Trade-Offs, Synergies, and Driving Mechanisms of Ecosystem Services in the Gully Region of the Loess Plateau
Abstract
1. Introduction
- How did the spatiotemporal patterns of key ecosystem services in Qingyang evolve from 2000 to 2020?
- Do the relationships among different ecosystem services predominantly manifest as synergies or trade-offs, and do these relationships exhibit significant temporal stage characteristics and spatial heterogeneity?
- To what extent did natural and anthropogenic factors drive these changes, and were there significant interaction-enhancement effects among them?
- Under the coexistence of continued ecological restoration and accelerated energy development, regulating/supporting services in Qingyang generally improved, whereas WY and some provisioning services exhibited stronger fluctuations and spatial heterogeneity;
- HQ-SR-CS were generally synergistic, whereas WY tended to exhibit trade-offs with other services, and FS-GS was more likely to trade off with some regulating services;
- Precipitation, topography, and NDVI constitute the natural basis of the spatial differentiation of ecosystem services, while land-use change, energy development, and socioeconomic activities amplify such differentiation through interaction effects.
2. Materials and Methods
2.1. Study Area Overview
- Surface deformation and land degradation [24], where mining subsidence areas and industrial land occupation have intensified the consumption of land resources;
- Structural damage to water systems, as water consumption by the energy and chemical industries has exacerbated the water supply–demand imbalance, increasing the risk of localized water pollution [25];
- Imbalance in biogeochemical cycles, where soil petroleum hydrocarbon contamination and heavy metal accumulation pose potential threats to agricultural product safety [26].
2.2. Data Sources
2.3. Research Methods
2.3.1. Ecosystem Service Assessment
- Habitat Quality (HQ)
- Soil Retention (SR)
- Carbon Storage (CS)
- Water Yield (WY)
- Food Supply (FS)
- Grassland Forage Supply (GS)
2.3.2. Ecosystem Service Trade-Offs and Synergies
2.3.3. Optimal Parameters-Based Geographical Detector (OPGD)
3. Results
3.1. Quantification of Ecosystem Services
3.1.1. Spatiotemporal Patterns of Habitat Quality
3.1.2. Spatiotemporal Patterns of Soil Retention
3.1.3. Spatiotemporal Patterns of Carbon Storage
3.1.4. Spatiotemporal Patterns of Water Yield
- Accuracy validation of the water yield model
- Spatiotemporal variation characteristics of WY
3.1.5. Spatiotemporal Patterns of Food Supply Service
3.1.6. Spatiotemporal Patterns of Grassland Forage Supply
3.2. Trade-Offs and Synergies Among Ecosystem Services
3.3. Driving Force Analysis Based on OPGD
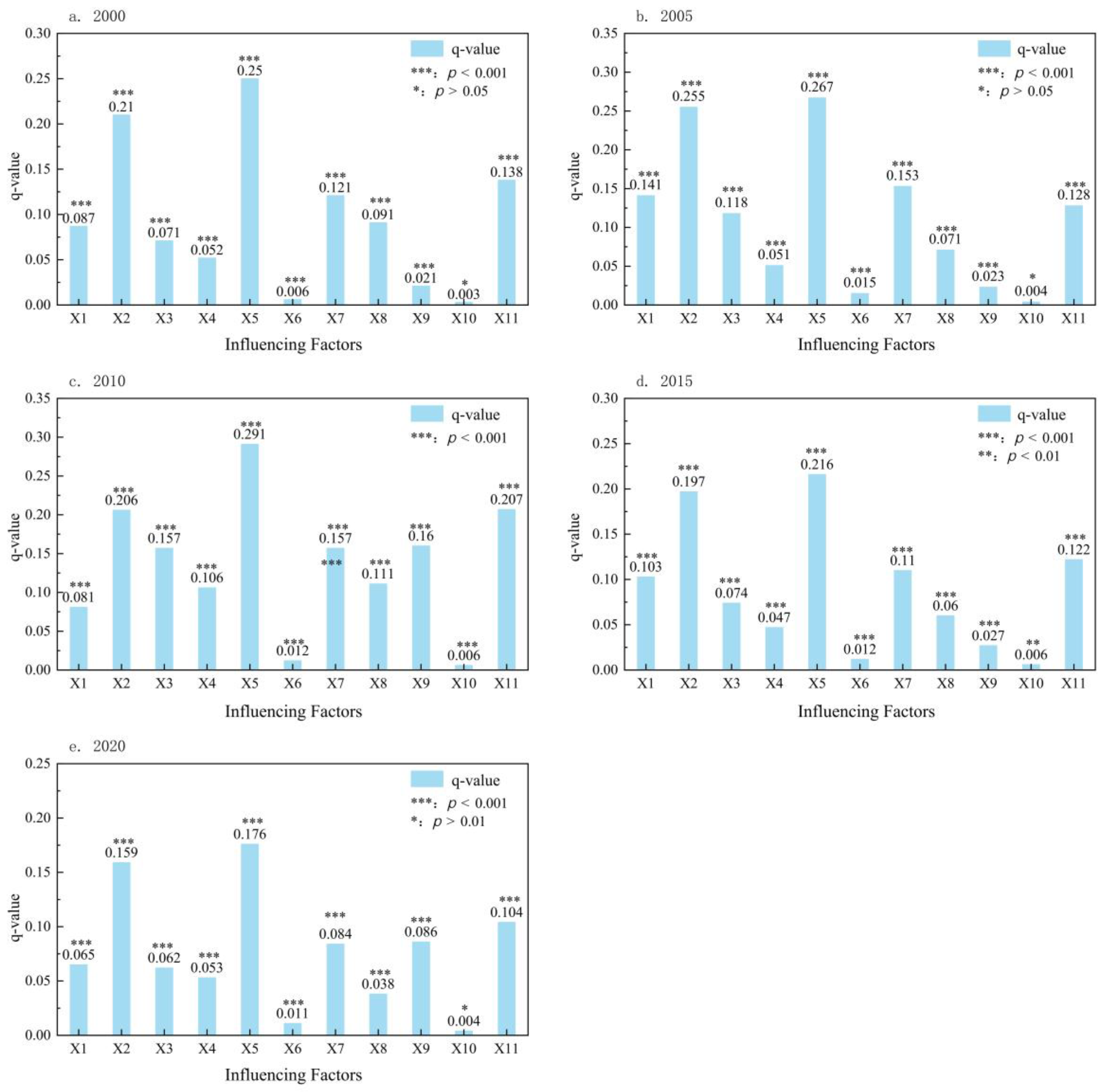
3.3.1. Single Factor Detection Results
3.3.2. Interaction Detection Results
4. Discussion
4.1. Regional Commonalities and Local Differences in Ecosystem Service Evolution
4.2. Scale Characteristics of Trade-Off and Synergy Patterns and Their Governance Implications
4.3. Evolution of Driving Mechanisms, Effects of Energy Development, and Ecological Risks
4.4. Implications for Territorial Spatial Governance
5. Conclusions
Author Contributions
Funding
Data Availability Statement
Acknowledgments
Conflicts of Interest
References
- Yu, Y.; Zhao, W.; Martinez-Murillo, J.F.; Pereira, P. Loess Plateau: From Degradation to Restoration. Sci. Total Environ. 2020, 738, 140206. [Google Scholar] [CrossRef]
- Liu, W.; Zhang, H.; Zhu, J.; Hu, A. Strategies for Gully Stabilization and Highland Protection in Chinese Loess Plateau. Front. Earth Sci. 2022, 10, 812609. [Google Scholar] [CrossRef]
- The People’s Government of Qingyang City. Available online: https://zgqingyang.gov.cn/sq (accessed on 1 April 2026).
- Gao, S.; Guan, Q.; Dong, D.; Huang, F. Environmental Risks of Shale Gas Exploitation and Solutions for Clean Shale Gas Production in China. Front. Earth Sci. 2021, 15, 406–422. [Google Scholar] [CrossRef]
- Lu, Z.; Yang, S.; Chen, W.; Lu, L.; Fan, Y.; Yue, C.; Shi, Y. Coupling Coordination and Driving Factors of the Water-Energy-Food Nexus in China: A Sustainable Development Perspective. Energy Nexus 2025, 20, 100545. [Google Scholar] [CrossRef]
- Harvey, M.; Pilgrim, S. The New Competition for Land: Food, Energy, and Climate Change. Food Policy 2011, 36, S40–S51. [Google Scholar] [CrossRef]
- Measuring Distance to SDGs. Available online: https://www.oecd.org/en/topics/measuring-distance-to-sdgs.html (accessed on 8 March 2026).
- Fan, J. Resource and Environmental Carrying Capacity Warning Technology Method; Science Press: Beijing, China, 2019. [Google Scholar]
- Finlayson, C.M. Millennium Ecosystem Assessment. In The Wetland Book; Finlayson, C.M., Everard, M., Irvine, K., McInnes, R.J., Middleton, B.A., Van Dam, A.A., Davidson, N.C., Eds.; Springer: Dordrecht, The Netherlands, 2016; pp. 1–5. [Google Scholar]
- Fu, B.; Wu, X.; Wang, Z.; Wu, X.; Wang, S. Coupling Human and Natural Systems for Sustainability: Experience from China’s Loess Plateau. Earth Syst. Dyn. 2022, 13, 795–808. [Google Scholar] [CrossRef]
- Lü, Y.; Fu, B.; Feng, X.; Zeng, Y.; Liu, Y.; Chang, R.; Sun, G.; Wu, B. A Policy-Driven Large Scale Ecological Restoration: Quantifying Ecosystem Services Changes in the Loess Plateau of China. PLoS ONE 2012, 7, e31782. [Google Scholar] [CrossRef] [PubMed]
- Feng, X.; Fu, B.; Piao, S.; Wang, S.; Ciais, P.; Zeng, Z.; Lü, Y.; Zeng, Y.; Li, Y.; Jiang, X.; et al. Revegetation in China’s Loess Plateau Is Approaching Sustainable Water Resource Limits. Nat. Clim. Change 2016, 6, 1019–1022. [Google Scholar] [CrossRef]
- Yuan, L.; Wu, Y.; Fan, Q.; Li, P.; Liang, J.; Wang, Z.; Li, R.; Shi, L. Spatial Distribution, Composition, and Source Analysis of Petroleum Pollutants in Soil from the Changqing Oilfield, Northwest China. Mar. Pollut. Bull. 2022, 185, 114338. [Google Scholar] [CrossRef]
- Liu, C.; Zhai, X.; Ai, K. Ecological Safety Assessment and Convergence of Resource-Based Cities in the Yellow River Basin. Sustainability 2024, 16, 2983. [Google Scholar] [CrossRef]
- Zhang, M.; Tang, X. Quantification and Analysis of Factors Influencing Territorial Spatial Conflicts in the Gully Region of the Loess Plateau: A Case Study of Qingyang City, Gansu Province, China. Sustainability 2025, 17, 3552. [Google Scholar] [CrossRef]
- Ouyang, Z.; Wang, R.; Zhao, J. Ecosystem Services and Their Economic Valuation. Chin. J. Appl. Ecol. 1999, 10, 635–640. [Google Scholar] [CrossRef]
- Czúcz, B.; Keith, H.; Maes, J.; Driver, A.; Jackson, B.; Nicholson, E.; Kiss, M.; Obst, C. Selection Criteria for Ecosystem Condition Indicators. Ecol. Indic. 2021, 133, 108376. [Google Scholar] [CrossRef]
- Du, M. Changes in Water and Sediment Regime and Erosion-Sediment Yield Pattern of Rivers in the Loess Plateau Gully Region. Ph.D. Thesis, University of Chinese Academy of Sciences, Beijing, China, 2022. [Google Scholar]
- Yang, S.; Jin, Z.; Yu, Y. Analysis of the Spatial Temporal Characteristics of LUCC from 1975 to 2015 on the Dongzhi Loesstablelan. Quat. Sci. 2019, 39, 1433–1442. [Google Scholar]
- Wen, X.; Zhen, L. Soil Erosion Control Practices in the Chinese Loess Plateau: A Systematic Review. Environ. Dev. 2020, 34, 100493. [Google Scholar] [CrossRef]
- Hou, Q.; Pei, T.; Chen, Y.; Ji, Z.; Xie, B. Variations of Drought and Its Trend in the Loess Plateau from 1986 to 2019. J. Appl. Ecol. 2021, 32, 649–660. [Google Scholar] [CrossRef]
- Gansu Provincial Water Resources Bulletin—Gansu Provincial Water Resources Department Portal Website. Available online: https://slt.gansu.gov.cn/slt/c106726/c106732/c106773/c106775/tld_2.shtml (accessed on 8 March 2026).
- Lancia, M.; Yao, Y.; Andrews, C.B.; Wang, X.; Kuang, X.; Ni, J.; Gorelick, S.M.; Scanlon, B.R.; Wang, Y.; Zheng, C. The China Groundwater Crisis: A Mechanistic Analysis with Implications for Global Sustainability. Sustain. Horiz. 2022, 4, 100042. [Google Scholar] [CrossRef]
- Zheng, L.; Zhu, L.; Wang, W.; Guo, L.; Chen, B. Land Subsidence Related to Coal Mining in China Revealed by L-Band InSAR Analysis. Int. J. Environ. Res. Public Health 2020, 17, 1170. [Google Scholar] [CrossRef] [PubMed]
- Li, Z.; He, X.; Lu, C. Assessment and Analysis of Groundwater Overexploitation in China. E3S Web Conf. 2021, 228, 01008. [Google Scholar] [CrossRef]
- Gao, H.; Wu, M.; Liu, H.; Xu, Y.; Liu, Z. Effect of Petroleum Hydrocarbon Pollution Levels on the Soil Microecosystem and Ecological Function. Environ. Pollut. 2022, 293, 118–511. [Google Scholar] [CrossRef] [PubMed]
- InVEST, 3.18.0; Integrated Valuation of Ecosystem Services and Tradeoffs. Natural Capital Alliance: Stanford, CA, USA, 2026.
- Tallis, H.; Polasky, S. Mapping and Valuing Ecosystem Services as an Approach for Conservation and Natural-Resource Management. Ann. N. Y. Acad. Sci. 2009, 1162, 265–283. [Google Scholar] [CrossRef]
- InVEST|Natural Capital Alliance. Available online: https://naturalcapitalalliance.stanford.edu/software/invest (accessed on 8 March 2026).
- Terrado, M.; Sabater, S.; Chaplin-Kramer, B.; Mandle, L.; Ziv, G.; Acuña, V. Model Development for the Assessment of Terrestrial and Aquatic Habitat Quality in Conservation Planning. Sci. Total Environ. 2016, 540, 63–70. [Google Scholar] [CrossRef]
- Liu, C.; Yang, J.; Xie, B.; Chen, Y.; Pei, T. Temporal and Spatial Characteristics of Habitat Quality and Its Topographic Gradient Effect in the Gansu-Qinghai Section of the Yellow River Basin. J. Agric. Resour. Environ. 2023, 40, 372–383. [Google Scholar] [CrossRef]
- Singh, P.D.; Klamerus-Iwan, A.; Hawryło, P.; Sierka, E.; Pietrzykowski, M. Possibility of Spatial Estimation of Soil Erosion Using Revised Universal Soil Loss Equation Model and Generalized Additive Model in Post-hard Coal Mining Spoil Heap. Land Degrad. Dev. 2024, 35, 923–935. [Google Scholar] [CrossRef]
- Feng, X. Assessment of Ecosystem Service Functions and Scenario Prediction on the Loess Plateau Based on the InVEST Model. Master’s Thesis, Northwest A&F University, Xianyang, China, 2025. [Google Scholar]
- Xu, J.; Liu, H. Assessment and Prediction of Ecosystem Services Trade-Offs and Synergies Relationships in Gansu Province. LZUFE-KMS 2024, 44, 1863–1874. [Google Scholar]
- Yang, J.; Xie, B.; Zhang, D. Spatio-Temporal Evolution of Carbon Stocks in the Yellow River Basin Based on InVEST and CA-Markov Models. Chin. J. Eco-Agric. 2021, 29, 1018–1029. [Google Scholar] [CrossRef]
- Ma, J. Analysis and Prediction of Carbon Storage and Habitat Quality Based on InVEST Model:Taking LongDongNan Region as an Example. Master’s Thesis, Lanzhou University, Lanzhou, China, 2024. [Google Scholar]
- Li, K.; Wang, S.; Cao, M. Vegetation and Soil Carbon Storage in China. Sci. China Ser. D 2003, 33, 72–80. [Google Scholar] [CrossRef]
- Xie, X.; Sun, B.; Zhou, H.Z.; Li, Z.; Li, A. Organic carbon density and storage in soils of China and spatial analysis. Acta Pedol. Sin. 2004, 41, 35–43. [Google Scholar]
- Chen, L.; Liu, G.; Li, H. Estimating Net Primary Productivity of Terrestrial Vegetation in China Using Remote Sensing. J. Remote Sens. 2002, 6, 129–135+164. [Google Scholar]
- Budyko, M.I. Climate and Life; Academic Press: Cambridge, MA, USA, 1974. [Google Scholar]
- Sharp, R.; Chaplin-Kramer, R.; Wood, S.; Guerry, A.; Tallis, H.; Ricketts, T.; Nelson, E.; Ennaanay, D.; Wolny, S.; Olwero, N.; et al. InVEST User’s Guide; The Natural Capital Project: Stanford, CA, USA; Stanford University: Stanford, CA, USA; University of Minnesota: Minneapolis, MN, USA; The Nature Conservancy: Arlington, VA, USA; World Wildlife Fund: Washington, DC, USA, 2018. [Google Scholar]
- Saxton, K.E.; Rawls, W.J. Soil Water Characteristic Estimates by Texture and Organic Matter for Hydrologic Solutions. Soil Sci. Soc. Am. J. 2006, 70, 1569–1578. [Google Scholar] [CrossRef]
- Hargreaves, G.H.; Samani, Z.A. Reference Crop Evapotranspiration from Temperature. Appl. Eng. Agric. 1985, 1, 96–99. [Google Scholar] [CrossRef]
- Bao, Y.; Li, T.; Liu, H.; Ma, T.; Wang, H.X.; Liu, K.; Sheng, Q.; Liu, X. Spatial and Temporal Changes of Water Conservation of Loess Plateau in Northern Shaanxi Province by InVEST Model. Geogr. Res. 2016, 35, 664–676. [Google Scholar]
- Liu, Y.; Wang, X.; Shi, Z.; Su, Y.; Lu, Z. Characterization of Spatial and Temporal Changes of Ecosystem Services in the Yellow River Basin and Their Synergistic Relationship with Multi-scale Trade-offs. Environ. Sci. 2025, 1–20. [Google Scholar] [CrossRef]
- Zhu, P.; Liu, X.; Zheng, Y.; Wang, S.; Huang, L. Tradeoffs and Synergies of Ecosystem Services in Key Ecological Function Zones in Northern China. Acta Ecol. Sin. 2020, 40, 8694–8706. [Google Scholar]
- Xu, D.; Li, J.; Xu, C.; Fan, T.; Wang, Y.; Xu, Z. Nonlinear Water–Heat Thresholds, Human Amplification, and Adaptive Governance of Grassland Degradation Under Climate Change. Remote Sens. 2026, 18, 148. [Google Scholar] [CrossRef]
- Wang, J.; Xu, C. Geodetector: Principle and Prospective. Acta Geogr. Sin. 2017, 72, 116–134. [Google Scholar]
- Su, J.; Zhao, X.; Gao, L.; Li, G. Temporal and Spatial Characteristics of Ecosystem Carbon Storage and Its Driving Mechanism in Qilian Mountain National Nature Reserve Based on Optimal Parameter Geodetector. J. Basic Sci. Eng. 2025, 33, 1668–1680. [Google Scholar] [CrossRef]
- Zhang, M.; Zhao, Y.; Mo, D. Coordinated Development and Convergence of Urban Ecological Resilience and Land Use Intensity in the Yellow River Basin. J. Nat. Resour. 2025, 40, 2479–2496. [Google Scholar] [CrossRef]
- Zhang, B.; Tang, X.; Cui, J. Temporal and Spatial Relationship Between Ecological Resilience and Land Use Intensity in the Xi’an City. Environ. Sci. 2025, 46, 2463–2474. [Google Scholar] [CrossRef]
- Liu, L. A Study on Integrated Management of Soil and Water Loss in a Small Watershed of the Loess Plateau. Ph.D. Thesis, Chang’an University, Xi’an, China, 2004. [Google Scholar]
- Qiu, H.; Zhang, J.; Han, H.; Cheng, X.; Kang, F. Study on the Impact of Vegetation Change on Ecosystem Services in the Loess Plateau, China. Ecol. Indic. 2023, 154, 110812. [Google Scholar] [CrossRef]
- Wu, F.; Liang, Y.; Liu, L.; Yin, Z.; Huang, J. Identifying Eco-Functional Zones on the Chinese Loess Plateau Using Ecosystem Service Bundles. Reg. Sustain. 2023, 4, 425–440. [Google Scholar] [CrossRef]
- Feng, Q.; Zhao, W.; Hu, X.; Liu, Y.; Daryanto, S.; Cherubini, F. Trading-off Ecosystem Services for Better Ecological Restoration: A Case Study in the Loess Plateau of China. J. Clean. Prod. 2020, 257, 120469. [Google Scholar] [CrossRef]
- Dang, L.; Zhao, F.; Teng, Y.; Teng, J.; Zhan, J.; Zhang, F.; Liu, W.; Wang, L. Scale Dependency of Trade-Offs/Synergies Analysis of Ecosystem Services Based on Bayesian Belief Networks: A Case of the Yellow River Basin. J. Environ. Manag. 2025, 375, 124410. [Google Scholar] [CrossRef] [PubMed]
- Han, X.; Gao, G.; Zhang, J.; Wang, Z.; Wu, X.; Lü, Y. Spatial Scale-Dependence and Controlling Factors of Ecosystem Service Supply-Demand Relationships in the Loess Plateau of China. Geogr. Sustain. 2025, 6, 100297. [Google Scholar] [CrossRef]
- Li, N.; Sun, P.; Zhang, J.; Shen, D.; Qiao, D.; Liu, Q. Impact of Land Use Intensity Changes on Ecosystem Services in the Yellow River Basin, China. J. Geogr. Sci. 2025, 35, 1003–1023. [Google Scholar] [CrossRef]










| Data Type | Data Format | Data Source | Native Spatial Resolution/Scale | Temporal Resolution/Year | Preprocessing and Use |
|---|---|---|---|---|---|
| Land use | Raster | Resource and Environment Science and Data Center, Chinese Academy of Sciences (https://www.resdc.cn/) | 30 m | 2000, 2005, 2010, 2015, 2020 | Resampled to 1 km; used as the base map for all InVEST modules and for land use intensity analysis |
| Administrative boundary of Qingyang City | Vector | Resource and Environment Science and Data Center, Chinese Academy of Sciences (https://www.resdc.cn/) | Vector boundary | Corresponding to the study period | Used for study area clipping, masking, and zonal statistics |
| Elevation (DEM) | Raster | Resource and Environment Science and Data Center, Chinese Academy of Sciences (https://www.resdc.cn/) | 30 m (SRTM) | Relatively static | Resampled to 1 km; used to derive topographic factors and for soil retention modeling |
| Vegetation cover (NDVI) | Raster | Resource and Environment Science and Data Center, Chinese Academy of Sciences (https://www.resdc.cn/) | 1 km | 2000, 2005, 2010, 2015, 2020 | Reprojected and used for vegetation cover analysis and driving-factor analysis |
| Population | Raster | Resource and Environment Science and Data Center, Chinese Academy of Sciences (https://www.resdc.cn/) | 1 km | 2000, 2005, 2010, 2015, 2020 | Reprojected and clipped; used to characterize the spatial distribution of population density |
| GDP | Raster | Resource and Environment Science and Data Center, Chinese Academy of Sciences (https://www.resdc.cn/) | 1 km | 2000, 2005, 2010, 2015, 2020 | Used to characterize the intensity of economic activities |
| Potential evapotranspiration | Raster | National Tibetan Plateau/Third Pole Environment Data Center (https://data.tpdc.ac.cn/) | 1 km | 2000, 2005, 2010, 2015, 2020 | Used in the water yield module |
| Precipitation | Raster | National Earth System Science Data Center (https://www.geodata.cn/) | 1 km | Monthly data, aggregated to annual scale for the study years | Reprojected and clipped; used as an important climatic input for water yield modeling and driving-factor analysis |
| Soil | Raster | Harmonized World Soil Database (HWSD) | 1 km | Relatively static | Used for assigning soil property parameters |
| Gansu Provincial Water Resources Bulletin | Statistical data | National Cryosphere Desert Data Center (https://www.ncdc.ac.cn/) | — | 2000, 2005, 2010, 2015, 2020 | Used for parameter validation, comparison of result plausibility, and auxiliary analysis |
| Threat Factor | Maximum Distance | Weighting | Decay Type |
|---|---|---|---|
| Cropland | 6 | 0.6 | Linear |
| Urban construction land | 10 | 1 | Exponential |
| Rural residential areas | 8 | 0.8 | Exponential |
| Industrial land | 9 | 0.9 | Exponential |
| Land Use Type | Habitat Suitability Score | Urban Construction | Rural Residential Areas | Industrial Land | Cropland |
|---|---|---|---|---|---|
| Cropland | 0.4 | 0.8 | 0.6 | 0.7 | 0 |
| Woodland | 1 | 0.8 | 0.7 | 0.7 | 0.6 |
| Grassland | 1 | 0.7 | 0.5 | 0.6 | 0.5 |
| Water bodies | 0.9 | 0.7 | 0.6 | 0.7 | 0.4 |
| Urban construction land | 0 | 0 | 0 | 0 | 0 |
| Rural residential areas | 0 | 0 | 0 | 0 | 0 |
| Industrial land | 0 | 0 | 0 | 0 | 0 |
| Unutilized land | 0.6 | 0.6 | 0.5 | 0.6 | 0.4 |
| Land-Use Type | Cropland | Woodland | Grassland | Water Bodies | Urban Construction Land | Rural Residential Land | Industrial Land | Unused Land |
|---|---|---|---|---|---|---|---|---|
| C value | 0.31 | 0.006 | 0.01 | 0 | 0 | 0 | 0 | 0.4 |
| P value | 0.4 | 1 | 0.9 | 0 | 0 | 0 | 0 | 0.4 |
| Land Use Type | Above-Ground Carbon Density | Below-Ground Carbon Density | Soil Carbon Density |
|---|---|---|---|
| Cropland | 0.52 [36,37] | 7.41 [36,38] | 1.5989 |
| Woodland | 4.941 | 1.8023 | 1.7528 |
| Grassland | 0.1920 | 0.3270 | 1.4259 |
| Water bodies | 0.09 [34] | 0 | 0 |
| Urban construction land | 0.23 [36,39] | 0 | 0 |
| Rural residential areas | 0.23 [36,39] | 0 | |
| Industrial land | 0.23 [36,39] | 0 | 0 |
| Unutilized land | 0.12 [36,39] | 0 | 2.16 [5] |
| Land-Use Type | Vegetated (1 = Yes, 0 = No) | Root Depth/mm | Evapotranspiration Coefficient () |
|---|---|---|---|
| Cropland | 1 | 1000 | 0.9 |
| Woodland | 1 | 1800 | 0.93 |
| Grassland | 1 | 600 | 0.8 |
| Water bodies | 0 | 100 | 1 |
| Urban construction land | 0 | 100 | 0.35 |
| Rural residential land | 0 | 100 | 0.35 |
| Industrial land | 0 | 100 | 0.25 |
| Unused land | 0 | 300 | 0.65 |
| Dimension | Factor | Variable | Data Source & Quantification Method | Rationale for Selection |
|---|---|---|---|---|
| Natural Environment | Elevation | X1 | 30 m resolution DEM data (GDEMV2), Geospatial Data Cloud, CAS (http://www.gscloud.cn) | Fundamental topographic factor influencing vertical differentiation of ecological processes |
| Precipitation | X2 | 1 km resolution data, Resource and Environment Science Data Center, CAS (http://www.resdc.cn) | Core input for water yield service | |
| Temperature | X3 | Regulates vegetation productivity and evapotranspiration | ||
| Potential Evapotranspiration | X4 | Integrates atmospheric water demand affecting water yield capacity | ||
| NDVI | X5 | MODIS 16-day 250 m composite products, Resource and Environment Science Data Center, CAS (http://www.resdc.cn) | Core vegetation coverage indicator linked to carbon storage and soil retention | |
| Soil Erosion Modulus | X6 | 30 m resolution data, National Basic Science Data Center—Science Data Bank (https://doi.org/10.57760/sciencedb.12876) | Quantifies soil retention service (SR) status | |
| Socioeconomic Conditions | Population Density | X7 | 1 km gridded data, Resource and Environment Science Data Center, CAS (http://www.resdc.cn) | Proxy for human activity intensity |
| GDP | X8 | Economic scale indicator | ||
| Land Use Intensity (LUI) | X9 | (17) Where LUI is the Land use intensity; Ai is the Intensity grading index of land use type i; Ci is the Area percentage of land use type i; Si is the Area of land use type i; S is the Total land area [50,51] | Reflects anthropogenic modification of natural surfaces | |
| Road Network Density | X10 | Road data from OpenStreetMap; Calculated as total road length per unit area | Transportation disturbance indicator | |
| Energy Extraction Pressure | Groundwater Level | X11 | National Tibetan Plateau Data Center (http://data.tpdc.ac.cn) | Indicates depletion risks from energy extraction |
| Year | Value | Modeled Water Yield/108 m3 | Statistical Value from the Water Resources Bulletin/108 m3 | Relative Error/% |
|---|---|---|---|---|
| 2000 | 6.2 | 6.737 | 6.800 | −0.9290 |
| 2005 | 9 | 5.063 | 5.199 | −2.6079 |
| 2010 | 13.6 | 5.651 | 5.898 | −4.1882 |
| 2015 | 13.5 | 3.875 | 3.912 | −0.9355 |
| 2020 | 18.5 | 5.817 | 5.710 | 1.8707 |
Disclaimer/Publisher’s Note: The statements, opinions and data contained in all publications are solely those of the individual author(s) and contributor(s) and not of MDPI and/or the editor(s). MDPI and/or the editor(s) disclaim responsibility for any injury to people or property resulting from any ideas, methods, instructions or products referred to in the content. |
© 2026 by the authors. Licensee MDPI, Basel, Switzerland. This article is an open access article distributed under the terms and conditions of the Creative Commons Attribution (CC BY) license.
Share and Cite
Zhang, M.; Tang, X. Trade-Offs, Synergies, and Driving Mechanisms of Ecosystem Services in the Gully Region of the Loess Plateau. Land 2026, 15, 623. https://doi.org/10.3390/land15040623
Zhang M, Tang X. Trade-Offs, Synergies, and Driving Mechanisms of Ecosystem Services in the Gully Region of the Loess Plateau. Land. 2026; 15(4):623. https://doi.org/10.3390/land15040623
Chicago/Turabian StyleZhang, Meijuan, and Xianglong Tang. 2026. "Trade-Offs, Synergies, and Driving Mechanisms of Ecosystem Services in the Gully Region of the Loess Plateau" Land 15, no. 4: 623. https://doi.org/10.3390/land15040623
APA StyleZhang, M., & Tang, X. (2026). Trade-Offs, Synergies, and Driving Mechanisms of Ecosystem Services in the Gully Region of the Loess Plateau. Land, 15(4), 623. https://doi.org/10.3390/land15040623

