Public Green Infrastructure Contributes to City Livability: A Systematic Quantitative Review
Abstract
1. Introduction
2. Methods
2.1. Systematic Quantitative Literature Review
2.2. Data Analyses
3. Results
3.1. Research Effort
3.2. Geographic Distribution of Research
3.3. Reported Research Methods
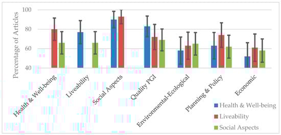
3.4. Focuses of Urban PGI and Livability Research
- Human health and wellbeing and the quality of PGI (r = 0.48; p = <0.0001).
- Livability and the planning and policy related to PGI spaces (r = 0.44; p = 0.0001).
- Human health and wellbeing in conjunction with urban livability (r = 0.37; p = 0.0014).
- Social aspects of PGI and economic factors (r = 0.32; p = 0.0071).
- Social aspects of PGI and the planning and policy related to PGI spaces (r = 0.25; p = 0.0335).
3.5. Contributors to Urban Livability
- Ease of access to the PGI space and walkability of the PGI space (r = 0.56; p = < 0.0001).
- Walkability of the PGI space and the presence of a tree canopy (r = 0.48; p = 0.0004).
- Presence of a tree canopy and presence of PGI spaces (r = 0.40; p = 0.0043).
- Presence of a tree canopy and ease of access to the PGI space (r = 0.40; p = 0.0043).
- Presence of PGI spaces and walkability of the PGI space (r = 0.38; p = 0.0063).
- Quality of PGI spaces and ease of access to the PGI space (r = 0.31; p = 0.0284).
3.6. Future PGI and Urban Livability Research
3.7. Outcomes of Supplementary Search
4. Synthesis
4.1. Quantitative Review Summary
4.2. PGI and Livability
4.3. Livability Ranking Scales
4.4. Knowledge Gaps and Future Research
- Measures to achieve greater consistency and consensus with respect to terminology, measurement methods, land management approaches, and policy development related to PGI and urban livability.
- Investigating the correlations in the rate of reporting of PGI attributes that contribute to urban livability to determine if there are real-world explanations for the patterns identified in the literature or if the correlations reported in this review arose from the discrepancy in the rate of research and/or reporting with respect to some PGI attributes.
- Replication of existing research to enhance research integrity, particularly with respect to broadly focused research that will identify quality markers of PGI assets and enhance the contribution that quality PGI spaces make to urban livability.
- Research to further elucidate why exercising within the natural environment requires lessened exertion when compared to exercising indoors.
- Enhanced understanding of how PGI assets can increase the resilience of urban centers in a cost effective and socially-centric way.
- Research regarding how access to quality PGI assets influences the quality of citizen life with respect to the concept of urban livability in developing and less developed nations.
- Determining what aspects of a local PGI space are important enough to surrounding residents that they are willing to contribute personal resources, such as time (volunteering) and financial donations to enhance the site.
5. Conclusions
Supplementary Materials
Author Contributions
Funding
Acknowledgments
Conflicts of Interest
References
- Wilson, E.O. Biophilia; Harvard University Press: Cambridge, MA, USA, 1984; ISBN 978-0-6740744-2-2. [Google Scholar]
- Beatley, T. Biophilic Cities: Integrating Nature into Urban Design and Planning; Island Press: Washington, DC, USA, 2011; ISBN 978-1-5972671-5-1. [Google Scholar]
- Miller, J.R. Biodiversity conservation and the extinction of experience. Trends Ecol. Evol. 2005, 20, 430–434. [Google Scholar] [CrossRef] [PubMed]
- Neuman, M. The compact city fallacy. J. Plan. Educ. Res. 2005, 25, 11–26. [Google Scholar] [CrossRef]
- Kopecká, M.; Szatmári, D.; Rosina, K. Analysis of urban green spaces based on Sentinel-2A: Case studies from Slovakia. Land 2017, 6, 25. [Google Scholar] [CrossRef]
- Cameron, R.W.; Blanuša, T.; Taylor, J.E.; Salisbury, A.; Halstead, A.J.; Henricot, B.; Thompson, K. The domestic garden—Its contribution to urban green infrastructure. Urban For. Urban Green. 2012, 11, 129–137. [Google Scholar] [CrossRef]
- Giap, T.K.; Thye, W.W.; Aw, G. A new approach to measuring the liveability of cities: The Global Liveable Cities Index. World Rev. Sci. Technol. Sustain. Dev. 2014, 11, 176–196. [Google Scholar] [CrossRef]
- Kondo, M.; Fluehr, J.; McKeon, T.; Branas, C. Urban Green Space and Its Impact on Human Health. Int. J. Environ. Res. Public Health 2018, 15, 445. [Google Scholar] [CrossRef] [PubMed]
- Roy, S.; Byrne, J.; Pickering, C. A systematic quantitative review of urban tree benefits, costs, and assessment methods across cities in different climatic zones. Urban For. Urban Green. 2012, 11, 351–363. [Google Scholar] [CrossRef]
- Swanwick, C.; Dunnett, N.; Woolley, H. Nature, role and value of green space in towns and cities: An overview. Built Environ. 2003, 29, 94–106. [Google Scholar] [CrossRef]
- Taylor, L.; Hochuli, D.F. Defining greenspace: Multiple uses across multiple disciplines. Landsc. Urban Plan. 2017, 158, 25–38. [Google Scholar] [CrossRef]
- Thompson, C.W. Urban open space in the 21st century. Landsc. Urban Plan. 2002, 60, 59–72. [Google Scholar] [CrossRef]
- Norton, B.A.; Coutts, A.M.; Livesley, S.J.; Harris, R.J.; Hunter, A.M.; Williams, N.S. Planning for cooler cities: A framework to prioritise green infrastructure to mitigate high temperatures in urban landscapes. Landsc. Urban Plan. 2015, 134, 127–138. [Google Scholar] [CrossRef]
- Unterweger, P.A.; Schrode, N.; Betz, O. Urban Nature: Perception and Acceptance of Alternative Green Space Management and the Change of Awareness after Provision of Environmental Information: A Chance for Biodiversity Protection. Urban Sci. 2017, 1, 24. [Google Scholar] [CrossRef]
- Conteh, F.M.; Oktay, D. Measuring liveability by exploring urban qualities of Kissy Street, Sierra Leone. Open House Int. 2016, 41, 23–30. [Google Scholar]
- Keniger, L.E.; Gaston, K.J.; Irvine, K.N.; Fuller, R.A. What are the benefits of interacting with nature? Int. J. Environ. Res. Public Health 2013, 10, 913–935. [Google Scholar] [CrossRef] [PubMed]
- Simpson, G.; Newsome, D. Environmental history of an urban wetland: From degraded colonial resource to nature conservation area. Geo Geogr. Environ. 2017, 4, E00030. [Google Scholar] [CrossRef]
- Balram, S.; Dragicevic, S. Attitudes toward urban green spaces: Integrating questionnaire survey and collaborituve GIS techniques to improve attitude measurements. Landsc. Urban Plan. 2005, 71, 147–162. [Google Scholar] [CrossRef]
- Bratman, G.N.; Hamilton, P.; Daily, G.C. The impacts of nature experience on human cognitive function and mental health. N. Y. Acad. Sci. 2012, 1249, 118–136. [Google Scholar] [CrossRef] [PubMed]
- Cattell, V.; Dines, N.; Gesler, W.; Curtis, S. Mingling, observing, and lingering: Everyday public spaces and their implications for well-being and social relations. Health Place 2008, 14, 544–561. [Google Scholar] [CrossRef]
- Grose, M.J. Changing relationships in public open space and private open space in suburbs in south-western Australia. Landsc. Urban Plan. 2009, 92, 53–63. [Google Scholar] [CrossRef]
- Hughes, M. Researching the links between parklands and health. In Wellness Tourism: A Destination Perspective; Voigt, C., Pforr, C., Eds.; Routledge: Abingdon, UK, 2014; pp. 147–160. ISBN 978-1-1-380820-0-7. [Google Scholar]
- Nasution, A.D.; Zahrah, W. Public Open Space and Quality of Life in Medan, Indonesia. Procedia Soc. Behav. Sci. 2014, 168, 219–228. [Google Scholar] [CrossRef]
- Patroni, J.; Day, A.; Lee, D.; Chan, J.K.L.; Kerr, D.; Newsome, D.; Simpson, G.D. Looking for evidence that place of residence influenced visitor attitudes to feeding wild dolphins. Tour. Hosp. Manag. 2018, 24, 87–105. [Google Scholar] [CrossRef]
- Van den Berg, A.E.; Hartig, T.; Staats, H. Preference for nature in urbanized societies: Stress, restoration, and the pursuit of sustainability. J. Soc. Issues 2007, 63, 79–96. [Google Scholar] [CrossRef]
- Jones, C.; Newsome, D. Perth (Australia) as one of the world’s most liveable cities: A perspective on society, sustainability and environment. Int. J. Tour. Cities 2015, 1, 18–35. [Google Scholar] [CrossRef]
- Newton, P.W. Liveable and sustainable? Socio-technical challenged for the twenty-first century cities. J. Urban Technol. 2012, 19, 81–102. [Google Scholar] [CrossRef]
- Okulicz-Kozaryn, A. City life: Rankings (liveability) versus perceptions (satisfaction). Soc. Indic. Res. 2011, 110, 433–451. [Google Scholar] [CrossRef]
- Simpson, G.; Parker, J. Data on Peer Reviewed Papers about Green Infrastructure, Urban Nature, and City Liveability. Data 2018, 3, 51. [Google Scholar] [CrossRef]
- Conger, B. SPP Research Paper No. 7-4: On Livability, Liveability and the Limited Utility of Quality-of-Life Rankings. Available online: https://papers.ssrn.com/sol3/papers.cfm?abstract_id=2614678## (accessed on 24 August 2018).
- The Value of Rankings and the Meaning of Livability. Available online: http://www.livablecities.org/blog/value-rankings-and-meaning-livability (accessed on 7 August 2018).
- Quality of Life Survey: Top 25 Cities. 2018. Available online: https://monocle.com/film/affairs/quality-of-life-survey-top-25-cities-2018/ (accessed on 18 November 2018).
- Tzoulas, K.; Korpela, K.; Venn, S.; Yli-Pelkonen, V.; Kázmierczak, A.; Niemela, J.; James, P. Promoting ecosystem and human health in urban areas using Green Infrastructure: A literature review. Landsc. Urban Plan. 2007, 81, 167–178. [Google Scholar] [CrossRef]
- Parker, J. A Survey of Park User Perception in the Context of Green Space and City Liveability: Lake Claremont, Western Australia. Master’s Thesis, Murdoch University, Perth, Australia, 2017. Available online: http://researchrepository.murdoch.edu.au/id/eprint/40856/ (accessed on 8 October 2018).
- Parker, J.; Simpson, G. Visitor satisfaction with a public green infrastructure and urban nature space in Perth, western Australia. Land 2018, 7, 159–176. [Google Scholar] [CrossRef]
- Simpson, G.; Parker, J. Data for an Importance-Performance Analysis (IPA) of a public green infrastructure and urban nature space in Perth, western Australia. Data 2018, 7, 69–78. [Google Scholar] [CrossRef]
- Pickering, C.M.; Byrne, J. The benefits of publishing systematic quantitative literature reviews for PhD candidates and other early career researchers. High. Educ. Res. Dev. 2013, 33, 534–548. [Google Scholar] [CrossRef]
- Moher, D.; Liberati, A.; Tetzlaff, J.; Altman, D.G. Preferred reporting items for systematic reviews and meta-analyses: The PRISMA statement. PLoS Med. 2009, 6. [Google Scholar] [CrossRef] [PubMed]
- Berenson, M.L.; Levine, D.M.; Krehbiel, T.C. Basic Business Statistics: Concepts and Applications: International Edition, 10th ed.; Pearson Prentice Hall: Upper Saddle River, NJ, USA, 2006; p. 273. ISBN 978-0131536869. [Google Scholar]
- Cumming, G.; Fidler, F.; Vaux, D.L. Error bars in experimental biology. J. Cell Biol. 2007, 177, 7–11. [Google Scholar] [CrossRef] [PubMed]
- Berenson, M.L.; Levine, D.M.; Krehbiel, T.C. Basic Business Statistics: Concepts and Applications: International Edition, 10th ed.; Pearson Prentice Hall: Upper Saddle River, NJ, USA, 2006; pp. 454–474. ISBN 978-0131536869. [Google Scholar]
- Bishara, A.J.; Hittner, J.B. Testing the significance of a correlation with nonnormal data: Comparison of Pearson, Spearman, transformation, and resampling approaches. Psychol. Methods 2012, 17, 399–417. [Google Scholar] [CrossRef] [PubMed]
- Havlicek, L.L.; Peterson, N.L. Robustness of the Pearson Correlation against Violations of Assumptions. Percept. Motor Skills 1976, 43, 1319–1334. [Google Scholar] [CrossRef]
- Rodrıguez, G.; Elo, I. Intra-class correlation in random-effects models for binary data. Stata J. 2003, 3, 32–46. [Google Scholar] [CrossRef]
- Demirtas, H.; Amatya, A.; Doganay, B. BinNor: An R package for concurrent generation of binary and normal data. Commun. Stat.-Simul. Comput. 2014, 43, 569–579. [Google Scholar] [CrossRef]
- Edwards, A.L. Statistical Methods for the Behavioral Sciences; Holt, Rinehart and Winston: New York, NY, USA, 1962; pp. 301–304. [Google Scholar]
- Berenson, M.L.; Levine, D.M.; Krehbiel, T.C. Basic Business Statistics: Concepts and Applications: International Edition, 10th ed.; Pearson Prentice Hall: Upper Saddle River, NJ, USA, 2006; pp. 266, 546–547. ISBN 978-0131536869. [Google Scholar]
- Antognelli, S.; Vizzari, M. Landscape liveability spatial assessment integrating ecosystem and urban services with their perceived importance by stakeholders. Ecol. Indic. 2017, 72, 703–725. [Google Scholar] [CrossRef]
- Appiah-Opoku, S. Using protected areas as a tool for biodiversity conservation and ecotourism: A case study of Kakum National Park in Ghana. Soc. Nat. Resour. 2011, 24, 500–510. [Google Scholar] [CrossRef]
- Balding, M.; Williams, K.J. Plant blindness and the implications for plant conservation. Conserv. Biol. 2016, 30, 1192–1199. [Google Scholar] [CrossRef]
- Barth, B.J.; FitzGibbon, S.I.; Wilson, R.S. New urban developments that retain more remnant trees have greater bird diversity. Landsc. Urban Plan. 2015, 136, 122–129. [Google Scholar] [CrossRef]
- Battisti, C. Experiential key species for the nature-disconnected generation. Anim. Conserv. 2016, 19, 485–487. [Google Scholar] [CrossRef]
- Bennett, N.J. Using perceptions as evidence to improve conservation and environmental management. Conserv. Biol. 2016, 30, 582–592. [Google Scholar] [CrossRef] [PubMed]
- Čavić, L.; Beirão, J.N. Open Public Space Attributes and Categories—Complexity and Measurability. Arhit. Raziskave 2014, 2, 15–24. [Google Scholar]
- Chen, B.; Adimo, O.A.; Bao, Z. Assessment of aesthetic quality and multiple functions of urban green space from the users’ perspective: The case of Hangzhou Flower Garden, China. Landsc. Urban Plan. 2009, 93, 76–82. [Google Scholar] [CrossRef]
- Chiesura, A. The role of urban parks for the sustainable city. Landsc. Urban Plan. 2004, 68, 129–138. [Google Scholar] [CrossRef]
- Crawford, D.; Timperio, A.; Giles-Corti, B.; Ball, K.; Hume, C.; Roberts, R.; Andrianopoulos, N.; Salmon, J. Do features of public open spaces vary according to neighbourhood socio-economic status? Health and Place 2008, 14, 889–893. [Google Scholar] [CrossRef]
- Dale, P.E.R.; Connelly, R. Wetlands and human health: An overview. Wetl. Ecol. Manag. 2012, 20, 165–171. [Google Scholar] [CrossRef]
- Dallimer, M.; Irvine, K.N.; Skinner, A.M.; Davies, Z.G.; Rouquette, J.R.; Maltby, L.L.; Warren, P.H.; Armsworth, P.R.; Gaston, K.J. Biodiversity and the feel-good factor: Understanding associations between self-reported human well-being and species richness. BioScience 2012, 62, 47–55. [Google Scholar] [CrossRef]
- De Lange, E.; Woodhouse, E.; Milner-Gulland, E.J. Approaches used to evaluate the social impacts of protected areas. Conserv. Lett. 2016, 9, 327–333. [Google Scholar] [CrossRef]
- De Riddera, K.; Adamecb, V.; Bañuelosc, A.; Brused, M.; Bürgerd, M.; Damsgaarde, O.; Dufekb, J.; Hirschf, J.; Lefebrea, F.; Pérez-Lacorzanac, J.M.; et al. An integrated methodology to assess the benefits of urban green space. Sci. Total Environ. 2004, 334–335, 489–497. [Google Scholar] [CrossRef]
- Dietsch, A.M.; Teel, T.L.; Manfredo, M.J. Social values and biodiversity conservation in a dynamic world. Conserv. Biol. 2016, 30, 1212–1221. [Google Scholar] [CrossRef]
- Do, Y.; Kim, S.B.; Kim, J.Y.; Joo, G.J. Wetland-based tourism in South Korea: Who, When, and Why. Wetl. Ecol. Manag. 2015, 23, 779–787. [Google Scholar] [CrossRef]
- Edwards, N.; Hooper, P.; Trapp, G.S.; Bull, F.; Boruff, B.; Giles-Corti, B. Development of a public open space desktop auditing tool (POSDAT): A remote sensing approach. Appl. Geogr. 2013, 38, 22–30. [Google Scholar] [CrossRef]
- Francis, J.; Giles-Corti, B.; Wood, L.; Knuiman, M. Creating sense of community: The role of public space. J. Environ. Psychol. 2012, 32, 401–409. [Google Scholar] [CrossRef]
- Francis, J.; Wood, L.J.; Knuiman, M.; Giles-Corti, B. Quality or quantity? Exploring the relationship between Public Open Space attributes and mental health in Perth, Western Australia. Soc. Sci. Med. 2012, 74, 1570–1577. [Google Scholar] [CrossRef] [PubMed]
- Gelissen, J. Explaining popular support for environmental protection: A multilevel analysis of 50 nations. Environ. Behav. 2007, 39, 392–415. [Google Scholar] [CrossRef]
- Giles-Corti, B.; Broomhall, M.H.; Knuiman, M.; Collins, C.; Douglas, K.; Ng, K.; Lange, A.; Donovan, R.J. Increasing walking: How important is distance to attractiveness, and size of public open space? Am. J. Prev. Med. 2005, 28, 169–176. [Google Scholar] [CrossRef]
- Hagerman, C. Shaping neighborhoods and nature: Urban political ecologies of urban waterfront transformations in Portland, Oregon. Cities 2007, 24, 285–297. [Google Scholar] [CrossRef]
- Hartig, T.; Evans, G.W.; Jamner, L.D.; Davis, D.S.; Gärling, T. Tracking restoration in natural and urban field settings. J. Environ. Psychol. 2003, 23, 109–123. [Google Scholar] [CrossRef]
- Hausmann, A.; Slotow, R.O.B.; Burns, J.K.; Di Minin, E. The ecosystem service of sense of place: Benefits for human well-being and biodiversity conservation. Environ. Conserv. 2016, 43, 117–127. [Google Scholar] [CrossRef]
- Hillsdon, M.; Panter, J.; Foster, C.; Jones, A. The relationship between access and quality of urban green space with population physical activity. Public Health 2006, 120, 1127–1132. [Google Scholar] [CrossRef] [PubMed]
- Hock Teck, L.H.; Chin Siong, H.; Ali, H.M.; Tu, F. Do institutions matter in neighbourhood commons governance? A two-stage relationship between diverse property-rights structure and residential public open space (POS) quality: Kota Kinabalu and Penampang, Sabah, Malaysia. Int. J. Commons 2016, 10, 294–333. [Google Scholar] [CrossRef]
- Horan, E.; Craven, J.; Goulding, R. Sustainable urban development and liveability. How can Melbourne retain its title as the world’s most liveable city and strive for sustainability at the same time? Eur. J. Sustain. Dev. 2014, 3, 61–70. [Google Scholar] [CrossRef]
- Howley, P.; Scott, M.; Redmond, D. Sustainability versus liveability: An investigation of neighbourhood satisfaction. J. Environ. Plan. Manag. 2009, 52, 847–864. [Google Scholar] [CrossRef]
- Ikin, K.; Le Roux, D.S.; Rayner, L.; Villaseñor, N.R.; Eyles, K.; Gibbons, P.; Manning, A.D.; Lindenmayer, D.B. Key lessons for achieving biodiversity-sensitive cities and towns. Ecol. Manag. Restor. 2015, 16, 206–214. [Google Scholar] [CrossRef]
- Irvine, K.N.; Devine-Wright, P.; Payne, S.R.; Fuller, R.A.; Painter, B.; Gaston, K.J. Green space, soundscape and urban sustainability: An interdisciplinary, empirical study. Local Environ. 2009, 14, 155–172. [Google Scholar] [CrossRef]
- Kaźmierczak, A. The contribution of local parks to neighbourhood social ties. Landsc. Urban Plan. 2013, 109, 31–44. [Google Scholar] [CrossRef]
- Kurniawati, W. Public space for marginal people. Procedia-Soc. Behav. Sci. 2012, 36, 476–484. [Google Scholar] [CrossRef]
- Malek, N.A.; Mariapan, M.; Ab Rahman, N.I.A. Community participation in quality assessment for green open spaces in Malaysia. Procedia-Soc. Behav. Sci. 2015, 168, 219–228. [Google Scholar] [CrossRef]
- Manfredo, M.J.; Teel, T.L.; Dietsch, A.M. Implications of human value shift and persistence for biodiversity conservation. Conserv. Biol. 2016, 30, 287–296. [Google Scholar] [CrossRef]
- Massey, D. Liveable town and cities: Approaches for planners. Town Plan. Rev. 2005, 76, 1–6. [Google Scholar] [CrossRef]
- Nasution, A.D.; Zahrah, W. Public open space privatization and quality of life, case study Merdeka Square Medan. Procedia-Soc. Behav. Sci. 2012, 36, 466–475. [Google Scholar] [CrossRef]
- Revell, G.; Anda, M. Sustainable urban biophilia: The case of greenskins for urban density. Sustainability 2014, 6, 5423–5438. [Google Scholar] [CrossRef]
- Schipperijn, J.; Ekholmb, O.; Stigsdottera, U.K.; Toftagerb, M.; Bentsena, P.; Kamper-Jørgensenb, F.; Randrupa, T.B. Factors influencing the use of green space: Results from a Danish national representative survey. Landsc. Urban Plan. 2009, 95, 130–137. [Google Scholar] [CrossRef]
- Schneider, J.; Lorencová, H. Recreational activities, practices and attitudes of visitors to the protected landscape areas as a basis for resolving conflicts of recreation and nature protection. Acta Univ. Agric. Silvic. Mendel. Brun. 2015, 63, 1555–1564. [Google Scholar] [CrossRef]
- Shackleton, S.; Chinyimba, A.; Hebinck, P.; Shackleton, C.; Kaoma, H. Multiple benefits and values of trees in urban landscapes in two towns in northern South Africa. Landsc. Urban Plan. 2015, 136, 76–86. [Google Scholar] [CrossRef]
- Shamsuddin, S.; Hassan, N.R.A.; Bilyamin, S.F.I. Walkable environment in increasing the liveability of a city. Procedia-Soc. Behav. Sci. 2012, 50, 167–178. [Google Scholar] [CrossRef]
- Shanahan, D.F.; Lin, B.B.; Bush, R.; Gaston, K.J.; Dean, J.H.; Barber, E.; Fuller, R.A. Toward improved public health outcomes from urban nature. Am. J. Public Health 2015, 105, 470–477. [Google Scholar] [CrossRef]
- Shanahan, D.F.; Lin, B.B.; Gaston, K.J.; Bush, R.; Fuller, R.A. What is the role of trees and remnant vegetation in attracting people to urban parks? Landsc. Ecol. 2015, 30, 153–165. [Google Scholar] [CrossRef]
- Soga, M.; Yamaura, Y.; Aikoh, T.; Shoji, Y.; Kubo, T.; Gaston, K.J. Reducing the extinction of experience: Association between urban form and recreational use of public greenspace. Landsc. Urban Plan. 2015, 143, 69–75. [Google Scholar] [CrossRef]
- Staats, H.; Kieviet, A.; Hartig, T. Where to recover from attentional fatigue: An expectancy-value analysis of environmental preference. J. Environ. Psychol. 2003, 23, 147–157. [Google Scholar] [CrossRef]
- Stanley, M.C.; Beggs, J.R.; Bassett, I.E.; Burns, B.R.; Dirks, K.N.; Jones, D.N.; Linklater, W.L.; Macinnis-Ng, C.; Simcock, R.; Trowsdale, S.A.; et al. Emerging threats in urban ecosystems: A horizon scanning exercise. Front. Ecol. Environ. 2015, 13, 553–560. [Google Scholar] [CrossRef]
- Sugiyama, T.; Gunn, L.D.; Christian, H.; Francis, J.; Foster, S.; Hooper, P.; Owen, N.; Giles-Corti, B. Quality of public open spaces and recreational walking. Am. J. Public Health 2015, 105, 2490–2495. [Google Scholar] [CrossRef] [PubMed]
- Sushinsky, J.R.; Rhodes, J.R.; Possingham, H.P.; Gill, T.K.; Fuller, R.A. How should we grow cities to minimize their biodiversity impacts? Global Chang. Biol. 2012, 19, 401–410. [Google Scholar] [CrossRef] [PubMed]
- Taylor, B.T.; Fernando, P.; Bauman, A.E.; Williamson, A.; Craig, J.C.; Redman, S. Measuring the quality of public open space using Google Earth. Am. J. Prev. Med. 2011, 40, 105–112. [Google Scholar] [CrossRef] [PubMed]
- Tonge, J.; Moore, S.A. Importance-satisfaction analysis for marine-park hinterlands: A Western Australian case study. Tour. Manag. 2007, 28, 768–776. [Google Scholar] [CrossRef]
- Turner, W.R.; Nakamura, T.; Dinetti, M. Global urbanization and the separation of humans from nature. BioScience 2004, 54, 585–590. [Google Scholar] [CrossRef]
- Van Herzele, A.; Wiedemann, T. A monitoring tool for the provision of accessible and attractive urban green spaces. Landsc. Urban Plan. 2003, 63, 109–126. [Google Scholar] [CrossRef]
- Villanueva, K.; Badland, H.; Hooper, P.; Koohsari, M.J.; Mavoa, S.; Davern, M.; Roberts, R.; Goldfeld, S.; Giles-Corti, B. Developing indicators of public open space to promote health and wellbeing in communities. Appl. Geogr. 2015, 57, 112–119. [Google Scholar] [CrossRef]
- Wetzstein, S. Perceptions of Urban Elites on Four Australasian Cities: How Does Perth Compare? Committee for Perth, University of Western Australia: Perth, Australia, 2010; pp. 1–17. [Google Scholar]
- Zhang, W. Research on how to Improve the Liveability of City Community. Appl. Mech. Mater. 2012, 174–177, 3503–3506. [Google Scholar] [CrossRef]
- Allen, N. Understanding the importance of urban amenities: A case study from Auckland. Buildings 2015, 5, 85–99. [Google Scholar] [CrossRef]
- Child, S.T.; McKenzie, T.L.; Arrendondo, E.M.; Elder, J.P.; Martinez, S.M.; Ayala, G.X. Associations between park facilities, user demographics, and physical activity levels at San Diego County parks. J. Park Recreat. Adm. 2014, 2014 32, 68–81. [Google Scholar]
- Lin, B.B.; Fuller, R.A.; Bush, R.; Gatson, K.J.; Shanahan, D.F. Opportunity or orientation? Who uses urban parks and why. PLoS ONE 2014, 9. [Google Scholar] [CrossRef] [PubMed]
- Johnson, A.J.; Glover, T.D. Understanding urban public space in a leisure context. Leis. Sci. 2013, 35, 190–197. [Google Scholar] [CrossRef]
- Matsuoka, R.H.; Kaplin, R. People needs in the urban landscape: Analysis of landscape and urban planning contributions. Landsc. Urban Plan. 2008, 84, 7–19. [Google Scholar] [CrossRef]
- Cracknell, D.; White, M.P.; Pahl, S.; Nichols, W.J.; Depledge, M.H. Marine biota and psychological well-being: A preliminary examination of dose-response effects in an aquarium setting. Environ. Behav. 2016, 48, 1242–1269. [Google Scholar] [CrossRef] [PubMed]
- Davern, M.; Farrar, A.; Kendal, D.; Giles-Corti, B. Quality Green Space Supporting Health, Wellbeing and Biodiversity: A Literature Review; National Heart Foundation of Australia: Adelaide, Australia, 2017; pp. 1–39. ISBN 978-0-9872841-7-4. [Google Scholar]
- Gladwell, V.F.; Brown, D.K.; Wood, C.; Sandercock, G.R.; Barton, J.L. The great outdoors: How a green exercise environment can benefit all. Extreme Physiol. Med. 2013, 2, 1–7. [Google Scholar] [CrossRef] [PubMed]
- Li, Q.T.; Otsuka, M.; Kobayashi, Y.; Wakayama, H.; Inagaki, M.; Katsumata, Y.; Hirata, Y.; Li, Y.; Hirata, K.; Shimizu, T.; et al. Acute effects of walking in forest environments on cardiovascular and metabolic parameters. Eur. J. Appl. Physiol. 2011, 111, 2845–2853. [Google Scholar] [CrossRef] [PubMed]
- Rupprecht, C. Informal urban green space: Residents’ perception, use, and management preferences across four major Japanese shrinking cities. Land 2017, 6, 59. [Google Scholar] [CrossRef]
- Specht, R.L. Vegetation. In The Australian Environment, 4th ed.; Leeper, G.W., Ed.; CSIRO-Melbourne University Press: Melbourne, Australia, 1970; pp. 44–67. [Google Scholar]
- Onnom, W.; Tripathi, N.; Nitivattananon, V.; Ninsawat, S. Development of a liveability city index (LCI) using multi criteria geospatial modelling for medium class cities in developing countries. Sustainability 2018, 10, 520–539. [Google Scholar] [CrossRef]











| Primary Search Terms | Secondary Search Terms |
|---|---|
| “public green infrastructure” “public open space” POS “urban open space” “green space” “urban nature” park wetland | livability/liveability “city livability/liveability” “user satisfaction” “visitor satisfaction” |
| Study | GIS (n = 27) | Qualitative (n = 65) | Quantitative (n = 52) | PNT (n = 30) |
|---|---|---|---|---|
| Antognelli & Vizzari, [48] | ✓ | ✓ | ✓ | ✓ |
| Appiah-Opoku [49] | ✓ | ✓ | ✓ | |
| Balding & Williams [50] | ✓ | ✓ | ✓ | |
| Balram & Dragićevic [18] | ✓ | ✓ | ✓ | ✓ |
| Barth et al. [51] | ✓ | |||
| Battisti [52] | ✓ | ✓ | ||
| Bennett [53] | ✓ | |||
| Bratman et al. [19] | ✓ | ✓ | ||
| Cattell et al. [20] | ✓ | |||
| Čavić & Beirão [54] | ✓ | ✓ | ✓ | |
| Chen et al. [55] | ✓ | ✓ | ||
| Chiesura [56] | ✓ | ✓ | ||
| Conteh & Oktay [15] | ✓ | ✓ | ||
| Crawford et al. [57] | ✓ | ✓ | ✓ | |
| Dale & Connelly [58] | ✓ | ✓ | ✓ | |
| Dallimer et al. [59] | ✓ | |||
| de Lange et al. [60] | ✓ | ✓ | ||
| De Riddera et al. [61] | ✓ | ✓ | ✓ | |
| Dietsch et al. [62] | ✓ | |||
| Do et al. [63] | ✓ | ✓ | ||
| Edwards et al. [64] | ✓ | ✓ | ✓ | |
| Francis et al. [65] | ✓ | ✓ | ✓ | |
| Francis et al. [66] | ✓ | ✓ | ✓ | ✓ |
| Gelissen [67] | ✓ | ✓ | ||
| Giap et al. [7] | ✓ | ✓ | ✓ | ✓ |
| Giles-Corti et al. [68] | ✓ | ✓ | ✓ | ✓ |
| Grose [21] | ✓ | ✓ | ✓ | ✓ |
| Hagerman [69] | ✓ | |||
| Hartig et al. [70] | ✓ | |||
| Hausmann et al. [71] | ✓ | ✓ | ||
| Hillsdon et al. [72] | ✓ | ✓ | ✓ | |
| Hock Teck et al. [73] | ✓ | ✓ | ||
| Horan et al. [74] | ✓ | ✓ | ✓ | |
| Howley et al. [75] | ✓ | ✓ | ||
| Hughes [22] | ✓ | |||
| Ikin et al. [76] | ✓ | ✓ | ||
| Irvine et al. [77] | ✓ | ✓ | ||
| Jones & Newsome [26] | ✓ | ✓ | ✓ | |
| Kaźmierczak [78] | ✓ | ✓ | ||
| Keniger et al. [16] | ✓ | ✓ | ||
| Kurniawati [79] | ✓ | ✓ | ||
| Malek et al. [80] | ✓ | ✓ | ||
| Manfredo et al. [81] | ✓ | ✓ | ||
| Massey [82] | ✓ | ✓ | ||
| Nasution & Zahrah [83] | ✓ | |||
| Nasution & Zahrah [23] | ✓ | |||
| Newton [27] | ✓ | ✓ | ✓ | |
| Okulicz-Kozaryn [28] | ✓ | ✓ | ||
| Revell & Anda [84] | ✓ | |||
| Schipperijn et al. [85] | ✓ | ✓ | ✓ | |
| Schneider & Lorencová [86] | ✓ | ✓ | ||
| Shackleton et al. [87] | ✓ | ✓ | ||
| Shamsuddin et al. [88] | ✓ | ✓ | ||
| Shanahan et al. [89] | ✓ | ✓ | ✓ | ✓ |
| Shanahan et al. [90] | ✓ | ✓ | ✓ | |
| Simpson & Newsome [17] | ✓ | |||
| Soga et al. [91] | ✓ | ✓ | ✓ | |
| Staats et al. [92] | ✓ | ✓ | ||
| Stanley et al. [93] | ✓ | ✓ | ✓ | |
| Sugiyama et al. [94] | ✓ | ✓ | ✓ | |
| Sushinsky et al. [95] | ✓ | ✓ | ✓ | ✓ |
| Taylor et al. [96] | ✓ | ✓ | ✓ | ✓ |
| Thompson [12] | ✓ | ✓ | ✓ | ✓ |
| Tonge & Moore [97] | ✓ | ✓ | ✓ | |
| Turner et al. [98] | ✓ | ✓ | ✓ | |
| Tzoulas et al. [33] | ✓ | ✓ | ✓ | |
| van den Berg et al. [25] | ✓ | ✓ | ✓ | |
| Van Herzele & Wiedemann [99] | ✓ | ✓ | ✓ | ✓ |
| Villanueva et al. [100] | ✓ | ✓ | ✓ | ✓ |
| Wetzstein [101] | ✓ | ✓ | ||
| Zhang [102] | ✓ |
| GIS | Qualitative | Quantitative | Proposed New Tool |
|---|---|---|---|
| Various spatial analyses (28 studies) | Audit (1 study) Case Study (1 study) Experiment (1 study) Focus Group(s) (5 studies) Interviews (8 studies) Import.-Performance Analysis (1 study) Modelling (1 study) Observation (3 studies) Physical Response (1 study) Review Article (26 studies) Survey (20 studies) | Audit (1 study) Experiment (1 study) Focus Group(s) (2 studies) Interviews (1 study) Import.-Performance Analysis (1 study) Modelling (2 studies) Observation (17 studies) Physical Response (1 study) Review Article (15 studies) Survey (13 studies) | New tool for PGI measurement or monitoring (13 studies) Improvement in understanding of PGI attributes or PGI user behaviors (13 studies) Improvement to existing livability measurement or monitoring tool (3 studies) Improvement to existing PGI measurement or monitoring tool (3 studies) |
| Primary Indicators of Livability | Research Focus Areas | ||||||
|---|---|---|---|---|---|---|---|
| Health/Wellbeing | Livability | Social Aspects | Quality PGI | Environ./Ecological | Planning/Policy | Economic | |
| Health/Wellbeing Focus | NA | 77 | 90 | 83 | 58 | 63 | 52 |
| Livability Focus | 80 | NA | 93 | 72 | 63 | 74 | 61 |
| Social Aspects Focus | 66 | 66 | NA | 69 | 65 | 62 | 58 |
| Health/Wellbeing | Livability | Social Aspects | Quality PGI | Environ./Ecological | Planning/Policy | Economic | |
|---|---|---|---|---|---|---|---|
| Health/Wellbeing | 0.0014 | 0.3968 | < 0.0001* | 0.3688 | 0.2476 | 0.9944 | |
| Livability | 0.37* | 0.4352 | 0.3196 | 0.8042 | 0.0001* | 0.0459 | |
| Social Aspects | -0.10 | 0.09 | 0.3426 | 0.1348 | 0.0335* | 0.0071* | |
| Quality PGI | 0.48* | 0.12 | 0.11 | 0.5195 | 0.2476 | 0.6128 | |
| Environ./Ecological | -0.10 | 0.03 | 0.18 | 0.08 | 0.4381 | 0.0472 | |
| Planning/Policy | 0.14 | 0.44* | 0.25* | 0.14 | 0.09 | 0.0062* | |
| Economic | <-0.01 | 0.24 | 0.32* | -0.06 | 0.24 | 0.32* |
| Quality of PGI | Enviro. & Ecological | Presence of PGI | Ease of Access | Walkability of PGI | Tree Canopy | |
|---|---|---|---|---|---|---|
| Quality of PGI | 0.3549 | 0.1618 | 0.0284* | 0.2963 | 0.4163 | |
| Enviro. & Ecological | -0.13 | 0.1385 | 0.8217 | 0.7067 | 0.0602 | |
| Presence of PGI | 0.20 | 0.21 | 0.0499 | 0.0062* | 0.0043* | |
| Ease of Access | 0.31* | -0.03 | 0.28 | <0.0001* | 0.0043* | |
| Walkability of PGI | 0.15 | 0.05 | 0.38* | 0.56* | 0.0004* | |
| Tree Canopy | 0.12 | 0.27 | 0.40* | 0.40* | 0.48* |
| Study | Quality of PGI n = 42 | Enviro. & Ecological n = 30 | Presence of PGI n = 24 | Ease of Access n = 24 | Walkability of PGI n = 14 | Tree Canopy n = 12 |
|---|---|---|---|---|---|---|
| Antognelli & Vizzari [48] | ✓ | ✓ | ✓ | ✓ | ||
| Balding & Williams [50] | ✓ | |||||
| Barth et al. [51] | ✓ | |||||
| Battisti [52] | ✓ | ✓ | ||||
| Cattell et al. [20] | ✓ | ✓ | ✓ | |||
| Čavić & Beirão [54] | ✓ | |||||
| Chen et al. [55] | ✓ | |||||
| Chiesura [56] | ✓ | ✓ | ||||
| Dale & Connelly [58] | ✓ | ✓ | ✓ | |||
| Dallimer et al. [59] | ✓ | |||||
| De Riddera et al. [61] | ✓ | ✓ | ✓ | |||
| Dietsch et al. [62] | ✓ | |||||
| Do et al. [63] | ✓ | ✓ | ||||
| Francis et al. [65] | ✓ | |||||
| Francis et al. [66] | ✓ | ✓ | ✓ | |||
| Giap et al. [7] | ✓ | ✓ | ✓ | ✓ | ✓ | ✓ |
| Giles-Corti et al. [68] | ✓ | ✓ | ✓ | ✓ | ✓ | ✓ |
| Grose [21] | ✓ | ✓ | ✓ | ✓ | ✓ | ✓ |
| Hagerman [69] | ✓ | ✓ | ||||
| Hartig et al. [70] | ✓ | ✓ | ||||
| Hausmann et al. [71] | ✓ | ✓ | ||||
| Howley et al. [75] | ✓ | ✓ | ||||
| Hughes [22] | ✓ | ✓ | ✓ | ✓ | ✓ | |
| Irvine et al. [77] | ✓ | ✓ | ✓ | |||
| Jones & Newsome [26] | ✓ | ✓ | ✓ | ✓ | ✓ | |
| Kaźmierczak [78] | ✓ | ✓ | ✓ | ✓ | ||
| Keniger et al. [16] | ✓ | |||||
| Kurniawati [79] | ✓ | ✓ | ||||
| Nasution & Zahrah [83] | ✓ | ✓ | ||||
| Nasution & Zahrah [23] | ✓ | |||||
| Newton [27] | ✓ | |||||
| Okulicz-Kozaryn [28] | ✓ | ✓ | ✓ | ✓ | ✓ | ✓ |
| Revell & Anda [84] | ✓ | ✓ | ||||
| Schipperijn et al. [85] | ✓ | ✓ | ||||
| Shackleton et al. [87] | ✓ | |||||
| Shamsuddin et al. [88] | ✓ | ✓ | ||||
| Shanahan et al. [89] | ✓ | ✓ | ||||
| Shanahan et al. [90] | ✓ | ✓ | ✓ | ✓ | ✓ | ✓ |
| Simpson & Newsome [17] | ✓ | ✓ | ✓ | ✓ | ||
| Soga et al. [91] | ✓ | ✓ | ✓ | ✓ | ||
| Sugiyama et al. [94] | ✓ | ✓ | ✓ | |||
| Sushinsky et al. [95] | ✓ | ✓ | ✓ | ✓ | ||
| Taylor et al. [96] | ✓ | ✓ | ✓ | ✓ | ✓ | |
| Thompson [12] | ✓ | ✓ | ||||
| Turner et al. [98] | ✓ | ✓ | ✓ | |||
| Tzoulas et al. [33] | ✓ | ✓ | ✓ | |||
| van den Berg et al. [25] | ✓ | ✓ | ✓ | ✓ | ✓ | ✓ |
| Van Herzele & Wiedemann [99] | ✓ | ✓ | ||||
| Villanueva et al. [100] | ✓ | ✓ | ✓ | ✓ | ||
| Zhang [102] | ✓ | ✓ | ✓ | ✓ | ✓ | ✓ |
| Name of Journal | Number of Articles | Name of Journal | Number of Articles |
|---|---|---|---|
| Landscape and Urban Planning | 12 | Academic Position Paper | 1 |
| Procedia—Social and Behavioral Sciences | 5 | Acta Universitatis Agriculturae et Silviculturae Mendelianae Brunensis | 1 |
| Conservation Biology | 4 | Ecological Indicators | 1 |
| Journal of Environmental Psychology | 3 | Ecological Management and Restoration | 1 |
| American Journal of Preventive Medicine | 2 | Edited Book | 1 |
| American Journal of Public Health | 2 | Environment and Behavior | 1 |
| Applied Geography | 2 | Environmental Conservation | 1 |
| BioScience | 2 | Frontiers in Ecology and the Environment | 1 |
| Wetlands Ecology and Management | 2 | Geo: Geography and Environment | 1 |
| World Review of Science, Technology and Sustainable Development | 2 | Global Change Biology | 1 |
| International Journal of Environmental Research and Public Health | 1 | Public Health | 1 |
| International Journal of the Commons | 1 | Science of the Total Environment | 1 |
| International Journal of Tourism Cities | 1 | Social Indicators Research | 1 |
| Journal of Environmental Planning and Management | 1 | Social Science & Medicine | 1 |
| Journal of Urban Technology | 1 | Society and Natural Resources | 1 |
| Landscape Ecology | 1 | Sustainability | 1 |
| Local Environment | 1 | Tourism Management | 1 |
| New York Academy of Sciences | 1 | Town Planning Review | 1 |
| Open House International | 1 |
© 2018 by the authors. Licensee MDPI, Basel, Switzerland. This article is an open access article distributed under the terms and conditions of the Creative Commons Attribution (CC BY) license (http://creativecommons.org/licenses/by/4.0/).
Share and Cite
Parker, J.; Simpson, G.D. Public Green Infrastructure Contributes to City Livability: A Systematic Quantitative Review. Land 2018, 7, 161. https://doi.org/10.3390/land7040161
Parker J, Simpson GD. Public Green Infrastructure Contributes to City Livability: A Systematic Quantitative Review. Land. 2018; 7(4):161. https://doi.org/10.3390/land7040161
Chicago/Turabian StyleParker, Jackie, and Greg D. Simpson. 2018. "Public Green Infrastructure Contributes to City Livability: A Systematic Quantitative Review" Land 7, no. 4: 161. https://doi.org/10.3390/land7040161
APA StyleParker, J., & Simpson, G. D. (2018). Public Green Infrastructure Contributes to City Livability: A Systematic Quantitative Review. Land, 7(4), 161. https://doi.org/10.3390/land7040161

