Next Article in Journal
Research on Super-Resolution Reconstruction Algorithms for Remote Sensing Images of Coastal Zone Based on Deep Learning
Next Article in Special Issue
The Spatiotemporal Dynamics of the Landscape of the Itombwe Nature Reserve and Its Periphery in South Kivu, the Democratic Republic of Congo
Previous Article in Journal
Systemic Competitiveness in the EU Cereal Value Chain: A Network Perspective for Policy Alignment
Previous Article in Special Issue
Phenological Divergences in Vegetation with Land Surface Temperature Changes in Different Geographical Zones
 
 
Font Type:
Arial Georgia Verdana
Font Size:
Aa Aa Aa
Line Spacing:
Column Width:
Background:
Article

Anthropogenic Disturbances in Northwestern Virunga Forest Amid Armed Conflict

by
Charles Mumbere Musavandalo
1,2,*,
Pyrus Flavien Ebouel Essouman
1,3,
Serge Shakanye Ndjadi
4,
Julien Bwazani Balandi
1,2,
Timothée Besisa Nguba
1,2,
Carlo Sodalo
1,2,
Jean-Pierre Mate Mweru
1,
Kouagou Raoul Sambieni
1,5 and
Jan Bogaert
2
1
Ecole Régionale Post-Universitaire d’Aménagement et Gestion Intégrés des Forêts et Territoires Tropicaux (ERAIFT), Kinshasa P.O. Box 15.373, Congo
2
Unité Biodibersité, Ecosystème et Paysage (BEP), Teaching and Research Center (TERRA), Gembloux Agro-Bio Tech, Université de Liège, 5030 Gembloux, Belgium
3
Facultés des Sciences Agronomiques, Université de Dschang, Dschang P.O. Box 96, Cameroon
4
Faculté des Sciences Agronomiques, Université Évangélique en Afrique, Bukavu P.O. Box 3323, Congo
5
Faculté d’Architecture, Université de Lubumbashi, Lubumbashi P.O. Box 1825, Congo
*
Author to whom correspondence should be addressed.
Land 2025, 14(4), 732; https://doi.org/10.3390/land14040732
Submission received: 18 February 2025 / Revised: 20 March 2025 / Accepted: 25 March 2025 / Published: 29 March 2025

Abstract

This study focuses on identifying and assessing the extent of anthropogenic disturbance factors directly affecting the forests of northwestern Virunga. It posits that the army camps within the forest are a hotspot for expanding human activities in the context of armed conflict. A multiscalar approach was used to examine disturbances across multiple levels to capture their complex interaction and to avoid oversimplified interpretations. This approach included an analysis of the dynamics and spatial structure of the forest cover from 2016 to 2023, along with an inventory of the local disturbance factors. The study focused on seven study sites hosting army camps, namely Mikuha, Lahe, Pk26, and Ngite within Virunga National Park, as well as Mamundioma, PK2, and Kinziki in its periphery. The findings show that the installation of army camps did not lead to significant forest fragmentation. Except for Mamundioma, all the other sites showed an increase in forest areas, due to the aggregation of remaining forest patches during periods of insecurity. However, this trend toward passive forest restoration does not offset disturbances. It merely reflects a slowdown in the conversion of forest areas to other land uses. Nine anthropogenic factors contribute to forest disturbances, with cash crops (74.17%), food crops (72.50%), and trees cut down for energy (61.61%) being the most prominent. Other contributing factors include carbonization (31.67%), fire use (30.00%), sawn timber (26.67%), path creation (17.50%), exotic tree species introduction (10.00%), and the establishment of invasive species (11.67%). Spatial analysis provides a partial explanation for such forest disturbances. Its exhaustive description would require a mix of spatial data and field observations.

1. Introduction

In the Democratic Republic of Congo, deforestation and forest degradation are significant threats to the carbon balance, biodiversity, and management of protected areas. Forest cover changes have been extensively documented and continue to be studied using the tools and data provided by remote sensing and geographic information systems [1,2,3,4,5,6,7]. Many studies have concentrated on deforestation rather than forest ecosystem degradation itself. This is largely due to the simplicity of mapping and quantifying areas of canopy loss using satellite imagery. However, there is often a paucity of information regarding the contribution of other disturbance drivers, which are inherently challenging to represent spatially [7,8].
Slash-and-burn agriculture has traditionally been documented as the main driver of forest cover change in both the DRC and Congo Basin [9,10]. However, despite this evidence, other factors also contribute to forest cover change. These include artisanal and/or industrial mining, the search for fuelwood, and artisanal and/or industrial timber extraction [11]. These factors vary across regions and change over time, shaped by the specific socio-economic dynamics of each region [12]. For example, ref. [10] noted that, unlike other tropical regions, deforestation in Africa is driven by cash crops and mining. This type of deforestation is often difficult to spatially separate from deforestation driven by shifting agriculture, which is characterized by small-scale clearing and anthropogenic fire. Similarly, ref. [9] indicated that, in the Congolese forest ecosystem, resource extractions and land use with minimal spatial footprints are not directly detectable, even in high spatial resolution images. Thus, the relationship between forest disturbance fractions and specific anthropogenic or natural drivers remains poorly documented [11]. Identifying the inferred human pressures around protected areas, such as Virunga National Park, is important for understanding authorization. It is also important for the preservation of park resources [13].
The northwestern Virunga landscape is distinguished by robust endogenous economic dynamism and a climate of insecurity characterized by significant unpredictability. This landscape is home to Virunga National Park, a World Heritage site with important ecological, economic, and climatic functions [14]. Its total economic value is estimated at over USD 48 million [15]. The northwestern Virunga landscape requires scientific attention due to its potential as an ecological corridor between the Ituri forest massif and Virunga National Park. For over two decades, this landscape has been subjected to anthropogenic pressures from many sources. Its population experiences an annual growth rate exceeding the national average. It remains predominantly reliant on the exploitation of natural forest ecosystems for sustenance and energy. This reliance extends to all activities contributing to local economic development [16].
Since 1997, the northwestern Virunga landscape has faced insecurity due to the presence of national and foreign armed groups, notably the Alliance of Democratic Forces (ADF). Since 2010, the security situation in the region has deteriorated further with the activism of the ADF terrorist group from Ugandan. The Global Forest Watch system warns of deforestation and the degradation of forests in and around Virunga National Park despite ongoing insecurity, as well as its impact on farming activities. In theory, these disturbances would be associated with the reinforcement of security arrangements, particularly establishing military camps in the forest zone. This would enable the local population to carry out their activities during the war period. The presence of military camps would first lead to localized deforestation, which would then spread because of the concentration of human activities within a radius considered secure by the army. However, the relationship between forest transitions and armed conflict is intricate and multifaceted [17]. A more comprehensive grasp of these elements, particularly in the context of the ongoing armed conflict, is vital for the formulation of post-conflict forest management strategies within this landscape [9,11,18].
The following four fundamental questions were formulated to understand the forest disturbances in northwestern Virunga: (1) In the context of the ongoing armed conflict, is the establishment of military camps within and around Virunga National Park contributing to the deforestation and subsequent disruption of forest ecosystems? (2) What key local anthropogenic factors drive forest disturbances? (3) How are local disturbance factors spatially distributed within Virunga National Park under protection and in its periphery, which is free of access? (4) How does access to different disturbed regions within and surrounding Virunga National Park affect the frequency of the disturbance factors?
The following four hypotheses were defined based on the four research questions: (1) In the current context of insecurity in northwestern Virunga, forest disintegration intensified after the creation of the security infrastructure compared with the period preceding its installation. This may be due to the possibility of intensification of agricultural and resource extraction activities by the local people, who benefit from the security provided by the presence of the security forces. (2) Given the economic stakes and urbanization, cash crops—mainly cocoa—and the exploitation of firewood and timber are the main factors disturbing the natural forests in the northwestern Virunga landscape. (3) Given the diversity and dispersion of human activities across the landscape, human disturbance of natural forest ecosystems in this landscape is randomly distributed and has no discernible correlation with distance from access roads. (4) Access to specific disturbed areas in and around Virunga National Park affects both the frequency and nature of human disturbance. Thus, timber extraction is a greater source of disturbance than cash crops in Virunga National Park due to the availability of resources and the monitoring of agricultural activities in the park.
This study proposes a global framework to better understand the relationship between forest cover changes and local root factors in northwestern Virunga. Firstly, it uses spatial data to assess the impact of security measures on forest dynamics, particularly in the Middle Semuliki forest region. Secondly, it aims to identify, categorize, and analyze the prevalence of human-induced factors contributing to forest disturbances, with an emphasis on the direct factors of deforestation and forest degradation as defined by ref. [19].

2. Materials and Methods

2.1. Study Area and Data Collection Sites

The present study concentrated primarily on the Middle Semuliki forest region of the northwest Virunga landscape, as delineated by [20]. The Beni–Kasindi and Beni–Bunia roads circumscribe this forest region. The Middle Semuliki region was selected based on the vegetation gradient that characterizes the northern part of Virunga National Park in the Beni region. This gradient is reflected in the distribution of the forest cover, which is dominant in the extreme north (Figure 1). The study area is characterized by the prevalence of rainfall throughout the year, with a slight decrease between January and March and between June and August. It receives between 1200 and 2000 mm of rainfall annually, with an estimated average of 1600 mm. The temperature varies between 20 and 30 °C, with an average of 25 °C. The population of the region is estimated at over 2 million, concentrated in the urban centers of Beni and Butembo, as well as the rural communes of Oïcha, Kasindi, and Mangina [21].
Data collection sites were identified using a combination of methods, including reviewing the relevant literature, informal interviews with local stakeholders in Beni (farmers and authorities of sectors and territory), and deforestation alerts provided by the Global Forest Watch system (https://www.globalforestwatch.org, accessed on 2 March 2024). The literature review provided an overview of the anthropogenic factors affecting tropical forest ecosystems. The Global Forest Watch system was used to pre-identify potential study sites based on deforestation alerts. The interviews were conducted to check whether the areas targeted by the study would be easily accessible to the population in the context of insecurity, as well as to determine whether accessibility and any related activities would be linked to the presence of security forces. They also provided an opportunity for a general discussion on the various activities carried out in the target areas, which would be subject to verification in the field. These interviews were also used to assess the region’s security level. Security was identified in this study as a key indicator of the intensification of human activities in a forest area. As a result of these discussions, the seven pre-identified sites were validated (see Figure 1). These sites also house military camps within the forest.

2.2. Method

This study used a multiscalar approach drawing on the following two key global observations: the dynamics of the northwestern landscape described by [23] and the deforestation warnings often provided by the Global Forest Watch system. It examined the fragmentation of forest landscapes under the influence of army installations and the local factors contributing to the observed disturbances [24]. A diachronic analysis was used to map and quantify forest cover changes and assess forest configuration and spatial transformation processes. Furthermore, the study employed a transect approach [25] to identify local disturbance factors impacting the forest landscape, including those less detectable through spatial imagery. The analysis of forest dynamics focused on seven sites, while disturbance factors were analyzed across six sites. This difference is attributed to the insecurity of one PK26 during data collection on disturbance factors.

2.2.1. Forest Cover Fragmentation Analysis Around the Study Sites

Landscape fragmentation was analyzed in Lahe, Mikuha, Mamundioma, PK25, PK26, Ngite, and Kinziki (Figure 1) from 2016 to 2023 to test the first hypothesis. This observation period was chosen due to the significant deployment of the Democratic Republic of Congo Armed Forces (FARDC) in the region to combat the Alliance of Democratic Forces (ADF) terrorist group. Additionally, the availability of high-resolution geospatial imagery was another criterion in the selection of this period. Informal discussions with the residents revealed that several security force installations had been established in the remote forest region between 2015 and 2021. For this analysis, only the main camps established between 2018 and 2019 and located in and around the northern forest massif of Virunga National Park were considered. Landscape fragmentation was carried out over the following three periods: before the establishment of the camps (with 2016 as the reference period), during the approximate period of camp establishment (with 2019 as the reference period), and after camp establishment in 2023. A circular area, with a radius of one kilometer corresponding to 314 hectares, was defined around each study site by adapting the approach previously used by [26,27,28]. This radius was determined based on two reasons. Firstly, discussions with the local people indicated that this distance would be optimal for carrying out agricultural work or extracting forest resources in complete safety. Secondly, the Euclidean distance between the army camps varied between 2 and 3 km.
  • Processing spatial reference data
All the images used in this study were obtained from the Planet collection. Planet is a commercial company that operates a constellation of more than 175 standardized nanosatellites, collectively known as PlanetScope. The satellites provide daily high spatial resolution (3 m) images in four spectral bands, including three in the visible (red, green, and blue) bands and one in the near-infrared (NIR) band [29,30]. Planet images detect small changes better than the 30 m spatial resolution Landsat images, which are often used to analyze deforestation [29]. Due to this fine resolution, Planet images were used for our study. Spatial processing was performed using the Google Earth Engine. For each period of investigation, a false-color composite image was created based on the median pixel values of all the images available throughout the year of observation and the supervised classification [31]. A supervised classification was then used to map land cover at each site, distinguishing between the forest and non-forest categories. The “forest” category included mature and secondary forests in this classification. In contrast, the “non-forest” category included fields with food crops and areas lacking tree cover. The Random Forest algorithm was used because of its high classification accuracy.
A total of 300 training points were used. Of these, 220 points were used to train the classification model, with 120 points for the forest class and 100 points for the non-forest class. These training points were collected in the field and by visually analyzing the Planet images based on our knowledge of the land.
  • Classification accuracy
A random sample of 80 points, with 40 points per land use class, was selected from a set of 300 control points collected in the field. This sample was used as a reference to assess the accuracy of the land use maps produced for each site. The accuracy of the land use maps was determined by conventional indices including overall accuracy, user accuracy, and producer accuracy. The indices were calculated using Equations (1) and (2) from [32]. Table 1 and Table A1 present the overall accuracy of the classification for each site.
  • Structural analysis of the forest landscape on disturbed sites
The spatial data analysis primarily focused on assessing changes in the composition and configuration of the forest class using several spatial structure indices. The selection of these indices was based on the principles of providing a coherent representation of landscape characteristics over time and the minimization of information redundancy [33]. In this regard, ref. [34] proposed a classification of indices for the study of landscape structure, including the following categories: (1) area/density/edge metrics; (2) shape metrics; (3) core area metrics; (4) isolation and proximity metrics; (5) diversity metrics; and (6) interception metrics. This study used three indices derived from the “area/density/edge” classification primarily because of their enhanced ability to represent landscape structure in composition and configuration (Table 2). Additionally, three indices derived from the “area/density/edge” classification—area, number of patches, and perimeter—were used to examine the landscape transformation processes.
The spatial transformation process of the forest cover was determined by applying the decision tree method of [35], based on the analysis of the variation in surface area, perimeter, and number of patches within a given class between two observation periods. This decision tree defines the following ten spatial transformation processes: aggregation, attrition, creation, deformation, dissection, enlargement, fragmentation, perforation, displacement, and shrinkage. The ratio of the total area of the forest class in different periods was obtained from Equation (1) (tabs) in [35]. This ratio was used to distinguish fragmentation from other spatial transformation processes. A theoretical threshold of 0.75 was applied to facilitate this distinction. A ratio above 0.75 indicated fragmentation, whereas a ratio below this threshold indicated dissection.

2.2.2. Identification and Inventory of Disturbance Factors in Natural Forest Ecosystems

A list of potential disturbance factors for forest ecosystems within and around protected areas was developed in several stages. The initial compilation of the list was based on the existing literature [22,36,37]. Particular attention was paid to categorizing the factors related to deforestation and forest degradation provided by [11]. To complete the list, direct field observations and interviews with local stakeholders were conducted during the field exploration mission in September 2022. Thus, 12 potential disturbance factors and their characteristic indicators in the field were defined (Table 3).
An inventory of disturbance factors was carried out at Mikuha, Lahe, Kinziki, Pk25, Mamundioma, and Ngite. It was carried out by adapting the transect method initially used by [25] in the Tapia forest of Madagascar and subsequently used by [38,39] in Côte d’Ivoire and Burundi, respectively. At each site, two transects were established, each 1000 m in length and 25 m in width (see Figure 1). The transect was oriented perpendicularly to the access road and was subdivided into ten contiguous 100 m plots, i.e., 0.25 hectare per plot. In total, 12 transects were established, covering 30 hectares. Human disturbances were observed, categorized, and recorded in each plot. The data were recorded as binary data, where 1 represented the presence of a particular form of disturbance and 0 its absence [38,39]. The data collected allowed us to test the second, third, and fourth hypotheses. Only factors recorded in the field based on indicators were analyzed. Factors with zero frequency of occurrence were excluded in the analysis, as they would not provide any relevant information on the perturbations observed.
The second hypothesis was therefore evaluated by analyzing the relative frequencies of occurrence of the disturbance factors to highlight the prevalence of each factor. The Friedman test was used to determine whether there were differences in the frequencies of occurrence of the observed disturbance factors. Friedman’s post hoc test was used to compare the different factors in pairs and assess their statistical similarity. Finally, the χ2 test for independence of variables [25] was used to examine the interaction between the disturbance factors.
In addition, the generalized linear model with Bernoulli distribution was used to test the third hypothesis, i.e., to determine the probability of the occurrence of a disturbance as a function of the distance from the access roads, using the following equation: Y = 1/(1 + e^(−(b0 + b1X))), where Y is the probability of the occurrence of a disturbance on a plot at distance X, b0 is the intercept, and b1 is the coefficient associated with the distance variable. The fourth hypothesis was assessed through a two-step approach. First, a chi-squared test of independence was performed between the disturbed sites and the disturbance factors. Secondly, a factorial correspondence analysis (FCA) was used to analyze the relationships between the disturbance factors and the sites. In our case, the FAC emphasized the proximity or distance between the various modalities of two variables—the type of disturbance and the sites. A factorial map was generated to facilitate the interpretation of the results.

3. Results

3.1. Forest Cover Change and Spatial Transformation Processes

Figure 2 and Figure 3 illustrate the spatial and temporal changes in the forest and non-forest areas across the seven study sites in Virunga National Park and its periphery. Over the eight years of observation, a general trend of increasing forest cover was observed in six of the sites, with a notable disparity between them (p-value < 0.05).
The forest area trend reveals a significant shift before the armed camps’ establishment. Except for Mamundioma, all the other sites show an increasing trend in forest cover. This suggests that fewer forests have been converted into farmland since the beginning of the security crisis in Beni (see Figure 4 and Table A4). However, Ngite shows a low rate of forest cover compared to the other sites.
Figure 5 and Figure 6 visually represent the landscape structure observed at each study site. The largest patch index (LPI) increased at all the disturbed sites within Virunga National Park, as well as Kinziki and PK25 in the park’s periphery. However, the LPI decreased in Mamundioma. A similar trend was observed for the mean patch size index, which increased at all sites in the park, as well as in Kinziki and PK25 situated in the park’s periphery.
From 2016 to 2019, the decrease in forest cover observed in Mamundioma was due to a spatial process known as attrition, which refers to a reduction in the size and number of forest patches. The forest cover in Mamundima continued to decrease due to attrition from 2019 to 2023. In contrast, the forest cover increase in Lahe, Ngite, PK25, Kinziki, Mikuha, and PK26 was mainly due to patch aggregation (Table 4). The aggregation of forest patches was more dominant after the installation of army camps. This trend can be attributed to the security measures taken to limit the expansion of farming activities into the newly accessible forest areas.

3.2. Forest Landscape Disturbance Factors

Nine disturbance factors were identified in the Middle Semuliki region of northwestern Virunga. These included food crops, cash crops, cut trees, carbonization (charcoal production), burn area, sawn timber (artisanal timber harvesting), paths, exotic tree introduction, and invasive species establishment. Food crops, cash crops, and cut trees occur at a frequency of over 50%. Carbonization, burn area, sawn timber, and paths exhibited intermediate occurrence frequencies ranging from 20% to 50%. Finally, exotic trees and the establishment of invasive species exhibited frequencies of occurrence below 20%. However, artisanal mining and livestock farming, which are likely to cause significant alterations to large natural areas, were not observed within the study area (Table 5).
Moreover, the results of the Friedman test (χ2 = 303.35 with a p-value < 2.2 × 10−16) indicated a significant difference in the frequency of occurrence between the disturbance factors. The post hoc test, which was employed to conduct pairwise comparisons of the frequencies of the various types of disturbances (Table A3 in the Appendix A), indicated a similarity in the rate of occurrence among cut trees, food crops, and cash crops (p-value > 0.05). Similarly, carbonization, burn area, sawn timber, and path frequencies were similar (p-value > 0.05) while remaining distinct from those of the invasive species and exotic trees. The Friedman post hoc test thus demonstrated the existence of three different groups of disturbance factors characterized by their respective frequencies of occurrence.

3.3. Association Between Disturbance Factors

Table 6 presents the results of the Chi-squared (χ2) test of independence between the distribution of different types of disturbances, as proposed in our second hypothesis. This hypothesis is based on the sub-hypothesis that disturbances are not caused by isolated factors, which reflect the intensity of anthropogenic pressure per unit of forest area.
The results show a statistically significant association between cut trees and several other variables, notably the cultivation of cash and food crops, fire use, and artisanal timber harvesting. The association between artisanal wood harvesting and charcoal production also remained statistically significant. This can be explained by the fact that low-value trees, which are felled during artisanal harvesting, are directly used for charcoal production.
Furthermore, a statistically significant association was found between food and cash crops. This suggests that the plots disturbed by food crop production were also widely used for cash crop production during the survey. Moreover, artisanal timber harvesting, cash crops, and areas disturbed by burning were also associated. The results showed that fire occurrence was significantly associated with other forms of disturbances, except for exotic species, invasive species, and paths. The presence of exotic species, invasive species, and paths was not found to be directly correlated with other forms of disturbances. This suggests that these disturbances occur as isolated events.

3.4. Probability of Occurrence of Disturbance Factors in Relation to Distance from an Access Road

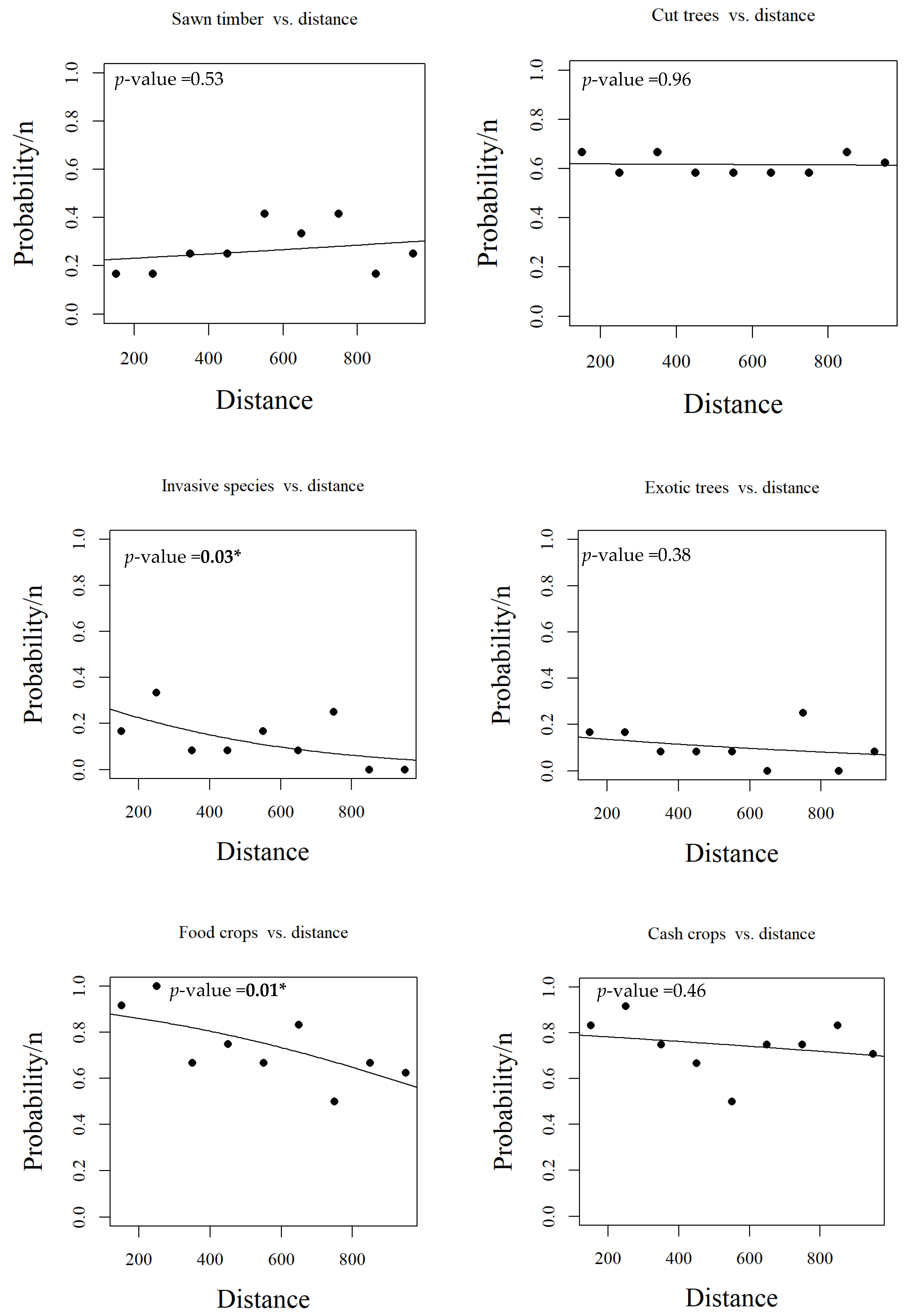
Figure 7 and Table A3 in the Appendix A refer to the third hypothesis of the study, which focuses on predicting the probability of the occurrence of a disturbance factor as a function of distance from the forest access road (forest track). The figure shows that the probability of a plot being affected by the expansion of invasive species, especially Chromoleana odorata (L.) R.M. King & H. Rob, decreases significantly with the distance from the forest access road (p-value = 0.03). The same trend is observed for food crops (p-value = 0.01). This pattern can be explained by the security situation in Beni, where farmers feel safer developing their agricultural activities closer to the access roads than deeper within the forest zone. This explains the more significant development of food crops near the access roads, which require human presence. No statistically significant effect of the distance gradient from the forest access road was observed on the probability of a plot being affected by the cutting of trees for wood energy (p-value = 0.96), cash crops (p-value = 0.46), fire use (p-value = 0.32), or the production of charcoal (p-value = 0.38), although a slight decrease in these three disturbance factors was observed as the distance from the forest access road increased. However, the distance from the forest access road did not significantly affect the probability of plots being disturbed by artisanal timber harvesting (p-value = 0.53).

3.5. Association Between Disturbance Factors and Degraded Sites

Figure 8 provides an overview of the disturbance factors most significantly associated with each disturbed site. Dimension 1 accounts for 69.37% of the total variability, with cash crops, food crops, the expansion of invasive species, and the introduction of exotic trees on the left, followed by artisanal wood harvesting, fire use, charcoal production, cut trees, and the path on the right. The central position of food crops indicates that this disturbance shows minimal variation across the sites. In contrast, charcoal production, fire use, and artisanal wood harvesting are associated with the Mikuha site in Virunga National Park. The cut trees are associated with the Lahe site, which is also located in the park. This disturbance is also found in PK25 at the gateway to the park on the Mbau–Kamango road. The expansion of cash crops is a distinctive feature of the Mamundioma and Kinziki sites. The introduction of exotic trees is most closely associated with Ngite in the park.

4. Discussion

4.1. Effects of Security Measures on Forest Disintegration of the Middle Semuliki Region

The impact of war on ecosystems is not limited to events directly linked to the armed conflict. It can be related to the defense infrastructure and the fluidity of the exchanges it involves. The base’s size and the operations’ nature can give rise to a series of anthropogenic impacts. The establishment of a military base typically requires the clearance of tree vegetation, thereby altering the natural landscape [40,41]. Ref. [42], in their study of Arunachal Pradesh, identified military bases as the primary source of disturbance in ecologically sensitive regions with high biodiversity. Contrary to these findings, the most significant forest disturbance in the Middle Semuliki region occurred before the establishment of defense infrastructures. This is reflected in the gradual increase in the forest cover observed around these sites. One explanation of this trend of increasing forest area is that the access and activities in the northwestern forest region of the Virunga landscape are restricted and/or regulated by the army for security reasons [41]. Another explanation is that agricultural and resource extraction activities ceased in sites located in remote distances from villages or towns, motivated by the fear of the risk of violence from armed groups on the way [18]. The first hypothesis, which posited that forest disintegration would be more significant after installing security devices than before, is only corroborated by the findings at Mamundioma. The aggregation of forest patches in the other sites [35] results from natural regeneration and ecological succession, limiting the dispersal of forest patches.
Moreover, the increase in forest cover within the various study sites does not necessarily indicate the absence of disturbances in northwestern Virunga. Forest regeneration indicates a slowdown in extensive land conversion areas observed since 2010, following the activities of the armed terrorist group ADF [23]. Exploration beneath the canopy reveals indications of prior human activity. This finding is also consistent with the conclusions of [43], which indicate that shifting cultivation often results in temporary tree loss if the environmental and socio-economic conditions allow for forest regeneration. In our case, forest regeneration leads to a natural succession of vegetation, which remains highly vulnerable to the resumption of post-conflict human activity. Remote sensing offers a partial view of forest disturbances. However, combining transect surveys with remote sensing provides a more comprehensive understanding of the nature and persistence of disturbances, including those that may be less visible spatially.

4.2. Hierarchy and Association of Disturbance Factors

This study identifies three categories of disturbance factors, classified based on their frequency of occurrence and highlights their interactions. The first category includes agricultural-related factors, such as cash crops, food crops, and cut trees. The second category encompasses the use of fire, sawn timber, and charcoal production. The third category, which occurs less frequently, comprises forest paths, the expansion of invasive species, and the introduction of exotic trees into a natural ecosystem. Artisanal mining and large-scale livestock farming were not observed in the study area.
The prevalence of agricultural disturbance factors in the forest of northwestern Virunga, particularly in the Middle Semuliki region, can be attributed to two main factors. Firstly, subsistence farming is a prominent feature of the region’s socio-economic landscape in the Congo Basin [44]. Secondly, the attraction of the local population to cash crops further intensifies this preponderance. Cash crops are seen as a crucial economic resource in Beni region. Overall, agriculture remains the most important economic activity in the Democratic Republic of Congo, accounting for 69% of the population in 2022 [45]. Therefore, agriculture is the main factor driving the disruption of natural landscapes in tropical regions, although its geographical distribution varies depending on whether it is commercial or subsistence farming [11,46].
The preponderance of cash crops reinforces the assertion made by ref. [11] that commercial agriculture is further transforming the forest landscape in the east of the Democratic Republic of Congo. The findings of the public opinion analyses conducted by [21] also indicate that shifting cultivation on unburnt slash, reinforced by cocoa, coffee, and oil palm, significantly contributes to deforestation in the western region of Beni. While these agricultural practices have substantial economic benefits, they also have considerable ecological impacts. Our findings, based on inventory and observation techniques, corroborate these conclusions. The economic value of cash crops, which began to rise significantly in the 1970s, explains their cultivation in forested areas. Since the year 2000, the Beni region has attracted several companies involved in the promotion of cash crops, including Esco Kivu, which is involved in the exportation of cocoa and vanilla; Virunga Coffee, which is engaged in the transformation of coffee; and the Enzyme Refiners Association (ENRA), which is involved in the production of papaya. These crops, primarily intended for markets in both developed and developing countries, show that the disruption of forest ecosystems is closely associated with increased agricultural exports [47]. The adoption of cash crops, which require a less permanent farmer presence, represents a strategy developed by local populations to adapt agriculture to the ongoing security crisis. These findings align with those of [48], who noted in their report that cocoa cultivation is emerging as a new driver of deforestation in the eastern Democratic Republic of Congo. Other researchers in sub-Saharan Africa have reported similar findings. For example, ref. [3] also emphasized the impact of cash crops on the forests of southeastern Côte d’Ivoire. Furthermore, the studies conducted by refs. [22,38,49] have demonstrated that the prevalence of cash crops, including cocoa, significantly contributes to the degradation of the Haut Sassandra forest reserve in Côte d’Ivoire. Our findings highlight the central role of cash crops alongside food crops in driving the degradation of the natural landscape of the Beni region.
Furthermore, the association between cash crops and food crops reflects the local population’s decision to intensify food and commercial production per unit of land. It emphasizes the need for sustainable agricultural practices to reduce the pressure on forests. As posited by [7], the expansion of the agri-food industry in the northwestern Virunga landscape could pose new challenges in the post-conflict management of intact forests.
In addition, unlike ref. [21], this study shows that tree extraction, mainly for fuelwood and timber, is also one of the main drivers of natural landscape disturbance. The disparity between these results, provided by field observations, and those of ref. [21], provided by surveys, suggests that people’s perceptions may not always align with certain realities on the ground. This divergence highlights the importance of combining multiple approaches to better identify the causes of forest ecosystem disturbances in the Beni region. Ref. [50] made the same observation about the differences between the stakeholders’ perceptions of deforestation and the results of field inventories in southeastern Côte d’Ivoire. Timber harvesting is not limited to the northwestern Virunga landscape. It has been documented in other parts of the Democratic Republic of Congo. In the Isangi region, ref. [51] noted that the decrease in forest cover was also due to the cutting of trees for firewood and construction use but could nevertheless be compensated for by natural regeneration.
Although fire occurred in less than 50% of cases, it remains a significant factor in the disturbance of forests in northwestern Virunga. As ref. [52] noted, anthropogenic fires, often associated with agricultural expansion, are a primary cause of forest disturbances in the Democratic Republic of Congo. This is consistent with the present results, which show that burned areas are not isolated but are associated with various other disturbance factors. Ref. [25] made similar observations in the Tapia Forest in Madagascar. Repeated burning in a tropical biome can weaken ecosystem resilience and lead to biodiversity loss. However, the frequency of burned areas is approximately half that of cultivated plots, suggesting that no-burn agricultural practices remain dominant in the region [21]. In addition, fire is often localized rather than applied to whole plots to support specific, targeted agricultural intervention.
The expansion of exotic tree species into the natural environment was one of the disturbances identified in the northwestern Virunga landscape. Since the colonial period, plantations of Eucalyptus sp. and Grevillea robusta A. Cunn have been established in North Kivu province. Eucalyptus sp. and Grevillea robusta A. Cunn have spread into natural areas because of the catalytic effect of urbanization and the scarcity of wood resources on the local market [53]. The expansion of Eucalyptus sp. has also been recognized by ref. [54] as a contributing factor in the degradation of natural forest covers in the Ethiopian region, linked to the economic opportunities that the environment provides. However, in the northwestern Virunga landscape, the planting of Eucalyptus sp. aligns with economic considerations and a long-term investment strategy that is more resilient to the disruption caused by armed conflict. It provides its owners with two key advantages, specifically long-term security of tenure despite ongoing security challenges and the sustained economic viability of the area. However, the expansion of these exotic species can result in a long-term ecological disaster for natural forests, biodiversity, and soil quality [55]. The loss of soil fertility can exacerbate the expansion of agricultural activities in natural forests that are reputed to be fertile [56].
The presence of Chromolaena odorata (L.) R.M. King & H. Rob. in disturbed sites, albeit at a low frequency, indicate the extent of anthropogenic activity. This invasive species originated in tropical America and is particularly problematic due to its rapid spread and significant impact on biodiversity and agricultural production [57,58,59]. It results in biodiversity loss and contributes to the spread of fires during the dry season. The species is often influenced by environmental conditions linked to the level of the canopy [59] and can alter the landscape in Chromolaena odorata (L.) R.M. King & H. Rob [60]. Consequently, the risk of its spread to Virunga must be considered when developing conservation strategies.
The frequency of cash crops, food crops, and fuelwood extraction exceeding 50% confirms our second hypothesis that these are the primary factors in the disruption of the forest landscape in the northwestern part of Virunga. The disruption of the natural landscape in northwestern Virunga cannot be attributed to subsistence farming alone; rather, it results from a complex interplay of factors. This finding aligns with the conclusions of [52], which argued that attributing forest disturbances in sub-Saharan Africa to a single factor is challenging. Similarly, ref. [25] reached conclusions regarding the combination of factors contributing to forest degradation in Madagascar, with agriculture remaining the primary factor. This finding demonstrates the necessity to develop strategies that consider the existing associations between disturbances [52].
The probability of a plot being disturbed by food crops and the expansion of Chromoleana odorata (L.) R.M. King & H. Rob decreased with the distance from the forest access road (p-value < 0.05). This high probability was because the food crops and Chomoleana odoata (L.) R.M. King & H. Rob expanded best in sufficiently open areas that allowed access to light. Disturbed areas around a forest matrix and fallow land are more vulnerable to the spread of Chromoleana odorata (L.) R.M. King & H. Rob [61]. In addition, the probability of occupancy of cash crops, the extraction of wood for energy and timber, carbonization, fire use, and the introduction of exotic species did not follow a distance gradient relative to the access road. These factors showed a random dispersal that depended on stakeholders’ decisions and resource availability. The random spatial dispersal of carbonization and fires has also been documented by [25].
These results allow us to partially accept our third hypothesis concerning the random nature of the distribution of forest disturbance factors to the access route. The food crop and the expansion of Chromoleana odorata (L.) R.M. King & H. Rob are in opposition to this hypothesis.

4.3. Implications for Forest Conservation in Virunga National Park

As noted above, the northwestern Virunga landscape has been facing a severe security crisis, leading to the deployment of large security forces. The results show a trend toward an increase in the forest area near army camps. This process represents a phase of passive forest restoration. The canopy cover often masks the ongoing human impact and the forest’s daily vulnerability.
Of the nine types of disturbances identified, cut trees, fire use, sawn timber, and charcoal production are the most prevalent in the disturbed sites within Virunga National Park, particularly in Mikuha and Lahe. These four disturbance factors, typically associated with forest degradation rather than deforestation, illustrate how the population from the Beni region illegally enters the protected area. Forest degradation leads to a change in the forest structure, notably through changes in the structure of commercially valuable trees and in the forest composition, characterized by the presence of a secondary species of low commercial value [62]. Ref. [63] reported similar findings in the Ankasa Conservation Area in Ghana. As stated by ref. [64], the illegal logging activities observed in protected areas in Central Africa appeared to follow a model based on economic value, whereby the extraction of any tree followed the initial removal of the most valuable tree species without regard to its monetary value. Furthermore, ref. [65] added that specific regions of protected areas near local populations remained susceptible to direct human disturbance, including subsistence or commercial farming, tree felling, and the use of fire by poachers. The proximity and access roads between Mikuha and Lahe in Mayango’s and Beni city can explain the strong association between wood extraction and these two sites [56]. Only the forest in Virunga National Park can provide the precious wood sought by local and regional markets. The peripheral zone has been impoverished by unsustainable logging.
Other studies have also identified improved road infrastructure and proximity to urban centers as key drivers of natural forest disturbances in the Democratic Republic of Congo [7,66]. Ref. [67] also highlighted that improvements in transport infrastructure can reduce production costs and enhance the competitiveness of extracted resources in the local market, as well as increase deforestation patterns. Furthermore, the enhanced security of goods and personnel provided by a large military presence in the region probably explains the close link between timber extraction and Virunga National Park. Nevertheless, this situation may be limited through increased monitoring by state authorities within the region and the restoration of security in other timber supply basins, particularly in Ituri [68]. In contrast to poaching and human–wildlife conflict, fire use, timber harvesting, and charcoal production have long-term impacts on biodiversity and its habitat [69]. Regardless of their scale, these factors increase the vulnerability of protected areas in Central Africa to the effects of climate change [70]. It is also important to note that the small-scale logging and farming observed in Mayango, although illegal, reflects a form of resilience by the local population in response to the food crisis exacerbated by insecurity in the Beni region [56]. Figure 8 shows a high degree of proximity between the wood extraction factors and the sites located within Virunga National Park, confirming this study’s fourth hypothesis.
Sustainable alternatives to forest disturbances in northwestern Virunga involve reconciling the restoration of security, local development, and conservation. This requires continued support for income-generating crops in an agroforestry system, exclusively in the degraded areas within the park’s periphery. Agroforestry based on cocoa and coffee in the disturbed areas would reduce people’s dependence on forest resources. This system could improve the connectivity of forests in fragmented landscapes and thus facilitate biodiversity movement across the landscape [71]. This system will also help to restore soil fertility in degraded areas [72] and thus reduce the practice of itinerant subsistence farming in the northwestern part of Virunga. Economic incentives for sustainable agricultural practices, i.e., those not extending into intact forest areas, are important. This would involve mapping producers and production sites. Another alternative would be to improve access to electricity in the Beni, Oïcha, and Butembo urban areas, which would act as a catalyst for relieving pressure on the resources. In addition, urban and peri-urban agriculture development is crucial in the region to enable the population to meet the city’s needs without resorting to rural forest areas [73,74,75].

5. Conclusions

This study combined remote sensing and field observation to provide a comprehensive view of the factors disturbing the forest landscape in the northwestern Virunga region. It examined the impact of army camps on forest fragmentation over the past eight years. The study shows that the creation of army camps did not significantly increase forest fragmentation during periods of insecurity. Forest regeneration and aggregation were observed in almost all the sites, except Mamundioma. However, aggregation should not be taken as evidence of the complete lack of disturbance. Some disturbances are not always spatially quantifiable and require continuous field monitoring.
The forest ecosystem of northwestern Virunga faces nine disturbance factors. The most prominent are food crops, cash crops, and timber extraction. Timber extraction remains a significant disturbance factor within the park compared to the surrounding area. Mitigating disturbances in northwestern Virunga requires the involvement of both state and non-state actors in landscape management initiatives. These actors include the Institut Congolais pour la Conservation de la Nature (ICCN), the regional government of the Beni territory, the customary authorities of Mayango, development partners, and the Congolese armed forces. Promoting agroforestry in the degraded areas could be the key solution to mitigating forest disturbance in the northwestern Virunga. Cocoa-based agroforestry in the disturbed areas is expected to reduce itinerant subsistence farming and logging in intact forest areas. However, the success of this strategy depends on strengthening stakeholders’ capacity to select the appropriate agroforestry species. This will help limit the adoption of exotic species that could disrupt the balance of the natural ecosystem. Further research is needed on the residual trees in disturbed areas and on the endogenous knowledge of forest management. Additionally, future studies should investigate whether forest regeneration also contributes to the restoration of wildlife biodiversity in previously degraded areas. Research on soil fertility in areas affected by various disturbance factors is also essential.

Author Contributions

Conceptualization: C.M.M. and J.B.; Formal Analysis: C.M.M.; Investigation: C.M.M.; Methodology: C.M.M., K.R.S. and J.B.; Supervision: J.B., K.R.S. and J.-P.M.M.; Validation: J.B.; Writing—Original Draft: C.M.M.; Writing—Review and Editing: C.M.M., P.F.E.E., S.S.N., J.B.B., T.B.N., C.S., J.-P.M.M., K.R.S. and J.B. All authors have read and agreed to the published version of the manuscript.

Funding

This study was sponsored by the ERAIFT-AGRINATURA consortium as part of the project ‘Capacity Building for Biodiversity Practitioners, scientists, and Policymakers for the Sustainable Management of Protected Areas and Forest Ecosystems in Africa’ funded by the European Union’s Development Cooperation Instrument (DCI) No. 41928. The authors thank the European Union and the ERAIFT-AGRINATURA consortium for their financial support.

Data Availability Statement

The spatial data used in the study are available at https://code.earthengine.google.com/?accept_repo=users/mmcarvin/default/ (accessed on 23 March 2024).

Conflicts of Interest

The authors declare no conflicts of interest.

Appendix A

Table A1. Producer precision (PA) and User precision (UP).
Table A1. Producer precision (PA) and User precision (UP).
Site ForestNon_ForestOverall
Accuracy
YearAUPAAUPA
Kinziki20160.790.940.940.750.85
20190.800.900.890.780.84
20230.830.950.940.800.88
Lahe20160.900.950.950.900.93
20190.800.820.820.780.80
20230.880.950.950.880.91
Mamundioma20160.950.950.950.950.95
20190.980.980.980.980.98
20230.980.980.980.980.98
Mikuha20160.770.900.880.730.81
20190.800.930.910.780.85
20230.850.980.970.830.90
Ngite20160.830.980.970.800.89
20190.920.900.900.930.93
20230.920.830.850.930.88
PK2520161.000.980.981.000.99
20191.000.930.931.000.96
20230.930.950.950.930.94
PK2620160.840.930.920.830.88
20190.910.980.970.900.94
20230.850.980.970.830.90
Table A2. Pairwise comparison of disturbance types (Prc = Cash crops, Fcr = Food crops, Tcu = Tree cutting, Ba = burn area, AtiH: Artisanal timber harvesting, Car: Carbonization, Pat = Path, Isp = Invasive species, Et: Exotic tree).
Table A2. Pairwise comparison of disturbance types (Prc = Cash crops, Fcr = Food crops, Tcu = Tree cutting, Ba = burn area, AtiH: Artisanal timber harvesting, Car: Carbonization, Pat = Path, Isp = Invasive species, Et: Exotic tree).
TcuPrcFcrCarPatBaAtiHIsp
Prc0.09896-------
Fcr0.055510.71399------
Car 9.0 × 10−88.6 × 10−92.5 × 10−10-----
Pat2.5 × 10−105.1 × 10−137.6 × 10−120.10860----
Ba1.3 × 10−91.1 × 10−85.2 × 10−120.705460.18926---
Alog3.9 × 10−105.6 × 10−93.3 × 10−120.303480.456060.43277--
Isp2.0 × 10−14<2 × 10−16<2 × 10−160.000690.042330.000360.00350
Et1.6 × 10−13<2 × 10−16<2 × 10−160.000110.006070.000140.001360.51269
Table A3. Probability of Disturbance Occurrence with Increasing Distance from Forest Access.
Table A3. Probability of Disturbance Occurrence with Increasing Distance from Forest Access.
Factors of Disturbance EstimateStd. Errorz ValuePr(>|z|)
Invasive speciesIntercept−0.7395040.595725−1.2410.2145
Distance−0.0024660.001141−2.1610.0307 *
Exotic treesIntercept−1.65256840.6712824−2.4620.0138 *
Distance−0.00097070.0011231−0.8640.3874
Food crops Intercept2.22749380.57478913.8750.000106 ***
Distance−0.00201740.0008148−2.4760.013288 *
Cash cropsIntercept1.39436640.51581972.7030.00687 **
Distance−0.00056600.0007726−0.7330.46379
Swan timberIntercept−1.29438170.5066460−2.5550.0106 *
Distance0.00047270.00076270.6200.5354
Cut treesIntercept4.922 × 10−14.478 × 10−11.0990.272
Distance−2.843 × 10−56.884 × 10−4−0.0410.967
Carbonization Intercept−0.70216150.4654388−1.5090.131
Distance−0.00011380.0007191−0.1580.874
Burn areaIntercept−0.43281430.4625662−0.9360.349
Distance−0.00071530.0007331−0.9760.329
Légende: * = significative p-value < 0.05; ** = significatif p-value < 0.01, *** = significatif p-value < 0.001.
Table A4. Forest Cover Changes Around Army Camps (%). Each site covers 314ha. F: forest, Nf: Non-Forest.
Table A4. Forest Cover Changes Around Army Camps (%). Each site covers 314ha. F: forest, Nf: Non-Forest.
KinzikiLaheMamundiomaMikuhaNgitePK25PK26
FNfFNfFNfFNfFNfFNfFNf
201644.8555.2646.5153.4986.4813.6653.3846.7029.2370.7759.5440.4673.3326.67
201946.2553.8657.0242.9875.6524.4952.0748.0130.8369.1769.8730.1383.9116.12
202345.3254.8063.1236.8875.1524.9974.1825.9052.2047.8077.2822.7288.4811.59

References

  1. Nagendra, H.; Pareeth, S.; Ghate, R. People within Parks—Forest Villages, Land-Cover Change and Landscape Fragmentation in the Tadoba Andhari Tiger Reserve, India. Appl. Geogr. 2006, 26, 96–112. [Google Scholar] [CrossRef]
  2. Olofsson, P.; Foody, G.M.; Stehman, S.V.; Woodcock, C.E. Making Better Use of Accuracy Data in Land Change Studies: Estimating Accuracy and Area and Quantifying Uncertainty Using Stratified Estimation. Remote Sens. Environ. 2013, 129, 122–131. [Google Scholar] [CrossRef]
  3. Ouattara, T.A.; Kouamé, K.F.; Zo-Bi, I.C.; Vaudry, R.; Grinand, C. Changes in Land Cover and Land Use from 2016 to 2019 in South-East Côte d’ivoire: Impacts of Cash Crops on Forests. Bois For. Des Trop. 2021, 347, 89–104. [Google Scholar] [CrossRef]
  4. Polo-Akpisso, A.; Wala, K.; Soulemane, O.; Folega, F.; Akpagana, K.; Tano, Y. Assessment of Habitat Change Processes within the Oti-Keran-Mandouri Network of Protected Areas in Togo (West Africa) from 1987 to 2013 Using Decision Tree Analysis. Sci 2020, 2, 1. [Google Scholar] [CrossRef]
  5. Salomon, W.; Sikuzani, Y.U.; Kouakou, A.T.M.; Barima, Y.S.S.; Theodat, J.M.; Bogaert, J. Cartographie et Quantification de La Perte Du Couvert Forestier Dans Les Parcs Nationaux Du Sud de La République d’Haïti de 1985 à 2018: Rôle Des Activités Agricoles Locales. Int. J. Biol. Chem. Sci. 2021, 15, 477–496. [Google Scholar] [CrossRef]
  6. Sikuzani, Y.U.; Muteya, H.K.; Bogaert, J. Miombo Woodland, an Ecosystem at Risk of Disappearance in the Lufira Biosphere Reserve (Upper Katanga, DR Congo)? A 39-Years Analysis Based on Landsat Images. Glob. Ecol. Conserv. 2020, 24, e01333. [Google Scholar] [CrossRef]
  7. Tyukavina, A.; Hansen, M.C.; Potapov, P.; Parker, D.; Okpa, C.; Stehman, S.V.; Kommareddy, I.; Turubanova, S. Congo Basin Forest Loss Dominated by Increasing Smallholder Clearing. Sci. Adv. 2018, 4, eaat2993. [Google Scholar] [CrossRef]
  8. Ahrends, A.; Burgess, N.D.; Milledge, S.A.H.; Bulling, M.T.; Fisher, B.; Smart, J.C.R.; Clarke, G.P.; Mhoro, B.E.; Lewis, S.L. Predictable Waves of Sequential Forest Degradation and Biodiversity Loss Spreading from an African City. Proc. Natl. Acad. Sci. USA 2010, 107, 14556–14561. [Google Scholar] [CrossRef]
  9. Molinario, G.; Hansen, M.; Potapov, P.; Tyukavina, A.; Stehman, S. Contextualizing Landscape-Scale Forest Cover Loss in the Democratic Republic of Congo (DRC) between 2000 and 2015. Land 2020, 9, 23. [Google Scholar] [CrossRef]
  10. Curtis, P.G.; Slay, C.M.; Harris, N.L.; Tyukavina, A.; Hansen, M.C. Classifying Drivers of Global Forest Loss. Science 2018, 361, 1108–1111. [Google Scholar] [CrossRef]
  11. Hosonuma, N.; Herold, M.; De Sy, V.; De Fries, R.S.; Brockhaus, M.; Verchot, L.; Angelsen, A.; Romijn, E. An Assessment of Deforestation and Forest Degradation Drivers in Developing Countries. Environ. Res. Lett. 2012, 7, 044009. [Google Scholar] [CrossRef]
  12. Rudel, T.K.; Defries, R.; Asner, G.P.; Laurancee, W.F. Conservation Bioh Changing Drivers of Deforestation and New Opportunities for Conservation. Conserv. Biol. 2009, 23, 1369–1405. [Google Scholar] [CrossRef] [PubMed]
  13. Grantham, H.S.; Duncan, A.; Evans, T.D.; Jones, K.R.; Beyer, H.L.; Schuster, R.; Walston, J.; Ray, J.C.; Robinson, J.G.; Callow, M.; et al. Anthropogenic Modification of Forests Means Only 40% of Remaining Forests Have High Ecosystem Integrity. Nat. Commun. 2020, 11, 5978. [Google Scholar] [CrossRef] [PubMed]
  14. Languy, M.; De Wasseige, C. Le Parc National Des Virunga: Description et Enjeux. In Expertise, Patrimoine Naturel et Développement Local en Afrique; Demortier, G., Ed.; Société Scientifique de Bruxelles: Namur, Belgium, 2008; pp. 69–78. [Google Scholar]
  15. WWF. The Economic Value of Virunga National Park Report 2013; A Report for WWF; WWF: Gland, Switzerland, 2013. [Google Scholar]
  16. Vikanza, P.K. La Protection Du Parc National Des Virunga En Région de Butembo (R. D. Congo): Développement Durable Ou Développement Des Populations? Mondes Développement 2018, 181, 57–70. [Google Scholar] [CrossRef]
  17. Ordway, E.M. Political Shifts and Changing Forests: Effects of Armed Conflict on Forest Conservation in Rwanda. Glob. Ecol. Conserv. 2015, 3, 448–460. [Google Scholar] [CrossRef]
  18. Stevens, K.; Campbell, L.; Urquhart, G.; Kramer, D.; Qi, J. Examining Complexities of Forest Cover Change during Armed Conflict on Nicaragua’s Atlantic Coast. Biodivers. Conserv. 2011, 20, 2597–2613. [Google Scholar] [CrossRef]
  19. Defries, R.S.; Rudel, T.; Uriarte, M.; Hansen, M. Deforestation Driven by Urban Population Growth and Agricultural Trade in the Twenty-First Century. Nat. Geosci. 2010, 3, 178–181. [Google Scholar] [CrossRef]
  20. Languy, M.; De Wasseige, C.; Desclée, B.; Laime, S. Changements d’occupation Du Sol En Périphérie Du Parc National Des Virunga. In Virunga: Survie du Premier Parc d’Afrique; Languy, M., De Merode, E., Eds.; Racine Lannoo: Tielt, Belgium, 2006; Volume 1, pp. 152–163. [Google Scholar]
  21. Bweya, N.; Musavandalo, M.C.; Sahani, M. Analyse de La Dynamique Spatio Temporelle Du Paysage Forestier de La Région de Beni (Nord-Kivu, RDC). Geo Eco Trop 2019, 43, 171–184. [Google Scholar]
  22. Barima, Y.S.S.; Kouakou, A.T.M.; Bamba, I.; Sangne, Y.C.; Godron, M.; Andrieu, J.; Bogaert, J. Cocoa Crops Are Destroying the Forest Reserves of the Classified Forest of Haut-Sassandra (Ivory Coast). Glob. Ecol. Conserv. 2016, 8, 85–98. [Google Scholar] [CrossRef]
  23. Musavandalo, C.M.; Sambieni, K.R.; Mweru, J.-P.M.; Bastin, J.-F.; Ndukura, C.S.; Nguba, T.B.; Balandi, J.B.; Bogaert, J. Land Cover Dynamics in the Northwestern Virunga Landscape: An Analysis of the Past Two Decades in a Dynamic Economic and Security Context. Land 2024, 13, 566. [Google Scholar] [CrossRef]
  24. Guittet, C.; Le Dû-Blayo, L. Les Photographies Du Paysage: Quelles Analyses Des Dynamiques Paysagères? Proj. Paysage 2013, 9, 12477. [Google Scholar] [CrossRef]
  25. Rakotondrasoa, O.L.; Ayral, A.; Stein, J.; Rajoelison, G.L.; Ponette, Q.; Malaisse, F.; Ramamonjisoa, B.; Raminosoa, N.; Verheggen, F.; Poncelet, M.; et al. Analyse Des Facteurs Anthropiques de Dégradation Des Bois de Tapia (Uapaca Bojeri) d’Arivonimamo. In Les vers à Soie Malgaches. Enjeux Écologiques et Socio-Économiques; Verheggen, F., Bogaert, J., Haubruge, E., Eds.; Les Presses Agronomiques de Gembloux: Gembloux, Belgique, 2013; pp. 151–162. [Google Scholar]
  26. Hagenlocher, M.; Lang, S.; Tiede, D. Integrated Assessment of the Environmental Impact of an IDP Camp in Sudan Based on Very High Resolution Multi-Temporal Satellite Imagery. Remote Sens. Envinon. 2012, 126, 27–38. [Google Scholar] [CrossRef]
  27. Bernard, B.; Aron, M.; Loy, T.; Muhamud, N.W.; Benard, S. The Impact of Refugee Settlements on Land Use Changes and Vegetation Degradation in West Nile Sub-Region, Uganda. Geocarto Int. 2022, 37, 16–34. [Google Scholar] [CrossRef]
  28. Salemi, C. Refugee Camps and Deforestation in Sub-Saharan Africa. J. Dev. Econ. 2021, 152, 102682. [Google Scholar] [CrossRef]
  29. Pickering, J.; Tyukavina, A.; Khan, A.; Potapov, P.; Adusei, B.; Hansen, M.C.; Lima, A.; Deng, C. Using Multi-Resolution Satellite Data to Quantify Land Dynamics: Applications of PlanetScope Imagery for Cropland and Tree-Cover Loss Area Estimation. Remote Sens. 2021, 13, 2191. [Google Scholar] [CrossRef]
  30. Helman, D.; Bahat, I.; Netzer, Y.; Ben-Gal, A.; Alchanatis, V.; Peeters, A.; Cohen, Y. Using Time Series of High-Resolution Planet Satellite Images to Monitor Grapevine Stem Water Potential in Commercial Vineyards. Remote Sens. 2018, 10, 1615. [Google Scholar] [CrossRef]
  31. Gorelick, N.; Hancher, M.; Dixon, M.; Ilyushchenko, S.; Thau, D.; Moore, R. Google Earth Engine: Planetary-Scale Geospatial Analysis for Everyone. Remote Sens. Environ. 2017, 202, 18–27. [Google Scholar] [CrossRef]
  32. Olofsson, P.; Foody, G.M.; Herold, M.; Stehman, S.V.; Woodcock, C.E.; Wulder, M.A. Good Practices for Estimating Area and Assessing Accuracy of Land Change. Remote Sens. Environ. 2014, 148, 42–57. [Google Scholar] [CrossRef]
  33. Šímová, P.; Gdulová, K. Landscape Indices Behavior: A Review of Scale Effects. Appl. Geogr. 2012, 34, 385–394. [Google Scholar] [CrossRef]
  34. McGarigal, K.; Cushman, S.A.; Neel, M.C.; Ene, E. FRAGSTATS: Spatial Pattern Analysis Program for Categorical Maps; University of Massachusetts: Amherst, NA, USA, 2002. [Google Scholar]
  35. Bogaert, J.; Ceulemans, R.; Salvador-Van Eysenrode, D. Decision Tree Algorithm for Detection of Spatial Processes in Landscape Transformation. Environ. Manag. 2004, 33, 62–73. [Google Scholar] [CrossRef]
  36. Heink, U.; Kowarik, I. What Are Indicators? On the Definition of Indicators in Ecology and Environmental Planning. Ecol. Indic. 2010, 10, 584–593. [Google Scholar] [CrossRef]
  37. Salomon, W.; Sikuzani, Y.U.; Kouakou, A.T.M.; Barima, S.S.; Theodat, J.M.; Bogaert, J. Monitoring of Anthropogenic Effects on Forest Ecosystems within the Municipality of Vallières in the Republic of Haiti from 1984 to 2019. Trees For. People 2021, 6, 100135. [Google Scholar] [CrossRef]
  38. Sadaiou, Y.; Barima, S.; Vignal, M.; Andrieu, J.; Godron, M.; Annie, A.; Assale, Y. Caractérisation Post Conflits Armés Des Perturbations Dans La Forêt Classée Du Haut-Sassandra En Côte d’Ivoire. Afr. Sci. 2016, 12, 66–82. [Google Scholar]
  39. Kabanyegeye, H.; Sikuzani, Y.U.; Sambieni, K.R.; Mbarushimana, D.; Masharabu, T.; Bogaert, J. Analysis of Anthropogenic Disturbances of Green Spaces along an Urban–Rural Gradient of the City of Bujumbura (Burundi). Land 2023, 12, 465. [Google Scholar] [CrossRef]
  40. Dunlap, A.; Brock, A. Enforcing Ecocide Power, Policing & Planetary Militarization; Springer Nature: Berlin, Germany, 2022. [Google Scholar]
  41. Lawrence, M.J.; Stemberger, H.L.J.; Zolderdo, A.J.; Struthers, D.P.; Cooke, S.J. The Effects of Modern War and Military Activities on Biodiversity and the Environment. Environ. Rev. 2015, 23, 443–460. [Google Scholar] [CrossRef]
  42. Mishra, C.; Madhusudan, M.D.; Datta, A. Mammals of the High Altitudes of Western Arunachal Pradesh, Eastern Himalaya: An Assessment of Threats and Conservation Needs. ORYX 2006, 40, 29–35. [Google Scholar] [CrossRef]
  43. Zalles, V.; Harris, N.; Stolle, F.; Hansen Cover, M.C. How Rethinking “What Is a Forest” Can Result in More Eective Conservation. 2024. Available online: https://www.wri.org/insights/rethinking-definition-forest-monitoring (accessed on 24 March 2025).
  44. Tchatchou, B.; Sonwa, D.J.; Ifo, S.; Tiani, A.M. Déforestation et Dégradation Des Forêts Dans Le Bassin Du Congo: État Des Lieux, Causes Actuelles et Perspectives; Center for International Forestry Research (CIFOR): Bogor, Indonesia, 2015. [Google Scholar] [CrossRef]
  45. Aquilas, N.A.; Mukong, A.K.; Kimengsi, J.N.; Ngangnchi, F.H. Economic Activities and Deforestation in the Congo Basin: An Environmental Kuznets Curve Framework Analysis. Environ. Chall. 2022, 8, 100553. [Google Scholar] [CrossRef]
  46. Zvobgo, L.; Tsoka, J. Deforestation Rate and Causes in Upper Manyame Sub-Catchment, Zimbabwe: Implications on Achieving National Climate Change Mitigation Targets. Trees For. People 2021, 5, 100090. [Google Scholar] [CrossRef]
  47. Rautner, F.; Laggest, M.; Devis, F. Le Petit Livre de Grands Monteurs de Déforestation; Gblobal Canopy Programme; Global Canopy: Oxford, UK, 2013. [Google Scholar]
  48. Jassogne, L.; Van Asten, P.; De Beule, H. Cocoa: Driver of Deforestation in the Democratic Republic of the Congo? Agriculture and Food Security (CCAFS): Copenhagen, Denmark, 2014. [Google Scholar]
  49. Annie, A.; Assale, Y.; Sadaiou, Y.; Barima, S.; Kouakou, K.A.; Tamia, A.; Kouakou, M.; Bogaert, J. Agents de Dégradation d’une Aire Protégée Après Une Décennie de Conflits En Côte d’Ivoire: Cas de La Forêt Classée Du Haut-Sassandra [Degradation Agents of a Protected Area after a Decade of Conflicts in Ivory Coast: Case of Classified Forest of Haut-Sassandra]. Int. J. Innov. Sci. Res. 2016, 22, 123–133. [Google Scholar]
  50. Kouassi, J.L.; Gyau, A.; Diby, L.; Bene, Y.; Kouamé, C. Assessing Land Use and Land Cover Change and Farmers’ Perceptions of Deforestation and Land Degradation in South-West Côte d’Ivoire, West Africa. Land 2021, 10, 429. [Google Scholar] [CrossRef]
  51. Katembera Ciza, S.; Mikwa, J.-F.; Cirhuza Malekezi, A.; Gond, V.; Boyemba Bosela, F. Identification Des Moteurs de Déforestation Dans La Région d’Isangi, République Démocratique Du Congo. Bois Forêt Des Trop. 2015, 324, 29–38. [Google Scholar]
  52. Shapiro, A.C.; Bernhard, K.P.; Zenobi, S.; Müller, D.; Aguilar-Amuchastegui, N.; d’Annunzio, R. Proximate Causes of Forest Degradation in the Democratic Republic of the Congo Vary in Space and Time. Front. Conserv. Sci. 2021, 2, 690562. [Google Scholar] [CrossRef]
  53. Kasekete, D.K.; Bourland, N.; Gerkens, M.; Louppe, D.; Schure, J.; Mate, J.-P. Bois-Énergie et Plantations à Vocation Énergétique En République Démocratique Du Congo: Cas de La Province Du Nord-Kivu—Synthèse Bibliographique. Bois Forêts Des Trop. 2023, 357, 5–28. [Google Scholar] [CrossRef]
  54. Zerga, B.; Warkineh, B.; Teketay, D.; Woldetsadik, M.; Sahle, M. Land Use and Land Cover Changes Driven by Expansion of Eucalypt Plantations in the Western Gurage Watersheds, Centeral-South Ethiopia. Trees For. People 2021, 5, 100087. [Google Scholar] [CrossRef]
  55. Kataka, J.L.; Onwonga, R.; Karanja, N.; Kamau, S. Soil macrofauna abundance and diversity under trees woodlots in eastern Democratic Republic of Congo. Trop. Subtrop. Agroecosyst. 2023, 26. [Google Scholar] [CrossRef]
  56. Hochleithner, S. Beyond Contesting Limits: Land, Access, and Resistance at the Virunga National Park. Conserv. Soc. 2017, 15, 100–110. [Google Scholar] [CrossRef]
  57. Shackleton, R.T.; Witt, A.B.R.; Nunda, W.; Richardson, D.M. Chromolaena odorata (Siam Weed) in Eastern Africa: Distribution and Socio-Ecological Impacts. Biol. Invasions 2017, 19, 1285–1298. [Google Scholar] [CrossRef]
  58. Gbètoho, A.J.; Kingbo, A.; Kiki, P.B.P.; Gnanguènon-Guéssè, D.; Aoudji, A.K.N.; Koura, K.; Kakpo, S.B.; Togni, Y.; Ganglo, J.C. Impacts of Chromolaena odorata on Native Trees’ Regeneration in the Lama Secondary Forests in Benin, West Africa. Bois For. Des Trop. 2018, 338, 5–14. [Google Scholar] [CrossRef]
  59. Mavimbela, L.Z.; Sieben, E.J.J.; Procheş, Ş. Invasive Alien Plant Species, Fragmentation and Scale Effects on Urban Forest Community Composition in Durban, South Africa. N. Z. J. For. Sci. 2018, 48, 19. [Google Scholar] [CrossRef]
  60. Gautier, L. Emprise Des Brousses à Chromolaena odorata Sur Le Fond Du V-Baoulé (Côte-d’Ivoire Centrale). J. D’agric. Tradit. Bot. Appliquée 1994, 36, 75–85. [Google Scholar] [CrossRef]
  61. Mandal, G.; Joshi, S.P. Invasion Establishment and Habitat Suitability of Chromolaena odorata (L.) King and Robinson over Time and Space in the Western Himalayan Forests of India. J. Asia Pac. Biodivers. 2014, 7, 391–400. [Google Scholar] [CrossRef]
  62. Vásquez-Grandón, A.; Donoso, P.J.; Gerding, V. Forest Degradation: When Is a Forest Degraded? Forests 2018, 9, 726. [Google Scholar] [CrossRef]
  63. Damnyag, L.; Saastamoinen, O.; Blay, D.; Dwomoh, F.K.; Anglaaere, L.C.N.; Pappinen, A. Sustaining Protected Areas: Identifying and Controlling Deforestation and Forest Degradation Drivers in the Ankasa Conservation Area, Ghana. Biol. Conserv. 2013, 165, 86–94. [Google Scholar] [CrossRef]
  64. Tranquilli, S.; Abedi-Lartey, M.; Abernethy, K.; Amsini, F.; Asamoah, A.; Balangtaa, C.; Blake, S.; Bouanga, E.; Breuer, T.; Brncic, T.M.; et al. Protected Areas in Tropical Africa: Assessing Threats and Conservation Activities. PLoS ONE 2014, 9, e114154. [Google Scholar] [CrossRef]
  65. Gross, D.; Dubois, G.; Pekel, J.F.; Mayaux, P.; Holmgren, M.; Prins, H.H.T.; Rondinini, C.; Boitani, L. Monitoring Land Cover Changes in African Protected Areas in the 21st Century. Ecol. Inform. 2013, 14, 31–37. [Google Scholar] [CrossRef]
  66. Chervier, C.; Ximenes, A.C.; Mihigo, B.P.N.; Doumenge, C. Impact of Industrial Logging Concession on Deforestation and Forest Degradation in the DRC. World Dev. 2024, 173, 106393. [Google Scholar] [CrossRef]
  67. Gillet, P.; Vermeulen, C.; Feintrenie, L.; Dessard, H.; Garcia, C. Quelles Sont Les Causes de La Déforestation Dans Le Bassin Du Congo? Synthèse Bibliographique et Études de Cas. Biotechnol. Agron. Société Environ. 2016, 20, 183–194. [Google Scholar]
  68. Mulondi, K.G.; Musavandalo, M.C.; Sahani, M. Approche Géographique Des Approvisionnements En Charbon de Bois En Milieu Urbain à Butembo (Nord-Kivu, RDC). Geo Eco Trop. 2019, 42, 185–196. [Google Scholar]
  69. Kiringe, J.W.; Okello, M.M.; Ekajul, S.W. Managers’ Perceptions of Threats to the Protected Areas of Kenya: Prioritization for Effective Management. ORYX 2007, 41, 314–321. [Google Scholar] [CrossRef]
  70. Itsoua Madzous, G.-L.; Alexis Kamgang, S.; Mokpidie, D.; Doumenge, C. Les Aires Protégées: Un Atout Majeur Pour la Lutte Contre Les Changements Climatiques; Doumenge, C., Palla, F., Itsoua Madzous, G.-L., Eds.; OFAC-COMIFAC & UICN: Yaoundé, Cameroon; Gland, Switzerland, 2021. [Google Scholar]
  71. Asare, R.; Afari-Sefa, V.; Osei-Owusu, Y.; Pabi, O. Cocoa Agroforestry for Increasing Forest Connectivity in a Fragmented Landscape in Ghana. Agrofor. Syst. 2014, 88, 1143–1156. [Google Scholar] [CrossRef]
  72. Suárez, L.R.; Suárez Salazar, J.C.; Casanoves, F.; Ngo Bieng, M.A. Cacao Agroforestry Systems Improve Soil Fertility: Comparison of Soil Properties between Forest, Cacao Agroforestry Systems, and Pasture in the Colombian Amazon. Agric. Ecosyst. Environ. 2021, 314, 107349. [Google Scholar] [CrossRef]
  73. Newell, J.P.; Foster, A.; Borgman, M.; Meerow, S. Ecosystem Services of Urban Agriculture and Prospects for Scaling up Production: A Study of Detroit. Cities 2022, 125, 103664. [Google Scholar] [CrossRef]
  74. Pribadi, D.O.; Pauleit, S. The Dynamics of Peri-Urban Agriculture during Rapid Urbanization of Jabodetabek Metropolitan Area. Land. Use Policy 2015, 48, 13–24. [Google Scholar] [CrossRef]
  75. Ghosh, S. Urban Agriculture Potential of Home Gardens in Residential Land Uses: A Case Study of Regional City of Dubbo, Australia. Land. Use Policy 2021, 109, 105686. [Google Scholar] [CrossRef]
Figure 1. (A) Study sites in the Middle Semuliki region in the northwestern Virunga landscape: Kinziki (0.649292–29.548510°), Mamundioma (0.666242–29.630453°), PK25 (0.679734–29.650058°) in Virunga National Park; Mikuha (0.511841–29.581330°), Lahe (0.532963–29.572107°), PK26 (0.688012–29.672113°), Ngite (0.573233–29.518436°) in periphery of Virunga National Park; (B) illustration of the sample plots for the inventory of disturbance factors on a transect adapted from [22].
Figure 1. (A) Study sites in the Middle Semuliki region in the northwestern Virunga landscape: Kinziki (0.649292–29.548510°), Mamundioma (0.666242–29.630453°), PK25 (0.679734–29.650058°) in Virunga National Park; Mikuha (0.511841–29.581330°), Lahe (0.532963–29.572107°), PK26 (0.688012–29.672113°), Ngite (0.573233–29.518436°) in periphery of Virunga National Park; (B) illustration of the sample plots for the inventory of disturbance factors on a transect adapted from [22].
Land 14 00732 g001
Figure 2. Land use around security force camps in Virunga National Park (Y = year).
Figure 2. Land use around security force camps in Virunga National Park (Y = year).
Land 14 00732 g002
Figure 3. Land use around security force camps on outskirts of Virunga National Park (Y = year).
Figure 3. Land use around security force camps on outskirts of Virunga National Park (Y = year).
Land 14 00732 g003
Figure 4. Forest cover: (a) represents the sites located in the park, and (b) represents the sites situated on the periphery of the park. Each site has an area of 314 hectares.
Figure 4. Forest cover: (a) represents the sites located in the park, and (b) represents the sites situated on the periphery of the park. Each site has an area of 314 hectares.
Land 14 00732 g004
Figure 5. Trend of the Mean Patch Size from 2016 to 2023: (a) the disturbed sites in the park and (b) the disturbed sites on the park’s periphery. Each site has a surface area of 314 hectares. The year 2016 represents the situation before the camp’s establishment, while 2020 corresponds to the camp’s operational period. The situation in 2023 illustrates the situation after the camp’s establishment.
Figure 5. Trend of the Mean Patch Size from 2016 to 2023: (a) the disturbed sites in the park and (b) the disturbed sites on the park’s periphery. Each site has a surface area of 314 hectares. The year 2016 represents the situation before the camp’s establishment, while 2020 corresponds to the camp’s operational period. The situation in 2023 illustrates the situation after the camp’s establishment.
Land 14 00732 g005
Figure 6. Trend of the Largest Patch Index (LPI) from 2016 to 2023: (a) the disturbed sites in the park and (b) the disturbed sites in the park’s periphery. Each site has a surface area of 314 hectares. Each site has a surface area of 314 hectares.
Figure 6. Trend of the Largest Patch Index (LPI) from 2016 to 2023: (a) the disturbed sites in the park and (b) the disturbed sites in the park’s periphery. Each site has a surface area of 314 hectares. Each site has a surface area of 314 hectares.
Land 14 00732 g006
Figure 7. Evolution of the probability of occurrence of disturbance factors as a function of distance from forest access road. The X-axis represents the distance in meters, and the Y-axis represents the probability of occurrence, distance in m (* = significant p-value < 0.05).
Figure 7. Evolution of the probability of occurrence of disturbance factors as a function of distance from forest access road. The X-axis represents the distance in meters, and the Y-axis represents the probability of occurrence, distance in m (* = significant p-value < 0.05).
Land 14 00732 g007aLand 14 00732 g007b
Figure 8. Associations between the disturbed sites and the distinctive disturbance factors. Red represents the local disturbance factors, while blue corresponds to the sites. This figure also illustrates the expected result of hypothesis 4 of this study. Dimensions 1 and 2 explain the variability of the data and the oppositions between the variables. The variables nearest to each other on the graph have similar profiles and are therefore significantly associated.
Figure 8. Associations between the disturbed sites and the distinctive disturbance factors. Red represents the local disturbance factors, while blue corresponds to the sites. This figure also illustrates the expected result of hypothesis 4 of this study. Dimensions 1 and 2 explain the variability of the data and the oppositions between the variables. The variables nearest to each other on the graph have similar profiles and are therefore significantly associated.
Land 14 00732 g008
Table 1. Accuracy of land cover based on supervised classification (refer to Table A1 in the Appendix A for details pertaining to user and producer accuracy).
Table 1. Accuracy of land cover based on supervised classification (refer to Table A1 in the Appendix A for details pertaining to user and producer accuracy).
Overall Accuracy
YearKinzikiLaheMamundiomaMikuhaNitePK25PK26
20160.850.930.950.810.890.990.88
20190.840.800.980.850.930.960.94
20230.880.910.980.900.880.940.90
Table 2. Landscape parameters, description, unit of measurement, and landscape pattern facet.
Table 2. Landscape parameters, description, unit of measurement, and landscape pattern facet.
Equation Description UnitLandscape Pattern Facet
P L A N D = i n a i A The proportion of landscape occupied by each class. Measure the dominance. A = total area of landscapePercentComposition
L a r g e s t   P a t c h     I n d e x ( L P I ) = M A X   ( a i j ) A   The ratio of the area of the largest patch of forest to the total area of the landscape_Configuration
M e a n   P a t c h   S i z e = a i n The average forest patches into the landscape. n = total number of forest patches, ai = area of the individual patches._Configuration
Table 3. Factors and indicators of disturbance.
Table 3. Factors and indicators of disturbance.
Disturbance FactorsOn-Site Indicators
Cut treesA stump and/or trunk of a felled tree is present, with evidence of previous use for firewood or construction material rather than timber.
Food cropsCrops such as rice, beans, maize, and ground nuts or other crops for direct consumption by the local population are present.
Cash cropsCash crops, in particular cocoa, coffee, palm, and papaya, have been introduced into the landscape, and their produce is intended for export or for local industry to make a profit.
Burn areaA tree trunk with evidence of fire or ash, showing that a fire has spread locally or widely, is present.
CarbonizationA charcoal kiln is present, either actively producing charcoal or already in use with charcoal residues.
Sawn timberThe presence of a tree being sawn or sawdust indicates the production of boards and rafters, which is synonymous with artisanal timber harvesting.
PathThere is access for local people through the forest.
Isolated bush dwellingThere is an isolated building in the forest.
Artisanal miningArtisanal mining quarries are present, either abandoned or in the process of being exploited.
Invasive speciesChromoleana odorata is present.
Exotic treeAn exotic tree species (Eucalyptus sp., Grevillea robusta, etc.) is present, which was introduced into the natural ecosystem by the local people.
LivestockA grazing area and livestock facilities are present.
Table 4. Spatial transformation processes of forest class.
Table 4. Spatial transformation processes of forest class.
KinzikiLaheMamundiomaMikuhaNgite PK25PK26
STP2016-2019DissectionAggregationAttrition DissectionAggregationAggregationAggregation
STP2019-2021AggregationAggregationDissection Aggregation AggregationAggregation Aggregation
Table 5. Frequency of occurrence of each disturbance factor (N = 120 plots).
Table 5. Frequency of occurrence of each disturbance factor (N = 120 plots).
Factors of DisturbanceFrequency of Occurrence (%)
Cash crops74.17
Food crops72.50
Cut trees61.61
Carbonization31.67
Burn areas30.00
Sawn timber26.67
Path17.50
Invasive species11.67
Exotic tree10.00
Table 6. Association between factors of disturbance in the northwestern Virunga region (values in the table represent the results of chi-squared tests for disturbance independence).
Table 6. Association between factors of disturbance in the northwestern Virunga region (values in the table represent the results of chi-squared tests for disturbance independence).
Cash CropsFood CropsCarbonizationPathBurn AreasSawn TimberInvasive SpeciesExotic Tree
Cut trees5.33 *24.28 **8.13 *3.07 Ns17.80 *17.19 *1.19 Ns1.96 Ns
Cach crops-5.50 *1.44 Ns0.44 Ns21.54 **38.94 **1.23 Ns1.28 Ns
Food crops --3.01 Ns1.49 Ns5.08 *2.32 Ns1.18 Ns0.58 Ns
Carbonization---1.05 Ns26.84 **10.68 **2.71 Ns3.69 Ns
Path ----1.10 Ns1.222.90 Ns1.96 Ns
Burn area-----28.73 **1.96 Ns1.18 Ns
Sawn timber------0.10 Ns2.73 Ns
Invasive species -------1.20 Ns
Legend: * = significant p-value < 0.05; ** = significant p-value < 0.01, Ns = Non-significant p-value > 0.05.
Disclaimer/Publisher’s Note: The statements, opinions and data contained in all publications are solely those of the individual author(s) and contributor(s) and not of MDPI and/or the editor(s). MDPI and/or the editor(s) disclaim responsibility for any injury to people or property resulting from any ideas, methods, instructions or products referred to in the content.

Share and Cite

MDPI and ACS Style

Musavandalo, C.M.; Essouman, P.F.E.; Ndjadi, S.S.; Balandi, J.B.; Nguba, T.B.; Sodalo, C.; Mweru, J.-P.M.; Sambieni, K.R.; Bogaert, J. Anthropogenic Disturbances in Northwestern Virunga Forest Amid Armed Conflict. Land 2025, 14, 732. https://doi.org/10.3390/land14040732

AMA Style

Musavandalo CM, Essouman PFE, Ndjadi SS, Balandi JB, Nguba TB, Sodalo C, Mweru J-PM, Sambieni KR, Bogaert J. Anthropogenic Disturbances in Northwestern Virunga Forest Amid Armed Conflict. Land. 2025; 14(4):732. https://doi.org/10.3390/land14040732

Chicago/Turabian Style

Musavandalo, Charles Mumbere, Pyrus Flavien Ebouel Essouman, Serge Shakanye Ndjadi, Julien Bwazani Balandi, Timothée Besisa Nguba, Carlo Sodalo, Jean-Pierre Mate Mweru, Kouagou Raoul Sambieni, and Jan Bogaert. 2025. "Anthropogenic Disturbances in Northwestern Virunga Forest Amid Armed Conflict" Land 14, no. 4: 732. https://doi.org/10.3390/land14040732

APA Style

Musavandalo, C. M., Essouman, P. F. E., Ndjadi, S. S., Balandi, J. B., Nguba, T. B., Sodalo, C., Mweru, J.-P. M., Sambieni, K. R., & Bogaert, J. (2025). Anthropogenic Disturbances in Northwestern Virunga Forest Amid Armed Conflict. Land, 14(4), 732. https://doi.org/10.3390/land14040732

Note that from the first issue of 2016, this journal uses article numbers instead of page numbers. See further details here.

Article Metrics

Back to TopTop