Incorporating Future Ecosystem Services to Assess the Progress of Sustainable Development Goals in Southern Jiangsu, China
Abstract
1. Introduction
2. Materials and Methods
2.1. Study Area
2.2. Data Sources
2.3. Methods
2.3.1. Land Use Simulation
2.3.2. Ecosystem Service Assessment
Carbon Storage
Water Yield
Soil Conservation
Habitat Quality
2.3.3. Trade-Off and Synergy Analysis of ESs
2.3.4. Scoring SDG and SDG Index
3. Results
3.1. Temporal and Spatial Evolution of ESs
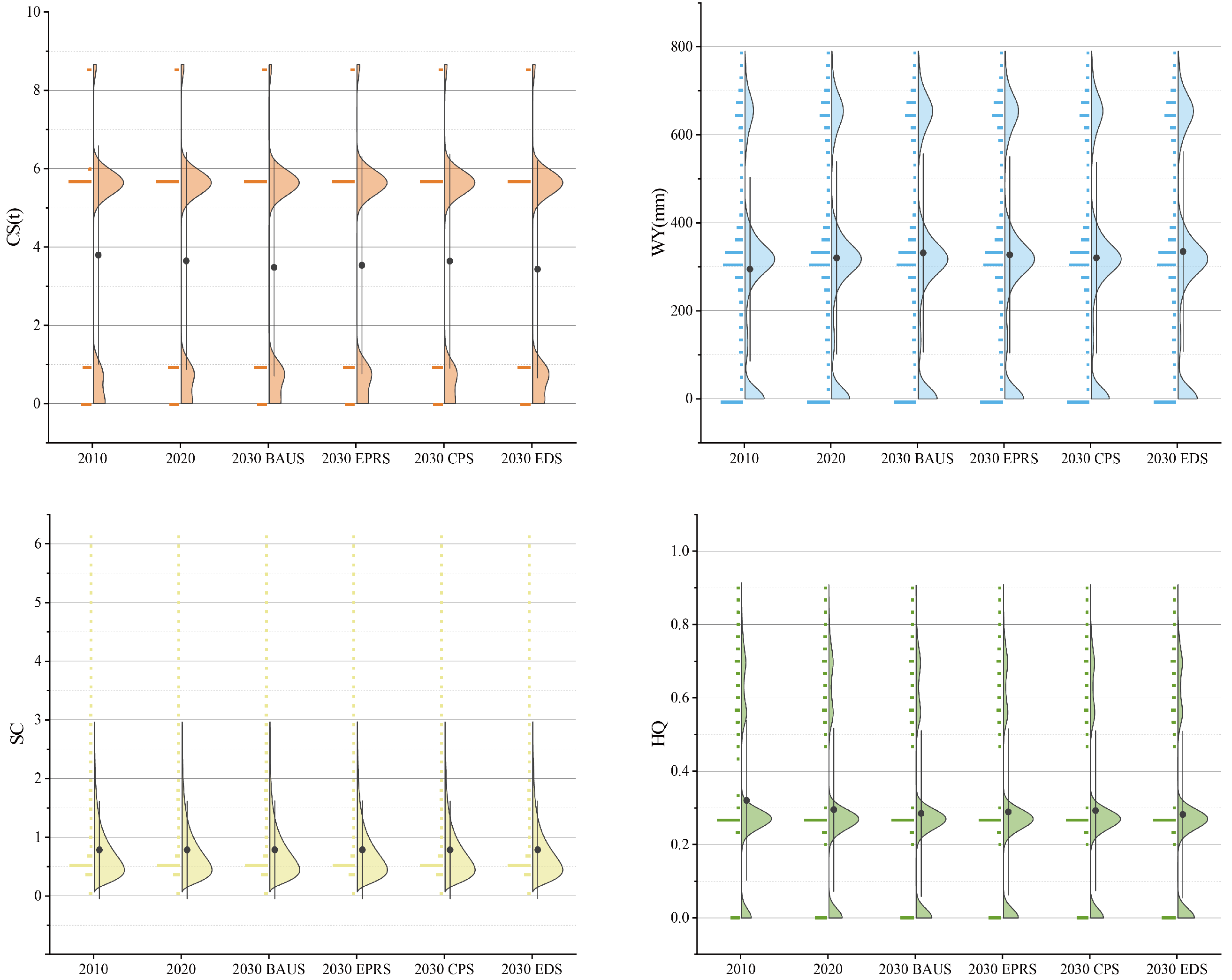
3.1.1. Carbon Storage
3.1.2. Water Yield
3.1.3. Soil Conservation
3.1.4. Habitat Quality
3.1.5. Trade-Off and Synergy
3.2. Contribution of ESs to SDGs Progress
3.2.1. Contribution of ESs to Individual SDG Scores
3.2.2. Spatiotemporal Patterns and Changes in SDG Index
4. Discussion
4.1. Changes of ESs and Various Scenarios
4.2. Impacts of ESs in Advancing the SDGs
4.3. Management and Recommendations
4.4. Modeling Limitations and Future Perspectives
5. Conclusions
Author Contributions
Funding
Data Availability Statement
Conflicts of Interest
Abbreviations
| LULC | Land Use/Land Cover |
| ESs | Ecosystem Services |
| SDGs | Sustainable Development Goals |
| InVEST | Integrated Valuation of Ecosystem Services and Tradeoffs |
| PLUS | Patch-Generated Land Use Simulation |
| CARS | Cellular Automata model of the multi-type Random patch Seeds |
| ARIES | Artificial Intelligence for Ecosystem Services |
| SolVES | Social Values for Ecosystem Services |
| FoM | Figure of Merit |
| CS | Carbon Storage |
| WY | Water Yield |
| SC | Soil Conservation |
| HQ | Habitat Quality |
| BAUS | Business As Usual Scenario |
| EPRS | Ecological Protection Redline Scenario |
| CPS | Cropland Protection Scenario |
| EDS | Economic Development Scenario |
| Tem | Temperature |
| Pre | Precipitation |
| Eva | Evapotranspiration |
| Asp | Aspect |
| Slo | Slope |
| St | Soil type |
| Soc | Soil organic |
| DEM | Digital Elevation Model |
| Pop | Population |
| Ntl | Nighttime light |
| GDP | Gross Domestic Product |
| Dtr | Distance to railway |
| Dth | Distance to highway |
| Dfr | Distance to first-level roads |
| Epr | Ecological protection redline |
Appendix A


References
- Mandle, L.; Shields-Estrada, A.; Chaplin-Kramer, R.; Mitchell, M.G.E.; Bremer, L.L.; Gourevitch, J.D.; Hawthorne, P.; Johnson, J.A.; Robinson, B.E.; Smith, J.R.; et al. Increasing decision relevance of ecosystem service science. Nat. Sustain. 2021, 4, 161–169. [Google Scholar] [CrossRef]
- Yang, S.; Zhao, W.; Liu, Y.; Cherubini, F.; Fu, B.; Pereira, P. Prioritizing sustainable development goals and linking them to ecosystem services: A global expert’s knowledge evaluation. Geogr. Sustain. 2020, 1, 321–330. [Google Scholar] [CrossRef]
- Bai, Y.; Jiang, B.; Wang, M.; Li, H.; Alatalo, J.M.; Huang, S. New ecological redline policy (ERP) to secure ecosystem services in China. Land Use Policy 2016, 55, 348–351. [Google Scholar] [CrossRef]
- Bryan, B.A.; Gao, L.; Ye, Y.; Sun, X.; Connor, J.D.; Crossman, N.D.; Stafford-Smith, M.; Wu, J.; He, C.; Yu, D.; et al. China’s response to a national land-system sustainability emergency. Nature 2018, 559, 193–204. [Google Scholar] [CrossRef]
- Costanza, R.; de Groot, R.; Braat, L.; Kubiszewski, I.; Fioramonti, L.; Sutton, P.; Farber, S.; Grasso, M. Twenty years of ecosystem services: How far have we come and how far do we still need to go? Ecosyst. Serv. 2017, 28, 1–16. [Google Scholar] [CrossRef]
- Yin, C.; Zhao, W.; Ye, J.; Muroki, M.; Pereira, P. Ecosystem carbon sequestration service supports the Sustainable Development Goals progress. J. Environ. Manag. 2023, 330, 117155. [Google Scholar] [CrossRef]
- Guo, Z.F.; Boeing, W.J.; Borgomeo, E.; Xu, Y.Y.; Weng, Y. Linking reservoir ecosystems research to the sustainable development goals. Sci. Total Environ. 2021, 781, 146769. [Google Scholar] [CrossRef]
- Yin, H.Y.; Xiao, R.; Fei, X.F.; Zhang, Z.H.; Gao, Z.; Wan, Y.; Tan, W.F.; Jiang, X.C.; Cao, W.; Guo, Y.X. Analyzing “economy-society-environment” sustainability from the perspective of urban spatial structure: A case study of the Yangtze River delta urban agglomeration. Sustain. Cities Soc. 2023, 96, 104691. [Google Scholar] [CrossRef]
- Liu, L.J.; Liang, Y.J.; Hashimoto, S. Integrated assessment of land-use/coverage changes and their impacts on ecosystem services in Gansu Province, northwest China: Implications for sustainable development goals. Sustain. Sci. 2020, 15, 297–314. [Google Scholar] [CrossRef]
- Jiang, W.; Zhang, Z.; Ling, Z.; Deng, Y. Experience and future research trends of wetland protection and restoration in China. J. Geogr. Sci. 2024, 34, 229–251. [Google Scholar] [CrossRef]
- Zhang, F.; Xu, N.; Wang, C.; Guo, M.; Kumar, P. Multi-scale coupling analysis of urbanization and ecosystem services supply-demand budget in the Beijing-Tianjin-Hebei region, China. J. Geogr. Sci. 2023, 33, 340–356. [Google Scholar] [CrossRef]
- Babbar, D.; Areendran, G.; Sahana, M.; Sarma, K.; Raj, K.; Sivadas, A. Assessment and prediction of carbon sequestration using Markov chain and InVEST model in Sariska Tiger Reserve, India. J. Clean. Prod. 2021, 278, 123333. [Google Scholar] [CrossRef]
- Wang, P.; Xu, M. Dynamics and interactions of water-related ecosystem services in the Yellow River Basin, China. J. Geogr. Sci. 2023, 33, 1681–1701. [Google Scholar] [CrossRef]
- Sagar, S.; Roberts, D.; Bala, B.; Lymburner, L. Extracting the intertidal extent and topography of the Australian coastline from a 28 year time series of Landsat observations. Remote Sens. Environ. 2017, 195, 153–169. [Google Scholar] [CrossRef]
- Yang, J.; Huang, X. The 30 m annual land cover dataset and its dynamics in China from 1990 to 2019. Earth Syst. Sci. Data 2021, 13, 3907–3925. [Google Scholar] [CrossRef]
- Zhao, C.; Qin, C.-Z. 10-m-resolution mangrove maps of China derived from multi-source and multi-temporal satellite observations. ISPRS J. Photogramm. Remote Sens. 2020, 169, 389–405. [Google Scholar] [CrossRef]
- Liang, X.; Guan, Q.; Clarke, K.C.; Liu, S.; Wang, B.; Yao, Y. Understanding the drivers of sustainable land expansion using a patch-generating land use simulation (PLUS) model: A case study in Wuhan, China. Comput. Environ. Urban Syst. 2021, 85, 101569. [Google Scholar] [CrossRef]
- Bai, Y.; Wong, C.P.; Jiang, B.; Hughes, A.C.; Wang, M.; Wang, Q. Developing China’s Ecological Redline Policy using ecosystem services assessments for land use planning. Nat. Commun. 2018, 9, 3034. [Google Scholar] [CrossRef]
- Baskent, E.Z. Characterizing and assessing key ecosystem services in a representative forest ecosystem in Turkey. Ecol. Inform. 2023, 74, 101993. [Google Scholar] [CrossRef]
- Fedele, G.; Locatelli, B.; Djoudi, H. Mechanisms mediating the contribution of ecosystem services to human well-being and resilience. Ecosyst. Serv. 2017, 28, 43–54. [Google Scholar] [CrossRef]
- Potschin-Young, M.; Haines-Young, R.; Goerg, C.; Heink, U.; Jax, K.; Schleyer, C. Understanding the role of conceptual frameworks: Reading the ecosystem service cascade. Ecosyst. Serv. 2018, 29, 428–440. [Google Scholar] [CrossRef]
- Rugani, B.; de Souza, D.M.; Weidema, B.P.; Bare, J.; Bakshi, B.; Grann, B.; Johnston, J.M.; Raymundo Pavan, A.L.; Liu, X.; Laurent, A.; et al. Towards integrating the ecosystem services cascade framework within the Life Cycle Assessment (LCA) cause-effect methodology. Sci. Total Environ. 2019, 690, 1284–1298. [Google Scholar] [CrossRef] [PubMed]
- Wood, S.L.R.; Jones, S.K.; Johnson, J.A.; Brauman, K.A.; Chaplin-Kramer, R.; Fremier, A.; Girvetz, E.; Gordon, L.J.; Kappel, C.V.; Mandle, L.; et al. Distilling the role of ecosystem services in the Sustainable Development Goals. Ecosyst. Serv. 2018, 29, 70–82. [Google Scholar] [CrossRef]
- Yin, C.C.; Zhao, W.W.; Cherubini, F.; Pereira, P. Integrate ecosystem services into socio-economic development to enhance achievement of sustainable development goals in the post-pandemic era. Geogr. Sustain. 2021, 2, 68–73. [Google Scholar] [CrossRef]
- Zhao, Y.; Zhou, R.J.M.; Yu, Q.; Zhao, L. Revealing the contribution of mountain ecosystem services research to sustainable development goals: A systematic and grounded theory driven review. J. Environ. Manag. 2025, 373, 123452. [Google Scholar] [CrossRef]
- Lynch, A.J.; Elliott, V.; Phang, S.C.; Claussen, J.E.; Harrison, I.; Murchie, K.J.; Steel, E.A.; Stokes, G.L. Inland fish and fisheries integral to achieving the Sustainable Development Goals. Nat. Sustain. 2020, 3, 579–587. [Google Scholar] [CrossRef]
- Wang, M.; Janssen, A.B.G.; Bazin, J.; Strokal, M.; Ma, L.; Kroeze, C. Accounting for interactions between Sustainable Development Goals is essential for water pollution control in China. Nat. Commun. 2022, 13, 730. [Google Scholar] [CrossRef]
- Chen, D.; Zhao, Q.; Jiang, P.; Li, M. Incorporating ecosystem services to assess progress towards sustainable development goals: A case study of the Yangtze River Economic Belt, China. Sci. Total Environ. 2022, 806, 151277. [Google Scholar] [CrossRef]
- Xu, J.; Renaud, F.G.; Barrett, B. Modelling land system evolution and dynamics of terrestrial carbon stocks in the Luanhe River Basin, China: A scenario analysis of trade-offs and synergies between sustainable development goals. Sustain. Sci. 2022, 17, 1323–1345. [Google Scholar] [CrossRef]
- Wood, S.L.R.; DeClerck, F. Ecosystems and human well-being in the Sustainable Development Goals. Front. Ecol. Environ. 2015, 13, 123. [Google Scholar] [CrossRef]
- Du, J.; Liu, Y.; Xu, Z.; Duan, H.; Zhuang, M.; Hu, Y.; Wang, Q.; Dong, J.; Wang, Y.; Fu, B. Global effects of progress towards Sustainable Development Goals on subjective well-being. Nat. Sustain. 2024, 7, 360–367. [Google Scholar] [CrossRef]
- Liu, Y.; Du, J.; Wang, Y.; Cui, X.; Dong, J.; Gu, P.; Hao, Y.; Xue, K.; Duan, H.; Xia, A.; et al. Overlooked uneven progress across sustainable development goals at the global scale: Challenges and opportunities. Innovation 2024, 5, 100573. [Google Scholar] [CrossRef] [PubMed]
- Ma, F.; Wang, H.; Tzachor, A.; Hidalgo, C.A.; Schandl, H.; Zhang, Y.; Zhang, J.; Chen, W.-Q.; Zhao, Y.; Zhu, Y.-G.; et al. The disparities and development trajectories of nations in achieving the sustainable development goals. Nat. Commun. 2025, 16, 1107. [Google Scholar] [CrossRef] [PubMed]
- Mahato, S.; Pal, S.; Joshi, P.K.; Matzarakis, A.; Tarolli, P.; Anand, V. Early summer warming amplification threats towards sustainable development goals (SDGs) in India. Ecol. Inform. 2025, 88, 103156. [Google Scholar] [CrossRef]
- Gao, Y.; Shen, Z.; Zhang, T.; Liu, Y. Integrating ecosystem service bundles and scenario predicting for win-win sustainable urban management: A case study of typical arid cities in China. Cities 2025, 166, 106248. [Google Scholar] [CrossRef]
- Ding, T.; Chen, J.; Fang, Z.; Chen, J. Assessment of coordinative relationship between comprehensive ecosystem service and urbanization: A case study of Yangtze River Delta urban Agglomerations, China. Ecol. Indic. 2021, 133, 108454. [Google Scholar] [CrossRef]
- Jiangsu Provincial People’s Government. Notice of the Provincial Government on Printing and Distributing the National Ecological Redline Plan of Jiangsu Province; Jiangsu Provincial People’s Government: Nanjing, China, 2021.
- Jian, L.; Xia, X.; Liu, X.; Zhang, Y.; Wang, Y. Spatiotemporal variations and multi-scenario simulation of urban thermal environments based on complex networks and the PLUS model: A case study in Chengdu central districts. Sustain. Cities Soc. 2024, 115, 105833. [Google Scholar] [CrossRef]
- Jiangsu Provincial People’s Government. Notice of the Provincial Government on Printing and Distributing the Territorial Spatial Planning of Jiangsu Province (2021–2035); Jiangsu Provincial People’s Government: Nanjing, China, 2021.
- Nie, W.; Xu, B.; Yang, F.; Shi, Y.; Liu, B.; Wu, R.; Lin, W.; Pei, H.; Bao, Z. Simulating future land use by coupling ecological security patterns and multiple scenarios. Sci. Total Environ. 2023, 859, 160262. [Google Scholar] [CrossRef]
- Lei, X.; Hai, X. Assessing economic value of carbon storage and land use changes based on the coupled PLUS-InVEST model in Lanzhou City. Sci. Geogr. Sin. 2024, 45, 339–348. (In Chinese) [Google Scholar]
- Shilong, W.; Lufeng, Y.; Ting, Z.; Rongfang, L.; Yuliang, W.; Zilong, Z. The effects of landscape patterns on ecosystem services of urban agglomeration in semi-arid area under scenario modeling. Ecol. Indic. 2024, 167, 112610. [Google Scholar] [CrossRef]
- Guo, X.; Zhang, Y.; Guo, D.; Lu, W.; Xu, H. How does ecological protection redline policy affect regional land use and ecosystem services? Environ. Impact Assess. Rev. 2023, 100, 107062. [Google Scholar] [CrossRef]
- Nelson, E.; Mendoza, G.; Regetz, J.; Polasky, S.; Tallis, H.; Cameron, D.; Chan, K.M.A.; Daily, G.C.; Goldstein, J.; Kareiva, P.M.; et al. Modeling multiple ecosystem services, biodiversity conservation, commodity production, and tradeoffs at landscape scales. Front. Ecol. Environ. 2009, 7, 4–11. [Google Scholar] [CrossRef]
- Zheng, H.; Li, Y.; Robinson, B.E.; Liu, G.; Ma, D.; Wang, F.; Lu, F.; Ouyang, Z.; Daily, G.C. Using ecosystem service trade-offs to inform water conservation policies and management practices. Front. Ecol. Environ. 2016, 14, 527–532. [Google Scholar] [CrossRef]
- Sun, X.; Yang, P.; Tao, Y.; Bian, H. Improving ecosystem services supply provides insights for sustainable landscape planning: A case study in Beijing, China. Sci. Total Environ. 2022, 802, 149849. [Google Scholar] [CrossRef] [PubMed]
- Qiao, X.; Gu, Y.; Zou, C.; Xu, D.; Wang, L.; Ye, X.; Yang, Y.; Huang, X. Temporal variation and spatial scale dependency of the trade-offs and synergies among multiple ecosystem services in the Taihu Lake Basin of China. Sci. Total Environ. 2019, 651, 218–229. [Google Scholar] [CrossRef]
- Yin, D.; Yu, H.; Shi, Y.; Zhao, M.; Zhang, J.; Li, X. Matching supply and demand for ecosystem services in the Yellow River Basin, China: A perspective of the water-energy-food nexus. J. Clean. Prod. 2023, 384, 135469. [Google Scholar] [CrossRef]
- Bi, Y.; Zheng, L.; Wang, Y.; Li, J.; Yang, H.; Zhang, B. Coupling relationship between urbanization and water-related ecosystem services in China’s Yangtze River economic Belt and its socio-ecological driving forces: A county-level perspective. Ecol. Indic. 2023, 146, 109871. [Google Scholar] [CrossRef]
- Sun, X.; Lu, Z.; Li, F.; Crittenden, J.C. Analyzing spatio-temporal changes and trade-offs to support the supply of multiple ecosystem services in Beijing, China. Ecol. Indic. 2018, 94, 117–129. [Google Scholar] [CrossRef]
- Xiang, H.; Wang, Z.; Mao, D.; Zhang, J.; Xi, Y.; Du, B.; Zhang, B. What did China’s National Wetland Conservation Program Achieve? Observations of changes in land cover and ecosystem services in the Sanjiang Plain. J. Environ. Manag. 2020, 267, 110623. [Google Scholar] [CrossRef]
- Xia, H.; Yuan, S.; Prishchepov, A.V. Spatial-temporal heterogeneity of ecosystem service interactions and their social-ecological drivers: Implications for spatial planning and management. Resour. Conserv. Recycl. 2023, 189, 106767. [Google Scholar] [CrossRef]
- Dou, H.; Li, X.; Li, S.; Dang, D.; Li, X.; Lyu, X.; Li, M.; Liu, S. Mapping ecosystem services bundles for analyzing spatial trade-offs in inner Mongolia, China. J. Clean. Prod. 2020, 256, 120444. [Google Scholar] [CrossRef]
- Dai, E.; Zhao, Z.; Jia, L.; Jiang, X. Contribution of ecosystem services improvement on achieving Sustainable development Goals under ecological engineering projects on the Qinghai-Tibet Plateau. Ecol. Eng. 2024, 199, 107146. [Google Scholar] [CrossRef]
- Ju, X.; Li, W.; He, L.; Li, J.; Han, L.; Mao, J. Ecological redline policy may significantly alter urban expansion and affect surface runoff in the Beijing-Tianjin-Hebei megaregion of China. Environ. Res. Lett. 2020, 15, 1040b1. [Google Scholar] [CrossRef]
- Wang, L.; Zheng, H.; Chen, Y.; Huang, B. Ecological redline policy strengthens sustainable development goals through the strict protection of multiple ecosystem services. Glob. Ecol. Conserv. 2024, 56, e03306. [Google Scholar] [CrossRef]
- Huang, C.; Zhao, D.; Liao, Q.; Xiao, M. Linking landscape dynamics to the relationship between water purification and soil retention. Ecosyst. Serv. 2023, 59, 101498. [Google Scholar] [CrossRef]
- Yang, Y.; Song, G.; Lu, S. Study on the ecological protection redline (EPR) demarcation process and the ecosystem service value (ESV) of the EPR zone: A case study on the city of Qiqihaer in China. Ecol. Indic. 2020, 109, 105754. [Google Scholar] [CrossRef]
- Ju, H.; Liu, Y.; Zhang, S. Interprovincial agricultural water footprint in China: Spatial pattern, driving forces and implications for water resource management. Sustain. Prod. Consum. 2023, 43, 264–277. [Google Scholar] [CrossRef]
- Ju, H.; Zeng, G.; Zhang, S. Inter-provincial flow and influencing factors of agricultural carbon footprint in China and its policy implication. Environ. Impact Assess. Rev. 2024, 105, 107419. [Google Scholar] [CrossRef]
- Zhang, H.; Wang, B.; Liu, D.L.; Zhang, M.; Leslie, L.M.; Yu, Q. Using an improved SWAT model to simulate hydrological responses to land use change: A case study of a catchment in tropical Australia. J. Hydrol. 2020, 585, 124822. [Google Scholar] [CrossRef]
- Li, C.J.; Lu, T.; Fu, B.J.; Wang, S.; Holden, J. Sustainable city development challenged by extreme weather in a warming world. Geogr. Sustain. 2022, 3, 114–118. [Google Scholar] [CrossRef]
- Li, X.Y.; Huang, G.H.; Wang, S.G.; Zhang, X.Y.; Luo, B. Synergistic Management of Water, energy, and carbon: A case Study from Shandong Province, China. Appl. Energy 2025, 381, 125192. [Google Scholar] [CrossRef]
- Yang, Y.; Su, X.Y. Spatial correlation network structure of carbon emission reduction capacity on urban agglomerations and its driving factors: A perspective of Sustainable Development Goals. Sustain. Cities Soc. 2024, 113, 105646. [Google Scholar] [CrossRef]
- Wang, R.; Zhao, J.; Lin, Y.; Qin, B.; Chen, G.; Bao, L.; Long, X. Study on the response and prediction of SDGs based on different climate change scenarios: The case of the urban agglomeration in central Yunnan. Ecol. Indic. 2023, 156, 111076. [Google Scholar] [CrossRef]
- Zhu, L.; Wu, Z.; Huang, X. Exploring the relationship between ecosystem services and sustainable development goals in Guangdong province, China. Ecol. Indic. 2024, 169, 112907. [Google Scholar] [CrossRef]
- Zhang, J.; Fu, B.; Stafford-Smith, M.; Wang, S.; Zhao, W. Improve forest restoration initiatives to meet Sustainable Development Goal 15. Nat. Ecol. Evol. 2021, 5, 10–13. [Google Scholar] [CrossRef]
- Zuo, L.; Liu, G.; Zhao, J.; Li, J.; Zheng, S.; Su, X. Spatiotemporal heterogeneity management: Optimizing the critical role of ecosystem services in achieving Sustainable Development Goals. Geogr. Sustain. 2025, 6, 100211. [Google Scholar] [CrossRef]
- Cheng, K.; Yang, H.; Tao, S.; Su, Y.; Guan, H.; Ren, Y.; Hu, T.; Li, W.; Xu, G.; Chen, M.; et al. Carbon storage through China’s planted forest expansion. Nat. Commun. 2024, 15, 4106. [Google Scholar] [CrossRef]
- Shao, Z.; Sumari, N.S.; Portnov, A.; Ujoh, F.; Musakwa, W.; Mandela, P.J. Urban sprawl and its impact on sustainable urban development: A combination of remote sensing and social media data. Geo-Spat. Inf. Sci. 2021, 24, 241–255. [Google Scholar] [CrossRef]
- Liang, X.; Jin, X.; He, J.; Wang, X.; Xu, C.; Qiao, G.; Zhang, X.; Zhou, Y. Impacts of land management practice strategy on regional ecosystems: Enlightenment from ecological redline adjustment in Jiangsu, China. Land Use Policy 2022, 119, 106137. [Google Scholar] [CrossRef]
- Sangha, K.K.; Ahammad, R.; Russell-Smith, J.; Costanza, R. Payments for Ecosystem Services opportunities for emerging Nature-based Solutions: Integrating Indigenous perspectives from Australia. Ecosyst. Serv. 2024, 66, 101600. [Google Scholar] [CrossRef]
- Wu, X.; Fu, B.; Wang, S.; Song, S.; Li, Y.; Xu, Z.; Wei, Y.; Liu, J. Decoupling of SDGs followed by re-coupling as sustainable development progresses. Nat. Sustain. 2022, 5, 452–459. [Google Scholar] [CrossRef]
- Fang, J.; Xu, L.Y.; Lu, Q. Ecological security patterns of Chinese lakes based on ecosystem service values assessment and human threat factors evaluation. Ecol. Inform. 2024, 82, 102754. [Google Scholar] [CrossRef]
- Liu, Y.; Zhou, Y. Territory spatial planning and national governance system in China. Land Use Policy 2021, 102, 105288. [Google Scholar] [CrossRef]
- Underwood, E.C.; Hollander, A.D.; Safford, H.D.; Kim, J.B.; Srivastava, L.; Drapek, R.J. The impacts of climate change on ecosystem services in southern California. Ecosyst. Serv. 2019, 39, 101008. [Google Scholar] [CrossRef]
- Schröter, D.; Cramer, W.; Leemans, R.; Prentice, I.C.; Araújo, M.B.; Arnell, N.W.; Bondeau, A.; Bugmann, H.; Carter, T.R.; Gracia, C.A.; et al. Ecosystem service supply and vulnerability to global change in Europe. Science 2005, 310, 1333–1337. [Google Scholar] [CrossRef] [PubMed]
- Yang, Y.; Lu, Z.; Yang, M.; Yan, Y.; Wei, Y. Impact of land use changes on uncertainty in ecosystem services under different future scenarios: A case study of Zhang-Cheng area, China. J. Clean. Prod. 2024, 434, 139881. [Google Scholar] [CrossRef]
- Gu, Y.; Lin, N.; Ye, X.; Xu, M.; Qiu, J.; Zhang, K.; Zou, C.; Qiao, X.; Xu, D. Assessing the impacts of human disturbance on ecosystem services under multiple scenarios in karst areas of China: Insight from ecological conservation red lines effectiveness. Ecol. Indic. 2022, 142, 109202. [Google Scholar] [CrossRef]
- Wu, Y.; Tao, Y.; Yang, G.; Ou, W.; Pueppke, S.; Sun, X.; Chen, G.; Tao, Q. Impact of land use change on multiple ecosystem services in the rapidly urbanizing Kunshan City of China: Past trajectories and future projections. Land Use Policy 2019, 85, 419–427. [Google Scholar] [CrossRef]







| Categories | Name | Resolution | Year | Source |
|---|---|---|---|---|
| Land use | Land use/ land cover | 30 m | 2010 2020 | The team of Professors Yang Jie and Huang Xin at Wuhan University (http://doi.org/10.5281/zenodo.4417809) |
| Natural factors | DEM | 30 m | 2020 | Geospatial Data Cloud (http://www.gscloud.cn/ (accessed on 10 June 2025)) Calculation based on DEM |
| Aspect | ||||
| Slope | ||||
| Soil type | 1 km | 2020 | Resource and Environmental Science Data Center (https://www.resdc.cn (accessed on 10 June 2025)) | |
| Soil organic carbon | 250 m | |||
| Precipitation | 1 km | 2020 | Resource and Environmental Science Data Center (https://www.resdc.cn (accessed on 10 June 2025)) | |
| Temperature | ||||
| Evapotranspiration | ||||
| Socioeconomic factors | Population | 1 km | 2020 | Resource and Environmental Science Data Center (https://www.resdc.cn (accessed on 10 June 2025)) |
| GDP | ||||
| Nighttime light | 500 m | |||
| Location factors | Distance to railway | Vector data | 2020 | OpenStreetMap (https://www.openstreetmap.org/ (accessed on 10 June 2025)) |
| Distance to river | ||||
| Distance to residential area | ||||
| Distance to highway | ||||
| Distance to first-level road | ||||
| Distance to second-level road | ||||
| Distance to third-level road | ||||
| Ecological protection range | Ecological protection redline | Vector data | 2018 | Distribution figures in official document |
| Indicators | Carbon Storage (104 t) | Water Yield (108 m3) | Soil Conservation (t/km2) | Habitat Quality (Unitless) |
|---|---|---|---|---|
| 2010 | 11.44 | 88.82 | 4994.34 | 0.3204 |
| 2020 | 10.99 | 96.47 | 4997.52 | 0.2951 |
| 2030 BAUS | 10.49 | 99.87 | 5004.47 | 0.2848 |
| 2030 EPRS | 10.66 | 98.65 | 4998.00 | 0.2890 |
| 2030 CPS | 10.97 | 96.56 | 4980.25 | 0.2925 |
| 2030 EDS | 10.34 | 100.85 | 5004.09 | 0.2821 |
| Indicators | Carbon Storage (%) | Water Yield (%) | Soil Conservation (%) | Habitat Quality (%) |
|---|---|---|---|---|
| 2030 BAUS | −4.56 | 3.53 | 0.14 | −3.48 |
| 2030 EPRS | −3.00 | 2.26 | 0.01 | −2.07 |
| 2030 CPS | −0.16 | 0.10 | −0.35 | −0.88 |
| 2030 EDS | −5.86 | 4.54 | 0.13 | −4.39 |
Disclaimer/Publisher’s Note: The statements, opinions and data contained in all publications are solely those of the individual author(s) and contributor(s) and not of MDPI and/or the editor(s). MDPI and/or the editor(s) disclaim responsibility for any injury to people or property resulting from any ideas, methods, instructions or products referred to in the content. |
© 2025 by the authors. Licensee MDPI, Basel, Switzerland. This article is an open access article distributed under the terms and conditions of the Creative Commons Attribution (CC BY) license (https://creativecommons.org/licenses/by/4.0/).
Share and Cite
Pan, H.; Han, X.; Zhu, J.; Lv, L.; Wang, X. Incorporating Future Ecosystem Services to Assess the Progress of Sustainable Development Goals in Southern Jiangsu, China. Land 2025, 14, 2295. https://doi.org/10.3390/land14112295
Pan H, Han X, Zhu J, Lv L, Wang X. Incorporating Future Ecosystem Services to Assess the Progress of Sustainable Development Goals in Southern Jiangsu, China. Land. 2025; 14(11):2295. https://doi.org/10.3390/land14112295
Chicago/Turabian StylePan, Haiying, Xu Han, Junjun Zhu, Ligang Lv, and Xiaorui Wang. 2025. "Incorporating Future Ecosystem Services to Assess the Progress of Sustainable Development Goals in Southern Jiangsu, China" Land 14, no. 11: 2295. https://doi.org/10.3390/land14112295
APA StylePan, H., Han, X., Zhu, J., Lv, L., & Wang, X. (2025). Incorporating Future Ecosystem Services to Assess the Progress of Sustainable Development Goals in Southern Jiangsu, China. Land, 14(11), 2295. https://doi.org/10.3390/land14112295

