Abstract
Land abandonment and the subsequent re-forestation are important drivers behind the loss of ecosystem services in mountain regions. Agent-based models can help to identify global change impacts on farmland abandonment and can test policy and management options to counteract this development. Realigning the representation of human decision making with time scales of ecological processes such as reforestation presents a major challenge in this context. Models either focus on the agent-specific behavior anchored in the current generation of farmers at the expense of representing longer scale environmental processes or they emphasize the simulation of long-term economic and forest developments where representation of human behavior is simplified in time and space. In this context, we compare the representation of individual and aggregated decision-making in the same model structure and by doing so address some implications of choosing short or long term time horizons in land-use modeling. Based on survey data, we integrate dynamic agents into a comparative static economic sector supply model in a Swiss mountain region. The results from an extensive sensitivity analysis show that this agent-based land-use change model can reproduce observed data correctly and that both model versions are sensitive to the same model parameters. In particular, in both models the specification of opportunity costs determines the extent of production activities and land-use changes by restricting the output space. Our results point out that the agent-based model can capture short and medium term developments in land abandonment better than the aggregated version without losing its sensitivity to important socio-economic drivers. For comparative static approaches, extensive sensitivity analysis with respect to opportunity costs, i.e., the measure of benefits forgone due to alternative uses of labor is essential for the assessment of the impact of climate change on land abandonment and re-forestation in mountain regions.
1. Introduction
Land abandonment and the subsequent re-forestation are key developments with respect to the provision of ecosystem services in European mountain regions [1,2,3,4,5]. Land abandonment is driven by the interaction of environmental and socio-economic factors, such as climate, topography, soil conditions, lack of road-infrastructure development, or degree of part-time farming within a region [6,7,8,9,10]. These interactions result in complex social-ecological systems that can only be investigated by a holistic approach and integrated research [11,12,13].
Traditionally, land abandonment has often been modeled with comparative sector supply models [14,15,16]. Land management decisions in these long term modeling studies were usually represented by simplified and uniform mechanisms (e.g., income maximization) on an aggregated level. More recently, agent-based models (ABM) in land-use change [17,18,19,20] have been introduced as an opportunity to assess future impacts of land-use change in an integrative framework [21,22]. ABM allow interpretation of agent-specific behavior covering individual preferences or motivations beyond income maximization [23,24,25,26,27] which play an important role in mountain farming [28,29,30,31,32,33,34].
Realigning the representation of human decision-making with time scales of ecological processes however presents a major challenge when modeling land abandonment, re-forestation and ecosystem services in mountain regions, especially under climate change [35]. Social-economic behavior, which involves other than purely economic decision-making, is usually based on empirical data from surveys, interviews or role playing games, derived from the existing generation of farmers [36,37]. It therefore has only short and medium term validity. In contrast, reforestation processes and climate change impacts on forests and grassland are only visible in the landscape in the long run, i.e., in several decades [38,39].
Coupled socio-ecological models of land abandonment, such as ABM, therefore often adopt either a short term or a long term perspective. The short term perspective focuses on the agent-specific behavior anchored in the current generation of land users, at the expense of adequately representing longer scale ecological processes. The long-term perspective focuses more on simulating ecological succession, i.e., long term forest development under climate change. By doing so the representation of human behavior is simplified in time and space, also due to large uncertainties about the behavior of the next generation of land users.
Existing ABM studies that address farmland abandonment and that consider individual farm decision-making underline the importance of a spatially explicit examination of the linkage between social behavior and environmental factors, and consequently the dynamic heterogeneity of land abandonment and re-forestation [40,41,42,43,44,45]. None of these studies, however, explicitly discusses the consequences of implementing a particular representation of decision-making and the associated short or long term perspective into their model structure. With this study, we therefore address the following open research questions: (i) to what extent do different aggregation levels of decision-making, i.e., agent-specific vs. sectoral optimization, influence modeling results and (ii) what consequences arise for model-based policy assessment in the context of farmland abandonment and ecosystem services in mountain regions?
To address these questions, we present an extensive sensitivity analysis, i.e., an output space analysis, of two different model versions of the land-use model ALUAM (Alpine Land-Use Allocation Model). The sensitivity analysis is performed without the consideration of agents in a comparative static sector supply model approach based on Briner et al. [16] and then compared to a dynamic agent-based version of the same model to assess the different impact of each of these key parameters on the model outcome. We test the importance of exogenous parameters using elementary effects proposed by Morris and a subsequent analysis of a combination of important parameters [46,47]. Our ABM is innovative in that we use a comprehensive coupling of typical farm structures with types of farm decision-making in an economic framework, i.e., based on a constraint income maximization approach. The agent characterization is derived from a cluster analysis based on a survey (n = 111) and interviews (n = 15) with farmers in the case study region and the model is validated against empirical data.
The study does not intend to solve the problem of decision making processes over multiple generations. The sensitivity analysis, however, provides a quantitative assessment of the role of agents in the context of dynamic and medium term ABM programming models, compared to traditional sector supply modeling approaches in agriculture using a comparative static perspective. This comparison allows us to specify the differences and commonalities between two models that address land abandonment with different time horizons by applying different aggregation levels of human decision-making. The results help to assess and interpret existing [48,49,50,51] and future model applications as well as to inform model choice in the context of farmland abandonment and re-forestation in mountain regions.
The manuscript is structured as follows. In Section 2, we present the case study region and describe methods and data sources. In Section 3, we present the results of the agent typology and the implementation of this agent-specific behavior in the existing ALUAM framework. Next, we focus on model performance and validation of the adopted agent-based model and provide the results from an extensive sensitivity analysis with and without agents for changes in prices, direct payments schemes, production costs, labor availability and opportunity costs. In Section 4, we discuss our findings in comparison to existing literature on the assessment of land abandonment and re-forestation in mountain regions.
2. Data and Methods
2.1. Case Study Region
Our study region, the “Visp area”, is located in the Central Valais of Switzerland and includes the Saas valley (Saas Fee, Stalden), the region around Visp in the main valley and the Baltschieder valley. It has a total of 15,346 inhabitants and covers an area of 443.3 km2. Its main economic characteristics are a century-old, strong industrial sector which is one of the main employers for the whole Upper and Central Valais region, and a marked dependence on snow-based winter tourism in the side-valleys [52]. Unproductive land (i.e., rocky, or glaciated terrain) accounts for 62% of the area, while 20% is covered by forest land and about 16% of the land is used by agriculture (1878 ha). Agriculture and forest land-use play an important role as recreation areas and provide habitats for plants and wildlife. Land-use change is a prominent issue in this region. The importance of agriculture has decreased strongly in the area over recent years, resulting in a decline of agricultural land and an increase of forest cover. Overall, forest land-use increased by 252 ha between 1997 and 2009 [53]. The region comprised 161 farmers in 2012. Between 2000 and 2012, the number of farms decreased annually by 2.8%. On average, farmers in the simulated region currently only cultivate 8 ha of agricultural land and house around seven livestock units (LU). Less than 10% of the farmers work full-time on their farm. The main farming activity is the production of livestock based on grassland. Part-time farming based on small livestock has become a widespread activity and regional tradition, with almost 50% of the farmers (79 out of 161) keeping sheep only. Many farmers are members of organized breeding associations that hold exhibitions, breeding competitions and cow fights. These events are very popular among some of the farmers, inhabitants, and tourists, and root farming firmly into local village traditions. Only 7% of the farms cultivate more than 0.5 ha of arable crops [54]. In this dry, continental inner-Alpine mountain valley region, climate change (rise in temperature, further decrease in precipitation, shifts from snow to rain, and increased glacier melt) is expected to have a particularly strong effect both on ecosystems and tourism [52]. This makes it suitable for studying the combined effects of land-use and climate changes.
2.2. ALUAM
2.2.1. Sector Supply Modeling Approach (ALUAM)
The ALUAM modeling approach has been described and validated in detail in Briner et al. [16]. ALUAM is a comparative, static income maximization model which simulates the competition between forest and a range of agricultural land-uses to estimate land-use conversions in a spatially explicit manner at high resolution. Farmers’ decision-making is aggregated on a regional level. Using a modular framework, ALUAM was linked with the forest-landscape model LandClim and a crop yield model that simulate the response of forests and crops to changes in climate. LandClim is a spatially explicit process based model that incorporates competition-driven forest dynamics and landscape-level disturbances to simulate forest dynamics on a landscape scale [55]. The model simulates forest growth in 25 m × 25 m cells using simplified versions of tree recruitment, growth and competition processes that are commonly included in forest gap models. Forest development and ecosystem service indicators can be calculated on the basis of different forest management regimes [5].
An iterative data exchange between the models allows for a detailed assessment of the dynamic changes in land-use and the provision of agriculture and forest based ecosystem services. Land-use and livestock activities on the different levels—parcel, farm and regional—are optimized by a maximization of aggregated land rent. Constraints assure that agronomic and socio-economic restrictions on parcel, farm and sectoral level are met:
- (i)
- At parcel level, location characteristics influence decisions about the choice of the land-use activities (e.g., extensive or intensive grassland or pasture).
- (ii)
- Grass must be utilized by livestock to generate value. Decisions about animal husbandry are made on the farm level taking into account fodder and nutrient balances between livestock and land-use. Since different parcels can belong to one livestock activity, single parcels must be summed up to calculate these balances.
- (iii)
- Resources on a regional level—hirable workforce, number of animals available for grazing on summer pastures, milk quota—are only available to a limited extent and are therefore balanced over the whole region.
The aggregated land rent also considers farmers’ opportunity costs to measure benefits foregone due to alternative uses of labor. Working hours are assigned a threshold value. If aggregated land rent from the corresponding land unit drops below this value, the parcel will no longer be cultivated. The model has been applied in various case studies assessing the impact of different climate and socio-economic scenarios [48,49,50,51]. In these model applications, a comparative static approach was applied because fixed costs of agricultural production are assumed to be independent from existing structures on a longer term. However, due to its high flexibility for changes between different agricultural activities, this comparative static approach is less suitable to represent short and medium term adjustments to market and policy changes. Abrupt activity switches and corner solutions are typical for this approach [56] and make model validation with short term data challenging. To allow for an ex-post model validation, we used flexibility constraints which restrict the solution space for year to year adjustments in animal numbers. This means that upper and lower bounds constrain the increase or decrease in animal numbers based on the number of animals in the previous simulation year. In addition, investments are also restricted based on the income in the previous year. While these restrictions correspond with farm production cycles and empirical observations, the parameterization of such flexibility constraints is rather subjective [57].
2.2.2. Agent-Based Approach (ALUAM-AB)
The agent-based model is described in Appendix B using the ODD protocol [58,59] to allow for an improved model comprehension [60]. The implementation of the agents in the model is analogous to the protocol presented in Huber et al. [45] for the applications in the pasture-woodlands of the Swiss Jura. However, instead of individual farms, we treat different groups of farms as one agent and we couple ALUAM-AB to the forest landscape model LandClim [16,51].
The purpose of ALUAM-AB is to simulate future land-use changes, including farmland abandonment and corresponding re-forestation in mountain landscapes, triggered by the combined effects of climate, market and policy changes and giving due consideration to the individual decision-making of the farmers. The model is defined by interconnected human and environmental/agronomic subsystems. Agents represent groups of farms. An agent has (1) its own state (i.e., land endowment, animal housing capacity, etc.) which is updated after every simulation period of one year and (2) decision-making mechanisms for managing farm resources (i.e., a constraint income maximization based on mathematical programming techniques). The state of the agent includes variables for household composition and available resources (land, capital and labor) and a specific type of decision-making based on opportunity costs of labor and a threshold for minimum income and other characteristics. These decision-making characteristics represent the model implementation of the actor types detailed under Section 3.1. The environmental/agronomic subsystem is characterized by the agricultural production cycle in the case study area. Agronomic variables include plant nutrient requirements (N, P), manure production and production coefficients such as fodder intake, growth, birth, deaths of animals and labor requirements that are based on national average data and are the same as in the aggregated model presented by Briner et al. [16]. In the modeled farm decision process (income optimization), the environmental variables are considered as material (fodder and nutrients) balances that link land-use activities with livestock activities. As a result, land-use intensities can be defined in a spatially explicit manner. Crop rotation requirements and a labor balance are additional constraints that link the human and environmental/agronomic subsystems.
Structural change is modeled using a land market sub-model [45,61]. The model identifies land units that are no longer cultivated under the existing farm structure. There are three reasons why fields are attributed to the land market in the model (see Figure B1 in the Appendix): (i) units generate a land rent below zero, (ii) the corresponding agent does not reach the minimum wage level, therefore the farm is abandoned and all the assigned land enters the land market or (iii) the farmer retires in the simulation year and has no successor. The land market sub-model randomly assigns the land units to one of the other agents. It is then checked to confirm that this agent shows the two following characteristics: The agent receiving the land unit must want to expand his cultivated area (stated willingness to grow) and his shadow price for the land unit must be positive. If these conditions are not met, the land unit is returned to the land market and assigned randomly to another farm. Once again it is checked to verify that this agent fulfils the conditions for the assignment of land. This procedure is repeated until all land units are assigned to a farm or none of the farms is willing to take the land units left on the market. Land units that are not transferred to other farms are defined as abandoned and natural vegetation dynamics get under way on these units (modeled in LandClim). If land-use allocation is optimal, farmland capacities and livestock are updated and the next annual time step is initialized using the parameters (prices, costs) of the following year.
There are two main differences between the model versions presented in Section 2.2.1 and Section 2.2.2:
- (i)
- In the aggregated model, land and labor can shift between farm activities without additional restrictions. Livestock housing capacities are built in every model run. For model validation, however, flexibility constraints are necessary. In ALUAM-AB, changes in land-based activities are only possible through the land market.
- (ii)
- The agents in ALUAM-AB differ with respect to their opportunity costs, availability of workforce, minimum income, the probability of a successor, their stated intention to grow or not, available farm land and livestock housing capacities. In the aggregated model version, all the activities are weighted with the same amount of opportunity costs and hired labor is restricted on the regional level. There is no interaction between different farm types.
Please note that the sensitivity analysis focuses on the land-use part and thus on the effect of different aggregation levels of decision-making in ALUAM. Forest development is modeled in the forest landscape model LandClim. The two models can be linked to assess the development of agriculture and forest ES in mountain regions under land-use and climate change. As we focus here on the effect of different representations of human decision-making on model performance, we leave the assessment of changes in re-forestation and corresponding changes in ecosystem services provision to future research.
2.3. Developing the Agent Typology
Agent typologies for AMBs should be appropriate to the modeling purpose [37], and reflect the main characteristics of the decision types under study in a parsimonious manner. Policy relevance can be increased if the typology is related or embedded in available farm census data and observed land-use choices [62]. Empirical research increasingly highlights the importance of considering multiple objectives [28,63,64,65] as well as attitudes and preferences towards more nature-friendly farming when representing farmers’ decision-making [62,65,66,67]. In addition, farm diversification and associated constraints on labor availability (and other aspects of part-time farming) are thought to strongly affect farming system development and decisions on land abandonment, particularly in mountain regions, and have been highlighted as important elements in recent farmer typologies [68,69]. Historical accounts of land abandonment in the study region and interviews with farmers and the agricultural extension office confirm the importance of this aspect and of considering socio-economic factors alongside environmental (i.e., parcel) characteristics when assessing land abandonment and reforestation. Therefore we based our agent decision typology on three main aspects: Objectives for farming, attitudes towards extensive land-uses, and attitudes towards taking on off-farm employment.
2.3.1. Farm Household Survey
From October 2011 to January 2012 we conducted both a mail survey and 15 semi-structured interviews to collect data on (i) farming objectives, (ii) farmer attitudes towards off-farm labor, and extensive land-uses, (iii) management intentions, and (iv) farm structural characteristics. The mail survey was sent out in November 2011 to all farmers registered in the livestock census of the municipalities within the modeled region and also the adjacent Matter valley to allow for a larger sample size. Of the 121 questionnaires returned (response rate 25%), 119 contained full decision-making information. Data on farming objectives and attitudes was collected on five-point Likert scales. The survey data was subsequently linked to agricultural farm census data. This enabled a cross-validation of information on livestock types, livestock numbers and farmed area, and also provided additional parcel-level data on land use, land-use intensities and enrollment in agri-environmental compensation schemes. After excluding survey responses where the census data indicated a farming area of 0 (bee keepers, retirees), 111 cases were retained for further analyses.
2.3.2. Actor Typology and Translation into Model Agent Types
Methodologically, the agent typology generation followed four steps: Firstly, we performed a principal component analysis (PCA) with a quartimax rotation on 19 questionnaire items relating to farming objectives and attitudes. The PCA served to condense the information in the data to a lower number of dimensions and to generate uncorrelated components for subsequent cluster analysis. The number of components retained was determined by analyzing the scree-plot, Very Simple Structure statistics (VSS) and the total explained variance. Respondents’ scores on each component were computed directly by regression using the principal function of the “psych package” of the R statistical computing environment [70]. Secondly, PCA regression coefficients were clustered by applying k-means clustering. Silhouette statistics were employed to select the number of clusters for further analysis. Thirdly, the typology was refined by describing the resulting clusters with respect to additional survey data on farm structure and management (labor use, household income, age, intentions for future management) and farm census data (land use, livestock types, parcel characteristics, participation in agri-environment schemes). Fourthly, the characteristics of the actor types were translated into model agents, including modeling constraints and guidelines for initial allocation of the decision-making types to model agents.
2.4. Model Validation and Sensitivity
Validation of ABM is a demanding task due to the theoretical as well as empirical challenges involved [71,72]. There are different methods of validating ABM such as comparison to real world data [73], an indirect approach [71], role playing games [74] or extensive sensitivity analysis [22,75,76]. The present study adopts a stepwise sensitivity analysis of model performance. Firstly, we use error decomposition as proposed by Sterman [77] to assess the best-performing model outcome of the agent-based model version and we compare it with modeled values of the aggregated model version as well as observed values of the number of animals and land-use in the case study region. Secondly, we use elementary effects (EE) defined by Morris [47] to determine the most important exogenous factors affecting model outcome and compare these EE’s between the two model versions. Thirdly, we test the impact of different policy measures on each model outcome.
2.4.1. Error Decomposition in Single Best-Performance
We perform a behavior reproduction test to assess the model’s ability to reproduce the behavior of observed data in our case study region. To achieve this, we describe the error between observed data and simulation output, measured point by point for each simulation run, and provide a decomposition of the error using the Theil inequality statistics [77]. The root mean square percentage error (RMSPE) represents the mean percentage difference between simulation and observed data with n as the number of observations, xm as the simulation output and xo as the values of the observed data.
The Theil inequality statistics allow this error to be decomposed into three components, so-called bias (UM), unequal variation (US) and unequal covariation (UC) based on the mean square error (MSE), see Equations (2) and (3), with as the mean value and s as the standard deviation. A bias arises when simulation output and observed data have different means. A large bias refers to a systematic error which should be corrected by adjusting parameters. Unequal variation implies that the variance of the two series differ, i.e., the model and the observed data have different trends (or amplitude fluctuations). Unequal covariation (with r = correlation coefficient) indicates that model and data are imperfectly correlated, i.e., they differ point by point but may have the same mean and trend. The sum of the three components is 1. Thus, the inequality statistics provide an easy interpretation breakdown of the sources of error.
For model calibration, we use census data from the Federal Office of Agriculture containing livestock housing capacities and numbers of farms as well as managed land, farmer age, livestock numbers and land in slope categories for each farm type in the year 2000 [78]. Model validation uses the development in exogenous input parameters, i.e., prices, costs and direct payments between the years 2001 and 2012 to test model behavior (see Table B1 in Appendix). The modeling results with respect to the number of animals (cattle and sheep) and land-use intensities (area of intensive and extensive land-uses) are then compared to the development of these parameters in the census data to assess the single best performance of the model (validation). To compare the different grazing animals, we use livestock units (LU) which represents a nutritional equivalent between sheep (0.17 LU), dairy cows (1 LU), suckler cows (0.8 LU), calves and heifers (0.4 LU). The total area of extensive grassland and total areas of intensive land-uses serve as indicators for land-use intensities. Extensive land-use covers the land-uses entitled to ecological compensation payments in Switzerland, namely extensively managed hay meadows, less intensively managed meadows and extensive pastures. Extensively managed meadows and pastures can only be cut or grazed after the 15th of July. Only two cuts or grazing rotations are permitted and no fertilizers are allowed on meadows.
2.4.2. Elementary Effects
The purpose of the concept of elementary effects is to determine those model factors that have an important impact on a specific output variable and can be understood as the change in an output y induced by a relative change in an input xi, e.g., the impact of the milk price on land rent or the number of animals in the simulation results.
In Equation (4), X is a vector containing k inputs or factors (x1, …, xi, …, xk) in producing the output y. A factor xi can take a value in an equal interval set. The symbol Δ denotes a predetermined increment of a factor xi. The number of levels chosen for each factor can be denoted with p. In the set of real numbers, xi1 and xip are the minimum and maximum values of the uncertainty range of factor xi, respectively. Each element of vector X is assigned a rational number or a natural integer number. The frequency distribution Fi of elementary effects for each factor xi gives an indication of the degree and nature of the influence of that factor on the specified output. For instance, a combination of a relatively small mean μi with a small standard deviation σi indicates that input xi has a negligible effect on the output. A large mean μi and a large standard deviation σi indicate a strong non-linear effect or strong interaction with other inputs. A large mean μi and a small standard deviation σi indicate a strong linear and additive effect.
We calculate the EE for the aggregated land rent, i.e., the objective function of ALUAM, and of the agents in ALUAM AB four the exogenous parameters presented in Table 1, i.e., prices, costs, direct payments and agent characteristics. In addition, we also provide the EE for the number of animals since this output is highly correlated to ecosystem services provision in our case study region [49].
Table 1.
Exogenous input parameters for sensitivity analysis.
| Parameters (k); p = 21 | Sub-Categories | Unit | Absolute Change (∆) | Min. Values (xi1) | Max. Values (xip) |
|---|---|---|---|---|---|
| Prices | |||||
| Milk price | - | CHF/kg | 0.085 | 0 | 1.70 |
| Lamb price | - | 22 | 0 | 443 | |
| Beef price | - | 232 | 0 | 4650 | |
| Costs | |||||
| Variable costs machines | - | CHF in % | 0.095 | 0.1 | 1.9 |
| Fixed costs machines | - | 0.095 | 0.1 | 1.9 | |
| Price of diesel fuel | - | 0.14 | 0.1 | 2.7 | |
| Direct payments (DP) | |||||
| General DP | - | CHF/ha | 114 | 1 | 2280 |
| Ecological compensation areas 1 | Production zone 2 | 43–143 | 1 | 855–2850 | |
| DP slope | Slope categories 3 | 35–48 | 1 | 703–970 | |
| Animal RFB payments 4 | CHF/per head | 86 | 1 | 1710 | |
| Animal TEP payments 5 | 92 | 1 | 1843 | ||
| Agent characteristics | |||||
| Available family labor | % of 2800 h | 0.095 | 0.1 | 1.9 | |
| Opportunity costs | CHF/hour | 0.95 | 0 | 19 |
1 Ecological compensation areas: Extensive meadowland (not more than one cut and no fertilizers), less intensive meadow-land, extensive pastures (only one rotation in autumn); 2 Administrative zone according to the Federal Office of Agriculture [79]: Valley bottom, hillside; mountain regions I–IV depending on climate conditions, road infrastructure and share of steep agricultural land; 3 Administrative category Slope <18%: 0 CHF; 18%–35%: 370 CHF per ha; <35%: 510 CHF per ha; 4 RFB: Payment per roughage livestock unit, i.e., beef cattle 900 CHF per LU; dairy cows and sheep 400 CHF per LU; 5 TEP: Payment per livestock unit in remote areas, i.e., 970 CHF per LU in mountain production zones.
2.4.3. Sensitivity to Changes in Direct Payments
Various additional techniques are available [80] to capture the sensitivity of the model. These often involve a specific experimental design or sampling strategy to reduce the number of model evaluations necessary [22]. EE trajectories are only viewed as a good way of screening single factors in sensitivity analysis but do not inform on effects of factor combinations on modeling outcomes. To further test the sensitivity of ALUAM with respect to policy measures that counteract land abandonment, we combine the most important factor identified in the EE trajectories with different levels of direct payments. Direct payments are the most important policy measure in Swiss agricultural policy to support mountain farming. In 2014, Switzerland enacted a new direct payment system [81]. In this context, payments for animals, i.e., a fixed payment for grazing animals (RFB payments) and animals kept under difficult production conditions in upland and mountain areas (TEP payments) were abolished. Direct payments per hectare (area payments) were assigned to specific objectives such as food security, biodiversity or landscape maintenance. Thus, we extended the sensitivity analysis by running both model versions, with and without animal related direct payments, to assess non-linearities and interactions between policy measures and model behavior.
3. Results
3.1. Agent Typology
The PCA yielded six components capturing 71% of the variance (see description and Table A1 in Appendix A). The cluster analysis of the regression based principal component scores identified five different farming types. Figure A1 in the Appendix shows the relationship between the factor scores (calculated from items with PCA loadings > 0.5) and the five actor types. The five types locate farmers on a gradual scale between more production-oriented full-time and leisure-oriented farming, and varying dependencies on off-farm work and income opportunities. In the following, we briefly describe the actor types including the most important results of the cross-tabulation with farm structure and census data as presented in Table 2.
Type 1: Production-oriented farmers
This type of farmer attaches great importance to generating an adequate income, high yields and innovative products from their farming activities. They tend to be less involved in local traditions, breeding competitions, or providing ecosystem or landscape services. With a few exceptions, farming is their primary source of income and most or all available labor is devoted to farming. Many also have access to hired labor. Opportunity costs are low, as they farm largely independent from work commitments outside of agriculture. Average farm size for this type is significantly higher than for the other types, both with respect to area farmed and livestock kept. The farming systems are mostly specialized, consisting of larger dairy, beef/suckling cattle, mixed or commercial sheep enterprises. Overall, however, the proportion of small livestock is low. Production-oriented farmers regard the financial and ecological benefits of extensive land-uses and the provision of ecosystem services as considerably less attractive than the other farming types. They have the lowest share of extensive land-use which is consistent with their attitudes and production-orientation. On average, they farm significantly higher quality farm land both with respect to slope as well as agricultural production zones.
Table 2.
Key characteristics of farmers, farm structure and land use for the five actor types. Numbers in brackets refer to median and standard deviation respectively.
| Full-Time Farmers | Part-Time Farmers | Leisure Farmers | ||||
|---|---|---|---|---|---|---|
| Production-Oriented Farmers (n = 16) | Ecological and Landscape Stewards (n = 19) | Part-Time/Leisure-Oriented Breeders (n = 30) | Traditionalist Leisure Farmers (n = 17) | Leisure-Oriented Farmers (n = 29) | ||
| Total managed land in cluster | ha | 365.8 | 275.9 | 274.2 | 130.2 | 200 |
| Farmer’s age | y | 46 (48; 9.53) | 45 (47; 7.58) | 50 (52.0; 8.36) | 46(47; 10.3) | 47 (47; 8.19) |
| Household income | kCHF | 60 (55; 27) | 82 (85; 30) | 66 (55; 22) | 68 (55; 23) | 76 (85; 16) |
| Household income from agriculture | % | 52 (70; 37) | 35 (30; 32) | 19 (10; 17) | 17 (10; 20) | 13 (10; 8) |
| Labor hours farm manager | h/day | 6.5 (7; 2.82) | 4.6 (3; 3.26) | 4.5 (5; 2.11) | 3.7 (3; 1.76) | 2.8 (3; 0.89) |
| Additional available labour (family or hired) | h/day | 10.2 (2.9; 19.54) | 7.4 (5; 7.91) | 5.4 (3.6; 7.38) | 2.9 (2.5; 3.11) | 4.9 (3; 4.95) |
| Managed agricultural land | ha | 22.9 (18.6; 17.82) | 14.5 (8.8; 13.40) | 9.1 (7.8; 5.12) | 7.7 (6.4; 2.43) | 6.9 (6.5; 2.89) |
| Total livestock | LU | 25.7 (14.8; 32.50) | 16 (9.8; 15.85) | 8.5 (7.2; 5.52) | 6.4 (5.2; 3.15) | 6.4 (5.9; 3.63) |
| of which small livestock | LU | 5.2 (4.3; 5.10) | 3.5 (2.7; 3.92) | 4.9 (4.3; 4.19) | 4.1 (4.1; 3.45) | 4.1 (4.3; 4.14) |
| of which large livestock | LU | 20.5 (3.6; 35.05) | 12.5 (4.4; 16.56) | 3.5 (0; 5.91) | 2.3 (0; 3.24) | 2.3 (1.2; 2.26) |
| of which dairy cows | LU | 14.7 (0; 22.26) | 2.1 (0; 4.99) | 1.4 (0; 2.91) | 0.5 (0; 1.5) | 0.8 (0; 1.55) |
| Small livestock | % | 20 | 22 | 58 | 64 | 65 |
| Land in severely disadvantaged production zone 54 | % | 52 | 83 | 72 | 63 | 58 |
| Land in production zone 53 | % | 15 | 9 | 26 | 32 | 35 |
| Land in best production zone (hill zone 41) | % | 29 | 6 | 1 | 0 | 2 |
| Steep land (> 18°) | % | 51 | 74 | 86 | 78 | 82 |
| Extensive grassland and pastures | % | 20 | 38 | 28 | 30 | 31 |
Type 2: Ecological and landscape stewards
Farmers in this cluster place a stronger emphasis on the social, ecological and landscape aspects of their farming activities than on the achievement of high yields or profits. They consider extensive land-use and the provision of ecological services to be both an adequate source of income and an effective measure to increase biodiversity. Farmers of this type engage mainly in medium sized suckling cow/beef, mixed, or horse enterprises or small to medium scale sheep and goat farming with an increasing focus of their farming activities towards ecological direct payments. While suckling cow and beef enterprises derive the bulk of their household income from agriculture, the average share of agricultural income in the overall cluster amounts to 35%. On average, farmers of this type devote about 4.6 h per day to farm work, with some variation between farms keeping large or small livestock. Perceived dependence on off-farm labor and income however is low, indicating a certain amount of flexibility in labor use due perhaps to extensification of production. Some of the farmers in this group have access to additional hired labor, and all of them to family labor. On average, this provides them with an additional 7.4 h per day of help on the farm. This cluster exhibits the highest proportion of extensive land uses among the five farming types which is consistent with the stronger ecological orientation of these farmers.
Type 3: Part-time or leisure-oriented breeders
Farmers in this cluster share a strong interest in being recognized as “good” farmers or breeders within their respective (farming) communities and like to share their farming passion by participating in exhibitions, competitions, or cow fights. By engaging in these activities, they also aim to maintain local traditions and contribute to village life. They derive their main income off-farm and devote on average about 4.5 h a day to farming. The stronger off-farm engagement of the farm manager is also reflected in higher perceived opportunity costs compared to the “Ecological and landscape stewards”. Most farmers in this group can count on additional family labor of on average 5.4 h per day (median 3.6 h). On average, this farm type houses 8.45 LU and manages an area of 9 ha. In addition to many small to medium scale enterprises focused on breeding small livestock, this cluster also includes farmers who keep low numbers of a specialized cattle breed often used for fighting and small to medium scale suckling/beef enterprises. On average, the proportion of steep land is highest in this cluster.
Type 4: Traditionalist leisure farmers
Farmers of this type undertake small-scale farming as a way to maintain local traditions. Compared to type 3, they do not aim for such a strong involvement in breeding, competitions and local decision-making, and perceive their opportunity costs to be much higher. All of the farmers are employed outside of agriculture and their farming activities depend strongly on off-farm work commitments and income. Therefore, labor invested in agricultural activities is low, as is the share of household income derived from agriculture. Of the 6.4 livestock units housed on average, the overall proportion of small livestock is high (64%). The main farming activities include sheep farming, horses and low numbers of suckling or dairy cows. Farm sizes are among the smallest in the survey.
Type 5: Leisure-oriented farmers
Farmers in this group place a high importance mainly on being involved in local decisions and village life. They are significantly less focused on achieving high income and yields than the other clusters but do not place a strong focus on ecological or competition objectives either. All of the farmers work outside of agriculture and, with an average of 2.8 h, labor invested in agricultural activities is very low. It is however complemented by a few hours of additional family labor (4.9 on average a day, median 3 h). Agriculture only contributes 13% to the total household income. Perceived opportunity costs are midway between the two other leisure-oriented farming types. Farms are small and the majority of the leisure farmers keep sheep only, occasionally mixed with low numbers of suckling cows or beef cattle. On the few farms which keep large livestock, the workload is carried by family members rather than by the farm manager himself.
Table 3 shows how the actor characteristics are implemented into agent types in ALUAM-AB. For the full parameterization of these characteristics we refer to Table B2 in the Appendix. Consistent with the actor typology, opportunity-cost levels were introduced as a main proxy to reflect non-economic objectives and attitudes in our income optimization model. The level of opportunity costs represent a measure of benefits forgone due to alternative uses of labor. Each agent type is assigned a specific threshold level as a percentage of a fixed monetary value i.e., the opportunity costs in the aggregated model version. Low opportunity costs imply that farm activities are maintained even though the income generated by these activities is low.
Table 3.
Translation of empirical farm type characteristics into parameter levels for implementation into the agent-based model.
| Full-Time Farmers | Part-Time Farmers | Leisure Farmers | |||
|---|---|---|---|---|---|
| 1. Production Oriented Farmers | 2. Ecological and Landscape Stewards | 3. Part-Time/Leisure Breeders | 4. Traditionalist Leisure Farmers | 5. Leisure Farmers | |
| Opportunity costs | Low | Low | Medium | High | Low |
| Available family labor | High | Medium | Medium | Low | Low |
| Farm growth possible | Yes | Yes/No | Yes | No | No |
| Additional hired workforce | Yes | No | No | No | No |
| Minimum income | High | Medium | Medium | Low | Zero |
| Succession rate % | High | Medium | Medium | Low | Low |
| Extensification | Low | High | Low | High | High |
| Farm size | High | Medium | Low | Low | Low |
| Livestock housing capacity | High | Medium | Small | Small | Small |
| Production system flexibility | Specialized | Mixed | Specialized | Mixed | Specialized |
Another important restriction for part-time and leisure-oriented farmers is the available work force. Additional work force, other than the family labor available, can only be hired by production-oriented farmers. In addition, farm growth in the model is only possible for the “Production-oriented farmers” and the “Part-time and leisure breeders” as well as “Ecological and landscape Stewards” since these agents are either more production-oriented or the survey has shown that they are more interested in farm growth. An agent type specific minimum income threshold was introduced as an additional proxy for non-economic farming objectives. In the optimization process, farms exit if they fail to achieve this minimum income threshold. For leisure-oriented farm types however this threshold level is set very low. The succession rate defines the probability that the farm will be taken over when the farmer retires (at the age of 65) and was derived from the farm survey and interviews. Farm extensification describes a maximum level of extensive meadows and pastures on the corresponding farm type. Parameters for farm and livestock housing capacities are derived from census data. Finally, the agents are assigned different production system flexibility, based on their stated preferences for specific farm activities in the survey and the interviews. “Ecological and landscape stewards” and “Traditionalist leisure farmers” can switch between cattle and sheep production. The other farm types, which are currently specialized, may invest in new fixed assets, i.e., farm buildings but cannot switch their production system. Changes in farm activities are further mediated through the land market module.
3.2. Model Validation: Best-Performing Simulation Output
Table 4 shows the results from the error decomposition to assess the single best output performance of ALUAM-AB with respect to the total number of animals measured in livestock units (LU), the number of sheep and cattle and the aggregated areas of intensive and extensive land use. To summarize, the overall errors of the model performance and the unequal variation error are small, and thus the model captures the mean and trends of the observed data satisfactorily. The mean percentage error of the simulation with respect to these output variables ranges between 1.5% for the number of sheep and 10.9% for the total amount of extensive land use.
Table 4.
Error decomposition in the single best-performing output of ALUAM-AB.
| Unit | RMSPE % | Bias (UM) | Unequal Variation (US) | Unequal Covariation (UC) | |
|---|---|---|---|---|---|
| Animal production unit | LU | 0.035 | 0.808 | 0.042 | 0.150 |
| Sheep | Nr. | 0.015 | 0.003 | 0.000 | 0.997 |
| Cattle | Nr. | 0.082 | 0.821 | 0.059 | 0.120 |
| Land-use (intensive) | ha | 0.057 | 0.810 | 0.002 | 0.188 |
| Land-use (extensive) | ha | 0.109 | 0.092 | 0.000 | 0.908 |
The remaining error in the case of sheep production can be attributed to an unequal covariation, i.e., the simulation shows small lags in the reproduction of observed data (see also Figure 1a). In contrast, the mean errors in total amount of animals (3.5%), cattle (8.5%) and intensive land use (5.7%) are associated with bias. The simulation results for the total amount of cattle and intensive land use are consistently lower than the actual number of dairy cows, sucklers and beef cattle (see Figure 1b) and the total amount of intensive grassland in the case study region (see Figure 1c), i.e., there is a systematic error between simulation results and observed data.
This bias is associated with the aggregation of agents’ resources, such as livestock housing capacities and workload, as well as fixed assumptions concerning technical parameters, such as nutrient requirements or mechanization. These assumptions are inevitable and could only be replaced by a data intensive expansion of model parameters to smooth the linear production functions in the model, i.e., by adding more production activities and sub-types of these activities. The unequal variation error for these output categories however, is small and thus no deviation from the trend could be detected.
The largest gap between model and observed data can be found for the aggregated area of extensive land use (see Figure 1d). The error can be attributed to the unequal covariation between simulation results and observed data indicating that the error is unsystematic. The model may not be able to fully capture the changes in the amount of extensive land use. In general, however, there is no systematic deviation from the trend. With respect to land abandonment, a year by year comparison is not possible since observed data on forest regrowth is only available for the whole period (+252 ha of forest). Compared to the initial distribution of parcels, ALUAM-AB abandoned 227 parcels (or ha). Thus, land abandonment is slightly underestimated in our approach.
Figure 1 also illustrates the differences between the sector supply model ALUAM and the agent-based model ALUAM-AB in the single best performing output. Without a specification of the agents, lamb production is not profitable and the number of sheep is continuously decreasing.
Figure 1.
Best-performing model outcome comparing simulation data from ALUAM and ALUAM-AB with observed changes between 2001 and 2012 in animal production (sheep and cattle) and land-use intensities. (a) Sheep production; (b) cattle production; (c) intensive grassland use; (d) extensive grassland use.
Figure 1.
Best-performing model outcome comparing simulation data from ALUAM and ALUAM-AB with observed changes between 2001 and 2012 in animal production (sheep and cattle) and land-use intensities. (a) Sheep production; (b) cattle production; (c) intensive grassland use; (d) extensive grassland use.

The same development can be observed for cattle between the years 2001 and 2008. The increase in prices in 2009 leads to a reversal of this trend. Due to the flexibility constraints, however, the increase is restricted to 10% of the number of cattle in the previous year. For intensive grassland use the aggregated model performs similar to the agent-based model version. In contrast, the amount of extensively used grassland is much lower in ALUAM. More land is abandoned which does not correspond well with the observed data. Overall, the agent-based model shows a better validation to observed data than the sector supply model ALUAM.
3.3. Elementary Effects
Figure 2 visualizes the mean and standard deviation of the elementary effects of the 13 exogenous parameters on land rent (the objective function of the model) and the number of animals in both model versions, i.e., with and without agents (n = 520 model runs). A detailed overview of EE effects for all parameters is provided in the Appendix (Table B3). Figure 2 shows that the same four parameters emerge as the main exogenous drivers in both model versions: Opportunity costs of labor, milk and lamb prices and the price for energy (fuel).
Figure 2.
Elementary effects (i.e., mean and standard deviation) of land rent and livestock units in the two model approaches for exogenous input factors. (a) EE land rent ALUAM; (b) EE land rent ALUAM-AB; (c) EE livestock units ALUAM; (d) EE livestock units ALUAM-AB.
Figure 2.
Elementary effects (i.e., mean and standard deviation) of land rent and livestock units in the two model approaches for exogenous input factors. (a) EE land rent ALUAM; (b) EE land rent ALUAM-AB; (c) EE livestock units ALUAM; (d) EE livestock units ALUAM-AB.

Compared to these four main drivers, both the mean and standard deviations of other parameters are relatively small, indicating that individual changes in these parameters result in a negligible effect on model outcome (all else being equal). In the sector supply model ALUAM, the mean and standard deviations are large for the impact of diesel price, opportunity costs and milk price on the aggregated land rent (Figure 2a). Simulations imply that the milk price results in the highest variability with respect to the objective function of the model. The impact of the milk price on the number of livestock units (Figure 2c) is much smaller since the model can switch its activities, i.e., from dairy cows to beef and breeding cattle or to sheep production, which overall compensates for the reduction in dairy cows. Such substitution effects are smaller for diesel price and opportunity costs which also have a high impact on the number of livestock. The lamb price has only a small impact on land rent and the number of livestock units in the aggregated model.
In the agent-based model ALUAM-AB, opportunity costs have the highest impact on land rent with respect to mean and standard deviation (Figure 2b). Milk price has a large impact on the mean, but exhibits a much lower variability compared to the sector supply model. The importance of the fuel price decreases in that it has a lower effect on the variability of the outcome compared to ALUAM. With respect to livestock units (Figure 2d), the results show that only opportunity costs have a large impact on mean and standard deviation. The influence of other exogenous inputs is reduced. This exemplifies the reduced flexibility in the agent-based model: Since farm types cannot switch to alternative farm activities, the impact of price and costs on the number of livestock units is small while the effect on the land rent, i.e., their agricultural income, is still high. The extent of this effect depends on the profitability of the corresponding farm activity.
Figure 3.
Comparison of changes in the number of dairy cows with one at a time changes in the milk price between 0 and 1.5 CHF in both model approaches.
Figure 3.
Comparison of changes in the number of dairy cows with one at a time changes in the milk price between 0 and 1.5 CHF in both model approaches.

The higher the profitability, the larger the impact it has on the objective function. Since the productivity of sheep rearing is low, changes in lamb prices have a much lower overall effect on land rent than changes in milk price and diesel costs. Thus, in contrast to the sector supply model, farmers in the agent-based model continue to produce even if prices vary strongly from one year to the next.
This effect is also illustrated in Figure 3 which shows the changes in the number of dairy cows with a one at a time decrease in milk price. In the aggregated model ALUAM, the number of dairy cows falls drastically if the milk price drops below 0.4 CHF. In contrast, agents in ALUAM-AB continue to produce milk due to structural restrictions (sunk costs in livestock housing capacities and availability of farmland through land market) and farm type characteristics (opportunity costs, intentions to grow and minimum income). This model behavior smoothes the adaptation of farm activities to socio-economic drivers and allows for a more subtle representation of farm structural changes consistent with real world observations (see Figure 1).
3.4. Sensitivity to Changes in Direct Payments
Figure 4 shows the interaction between the three levels of opportunity costs (10, 20 and 30 CHF) and the impact of two different direct payments schemes, i.e., with and without payments per livestock unit. Please note that these levels of opportunity costs are multiplied with the agent-specific levels of opportunity costs (low, medium, high) in the agent-based model (see Table 3 and Table B2). The figure directly compares the output from the two model versions with respect to the number of cattle and sheep as well as the amount of intensively and extensively used grassland. The simulation results of the sector supply and the agent-based model are represented with the blue and the brown bars respectively. In general, livestock and intensively used grassland areas in the aggregated model ALUAM are lower compared to the agent-based version ALUAM-AB and the reaction to changes in the direct payments is more pronounced. This is illustrated in the four diagrams:
- (1)
- Figure 4a shows that the resulting number of cattle is, in general, higher in the agent-based model than in the sector supply model. The only exception is the basic model run with all direct payments and the lowest level of opportunity costs (10 CHF) where the outputs from ALUAM and ALUAM AB show similar numbers. This exception can be explained by the fact that both models were calibrated to this basic combination of input factors. However, with increasing opportunity costs, the number of cattle decreases in the sector supply model irrespectively of direct payments (e.g., by 28% from 758 to 540 livestock units in the simulation runs with direct payments) whereas in the agent-based model opportunity costs have a smaller impact on the number of cattle. Although benefits foregone due to alternative uses of labor increase, cattle numbers remain stable or even increase slightly (e.g., by 3.6% from 611 to 633 livestock units in the simulation runs without area payments).
- (2)
- With respect to sheep, Figure 4b shows a different simulation behavior of the agent-based model. As in the sector supply model, the number of sheep decreases with increasing opportunity costs (e.g., by 46% from 609 to 328 livestock units in the simulation runs with direct payments). The two models also respond in a similar direction for both direct payment schemes. The abolishment of payments for animals leads to a decrease of sheep in both model versions. In the sector supply model, the number of sheep even falls to the minimum level, i.e., only production-oriented farmers still produce lamb.
- (3)
- The same pattern can also be observed for the amount of intensively used grassland. An increase in opportunity costs generally leads to a decrease in intensive meadows and pastures in both model versions (e.g., by 40% from 1048 to 632 hectares in the ALUAM simulation runs with direct payments). The discontinuation of payments for animals leads to a decrease in intensively used grassland in both model versions.
- (4)
- The change in the amount of extensively used grassland presented in Figure 4d reflects the opposite pattern of intensively used grassland. In the base simulations with direct payments, the amount of extensively used grassland increases with higher opportunity costs. Without payments for animals, the amount of extensive grassland reaches a threshold level, i.e., a corner solution in both simulation models. The amount of extensively used grassland does not exceed a level of 700 and 1000 ha in ALUAM and ALUAM-AB respectively.
Figure 4.
Sensitivity of model outputs ((a) cattle, (b) sheep, and (c,d) land-use intensities) to the abolition of animal based direct payments with three levels of opportunity costs. ALUAM = Sector supply model; ALUAM-AB = Agent-based ALUAM; 10,20,30 = level of opportunity costs in CHF.
Figure 4.
Sensitivity of model outputs ((a) cattle, (b) sheep, and (c,d) land-use intensities) to the abolition of animal based direct payments with three levels of opportunity costs. ALUAM = Sector supply model; ALUAM-AB = Agent-based ALUAM; 10,20,30 = level of opportunity costs in CHF.

The extent of land abandonment can be calculated by adding up areas of intensive and extensive land-use. Without animal based payments, the agricultural surface decreases by 25% in ALUAM whereas simulation results imply land abandonment of 2% in the ALUAM-AB results.
In conclusion, the simulation results presented in Section 3.4 illustrate that although the same exogenous inputs drive the outcome of both models, the interaction of policy measures and opportunity costs strongly influences simulation results. Analogous to the arguments discussed in Section 3.3, these effects can be attributed to the integration of agents’ characteristics into the sector supply model. ALUAM-AB is less flexible since areas and fixed assets, i.e., livestock housing capacities do not switch directly to more profitable agricultural activities as in the more aggregated model version. In the agent-based version, land can only be transferred via the land market module and farm type characteristics constrain production flexibility. In ALUAM-AB only “Ecological and landscape stewards” and “Traditionalist leisure farmers” can shift their production from sheep to cattle (or vice versa). However, based on the agent typology, full-time sheep farmers (farm businesses) and leisure-oriented farmers still remain in production as long as they meet their income thresholds. This leads to a more diversified production pattern in the agent-based model version.
4. Discussion
Socio-economic changes will continue to influence land abandonment in mountain regions [3,7,16]. Agent-based models offer the opportunity to include non-economic objectives and attitudes into land-use change models [36,37]. This is of specific importance when addressing farmers’ behavior in mountain regions [30,32,33]. The analysis of farmers’ decision-making in our case study region in the Valais, Switzerland confirms earlier findings that farmers have multiple values and objectives which translate into different farming strategies whereby profit maximization is only one [62,65,66,67]. Objectives of part-time and leisure-oriented farmers are particularly diverse and the aspiration to achieve high production and income levels through farming, as assumed by mainstream agricultural policy, is considerably less pronounced. Our analysis also highlights pronounced differences in availability of farm labor and opportunity costs that strongly affect farmers’ behavior, in line with findings from other European mountain regions [68]. By relating our analysis of farming objectives and attitudes to farm census data, we were able to develop a farmer typology that could be qualitatively integrated within a simulation framework to assess land-use changes in a mountain region.
To that end, we adapted an existing sector supply model to include specific farm type agents. The existing model uses constraint income maximization based on mathematical programming techniques to simulate an optimal allocation of agricultural production factors while considering a large number of constraints. The farm types identified in the survey are used as an empirical foundation for model restrictions with respect to opportunity costs, farm growth intentions or farm succession. This procedure allows us to take into account both structural characteristics (e.g., fixed assets in land and labor) of existing farms and different types of decision-making separately. Thus, the advantage of this framework is that it allows the consideration of different forms of management, agronomic conditions and locally available production factors restricting the flexibility of farmers to react to socio-economic changes while maintaining the micro-economic footing of the simulations [22]. The constraint agent behavior allows for a good fit of the simulations with observed data (see 4.2). Such behavioral validations are still a challenge in ABM [69,70,72]. In contrast to other ABM studies addressing farmland abandonment [40,41,42,45], however, we do not model individual farms and remain within the structure of traditional normative farm sector supply modeling approaches [56]. One key challenge in such normative approaches is that corner solutions emerge and these only change if input parameters vary considerably or additional restrictions are introduced into the model structure [56]. Although the integration of agents allows the inclusion of additional constraints, corner solutions may still translate into our framework (see for example the scope of extensive land-use under the sensitivity run without animal based payments). In addition, the integration of empirically grounded data that allows for more flexibility (or more constraints) in the modeling framework requires the acquisition of information on farmers’ decision-making. This is very costly and a transfer of the model to other regions demands a new parameterization of the model. This is a disadvantage that our approach shares with other ABM studies. Since our results show, however, that such details are important for model validation, more generic agents [37,82,83] or more flexible model frameworks [84] should still include context specific agents, especially in mountain regions.
A comparison of our ABM (ALUAM-AB) with a sector supply modeling approach [16,48,49,50], shows that the inclusion of agents allows for a better representation of the short and medium term developments of farm activity changes in mountain regions. At the same time, the findings from the assessment of elementary effects imply that the simulation results are driven by the same exogenous parameters in both model versions. Opportunity cost, i.e., the measure of benefits forgone due to alternative uses of labor, is the most influential factor. The importance of this factor is also supported by other empirical studies which show that farming in Swiss mountain regions would be unprofitable with high labor costs [85,86]. In addition, we find that production prices (milk and lamb) and input prices (fuel price) have a high impact on modeling results. This is in line with other studies that confirm that profitable agricultural activities in mountain and upland regions are very sensitive to these parameters [33,87]. The fact that both simulation approaches are driven by the same exogenous input parameters supports the use of ALUAM-AB to assess short and medium term land-use changes and land abandonment in mountain regions since the economic background of the sector supply model is maintained. On the other hand, it implies that an in-depth sensitivity analysis of opportunity costs is needed when using a comparative static approach to assess forest development in the context of long-term climate change impacts on re-forestation. Such a sensitivity analysis in the aggregated model would allow considering major uncertainties regarding the behavior of the next generation of land-users and the consequences for the provision of forest ecosystem services.
In contrast to Schouten et al. [76], we explicitly focus on exogenous parameters which vary over the simulation period and do not present the sensitivity of technical model parameters such as feed required per cow. However, we are aware that the model may be sensitive to these parameters, too. For example, the level of extensive land-use in our model also depends on the percentage of extensive biomass that can be consumed by a cow or sheep without reducing its output i.e., the amount of milk or meat produced. Thus, additional sensitivity analysis may still be required before using our modeling approach to answer more specific research questions.
The sensitivity analysis of the abolition of animal based direct payments presented here reveals that the extent and the form of the direct payment scheme have an essential impact on land abandonment in our simulations. This is in line with other ABM studies addressing land abandonment in marginal areas [41,45,88]. This finding also does not come as a surprise since Switzerland still provides some of the highest support for the agricultural sector worldwide [89] and farm structural change has been slow compared to other European alpine regions [28,90]. More importantly, however, our sensitivity analysis shows that an increase in opportunity costs leads to different simulation outputs for cattle in the two model versions if animal payments are abolished. The assessment of policy measures is thus sensitive to the chosen modeling approach and parameterization. This supports the importance of testing model sensitivity to different levels of opportunity costs. In addition, the extent of land abandonment in the aggregated model ALUAM was always more pronounced compared to the agent-based model version due to higher flexibility in shifts between production activities. This reflects the constraint development within an agent-based model framework which results in more diversified production patterns compared to a purely normative based optimization (see Section 3.3). In our sensitivity analysis, we did not show the spatially explicit consequences of land abandonment as presented in other studies [7,43,44]. For the aggregated model, this has been shown in Briner et al. [16,48]. The agent-based model allows for a more realistic spatially explicit representation of land abandonment in the short and medium term, as it better captures the diversity of decision-making in mountain farming. Combined with consistent scenario analysis [91] mountain-specific future developments of land abandonment, re-forestation and ecosystem services can be simulated and compared to other mountain regions such as the Jura mountains [45].
5. Conclusions
Land abandonment, and the subsequent re-forestation are important drivers behind land-use change and losses of ecosystem services in mountain regions. Agent-based models support the development and appraisal of policy and management options to counteract this development. Realigning the representation of human decision-making with time scales of ecological processes such as reforestation presents a major challenge in this context. Our sensitivity analysis comparing a land-use change model with and without agents cannot ultimately answer the question whether to implement agent-specific behavior anchored in the current farming generation or an aggregated optimization model with a focus on long-term ecosystem succession and forest development. Model choice depends on the scientific questions addressed and the corresponding (dis-) advantages of the different approaches. The sensitivity analysis presented here, however, helps to sensitize the model and parameter choice and shows two important directions for the interpretation of model results. Firstly, our agent-based model can capture short and medium term developments in land abandonment better than the aggregated version without losing its sensitivity to important socio-economic drivers. Therefore, also more generic or aggregated modeling approaches should maintain some specific (mountain) characterization of agent types. Secondly, long term and comparative static approaches should assess the sensitivity to opportunity costs or other relevant non-economic drivers in their model framework. This would allow considering some of the variations and uncertainties regarding current and future behavior of mountain farmers also in comparative static approaches and may reveal different reactions to policy changes. Overall, the analysis presented helps to (i) sensitize model and parameter choice (ii) identify important parameters for agent type characterization, and (iii) better interpret existing and future studies when assessing the impact of global change on land abandonment and re-forestation in mountain regions.
Acknowledgments
We would like to thank the farmers for their participation in the survey and the interviews, and the regional agricultural extension office for helpful comments and insights into the local farming systems. We would also like to thank Simon Briner, who developed the first agent-based implementation of ALUAM, the Competence Center of Environment and Sustainability (CCES) of ETH Zurich which funded this study through the projects MOUNTLAND and MOUNTLAND II and Jennifer Bays for English corrections. We are also grateful for the very helpful and constructive comments of two anonymous reviewers.
Author Contributions
R.H. designed research. J.M.B. and R.H. designed the survey, J.M.B. performed survey, farmer interviews and developed farmer typology, R.H., S.P. and S.H.B adapted model code; G.L. and R.H. performed simulation analyses; J.M.B. and R.H. wrote the manuscript; S.H.B. reviewed and commented on various versions of the manuscript. All authors read and approved the final manuscript.
Appendix A
Table A1.
Results of the principal component analysis of farming objectives and attitudes.
| REC | PROD | LOC_INF | COMP_TRAD | EVAL_EXT | OPP_COST | Communalities | |
|---|---|---|---|---|---|---|---|
| Farming Objectives | |||||||
| With my farming activities, how important is it for me to… | |||||||
| ...achieve high financial profit | 0.18 | 0.74 | 0.09 | 0.01 | 0.00 | −0.10 | 0.60 |
| ...earn enough for a good living | 0.03 | 0.67 | −0.11 | 0.16 | 0.17 | −0.41 | 0.68 |
| ...realize innovative products, projects, and ideas | −0.15 | 0.68 | 0.02 | 0.15 | 0.03 | 0.07 | 0.51 |
| ...achieve high yield and production | 0.11 | 0.76 | 0.14 | −0.06 | −0.19 | 0.11 | 0.67 |
| ...have the best/most beautiful animals, fields | 0.88 | 0.21 | 0.08 | −0.07 | −0.07 | 0.10 | 0.84 |
| ...present my achievements (e.g., in breeding animals) and compete with others in exhibitions or cow fights | 0.88 | −0.12 | 0.05 | 0.15 | 0.03 | 0.09 | 0.83 |
| ...maintain the traditions of the region and the family | 0.29 | 0.07 | 0.48 | 0.56 | −0.03 | 0.18 | 0.66 |
| ...comply with rules and regulations of society | 0.06 | 0.07 | 0.24 | 0.83 | −0.10 | 0.06 | 0.77 |
| ...fulfil the demands of the public (e.g., with respect to providing additional services) | 0.08 | 0.01 | 0.10 | 0.89 | 0.05 | −0.01 | 0.81 |
| ...maintain decision power for important issues in the village | 0.01 | 0.11 | 0.88 | 0.15 | 0.03 | −0.04 | 0.82 |
| ...contribute actively to economic/social activities in the village | 0.19 | −0.02 | 0.89 | 0.18 | 0.00 | 0.02 | 0.85 |
| ...earn recognition of other farmers | 0.68 | 0.10 | 0.25 | 0.31 | −0.02 | 0.00 | 0.63 |
| Attitudes towards part-time farming | |||||||
| The time I invest in farming depends on the level of income I can earn outside of agriculture | 0.19 | 0.07 | -0.17 | 0.04 | −0.02 | 0.82 | 0.75 |
| Without employment outside of agriculture which helps support my farming activities I would give up farming | 0.06 | −0.17 | 0.17 | 0.08 | −0.08 | 0.81 | 0.73 |
| Attitudes towards extensive land use | |||||||
| With extensive use of grassland and pastures I can achieve an adequate (financial) yield | 0.05 | −0.06 | 0.14 | −0.14 | 0.72 | −0.16 | 0.58 |
| With extensive grass and pasture I can considerably improve biodiversity and landscape quality | 0.08 | −0.25 | 0.04 | 0.03 | 0.78 | 0.01 | 0.67 |
| Remuneration for the provision of ecosystem and landscape services represents a good alternative to producing agricultural goods | −0.18 | 0.20 | −0.10 | 0.02 | 0.81 | −0.02 | 0.74 |
| Proportion of explained variance | 0.13 | 0.13 | 0.12 | 0.12 | 0.11 | 0.09 | |
| Cronbach Alpha | 0.8 | 0.71 | 0.84 | 0.8 | 0.67 | 0.64 | |
1 The overall KMO value amounted to 0.65 and was considered acceptable for exploratory analysis, as were the KMO values of individual items. The model with 6 extracted components showed a fit based on the diagonal of 0.93, and explained 71% of the variance.
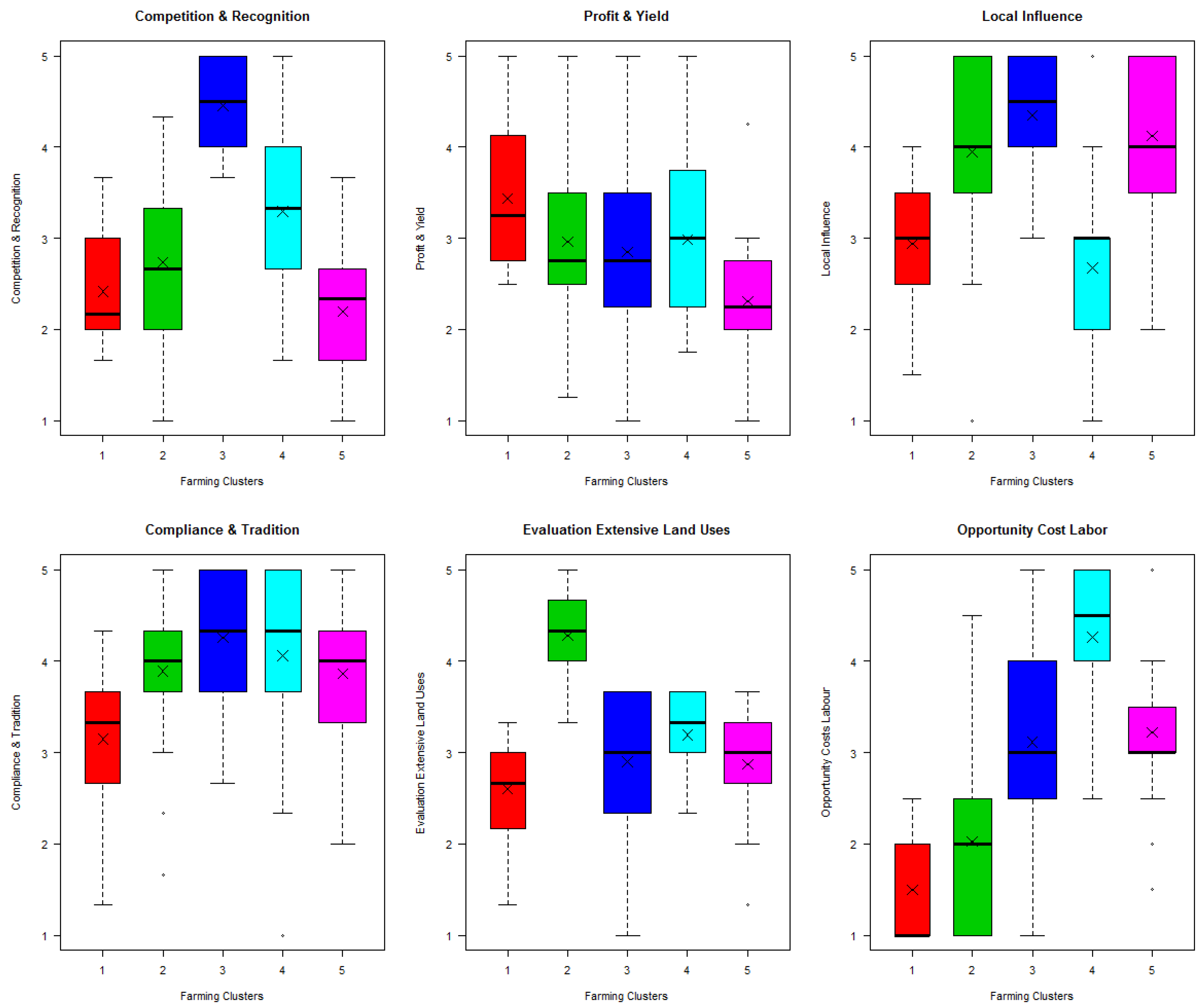
The PCA allowed the variance in the data to be summarized into 6 components: The first component, labeled “Recognition” (REC) reflects the aspiration of farmers to earn recognition within their own farming community, specifically by showing their livestock and skills at competitions and exhibitions. The second component, “Profit and Yield” (PROD), describes the degree to which farmers aim to achieve an adequate income, high profits and high yields from their farming activities. The third component, “Local influence” (LOC_INF), relates to maintaining an influence on, and contributing to, local village life through farming. The fourth component, labeled “Compliance and Tradition” (COMP_TRAD), summarizes farming motivations related to maintaining family traditions and to fulfilling societal expectations, e.g., with respect to providing additional ecological or landscape services. The fifth component, “Evaluation of extensive land-uses” (EVAL_EXT) describes how farmers perceive financial and non-financial benefits of extensive land-uses. Finally, the sixth component, “Opportunity costs” (OPP_COSTS), reflects the dependence of the farming engagement on extra-agricultural work commitments and income sources.
Figure A1.
Boxplots and mean values of farming objectives and attitudes for the five farming clusters
Figure A1.
Boxplots and mean values of farming objectives and attitudes for the five farming clusters

Appendix B
ODD Protocol for ALUAM-AB
B1. Purpose
The purpose of ALUAM-AB is to simulate future land-use changes, including farmland abandonment and corresponding re-forestation in mountain landscapes, triggered by the combined effects of climate, market and policy changes giving due considering to the individual preferences of the farmers. Thus, the consequences of changes in prices and policy measures relating to agricultural land-use activities can be simulated and feedback from climate change impacts on grassland and forestry can be considered. Spatially explicit information on agricultural land-use activities allows for a viable linkage with the forest landscape model LandClim.
B2. State Variables and Scale
Agents represent groups of farms. A farm agent has (1) its own state (i.e., land endowment, animal housing capacity, etc.) which is updated after every simulation period of one year and (2) decision-making mechanisms for managing farm resources (i.e., a constraint optimization based on mathematical programming techniques). The objective function and the set of constraints which define the solution space formally written as:
With Z = income per farmer; xj = agricultural farm activity (j = 1 to I); pj = returns on activity j; cj = cost per activity j; aij = technical coefficients required to produce xj (of constraint i and activity j); bij = available resource. The state of the farm agent includes variables for household composition and available resources (land, capital and labor) and a specific type of decision-making based on opportunity costs of labor and a threshold for minimum income (leisure-oriented, part-time, full-time farmer, see Figure 1). Information on decision-making types was derived from surveys and interviews and combined with agricultural census data (see Section 3.1). The smallest landscape unit in ALUAM-AB is an area of 100 m × 100 m as it is used by the individual agent-groups. Natural conditions of the different land-use units and potential fodder production are based on the results presented in Briner et al. [16]. Agronomic variables include yield losses, plant nutrient requirements (N, P), manure production and production coefficients such as fodder intake, growth, birth, deaths of animals, labor requirements etc. that are based on Swiss average data. Production related variables, e.g., the number of livestock or the amount of hay sold, are aggregated over farm groups and represent aggregated values over one year. In the optimization process, these variables are optimized under the consideration of different fodder and nutrient balances that link land-use activities with livestock activities. As a result, land-use intensities are, as in the sectoral supply approach, defined in a spatially explicit manner.
B3. Process Overview and Scheduling
ALUAM-AB proceeds in annual time steps. The agents allocate their available resources to maximize their income (aggregated land rent). Thereby they consider natural, farm level and individual constraints as well as incentives and regulations from the market and policy instruments. Investments in production capacity made in previous years are considered as sunk costs representing path dependencies of the individual farm groups. Structural change is modeled using a land market sub-model [45,61]. The model identifies land units that are no longer cultivated under the existing farm structure. There are three reasons why fields are attributed to the land market in the model: (i) units generate a land rent below zero, (ii) the corresponding agent does not reach the minimum wage level, therefore the farm is abandoned and all the assigned land enters the land market or (iii) the farmer retires in the simulation year and has no successor. The land market sub-model randomly assigns the land units to one of the other agents. It is then checked to confirm that this agent shows the two following characteristics: The agent receiving the land unit must want to expand his cultivated area (stated willingness to grow) and his shadow price for the land unit must be positive. If these conditions are not met, the land unit is returned to the land market and assigned randomly to another farm (Figure B1). Once again it is checked to verify that this agent fulfils the conditions for the assignment of land.
Figure B1.
Process overview of land market module in ALUAM-AB. Source: Adapted from [45]
Figure B1.
Process overview of land market module in ALUAM-AB. Source: Adapted from [45]

This procedure is repeated until all land units are assigned to a farm or none of the farms is willing to take the land units left on the market. Land units that are not transferred to other farms are defined as abandoned and natural vegetation dynamics get under way on these units (modeled in LandClim). If land-use allocation is optimal, farm capacities and livestock are updated and the next annual time step is initialized using the parameters (prices, costs) of the following year.
The environmental feedback is based on a “lightweight” coupling between ALUAM-AB and LandClim [26] and is modeled in the following sequence: While each model is driven by a (synchronized) time series of climate or agronomic constraints, land-use change is passed from ALUAM-AB to LandClim. In response, forest development is transferred from LandClim to ALUAM-AB. This data exchange occurs for time steps of 30 years, starting in the year 2010.
B4. Design Concepts
Emergence: Changes in farm activities emerge from an endogenous development that is determined by prices, policies, and decision-making type which are given exogenously. In addition, land-use patterns (intensity levels of land-use) emerge from the main outcome of the structural changes on agent level. Climate induced changes are also taken into account.
Adaptation: Agents respond to climatic, socio-economic and policy changes by adjusting their production activities, applying new production technologies, increasing (or reducing) land size and adjusting land-use intensities. In addition, agents also exit the sector if their income falls below a minimum threshold.
Prediction: The agent’s objectives are characterized by an overall farm income optimization approach. This dictates the allocation of an agent’s available resources to production giving due consideration to natural, farm-level and individual constraints as well as incentives and regulations from the market (yearly price and cost parameters) and policy scenarios. Thus, the fundamental concept behind our approach is rational economic behavior (land rent maximization) and no learning patterns exist. However, the consideration of individual constraints, such as opportunity costs, minimum income wage and limited time resources, leads to the inclusion of non-economic goals in the decision-making process.
Interaction: The interaction between the agents is based on the land market described in the process overview. Interaction between agents and the environment is based on the model linkage of LandClim and ALUAM-AB. Detailed information on spatially explicit natural conditions is provided by the LandClim model. Although the LandClim model can provide stochastic output, only mean changes in yields are considered in ALUAM-AB which does not include stochastic variables. The corresponding maps are used as an input for ALUAM-AB. The spatially explicit information following the optimization procedure is then re-entered into the vegetation model. These maps can be used to illustrate the changes in land-use dynamics.
B5. Initialization
Initial attributes for households were defined using information from the survey and interviews along with farm census data of the FOAG (see Section 2.3). Based on the distribution of the farm characteristics in the census data, we assigned the observed age structure to each farm type. Thus, the retirement of farmers within each farm type corresponds with the existing age structure in the case study region. This age structure is updated after every simulation period. The initial allocation of land-units to agents is based on a random assignment of parcels in which the share of parcels according to slope corresponds to the real world distribution [72]. The accumulative share of land cultivated by different agent types reported in the census data was determined for three slope strata (<18°, 18°–35°, >35°). Within these strata, the land-units were then allocated to the agents according to their relative land tenure with the help of a random number. Sensitivity tests with repeated random assignments showed marginal impact on simulation outcomes. Model versions initialized with allocation of land-units based on alternative or multiple stratification criteria (e.g., agricultural zone, municipality, elevation) performed badly compared to the observed data.
B6. Input
Information with respect to natural conditions is derived from the LandClim model and the crop model described in Briner et al. [16]. Price and cost developments in the applications of ALUAM were derived from scenarios for the European agricultural sector [92]. Policy and climate changes are based on an interdisciplinary development of scenarios for our case study region [91]. For the validation period, prices and costs were adopted from federal statistics (see Table B1). Table B2 shows the parameterization of the agents’ characteristics in ALUAM based on the results from Section 3.1.
Table B1.
Observed data: Price and cost assumptions for the period 2000–2012.
| Parameters (k)Pric | Unit | 2000 | 2001 | 2002 | 2003 | 2004 | 2005 | 2006 | 2007 | 2008 | 2009 | 2010 | 2011 | 2012 |
|---|---|---|---|---|---|---|---|---|---|---|---|---|---|---|
| Prices | ||||||||||||||
| Milk price | CHF/kg | 89.4 | 89.9 | 88.4 | 85.5 | 84.6 | 82.4 | 81.8 | 80.0 | 87.7 | 74.8 | 71.8 | 72.7 | 70.5 |
| Lamb price | 232 | 232 | 233 | 233 | 217 | 192 | 194 | 194 | 197 | 213 | 193 | 183 | 202 | |
| Beef price | 2446 | 2446 | 2423 | 2491 | 2677 | 2787 | 2968 | 3051 | 3197 | 3197 | 3197 | 3197 | 3197 | |
| Costs | ||||||||||||||
| Variable costs | % | 1 | 1 | 1 | 1 | 1 | 1.04 | 1.05 | 1.07 | 1.09 | 1.11 | 1.13 | 1.15 | 1.17 |
| Fixed costs | 1 | 1 | 1 | 1 | 1 | 1 | 1 | 1 | 1.01 | 1.02 | 1.03 | 1.04 | 1.06 | |
| Price of diesel | CHF/l | 1.44 | 1.4 | 1.34 | 1.36 | 1.45 | 1.64 | 1.74 | 1.77 | 2.03 | 1.6 | 1.72 | 1.86 | 1.93 |
| Direct payments | ||||||||||||||
| General DP | CHF/ha | 1200 | 1200 | 1200 | 1200 | 1200 | 1200 | 1200 | 1200 | 1080 | 1040 | 1040 | 1040 | 1020 |
| ECA | 700 | 700 | 700 | 700 | 700 | 700 | 700 | 700 | 700 | 700 | 700 | 700 | 700 | |
| DP slope | 510 | 510 | 510 | 510 | 510 | 510 | 510 | 510 | 510 | 510 | 620 | 620 | 620 | |
| RFB | CHF | 900 | 900 | 900 | 900 | 900 | 900 | 900 | 900 | 860 | 690 | 690 | 690 | 690 |
| TEP | 970 | 970 | 970 | 970 | 970 | 970 | 970 | 970 | 970 | 970 | 1010 | 1010 | 1010 | |
B7. Sub-models
LandClim: Forest dynamics and forest derived ES, such as potential timber harvest are simulated using the forest landscape model LandClim [93]. LandClim is a spatially explicit process based model that incorporates competition-driven forest dynamics and landscape-level disturbances to simulate forest dynamics on a landscape scale. LandClim was designed to examine the impact of climate change and forest management on forest development and structure [94]. The model has been tested in the Central Alps, North American Rocky Mountains, and Mediterranean forests, and has been used to simulate current, paleo-ecological [95,96,97] and future forest dynamics [55,94]. LandClim simulates forest growth in 25 m × 25 m cells using simplified versions of tree recruitment, growth and competition processes that are commonly included in forest gap models [98]. Forest growth is determined by climatic parameters (monthly temperature and precipitation), soil properties and topography, land-use and forest management and large-scale disturbances. Individual cells are linked together by the spatially explicit processes of seed dispersal, landscape disturbances and forest management. Forest succession processes within each cell are simulated in a yearly time step, while landscape-level processes are simulated in a decadal time step. Forest dynamics within each cell are simulated by following tree age cohorts, where cohorts are characterized by the mean biomass of an individual tree and the number of trees in the cohort. We implemented a forest management regime to evaluate potential timber production within each landscape cell. Forest stands are evaluated every 20 years to determine if they should be entered and timber removed. If the average height of the dominant trees within a stand (largest 100 trees∙ha−1) is greater than 15 m, the stand is entered and all trees with a DBH (diameter at breast height) greater than 20 cm are harvested. This yields harvested trees that have an average DBH between 25 and 30 cm. This management routine is used to obtain a timber production value for each cell on the landscape. This can then be returned to ALUAM and used to inform land-use conversion. For this study, the data on forest production and forest ecosystem services was taken from an earlier analysis [16,48,49,50].
Table B2.
Parameterization of agent characteristics in ALUAM-AB.
| Agent Name | Farm Type | Opportunity Costs | Available Work | Minimum Income | Number of Farms | Average Farm Size | Thereof Slope >18% | Land Per Agent | Farm Growth | Succession Rate | Sheep | Dairy Cows | Beef Cattle | Suckler Cows |
|---|---|---|---|---|---|---|---|---|---|---|---|---|---|---|
| % of × CHF | % of 2800 | CHF | ha | ha | ha | in % | Number in the year 2000 | |||||||
| MILAS | 1 | 0.2 | 1 | 25,000 | 7 | 42.1 | 5.4 | 295 | Yes | 0.75 | 237 | 215 | ||
| MASA | 1 | 0.2 | 0.6 | 25,000 | 11 | 11.7 | 4.8 | 129 | Yes | 0.75 | 376 | |||
| MUK | 1 | 0.5 | 0.6 | 25,000 | 3 | 24.9 | 12.5 | 75 | Yes | 0.75 | 86 | 43 | ||
| MIAA | 2 | 0.2 | 0.5 | 10,000 | 44 | 5.2 | 2.8 | 227 | 0.55 | 156 | 123 | |||
| MILA | 2 | 0.2 | 0.5 | 10,000 | 10 | 13.1 | 6.1 | 131 | 0.55 | 93 | 93 | |||
| MIAS | 2 | 0.2 | 0.8 | 10,000 | 14 | 6.8 | 2.7 | 95 | 0.45 | 44 | 41 | 208 | ||
| SCH | 2 | 0.2 | 0.5 | 100,000 | 23 | 7.1 | 4.0 | 164 | 0.45 | 870 | ||||
| MIAAS | 2 | 0.2 | 0.8 | 10,000 | 6 | 15.6 | 8.3 | 93 | 0.45 | 26 | 27 | 146 | ||
| AUR | 3 | 0.5 | 0.5 | 0 | 19 | 2.8 | 1.3 | 52 | 0.45 | 208 | ||||
| LEG | 3 | 0.5 | 0.5 | 0 | 18 | 6.6 | 2.5 | 119 | 0.45 | 222 | ||||
| MISCH | 3 | 1.25 | 0.3 | 0 | 26 | 6.4 | 3.0 | 165 | Yes | 0.55 | 558 | |||
| MILS | 4 | 1 | 0.5 | 10,000 | 4 | 26.1 | 11.0 | 104 | Yes | 0.55 | 38 | 27 | ||
| AK | 4 | 1 | 0.3 | 10,000 | 26 | 6.5 | 1.8 | 170 | 0.55 | |||||
| MIL | 5 | 0.2 | 0.3 | 0 | 40 | 4.0 | 2.4 | 162 | 0.45 | 932 | ||||
| Total | 251 | 7.9 | 4.9 | 1981 | 3236 | 592 | 898 | 43 | ||||||
B8. Crop Model
Projected future yields of relevant crops are calculated using FAO (Food and Agriculture Organization of the UN) data on optimal and absolute crop growing conditions. The minimum and maximum temperature and precipitation values that support optimal crop development and the values that define the crops’ temperature and precipitation extremes, are extracted from the FAO crop data base EcoCrop (FAO, online http://ecocrop.fao.org). These four values formed the basis for a relative crop yield curve for temperature and precipitation values using an incomplete beta distribution. These species specific crop yield curves are then used to calculate the relative yield for six crops based on monthly precipitation and temperature values for each landscape cell (100 m × 100 m) in the case study landscape. The projected realized yield is taken as the minimum yield value from the temperature and precipitation responses. If land is irrigated, yield is only deemed to be limited by temperature responses. The absolute yield of crops is calculated by standardizing the values against observed yield of crops in 2000.
Table B3.
Elementary effects in two model versions.
| ALUAM-AB | ALUAM | ALUAM-AB | ALUAM | ALUAM-AB | ALUAM | |||||||
|---|---|---|---|---|---|---|---|---|---|---|---|---|
| Land Rent (CHF) | Animal Total | Grassland Intensive | ||||||||||
| Mean | Stdev | Mean | Stdev | Mean | Stdev | Mean | Stdev | Mean | Stdev | Mean | Stdev | |
| Prices | ||||||||||||
| Milk price | 229,915 | 131,355 | 305,040 | 185,823 | 33 | 19 | 45 | 44 | 6 | 5 | 8 | 6 |
| Lamb | 35,221 | 24,010 | 29,203 | 13,407 | 19 | 10 | 10 | 10 | 9 | 7 | 7 | 7 |
| Price beef | 822 | 1365 | 1542 | 2269 | 0.4 | 0.6 | 0.6 | 0.8 | 0.3 | 0.4 | 0.4 | 0.6 |
| Costs | ||||||||||||
| Variable costs machines | 8 | 5 | 14 | 8 | 0.0 | 0.0 | 0.0 | 0.0 | 0.0 | 0.0 | 0.0 | 0.0 |
| Fixed costs machines | 66 | 38 | 88 | 58 | 0.0 | 0.0 | 0.1 | 0.0 | 0.0 | 0.0 | 0.0 | 0.0 |
| Price of diesel fuel | 112,646 | 231,293 | 260,699 | 333,490 | 45 | 33 | 231 | 115 | 61 | 48 | 194 | 99 |
| Direct Payments | ||||||||||||
| General DP | 8860 | 4911 | 10,533 | 5910 | 0.1 | 0.1 | 1.0 | 0.5 | 0.0 | 0.0 | 1.1 | 0.5 |
| ECA | 1315 | 983 | 1040 | 1873 | 1.0 | 0.6 | 1.0 | 0.5 | 1.5 | 0.8 | 1.2 | 0.6 |
| DP slope | 10,574 | 5920 | 11,915 | 7213 | 0.0 | 0.2 | 0.5 | 0.4 | 0.0 | 0.1 | 0.8 | 0.5 |
| RFB Payments | 472 | 514 | 794 | 907 | 0.1 | 0.0 | 0.2 | 0.2 | 0.1 | 0.0 | 0.0 | 0.1 |
| TEP payments | 7371 | 4407 | 10,152 | 6370 | 3.6 | 2.0 | 4.7 | 3.3 | 2.8 | 1.2 | 2.3 | 1.2 |
| Agent Characteristics | ||||||||||||
| Workload | 1744 | 3893 | 0.6 | 0.9 | 1583 | 2644 | ||||||
| Opportunity costs | 244,625 | 329,172 | 244,625 | 329,172 | 160 | 143 | 160 | 143 | 170 | 115 | 170 | 115 |
Abbreviations: DP: Direct Payments; ECA: Environmental compensation area; RFB: Payment per roughage livestock unit, TEP: Payment per livestock unit in remote areas.
Conflicts of Interest
The authors declare no conflict of interest.
References
- MacDonald, D.; Crabtree, J.R.; Wiesinger, G.; Dax, T.; Stamou, N.; Fleury, P.; Gutierrez Lazpita, J.; Gibon, A. Agricultural abandonment in mountain areas of Europe: Environmental consequences and policy response. J. Environ. Manag. 2000, 59, 47–69. [Google Scholar] [CrossRef]
- Tasser, E.; Walde, J.; Tappeiner, U.; Teutsch, A.; Noggler, W. Land-use changes and natural reforestation in the Eastern Central Alps. Agric. Ecosyst. Environ. 2007, 118, 115–129. [Google Scholar] [CrossRef]
- Sitzia, T.; Semenzato, P.; Trentanovi, G. Natural reforestation is changing spatial patterns of rural mountain and hill landscapes: A global overview. For. Ecol. Manag. 2010, 259, 1354–1362. [Google Scholar] [CrossRef]
- Keenleyside, C.; Tucker, G.M. Farmland Abandonment in the EU: An Assessment of Trends and Prospects; Report Prepared for WWF; Institute for European Environmental Policy: London, UK, 2010. [Google Scholar]
- Huber, R.; Rigling, A.; Bebi, P.; Brand, F.S.; Briner, S.; Buttler, A.; Elkin, C.; Gillet, F.; Grêt-Regamey, A.; Hirschi, C.; et al. Sustainable land use in mountain regions under global change: Synthesis across scales and disciplines. Ecol. Soc. 2013, 18, 36. [Google Scholar] [CrossRef]
- Gehrig-Fasel, J.; Guisan, A.; Zimmermann, N.E. Tree line shifts in the Swiss Alps: Climate change or land abandonment? J. Veg. Sci. 2007, 18, 571–582. [Google Scholar] [CrossRef]
- Gellrich, M.; Baur, P.; Koch, B.; Zimmermann, N.E. Agricultural land abandonment and natural forest re-growth in the Swiss mountains: A spatially explicit economic analysis. Agric. Ecosyst. Environ. 2007, 118, 93–108. [Google Scholar] [CrossRef]
- Gellrich, M.; Baur, P.; Robinson, B.H.; Bebi, P. Combining classification tree analyses with interviews to study why sub-alpine grasslands sometimes revert to forest: A case study from the Swiss Alps. Agric. Syst. 2008, 96, 124–138. [Google Scholar] [CrossRef]
- Gellrich, M.; Zimmermann, N.E. Investigating the regional-scale pattern of agricultural land abandonment in the Swiss mountains: A spatial statistical modelling approach. Landsc. Urban Plan. 2007, 79, 65–76. [Google Scholar] [CrossRef]
- Pointereau, P.; Coulon, F.; Girard, P.; Lambotte, M.; Stuczynski, T.; Sanchez Ortega, V.; del Rio, A. Analysis of Farmland Abandonment and the Extent and Location of Agricultural Areas that are Actually Abandoned or are in Risk to be Abandoned; European Commission-JRC-Institute for Environment and Sustainability: Ispra, Italy, 2008. [Google Scholar]
- Huber, R.; Bugmann, H.; Buttler, A.; Rigling, A. Sustainable land-use practices in European mountain regions under global change: An integrated research approach. Ecol. Soc. 2013, 18, 37. [Google Scholar] [CrossRef]
- Figueiredo, J.; Pereira, H. Regime shifts in a socio-ecological model of farmland abandonment. Landsc. Ecol. 2011, 26, 737–749. [Google Scholar] [CrossRef]
- Claessens, L.; Schoorl, J.; Verburg, P.; Geraedts, L.; Veldkamp, A. Modelling interactions and feedback mechanisms between land use change and landscape processes. Agric. Ecosyst. Environ. 2009, 129, 157–170. [Google Scholar] [CrossRef]
- Flury, C.; Gotsch, N.; Rieder, P. Site-specific and regionally optimal direct payments for mountain agriculture. Land Use Policy 2004, 22, 207–214. [Google Scholar] [CrossRef]
- Renwick, A.; Jansson, T.; Verburg, P.H.; Revoredo-Giha, C.; Britz, W.; Gocht, A.; McCracken, D. Policy reform and agricultural land abandonment in the EU. Land Use Policy 2013, 30, 446–457. [Google Scholar] [CrossRef]
- Briner, S.; Huber, R.; Elkin, C.; Grêt-Regamey, A. Assessing the impacts of economic and climate changes on land-use in mountain regions: A spatial dynamic modeling approach. Agric. Ecosyst. Environ. 2012, 149, 50–63. [Google Scholar] [CrossRef]
- Parker, D.C.; Manson, S.M.; Janssen, M.A.; Hoffmann, M.J.; Deadman, P. Multi-agent systems for the simulation of land-use and land-cover change: A review. Ann. Assoc. Am. Geogr. 2003, 93, 314–337. [Google Scholar] [CrossRef]
- Heckbert, S.; Baynes, T.; Reeson, A. Agent-based modeling in ecological economics. Ann. N. Y. Acad. Sci. 2010, 1185, 39–53. [Google Scholar] [CrossRef] [PubMed]
- An, L. Modeling human decisions in coupled human and natural systems: Review of agent-based models. Ecol. Model. 2012, 229, 25–36. [Google Scholar] [CrossRef]
- Le, Q.B.; Park, S.J.; Vlek, P.L.G.; Cremers, A.B. Land-Use Dynamic Simulator (LUDAS): A multi-agent system model for simulating spatio-temporal dynamics of coupled human-landscape system. I. Structure and theoretical specification. Ecol. Inform. 2008, 3, 135–153. [Google Scholar] [CrossRef]
- Kelly, R.A.; Jakeman, A.J.; Barreteau, O.; Borsuk, M.E.; ElSawah, S.; Hamilton, S.H.; Henriksen, H.J.; Kuikka, S.; Maier, H.R.; Rizzoli, A.E.; et al. Selecting among five common modelling approaches for integrated environmental assessment and management. Environ. Model. Softw. 2013, 47, 159–181. [Google Scholar] [CrossRef]
- Berger, T.; Troost, C. Agent-based modelling of climate adaptation and mitigation options in agriculture. J. Agric. Econ. 2014, 65, 323–348. [Google Scholar] [CrossRef]
- Valbuena, D.; Verburg, P.; Bregt, A.; Ligtenberg, A. An agent-based approach to model land-use change at a regional scale. Landsc. Ecol. 2010, 25, 185–199. [Google Scholar] [CrossRef]
- Schouten, M.; Opdam, P.; Polman, N.; Westerhof, E. Resilience-based governance in rural landscapes: Experiments with agri-environment schemes using a spatially explicit agent-based model. Land Use Policy 2013, 30, 934–943. [Google Scholar] [CrossRef]
- Nainggolan, D.; Termansen, M.; Fleskens, L.; Hubacek, K.; Reed, M.S.; de Vente, J.; Boix-Fayos, C. What does the future hold for semi-arid Mediterranean agro-ecosystems? Exploring cellular automata and agent-based trajectories of future land-use change. Appl. Geogr. 2012, 35, 474–490. [Google Scholar] [CrossRef]
- Schreinemachers, P.; Berger, T. An agent-based simulation model of human-environment interactions in agricultural systems. Environ. Model. Softw. 2011, 26, 845–859. [Google Scholar] [CrossRef]
- Rounsevell, M.D.A.; Arneth, A. Representing human behaviour and decisional processes in land system models as an integral component of the Earth system. Glob. Environ. Change 2011, 21, 840–843. [Google Scholar] [CrossRef]
- Flury, C.; Huber, R.; Tasser, E. Future of mountain agriculture in the Alps. In The Future of Mountain Agriculture; Mann, S., Ed.; Springer: Berlin, Germany, 2013; pp. 105–126. [Google Scholar]
- Schirpke, U.; Leitinger, G.; Tasser, E.; Schermer, M.; Steinbacher, M.; Tappeiner, U. Multiple ecosystem services of a changing Alpine landscape: Past, present and future. Int. J. Biodivers. Sci. Ecosyst. Serv. Manag. 2012. [Google Scholar] [CrossRef]
- Marini, L.; Klimek, S.; Battisti, A. Mitigating the impacts of the decline of traditional farming on mountain landscapes and biodiversity: A case study in the European Alps. Environ. Sci. Policy 2011, 14, 258–267. [Google Scholar] [CrossRef]
- Celio, E.; Flint, C.G.; Schoch, P.; Grêt-Regamey, A. Farmers’ perception of their decision-making in relation to policy schemes: A comparison of case studies from Switzerland and the United States. Land Use Policy 2014, 41, 163–171. [Google Scholar] [CrossRef]
- Pinter, M.; Kirner, L. Strategies of disadvantaged mountain dairy farmers as indicators of agricultural structural change: A case study of Murau, Austria. Land Use Policy 2014, 38, 441–453. [Google Scholar] [CrossRef]
- Garcia-Martinez, A.; Bernués, A.; Olaizola, A.M. Simulation of mountain cattle farming system changes under diverse agricultural policies and off-farm labour scenarios. Livest. Sci. 2012, 137, 73–86. [Google Scholar] [CrossRef]
- Huber, R.; Flury, C.; Finger, R. Factors affecting farm growth intentions of family farms in mountain regions: Empirical evidence for central Switzerland. Land Use Policy 2015, 47, 188–197. [Google Scholar] [CrossRef]
- Agarwal, C.; Green, G.M.; Grove, J.M.; Evans, T.P.; Schweik, C.M. A Review and Assessment of Land-Use Change Models. Dynamics of Space, Time, and Human Choice; General Technical Report NE-29; U.S. Department of Agriculture, Forest Service, Northeastern Research Station: Newtown Square, PA, USA, 2002.
- Smajgl, A.; Brown, D.G.; Valbuena, D.; Huigen, M.G.A. Empirical characterisation of agent behaviours in socio-ecological systems. Environ. Model. Softw. 2011, 26, 837–844. [Google Scholar] [CrossRef]
- Rounsevell, M.D.A.; Robinson, D.T.; Murray-Rust, D. From actors to agents in socio-ecological systems models. Philos. Trans. R. Soc. B Biol. Sci. 2011, 367, 259–269. [Google Scholar] [CrossRef] [PubMed]
- Lindner, M.; Maroschek, M.; Netherer, S.; Kremer, A.; Barbati, A.; Garcia-Gonzalo, J.; Seidl, R.; Delzon, S.; Corona, P.; Kolström, M.; et al. Climate change impacts, adaptive capacity, and vulnerability of European forest ecosystems. For. Ecol. Manag. 2010, 259, 698–709. [Google Scholar] [CrossRef]
- Foster, D.; Swanson, F.; Aber, J.; Burke, I.; Brokaw, N.; Tilman, D.; Knapp, A. The importance of land-use legacies to ecology and conservation. Bioscience 2003, 53, 77–88. [Google Scholar] [CrossRef]
- Gibon, A.; Sheeren, D.; Monteil, C.; Ladet, S.; Balent, G. Modelling and simulating change in reforesting mountain landscapes using a social-ecological framework. Landsc. Ecol. 2010, 25, 267–285. [Google Scholar] [CrossRef]
- Piorr, A.; Ungaro, F.; Ciancaglini, A.; Happe, K.; Sahrbacher, A.; Sattler, C.; Uthes, S.; Zander, P. Integrated assessment of future CAP policies: Land use changes, spatial patterns and targeting. Environ. Sci. Policy 2009, 12, 1122–1136. [Google Scholar] [CrossRef]
- Brady, M.; Sahrbacher, C.; Kellermann, K.; Happe, K. An agent-based approach to modeling impacts of agricultural policy on land use, biodiversity and ecosystem services. Landsc. Ecol. 2012, 27, 1363–1381. [Google Scholar] [CrossRef]
- Bakker, M.M.; van Doorn, A.M. Farmer-specific relationships between land use change and landscape factors: Introducing agents in empirical land use modelling. Land Use Policy 2009, 26, 809–817. [Google Scholar] [CrossRef]
- Millington, J.; Romero-Calcerrada, R.; Wainwright, J.; Perry, G. An agent-based model of mediterranean agricultural land-use/cover change for examining wildfire risk. J. Artif. Soc. Soc. Simul. 2008, 11, 4. [Google Scholar]
- Huber, R.; Briner, S.; Peringer, A.; Lauber, S.; Seidl, R.; Widmer, A.; Gillet, F.; Buttler, A.; Le, Q.B.; Hirschi, C. Modeling social-ecological feedback effects in the implementation of payments for environmental services in pasture-woodlands. Ecol. Soc. 2013, 18, 41. [Google Scholar] [CrossRef]
- Nguyen, T.G.; de Kok, J.L. Systematic testing of an integrated systems model for coastal zone management using sensitivity and uncertainty analyses. Environ. Model. Softw. 2007, 22, 1572–1587. [Google Scholar] [CrossRef]
- Morris, M.D. Factorial sampling plans for preliminary computational experiments. Technometrics 1991, 33, 161–174. [Google Scholar] [CrossRef]
- Briner, S.; Elkin, C.; Huber, R. Evaluating the relative impact of climate and economic changes on forest and agricultural ecosystem services in mountain regions. J. Environ. Manag. 2013, 129, 414–422. [Google Scholar] [CrossRef] [PubMed]
- Briner, S.; Huber, R.; Bebi, P.; Elkin, C.; Schmatz, D.R.; Grêt-Regamey, A. Trade-offs between ecosystem services in a mountain region. Ecol. Soc. 2013, 18, 35. [Google Scholar] [CrossRef]
- Huber, R.; Briner, S.; Bugmann, H.; Elkin, C.; Hirschi, C.; Seidl, R.; Snell, R.; Rigling, A. Inter- and transdisciplinary perspective on the integration of ecological processes into ecosystem services analysis in a mountain region. Ecol. Processes 2014, 3, 9. [Google Scholar] [CrossRef]
- Hirschi, C.; Widmer, A.; Briner, S.; Huber, R. Combining policy network and model-based scenario analyses: An assessment of future ecosystem goods and services in swiss mountain regions. Ecol. Soc. 2013, 18, 42. [Google Scholar] [CrossRef]
- Brand, F.S.; Seidl, R.; Le, Q.B.; Brändle, J.M.; Scholz, R.W. Constructing consistent multiscale scenarios by transdisciplinary processes: The case of mountain regions facing global change. Ecol. Soc. 2013, 18, 43. [Google Scholar] [CrossRef]
- Bundesamt für Statistik (Swiss Federal Statistical Office, BFS). Arealstatistik; BFS: Neuchâtel, Switzerland, 2014. [Google Scholar]
- Bundesamt für Landwirtschaft (Federal Office for Agriculture, BLW). AGIS; BLW: Bern, Switzerland, 2013. [Google Scholar]
- Elkin, C.; Gutiérrez, A.G.; Leuzinger, S.; Manusch, C.; Temperli, C.; Rasche, L.; Bugmann, H. A 2 °C warmer world is not safe for ecosystem services in the European Alps. Glob. Change Biol. 2013, 19, 1827–1840. [Google Scholar] [CrossRef] [PubMed]
- Buysse, J.; van Huylenbroeck, G.; Lauwers, L. Normative, positive and econometric mathematical programming as tools for incorporation of multifunctionality in agricultural policy modelling. Agric. Ecosyst. Environ. 2007, 120, 70–81. [Google Scholar] [CrossRef]
- Chen, X.; Önal, H. Modeling agricultural supply response using mathematical programming and crop mixes. Am. J. Agric. Econ. 2012, 94, 674–686. [Google Scholar] [CrossRef]
- Grimm, V.; Berger, U.; Bastiansen, F.; Eliassen, S.; Ginot, V.; Giske, J.; Goss-Custard, J.; Grand, T.; Heinz, S.K.; Huse, G.; et al. A standard protocol for describing individual-based and agent-based models. Ecol. Model. 2006, 198, 115–126. [Google Scholar] [CrossRef]
- Grimm, V.; Berger, U.; DeAngelis, D.L.; Polhill, J.G.; Giske, J.; Railsback, S.F. The ODD protocol: A review and first update. Ecol. Model. 2010, 221, 2760–2768. [Google Scholar] [CrossRef]
- Müller, B.; Balbi, S.; Buchmann, C.M.; de Sousa, L.; Dressler, G.; Groeneveld, J.; Klassert, C.J.; Le, Q.B.; Millington, J.D.A.; Nolzen, H.; et al. Standardised and transparent model descriptions for agent-based models: Current status and prospects. Environ. Model. Softw. 2014, 55, 156–163. [Google Scholar] [CrossRef]
- Lauber, S. Agrarstrukturwandel im Berggebiet; Agroscope Forschungsanstalt Reckenholz-Tänikon (ART): Zürich, Switzerland, 2006; p. 217. [Google Scholar]
- Guillem, E.E.; Barnes, A.P.; Rounsevell, M.D.A.; Renwick, A. Refining perception-based farmer typologies with the analysis of past census data. J. Environ. Manag. 2012, 110, 226–235. [Google Scholar] [CrossRef] [PubMed]
- Gasson, R. Goals and values of farmers. J. Agric. Econ. 1973, 24, 521–542. [Google Scholar] [CrossRef]
- Solano, C.; Leon, H.; Perez, E.; Herrero, M. Characterising objective profiles of Costa Rican dairy farmers. Agric. Syst. 2001, 67, 153–179. [Google Scholar] [CrossRef]
- Karali, E.; Brunner, B.; Doherty, R.; Hersperger, A.; Rounsevell, M.A. The effect of farmer attitudes and objectives on the heterogeneity of farm attributes and management in Switzerland. Hum. Ecol. 2013, 41, 915–926. [Google Scholar] [CrossRef]
- Valbuena, D.; Verburg, P.H.; Bregt, A.K. A method to define a typology for agent-based analysis in regional land-use research. Agric. Ecosyst. Environ. 2008, 128, 27–36. [Google Scholar] [CrossRef]
- Daloğlu, I.; Nassauer, J.I.; Riolo, R.L.; Scavia, D. Development of a farmer typology of agricultural conservation behavior in the American Corn Belt. Agric. Syst. 2014, 129, 93–102. [Google Scholar] [CrossRef]
- López-i-Gelats, F.; Milán, M.J.; Bartolomé, J. Is farming enough in mountain areas? Farm diversification in the Pyrenees. Land Use Policy 2011, 28, 783–791. [Google Scholar] [CrossRef]
- O’Rourke, E.; Kramm, N.; Chisholm, N. The influence of farming styles on the management of the Iveragh uplands, Southwest Ireland. Land Use Policy 2012, 29, 805–816. [Google Scholar] [CrossRef]
- Revelle, W. psych: Procedures for Psychological, Psychometric, and Personality Research; Version 1.4.8.11; Northwestern University: Evanston, IL, USA, 2014; Available online: http://CRAN.R-project.org/package=psych (accessed on 1 September 2014).
- Windrum, P.; Fagiolo, G.; Moneta, A. Empirical validation of agent-based models: Alternatives and prospects. J. Artif. Soc. Soc. Simul. 2007, 10, 8. [Google Scholar]
- Filatova, T.; Verburg, P.H.; Parker, D.C.; Stannard, C.A. Spatial agent-based models for socio-ecological systems: Challenges and prospects. Environ. Model. Softw. 2013, 45, 1–7. [Google Scholar] [CrossRef]
- Bert, F.E.; Rovere, S.L.; Macal, C.M.; North, M.J.; Podestá, G.P. Lessons from a comprehensive validation of an agent based-model: The experience of the Pampas Model of Argentinean agricultural systems. Ecol. Model. 2014, 273, 284–298. [Google Scholar] [CrossRef]
- Villamor, G.B.; Le, Q.B.; Djanibekov, U.; van Noordwijk, M.; Vlek, P.L.G. Biodiversity in rubber agroforests, carbon emissions, and rural livelihoods: An agent-based model of land-use dynamics in lowland Sumatra. Environ. Model. Softw. 2014, 61, 151–165. [Google Scholar] [CrossRef]
- Daloğlu, I.; Nassauer, J.I.; Riolo, R.; Scavia, D. An integrated social and ecological modeling framework—Impacts of agricultural conservation practices on water quality. Ecol. Soc. 2014, 19, 12. [Google Scholar] [CrossRef]
- Schouten, M.; Verwaart, T.; Heijman, W. Comparing two sensitivity analysis approaches for two scenarios with a spatially explicit rural agent-based model. Environ. Model. Softw. 2014, 54, 196–210. [Google Scholar] [CrossRef]
- Sterman, J.D. Business Dynamics: Systems Thinking and Modeling for a Complex World; Irwin/McGraw-Hill: Boston, MA, USA, 2000; Volume 19. [Google Scholar]
- Bundesamt für Landwirtschaft (Federal Office for Agriculture, BLW). Agrarpolititsches Informationssystem (AGIS); BLW: Bern, Switzerland, 2012. [Google Scholar]
- Federal Office for Agriculture (FOAG). Zonenkarte; FOAG: Bern, Switzerland, 2014; Available online: http://www.blw.admin.ch/themen/00015/00182/ (accessed on 1 January 2014).
- Saltelli, A.; Annoni, P. How to avoid a perfunctory sensitivity analysis. Environ. Model. Softw. 2010, 25, 1508–1517. [Google Scholar] [CrossRef]
- Mann, S.; Lanz, S. Happy Tinbergen: Switzerland’s new direct payment system. EuroChoices 2013, 12, 24–28. [Google Scholar] [CrossRef]
- Murray-Rust, D.; Brown, C.; van Vliet, J.; Alam, S.J.; Robinson, D.T.; Verburg, P.H.; Rounsevell, M. Combining agent functional types, capitals and services to model land use dynamics. Environ. Model. Softw. 2014, 59, 187–201. [Google Scholar] [CrossRef]
- Arneth, A.; Brown, C.; Rounsevell, M.D.A. Global models of human decision-making for land-based mitigation and adaptation assessment. Nat. Clim. Change 2014, 4, 550–557. [Google Scholar] [CrossRef]
- Murray-Rust, D.; Robinson, D.T.; Guillem, E.; Karali, E.; Rounsevell, M. An open framework for agent based modelling of agricultural land use change. Environ. Model. Softw. 2014, 61, 19–38. [Google Scholar] [CrossRef]
- Lips, M. Calculating full costs for Swiss dairy farms in the mountain region using a maximum entropy approach for joint-cost allocation. Int. J. Agric. Manag. 2014, 3, 145–153. [Google Scholar]
- Jan, P.; Lips, M.; Dumondel, M. Synergies and trade-offs in the promotion of the economic and environmental performance of Swiss dairy farms located in the mountain area. Yearb. Socioecono. Agric. 2011, 4, 135–161. [Google Scholar]
- Hanley, N.; Acs, S.; Dallimer, M.; Gaston, K.J.; Graves, A.; Morris, J.; Armsworth, P.R. Farm-scale ecological and economic impacts of agricultural change in the uplands. Land Use Policy 2012, 29, 587–597. [Google Scholar] [CrossRef]
- Brady, M.; Kellermann, K.; Sahrbacher, C.; Jelinek, L. Impacts of decoupled agricultural support on farm structure, biodiversity and landscape mosaic: Some EU results. J. Agric. Econ. 2009, 60, 563–585. [Google Scholar] [CrossRef]
- Huber, R.; Häberli, C. A “beyond WTO” scenario for Swiss agriculture: Consequences for income generation and the provision of public goods. Yearb. Socioecon. Agric. 2010, 2010, 361–400. [Google Scholar]
- Streifeneder, T.; Tappeiner, U.; Ruffini, F.; Tappeiner, G.; Hoffmann, C. Selected aspects of agro-structural change within the Alps. J. Alp. Res. 2007, 95, 41–52. [Google Scholar] [CrossRef]
- Walz, A.; Braendle, J.M.; Lang, D.J.; Brand, F.; Briner, S.; Elkin, C.; Hirschi, C.; Huber, R.; Lischke, H.; Schmatz, D.R. Experience from downscaling IPCC-SRES scenarios to specific national-level focus scenarios for ecosystem service management. Technol. Forecast. Soc. Change 2013, 86, 21–32. [Google Scholar] [CrossRef]
- Abildtrup, J.; Audsley, E.; Fekete-Farkas, M.; Giupponi, C.; Gylling, M.; Rosato, P.; Rounsevell, M. Socio-economic scenario development for the assessment of climate change impacts on agricultural land use: A pairwise comparison approach. Environ. Sci. Policy 2006, 9, 101–115. [Google Scholar] [CrossRef]
- Schumacher, S.; Bugmann, H.; Mladenoff, D.J. Improving the formulation of tree growth and succession in a spatially explicit landscape model. Ecol. Model. 2004, 180, 175–194. [Google Scholar] [CrossRef]
- Schumacher, S.; Bugmann, H. The relative importance of climatic effects, wildfires and management for future forest landscape dynamics in the Swiss Alps. Glob. Change Biol. 2006, 12, 1435–1450. [Google Scholar] [CrossRef]
- Colombaroli, D.; Henne, P.D.; Kaltenrieder, P.; Gobet, E.; Tinner, W. Species responses to fire, climate and human impact at tree line in the Alps as evidenced by palaeo-environmental records and a dynamic simulation model. J. Ecol. 2010, 98, 1346–1357. [Google Scholar] [CrossRef]
- Henne, P.D.; Elkin, C.M.; Reineking, B.; Bugmann, H.; Tinner, W. Did soil development limit spruce (Picea abies) expansion in the central Alps during the Holocene? Testing a palaeobotanical hypothesis with a dynamic landscape model. J. Biogeogr. 2011, 38, 933–949. [Google Scholar] [CrossRef]
- Elkin, C.; Giuggiola, A.; Rigling, A.; Bugmann, H. Short- and long-term efficacy of forest thinning to mitigate drought impacts in mountain forests in the European Alps. Ecol. Appl. 2015, 25, 1083–1098. [Google Scholar] [CrossRef]
- Bugmann, H. A review of forest gap models. Clim. Change 2001, 51, 259–305. [Google Scholar] [CrossRef]
© 2015 by the authors; licensee MDPI, Basel, Switzerland. This article is an open access article distributed under the terms and conditions of the Creative Commons Attribution license (http://creativecommons.org/licenses/by/4.0/).