Fruit Tree-Based Agroforestry Systems for Smallholder Farmers in Northwest Vietnam—A Quantitative and Qualitative Assessment
Abstract
1. Introduction
2. Materials and Methods
2.1. Site Description
2.2. Field Experiment Design
2.3. Data Collection in the Field Trials
2.3.1. Tree Growth and Tree/Maize/Grass Yield Determination
2.3.2. Competition for Resources in the Longan–Maize–Forage Grass System
2.3.3. Land Equivalent Ratio
2.3.4. Profitability
2.4. Selection of Participants for Farmer Group Discussions
2.5. Statistical Analysis
3. Results
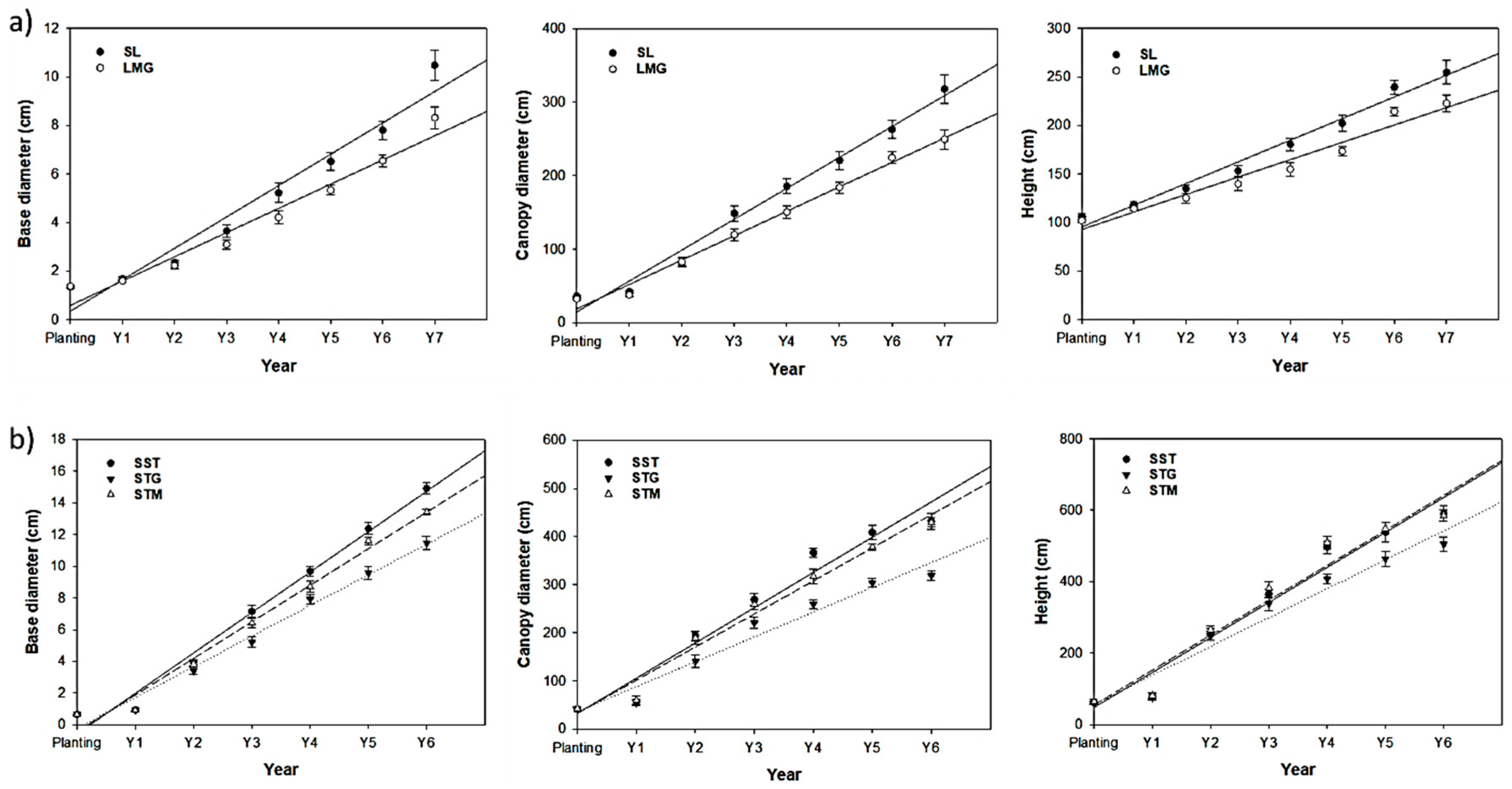
3.1. Tree Growth
3.2. Yield and Land Equivalent Ratio
3.3. Leaf Nitrogen Content and Competition in LMG
3.4. Profitability
3.5. Farmers’ Perceptions and Aspirations for Fruit Tree-Based Agroforestry
3.5.1. Tree and Crop Performance in Agroforestry
3.5.2. Benefits of the Agroforestry Systems
3.5.3. Constraints to Uptake of Agroforestry
3.5.4. Factors Enabling Expansion
4. Discussion
4.1. Effects of Competition for Resources on Tree and Crop Performance in Agroforestry and Ways to Improve the Systems
4.2. Productivity Benefits and Ecosystem Services of Agroforestry Systems
4.3. Economic Benefits of Agroforestry Systems and Possibilities for Improvement
5. Conclusions
Supplementary Materials
Author Contributions
Funding
Acknowledgments
Conflicts of Interest
References
- United Nations General Assembly. Transforming Our World: The 2030 Agenda for Sustainable Development, A/RES/70/1, New York. 2015. Available online: https://www.un.org/ga/search/view_doc.asp?symbol=A/RES/70/1=E (accessed on 10 June 2020).
- United Nations. Sustainable Development Goals: 17 Goals to Transform Our World. 2015. Available online: https://www.un.org/sustainabledevelopment/sustainable-development-goals/ (accessed on 27 October 2020).
- Catacutan, D.C.; Van Noordwijk, M.; Nguyen, T.H.; Öborn, I.; Mercado, A.R. Agroforestry: Contribution to Food Security and Climate-Change Adaptation and Mitigation in Southeast Asia. White Paper; World Agroforestry Centre (ICRAF): Bogor, Indonesia, 2017. [Google Scholar]
- Van Noordwijk, M.; Bayala, J.; Hairiah, K.; Lusiana, B.; Muthuri, C.; Khasanah, N.; Mulia, R. Agroforestry Solutions for Buffering Climate Variability and Adapting to Change. In Climate Change Impact and Adaptation in Agricultural Systems; Fuhrer, J., Gregory, P.J., Eds.; CABI Publishing: Wallingford, UK, 2014; pp. 216–232. [Google Scholar]
- Roshetko, J.M.; Mercado, A.R.; Martini, E.; Prameswari, D. Agroforestry in the Uplands of Southeast Asia. Policy Brief no. 77. Agroforestry Options for ASEAN Series no. 5; World Agroforestry (ICRAF) Southeast Asia Regional Program: Bogor, Indonesia, 2017; Available online: http://www.awg-sf.org/www2/wp-content/uploads/2017/12/ANNEX-10.-PB5-Upland-AF-in-SEA.pdf/ (accessed on 27 October 2020).
- Tacio, H.D. Sloping Agricultural Land Technology (SALT): A Sustainable Agroforestry Scheme for the Uplands. Agrofor. Syst. 1993, 22, 145–152. [Google Scholar] [CrossRef]
- Nair, P.R.; Nair, V.D.; Kumar, B.M.; Showalter, J.M. Carbon Sequestration in Agroforestry Systems. Adv. Agron. 2010, 108, 237–307. [Google Scholar] [CrossRef]
- Schreinemachers, P.; Holger, L.; Fröhlich, H.L.; Clemens, G.; Stahr, K. From Challenges to Sustainable Solutions for Upland Agriculture in Southeast Asia. In Sustainable Land Use and Rural Development in Southeast Asia: Innovations and Policies for Mountainous Areas; Fröhlich, H.L., Schreinemachers, P., Stahr, K., Clemens, G., Eds.; Springer: New York, NY, USA, 2013; pp. 3–23. [Google Scholar]
- Hoang, L.T.; Roshetko, J.M.; Huu, T.P.; Pagella, T.; Mai, P.N. Agroforestry—The Most Resilient Farming System for the Hilly Northwest of Vietnam. Int. J. Agric. Syst. 2017, 5, 1–23. [Google Scholar] [CrossRef]
- Zimmer, H.; Le Thi, H.; Lo, D.; Baynes, J.; Nichols, J.D. Why Do Farmers Still Grow Corn on Steep Slopes in Northwest Vietnam? Agrofor. Syst. 2017, 92, 1721–1735. [Google Scholar] [CrossRef]
- Staal, S.; Tran, D.T.; Nguyen, D.P.; Vu, D.H.; Nguyen, S.; Nguyen, T.T.L.; Nguyen, T.S.; Le, N.T.; Ngo, T.H.; Truong, Q.C.; et al. A Situational Analysis of Agricultural Production and Marketing, and Natural Resources Management Systems in Northwest Vietnam; International Livestock Research Institute for CGIAR Research Program: Kenya, Nairobi, 2014; Available online: http://humidtropics.cgiar.org/wp-content/uploads/downloads/2014/09/Situational-Analysis-NW-Vietnam-Report.pdf/ (accessed on 10 September 2020).
- Wezel, A.; Luibrand, A.; Thanh, L.Q. Temporal Changes of Resource Use, Soil Fertility and Economic Situation in Upland Northwest Vietnam. Land Degrad. Dev. 2002, 13, 33–44. [Google Scholar] [CrossRef]
- Clemens, G.; Fiedler, S.; Cong, N.D.; Van Dung, N.; Schuler, U.; Stahr, K. Soil Fertility Affected by Land Use History, Relief Position, and Parent Material Under a Tropical Climate in NW-Vietnam. Catena 2010, 81, 87–96. [Google Scholar] [CrossRef]
- Schmitter, P.; Dercon, G.; Hilger, T.; Le Ha, T.T.; Thanh, N.H.; Lam, N.; Vien, T.D.; Cadisch, G. Sediment Induced Soil Spatial Variation in Paddy Fields of Northwest Vietnam. Geoderma 2010, 155, 298–307. [Google Scholar] [CrossRef]
- Tuan, V.D.; Hilger, T.; Macdonald, L.; Clemens, G.; Shiraishi, E.; Vien, T.D.; Stahr, K.; Cadisch, G. Mitigation Potential of Soil Conservation in Maize Cropping on Steep Slopes. Field Crop. Res. 2014, 156, 91–102. [Google Scholar] [CrossRef]
- Do, H.; Luedeling, E.; Whitney, C. Decision Analysis of Agroforestry Options Reveals Adoption Risks for Resource-Poor Farmers. Agron. Sustain. Dev. 2020, 40, 1–12. [Google Scholar] [CrossRef]
- General Statistics Office of Vietnam. Statistical Yearbook of Dien Bien, Yen Bai and Son La province; General Statistics Office of Vietnam: Hanoi, Vietnam, 2018. [Google Scholar]
- Hoang, T.L.; Mamo, A.E. Son tra, the H’mong Apple; World Agroforestry (ICRAF): Ha Noi, Vietnam, 2015; Available online: http://blog.worldagroforestry.org/index.php/2015/07/01/son-tra-the-hmong-apple/ (accessed on 27 October 2020).
- Ministry of Agriculture and Rural Development. Decision No. 4961/QD-BNN-TCLN. Promulgating a List of Main Tree Species for Planting Production Forests and a List of Main Tree Species for Afforestation According to Forest Ecological Regions; Ministry of Agriculture and Rural Development: Hanoi, Vietnam, 2014; Available online: https://thuvienphapluat.vn/van-ban/tai-nguyen-moi-truong/Quyet-dinh-4961-QD-BNN-TCLN-2014-Danh-muc-cay-chu-luc-trong-rung-san-xuat-vung-sinh-thai-lam-nghiep-259936.aspx/ (accessed on 30 September 2020).
- Do, T.; Mulia, R. Constraints to Smallholder Tree Planting in the Northern Mountainous Regions of Vietam: A Need to Extend Technical Knowledge and Skills. Int. For. Rev. 2018, 20, 43–57. [Google Scholar] [CrossRef]
- Nguyen, M.P.; Mulia, R.; Nguyen, Q.T. Fruit Tree Agroforestry in Northwest Vietnam: Sample Cases of Current Practices and Benefits (A Report in Vietnamese Language); World Agroforestry (ICRAF): Ha Noi, Vietnam, 2020. [Google Scholar]
- TCVN 8941:2011. Soil Quality—Determination of Total Organic Carbon–Walkley Black Method. 2011. Available online: https://vanbanphapluat.co/tcvn-8941-2011-chat-luong-dat-cac-bon-huu-co-tong-so-phuong-phap-walkley-black#van-ban-goc/ (accessed on 11 September 2020).
- TCVN 6498:1999. Soil Quality—Determination of Total Nitrogen−Modified Kjeldahl Method. 1999. Available online: https://vanbanphapluat.co/tcvn-6498-1999-chat-luong-dat-xac-dinh-nito-tong-phuong-phap-kendan#van-ban-goc/ (accessed on 11 September 2020).
- TCVN 8940:2011. Soil Quality—Determination of Total Phosphorus–Colorimetry Method. 2011. Available online: https://vanbanphapluat.co/tcvn-8940-2011-chat-luong-dat-xac-dinh-phospho-tong-so-phuong-phap-so-mau#van-ban-goc/ (accessed on 11 September 2020).
- TCVN 8660:2011. Soil Quality—Method for Determination of Total Potassium. 2011. Available online: https://vanbanphapluat.co/tcvn-8660-2011-chat-luong-dat-phuong-phap-xac-dinh-kali-tong-so#van-ban-goc/ (accessed on 11 September 2020).
- TCVN 8942:2011. Soil Quality—Determination of Available Phosphorus—Bray and Kurtz (Bray II) Method. 2011. Available online: https://vanbanphapluat.co/tcvn-8942-2011-chat-luong-dat-xac-dinh-phospho-de-tieu-phuong-phap-bray-kurtz#van-ban-goc/ (accessed on 7 July 2020).
- Minolta. SPAD-502 Owner’s Manual; Industrial Meter Division, Minolta Corporation: Ramsey, NJ, USA, 1989. [Google Scholar]
- Wolfe, D.W.; Henderson, D.W.; Hsiao, T.C.; Alvino, A. Interactive Water and Nitrogen Effects on Senescence of Maize. II. Photosynthetic Decline and Longevity of Individual Leaves. Agron. J. 1998, 80, 865–870. [Google Scholar] [CrossRef]
- Argenta, G.; Da Silva, P.R.F.; Sangoi, L. Leaf Relative Chlorophyll Content as an Indicator Parameter to Predict Nitrogen Fertilization in Maize. Ciência Rural 2004, 34, 1379–1387. [Google Scholar] [CrossRef]
- Viana, M.C.M.; Da Silva, I.P.; Freire, F.M.; Ferreira, M.M.; Da Costa, É.L.; Mascarenhas, M.H.T.; Teixeira, M.F.F. Production and Nutrition of Irrigated Tanzania Guinea Grass in Response to Nitrogen Fertilization. Rev. Bras. Zootec. 2014, 43, 238–243. [Google Scholar] [CrossRef]
- Sritontip, C.; Khaosumain, Y.; Changjeraja, S. Different Nitrogen Concentrations Affecting Chlorophyll and Dry Matter Distribution in Sand-Cultured Longan Trees. Acta Hortic. 2014, 227–233. [Google Scholar] [CrossRef]
- Mead, R.; Willey, R.W. The Concept of a ‘Land Equivalent Ratio’ and Advantages in Yields from Intercropping. Exp. Agric. 1980, 16, 217–228. [Google Scholar] [CrossRef]
- Cook, B.G.; Pengelly, B.C.; Brown, S.D.; Donnelly, J.L.; Eagles, D.A.; Franco, M.A.; Hanson, J.; Mullen, B.F.; Partridge, I.J.; Peters, M.; et al. Tropical Forages: An Interactive Selection Tool; [CD-ROM]; CSIRO, DPI&F (Qld), CIAT, ILRI: Brisbane, Australia, 2005. [Google Scholar]
- Argel, P.J.; Miles, J.W.; Guiot García, J.D.; Cuadrado Capella, H.; Lascano, C.E. Cultivar Mulato II (Brachiaria hybrid CIAT 36087): A High-Quality Forage Grass, Resistant to Spittlebugs and Adapted to Well-Drained, Acid Tropical Soils; International Center for Tropical Agriculture (CIAT): Cali, Colombia, 2008; pp. 1–3. Available online: http://ciat-library.ciat.cgiar.org/Articulos_CIAT/mulato_ii_ingles.pdf/ (accessed on 25 March 2020).
- Aganga, A.A.; Tshwenyane, S. Potentials of Guinea Grass (Panicum maximum) as Forage Crop in Livestock Production. Pak. J. Nutr. 2004, 3, 1–4. [Google Scholar]
- Bacorro, T.J.; Reyes, P.M.; Loresco, M.M.; Angeles, A.A. Herbage Dry Matter Yield, Nutrient Composition and In Vitro Gas Production of Mulato II Mombasa Grasses at 30-and 45-Day Cutting Intervals. Philipp. J. Vet. Anim. Sci. 2018, 44, 86–89. [Google Scholar]
- Vietnamese Government. Decision No. 59/2015/QD-TTg. Promulgating Multiple Dimensional Poverty Levels Applicable during 2016-2020; Vietnamese Government: Hanoi, Vietnam, 2015. Available online: https://thuvienphapluat.vn/van-ban/Van-hoa-Xa-hoi/Decision-No-59-2015-QD-TTg-promulgating-multiple-dimensional-poverty-levels-applicable-301414.aspx/ (accessed on 9 September 2020).
- Malezieux, E.; Crozat, Y.; Dupraz, C.; Laurans, M.; Makowski, D.; Lafontaine, H.O.; Rapidel, B.; De Tourdonnet, S.; Valantin-Morison, M. Mixing Plant Species in Cropping Systems: Concepts, Tools and Models. A Review. Agron. Sustain. Dev. 2009, 29, 43–62. [Google Scholar] [CrossRef]
- Okorio, J.; Byenkya, S.; Wajja, N.; Peden, D. Comparative Performance of Seventeen Upperstorey Tree Species Associated With Crops in the Highlands of Uganda. Agrofor. Syst. 1994, 26, 185–203. [Google Scholar] [CrossRef]
- Bertomeu, M. Growth and Yield of Maize and Timber Trees in Smallholder Agroforestry Systems in Claveria, Northern Mindanao, Philippines. Agrofor. Syst. 2011, 84, 73–87. [Google Scholar] [CrossRef]
- Nyaga, J.; Muthuri, C.W.; Barrios, E.; Öborn, I.; Sinclair, F.L. Enhancing Maize Productivity in Agroforestry Systems Through Managing Competition: Lessons From Smallholders’ Farms, Rift Valley, Kenya. Agrofor. Syst. 2017, 93, 715–730. [Google Scholar] [CrossRef]
- Van Noordwijk, M.; Lawson, G.; Hairiah, K.; Wilson, J. Root Distribution of Trees and Crops: Competition and/or Complementarity. In Tree-Crop Interactions: Agroforestry in a Changing Climate, 2nd ed.; Ong, C.K., Black, C.R., Wilson., J., Eds.; CAB International: Wellington, UK, 2015; pp. 221–257. [Google Scholar]
- Livesley, S.J.; Gregory, P.; Buresh, R. Competition in Tree Row Agroforestry Systems. 1. Distribution and Dynamics of Fine Root Length and Biomass. Plant Soil 2000, 227, 149–161. [Google Scholar] [CrossRef]
- Chirko, C.P.; Gold, M.A.; Nguyen, P.; Jiang, J. Influence of Direction and Distance From Trees on Wheat Yield and Photosynthetic Photon Flux Density (Qp) in a Paulownia and Wheat Intercropping System. For. Ecol. Manag. 1996, 83, 171–180. [Google Scholar] [CrossRef]
- Tuan, V.D.; Hilger, T.; Vien, T.D.; Cadisch, G. Nitrogen Recovery and Downslope Translocation in Maize Hillside Cropping as Affected by Soil Conservation. Nutr. Cycl. Agroecosystems 2014, 101, 17–36. [Google Scholar] [CrossRef]
- Hung, V.; Hung, N. Effect of Pruning and Flower and Fruit Thinning on Growth, Yield and Quality of ‘PHM 99.1.1’ Late Longan in Hung Yen Province. In VI International Symposium on Lychee, Longan and Other Sapindaceae Fruits; Van Hau, T., Mitra, S.K., Drang Khanh, T., Eds.; Acta Hortic: Brussels, Belgium, 2019; pp. 143–148. [Google Scholar]
- Schaller, M.; Schroth, G.; Beer, J.; Jiménez, F.; Jiménez, F. Root Interactions Between Young Eucalyptus Deglupta Trees and Competitive Grass Species in Contour Strips. For. Ecol. Manag. 2003, 179, 429–440. [Google Scholar] [CrossRef]
- Rao, M.R.; Nair, P.K.R.; Ong, C.K. Biophysical Interactions in Tropical Agroforestry Systems. Agrofor. Syst. 1997, 38, 3–50. [Google Scholar] [CrossRef]
- Thevathasan, N.; Gordon, A. Ecology of Tree Intercropping Systems in the North Temperate Region: Experiences from Southern Ontario, Canada. Agrofor. Syst. 2004, 61, 257–268. [Google Scholar] [CrossRef]
- Xu, H.; Bi, H.; Gao, L.; Yun, L. Alley Cropping Increases Land Use Efficiency and Economic Profitability Across the Combination Cultivation Period. Agronomy 2019, 9, 34. [Google Scholar] [CrossRef]
- Bush, R.D.; Young, J.R.; Suon, S.; Ngim, M.S.; Windsor, P.A. Forage Growing as an Incentive to Improve Smallholder Beef Production in Cambodia. Anim. Prod. Sci. 2014, 54, 1620–1624. [Google Scholar] [CrossRef][Green Version]
- Birgitta, S.; Hanna, T. Impact of Agroforestry on Soil Loss Mitigation in the Sloping Land of Northwest Vietnam. Master’s Thesis, Swedish University of Agricultural Sciences, Uppsala, Sweeden, May 2020. [Google Scholar]
- Chai, Q.; Gan, Y.; Turner, N.C.; Zhang, R.-Z.; Yang, C.; Niu, Y.; Siddique, K.H. Water-Saving Innovations in Chinese Agriculture. Adv. Agron. 2014, 126, 149–201. [Google Scholar] [CrossRef]
- Vietnamese Government. Decision No. 800/2010/QD-TTg. Approving the National Target. Program. on Building a New Countryside During 2010-2020; Vietnamese Government: Hanoi, Vietnam, 2010. Available online: https://thukyluat.vn/vb/decision-no-800-qd-ttg-approving-the-national-target-program-on-building-1ad9a.html?hl=en#VanBanTA/ (accessed on 9 September 2020).
- Vietnamese Government. Decision No. 551/2013/QD-TTg. Approved the 135 Program. on Supporting Investment in Infrastructure, Production Development for Extremely Difficult Communes, Border Communes, Safety Zone Communes; Vietnamese Government: Hanoi, Vietnam, 2013. Available online: http://vanban.chinhphu.vn/portal/page/portal/chinhphu/hethongvanban?class_id=2&_page=1&mode=detail&document_id=166543/ (accessed on 9 September 2020).
- JICA. Data Collection Survey on the Needs for Agriculture Productivity Improvement in Northern Six Provinces; Japan International Cooperation Agency, Vietnam Ministry of Agriculture and Rural Development: Hanoi, Vietnam, 2016. Available online: https://openjicareport.jica.go.jp/pdf/12261343.pdf/ (accessed on 9 September 2020).
- FAO. Sustainable Forest Management (SFM) Toolbox; The Food and Agriculture Organisation of the United Nations: Rome, Italy, 2018; Available online: http://www.fao.org/sustainable-forest-management/toolbox/modules/agroforestry/basic-knowledge/en/ (accessed on 9 September 2020).
- La, N.; Catacutan, D.C.; Nguyen, M.P.; Do, V.H. Agroforestry for Livelihoods of Smallholder Farmers in Northwest. Vietnam—Final Report, Canberra ACT 2601; Australian Government, Australian Center for International Agricultural Research: Canberra, Australia, 2019; pp. 10–34. Available online: https://aciar.gov.au/publication/technical-publications/agroforestry-livelihoods-smallholder-farmers-northwest-Vietnam-final-report/ (accessed on 10 September 2020).
- Vietnamese Government. Decision No. 461/2018/QD-TTg. Approving the Scheme on the Development of 15,000 Cooperatives and Unions of Agricultural Cooperatives With Effective Operation up to 2020; Vietnamese Government: Hanoi, Vietnam, 2018. Available online: https://thuvienphapluat.vn/van-ban/Doanh-nghiep/Quyet-dinh-461-QD-TTg-2018-De-an-phat-trien-15000-hop-tac-xa-lien-hiep-hop-tac-xa-nong-nghiep-380877.aspx/ (accessed on 9 September 2020).











| Yield (Ton ha−1) | |||||||||
|---|---|---|---|---|---|---|---|---|---|
| Crop/Trees | Cropping System | 2012 | 2013 | 2014 | 2015 | 2016 | 2017 | 2018 | Mean |
| Maize | SM | 5.9 (±0.1) | 4.7 (±0.4) | 4.1 (±0.3) | 4.2 (±0.3) | 4.3 (±0.1) | 4.2 (±0.2) | 4.6 (±0.5) | 4.6 (±0.2) |
| LMG | 5.5 (±0.3) | 5.3 (±0.1) | 3.9 (±0.2) | 4.1 (±0.2) | 4.1 (±0.1) | 4.0 (±0.2) | 4.2 (±0.4) | 4.5 (±0.3) | |
| By cropping system | p-value = 0.33 | ||||||||
| Cropping system x year | p-value = 0.35 | ||||||||
| Longan | SL | 0.35 (±0.2) | 0.32 (±0.3) | 0.47 (±0.1) | 3.04 (±1.1)a | 1.04 (±0.7)a | |||
| LMG | 0.06 (±0.03) | 0.18 (±0.2) | 0.38 (±0.2) | 0.90 (±0.3)b | 0.30 (±0.1)b | ||||
| By cropping system | p-value = 0.02 | ||||||||
| Cropping system x year | p-value = 0.03 | ||||||||
| Guinea grass | LMG | 4.4 (±4.4) | 19.5 (±2.3) | 15.9 (±1.2) | 18.2 (±1.1) | 18 (±1.5) | 14.6 (±4.1) | 15 (±2.3) | |
| Son tra | SST | na | 0.6 (±0.4) | 5.6 (±4.1) | 2.1 (±1.6) | 8.7 (±7.6) | 4.2 (±1.8)a | ||
| STG | na | 0.2 (±0.1) | 1.8 (±0.8) | 0.2 (±0.2) | 1.8 (±1.3) | 1.0 (±0.5)b | |||
| STM | na | 0.2 (±0.1) | 0.9 (±0.4) | 0.5 (±0.4) | 4.7 (±3.4) | 1.6 (±1)ab | |||
| By cropping system | p-value = 0.03 | ||||||||
| Cropping system x year | p-value = 0.75 | ||||||||
| Guinea grass | STG | na | 67 (±26.3) | 61 (±11) | 55 (±6.3) | 56 (±2.9) | 67 (±5.9) | 61 (±2.6) | |
| Mulato grass | STM | na | 58 (±29) | 65 (±4) | 74 (±7.6) | 64 (±4.7) | 66 (±4) | 65 (±2.5) | |
| By cropping system | p-value = 0.62 | ||||||||
| Cropping system x year | p-value = 0.85 | ||||||||
| Maize Growth Stage | At Maturity | |||||||
|---|---|---|---|---|---|---|---|---|
| Cropping System | 3–4 Leaves | 6–7 Leaves | 10–11 Leaves | Silking | Cropping System | Dry Yield (Ton Ha−1) | ||
| SPAD | SM | 38.0 | 44.6a | 52.1a | 57.7a | Grain | SM | 4.6 |
| LMG | 38.5 | 41.3b | 47.8b | 54.3b | LMG | 4.2 | ||
| p-value | <0.001 | p-value | 0.25 | |||||
| Height (cm) | SM | 28.4 | 65.2 | 112.1a | 230.4a | Stover | SM | 5.6 |
| LMG | 26.9 | 61.4 | 96.3b | 218b | LMG | 4.9 | ||
| p-value | <0.001 | p-value | 0.09 | |||||
| Net Profit (USD ha−1) | ||||||||
|---|---|---|---|---|---|---|---|---|
| Cropping System | 2012 | 2013 | 2014 | 2015 | 2016 | 2017 | 2018 | Mean (±SE) |
| SM | 1118a | 611a | 388a | 246b | 233b | 196b | 190b | 425.9 (±118.9)b |
| SL | −2463c | −355b | −229b | 40b | −41b | 112b | 947ab | −284.4 (±336.8)c |
| LMG | −391b | 839a | 1550a | 1179a | 1380a | 1404a | 1168a | 1018.2 (±231.6)a |
| By cropping system | p-value < 0.001 | |||||||
| Cropping system x year | p-value < 0.001 | |||||||
| SST | na | −1422 | −290 | 42 | 2120 | 538 | 3238 | 704.5 (±632.4)b |
| STG | na | −1772 | 3297 | 2853 | 3069 | 2381 | 3570 | 2232.9 (±746.6)a |
| STM | na | −1772 | 2661 | 3018 | 4067 | 3147 | 4773 | 2648.7 (±857.1)a |
| By cropping system | p-value = 0.005 | |||||||
| Cropping system x year | p-value = 0.72 | |||||||
Publisher’s Note: MDPI stays neutral with regard to jurisdictional claims in published maps and institutional affiliations. |
© 2020 by the authors. Licensee MDPI, Basel, Switzerland. This article is an open access article distributed under the terms and conditions of the Creative Commons Attribution (CC BY) license (http://creativecommons.org/licenses/by/4.0/).
Share and Cite
Do, V.H.; La, N.; Mulia, R.; Bergkvist, G.; Dahlin, A.S.; Nguyen, V.T.; Pham, H.T.; Öborn, I. Fruit Tree-Based Agroforestry Systems for Smallholder Farmers in Northwest Vietnam—A Quantitative and Qualitative Assessment. Land 2020, 9, 451. https://doi.org/10.3390/land9110451
Do VH, La N, Mulia R, Bergkvist G, Dahlin AS, Nguyen VT, Pham HT, Öborn I. Fruit Tree-Based Agroforestry Systems for Smallholder Farmers in Northwest Vietnam—A Quantitative and Qualitative Assessment. Land. 2020; 9(11):451. https://doi.org/10.3390/land9110451
Chicago/Turabian StyleDo, Van Hung, Nguyen La, Rachmat Mulia, Göran Bergkvist, A. Sigrun Dahlin, Van Thach Nguyen, Huu Thuong Pham, and Ingrid Öborn. 2020. "Fruit Tree-Based Agroforestry Systems for Smallholder Farmers in Northwest Vietnam—A Quantitative and Qualitative Assessment" Land 9, no. 11: 451. https://doi.org/10.3390/land9110451
APA StyleDo, V. H., La, N., Mulia, R., Bergkvist, G., Dahlin, A. S., Nguyen, V. T., Pham, H. T., & Öborn, I. (2020). Fruit Tree-Based Agroforestry Systems for Smallholder Farmers in Northwest Vietnam—A Quantitative and Qualitative Assessment. Land, 9(11), 451. https://doi.org/10.3390/land9110451

