Effects of Urbanization-Induced Land Use Changes on Ecosystem Services: A Case Study of the Anhui Province, China
Abstract
1. Introduction
2. Materials and Methods
2.1. Study Area
2.2. Data Source
2.3. Quantification of ES Spatial-Temporal Distribution Characteristics
2.3.1. ESs Assessment
2.3.2. Geographically Weighted Regression
2.4. Relationship Between Urbanization and ESs
2.4.1. Selection of Urbanization Drivers
2.4.2. Hotspot Analysis of ES Levels and Urbanization Levels
2.4.3. Geographic Detector Model
2.5. Identification of Relationships Among Urbanization, LULC, and ESs
2.5.1. Random Forest Model
2.5.2. Partial Least Squares Path Modeling
3. Results
3.1. Spatiotemporal Patterns and Characteristics of ESs and Urbanization
3.1.1. Spatiotemporal Variations and Trade-Offs of ESs
3.1.2. Spatiotemporal Variations of Urbanization Drivers
3.2. Spatial Relationships Between Urbanization and ESs
3.2.1. Spatial Distribution of Urbanization and ESs
3.2.2. Spatial Effects of Urbanization on ESs
3.3. Linkages Among Urbanization, LULC, and ESs
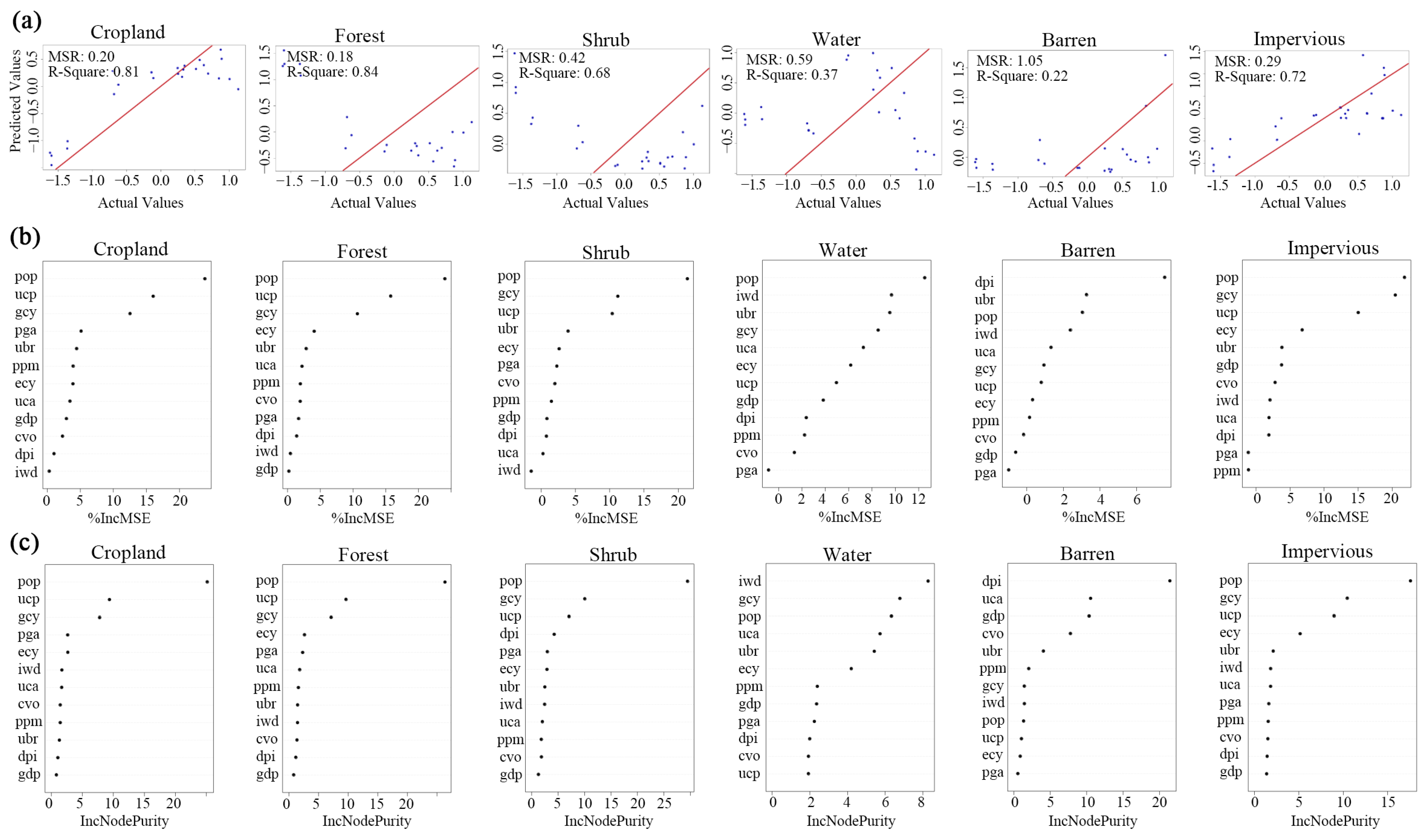
3.3.1. Interconnections Between Urbanization and LULC
3.3.2. Interconnections Between LULC and ESs
3.3.3. Relationships Among Urbanization Types, LULC, and ESs
4. Discussion
4.1. Mechanisms of Urbanization Impacting ESs Through LULC Changes
4.2. Implications and Recommendations
4.3. Limitations and Future Directions
5. Conclusions
Supplementary Materials
Author Contributions
Funding
Data Availability Statement
Conflicts of Interest
Abbreviations
| ES | Ecosystem Service |
| ESs | Ecosystem Services |
| LULC | Land use and land cover |
| WC | Water Conservation |
| SC | Soil Conservation |
| HQ | Habitat Quality |
| CS | Carbon Storage |
| WY | Water Yield |
| pop | Population Density |
| ubr | Population Urbanization Rate |
| gdp | Per Capita GDP |
| dpi | Per Capita Disposable Income |
| ucp | Urban Construction Proportion |
| uca | Per Capita Urban Construction Area |
| pga | Per Capita Park Green Area |
| iwd | Per Capita Industrial Wastewater Discharge |
| gcy | Per Capita Grain Crop Yield |
| ecy | Per Capita Economic Crop (Oil) |
| cvo | Civil Vehicle Ownership every 104 person |
| ppm | People Participating in Medical Insurance proportion |
| GWR | Geographically Weighted Regression |
| RF | Random Forest |
| UL | Urbanization Levels |
| %IncMSE | Mean Squared Error |
| MSR | Mean Square Residual |
| IncNodePurity | Node Purity |
| PLS-PM | Partial Least Squares Path Modeling |
| AICc | Akaike Information Criterion corrected |
References
- Costanza, R.; d’Arge, R.; de Groot, R.; Farber, S.; Grasso, M.; Hannon, B.; Limburg, K.; Naeem, S.; O’Neill, R.V.; Paruelo, J.; et al. The value of the world’s ecosystem services and natural capital. Nature 1997, 387, 253–260. [Google Scholar] [CrossRef]
- Peng, J.; Wang, X.; Liu, Y.; Zhao, Y.; Xu, Z.; Zhao, M.; Qiu, S.; Wu, J. Urbanization impact on the supply-demand budget of ecosystem services: Decoupling analysis. Ecosyst. Serv. 2020, 44, 101139. [Google Scholar] [CrossRef]
- Sun, L.; Chen, J.; Li, Q.; Huang, D. Dramatic uneven urbanization of large cities throughout the world in recent decades. Nat. Commun. 2020, 11, 5366. [Google Scholar] [CrossRef] [PubMed]
- Field, C.B. Sharing the Garden. Science 2001, 294, 2490–2491. [Google Scholar] [CrossRef] [PubMed]
- Bolund, P.; Hunhammar, S. Ecosystem services in urban areas. Ecol. Econ. 1999, 29, 293–301. [Google Scholar] [CrossRef]
- McDonough, L.K.; Santos, I.R.; Andersen, M.S.; O’Carroll, D.M.; Rutlidge, H.; Meredith, K.; Oudone, P.; Bridgeman, J.; Gooddy, D.C.; Sorensen, J.P.R.; et al. Changes in global groundwater organic carbon driven by climate change and urbanization. Nat. Commun. 2020, 11, 1279. [Google Scholar] [CrossRef]
- Xing, L.; Zhu, Y.; Wang, J. Spatial spillover effects of urbanization on ecosystem services value in Chinese cities. Ecol. Indic. 2021, 121, 107028. [Google Scholar] [CrossRef]
- Maes, J.; Teller, A.; Erhard, M.; Liquete, C.; Braat, L.; Berry, P.; Egoh, B.; Puydarrieux, P.; Fiorina, C.; Santos, F. Mapping and Assessment of Ecosystems and their Services. In An Analytical Framework for Ecosystem Assessments Under Action; Publications Office of the European Union: Luxembourg, 2013; pp. 1–58. [Google Scholar]
- Hermoso, V.; Carvalho, S.B.; Giakoumi, S.; Goldsborough, D.; Katsanevakis, S.; Leontiou, S.; Markantonatou, V.; Rumes, B.; Vogiatzakis, I.N.; Yates, K.L. The EU Biodiversity Strategy for 2030: Opportunities and challenges on the path towards biodiversity recovery. Environ. Sci. Policy 2022, 127, 263–271. [Google Scholar] [CrossRef]
- De Marco, A.; Proietti, C.; Anav, A.; Ciancarella, L.; D’Elia, I.; Fares, S.; Fornasier, M.F.; Fusaro, L.; Gualtieri, M.; Manes, F.; et al. Impacts of air pollution on human and ecosystem health, and implications for the National Emission Ceilings Directive: Insights from Italy. Environ. Int. 2019, 125, 320–333. [Google Scholar] [CrossRef]
- Nesbitt, L.; Meitner, M.J.; Sheppard, S.R.J.; Girling, C. The dimensions of urban green equity: A framework for analysis. Urban For. Urban Green. 2018, 34, 240–248. [Google Scholar] [CrossRef]
- Boyce, J.K.; Zwickl, K.; Ash, M. Measuring environmental inequality. Ecol. Econ. 2016, 124, 114–123. [Google Scholar] [CrossRef]
- Cowling, R.M.; Egoh, B.; Knight, A.T.; O’Farrell, P.J.; Reyers, B.; Rouget, M.; Roux, D.J.; Welz, A.; Wilhelm-Rechman, A. An operational model for mainstreaming ecosystem services for implementation. Proc. Natl. Acad. Sci. USA 2008, 105, 9483–9488. [Google Scholar] [CrossRef]
- Thiery, W.; Lange, S.; Rogelj, J.; Schleussner, C.-F.; Gudmundsson, L.; Seneviratne, S.I.; Andrijevic, M.; Frieler, K.; Emanuel, K.; Geiger, T.; et al. Intergenerational inequities in exposure to climate extremes. Science 2021, 374, 158–160. [Google Scholar] [CrossRef] [PubMed]
- Zhang, H.; Wang, Y.; Wang, C.; Yang, J.; Yang, S. Coupling analysis of environment and economy based on the changes of ecosystem service value. Ecol. Indic. 2022, 144, 109524. [Google Scholar] [CrossRef]
- Wu, K.; Wang, D.; Lu, H.; Liu, G. Temporal and spatial heterogeneity of land use, urbanization, and ecosystem service value in China: A national-scale analysis. J. Clean. Prod. 2023, 418, 137911. [Google Scholar] [CrossRef]
- Bi, Y.; Zheng, L.; Wang, Y.; Li, J.; Yang, H.; Zhang, B. Coupling relationship between urbanization and water-related ecosystem services in China’s Yangtze River economic Belt and its socio-ecological driving forces: A county-level perspective. Ecol. Indic. 2023, 146, 109871. [Google Scholar] [CrossRef]
- Raudsepp-Hearne, C.; Peterson, G.D.; Bennett, E.M. Ecosystem service bundles for analyzing tradeoffs in diverse landscapes. Proc. Natl. Acad. Sci. USA 2010, 107, 5242–5247. [Google Scholar] [CrossRef]
- Lemes de Oliveira, F.; Mahmoud, I. Desirable futures: Human-nature relationships in urban planning and design. Futures 2024, 163, 103444. [Google Scholar] [CrossRef]
- de Groot, R.S.; Alkemade, R.; Braat, L.; Hein, L.; Willemen, L. Challenges in integrating the concept of ecosystem services and values in landscape planning, management and decision making. Ecol. Complex. 2010, 7, 260–272. [Google Scholar] [CrossRef]
- Ouyang, X.; Tang, L.; Wei, X.; Li, Y. Spatial interaction between urbanization and ecosystem services in Chinese urban agglomerations. Land Use Policy 2021, 109, 105587. [Google Scholar] [CrossRef]
- Ren, Q.; Liu, D.; Liu, Y. Spatio-temporal variation of ecosystem services and the response to urbanization: Evidence based on Shandong province of China. Ecol. Indic. 2023, 151, 110333. [Google Scholar] [CrossRef]
- Li, Y.; Jia, L.; Wu, W.; Yan, J.; Liu, Y. Urbanization for rural sustainability—Rethinking China’s urbanization strategy. J. Clean. Prod. 2018, 178, 580–586. [Google Scholar] [CrossRef]
- Zhao, F.; Yang, L.; Tang, J.; Fang, L.; Yu, X.; Li, M.; Chen, L. Urbanization–land-use interactions predict antibiotic contamination in soil across urban–rural gradients. Sci. Total Environ. 2023, 867, 161493. [Google Scholar] [CrossRef] [PubMed]
- Yin, H.; Xiao, R.; Fei, X.; Zhang, Z.; Gao, Z.; Wan, Y.; Tan, W.; Jiang, X.; Cao, W.; Guo, Y. Analyzing “economy-society-environment” sustainability from the perspective of urban spatial structure: A case study of the Yangtze River delta urban agglomeration. Sustain. Cities Soc. 2023, 96, 104691. [Google Scholar] [CrossRef]
- Anhui Provincial Bureau of Statistics. Anhui Statistical Yearbook 2001. Available online: http://tjj.ah.gov.cn (accessed on 14 July 2023).
- Anhui Provincial Bureau of Statistics. Anhui Statistical Yearbook 2021. Available online: http://tjj.ah.gov.cn (accessed on 14 July 2023).
- Yang, J.; Huang, X. The 30 m annual land cover dataset and its dynamics in China from 1990 to 2019. Earth Syst. Sci. Data 2021, 13, 3907–3925. [Google Scholar] [CrossRef]
- Xu, L.; He, N.; Yu, G. A dataset of carbon density in Chinese terrestrial ecosystems (2010s). China Sci. Data 2019, 4, 90–91. [Google Scholar] [CrossRef]
- Assessment, M.E. Millennium Ecosystem Assessment; Millennium Ecosystem Assessment: Washington, DC, USA, 2001; Volume 2. [Google Scholar]
- Ouyang, Z.; Zheng, H.; Xiao, Y.; Polasky, S.; Liu, J.; Xu, W.; Wang, Q.; Zhang, L.; Xiao, Y.; Rao, E. Improvements in ecosystem services from investments in natural capital. Science 2016, 352, 1455–1459. [Google Scholar] [CrossRef]
- Brunsdon, C.; Fotheringham, S.; Charlton, M. Geographically weighted regression. J. R. Stat. Soc. Ser. D 1998, 47, 431–443. [Google Scholar] [CrossRef]
- Yu, B. Ecological effects of new-type urbanization in China. Renew. Sustain. Energy Rev. 2021, 135, 110239. [Google Scholar] [CrossRef]
- Tian, Y.; Jiang, G.; Zhou, D.; Li, G. Systematically addressing the heterogeneity in the response of ecosystem services to agricultural modernization, industrialization and urbanization in the Qinghai-Tibetan Plateau from 2000 to 2018. J. Clean. Prod. 2021, 285, 125323. [Google Scholar] [CrossRef]
- Liu, Y.; Li, Y. Revitalize the world’s countryside. Nature 2017, 548, 275–277. [Google Scholar] [CrossRef]
- Getis, A.; Ord, J.K. The analysis of spatial association by use of distance statistics. Geogr. Anal. 1992, 24, 189–206. [Google Scholar] [CrossRef]
- Wang, J.; Xu, C. Geodetector: Principle and prospective. Acta Geogr. Sin. 2017, 72, 116–134. Available online: http://www.geog.com.cn/CN/10.11821/dlxb201701010 (accessed on 20 July 2024). (In Chinese with English abstract).
- Gu, C. Urbanization: Positive and negative effects. Sci. Bull. 2019, 64, 281–283. [Google Scholar] [CrossRef]
- Schoppa, L.; Disse, M.; Bachmair, S. Evaluating the performance of random forest for large-scale flood discharge simulation. J. Hydrol. 2020, 590, 125531. [Google Scholar] [CrossRef]
- Zhao, Y.-q.; Shen, J.; Feng, J.-m.; Wang, X.-z. Relative contributions of different sources to DOM in Erhai Lake as revealed by PLS-PM. Chemosphere 2022, 299, 134377. [Google Scholar] [CrossRef] [PubMed]
- Rodríguez, J.P.; Beard, T.D., Jr.; Bennett, E.M.; Cumming, G.S.; Cork, S.J.; Agard, J.; Dobson, A.P.; Peterson, G.D. Trade-offs across space, time, and ecosystem services. Ecol. Soc. 2006, 11, 28. [Google Scholar] [CrossRef]
- Du, X.; Jian, J.; Du, C.; Stewart, R.D. Conservation management decreases surface runoff and soil erosion. Int. Soil Water Conserv. Res. 2022, 10, 188–196. [Google Scholar] [CrossRef]
- Mouchet, M.; Paracchini, M.-L.; Schulp, C.; Stürck, J.; Verkerk, P.; Verburg, P.; Lavorel, S. Bundles of ecosystem (dis) services and multifunctionality across European landscapes. Ecol. Indic. 2017, 73, 23–28. [Google Scholar] [CrossRef]
- Tong, X.; Brandt, M.; Yue, Y.; Ciais, P.; Rudbeck Jepsen, M.; Penuelas, J.; Wigneron, J.-P.; Xiao, X.; Song, X.-P.; Horion, S. Forest management in southern China generates short term extensive carbon sequestration. Nat. Commun. 2020, 11, 129. [Google Scholar] [CrossRef]
- Bennett, E.M.; Peterson, G.D.; Gordon, L.J. Understanding relationships among multiple ecosystem services. Ecol. Lett. 2009, 12, 1394–1404. [Google Scholar] [CrossRef] [PubMed]
- Deng, C.; Liu, J.; Liu, Y.; Li, Z.; Nie, X.; Hu, X.; Wang, L.; Zhang, Y.; Zhang, G.; Zhu, D.; et al. Spatiotemporal dislocation of urbanization and ecological construction increased the ecosystem service supply and demand imbalance. J. Environ. Manag. 2021, 288, 112478. [Google Scholar] [CrossRef] [PubMed]
- Fetting, C. The European Green Deal; ESDN Report; The ESDN Office: Vienna, Austria, 2020; Volume 2, 53p, Available online: https://www.sd-network.eu/?k=sdg,green+deal (accessed on 20 June 2024).
- Schneider, F.; Kallis, G.; Martinez-Alier, J. Crisis or opportunity? Economic degrowth for social equity and ecological sustainability. Introduction to this special issue. J. Clean. Prod. 2010, 18, 511–518. [Google Scholar] [CrossRef]
- Yu, B.; Xu, L. Review of ecological compensation in hydropower development. Renew. Sustain. Energy Rev. 2016, 55, 729–738. [Google Scholar] [CrossRef]
- Wang, S.; Bai, X.; Zhang, X.; Reis, S.; Chen, D.; Xu, J.; Gu, B. Urbanization can benefit agricultural production with large-scale farming in China. Nat. Food 2021, 2, 183–191. [Google Scholar] [CrossRef] [PubMed]
- Santos, M.M.; Lanzinha, J.C.G.; Ferreira, A.V. Review on urbanism and climate change. Cities 2021, 114, 103176. [Google Scholar] [CrossRef]
- Butler, C.D.; Oluoch-Kosura, W. Linking Future Ecosystem Services and Future Human Well-being. Ecol. Soc. 2006, 11, 30. Available online: https://www.ecologyandsociety.org/vol11/iss1/art30/ (accessed on 20 June 2024). [CrossRef]
- Tu, K.-J.; Lin, L.-T. Evaluative structure of perceived residential environment quality in high-density and mixed-use urban settings: An exploratory study on Taipei City. Landsc. Urban Plan. 2008, 87, 157–171. [Google Scholar] [CrossRef]
- Brown, M.A.; Zhou, S. Smart-grid policies: An international review. In Advances in Energy Systems: The Large-Scale Renewable Energy Integration Challenge; John Wiley & Sons: Hoboken, NJ, USA, 2019; pp. 127–147. [Google Scholar] [CrossRef]
- Kausar, A.; Zubair, S.; Sohail, H.; Anwar, M.M.; Aziz, A.; Vambol, S.; Vambol, V.; Khan, N.A.; Poteriaiko, S.; Tyshchenko, V. Evaluating the challenges and impacts of mixed-use neighborhoods on urban planning: An empirical study of a megacity, Karachi, Pakistan. Discov. Sustain. 2024, 5, 24. [Google Scholar] [CrossRef]
- Li, L.; Huang, X.; Wu, D.; Yang, H. Construction of ecological security pattern adapting to future land use change in Pearl River Delta, China. Appl. Geogr. 2023, 154, 102946. [Google Scholar] [CrossRef]
- Cliquet, A.; Aragão, A.; Meertens, M.; Schoukens, H.; Decleer, K. The negotiation process of the EU Nature Restoration Law Proposal: Bringing nature back in Europe against the backdrop of political turmoil? Restor. Ecol. 2024, 32, e14158. [Google Scholar] [CrossRef]
- Basso, M.; Tonin, S. The implementation of the Covenant of Mayors initiative in European cities: A policy perspective. Sustain. Cities Soc. 2022, 78, 103596. [Google Scholar] [CrossRef]
- Mukhopadhyay, A.; Hati, J.P.; Acharyya, R.; Pal, I.; Tuladhar, N.; Habel, M. Global trends in using the InVEST model suite and related research: A systematic review. Ecohydrol. Hydrobiol. 2025, 25, 389–405. [Google Scholar] [CrossRef]
- Hastik, R.; Basso, S.; Geitner, C.; Haida, C.; Poljanec, A.; Portaccio, A.; Vrščaj, B.; Walzer, C. Renewable energies and ecosystem service impacts. Renew. Sustain. Energy Rev. 2015, 48, 608–623. [Google Scholar] [CrossRef]
- Fu, B. On the calculation of the evaporation from land surface. Sci. Atmos. Sin. 1981, 5, 23–29. [Google Scholar]
- Zhang, L.; Hickel, K.; Dawes, W.R.; Chiew, F.H.S.; Western, A.W.; Briggs, P.R. A rational function approach for estimating mean annual evapotranspiration. Water Resour. Res. 2004, 40. [Google Scholar] [CrossRef]
- Zhao, J.; Yang, Z.; Govers, G. Soil and water conservation measures reduce soil and water losses in China but not down to background levels: Evidence from erosion plot data. Geoderma 2019, 337, 729–741. [Google Scholar] [CrossRef]
- Wischmeier, W.H.; Smith, D.D. Predicting Rainfall Erosion Losses: A Guide to Conservation Planning. Department of Agriculture, Science and Education Administration. 1978. 67p. Available online: https://www.researchgate.net/profile/Heriansyah-Putra-2/post/Which-formula-is-correct/attachment/59d64d4e79197b80779a6e2c/AS%3A487650378424321%401493276318482/download/USLE.pdf (accessed on 5 June 2025).
- Williams, J.; Jones, C.; Dyke, P. The EPIC model and its application. In Proceedings of the ICRISAT-IBSNAT-SYSS Symp. on Minimum Data Sets for Agrotechnology Transfer. ICRISAT-IBSNAT, Patancheru, India, 21–26 March 1984; pp. 111–121. [Google Scholar]
- Desmet, P.J.; Govers, G. A GIS procedure for automatically calculating the USLE LS factor on topographically complex landscape units. J. Soil Water Conserv. 1996, 51, 427–433. [Google Scholar] [CrossRef]
- Oliveira, A.H.; da Silva, M.A.; Silva, M.L.N.; Curi, N.; Neto, G.K.; de Freitas, D.A.F. Development of topographic factor modeling for application in soil erosion models. In Soil Processes and Current Trends in Quality Assessment; Soriano, M.C.H., Ed.; InTech: Rijeka, Croatia, 2013; Volume 4, pp. 111–138. [Google Scholar] [CrossRef]
- Nelson, E.; Polasky, S.; Lewis, D.J.; Plantinga, A.J.; Lonsdorf, E.; White, D.; Bael, D.; Lawler, J.J. Efficiency of incentives to jointly increase carbon sequestration and species conservation on a landscape. Proc. Natl. Acad. Sci. USA 2008, 105, 9471–9476. [Google Scholar] [CrossRef]
- Stanford University; U.o.M.; Chinese Academy of Sciences; The Nature Conservancy; World Wildlife Fund; Stockholm Resilience Centre and the Royal Swedish Academy of Sciences. Natural Capital Project. InVEST 0.0 2024. Available online: https://naturalcapitalproject.stanford.edu/software/invest (accessed on 20 June 2024).
- Cao, Y.; Wang, C.; Su, Y.; Duan, H.; Wu, X.; Lu, R.; Su, Q.; Wu, Y.; Chu, Z. Study on Spatiotemporal Evolution and Driving Forces of Habitat Quality in the Basin along the Yangtze River in Anhui Province Based on InVEST Model. Land 2023, 12, 1092. [Google Scholar] [CrossRef]
- Xia, H.; Yuan, S.; Prishchepov, A.V. Spatial-temporal heterogeneity of ecosystem service interactions and their social-ecological drivers: Implications for spatial planning and management. Resour. Conserv. Recycling 2023, 189, 106767. [Google Scholar] [CrossRef]
- Zhang, G.; Quan, L. Impact of Habitat Quality Changes on Regional Thermal Environment: A Case Study in Anhui Province, China. Sustainability 2024, 16, 8560. [Google Scholar] [CrossRef]









| Data Type | Data Format | Data Source | Spatial Resolution |
|---|---|---|---|
| LULC | Raster | The 30 m annual land cover datasets and its dynamics in China from 1990 to 2021 [28] | 30 m |
| Precipitation | Raster | National Earth System Science Data Center, National Science & Technology Infrastructure of China (http://www.geodata.cn, accessed on 17 January 2024). | 1 km |
| Temperature | Raster | National Earth System Science Data Center, National Science & Technology Infrastructure of China (http://www.geodata.cn, accessed on 17 January 2024). | 1 km |
| Evapotranspiration | Raster | National Earth System Science Data Center, National Science & Technology Infrastructure of China (http://www.geodata.cn, accessed on 17 January 2024). | 1 km |
| Root depth, soil texture, and soil type | Raster | National Tibetan Plateau/Third Pole Environment Data Center (http://data.tpdc.ac.cn, accessed on 14 July 2023). | 30 arc-second |
| Carbon density | Spreadsheet | China terrestrial ecosystem carbon density dataset [29] | / |
| Digital elevation model (DEM) | Raster | Geospatial Data Cloud (www.gscloud.cn, accessed on 12 July 2023). | 90 m |
| Urbanization drivers | Spreadsheet | Anhui Provincial Bureau of Statistics (tjj.ah.gov.cn, accessed on 15 July 2023). | / |
| Category | Ecosystem Service | Abbreviation | Methodology |
|---|---|---|---|
| Regulating service | Water conservation | WC | Water balance equation |
| Soil conservation | SC | Universal Soil Loss Equation | |
| Supporting service | Habitat quality | HQ | InVEST model |
| Carbon storage | CS | InVEST model | |
| Provisioning service | Water yield | WY | InVEST model |
| Category | Indicator | Abbreviation |
|---|---|---|
| Population Urbanization | Population Density (cap km−2) | pop |
| Population Urbanization Rate (%) | ubr | |
| Economic Urbanization | Per Capita GDP (104 RMB yr−1) | gdp |
| Per Capita Disposable Income (RMB yr−1) | dpi | |
| Spatial Urbanization | Urban Construction Proportion (%) | ucp |
| Per Capita Urban Construction Area (m2 cap−1) | uca | |
| Ecological Urbanization | Per Capita Park Green Area (ha cap−1) | pga |
| Per Capita Industrial Wastewater Discharge (104 t cap−1) | iwd | |
| Social Urbanization | Per Capita Grain Crop Yield (t cap−1) | gcy |
| Per Capita Economic Crop (Oil) Yield (t cap−1) | ecy | |
| Civil Vehicle Ownership every 104 person (Vehicles 10−4 cap−1) | cvo | |
| People Participating in Medical Insurance proportion (%) | ppm |
Disclaimer/Publisher’s Note: The statements, opinions and data contained in all publications are solely those of the individual author(s) and contributor(s) and not of MDPI and/or the editor(s). MDPI and/or the editor(s) disclaim responsibility for any injury to people or property resulting from any ideas, methods, instructions or products referred to in the content. |
© 2025 by the authors. Licensee MDPI, Basel, Switzerland. This article is an open access article distributed under the terms and conditions of the Creative Commons Attribution (CC BY) license (https://creativecommons.org/licenses/by/4.0/).
Share and Cite
Liu, X.; Zhang, X.; Shu, Q.; Yao, Z.; Wu, H.; Gao, S. Effects of Urbanization-Induced Land Use Changes on Ecosystem Services: A Case Study of the Anhui Province, China. Land 2025, 14, 1238. https://doi.org/10.3390/land14061238
Liu X, Zhang X, Shu Q, Yao Z, Wu H, Gao S. Effects of Urbanization-Induced Land Use Changes on Ecosystem Services: A Case Study of the Anhui Province, China. Land. 2025; 14(6):1238. https://doi.org/10.3390/land14061238
Chicago/Turabian StyleLiu, Xinmiao, Xudong Zhang, Qi Shu, Zengwang Yao, Hailong Wu, and Shenghua Gao. 2025. "Effects of Urbanization-Induced Land Use Changes on Ecosystem Services: A Case Study of the Anhui Province, China" Land 14, no. 6: 1238. https://doi.org/10.3390/land14061238
APA StyleLiu, X., Zhang, X., Shu, Q., Yao, Z., Wu, H., & Gao, S. (2025). Effects of Urbanization-Induced Land Use Changes on Ecosystem Services: A Case Study of the Anhui Province, China. Land, 14(6), 1238. https://doi.org/10.3390/land14061238

