Estimation of Forest Area and Canopy Cover Based on Visual Interpretation of Satellite Images in Ethiopia
Abstract
1. Introduction
2. Materials and Methods
2.1. Description of the Study Sites
2.2. Satellite Imagery
2.2.1. PlanetScope
2.2.2. RapidEye
2.2.3. Sentinel-2
2.3. Data Collection Techniques
2.4. Estimation
3. Results
3.1. Dates and Time Elapsed for Interpretation
3.2. Forest Area Estimation
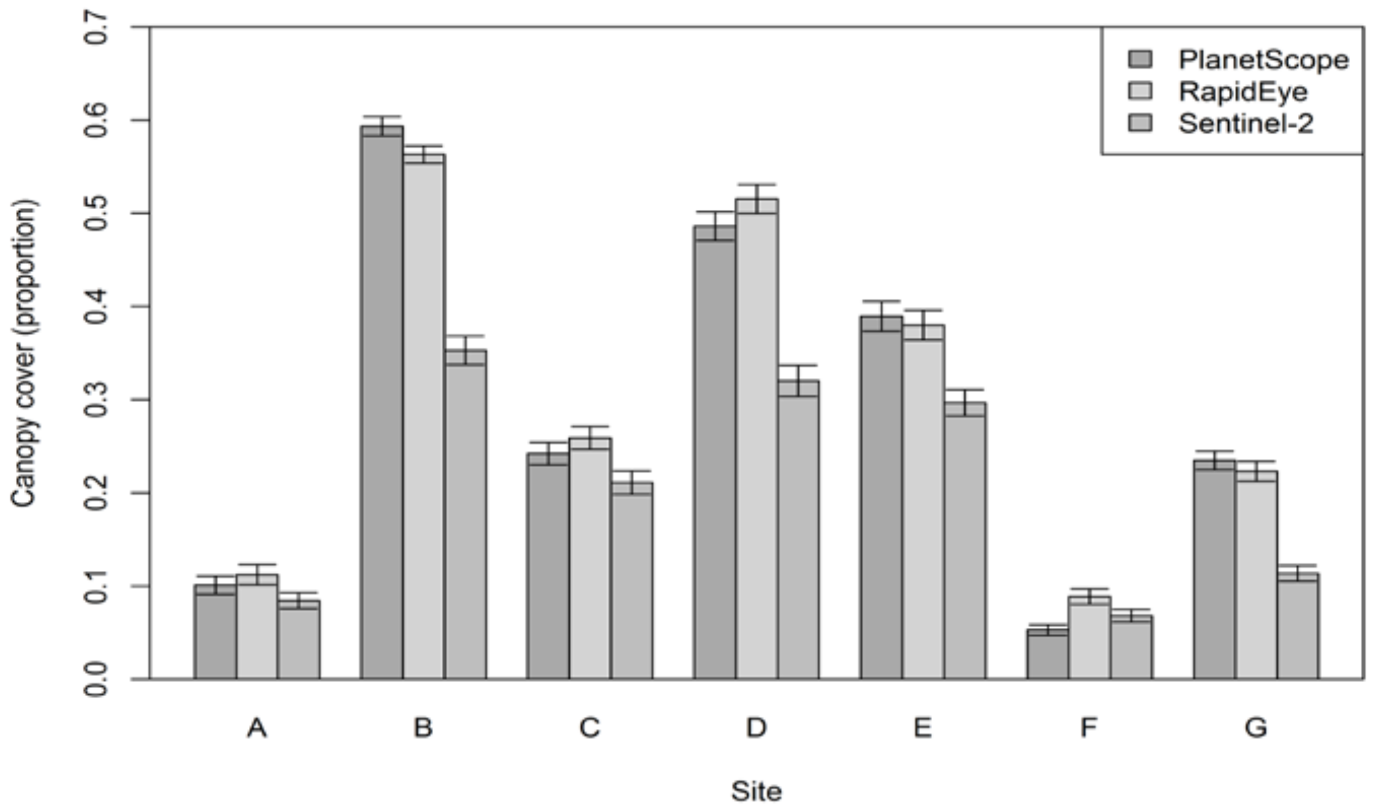
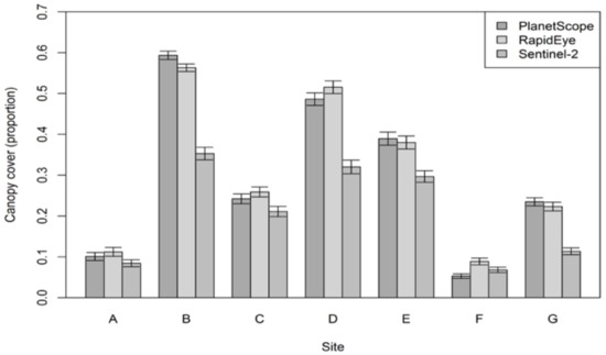
3.3. Canopy Cover Estimation
3.4. Optimal Sample Size Determination
4. Discussion
4.1. Visual Image Interpretation in a REDD+ MRV
4.2. Factors Influencing Estimates
4.3. Sample Size
5. Conclusions
Author Contributions
Funding
Acknowledgments
Conflicts of Interest
References
- Dudley, N.; Stolton, S. Running Pure: The Importance of Forest Protected Areas to Drinking Water. World Bank/WWF Alliance for Forest Conservation and Sustainable Use, 2003. Available online: http://d2ouvy59p0dg6k.cloudfront.net/downloads/runningpurereport.pdf (accessed 16 November 2017).
- McMahon, P. A Burning Issue: Tropical Forests and the Health of Global Ecosystems. In Challenges and Opportunities for the World’s Forests in the 21st Century; Fenning, T., Ed.; Springer: Dordrecht, The Netherlands, 2014; pp. 23–35. [Google Scholar]
- Le Quéré, C.; Raupach, M.R.; Canadell, J.G.; Marland, G.; Bopp, L.; Ciais, P.; Conway, T.J.; Doney, S.C.; Feely, R.A.; Foster, P.; et al. Trends in the sources and sinks of carbon dioxide. Nat. Geosci. 2009, 2, 831–836. [Google Scholar]
- Canadell, J.G.; Le Quéré, C.; Raupach, M.R.; Field, C.B.; Buitenhuis, E.T.; Ciais, P.; Conway, T.J.; Gillett, N.P.; Houghton, R.A.; Marland, G. Contributions to accelerating atmospheric CO2 growth from economic activity, carbon intensity, and efficiency of natural sinks. Proc. Natl. Acad. Sci. USA 2007, 104, 18866–18870. [Google Scholar] [CrossRef] [PubMed]
- Pan, Y.; Birdsey, R.A.; Fang, J.; Houghton, R.; Kauppi, P.E.; Kurz, W.A.; Phillips, O.L.; Shvidenko, A.; Lewis, S.L.; Canadell, J.G.; et al. A large and persistent carbon sink in the world’s forests. Science 2011, 333, 988–993. [Google Scholar] [CrossRef] [PubMed]
- Baccini, A.; Friedl, M.A.; Woodcock, C.E.; Warbington, R. Forest biomass estimation over regional scales using multisource data. Geophys. Res. Lett. 2004, 31, L10501. [Google Scholar] [CrossRef]
- Kim, D.-H.; Sexton, J.O.; Townshend, J.R. Accelerated Deforestation in the Humid Tropics from the 1990s to the 2000s. Geophys. Res. Lett. 2015. [Google Scholar] [CrossRef] [PubMed]
- Van der Werf, G.R.; Morton, D.C.; DeFries, R.S.; Olivier, J.G.J.; Kasibhatla, P.S.; Jackson, R.B.; Collatz, G.J.; Randerson, J.T. CO2 emissions from forest loss. Nat. Geosci. 2009, 2, 737–738. [Google Scholar] [CrossRef]
- Noriko, H.; Martin, H.; Veronique De, S.; Ruth, S.D.F.; Maria, B.; Louis, V.; Arild, A.; Erika, R. An assessment of deforestation and forest degradation drivers in developing countries. Environ. Res. Lett. 2012, 7, 044009. [Google Scholar] [CrossRef]
- Pohjonen, V.; Pukkala, T. Eucalyptus globulus in Ethiopian forestry. For. Ecol. Manag. 1990, 36, 19–31. [Google Scholar] [CrossRef]
- Bishaw, B. Deforestation and Land Degradation in the Ethiopian Highlands: A Strategy for Physical Recovery. Northeast Afr. Stud. 2001, 8, 7–25. [Google Scholar] [CrossRef]
- McCann, J.C. The Plow and the Forest: Narratives of Deforestation in Ethiopia, 1840–1992. Environ. Hist. 1997, 2, 138–159. [Google Scholar] [CrossRef]
- Kindu, M.; Schneider, T.; Teketay, D.; Knoke, T. Land Use/Land Cover Change Analysis Using Object-Based Classification Approach in Munessa-Shashemene Landscape of the Ethiopian Highlands. Remote Sens. 2013, 5, 2411–2435. [Google Scholar] [CrossRef]
- Hailemariam, S.N.; Soromessa, T.; Teketay, D. Land Use and Land Cover Change in the Bale Mountain Eco-Region of Ethiopia during 1985 to 2015. Land 2016, 5, 41. [Google Scholar] [CrossRef]
- Penman, J.; Gytarsky, M.; Hiraishi, T.; Krug, T.; Kruger, D.; Pipatti, R.; Buendia, L.; Miwa, K.; Ngara, T.; Tanabe, K.; et al. Good Practice Guidance for Land Use, Land-Use Change and Forestry; IPCC: Geneva, Switzerland, 2003. [Google Scholar]
- Chazdon, R.L.; Brancalion, P.H.S.; Laestadius, L.; Bennett-Curry, A.; Buckingham, K.; Kumar, C.; Moll-Rocek, J.; Vieira, I.C.L.G.E.; Wilson, S.J. When is a forest a forest? Forest concepts and definitions in the era of forest and landscape restoration. Ambio 2016, 45, 538–550. [Google Scholar] [CrossRef] [PubMed]
- FAO. Global Forest Resources Assessment 2000; Forestry Paper No. 140; UN Food and Agricultural Organization: Rome, Italy, 2001. [Google Scholar]
- Jennings, S.B.; Brown, N.D.; Sheil, D. Assessing forest canopies and understorey illumination: Canopy closure, canopy cover and other measures. Forestry 1999, 72, 59–73. [Google Scholar] [CrossRef]
- Gschwantner, T.; Schadauer, K.; Vidal, C.; Lanz, A.; Tomppo, E.; di Cosmo, L.; Robert, N.; Duursma, D.E.; Lawrence, M. Common Tree Definitions for National Forest Inventories in Europe. Silva Fenn. 2009, 43, 303–321. [Google Scholar] [CrossRef]
- Korhonen, L.; Korhonen, K.T.; Rautiainen, M.; Stenberg, P. Estimation of forest canopy cover: A comparison of field measurement techniques. Silva Fenn. 2006, 40, 577–588. [Google Scholar] [CrossRef]
- Mbow, C.; Skole, D.; Dieng, M.; Justice, C.; Kwesha, D.; Mane, L.; El Gamri, M.; Von Vordzogbe, V.; Virji, H. Challenges and Prospects for REDD+ in Africa: Desk Review of REDD+ Implementation in Africa; Global Land Project Reports; GLP International Project Office: Copenhagen, Denmark, 2012; Volume 5. [Google Scholar]
- Herold, M.; Skutsch, M. Monitoring, reporting and verification for national REDD + programmes: Two proposals. Environ. Res. Lett. 2011, 6, 014002. [Google Scholar] [CrossRef]
- IPCC. 2006 IPCC Guidelines for National Greenhouse Gas Inventories; IGES: Berlin, Germay, 2006. [Google Scholar]
- IPCC. Land Use, Land Use Change, and Forestry; Cambridge University Press: Cambridge, UK, 2000. [Google Scholar]
- Bey, A.; Díaz, A.S.-P.; Maniatis, D.; Marchi, G.; Mollicone, D.; Ricci, S.; Bastin, J.-F.O.; Moore, R.; Federici, S.; Rezende, M.; et al. Collect Earth: Land Use and Land Cover Assessment through Augmented Visual Interpretation. Remote Sens. 2016, 8, 807. [Google Scholar] [CrossRef]
- Clark, M.L.; Aide, T.M. Virtual Interpretation of Earth Web-Interface Tool (VIEW-IT) for Collecting Land-Use/Land-Cover Reference Data. Remote Sens. 2011, 3, 601–620. [Google Scholar] [CrossRef]
- MEFCC. Ethiopia’s Forest Reference Level Submittssion to the UNFCCC; Ministry of Environment, Forestry and Climate Change: Addis Ababa, Ethiopia, 2017.
- Fritz, S.; McCallum, I.; Schill, C.; Perger, C.; See, L.; Schepaschenko, D.; van der Velde, M.; Kraxner, F.; Obersteiner, M. Geo-Wiki: An online platform for improving global land cover. Environ. Model. Softw. 2012, 31, 110–123. [Google Scholar] [CrossRef]
- Fritz, S.; McCallum, I.; Schill, C.; Perger, C.; Grillmayer, R.; Achard, F.; Kraxner, F.; Obersteiner, M. Geo-Wiki.Org: The Use of Crowdsourcing to Improve Global Land Cover. Remote Sens. 2009, 1, 345–354. [Google Scholar] [CrossRef]
- Sannier, C.; McRoberts, R.E.; Fichet, L.-V.; Makaga, E.M.K. Using the regression estimator with Landsat data to estimate proportion forest cover and net proportion deforestation in Gabon. Remote Sens. Environ. 2014, 151, 138–148. [Google Scholar] [CrossRef]
- Potapov, P.V.; Dempewolf, J.; Talero, Y.; Hansen, M.C.; Stehman, S.V.; Vargas, C.; Rojas, E.J.; Castillo, D.; Mendoza, E.; Calderón, A.; et al. National satellite-based humid tropical forest change assessment in Peru in support of REDD+ implementation. Environ. Res. Lett. 2014, 9, 124012. [Google Scholar] [CrossRef]
- Ib, F.; Sebsebe, D.; Breugel, P.V. Atlas of the Potential Vegetation of Ethiopia; The Royal Danish Academy of Science and Letters: Copenhagen, Denmark, 2010; Volume 58. [Google Scholar]
- Egziabher, T.B.G. Diversity of Ethiopian flora. In Plant Genetic Resources of Ethiopia; Engles, J., Hawkes, J.G., Worede, M., Eds.; Cambridge University Press: Cambridge, UK, 1991; pp. 75–81. [Google Scholar]
- Martínez, S.; Mollicone, D. From Land Cover to Land Use: A Methodology to Assess Land Use from Remote Sensing Data. Remote Sens. 2012, 4, 1024–1045. [Google Scholar] [CrossRef]
- Hesterberg, T.; Moore, D.S.; Monaghan, S.; Clipson, A.; Epstein, R. Bootstrap methods and permutation tests. In Introduction to the Practice of Statistics; W.H. Freeman & Company: New York, NY, USA, 2003. [Google Scholar]
- Köhl, M.; Magnussen, S.; Marchetti, M. Sampling Methods, Remote Sensing and GIS Multiresource Forest Inventory; Springer: Berlin/Heidelberg, Germany, 2006. [Google Scholar]
- Næsset, E.; Ørka, H.O.; Solberg, S.; Bollandsås, O.M.; Hansen, E.H.; Mauya, E.; Zahabu, E.; Malimbwi, R.; Chamuya, N.; Olsson, H.; et al. Mapping and estimating forest area and aboveground biomass in miombo woodlands in Tanzania using data from airborne laser scanning, TanDEM-X, RapidEye, and global forest maps: A comparison of estimated precision. Remote Sens. Environ. 2016, 175, 282–300. [Google Scholar] [CrossRef]
- McRoberts, R.E. Probability- and model-based approaches to inference for proportion forest using satellite imagery as ancillary data. Remote Sens. Environ. 2010, 114, 1017–1025. [Google Scholar] [CrossRef]
- King, R.B. Land cover mapping principles: A return to interpretation fundamentals. Int. J. Remote Sens. 2002, 23, 3525–3545. [Google Scholar] [CrossRef]
- Draksler, A. The Effect of Satellite Image Resolution and Minimum Mapping Unit on the Accuracy of Forest Cover Maps; Technische Universität München: Munich, Germany, 2017. [Google Scholar]
- Churches, C.E.; Wampler, P.J.; Sun, W.; Smith, A.J. Evaluation of forest cover estimates for Haiti using supervised classification of Landsat data. Int. J. Appl. Earth Obs. Geoinf. 2014, 30, 203–216. [Google Scholar] [CrossRef]
- Lohr, S. Sampling: Design and Analysis; Nelson Education: Scarborough, ON, Canada, 2009. [Google Scholar]
- Böttcher, H.; Eisbrenner, K.; Fritz, S.; Kindermann, G.; Kraxner, F.; McCallum, I.; Obersteiner, M. An assessment of monitoring requirements and costs of ‘Reduced Emissions from Deforestation and Degradation’. Carbon Balanc. Manag. 2009, 4, 14. [Google Scholar] [CrossRef] [PubMed]
- Falkowski, M.J.; Wulder, M.A.; White, J.C.; Gillis, M.D. Supporting large-area, sample-based forest inventories with very high spatial resolution satellite imagery. Prog. Phys. Geogr. 2009, 33, 403–423. [Google Scholar] [CrossRef]
- Jayaraman, K. A Statistical Manual for Forestry Research. FORSPA, 2000. Available online: http://www.fao.org/3/a-x6831e.pdf (accessed on 10 November 2017).
- Lenth, R.V. Some Practical Guidelines for Effective Sample Size Determination. Am. Stat. 2001, 55, 187–193. [Google Scholar] [CrossRef]








| Site | Biome Type | Condition of Forest in the Area * |
|---|---|---|
| A | Acacia-Commiphora and partly dry Afromontane | Both tree gain and loss of similar magnitude |
| B | Moist Afromontane | Characterized by tree loss |
| C | Partly moist Afromontane and partly Acacia-Commiphora | Characterized by tree loss and very little gain |
| D | Moist Afromontane | Characterized by tree loss |
| E | Moist Afromontane | Both tree gain and loss of similar magnitude |
| F | Dry Afromontane | Characterized by tree gain |
| G | Combretum-Terminalia | Characterized by tree loss |
| Satellite | Spatial Resolution (m) | Product Level |
|---|---|---|
| Planet Scope | 3 | 3B |
| RapidEye | 5 | 3B |
| Sentinel-2 | 10 | 2A |
| Observation | PlanetScope | RapidEye | Sentinel-2 |
|---|---|---|---|
| Forest | 819 | 824 | 602 |
| Non-Forest | 774 | 772 | 947 |
| NA * | 3 | 0 | 47 |
| Total | 1596 | 1596 | 1596 |
© 2018 by the authors. Licensee MDPI, Basel, Switzerland. This article is an open access article distributed under the terms and conditions of the Creative Commons Attribution (CC BY) license (http://creativecommons.org/licenses/by/4.0/).
Share and Cite
Asrat, Z.; Taddese, H.; Ørka, H.O.; Gobakken, T.; Burud, I.; Næsset, E. Estimation of Forest Area and Canopy Cover Based on Visual Interpretation of Satellite Images in Ethiopia. Land 2018, 7, 92. https://doi.org/10.3390/land7030092
Asrat Z, Taddese H, Ørka HO, Gobakken T, Burud I, Næsset E. Estimation of Forest Area and Canopy Cover Based on Visual Interpretation of Satellite Images in Ethiopia. Land. 2018; 7(3):92. https://doi.org/10.3390/land7030092
Chicago/Turabian StyleAsrat, Zerihun, Habitamu Taddese, Hans Ole Ørka, Terje Gobakken, Ingunn Burud, and Erik Næsset. 2018. "Estimation of Forest Area and Canopy Cover Based on Visual Interpretation of Satellite Images in Ethiopia" Land 7, no. 3: 92. https://doi.org/10.3390/land7030092
APA StyleAsrat, Z., Taddese, H., Ørka, H. O., Gobakken, T., Burud, I., & Næsset, E. (2018). Estimation of Forest Area and Canopy Cover Based on Visual Interpretation of Satellite Images in Ethiopia. Land, 7(3), 92. https://doi.org/10.3390/land7030092

