Spatiotemporal Evolution and Driving Factors of the Pear Production Land in China
Abstract
1. Introduction
2. Materials and Methods
2.1. Study Area
2.2. Variable Selection and Data Sources
- (1)
- Natural variables. The affected area, annual precipitation, and sunshine duration were selected as proxies for natural endowments influencing pear production. Data on disaster-affected area were obtained from the China Rural Statistical Yearbook (2001–2020, Ministry of Agriculture and Rural Affairs), while climatic variables (precipitation and sunshine duration) were sourced from the National Meteorological Information Center “http://data.cma.cn (accessed on 1 June 2025)”.
- (2)
- Opportunity cost variables. Rural non-farm employment opportunities and labor costs for pears were selected as proxies for the opportunity cost of agricultural labor. Due to the lack of detailed cost–benefit data specific to pear production, average labor compensation for individuals engaged in agriculture, forestry, animal husbandry, and fishery was used as a proxy for pear production labor costs. Data on non-farm employment opportunities were obtained from the China Rural Statistical Yearbook (2001–2020, Ministry of Agriculture and Rural Affairs), while labor compensation data were sourced from the China Statistical Yearbook (2001–2020, National Bureau of Statistics of China).
- (3)
- Infrastructure variables. Road density and effective irrigated area for pears were used as proxies for agricultural infrastructure, reflecting accessibility and irrigation capacity, respectively. Data for both variables were obtained from the China Statistical Yearbook (2001–2020, National Bureau of Statistics of China).
- (4)
- Market variable. The annual wholesale price of pears relative to the average price of major food crops was used as a proxy for market conditions. Price data were obtained from the Agricultural Statistical Bulletin and the Agricultural and Rural Directorate of respective provinces, supplemented with records from the monitoring network of the National Pear System.
- (5)
- Technical variables. Fertilizer input for pears and the per capita level of agricultural mechanization were used as proxies for technological progress, reflecting input intensity and improvements in production efficiency. Both variables were obtained from the China Agricultural Statistical Yearbook (2001–2020, Ministry of Agriculture and Rural Affairs of China).
- (6)
- Policy variables. Since 2001, China has implemented a series of agricultural support policies with potential impact on pear production. Among these, the Regional Layout Plan for Characteristic Agricultural Products (2013–2020) issued by the Ministry of Agriculture and Rural Affairs is particularly relevant. To capture the effect of this policy, a dummy variable was constructed, taking the value 1 for years after its implementation (2013 onwards) and 0 for earlier years.
2.3. Research Methods
2.3.1. Production Concentration Index (PCI)
2.3.2. Exploratory Spatial Data Analysis (ESDA)
2.3.3. Comparative Advantage
2.3.4. Spatial Econometric Model
3. Results
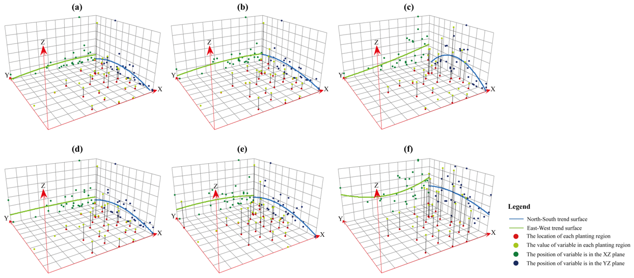
3.1. Spatial Distribution and Spatial Trends of Chinese Pear Production
3.2. Spatial Aggregation and Evolution of Chinese Pear Production
3.3. Comparative Advantage Analysis
3.4. Empirical Analysis of Driving Factors of the Spatiotemporal Evolution
4. Discussion
4.1. Spatiotemporal Evolution in Pear Production
4.2. Important Spatial Driving Factors in Pear Production
4.3. Policy Implications
4.4. Limitation and Research Prospects
5. Conclusions
Author Contributions
Funding
Data Availability Statement
Acknowledgments
Conflicts of Interest
Abbreviations
| YPUA | Yield per unit area |
| PCI | Production concentration index |
| ESDA | Exploratory spatial data analysis |
| CGT | Center of gravity transfer |
| SDE | Standard deviation ellipse |
| TSA | Trend surface analysis |
| SAI | Scale advantage index |
| EAI | Efficiency advantage index |
| AAI | Aggregated advantage index |
| KDE | Kernel density estimation |
| SDM | Spatial durbin model |
| SLM | Spatial lag model |
| SEM | Spatial error model |
| OLS | Ordinary least squares |
| LM | Lagrange multiplier |
| LR | Likelihood ratio |
References
- Food and Agriculture Organization of the United Nations. World Food and Agriculture—Statistical Yearbook 2020; Food and Agriculture Organization of the United Nations: Rome, Italy, 2020; ISBN 978-92-5-133394-5. [Google Scholar]
- Geng, X.; Zhou, Y. From Concentration to Deconcentration: Analysis on the Production Changes of China’s Pear Growing Areas. J. Nanjing Agric. Univ. 2010, 10, 38–44. [Google Scholar]
- He, W.; Zhou, J.; Zhou, D. Stochastic Frontier Analysis on Technical Efficiency of Pear Production in China. North. Fruits 2021, 03, 10–13. [Google Scholar] [CrossRef]
- Lu, H.; Geng, X. Impact of Climate Change on Chinese Pear Production: Based on the Data of 28 Provinces and Municipalities in 1990–2010. J. Hunan Agric. Univ. 2014, 15, 35–40. [Google Scholar] [CrossRef]
- Pan, C.; Xiao, Y.; Geng, X. Influence Mechanism and Spatial Effect of Labor Factors on the Comparative Advantage of Pear Production. Jiangsu J. Agric. Sci. 2025, 41, 372–380. [Google Scholar]
- Liu, Y.; Wang, S.; Chen, B. Optimization of National Food Production Layout Based on Comparative Advantage Index. Energy Procedia 2019, 158, 3846–3852. [Google Scholar] [CrossRef]
- Hou, M.; Deng, Y.; Yao, S. Spatial Agglomeration Pattern and Driving Factors of Grain Production in China since the Reform and Opening Up. Land 2021, 10, 10. [Google Scholar] [CrossRef]
- Zhang, Q.; Weng, F.; Shi, F.; Shao, L.; Huo, X. The Evolutionary Characteristics of Apple Production Layout in China from 1978 to 2016. Cienc. Rural 2021, 51, e20200688. [Google Scholar] [CrossRef]
- You, L.; Spoor, M.; Ulimwengu, J.; Zhang, S. Land Use Change and Environmental Stress of Wheat, Rice and Corn Production in China. China Econ. Rev. 2011, 22, 461–473. [Google Scholar] [CrossRef]
- Xiang, Y.; Wang, W.; Qi, C. Research on Relationship between Geographical Agglomeration and International Competitiveness of Agriculture—Evidence from China’s Fruit Industry. Guangdong Agric. Sci. 2014, 41, 194–199+232. [Google Scholar] [CrossRef]
- Zhang, Y.; Zhang, S. Study on Citrus Production’s Spatial Distribution, Changes and Influencing Factors in Central Delta Area. Res. Agric. Mod. 2016, 37, 687–693. [Google Scholar] [CrossRef]
- Liu, Y.; Wang, J.; Guo, L. The Spatial-Temporal Changes of Grain Production and Arable Land in China. Sci. Agric. Sin. 2009, 42, 4269–4274. [Google Scholar]
- Zhang, Q.; Shi, F.; Abdullahi, N.M.; Shao, L.; Huo, X. An Empirical Study on Spatial–Temporal Dynamics and Influencing Factors of Apple Production in China. PLoS ONE 2020, 15, e0240140. [Google Scholar] [CrossRef] [PubMed]
- Niu, Y.; Xie, G.; Xiao, Y.; Qin, K.; Liu, J.; Wang, Y.; Gan, S.; Huang, M.; Liu, J.; Zhang, C.; et al. Spatial Layout of Cotton Seed Production Based on Hierarchical Classification: A Case Study in Xinjiang, China. Agriculture 2021, 11, 759. [Google Scholar] [CrossRef]
- Wei, Q.; Lu, W. Study on the Dynamic Model for the Harmonious Development of Agriculture and Animal Husbandry in Typical Regions. J. Anhui Agric. Sci. 2008, 07, 3023–3025. [Google Scholar] [CrossRef]
- Wang, G.; Zhang, L.; Chen, Q.; Yu, H.; Chen, Y. Analysis on Landscape Pattern Change and Its Driving Forces—Taking Caofeidian New Area, Tangshan City as an Example. Res. Soil Water Conserv. 2014, 21, 84–88. [Google Scholar] [CrossRef]
- Bai, J.; Zhang, H. Spatio-Temporal Variation and Driving Force of Water-Energy-Food Pressure in China Spatio-Temporal Variation and Driving Force of Water-Energy-Food Pressure in China. Geogr. Sci. 2018, 38, 1653–1660. [Google Scholar]
- Liang, C.; Wang, N. Driving Factor Analysis of Construction Land Changes in Coastal Economic Driving Factor Analysis of Construction Land Changes in Coastal Economic Zone Based on Logistic Regression: A Case Study of Dalian New Urban Zone Based on Logistic Regression: A Case Study of Dalian. Geogr. Sci. 2014, 34, 556–562. [Google Scholar]
- Huang, B.; Zhang, H.; Song, D.; Ma, Y. Driving Forces of Built-up Land Expansion in China from 2000 to 2010. Acta Ecol. Sin. 2017, 37, 4149–4158. [Google Scholar] [CrossRef][Green Version]
- Han, C.; Wang, G.; Zhang, Y.; Song, L.; Zhu, L. Analysis of the Temporal and Spatial Evolution Characteristics and Influencing Factors of China’s Herbivorous Animal Husbandry Industry. PLoS ONE 2020, 15, e0237827. [Google Scholar] [CrossRef]
- Yan, B.; Li, Y.; Qin, Y.; Yan, J.; Shi, W. Spatial–Temporal Analysis of the Comparative Advantages of Dairy Farming: Taking 18 Provinces or Municipalities in China as an Example. Comput. Electron. Agric. 2021, 180, 105846. [Google Scholar] [CrossRef]
- Wang, H.; He, J.; Aziz, N.; Wang, Y. Spatial Distribution and Driving Forces of the Vegetable Industry in China. Land 2022, 11, 981. [Google Scholar] [CrossRef]
- Chen, Y.; Li, X. Spatial-Temporal Characteristics and Influencing Factors of Grain Yield Change in China. Trans. Chin. Soc. Agric. Eng. 2013, 29, 1–10. [Google Scholar]
- Shui, W.; Du, Y.; Chen, Y.; Jian, X.; Fan, B. Spatial Patterns and Influence Factors of Specialization in Tea Cultivation Based on Geographically Weighted Regression Model: A Case Study of Anxi County of Fujian Province, China. Chin. J. Appl. Ecol. 2017, 28, 1298–1308. [Google Scholar] [CrossRef]
- Pan, J.; Zhang, J. Spatial-Temporal Pattern and Its Driving Forces of Per Capital Grain Possession in China. Resour. Environ. Yangtze Basin 2017, 26, 410–418. [Google Scholar]
- Jiao, W.; Liu, X.; Du, F. Spatial Temporal Pattern Change and Driving Forces of Grain Per Capita in the Tarim River Basin Based on the Perspective of County Fertility Bayangol Mongolia Autonomous Prefecture. Chin. J. Agric. Resour. Reg. Plan. 2017, 38, 137–144. [Google Scholar]
- Zhang, Q.; Si, R.; Shi, F.; Huo, X. The Evolution Trend of Chinese Fruit Prodution Concentration Level. Chin. J. Agric. Resour. Reg. Plan. 2021, 42, 96–108. [Google Scholar]
- Geng, X.; Lu, H.; Zhou, Y. Changes of Pear Production Layout and Its Influence Factors in China: Based on Analysis of Provincial Panel Data. Agric. Econ. Manag. 2014, 04, 67–77. [Google Scholar]
- Zhang, C.; Chang, Q.; Huo, X. Analysis on the Layout of China’s Apple Production Transition. Econ. Geogr. 2018, 38, 141–151. [Google Scholar] [CrossRef]
- Liu, T.; Fan, Y. Analysis of the Influencing Factor and Layout of Major Apple Production in China. Issues Agric. Econ. 2012, 33, 36–42. [Google Scholar] [CrossRef]
- Bai, C.; Wu, L.; Song, X. Spatial Difference of Grain Yield Changes during 1995–2010 and Balanced Potential Output to Increase in Shandong Province. Sci. Geogr. Sin. 2013, 32, 1257–1265. [Google Scholar]
- Liu, Y.; Tang, X.; Pan, Y.; Tang, L. Analysis on Spatial Spillover Effect and Influence Factors of Grain Yield per Hectare at County Level in Huang-Huai-Hai Region. Trans. Chin. Soc. Agric. Eng. 2016, 32, 299–307. [Google Scholar]
- Li, Y.; Lu, Z.; Ling, Z. The Evolution and Optimization of Vegetable Productive Regionalization in China–Positive Analysis Based on 31 Provinces of China. Econ. Geogr. 2007, 02, 191–195. [Google Scholar]
- Zhou, S.; Jing, L.; Meng, H.; Qiao, H. Analysis on Spatial Distribution Evolution of Main Peanut Production Areas in China and Its Influencing Factors. J. Agrotech. Econ. 2018, 03, 100–109. [Google Scholar] [CrossRef]
- Zhao, L.; Zhao, Z. Projecting the Spatial Variation of Economic Based on the Specific Ellipses in China. Sci. Geogr. Sin. 2014, 34, 979–986. [Google Scholar] [CrossRef]
- Lefever, D.W. Measuring Geographic Concentration by Means of the Standard Deviational Ellipse. Am. J. Sociol. 1926, 32, 88–94. [Google Scholar] [CrossRef]
- Deng, Z.; Feng, Y.; Zhang, J.; Wang, J. Analysis on the Characteristics and Tendency of Grain Production’s Spatial Distribution in China. Econ. Geogr. 2013, 33, 117–123. [Google Scholar]
- Elhorst, J.P. Dynamic Spatial Panels: Models, Methods, and Inferences. J. Geogr. Syst. 2012, 14, 5–28. [Google Scholar] [CrossRef]
- LeSage, J.; Pace, R.K. Introduction to Spatial Econometrics; Chapman and Hall/CRC: New York, NY, USA, 2009; ISBN 978-0-429-13808-9. [Google Scholar]
- Wang, S.; Wang, S. Empirical Analysis of Farmers’ Decision-Making Behavioral Factors in the Change of Vegetable Planting Area in Chinese Provinces. Econ. Geogr. 2013, 33, 128–134. [Google Scholar] [CrossRef]
- Chang, H.; Dong, X.; MacPhail, F. Labor Migration and Time Use Patterns of the Left-behind Children and Elderly in Rural China. World Dev. 2011, 39, 2199–2210. [Google Scholar] [CrossRef]
- Jorgenson, D.W.; Kuroda, M.; Motohashi, K. Productivity in Asia: Economic Growth and Competitiveness; Edward Elgar Publishing: Cheltenham, UK, 2007; ISBN 978-1-84720-874-3. [Google Scholar]
- Cheng, M.; Ruan, Q. Capital Input, Infield Protection, Technology Advancement and Farmer Labor Migration. China Popul. Resour. Environ. 2010, 20, 27–32. [Google Scholar]










| Category | Variables | Symbols | Definition |
|---|---|---|---|
| Dependent variable | Pear yield per unit area | LnYPUA | Pear yield ÷ pear planting area |
| Natural variables | Pears affected area | LnAff | Crop affected area × (pear planting area ÷ crop planting area) |
| Precipitation | lnPre | Average precipitation by province | |
| Sunshine duration | lnSun | Average daylight hours by province | |
| Opportunity cost variables | Rural non-agricultural employment opportunities | Emp | (Rural labor force—Labor force engaged in agriculture, forestry, animal husbandry, and fishery) ÷ rural labor force |
| Labor costs for pears | lnLab | The average labor remuneration of the employed people in agriculture, forestry, animal husbandry and fishery as the proxy variable. | |
| Infrastructure variables | Road density | LnRoa | Road mileage ÷ administrative area |
| Effective irrigated area for pears | LnIrr | Effective irrigated area of crop × (pear planting area ÷ crop planting area) | |
| Technical variables | Fertilizer input for pears | lnFer | Total fertilizer input for crop × (pear planting area/crop planting area) |
| Agricultural mechanization | lnMec | Per capita level of agricultural mechanization | |
| Market variable | Market price | lnMar | Annual wholesale price of pears ÷ annual average price of major food crops |
| Policy variables | Pear Industry Policy | Pol | According to the Regional Layout Plan for Special Agricultural Products (2013–2020), it is set that the value after 2013 will be 1, while the value before 2013 will be 0. |
| Ranking | 2001 | 2010 | 2020 | |||
|---|---|---|---|---|---|---|
| Region | PCI (%) | Region | PCI (%) | Region | PCI (%) | |
| 1 | Hebei | 27.80 | Hebei | 23.42 | Hebei | 19.66 |
| 2 | Shandong | 10.93 | Liaoning | 7.96 | Xinjiang | 8.67 |
| 3 | Hubei | 7.69 | Xinjiang | 7.47 | Henan | 7.76 |
| 4 | Anhui | 7.64 | Shandong | 7.34 | Liaoning | 7.46 |
| 5 | Liaoning | 5.80 | Anhui | 6.86 | Anhui | 7.16 |
| 6 | Jiangsu | 5.26 | Henan | 6.74 | Shandong | 6.24 |
| 7 | Shaanxi | 5.13 | Sichuan | 5.85 | Shaanxi | 5.86 |
| 8 | Henan | 4.50 | Shaanxi | 5.59 | Shanxi | 5.49 |
| 9 | Sichuan | 4.49 | Jiangsu | 4.75 | Sichuan | 5.36 |
| 10 | Gansu | 3.02 | Hubei | 3.15 | Jiangsu | 4.40 |
| total | 82.28 | total | 79.12 | total | 78.05 | |
| Year | Moran’s I | Z | Year | Moran’s I | Z |
|---|---|---|---|---|---|
| 2001 | 0.486 *** | 4.361 | 2011 | 0.518 *** | 4.582 |
| 2002 | 0.333 *** | 3.188 | 2012 | 0.449 *** | 4.002 |
| 2003 | 0.381 *** | 3.410 | 2013 | 0.395 *** | 3.545 |
| 2004 | 0.427 *** | 3.769 | 2014 | 0.402 *** | 3.609 |
| 2005 | 0.469 *** | 4.128 | 2015 | 0.358 *** | 3.242 |
| 2006 | 0.480 *** | 4.231 | 2016 | 0.363 *** | 3.298 |
| 2007 | 0.521 *** | 4.641 | 2017 | 0.338 *** | 3.101 |
| 2008 | 0.552 *** | 4.865 | 2018 | 0.275 *** | 2.587 |
| 2009 | 0.546 *** | 4.820 | 2019 | 0.239 ** | 2.265 |
| 2010 | 0.479 *** | 4.235 | 2020 | 0.184 * | 1.804 |
| Year | AAI > 1 | 0.5 < AAI < 1 | AAI < 0.5 |
|---|---|---|---|
| 2001 | Qinghai, Hebei, Liaoning, Yunnan, Gansu, Sichuan, Beijing, Guizhou, Hubei, Chongqing, Anhui, Inner Mongolia, Shaanxi, Jiangsu, Xinjiang | Shanxi, Shandong, Jilin, Zhejiang, Tianjin, Henan, Fujian, Ningxia, Jiangxi, | Shanghai, Hunan, Guangxi, Heilongjiang, Guangdong |
| 2010 | Hebei, Liaoning, Guizhou, Beijing, Anhui, Sichuan, Qinghai, Xinjiang, Chongqing, Jiangsu, Yunnan, Shanxi | Jilin, Tianjin, Gansu, Hubei, Shaanxi, Zhejiang, Shandong, Henan, Shanghai, Inner Mongolia, Fujian, Jiangxi, Guangxi, Hunan | Ningxia, Heilongjiang, Guangdong |
| 2020 | Hebei, Anhui, Qinghai, Liaoning, Beijing, Shanxi, Xinjiang, Tianjin, Guizhou, Jiangsu, Sichuan, Shanghai, Yunnan, Chongqing | Henan, Shaanxi, Jilin, Zhejiang, Hubei, Shandong, Gansu, Heilongjiang, Fujian, Jiangxi, Inner Mongolia, Hunan, Guangxi | Guangdong, Ningxia |
| Test | Statistical value | p |
|---|---|---|
| LM-error | 46.022 *** | 0.000 |
| R-LM-error | 26.95 *** | 0.000 |
| LM-lag | 29.78 *** | 0.000 |
| R-LM-lag | 10.71 *** | 0.001 |
| Hausman | 221.89 *** | 0.000 |
| Ind fe | 26.02 *** | 0.000 |
| Time fe | 831.38 *** | 0.000 |
| LR-lag | 142.32 *** | 0.000 |
| LR-error | 93.62 *** | 0.000 |
| Wald lag | 161.71 *** | 0.000 |
| Wald error | 102.30 *** | 0.000 |
| Variables | All Producing Regions | Main Producing Regions | Non-Main Producing Regions | |||
|---|---|---|---|---|---|---|
| Main | Wx | Main | Wx | Main | Wx | |
| LnAff | −0.009 * | −0.016 * | −0.005 | −0.017 | −0.020 *** | 0.010 |
| (0.07) | (0.08) | (0.33) | (0.11) | (0.01) | (0.53) | |
| lnPre | 0.020 ** | 0.009 | 0.003 | 0.026 * | 0.027 * | 0.012 |
| (0.02) | (0.55) | (0.75) | (0.09) | (0.06) | (0.54) | |
| lnSun | 0.001 | 0.035 | −0.032 | 0.024 | 0.030 | −0.022 |
| (0.97) | (0.29) | (0.17) | (0.50) | (0.28) | (0.67) | |
| Emp | −0.618 *** | −0.482 ** | −0.346 ** | −0.191 | −0.342 ** | −1.790 *** |
| (0.00) | (0.03) | (0.02) | (0.46) | (0.05) | (0.00) | |
| lnLab | 0.084 *** | 0.016 | 0.103 *** | 0.318 *** | 0.042 | −0.024 |
| (0.00) | (0.71) | (0.01) | (0.00) | (0.15) | (0.63) | |
| LnRoa | 0.035 * | 0.165 *** | 0.040 | 0.321 *** | 0.001 | 0.048 |
| (0.07) | (0.00) | (0.23) | (0.00) | (0.98) | (0.41) | |
| LnIrr | 0.055 *** | 0.078 *** | 0.068 *** | 0.112 *** | 0.034 | 0.097 *** |
| (0.00) | (0.01) | (0.00) | (0.00) | (0.10) | (0.01) | |
| lnFer | 0.036 * | 0.118 *** | 0.059 * | 0.214 *** | 0.000 | −0.098 |
| (0.06) | (0.00) | (0.07) | (0.00) | (1.00) | (0.16) | |
| lnMec | 0.034 ** | 0.083 ** | 0.065 ** | 0.174 *** | 0.018 | −0.068 |
| (0.03) | (0.02) | (0.03) | (0.00) | (0.37) | (0.19) | |
| lnMar | 0.941 *** | 0.208 *** | 0.936 *** | 0.008 | 0.948 *** | 0.213 *** |
| (0.00) | (0.00) | (0.00) | (0.92) | (0.00) | (0.00) | |
| Pol | 0.022 ** | 0.049 *** | 0.064 ** | 0.048 | 0.018 | 0.072 |
| (0.02) | (0.01) | (0.03) | (0.39) | (0.32) | (0.13) | |
| Observations | 580 | 580 | 320 | 320 | 260 | 260 |
| R-squared | 0.735 | 0.735 | 0.632 | 0.632 | 0.845 | 0.845 |
| Number of id | 29 | 29 | 16 | 16 | 13 | 13 |
| Variables | Eastern Producing Regions | Central Producing Regions | Western Producing Regions | |||
|---|---|---|---|---|---|---|
| Main | Wx | Main | Wx | Main | Wx | |
| LnAff | 0.013 | −0.023 | 0.041 ** | 0.065 * | −0.041 *** | −0.030 |
| (0.11) | (0.12) | (0.05) | (0.08) | (0.00) | (0.27) | |
| lnPre | 0.013 | 0.012 | 0.049 | −0.019 | −0.019 | −0.075 * |
| (0.47) | (0.59) | (0.12) | (0.77) | (0.36) | (0.07) | |
| lnSun | 0.003 | −0.081 | −0.043 | −0.137 | −0.042 | 0.088 |
| (0.93) | (0.12) | (0.54) | (0.24) | (0.33) | (0.28) | |
| Emp | −0.806 *** | 1.489 *** | −0.816 * | −0.357 | 1.673 *** | 2.478 ** |
| (0.00) | (0.00) | (0.09) | (0.67) | (0.00) | (0.04) | |
| lnLab | −0.359 *** | −0.017 | −0.044 | 0.684 *** | −0.241 *** | −0.405 *** |
| (0.00) | (0.87) | (0.66) | (0.00) | (0.00) | (0.00) | |
| LnRoa | 0.329 *** | 0.209 *** | 0.542 *** | 0.137 | 0.021 | 0.134 |
| (0.00) | (0.01) | (0.00) | (0.33) | (0.79) | (0.45) | |
| LnIrr | 0.028 | −0.252 *** | 0.137 *** | 0.283 *** | 0.121 *** | 0.163 ** |
| (0.54) | (0.00) | (0.01) | (0.00) | (0.00) | (0.04) | |
| lnFer | −0.121 ** | −0.346 *** | −0.162 * | −0.127 | 0.291 *** | 0.121 |
| (0.01) | (0.00) | (0.08) | (0.36) | (0.00) | (0.54) | |
| lnMec | 0.054 | −0.154 * | 0.128 *** | 0.114 | −0.126 * | −0.658 *** |
| (0.20) | (0.05) | (0.00) | (0.21) | (0.07) | (0.00) | |
| lnMar | 0.349 *** | −0.057 | 0.292 *** | −0.107 | 0.434 *** | 0.030 |
| (0.00) | (0.32) | (0.00) | (0.22) | (0.00) | (0.68) | |
| Pol | −0.018 | 0.093 *** | −0.017 | 0.004 | 0.034 | 0.178 |
| (0.33) | (0.00) | (0.61) | (0.94) | (0.54) | (0.18) | |
| Observations | 220 | 220 | 180 | 180 | 180 | 180 |
| R-squared | 0.077 | 0.077 | 0.205 | 0.205 | 0.192 | 0.192 |
| Number of id | 11 | 11 | 9 | 9 | 9 | 9 |
| Variables | Direct Effect | Indirect Effects | Total Effect |
|---|---|---|---|
| LnAff | −0.010 * | −0.021 * | −0.031 ** |
| (0.06) | (0.07) | (0.01) | |
| lnPre | 0.021 ** | 0.015 | 0.035 * |
| (0.02) | (0.42) | (0.09) | |
| lnSun | 0.004 | 0.042 | 0.046 |
| (0.82) | (0.27) | (0.28) | |
| Emp | −0.602 *** | 0.422 * | −0.180 |
| (0.00) | (0.09) | (0.50) | |
| lnLab | 0.085 *** | 0.041 | 0.126 ** |
| (0.00) | (0.46) | (0.05) | |
| LnRoa | 0.042 ** | 0.198 *** | 0.240 *** |
| (0.03) | (0.00) | (0.00) | |
| LnIrr | 0.059 *** | 0.104 *** | 0.163 *** |
| (0.00) | (0.01) | (0.00) | |
| lnFer | 0.040 ** | 0.142 *** | 0.182 *** |
| (0.04) | (0.00) | (0.00) | |
| lnMec | 0.037 ** | 0.107 ** | 0.144 *** |
| (0.01) | (0.01) | (0.00) | |
| lnMar | 0.940 *** | −0.040 | 0.900 *** |
| (0.00) | (0.14) | (0.00) | |
| Pol | 0.019 ** | −0.053 ** | −0.034 |
| (0.03) | (0.01) | (0.13) | |
| Observations | 580 | 580 | 580 |
| R-squared | 0.735 | 0.735 | 0.735 |
| Number of id | 29 | 29 | 29 |
| Variables | Direct Effect | Indirect Effects | Total Effect |
|---|---|---|---|
| Emp | −0.383 *** | 0.998 *** | 0.615 ** |
| (0.116) | (0.270) | (0.280) | |
| lnLab | 0.109 *** | 0.024 | 0.133 ** |
| (0.020) | (0.050) | (0.055) | |
| lnMec | 0.031 * | 0.114 *** | 0.145 *** |
| (0.016) | (0.034) | (0.034) | |
| Emp * lnMec | −0.443 *** | −0.015 | −0.458 *** |
| (0.075) | (0.181) | (0.177) | |
| lnLab * lnMec | 0.039 *** | 0.050 ** | 0.089 *** |
| (0.012) | (0.025) | (0.027) | |
| Control variable | YES | YES | YES |
| id | YES | YES | YES |
| year | YES | YES | YES |
| N | 580 | 580 | 580 |
| Level | Policy | Issuer |
|---|---|---|
| National | (2009–2015) National Development Plan for Key Pear-Growing Regions | Ministry of Agriculture (MOA) |
| National | (2013–2020) Regional Layout Plan for Characteristic Agricultural Products | |
| National | (2022) 14th Five-Year Plan for the Development of Agricultural Products Origin Market System | Ministry of Agriculture and Rural Affairs (MARA) |
| National | (2025) Fruits Quality-Oriented Development Promotion Work Plan | |
| Provincial | (2004) Fruit Tree Industry Development Guidance in Jiangsu Province (research cooperation-based) | Jiangsu Provincial Agricultural Academy |
| Provincial | (2022) Hebei Pear Industry Cluster Advancement Program | Hebei Provincial Agriculture authority |
| Provincial | (2021–2025) Shandong Plan for Cultivating Agricultural Advantage & Specialty Industries | Shandong Provincial Government |
| Municipal/ County | (2022) Dangshan County Pear E-commerce and Orchard Modernization Initiative | Dangshan Local Government |
| Municipal/ County | (2023) Regulation on Promoting High-Quality Development of Korla Fragrant Pear Industry | Bayingolin People’s Congress |
| Municipal/ County | (2026) Official reply on proposals for “High-quality development of Laiyang pear industry” | Yantai Municipal Government |
Disclaimer/Publisher’s Note: The statements, opinions and data contained in all publications are solely those of the individual author(s) and contributor(s) and not of MDPI and/or the editor(s). MDPI and/or the editor(s) disclaim responsibility for any injury to people or property resulting from any ideas, methods, instructions or products referred to in the content. |
© 2026 by the authors. Licensee MDPI, Basel, Switzerland. This article is an open access article distributed under the terms and conditions of the Creative Commons Attribution (CC BY) license.
Share and Cite
Pan, C.; Xiao, Y.; Zheng, H.; Geng, X. Spatiotemporal Evolution and Driving Factors of the Pear Production Land in China. Land 2026, 15, 279. https://doi.org/10.3390/land15020279
Pan C, Xiao Y, Zheng H, Geng X. Spatiotemporal Evolution and Driving Factors of the Pear Production Land in China. Land. 2026; 15(2):279. https://doi.org/10.3390/land15020279
Chicago/Turabian StylePan, Chao, Yi Xiao, Haisong Zheng, and Xianhui Geng. 2026. "Spatiotemporal Evolution and Driving Factors of the Pear Production Land in China" Land 15, no. 2: 279. https://doi.org/10.3390/land15020279
APA StylePan, C., Xiao, Y., Zheng, H., & Geng, X. (2026). Spatiotemporal Evolution and Driving Factors of the Pear Production Land in China. Land, 15(2), 279. https://doi.org/10.3390/land15020279

