scholar] [CrossRef]
  15. Field, C.B.; Randerson, J.T.; Malmström, C.M. Global Net Primary Production: Combining Ecology and Remote Sensing. Remote Sens. Environ. 1995, 51, 74–88. [Google Scholar] [CrossRef]
  16. Potter, C.S.; Randerson, J.T.; Field, C.B.; Matson, P.A.; Vitousek, P.M.; Mooney, H.A.; Klooster, S.A. Terrestrial Ecosystem Production: A Process Model Based on Global Satellite and Surface Data. Glob. Biogeochem. Cycles 1993, 7, 811–841. [Google Scholar] [CrossRef]
  17. Potter, C.; Klooster, S.; Huete, A.; Genovese, V. Terrestrial Carbon Sinks for the United States Predicted from MODIS Satellite Data and Ecosystem Modeling. Earth Interact. 2007, 11, 1–21. [Google Scholar] [CrossRef]
  18. Zhu, W.; Pan, Y.; He, H.; Yu, D.; Hu, H. Simulation of Maximum Light Use Efficiency for Some Typical Vegetation Types in China. Chin. Sci. Bull. 2006, 51, 457–463. [Google Scholar] [CrossRef]
  19. Liang, Y.; Liu, H.; Chiaka, J.C.; Jiang, C.; Wei, N.; Liang, Y. Spatiotemporal Patterns and Driving Mechanism of Tourism Ecological Security in Guangxi, China. Front. Ecol. Evol. 2023, 11, 1163498. [Google Scholar] [CrossRef]
  20. Running, S.W.; Nemani, R.R.; Heinsch, F.A.; Zhao, M.; Reeves, M.; Hashimoto, H. A Continuous Satellite-Derived Measure of Global Terrestrial Primary Production. BioScience 2004, 54, 547. [Google Scholar] [CrossRef]
  21. Jay, S.; Potter, C.; Crabtree, R.; Genovese, V.; Weiss, D.J.; Kraft, M. Evaluation of Modelled Net Primary Production Using MODIS and Landsat Satellite Data Fusion. Carbon Balance Manag. 2016, 11, 8. [Google Scholar] [CrossRef]
  22. Sun, H.; Chen, Y.; Xiong, J.; Ye, C.; Yong, Z.; Wang, Y.; He, D.; Xu, S. Relationships between Climate Change, Phenology, Edaphic Factors, and Net Primary Productivity across the Tibetan Plateau. Int. J. Appl. Earth Obs. Geoinf. 2022, 107, 102708. [Google Scholar] [CrossRef]
  23. Whitlock, C.; Bartlein, P.J. Vegetation and Climate Change in Northwest America during the Past 125 Kyr. Nature 1997, 388, 57–61. [Google Scholar] [CrossRef]
  24. Chen, S.; Ma, M.; Wu, S.; Tang, Q.; Wen, Z. Topography Intensifies Variations in the Effect of Human Activities on Forest NPP across Altitude and Slope Gradients. Environ. Dev. 2023, 45, 100826. [Google Scholar] [CrossRef]
  25. Xu, Y.; Huang, W.T.; Zheng, Z.W.; Dai, Q.Y.; Li, X.Y. Detecting Influencing Factor of Vegetation NPP in Southwest China Based on Spatial Scale Effect. Huan Jing Ke Xue 2023, 44, 900–911. [Google Scholar] [CrossRef] [PubMed]
  26. Tang, H.; Fang, J.; Yuan, J. Climate Change and Land Use/Land Cover Change (LUCC) Leading to Spatial Shifts in Net Primary Productivity in Anhui Province, China. PLoS ONE 2024, 19, e0307516. [Google Scholar] [CrossRef]
  27. Liang, W.; Yang, Y.; Fan, D.; Guan, H.; Zhang, T.; Long, D.; Zhou, Y.; Bai, D. Analysis of Spatial and Temporal Patterns of Net Primary Production and Their Climate Controls in China from 1982 to 2010. Agric. For. Meteorol. 2015, 204, 22–36. [Google Scholar] [CrossRef]
  28. Yang, Z.I.; Zhang, T.; Yi, G.; Li, J.; Qin, Y.; Chen, Y. Spatio-Temporal Variation of Fraction of Photosynthetically Active Radiation Absorbed by Vegetation in the Hengduan Mountains, China. J. Mt. Sci. 2021, 18, 891–906. [Google Scholar] [CrossRef]
  29. Nemani, R.R.; Keeling, C.D.; Hashimoto, H.; Jolly, W.M.; Piper, S.C.; Tucker, C.J.; Myneni, R.B.; Running, S.W. Climate-Driven Increases in Global Terrestrial Net Primary Production from 1982 to 1999. Science 2003, 300, 1560–1563. [Google Scholar] [CrossRef]
  30. Zhang, Y.; Zhang, C.; Wang, Z.; Chen, Y.; Gang, C.; An, R.; Li, J. Vegetation Dynamics and Its Driving Forces from Climate Change and Human Activities in the Three-River Source Region, China from 1982 to 2012. Sci. Total Environ. 2016, 563–564, 210–220. [Google Scholar] [CrossRef]
  31. Mao, D.; Wang, Z.; Wu, C.; Song, K.; Ren, C. Examining Forest Net Primary Productivity Dynamics and Driving Forces in Northeastern China during 1982–2010. Chin. Geogr. Sci. 2014, 24, 631–646. [Google Scholar] [CrossRef]
  32. Jiang, C.; Wu, Z.F.; Cheng, J.; Yu, Q.; Rao, X.Q. Impacts of Urbanization on Net Primary Productivity in the Pearl River Delta, China. Int. J. Plant Prod. 2015, 9, 581–598. [Google Scholar]
  33. Yang, F.; Wang, J.; Zhang, C.; Li, J.; Xie, H.; Zhuoge, Z. The Impact of Human Activities on Net Primary Productivity in a Grassland Open-Pit Mine: The Case Study of the Shengli Mining Area in Inner Mongolia, China. Land 2022, 11, 743. [Google Scholar] [CrossRef]
  34. Yan, W.; Wang, Y.; Chaudhary, P.; Ju, P.; Zhu, Q.; Kang, X.; Chen, H.; He, Y. Effects of Climate Change and Human Activities on Net Primary Production of Wetlands on the Zoige Plateau from 1990 to 2015. Glob. Ecol. Conserv. 2022, 35, e02052. [Google Scholar] [CrossRef]
  35. Yang, Y.; Li, G.; Wang, Y.; Wu, L.; Ding, K.; Xing, S.; Zhang, Y.; Zhang, L. Dynamic Response of Vegetation Net Primary Productivity to Climate and Human Impacts in Mining-Dominated Basin in Inner Mongolia, China. Atmosphere 2024, 15, 1457. [Google Scholar] [CrossRef]
  36. Yu, H.; Zhong, L.; Wang, Q. Identification and Analysis of Conservation Gap of National Nature Reserves in China. Ecol. Indic. 2024, 158, 111525. [Google Scholar] [CrossRef]
  37. Zhou, J.; Lu, T. Relative Contributions of Climate Change and Human Activities on Vegetation Productivity Variation in National Nature Reserves on the Qinghai–Tibetan Plateau. Remote Sens. 2022, 14, 4626. [Google Scholar] [CrossRef]
  38. Sun, Z.; Wu, G.; Shen, W.; Wei, B.; Jiang, J.; Zhang, X. Estimation of Net Primary Productivity of Sanhu National Nature Reserve in China by Integrating HJ-1 Remote Sensing Image with Surface Energy Balance Algorithm for Land Model. Sens. Lett. 2013, 11, 1121–1127. [Google Scholar] [CrossRef]
  39. Zhou, K.; Du, J.; Shen, X.; Pu, G.; Zhang, D.; Dang, X. Spatial and Temporal Variability of Vegetation Net Primary Productivity in Qiangtang National Nature Reserve under Climate Change. Chin. J. Agrometeorol. 2021, 42, 627. [Google Scholar] [CrossRef]
  40. Hong, W.; Guo, R.; Su, M.; Tang, H.; Chen, L.; Hu, W. Sensitivity Evaluation and Land-Use Control of Urban Ecological Corridors: A Case Study of Shenzhen, China. Land Use Policy 2017, 62, 316–325. [Google Scholar] [CrossRef]
  41. Wang, Q.; Pan, H.; Chen, X.; Shang, X.; Yang, Z.; Yang, X.; Gu, X.; Yang, B.; Zhang, L. Species Identification and Spatial Diversity Patterns of the Giant Panda National Park (GPNP) in Ya’an, Sichuan, China. Glob. Ecol. Conserv. 2024, 81, e19116. [Google Scholar] [CrossRef]
  42. Huang, Q.; Fei, Y.; Yang, H.; Gu, X.; Songer, M. Giant Panda National Park, a Step towards Streamlining Protected Areas and Cohesive Conservation Management in China. Glob. Ecol. Conserv. 2020, 22, e00947. [Google Scholar] [CrossRef]
  43. Li, X.; Zhu, G.; Sun, J.; Wu, L.; Peng, Y. Research on the Coordination of Transportation Network and Ecological Corridors Based on Maxent Model and Circuit Theory in the Giant Panda National Park, China. Land 2025, 14, 1465. [Google Scholar] [CrossRef]
  44. Bai, Y.; Li, A.; Lei, G.; Bian, J.; Zhang, Z.; Nan, X.; Chen, L.; Lin, X.; Deng, Y.; Shao, H. Identifying Spatiotemporal Dynamics and Driving Factors of Landscape Pattern in Giant Panda National Park (GPNP) Using an Interpretable Machine Learning Technology. Ecol. Indic. 2025, 178, 114121. [Google Scholar] [CrossRef]
  45. Xu, Y.; Liu, R.; Xue, C.; Xia, Z. Ecological Sensitivity Evaluation and Explanatory Power Analysis of the Giant Panda National Park in China. Ecol. Indic. 2023, 146, 109792. [Google Scholar] [CrossRef]
  46. Pu, M.; Zhao, Y.; Ni, Z.; Huang, Z.; Peng, W.; Zhou, Y.; Liu, J.; Gong, Y. Spatial-Temporal Evolution and Driving Forces of NDVI in China’s Giant Panda National Park. Remote Sens. 2023, 19, 6722. [Google Scholar] [CrossRef]
  47. Dong, D.; Zhao, Z.; Gao, H.; Zhou, Y.; Gong, D.; Du, H.; Fujioka, Y. Analysis of Spatiotemporal Evolution and Driving Forces of Vegetation from 2001 to 2020: A Case Study of Shandong Province, China. Forests 2017, 15, 1245. [Google Scholar] [CrossRef]
  48. Geng, X.; Wang, X.; Yan, H.; Zhang, Q.; Jin, G. Land Use/Land Cover Change Induced Impacts on Water Supply Service in the Upper Reach of Heihe River Basin. Sustainability 2015, 7, 366–383. [Google Scholar] [CrossRef]
  49. Pu, M.; Zhao, Y.; Ni, Z.; Huang, Z.; Peng, W.; Zhou, Y.; Liu, J.; Gong, Y.; Yu, D.; Shi, P.; et al. Spatiotemporal Variation in Fractional Vegetation Coverage and Quantitative Analysis of Its Driving Forces: A Case Study in the Tabu River Basin, Northern China, 1986–2023. Remote Sens. 2009, 17, 2490. [Google Scholar] [CrossRef]
  50. Zhang, J.; Wang, J.; Chen, Y.; Huang, S.; Liang, B. Spatiotemporal Variation and Prediction of NPP in Beijing-Tianjin-Hebei Region by Coupling PLUS and CASA Models. PLoS ONE 2024, 81, 102620. [Google Scholar] [CrossRef]
  51. Yu, D.; Shi, P.; Shao, H.; Zhu, W.; Pan, Y. Modelling Net Primary Productivity of Terrestrial Ecosystems in East Asia Based on an Improved CASA Ecosystem Model. PLoS ONE 2024, 66, e02938. [Google Scholar] [CrossRef]
  52. Zhu, W.; Pan, Y.; Zhang, J. Estimation of net primary productivity of chinese vegetation based on remote sensing. J. Plant Ecol. 2007, 31, 413–424. [Google Scholar]
  53. Chen, Y. New Approaches for Calculating Moran’s Index of Spatial Autocorrelation. PLoS ONE 2013, 8, e68336. [Google Scholar] [CrossRef]
  54. Meru, L.B.; Pandey, R. Climate Change Ecological Vulnerability and Hotspot Analysis of Himalayan Forests in North-Eastern Region, India. Environ. Sustain. Indic. 2024, 24, 100472. [Google Scholar] [CrossRef]
  55. Jin, G.; Li, Z.; Deng, X.; Yang, J.; Chen, D.; Li, W. An Analysis of Spatiotemporal Patterns in Chinese Agricultural Productivity between 2004 and 2014. Ecol. Indic. 2019, 105, 591–600. [Google Scholar] [CrossRef]
  56. Manepalli, U.R.R.; Bham, G.H.; Kandada, S. Evaluation of Hotspots Identification Using Kernel Density Estimation (K) and Getis-Ord (Gi*) on I-630. In Proceedings of the 3rd International Conference on Road Safety and Simulation, Indianapolis, IN, USA, 14–16 September 2011. [Google Scholar]
  57. Muia, V.K.; Opere, A.O.; Ndunda, E.; Amwata, D.A. Rainfall and Temperature Trend Analysis Using Mann-Kendall and Sen’s Slope Estimator Test in Makueni County, Kenya. J. Mater. Environ. Sci. 2024, 15, 349–367. [Google Scholar]
  58. Arachchige, C.N.P.G.; Prendergast, L.A.; Staudte, R.G.; Zhang, J.; Wang, J.; Chen, Y.; Huang, S.; Liang, B.; Tang, Z.; Fang, J.; et al. Desertification of Iran in the Early Twenty-First Century: Assessment Using Climate and Vegetation Indices. Glob. Ecol. Conserv. 2025, 11, 20548. [Google Scholar] [CrossRef]
  59. Xu, X.; Jiang, H.; Guan, M.; Wang, L.; Huang, Y.; Jiang, Y.; Wang, A. Vegetation Responses to Extreme Climatic Indices in Coastal China from 1986 to 2015. Sci. Total Environ. 2020, 744, 140784. [Google Scholar] [CrossRef] [PubMed]
  60. Arachchige, C.N.P.G.; Prendergast, L.A.; Staudte, R.G. Robust Analogs to the Coefficient of Variation. PLoS ONE 2024, 81, 102620. [Google Scholar] [CrossRef]
  61. Wei, X.; Yang, J.; Luo, P.; Lin, L.; Lin, K.; Guan, J. Assessment of the Variation and Influencing Factors of Vegetation NPP and Carbon Sink Capacity under Different Natural Conditions. Ecol. Indic. 2022, 138, 108834. [Google Scholar] [CrossRef]
  62. Liu, H.; Liu, Y.; Chen, Y.; Fan, M.; Chen, Y.; Gang, C.; You, Y.; Wang, Z. Dynamics of Global Dryland Vegetation Were More Sensitive to Soil Moisture: Evidence from Multiple Vegetation Indices. Agric. For. Meteorol. 2023, 331, 109327. [Google Scholar] [CrossRef]
  63. Luo, J.; Abudureheman, H.; Duan, Y.; Yao, K.; Yao, L.; Tang, H.; Buweiayixiemu, T. Spatiotemporal dynamics and driving factors of net primary productivity in the Ebinur Lake Basin. Acta Ecol. Sin. 2025, 45, 182–196. [Google Scholar] [CrossRef]
  64. Zhou, J.; Wang, Z.; Liao, S.; Wu, W.; Li, L.; Liu, W. Remote sensing estimation of forest aboveground biomass in Potatso NationalPark using GF-1 images. Trans. Chin. Soc. Agric. Eng. 2021, 37, 216–223. Available online: https://kns.cnki.net/kcms2/article/abstract?v=4J3GFaKSuTMKJDbVT-XHGYkRgtsMhFaNZ9f2F5o-KkYsGlgujGs-aru68NmrUvtbsNLpV4146QFDGZ_KDPxB4N51EJfWb9c5VB7M7qgARy0GeDObYBThB904WIxb-WzfF85n84VlVbVUaU0sUjM4rBqysxPKJBbFRmbPjlHVfq5ba-SVr9tIzvnb371wD3kQ8ts5FpTU1MY=&uniplatform=NZKPT (accessed on 4 December 2025).
  65. Su, Y.; Guo, Q.; Hu, T.; Guan, H.; Jin, S.; An, S.; Chen, X.; Guo, K.; Hao, Z.; Hu, Y.; et al. An Updated Vegetation Map of China (1:1,000,000). Sci. Bull. 2020, 65, 1125–1136. [Google Scholar] [CrossRef] [PubMed]
  66. Zhao, X.; He, W.; Xue, L.; Chen, F.; Jia, P.; Hu, Y.; Zamanian, K. Particle Size Distribution and Depth to Bedrock of Chinese Cultivated Soils: Implications for Soil Classification and Management. Agronomy 2023, 13, 1248. [Google Scholar] [CrossRef]
  67. Li, C.; Lei, L.; Jia, X.; Xiong, X.; Zhang, X. Accuracy and Applicability Assessment of Vegetation Types of the Land Cover Products Produced in China. Ecol. Indic. 2025, 174, 113506. [Google Scholar] [CrossRef]
  68. Song, Y.; Wang, J.; Ge, Y.; Xu, C. An Optimal Parameters-Based Geographical Detector Model Enhances Geographic Characteristics of Explanatory Variables for Spatial Heterogeneity Analysis: Cases with Different Types of Spatial Data. GIScience Remote Sens. 2020, 57, 593–610. [Google Scholar] [CrossRef]
  69. Liu, Z.; Hu, M.; Hu, Y.; Wang, G. Estimation of Net Primary Productivity of Forests by Modified CASA Models and Remotely Sensed Data. Int. J. Remote Sens. 2018, 39, 1092–1116. [Google Scholar] [CrossRef]
  70. Sun, J.; Yue, Y.; Niu, H. Evaluation of NPP Using Three Models Compared with MODIS-NPP Data over China. PLoS ONE 2021, 16, e0252149. [Google Scholar] [CrossRef]
  71. Turner, D.P.; Ritts, W.D.; Cohen, W.B.; Gower, S.T.; Running, S.W.; Zhao, M.; Costa, M.H.; Kirschbaum, A.A.; Ham, J.M.; Saleska, S.R.; et al. Evaluation of MODIS NPP and GPP Products across Multiple Biomes. Remote Sens. Environ. 2006, 102, 282–292. [Google Scholar] [CrossRef]
  72. Zhao, M.; Heinsch, F.A.; Nemani, R.R.; Running, S.W. Improvements of the MODIS Terrestrial Gross and Net Primary Production Global Data Set. Remote Sens. Environ. 2005, 95, 164–176. [Google Scholar] [CrossRef]
  73. Wang, X.; Ling, Z.; Chen, Y.; Zhai, J.; Deng, Y.; Li, Z.; Peng, K. Remote Sensing Monitoring of Vegetation Growth Status about Nature Reserves in the Middle of Qinling Mountains. Nat. Prot. Areas 2022, 2, 48–59. [Google Scholar] [CrossRef]
  74. Zhou, N.; Gong, E.; Bai, T.; Zhao, T.; Bai, H.; Wang, J. Analysis of temporal and spatial dynamics and its influencing factors of NPP in Qinba Mountain Area based on the CASA model. Acta Ecol. Sin. 2025, 45, 1829–1843. [Google Scholar] [CrossRef]
  75. Zhang, W.; Liu, Y.; Shen, M.; Chen, X.; Chen, R. Spatiotemporal variation of net primary productivity and response to climatic factors in the Yangtze River Basin. Water Resour. Hydropower Eng. 2022, 53, 165–176. [Google Scholar] [CrossRef]
  76. Liu, H.; Chen, H.; Dong, T.; Ma, L.; Zhu, X.; Huang, T. Variation characteristic of NDVI and its response to climate change in the Sichuan-Chongqing region. Acta Ecol. Sin. 2023, 43, 6743–6757. Available online: https://kns.cnki.net/kcms2/article/abstract?v=4J3GFaKSuTNtCotc42VCVUMg0oexTAOrrb89VNxdso3mD_8HTrxc8-1J1PFf-LA_7S7j0Qyzmc52oJAVFWIkU4YapV_a9z0fdnjVpTP8Ssl75CskMS0NHeOQPvvJt9PUYjTRjzpFW9iKENZGU2bNur5a9ghg6X6G4pK2ZW82NllboKj0RKIGrEKb_gVR8aHUB_kIGxBpVz0=&uniplatform=NZKPT (accessed on 4 December 2025).
  77. Huang, X.; Li, X.; Mu, X.; Wang, K.; Tian, K.; Duan, C.; Yu, F. The severe drought occurred in Southwest China in 2010: An examination from perspective of ecology. Res. Soil Water Conserv. 2013, 20, 282–287, 292. Available online: https://kns.cnki.net/kcms2/article/abstract?v=VkQzIsHyPdhyNeCJPi5klx7uDyIGvYKm3woJnDIEm6c3y8AsOhAjpktP3XN2SxYYyLziwmV1gCOBlVH4ZD4ds_7nT8uekdRiePLGZG54dBZNiwRkG2kQu0gDv86V6mqpgPo0ghRSuw7PNndnRMYrTrrRlo_dTUg0Bt4i3Vdy75nG348O7tWAqg==&uniplatform=NZKPT&language=CHS (accessed on 4 December 2025).
  78. Luo, R.; Yu, H.; Zhang, W.; Yang, X. Temporal and Spatial Pattern Changes of Vegetation Net Primary Productivity in Sichuan Province and the Analysis of Its Driving Factors. Environ. Sci. 2025. [Google Scholar] [CrossRef]
  79. Xiao, H.; Zhou, C.; Long, K.; Chen, Y.; Dan, B. Comparative analyses of two persistent extreme rainstorms in Sichuan Basin. Meteorol. Mon. 2025, 51, 269–284. Available online: https://kns.cnki.net/kcms2/article/abstract?v=4J3GFaKSuTPz-GX8eSj6BNBGLN9S9IP_7NpnV6onhHYZLTCYxOijLyPKtQXHb-suI2bUMp6tBRraGLg1aJMS5Z7UivcQVS9V7Lq3JAuJcMrpIiM5IuH-vSZQ__Q4qTA_bxN1Nom8yp6WvD2SNC13CeBiUERgEl_ZAZ_dg7uPNBTTCJk3Cgzkwwe5fuhGMrTXXTvNLqVArPA=&uniplatform=NZKPT (accessed on 4 December 2025).
  80. Li, J.; Xie, X.; Zhao, B.; Xiao, X.; Xue, B. Spatio-Temporal Processes and Characteristics of Vegetation Recovery in the Earthquake Area: A Case Study of Wenchuan, China. Land 2022, 11, 477. [Google Scholar] [CrossRef]
  81. Sun, X.; Yuan, L.; Zhou, Y.; Shao, H.; Li, X.; Zhong, P. Spatiotemporal Change of Vegetation Coverage Recovery and Its Driving Factors in the Wenchuan Earthquake-Hit Areas. J. Mt. Sci. 2021, 18, 2854–2869. [Google Scholar] [CrossRef]
  82. Chen, X.; Zhang, Y. The Impact of Vegetation Phenology Changes on the Relationship between Climate and Net Primary Productivity in Yunnan, China, under Global Warming. Front. Plant Sci. 2023, 14, 1248482. [Google Scholar] [CrossRef]
  83. Chen, C.; Li, T.; Sivakumar, B.; Li, J.; Wang, G. Attribution of Growing Season Vegetation Activity to Climate Change and Human Activities in the Three-River Headwaters Region, China. J. Hydroinform. 2020, 22, 186–204. [Google Scholar] [CrossRef]
  84. Chen, Z.; Wang, W.; Fu, J. Vegetation Response to Precipitation Anomalies under Different Climatic and Biogeographical Conditions in China. Sci. Rep. 2020, 10, 830. [Google Scholar] [CrossRef] [PubMed]
  85. Chen, H.; Zhang, X.; Abla, M.; Lü, D.; Yan, R.; Ren, Q.; Ren, Z.; Yang, Y.; Zhao, W.; Lin, P.; et al. Effects of Vegetation and Rainfall Types on Surface Runoff and Soil Erosion on Steep Slopes on the Loess Plateau, China. CATENA 2018, 170, 141–149. [Google Scholar] [CrossRef]
  86. Li, Z.; Lu, Y.; Wang, Y.; Liu, J. The Spatio-Temporal Evolution of the Soil Conservation Function of Ecosystems in the North–South Transition Zone in China: A Case Study of the Qinling-Daba Mountains. Sustainability 2022, 14, 5829. [Google Scholar] [CrossRef]
  87. Qi, G.; Bai, H.; Zhao, T.; Meng, Q.; Zhang, S. Sensitivity and Areal Differentiation of Vegetation Responses to Hydrothermal Dynamics on the Northern and Southern Slopes of the Qinling Mountains in Shaanxi Province. J. Geogr. Sci. 2021, 31, 785–801. [Google Scholar] [CrossRef]
  88. Xiao, X.; Li, X.; Jiang, T.; Tan, M.; Hu, M.; Liu, Y.; Zeng, W. Response of Net Primary Production to Land Use and Climate Changes in the Middle-Reaches of the Heihe River Basin. Ecol. Evol. 2019, 9, 4651–4666. [Google Scholar] [CrossRef]
  89. Rietra, R.; Heinen, M.; Oenema, O. A Review of Crop Husbandry and Soil Management Practices Using Meta-Analysis Studies: Towards Soil-Improving Cropping Systems. Land 2022, 11, 255. [Google Scholar] [CrossRef]
  90. Wang, G.; Peng, W.; Zhang, L.; Zhang, J. Quantifying the Impacts of Natural and Human Factors on Changes in NPP Using an Optimal Parameters-Based Geographical Detector. Ecol. Indic. 2023, 155, 111018. [Google Scholar] [CrossRef]
  91. Körner, C. The Use of ‘Altitude’ in Ecological Research. Trends Ecol. Evol. 2007, 22, 569–574. [Google Scholar] [CrossRef]
  92. Xu, H.; Wang, H.; Prentice, I.C.; Harrison, S.P.; Wang, G.; Sun, X. Predictability of Leaf Traits with Climate and Elevation: A Case Study in Gongga Mountain, China. Tree Physiol. 2021, 41, 1336–1352. [Google Scholar] [CrossRef]
  93. Piao, S.; Zhang, X.; Chen, A.; Liu, Q.; Lian, X.; Wang, X.; Peng, S.; Wu, X. The Impacts of Climate Extremes on the Terrestrial Carbon Cycle: A Review. Sci. China Earth Sci. 2019, 62, 1551–1563. [Google Scholar] [CrossRef]
  94. Running, S.W.; Nemani, R.R. Regional Hydrologic and Carbon Balance Responses of Forests Resulting from Potential Climate Change. Clim. Change 1991, 19, 349–368. [Google Scholar] [CrossRef]
  95. Ding, Z.; Zheng, H.; Li, H.; Yu, P.; Man, W.; Liu, M.; Tang, X.; Liu, Y. Afforestation-Driven Increases in Terrestrial Gross Primary Productivity Are Partly Offset by Urban Expansion in Southwest China. Ecol. Indic. 2021, 127, 107641. [Google Scholar] [CrossRef]
  96. Ma, B.; Jing, J.; Liu, B.; Wang, Y.; He, H. Assessing the Contribution of Human Activities and Climate Change to the Dynamics of NPP in Ecologically Fragile Regions. Glob. Ecol. Conserv. 2023, 42, e02393. [Google Scholar] [CrossRef]
  97. Tang, J.; Peng, X.; Peng, W. Nonlinear Variations and Drivers of Vegetation NPP on the Tibetan Plateau: Interaction of Natural and Human Factors. PLoS ONE 2025, 20, e0320370. [Google Scholar] [CrossRef] [PubMed]
Figure 1. Location of the study area.
Figure 1. Location of the study area.
Land 14 02394 g001
Figure 2. Spatial pattern of long-term mean NPP and clustering of productivity hotspots and coldspots in the Giant Panda National Park. (a) Spatial distribution of NPP multi-year average; (b) Spatial distribution and area proportion of NPP hotspots and coldspots.
Figure 2. Spatial pattern of long-term mean NPP and clustering of productivity hotspots and coldspots in the Giant Panda National Park. (a) Spatial distribution of NPP multi-year average; (b) Spatial distribution and area proportion of NPP hotspots and coldspots.
Land 14 02394 g002
Figure 3. Interannual variations in vegetation NPP in the Giant Panda National Park from 2001 to 2023.
Figure 3. Interannual variations in vegetation NPP in the Giant Panda National Park from 2001 to 2023.
Land 14 02394 g003
Figure 4. Patterns of vegetation NPP dynamics and statistical significance across the Giant Panda National Park from 2001 to 2023. (a) Spatial pattern of NPP trend rates; (b) Distribution of statistically significant trend areas; (c) Spatial variability of NPP among years.
Figure 4. Patterns of vegetation NPP dynamics and statistical significance across the Giant Panda National Park from 2001 to 2023. (a) Spatial pattern of NPP trend rates; (b) Distribution of statistically significant trend areas; (c) Spatial variability of NPP among years.
Land 14 02394 g004
Figure 5. Results of the partial correlation and significance assessment between vegetation NPP and major climatic variables. (a) Relationship between NPP and mean annual precipitation; (b) Relationship between NPP and mean annual temperature; (c) Relationship between NPP and annual solar radiation. In the figure, HSPC indicates a highly significant positive correlation (p < 0.01); SPC, a significant positive correlation (p < 0.05); NSPC, a non-significant positive correlation; NSNC, a non-significant negative correlation; SNC, statistically significant negative association (p < 0.05); ESNC, extremely significant negative association (p < 0.01).
Figure 5. Results of the partial correlation and significance assessment between vegetation NPP and major climatic variables. (a) Relationship between NPP and mean annual precipitation; (b) Relationship between NPP and mean annual temperature; (c) Relationship between NPP and annual solar radiation. In the figure, HSPC indicates a highly significant positive correlation (p < 0.01); SPC, a significant positive correlation (p < 0.05); NSPC, a non-significant positive correlation; NSNC, a non-significant negative correlation; SNC, statistically significant negative association (p < 0.05); ESNC, extremely significant negative association (p < 0.01).
Land 14 02394 g005
Figure 6. Variations in mean vegetation NPP with elevation, slope, and aspect in the Giant Panda National Park. (a) Mean NPP at different elevation ranges; (b) Mean NPP at different slope ranges; (c) Mean and total NPP on sunny, semi-sunny, semi-shady, and shady slopes; (d) Mean and total NPP across different cardinal aspects.
Figure 6. Variations in mean vegetation NPP with elevation, slope, and aspect in the Giant Panda National Park. (a) Mean NPP at different elevation ranges; (b) Mean NPP at different slope ranges; (c) Mean and total NPP on sunny, semi-sunny, semi-shady, and shady slopes; (d) Mean and total NPP across different cardinal aspects.
Land 14 02394 g006
Figure 7. NPP values across different vegetation and soil types in the Giant Panda National Park. (a) Mean NPP and area proportion of different vegetation types; (b) Mean NPP and area proportion of different soil types.
Figure 7. NPP values across different vegetation and soil types in the Giant Panda National Park. (a) Mean NPP and area proportion of different vegetation types; (b) Mean NPP and area proportion of different soil types.
Land 14 02394 g007
Figure 8. Sankey diagram of land use transitions in the Giant Panda National Park from 2001 to 2023. (a) Spatial distribution of land use types in 2001, 2017, and 2023; (b) Area and proportion of different land use types in 2001, 2017, and 2023, and the net changes in each land use category during the 2001–2023 period; (c) Land use transitions during 2001–2017, 2017–2023, and 2001–2023.
Figure 8. Sankey diagram of land use transitions in the Giant Panda National Park from 2001 to 2023. (a) Spatial distribution of land use types in 2001, 2017, and 2023; (b) Area and proportion of different land use types in 2001, 2017, and 2023, and the net changes in each land use category during the 2001–2023 period; (c) Land use transitions during 2001–2017, 2017–2023, and 2001–2023.
Land 14 02394 g008
Figure 9. q-values of driving factors influencing vegetation NPP in the Giant Panda National Park.
Figure 9. q-values of driving factors influencing vegetation NPP in the Giant Panda National Park.
Land 14 02394 g009
Figure 10. Interaction effects of driving factors on vegetation NPP in the Giant Panda National.
Figure 10. Interaction effects of driving factors on vegetation NPP in the Giant Panda National.
Land 14 02394 g010
Figure 11. Comparison between NPP estimated by the CASA model and the MOD17A3 product. (a) Interannual variation of 2001–2023 annual mean NPP for the GPNP from CASA and MOD17A3; (b) Scatter comparison of multi-year mean NPP from CASA and MOD17A3 at the park scale; (c) Scatter comparison for the Qinling subregion; (d) Scatter comparison for the Baishuijiang subregion; (e) Scatter comparison for the Minshan subregion; (f) Scatter comparison for the Qionglai–Daxiaoxiangling subregion.
Figure 11. Comparison between NPP estimated by the CASA model and the MOD17A3 product. (a) Interannual variation of 2001–2023 annual mean NPP for the GPNP from CASA and MOD17A3; (b) Scatter comparison of multi-year mean NPP from CASA and MOD17A3 at the park scale; (c) Scatter comparison for the Qinling subregion; (d) Scatter comparison for the Baishuijiang subregion; (e) Scatter comparison for the Minshan subregion; (f) Scatter comparison for the Qionglai–Daxiaoxiangling subregion.
Land 14 02394 g011
Table 1. Research data and sources.
Table 1. Research data and sources.
Data TypeData NameAbbreviationData SourceNative
Resolution
Resampling
Method
ClimateMean annual temperatureMAT1 km monthly mean temperature dataset for China (1901–2024) (https://www.tpdc.ac.cn/zh-hans/data/71ab4677-b66c-4fd1-a004-b2a541c4d5bf/) (accessed on 27 May 2025)1 kmBilinear
Mean annual precipitationPR1 km monthly precipitation dataset for China (1901–2024) (https://data.tpdc.ac.cn/zh-hans/data/faae7605-a0f2-4d18-b28f-5cee413766a2) (accessed on 27 May 2025)1 kmBilinear
Solar radiationSRTerra Climate
(https://earthengine.google.com/)
1 kmBilinear
TopographyElevationElevationGeospatial data cloud
(https://www.gscloud.cn/)
30 mBilinear
SlopeSlope 30 mBilinear
AspectAspect 30 mNearest
SoilSoil typeSoil_typeHarmonized World Soil Database
(https://www.fao.org/soils-portal/soil-survey/soil-maps-and-databases/harmonized-world-soil-database-v12/en/) (accessed on 28 May 2025)
1 kmNearest
Soil textureSilt, Clay, SandSpatial distribution data of soil texture in China
(https://www.resdc.cn//data.aspx?DATAID=260) (accessed on 28 May 2025)
1 kmBilinear
Soil macro-nutrientsTN, TP, TKDataset of soil properties for land surface modeling over China
(https://data.tpdc.ac.cn/zh-hans/data/8ba0a731-5b0b-4e2f-8b95-8b29cc3c0f3a) (accessed on 28 May 2025)
1 kmBilinear
VegetationVegetation typeVegChina 1:1 million vegetation type spatial distribution data
(https://www.resdc.cn/data.aspx?DATAID=122) (accessed on 30 July 2025)
1 kmNearest
Normalized Difference Vegetation IndexNDVIMOD13Q1 dataset
(https://earthengine.google.com/)
250 mBilinear
Net Primary ProductivityNPPMOD17A3 product
(https://earthengine.google.com/)
500 m-
Human activityLand use classificationCLCDThe 30 m annual land cover datasets and its dynamics in China from 1985 to 2023
(http://zenodo.org)
30 mMajority
Gross Domestic Product per capitaGDPChina GDP Spatial Distribution Kilometer Grid Dataset
(https://www.resdc.cn/DOI/DOI.aspx?DOIID=33) (accessed on 30 July 2025)
1 kmBilinear
Population densityPOPChina Population Spatial Distribution Kilometer Grid Dataset
(https://www.resdc.cn/DOI/DOI.aspx?DOIID=32) (accessed on 30 July 2025)
1 kmBilinear
Table 2. Significance levels of Mann–Kendall trend test results.
Table 2. Significance levels of Mann–Kendall trend test results.
Sen’s SlopeZ (Absolute Value)Trend Features
S > 0Z > 2.576Highly significant increase
1.960 < Z ≤ 2.576Significant increase
1.645 < Z ≤ 1.960Slightly significant increase
Z ≤ 1.645Non-significant increase
S = 0Z = 0No change
S < 0Z ≤ 1.645Non-significant decrease
1.645 < Z ≤ 1.960Slightly significant decrease
1.960 < Z ≤ 2.576Significant decrease
Z > 2.576Highly significant decrease
Table 3. Classification and stratification of driving factors.
Table 3. Classification and stratification of driving factors.
Variable TypeVariableClassification CriterionRangeCategories/Number of Classes
ContinuousElevation200 m566~6567 m31
Slope0~78.00°39
AspectCardinal directions and slope orientation0~360°8/4
CategoricalVegetation typeVegetation formation groups-Cultivated vegetation, Broadleaf, Coniferous forest, Mixed forest, Thickets, Grassland, Alpine vegetation
Soil typeFAO90 classification system-Argosols, Semi-Luvisols, Semi-hydromorphic soil, Calcium layer soil, Aridosols, desert soil, Primary soil, hydromorphic soil, Saline soil, Anthrosols, Ferralosols, Alpine soil
Land useCLCD classification system-Crop land, Forest, Shrub, Grassland, Water, Snow/ice, Barren, Construction
Table 4. A comparative analysis of simulation results from this study and those reported in other studies/(gC·m−2·yr−1).
Table 4. A comparative analysis of simulation results from this study and those reported in other studies/(gC·m−2·yr−1).
Study PeriodStudy AreaModel/ProductMean Value of NPP
2001–2023GPNP (This study)CASA model601.54–710.84
2001–2023GPNP (This study)MOD17A3646.39–782.42
2001–2018Qinling Region of the GPNP (This study)CASA model757.91
2000–2018Zhouzhi National Nature ReserveMODIS NPP670
2000–2018Foping National Nature ReserveMODIS NPP660
2000–2018Laoxiancheng National Nature ReserveMODIS NPP640
2000–2018Taibaishan National Nature ReserveMODIS NPP610
1982–2017National Forest Parks of ChinaCEVSA2 model667
2000–2020Yangtze River BasinMODIS NPP528.02
2000–2020ChinaMODIS NPP514.48
2001–2022Qinba MountainsCASA model585.11
Disclaimer/Publisher’s Note: The statements, opinions and data contained in all publications are solely those of the individual author(s) and contributor(s) and not of MDPI and/or the editor(s). MDPI and/or the editor(s) disclaim responsibility for any injury to people or property resulting from any ideas, methods, instructions or products referred to in the content.

Share and Cite

MDPI and ACS Style

Liu, W.; Chen, S.; Han, D.; Liu, J.; Zheng, P.; Huang, X.; Zhao, R. Spatiotemporal Dynamics and Driving Mechanisms of Vegetation Net Primary Productivity in the Giant Panda National Park Under the Context of Ecological Conservation. Land 2025, 14, 2394. https://doi.org/10.3390/land14122394

AMA Style

Liu W, Chen S, Han D, Liu J, Zheng P, Huang X, Zhao R. Spatiotemporal Dynamics and Driving Mechanisms of Vegetation Net Primary Productivity in the Giant Panda National Park Under the Context of Ecological Conservation. Land. 2025; 14(12):2394. https://doi.org/10.3390/land14122394

Chicago/Turabian Style

Liu, Wendou, Shaozhi Chen, Dongyang Han, Jiang Liu, Pengfei Zheng, Xin Huang, and Rong Zhao. 2025. "Spatiotemporal Dynamics and Driving Mechanisms of Vegetation Net Primary Productivity in the Giant Panda National Park Under the Context of Ecological Conservation" Land 14, no. 12: 2394. https://doi.org/10.3390/land14122394

APA Style

Liu, W., Chen, S., Han, D., Liu, J., Zheng, P., Huang, X., & Zhao, R. (2025). Spatiotemporal Dynamics and Driving Mechanisms of Vegetation Net Primary Productivity in the Giant Panda National Park Under the Context of Ecological Conservation. Land, 14(12), 2394. https://doi.org/10.3390/land14122394

Note that from the first issue of 2016, this journal uses article numbers instead of page numbers. See further details here.

Article Metrics

Article metric data becomes available approximately 24 hours after publication online.
Back to TopTop