Spatial Distribution of Grain Yield in the Songnen Plain Agro-Pastoral Zone in Heilongjiang Province: A Study Using Geostatistics and Geographically Weighted Regression
Abstract
1. Introduction
2. Materials and Methods
2.1. Study Area
2.2. Research Data
2.2.1. Data Source
2.2.2. Data Processing
2.3. Methodology Overview
2.4. Research Methods
2.4.1. Exploratory Data Analysis (EDA)
- (1)
- Histogram (Distribution Assessment)
- (2)
- Q–Q Plot (Normality Check)
- (3)
- Box–Cox Transformation (Normalization Adjustment)
2.4.2. Spatial Correlation Analysis
- (1)
- Global Moran’s I (Spatial Autocorrelation)
- (2)
- Local Moran’s I (LISA)
2.4.3. Kriging Interpolation
- (1)
- Ordinary Kriging Interpolation
- (2)
- Co-Kriging Interpolation
2.4.4. Cross-Validation
2.4.5. Geographically Weighted Regression (GWR)
3. Results
3.1. Distributional Characteristics of Grain Yield
3.2. Spatial Distribution of Grain Yield
3.2.1. Spatial Autocorrelation Assessment via Global Moran’s I
3.2.2. Identification of Local Spatial Clusters Through LISA
3.3. Spatial Interpolation of Grain Yield Distributions
3.3.1. Spatial Patterns Estimated by Ordinary Kriging
3.3.2. Co-Kriging-Based Interpolation Incorporating Multiple Data
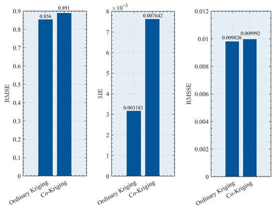
3.3.3. Performance Comparison and Optimal Kriging Method
3.4. Validation of Interpolated Patterns via GWR
3.5. GWR-Based Spatial Heterogeneity Analysis
3.5.1. Model Performance and Residual Diagnostics
3.5.2. Spatial Heterogeneity of Explanatory Variables: GWR Coefficient Patterns
4. Discussion
4.1. Quantitative Analysis of Covariate Selection and Model Performance in Co-Kriging Interpolation
4.2. Spatial Pattern of Grain Yield
4.3. Shift of Grain Yield Center Based on SDE
5. Conclusions
- (1)
- Among the tested configurations, Ordinary Kriging using an exponential kernel and semivariogram with a step length of 13 produced the most accurate interpolation results (RMSE = 0.856), with minimal mean error and balanced standardized error metrics. In contrast, Co-Kriging, which integrated several factors, showed slightly inferior performance (RMSE = 0.891). The results from Geographically Weighted Regression (GWR) were also largely consistent with those of the optimal Ordinary Kriging model.
- (2)
- The spatial distribution patterns of grain yield described below were obtained using the optimal Ordinary Kriging method. From 2015 to 2017, grain yield increased mainly in the southwestern region, while declines were concentrated in the central zone. Between 2017 and 2019, yield continued to rise in the north and west, with recovery in central areas and new declines in the southeast. From 2019 to 2021, western areas experienced a decrease, whereas yield rose in the eastern and southern parts. Overall, from 2015 to 2021, most of the Songnen Plain showed positive growth in grain yield, especially in the southwest and far north, with only localized reductions in the northern zone.
- (3)
- Based on per-unit-area calculations, grain yield exhibited significant regional variations in growth rate. The highest increase reached 259.71% (Wudalianchi City), while the greatest decline was 12.20% (Shuangcheng District). These values represent relative changes in productivity, not absolute output. To some extent, this conclusion is consistent with the interpolation results.
- (4)
- Standard Deviation Ellipse (SDE) analysis indicated a slight northward shift in the grain yield center from 2015 to 2021. This directional trend aligned well with results from Kriging and Geographically Weighted Regression, suggesting consistent spatial dynamics across methods.
- (5)
- Policy and Practical Recommendations:
Author Contributions
Funding
Data Availability Statement
Acknowledgments
Conflicts of Interest
References
- Zhang, Y.; Li, B. Detection of the Spatio-Temporal Differentiation Patterns and Influencing Factors of Wheat Production in Huang-Huai-Hai Region. Foods 2022, 11, 1617. [Google Scholar] [CrossRef]
- Gao, Y.; Yue, Y.; Yang, W. Correlating Grain Yield with Irrigation in a Spatio-Temporal Context on the North China Plain. Heliyon 2024, 10, e32745. [Google Scholar] [CrossRef]
- Wang, Z.; Zhang, E.; Chen, G. Spatiotemporal Variation and Influencing Factors of Grain Yield in Major Grain-Producing Counties: A Comparative Study of Two Provinces from China. Land 2023, 12, 1810. [Google Scholar] [CrossRef]
- Leng, G.; Huang, M. Crop Yield Response to Climate Change Varies with Crop Spatial Distribution Pattern. Sci. Rep. 2017, 7, 1463. [Google Scholar] [CrossRef]
- Ghosh, B.N.; Sharma, N.K.; Alam, N.M.; Singh, R.J.; Juyal, G.P. Elevation, Slope Aspect and Integrated Nutrient Management Effects on Crop Productivity and Soil Quality in North-West Himalayas, India. J. Mt. Sci. 2014, 11, 1208–1217. [Google Scholar] [CrossRef]
- Chen, D.; Wei, W.; Chen, L.; Ma, B.; Li, H. Response of Soil Nutrients to Terracing and Environmental Factors in the Loess Plateau of China. Geogr. Sustain. 2024, 5, 230–240. [Google Scholar] [CrossRef]
- Dorji, T.; Odeh, I.; Field, D. Vertical Distribution of Soil Organic Carbon Density in Relation to Land Use/Cover, Altitude and Slope Aspect in the Eastern Himalayas. Land 2014, 3, 1232–1250. [Google Scholar] [CrossRef]
- Bangroo, S.A.; Najar, G.R.; Rasool, A. Effect of Altitude and Aspect on Soil Organic Carbon and Nitrogen Stocks in the Himalayan Mawer Forest Range. CATENA 2017, 158, 63–68. [Google Scholar] [CrossRef]
- Li, C.; Shi, W.; Huang, M. Effects of Crop Rotation and Topography on Soil Erosion and Nutrient Loss under Natural Rainfall Conditions on the Chinese Loess Plateau. Land 2023, 12, 265. [Google Scholar] [CrossRef]
- Zhou, Z.; Jin, J.; Wang, L. Modeling the Effects of Elevation and Precipitation on Rice (Oryza sativa L.) Production Considering Multiple Planting Methods and Cultivars in Central China. Sci. Total Environ. 2022, 813, 152679. [Google Scholar] [CrossRef] [PubMed]
- Yang, J.; El-Kassaby, Y.A.; Guan, W. The Effect of Slope Aspect on Vegetation Attributes in a Mountainous Dry Valley, Southwest China. Sci. Rep. 2020, 10, 16465. [Google Scholar] [CrossRef]
- Zhang, Q.; Fang, R.; Deng, C.; Zhao, H.; Shen, M.-H.; Wang, Q. Slope Aspect Effects on Plant Community Characteristics and Soil Properties of Alpine Meadows on Eastern Qinghai-Tibetan Plateau. Ecol. Indic. 2022, 143, 109400. [Google Scholar] [CrossRef]
- Masoud, M.; Abdul-Hamid, H.; Bin Mohamed, J.; Alsanousi, A. Investigating Soil Properties on the North and South Slopes at Different Elevations in Al-Jabal Al-Akhdar, Libya. For. Sci. Technol. 2024, 20, 286–299. [Google Scholar] [CrossRef]
- Haile, G.; Gebru, C.; Lemenih, M.; Agegnehu, G. Soil Property and Crop Yield Responses to Variation in Land Use and Topographic Position: Case Study from Southern Highland of Ethiopia. Heliyon 2024, 10, e25098. [Google Scholar] [CrossRef]
- Johnson, R. Soil-Water Retention and Its Role in Crop Yield Optimization. Int. J. Adv. Chem. Res. 2023, 5, 117–120. [Google Scholar] [CrossRef]
- Amsili, J.P.; Van Es, H.M.; Schindelbeck, R.R. Cropping System and Soil Texture Shape Soil Health Outcomes and Scoring Functions. Soil Secur. 2021, 4, 100012. [Google Scholar] [CrossRef]
- Liu, D.; Wang, Z.; Song, K.; Zhang, B.; Hu, L.; Huang, N.; Zhang, S.; Luo, L.; Zhang, C.; Jiang, G. Land Use/Cover Changes and Environmental Consequences in Songnen Plain, Northeast China. Chin. Geogr. Sci. 2009, 19, 299–305. [Google Scholar] [CrossRef]
- Lu, Z.; Zhang, J.; Li, C.; Dong, Z.; Lei, G.; Yu, Z. Effects of Land Use Change on Runoff Depth in the Songnen Plain, China. Sci. Rep. 2024, 14, 24464. [Google Scholar] [CrossRef] [PubMed]
- Wang, H.; Wan, Z.; Yu, S.; Luo, X.; Sun, G. Catastrophic Eco-Environmental Change in the Songnen Plain, Northeastern China since 1900s. Chin. Geogr. Sci. 2004, 14, 179–185. [Google Scholar] [CrossRef]
- Chen, Z.; Zhang, S.; Geng, W.; Ding, Y.; Jiang, X. Use of Geographically Weighted Regression (GWR) to Reveal Spatially Varying Relationships between Cd Accumulation and Soil Properties at Field Scale. Land 2022, 11, 635. [Google Scholar] [CrossRef]
- Zhang, Y.; Zang, S.; Sun, L.; Yan, B.; Yang, T.; Yan, W.; Meadows, M.E.; Wang, C.; Qi, J. Characterizing the Changing Environment of Cropland in the Songnen Plain, Northeast China, from 1990 to 2015. J. Geogr. Sci. 2019, 29, 658–674. [Google Scholar] [CrossRef]
- Zhang, L.; Wang, C.; Li, X.; Zhang, H.; Li, W.; Jiang, L. Impacts of Agricultural Expansion (1910s–2010s) on the Water Cycle in the Songneng Plain, Northeast China. Remote Sens. 2018, 10, 1108. [Google Scholar] [CrossRef]
- Zhang, Y.; Hao, R.; Qin, Y. Temporal and Spatial Variation of Agricultural and Pastoral Production in the Eastern Section of the Agro-Pastoral Transitional Zone in Northern China. Agriculture 2024, 14, 829. [Google Scholar] [CrossRef]
- Hao, Y.; Wang, Y.; Chang, Q.; Wei, X. Effects of Long-Term Fertilization on Soil Organic Carbon and Nitrogen in a Highland Agroecosystem. Pedosphere 2017, 27, 725–736. [Google Scholar] [CrossRef]
- Wang, K.; Zhao, X.; Zheng, H.; Zheng, B.; Xu, Y.; Zhang, F.; Duan, Z. The Agro-Pastoral Transitional Zone in Northern China: Continuously Intensifying Land Use Competition Leading to Imbalanced Spatial Matching of Ecological Elements. Land 2024, 13, 654. [Google Scholar] [CrossRef]
- Hang, Y.; Lu, X.; Li, X. Spatiotemporal Differentiation Characteristics and Zoning of Cultivated Land System Resilience in the Songnen Plain. Sustainability 2025, 17, 4314. [Google Scholar] [CrossRef]
- Li, H.; Huang, F.; Hong, X.; Wang, P. Evaluating Satellite-Observed Ecosystem Function Changes and the Interaction with Drought in Songnen Plain, Northeast China. Remote Sens. 2022, 14, 5887. [Google Scholar] [CrossRef]
- Yang, P.; Ames, D.P.; Fonseca, A.; Anderson, D.; Shrestha, R.; Glenn, N.F.; Cao, Y. What Is the Effect of LiDAR-Derived DEM Resolution on Large-Scale Watershed Model Results? Environ. Model. Softw. 2014, 58, 48–57. [Google Scholar] [CrossRef]
- Osborne, J. Improving Your Data Transformations: Applying the Box-Cox Transformation. Pract. Assess. Res. Eval. 2010, 15, 12. [Google Scholar] [CrossRef]
- Du, G.; Guo, T.; Ma, C. Effects of Topographic Factors on Cultivated-Land Ridge Orientation in the Black Soil Region of Songnen Plain. Land 2022, 11, 1489. [Google Scholar] [CrossRef]
- Wu, Y.; Wang, W.; Wang, Q.; Zhong, Z.; Wang, H.; Yang, Y. Farmland Shelterbelt Changes in Soil Properties: Soil Depth-Location Dependency and General Pattern in Songnen Plain, Northeastern China. Forests 2023, 14, 584. [Google Scholar] [CrossRef]
- Zhao, H.; Luo, C.; Kong, D.; Yu, Y.; Zang, D.; Wang, F. Spatial and Temporal Variations in Soil Organic Matter and Their Influencing Factors in the Songnen and Sanjiang Plains of China (1984–2021). Land 2024, 13, 1447. [Google Scholar] [CrossRef]
- FAO. A Framework for Land Evalution; FAO Soils Bulletin; 2nd Printing; Soil Resources, Management and Conservation Service, Ed.; FAO: Rome, Italy, 1981; ISBN 978-92-5-100111-0. [Google Scholar]
- Zhu, Z.; Xie, Y. Research on Evaluation Methods of Black Soil Farmland Productivity Based on Field Block Scale. Appl. Sci. 2024, 14, 3130. [Google Scholar] [CrossRef]
- Freedman, D.; Diaconis, P. On the Histogram as a Density Estimator: L2 Theory. Z. Wahrscheinlichkeitstheorie Verwandte Geb. 1981, 57, 453–476. [Google Scholar] [CrossRef]
- Lugosi, G.; Nobel, A. Consistency of Data-Driven Histogram Methods for Density Estimation and Classification. Ann. Statist. 1996, 24, 687–706. [Google Scholar] [CrossRef]
- Wilk, M.B.; Gnanadesikan, R. Probability Plotting Methods for the Analysis for the Analysis of Data. Biometrika 1968, 55, 1–17. [Google Scholar] [CrossRef] [PubMed]
- Filliben, J.J. The Probability Plot Correlation Coefficient Test for Normality. Technometrics 1975, 17, 111–117. [Google Scholar] [CrossRef]
- Almeida, A.; Loy, A.; Hofmann, H. Ggplot2 Compatible Quantile-Quantile Plots in R. R J. 2019, 10, 248. [Google Scholar] [CrossRef]
- Anselin, L. Local Indicators of Spatial Association—LISA. Geogr. Anal. 1995, 27, 93–115. [Google Scholar] [CrossRef]
- Getis, A.; Ord, J.K. The Analysis of Spatial Association by Use of Distance Statistics. Geogr. Anal. 1992, 24, 189–206. [Google Scholar] [CrossRef]
- Maniteja, M.; Samanta, G.; Gebretsadik, A.; Tsae, N.B.; Rai, S.S.; Fissha, Y.; Okada, N.; Kawamura, Y. Advancing Iron Ore Grade Estimation: A Comparative Study of Machine Learning and Ordinary Kriging. Minerals 2025, 15, 131. [Google Scholar] [CrossRef]
- Wackernagel, H. Ordinary Kriging. In Multivariate Geostatistics; Springer: Berlin/Heidelberg, Germany, 1998; pp. 83–92. ISBN 978-3-662-03552-8. [Google Scholar]
- Han, H.; Suh, J. Spatial Prediction of Soil Contaminants Using a Hybrid Random Forest–Ordinary Kriging Model. Appl. Sci. 2024, 14, 1666. [Google Scholar] [CrossRef]
- Dowd, P.A.; Pardo-Igúzquiza, E. The Many Forms of Co-Kriging: A Diversity of Multivariate Spatial Estimators. Math. Geosci. 2024, 56, 387–413. [Google Scholar] [CrossRef]
- Qu, M.; Guang, X.; Liu, H.; Zhao, Y.; Huang, B. Incorporating Auxiliary Data of Different Spatial Scales for Spatial Prediction of Soil Nitrogen Using Robust Residual Cokriging (RRCoK). Agronomy 2021, 11, 2516. [Google Scholar] [CrossRef]
- Wang, Y.; Wang, H.; Wang, C.; Zhang, S.; Wang, R.; Wang, S.; Duan, J. Co-Kriging-Guided Interpolation for Mapping Forest Aboveground Biomass by Integrating Global Ecosystem Dynamics Investigation and Sentinel-2 Data. Remote Sens. 2024, 16, 2913. [Google Scholar] [CrossRef]
- Robertson, F.; Crawford, D.; Partington, D.; Oliver, I.; Rees, D.; Aumann, C.; Armstrong, R.; Perris, R.; Davey, M.; Moodie, M.; et al. Soil Organic Carbon in Cropping and Pasture Systems of Victoria, Australia. Soil Res. 2016, 54, 64. [Google Scholar] [CrossRef]
- Risk, C.; James, P.M.A. Optimal Cross-Validation Strategies for Selection of Spatial Interpolation Models for the Canadian Forest Fire Weather Index System. Earth Space Sci. 2022, 9, e2021EA002019. [Google Scholar] [CrossRef]
- Mahoney, M.J.; Johnson, L.K.; Silge, J.; Frick, H.; Kuhn, M.; Beier, C.M. Assessing the Performance of Spatial Cross-Validation Approaches for Models of Spatially Structured Data. arXiv 2023, arXiv:2303.07334. [Google Scholar]
- Milà, C.; Mateu, J.; Pebesma, E.; Meyer, H. Nearest Neighbour Distance Matching Leave-One-Out Cross-Validation for Map Validation. Methods Ecol. Evol. 2022, 13, 1304–1316. [Google Scholar] [CrossRef]
- Stock, A.; Subramaniam, A. Iterative Spatial Leave-One-out Cross-Validation and Gap-Filling Based Data Augmentation for Supervised Learning Applications in Marine Remote Sensing. GISci. Remote Sens. 2022, 59, 1281–1300. [Google Scholar] [CrossRef]
- Düzgün, H.; Kemeç, S. Spatial and Geographically Weighted Regression. In Encyclopedia of GIS; Springer: Boston, MA, USA, 2008; pp. 1073–1077. ISBN 978-0-387-30858-6. [Google Scholar]
- Yu, S.; Hu, X.; Sheng, Y.; Zhao, C. Similarity and Geographically Weighted Regression Considering Spatial Scales of Features Space. Spat. Stat. 2025, 67, 100897. [Google Scholar] [CrossRef]
- Quiñones, S.; Goyal, A.; Ahmed, Z.U. Geographically Weighted Machine Learning Model for Untangling Spatial Heterogeneity of Type 2 Diabetes Mellitus (T2D) Prevalence in the USA. Sci. Rep. 2021, 11, 6955. [Google Scholar] [CrossRef]
- Hong, Z.; Wang, J.; Wang, H. Introducing Bootstrap Test Technique to Identify Spatial Heterogeneity in Geographically and Temporally Weighted Regression Models. Spat. Stat. 2022, 51, 100683. [Google Scholar] [CrossRef]
- Magno, M.; Luffman, I.; Nandi, A. Evaluating Spatial Regression-Informed Cokriging of Metals in Soils near Abandoned Mines in Bumpus Cove, Tennessee, USA. Geosciences 2021, 11, 434. [Google Scholar] [CrossRef]
- Usowicz, B.; Lipiec, J.; Łukowski, M.; Słomiński, J. Improvement of Spatial Interpolation of Precipitation Distribution Using Cokriging Incorporating Rain-Gauge and Satellite (SMOS) Soil Moisture Data. Remote Sens. 2021, 13, 1039. [Google Scholar] [CrossRef]
- Oshan, T.; Li, Z.; Kang, W.; Wolf, L.; Fotheringham, A. Mgwr: A Python Implementation of Multiscale Geographically Weighted Regression for Investigating Process Spatial Heterogeneity and Scale. ISPRS Int. J. Geo-Inf. 2019, 8, 269. [Google Scholar] [CrossRef]
- Roger, A.; Libohova, Z.; Rossier, N.; Joost, S.; Maltas, A.; Frossard, E.; Sinaj, S. Spatial Variability of Soil Phosphorus in the Fribourg Canton, Switzerland. Geoderma 2014, 217–218, 26–36. [Google Scholar] [CrossRef]
- Mutiah, S.; Aldi, M.N.; Saefuddin, A.; Ernawati, F. Comparison of Ordinary Kriging and Cokriging for Spatial Estimation Based on Simulated Data. CAUCHY 2025, 10, 533–544. [Google Scholar] [CrossRef]
- Zhang, H.; Cai, W. When Doesn’t Cokriging Outperform Kriging? arXiv 2015, arXiv:1507.08403. [Google Scholar]
- García-Soidán, P.; Cotos-Yáñez, T.R. Use of Correlated Data for Nonparametric Prediction of a Spatial Target Variable. Mathematics 2020, 8, 2077. [Google Scholar] [CrossRef]
- Tziachris, P.; Metaxa, E.; Papadopoulos, F.; Papadopoulou, M. Spatial Modelling and Prediction Assessment of Soil Iron Using Kriging Interpolation with pH as Auxiliary Information. ISPRS Int. J. Geo-Inf. 2017, 6, 283. [Google Scholar] [CrossRef]
- Yu, Z.; Zhang, X.; Liu, J.; Lei, G. Long-term Effects of Soil Erosion on Dryland Crop Yields in the Songnen Plain, Northeast China. Soil Use Manag. 2024, 40, e13044. [Google Scholar] [CrossRef]
- Cui, Y.; Liu, S.; Li, X.; Geng, H.; Xie, Y.; He, Y. Estimating Maize Yield in the Black Soil Region of Northeast China Using Land Surface Data Assimilation: Integrating a Crop Model and Remote Sensing. Front. Plant Sci. 2022, 13, 915109. [Google Scholar] [CrossRef] [PubMed]
- Mo, J.; Song, Z.; Che, Y.; Li, J.; Liu, T.; Feng, J.; Wang, Z.; Rong, J.; Gu, S. Effects of Aeolian Deposition on Soil Properties and Microbial Carbon Metabolism Function in Farmland of Songnen Plain, China. Sci. Rep. 2024, 14, 14791. [Google Scholar] [CrossRef]
- Andersson Djurfeldt, A. Gendered Land Rights, Legal Reform and Social Norms in the Context of Land Fragmentation—A Review of the Literature for Kenya, Rwanda and Uganda. Land Use Policy 2020, 90, 104305. [Google Scholar] [CrossRef]
- Chen, J.; Zhu, R.; Zhang, Q.; Kong, X.; Sun, D. Reduced-Tillage Management Enhances Soil Properties and Crop Yields in a Alfalfa-Corn Rotation: Case Study of the Songnen Plain, China. Sci. Rep. 2019, 9, 17064. [Google Scholar] [CrossRef]
- Tang, B.; Meng, F.; Dong, F.; Zhang, H.; Meng, B. The Spatiotemporal Evolution of Extreme Climate Indices in the Songnen Plain and Its Impact on Maize Yield. Agronomy 2024, 14, 2128. [Google Scholar] [CrossRef]
- Yang, Q.; Zhang, P.; Ma, Z.; Liu, D.; Guo, Y. Agricultural Economic Resilience in the Context of International Food Price Fluctuation—An Empirical Analysis on the Main Grain–Producing Areas in Northeast China. Sustainability 2022, 14, 14102. [Google Scholar] [CrossRef]
- Ye, F.; Qin, S.; Li, H.; Li, Z.; Tong, T. Policy-Driven Food Security: Investigating the Impact of China’s Maize Subsidy Policy Reform on Farmer’ Productivity. Front. Sustain. Food Syst. 2024, 8, 1349765. [Google Scholar] [CrossRef]
- Wang, B.; Shi, W.; Miao, Z. Confidence Analysis of Standard Deviational Ellipse and Its Extension into Higher Dimensional Euclidean Space. PLoS ONE 2015, 10, e0118537. [Google Scholar] [CrossRef]
- Moore, T.W.; McGuire, M.P. Using the Standard Deviational Ellipse to Document Changes to the Spatial Dispersion of Seasonal Tornado Activity in the United States. npj Clim. Atmos. Sci. 2019, 2, 21. [Google Scholar] [CrossRef]
- Li, J.; Zhang, H.; Xu, E. Spatialization of Actual Grain Crop Yield Coupled with Cultivation Systems and Multiple Factors: From Survey Data to Grid. Agronomy 2020, 10, 675. [Google Scholar] [CrossRef]
- He, H.; Ding, R.; Tian, X. Spatiotemporal Characteristics and Influencing Factors of Grain Yield at the County Level in Shandong Province, China. Sci. Rep. 2022, 12, 12001. [Google Scholar] [CrossRef] [PubMed]
- Rattalino Edreira, J.I.; Andrade, J.F.; Cassman, K.G.; Van Ittersum, M.K.; Van Loon, M.P.; Grassini, P. Spatial Frameworks for Robust Estimation of Yield Gaps. Nat. Food 2021, 2, 773–779. [Google Scholar] [CrossRef]
- Barrile, V.; Maesano, C.; Genovese, E. Optimization of Crop Yield in Precision Agriculture Using WSNs, Remote Sensing, and Atmospheric Simulation Models for Real-Time Environmental Monitoring. J. Sens. Actuator Netw. 2025, 14, 14. [Google Scholar] [CrossRef]
- Gumma, M.K.; Nukala, R.M.; Panjala, P.; Bellam, P.K.; Gajjala, S.; Dubey, S.K.; Sehgal, V.K.; Mohammed, I.; Deevi, K.C. Optimizing Crop Yield Estimation through Geospatial Technology: A Comparative Analysis of a Semi-Physical Model, Crop Simulation, and Machine Learning Algorithms. AgriEngineering 2024, 6, 786–802. [Google Scholar] [CrossRef]














| Data Source | Data Type | Data Usage |
|---|---|---|
| Tianditu Platform (https://www.tianditu.gov.cn/, accessed on 13 July 2025) | Administrative vector data for 35 counties/districts in Heilongjiang’s Agro-Pastoral Zone | Spatial analysis and planning applications |
| National Bureau of Statistics Yearbooks (https://www.stats.gov.cn/sj/ndsj/, accessed on 13 July 2025) | County-level grain yield and sown area statistics | Standard reference for socio-economic and agricultural statistics in China |
| USGS GloVis Platform (https://glovis.usgs.gov/, accessed on 13 July 2025) | 30 m resolution DEM; Derived slope and aspect (via ArcGIS 10.8 surface analysis) | Topographic analysis |
| Resource and Environment Science and Data Platform (https://www.resdc.cn/, accessed on 13 July 2025) | Soil type data | Environmental science research and land resource management studies |
| Category | Range/Type | Assigned Value |
|---|---|---|
| Slope (°) | [0, 2] | −4 |
| (2, 6) | −2 | |
| (6, 15) | 0 | |
| (15, 25) | 2 | |
| [25, 90] | 4 | |
| Aspect (°) | −1 (Flat area) | 1 |
| [0, 22.5] | 2 | |
| (22.5, 67.5] | 3 | |
| (67.5, 112.5] | 4 | |
| (112.5, 157.5] | 5 | |
| (157.5, 202.5] | 6 | |
| (202.5, 247.5] | 7 | |
| (247.5, 292.5] | 8 | |
| (292.5, 337.5] | 9 | |
| (337.5, 360] | 2 | |
| Soil Type | Black Soil | 9.5 |
| Chernozem | 8.5 | |
| Meadow Black Soil | 8 | |
| Meadow Soil | 7.5 | |
| Meadow Black Calcium | 7 | |
| Calcareous Grass | 6 | |
| Dark Brown Soil | 5.5 | |
| Lime Black | 5 | |
| Meadow Sandstorm | 4 | |
| Swampy Soil | 3 |
| Parameter | Range | Interpretation |
|---|---|---|
| Moran’s I | 0~0.1 | Near-random spatial distribution with minimal clustering or dispersion. |
| 0.1~0.3 | Weak spatial clustering, with low spatial autocorrelation. | |
| 0.3~0.5 | Moderate spatial clustering, noticeable spatial autocorrelation. | |
| 0.5~0.7 | Strong spatial clustering, significant spatial autocorrelation. | |
| 0.7~1.0 | Very strong spatial clustering, extremely significant spatial autocorrelation. | |
| z | Significant spatial autocorrelation | |
| No significant spatial autocorrelation | ||
| p | 0.05 | Significant spatial autocorrelation, clustering or dispersion is evident. |
| 0.05 | No significant spatial autocorrelation, likely random distribution. |
| Year | Moran’s I | z | p |
|---|---|---|---|
| 2015 | 0.524044 | 5.355138 | 0.000000 |
| 2017 | 0.718746 | 7.259855 | 0.000000 |
| 2019 | 0.501857 | 5.100871 | 0.000000 |
| 2021 | 0.743470 | 7.458499 | 0.000000 |
| (a) Kernel Function | |||||
| Function | ME | RMSE | MSE | RMSSE | ASE |
| Exponential | 0.005276 | 0.859 | 0.000260 | 0.009880 | 0.936 |
| Gaussian | 0.009104 | 0.938 | 0.000219 | 0.014234 | 0.673 |
| Constant | 0.058056 | 1.081 | 0.000264 | 0.012477 | 0.843 |
| (b) Semivariogram | |||||
| Function | ME | RMSE | MSE | RMSSE | ASE |
| Gaussian | 0.005276 | 0.859 | 0.000260 | 0.009880 | 0.936 |
| Exponential | 0.003645 | 0.903 | 0.000136 | 0.009698 | 0.974 |
| Circular | 0.004286 | 0.869 | 0.000255 | 0.009928 | 0.939 |
| Spherical | 0.004252 | 0.871 | 0.000249 | 0.009904 | 0.940 |
| (c) Step Length | |||||
| Function | ME | RMSE | MSE | RMSSE | ASE |
| 10 | 0.002462 | 0.868 | 0.000183 | 0.009990 | 0.932 |
| 11 | 0.008419 | 0.877 | 0.000125 | 0.010040 | 0.932 |
| 12 | 0.005276 | 0.859 | 0.000260 | 0.009880 | 0.936 |
| 13 | 0.003183 | 0.856 | 0.000231 | 0.009826 | 0.937 |
| 14 | 0.013671 | 0.847 | 0.000303 | 0.009763 | 0.939 |
| 15 | 0.014739 | 0.850 | 0.000301 | 0.009734 | 0.943 |
| 20 | 0.016089 | 0.860 | 0.000302 | 0.009773 | 0.947 |
| (a) Kernel Function | |||||
| Function | ME | RMSE | MSE | RMSSE | ASE |
| Exponential | 0.004477 | 0.895 | 0.000256 | 0.010053 | 0.935 |
| Gaussian | 0.027222 | 0.934 | 0.000442 | 0.014390 | 0.671 |
| Constant | 0.031376 | 1.024 | 0.000003 | 0.012051 | 0.856 |
| (b) Semivariogram | |||||
| Function | ME | RMSE | MSE | RMSSE | ASE |
| Gaussian | 0.004477 | 0.895 | 0.000256 | 0.010053 | 0.935 |
| Exponential | 0.010440 | 0.943 | 0.000152 | 0.009818 | 0.975 |
| Circular | 0.007622 | 0.916 | 0.000200 | 0.010056 | 0.947 |
| Spherical | 0.005862 | 0.914 | 0.000223 | 0.010020 | 0.946 |
| (c) Step Length | |||||
| Function | ME | RMSE | MSE | RMSSE | ASE |
| 10 | 0.004477 | 0.895 | 0.000256 | 0.010053 | 0.935 |
| 11 | 0.002328 | 0.908 | 0.000218 | 0.009749 | 0.963 |
| 12 | 0.017430 | 0.905 | 0.000108 | 0.010157 | 0.934 |
| 13 | 0.007642 | 0.891 | 0.000213 | 0.009992 | 0.936 |
| 14 | 0.000808 | 0.910 | 0.000243 | 0.009806 | 0.962 |
| 15 | 0.013132 | 0.898 | 0.000330 | 0.009689 | 0.965 |
| 20 | 0.013529 | 0.899 | 0.000165 | 0.010123 | 0.932 |
| Interpolation Method | ME | RMSE |
|---|---|---|
| Ordinary Kriging | 0.856 | 0.003183 |
| Co-Kriging (all covariates) | 0.891 | 0.007642 |
| Co-Kriging (Elevation + Soil) | 0.020 | 0.234944 |
Disclaimer/Publisher’s Note: The statements, opinions and data contained in all publications are solely those of the individual author(s) and contributor(s) and not of MDPI and/or the editor(s). MDPI and/or the editor(s) disclaim responsibility for any injury to people or property resulting from any ideas, methods, instructions or products referred to in the content. |
© 2025 by the authors. Licensee MDPI, Basel, Switzerland. This article is an open access article distributed under the terms and conditions of the Creative Commons Attribution (CC BY) license (https://creativecommons.org/licenses/by/4.0/).
Share and Cite
Sun, B.; Wang, Y.; Du, M.; Niu, H. Spatial Distribution of Grain Yield in the Songnen Plain Agro-Pastoral Zone in Heilongjiang Province: A Study Using Geostatistics and Geographically Weighted Regression. Land 2025, 14, 1705. https://doi.org/10.3390/land14091705
Sun B, Wang Y, Du M, Niu H. Spatial Distribution of Grain Yield in the Songnen Plain Agro-Pastoral Zone in Heilongjiang Province: A Study Using Geostatistics and Geographically Weighted Regression. Land. 2025; 14(9):1705. https://doi.org/10.3390/land14091705
Chicago/Turabian StyleSun, Bing, Yushuang Wang, Meiying Du, and Hongyu Niu. 2025. "Spatial Distribution of Grain Yield in the Songnen Plain Agro-Pastoral Zone in Heilongjiang Province: A Study Using Geostatistics and Geographically Weighted Regression" Land 14, no. 9: 1705. https://doi.org/10.3390/land14091705
APA StyleSun, B., Wang, Y., Du, M., & Niu, H. (2025). Spatial Distribution of Grain Yield in the Songnen Plain Agro-Pastoral Zone in Heilongjiang Province: A Study Using Geostatistics and Geographically Weighted Regression. Land, 14(9), 1705. https://doi.org/10.3390/land14091705

