Coupled Effects of Water Depth, Vegetation, and Soil Properties on Soil Organic Carbon Components in the Huixian Wetland of the Li River Basin
Abstract
1. Introduction
2. Materials and Methods
2.1. Study Site
2.2. Sample Collection and Processing
2.3. Sample Analysis and Data Processing Methods
3. Results
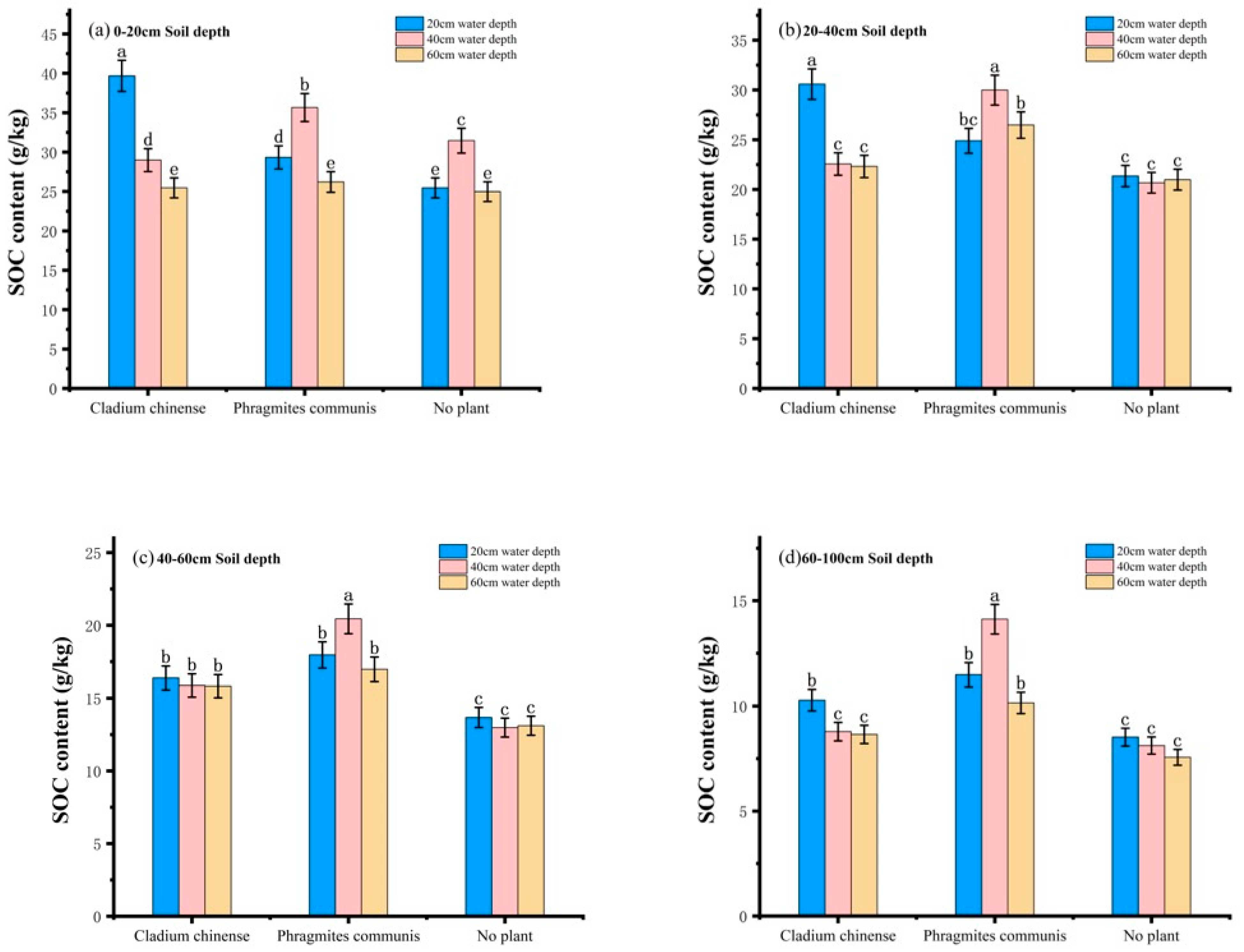
3.1. Variations in SOC Content Under Different Water Depths and Vegetation Communities
Variations in SOC Stock and Soil Bulk Destiny for Different Water Depths and Vegetation Communities
3.2. Variations in Soil Properties Under Different Water Depths and Vegetation Communities
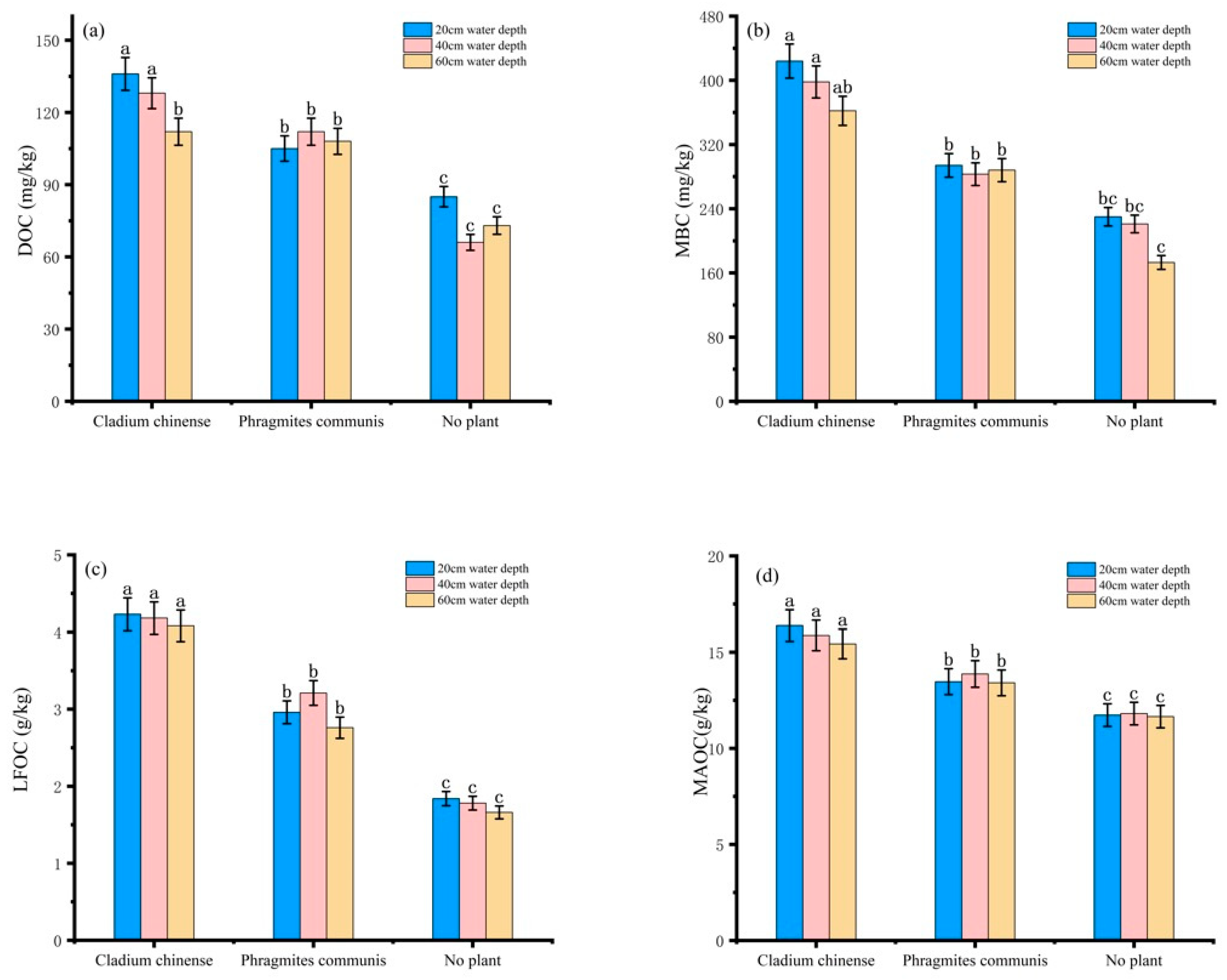
3.3. Variations in Soil Organic Carbon Components Under Different Water Depths and Vegetation Communities
3.4. Variations in Biomass of Cladium chinense and Phragmites communis Communities Under Different Water Depths
3.5. Relationships Between Plant Biomass, Soil Properties and Soil Organic Carbon Components
3.6. Contributions of Water Depth, Vegetation, and Soil Properties to Changes in the SOC Components
4. Discussion
4.1. Effects of Water Depth and Vegetation on Soil Organic Carbon Stocks
4.2. Effects of Water Depth and Vegetation on Soil Properties
4.2.1. Soil pH
4.2.2. Soil Water Content
4.2.3. Soil Bulk Density
4.2.4. Soil TP, TN, NH4-N, and NO3-N
4.3. Effects of Water Depth on Plant Biomass
4.4. Effect of Water Depth, Vegetation and Soil Properties on Soil Organic Carbon Components
4.5. How Can We Effectively Strengthen Wetland Management and Enhance the Carbon Sequestration Capacity of the Huixian Wetland?
5. Conclusions
Author Contributions
Funding
Data Availability Statement
Acknowledgments
Conflicts of Interest
References
- Im, R.-Y.; Kim, J.Y.; Nishihiro, J.; Joo, G.-J. Large weir construction causes the loss of seasonal habitat in riverine wetlands: A case study of the Four Large River Projects in South Korea. Ecol. Eng. 2020, 152, 105839. [Google Scholar] [CrossRef]
- Mitsch, W.J.; Bernal, B.; Nahlik, A.M.; Mander, Ü.; Zhang, L.; Anderson, C.J.; Jørgensen, S.E.; Brix, H. Wetlands, carbon, and climate change. Landsc. Ecol. 2013, 28, 583–597. [Google Scholar] [CrossRef]
- Bongiorno, G.; Bünemann, E.K.; Oguejiofor, C.U.; Meier, J.; Gort, G.; Comans, R.; Mäder, P.; Brussaard, L.; de Goede, R. Sensitivity of labile carbon fractions to tillage and organic matter management and their potential as comprehensive soil quality indicators across pedoclimatic conditions in Europe. Ecol. Indic. 2019, 99, 38–50. [Google Scholar] [CrossRef]
- Guo, L.B.; Gifford, R.M. Soil carbon stocks and land use change: A meta analysis. Glob. Change Biol. 2002, 8, 345–360. [Google Scholar] [CrossRef]
- Portalanza, D.; Torres-Ulloa, M.; Arias-Hidalgo, M.; Piza, C.; Villa-Cox, G.; Garcés-Fiallos, F.R.; Álava, E.; Durigon, A.; Espinel, R. Ecosystem services valuation in the Abras de Mantequilla wetland system: A comprehensive analysis. Ecol. Indic. 2024, 158, 111405. [Google Scholar] [CrossRef]
- Kundu, S.; Rana, N.K.; Mahato, S. Unravelling blue landscape fragmentation effects on ecosystem services in urban agglomerations. Sustain. Cities Soc. 2024, 102, 105192. [Google Scholar] [CrossRef]
- Bonetti, G.; Trevathan-Tackett, S.M.; Carnell, P.E.; Treby, S.; Macreadie, P.I. Local vegetation and hydroperiod influence spatial and temporal patterns of carbon and microbe response to wetland rehabilitation. Appl. Soil Ecol. 2021, 163, 103917. [Google Scholar] [CrossRef]
- Canning, A.D.; Smart, J.C.R.; Dyke, J.; Curwen, G.; Hasan, S.; Waltham, N.J. Constructed wetlands suitability for sugarcane profitability, freshwater biodiversity and ecosystem services. Environ. Manag. 2023, 71, 304–320. [Google Scholar] [CrossRef]
- Xiong, Y.; Mo, S.; Wu, H.; Qu, X.; Liu, Y.; Zhou, L. Influence of human activities and climate change on wetland landscape pattern—A review. Sci. Total Environ. 2023, 879, 163112. [Google Scholar] [CrossRef]
- Hu, Q.W.; Wu, Q.; Liu, Y.; Li, X.F.; Yao, B.; Zhong, Z.; Lu, W.S. A review of carbon cycle in wetlands. Ecol. Environ. Sci. 2009, 18, 2381–2386. [Google Scholar]
- Liu, L.; Chen, H.; Jiang, L.; Hu, J.; Zhan, W.; He, Y.; Zhu, D.; Zhong, Q.; Yang, G. Water table drawdown reshapes soil physicochemical characteristics in Zoige peatlands. Catena 2018, 170, 119–128. [Google Scholar] [CrossRef]
- Ran, L.; Fang, N.; Wang, X.; Piao, S.; Chan, C.N.; Li, S.; Zeng, Y.; Shi, Z.; Tian, M.; Xu, Y.; et al. Substantially enhanced landscape carbon sink due to reduced terrestrial-aquatic carbon transfer through soil conservation in the Chinese Loess Plateau. Earth’s Future 2023, 11, e2023EF003602. [Google Scholar] [CrossRef]
- Yu, P.; Yang, T.; Zhang, Z.; Zhou, X.; Qi, Z.; Yin, Z.; Li, A. Soil and water conservation effects of different tillage measures on phaeozems sloping farmland in northeast China. Land Degrad. Dev. 2024, 35, 1716–1733. [Google Scholar] [CrossRef]
- He, Z.; He, S.; Zheng, Z.; Yi, H.; Qu, S.; Liu, X. Change in soil organic carbon after slope cropland changed into terrace in southwest China. Catena 2025, 248, 108580. [Google Scholar] [CrossRef]
- Lehmann, J.; Kleber, M. The contentious nature of soil organicmatter. Nature 2015, 528, 60–68. [Google Scholar] [CrossRef]
- Wang, M.; Wang, S.; Cao, Y.; Jiang, M.; Wang, G.; Dong, Y. The effects of hummock-hollow microtopography on soil organic carbon stocks and soil labile organic carbon fractions in a sedge peatland in Changbai Mountain, China. Catena 2021, 201, 105204. [Google Scholar] [CrossRef]
- Lavallee, J.M.; Soong, J.L.; Cotrufo, M.F. Conceptualizing soil organic matter into particulate and mineral-associated forms to address global change in the 21st century. Glob. Change Biol. 2020, 26, 261–273. [Google Scholar] [CrossRef] [PubMed]
- Liu, X.; Li, L.; Qi, Z.; Han, J.; Zhu, Y. Land-use impacts on profile distribution of labile and recalcitrant carbon in the Ili River Valley, northwest China. Sci. Total Environ. 2017, 586, 1038–1045. [Google Scholar] [CrossRef]
- Dungait, J.A.J.; Hopkins, D.W.; Gregory, A.S.; Whitmore, A.P. Soil organic matter turnover is governed by accessibility not recalcitrance. Glob. Change Biol. 2012, 18, 1781–1796. [Google Scholar] [CrossRef]
- Liang, J.; Wang, G.; Singh, S.; Jagadamma, S.; Gu, L.; Schadt, C.W.; Wood, J.D.; Hanson, P.J.; Mayes, M.A. Intensified soil moisture extremes decrease soil organic carbon decomposition: A mechanistic modeling analysis. J. Geophys. Res. Biogeosci. 2021, 126, e2021JG006392. [Google Scholar] [CrossRef]
- Chen, K.; Huo, T.; Zhang, Y.; Guo, T.; Liang, J. Response of soil organic carbon decomposition to intensified water variability co-determined by the microbial community and aggregate changes in a temperate grassland soil of northern China. Soil Biol. Biochem. 2023, 176, 108875. [Google Scholar] [CrossRef]
- An, Y.; Gao, Y.; Liu, X.; Tong, S.; Liu, B.; Song, T.; Qi, Q. Soil organic carbon and nitrogen variations with vegetation succession in passively restored freshwater wetlands. Wetlands 2021, 41, 11. [Google Scholar] [CrossRef]
- Zhang, T.; Chen, H.; Cao, H.; Ge, Z.; Zhang, L. Combined influence of sedimentation and vegetation on the soil carbon stocks of a coastal wetland in the Changjiang estuary. Chin. J. Oceanol. Limnol. 2017, 35, 833–843. [Google Scholar] [CrossRef]
- Hu, M.; Yan, R.; Wu, H.; Ni, R.; Zhang, D.; Zou, S. Linking soil phosphorus availability and phosphatase functional genes to coastal marsh erosion: Implications for nutrient cycling and wetland restoration. Sci. Total Environ. 2023, 898, 165559. [Google Scholar] [CrossRef] [PubMed]
- Bentley, S.B.; Tomscha, S.A.; Deslippe, J.R. Indictors of wetland health improve following small-scale ecological restoration on private land. Sci. Total Environ. 2022, 837, 155760. [Google Scholar] [CrossRef]
- Li, M.; Zhang, K.; Yan, Z.; Liu, L.; Kang, E.; Kang, X. Soil water content shapes microbial community along gradients of wetland degradation on the Tibetan plateau. Front. Microbiol. 2022, 13, 824267. [Google Scholar] [CrossRef] [PubMed]
- Yadav, N.; Singh, D.P. Microalgae and microorganisms: Important regulators of carbon dynamics in wetland ecosystem. In Restoration of Wetland Ecosystem: A Trajectory Towards a Sustainable Environment; Springer: Singapore, 2020; pp. 179–193. [Google Scholar]
- Fischer, C.; Leimer, S.; Roscher, C.; Ravenek, J.; de Kroon, H.; Kreutziger, Y.; Baade, J.; Beßler, H.; Eisenhauer, N.; Weigelt, A.; et al. Plant species richness and functional groups have different effects on soil water content in a decade-long grassland experiment. J. Ecol. 2019, 107, 127–141. [Google Scholar] [CrossRef]
- Jasinski, B.L. Foliar Nutrient Responses of Tussock Tundra Plant Species to Variable Soil Thaw Depths and Water Table Levels Following Permafrost Thaw. Master’s Thesis, Northern Arizona University, Flagstaff, AZ, USA, 2018. [Google Scholar]
- Cui, B.; Yang, Q.; Yang, Z.; Zhang, K. Evaluating the ecological performance of wetland restoration in the Yellow River Delta, China. Ecol. Eng. 2009, 35, 1090–1103. [Google Scholar] [CrossRef]
- Yang, R.M.; Guo, W.W. Exotic Spartina alterniflora enhances the soil functions of a coastal ecosystem. Soil Sci. Soc. Am. J. 2018, 82, 901–909. [Google Scholar] [CrossRef]
- Wang, J.; Song, C.; Wang, X.; Song, Y. Changes in labile soil organic carbon fractions in wetland ecosystems along a latitudinal gradient in Northeast China. Canteen 2012, 96, 83–89. [Google Scholar] [CrossRef]
- Xiao, Y.; Huang, Z.; Lu, X. Changes of soil labile organic carbon fractions and their relation to soil microbial characteristics in four typical wetlands of Sanjiang Plain, Northeast China. Ecol. Eng. 2015, 82, 381–389. [Google Scholar] [CrossRef]
- Cai, D.S.; Ma, Z.-L.; Zhao, X.G.; Wang, K. Remote sensing supervision on spatio-temporal evolution of Karst wetland in recent 40 years in Huixian district of Guilin, China. J. Guangxi Norm. Univ. 2009, 27, 111–117. [Google Scholar]
- Pan, Y.; Xie, L.; Dai, F.; Wu, Q.; Wan, P.; Xu, L.; Zhang, Y. Effects of Land Use Types on Nitrogen and Phosphorus in Rivers of the Huixian Karst Wetland in the Lijiang River Basin. China Rural. Water Hydropower 2022, 10, 20–26. [Google Scholar]
- Song, T.; An, Y.; Tong, S.; Zhang, W.; Wang, X.; Wang, L.; Jiang, L. Soil water conditions together with plant nitrogen acquisition strategies control vegetation dynamics in semi-arid wetlands undergoing land management changes. Catena 2023, 227, 107115. [Google Scholar] [CrossRef]
- Wang, C.; Han, S.; Zhou, Y.; Yan, C.; Cheng, X.; Zheng, X.; Li, M.-H. Responses of fine roots and soil N availability to short-term nitrogen fertilization in a broad-leaved Korean pine mixed forest in northeastern China. PLoS ONE 2012, 7, e31042. [Google Scholar] [CrossRef] [PubMed]
- Blake, G.R.; Hartge, K.H. Bulk density. Methods Soil Anal. Part 1 Phys. Mineral. Methods 1986, 5, 363–375. [Google Scholar]
- Lu, R.K. Soil Agricultural Chemical Analysis Method; China Agricultural Science and Technology Press: Beijing, China, 2000; 315p. [Google Scholar]
- Jones, D.L.; Willett, V.B. Experimental evaluation of methods to quantify dissolved organic nitrogen (DON) and dissolved organic carbon (DOC) in soil. Soil Biol. Biochem. 2006, 38, 991–999. [Google Scholar] [CrossRef]
- Cambardella, C.A.; Elliott, E.T. Particulate soil organic-matter changes across a grassland cultivation sequence. Soil Sci. Soc. Am. J. 1992, 56, 777–783. [Google Scholar] [CrossRef]
- Wang, Y.H.; Jiao, L. The characteristics and storage of soil organic carbon in the Ebinur lake wetland. Acta Ecol. Sininca 2016, 36, 5893–5901.1. [Google Scholar]
- Ma, W.; Li, G.; Wu, J.; Xu, G.; Wu, J. Response of soil labile organic carbon fractions and carbon-cycle enzyme activities to vegetation degradation in a wet meadow on the Qinghai–Tibet Plateau. Geoderma 2020, 377, 114565. [Google Scholar] [CrossRef]
- Yang, T.; He, Q.; Jiang, J.; Sheng, L.; Jiang, H.; He, C. Impact of Water Table on Methane Emission Dynamics in Terrestrial Wetlands and Implications on Strategies for Wetland Management and Restoration. Wetlands 2022, 42, 120. [Google Scholar] [CrossRef]
- Raulings, E.J.; Morris, K.; Roache, M.C.; Boon, P.I. The importance of water regimes operating at small spatial scales for the diversity and structure of wetland vegetation. Freshw. Biol. 2010, 55, 701–715. [Google Scholar] [CrossRef]
- Banach, K.; Banach, A.M.; Lamers, L.P.M.; De Kroon, H.; Bennicelli, R.P.; Smits, A.J.M.; Visser, E.J.W. Differences in flooding tolerance between species from two wetland habitats with contrasting hydrology: Implications for vegetation development in future floodwater retention areas. Ann. Bot. 2009, 103, 341–351. [Google Scholar] [CrossRef] [PubMed]
- Yang, T.; Jiang, J.; Shi, F.; Cai, R.; Jiang, H.; Sheng, L.; He, C. Combination of plant species and water depth enhance soil quality in near-natural restoration of reclaimed wetland. Ecol. Eng. 2024, 208, 107376. [Google Scholar] [CrossRef]
- Chen, Y.; Wei, T.; Ren, K.; Sha, G.; Guo, X.; Fu, Y.; Yu, H. The coupling interaction of soil organic carbon stock and water storage after vegetation restoration on the Loess Plateau, China. J. Environ. Manag. 2022, 306, 114481. [Google Scholar] [CrossRef]
- Tak, D.B.Y.; Vroom, R.J.E.; Lexmond, R.; Lamers, L.P.M.; Robroek, B.J.M.; Temmink, R.J.M. Water level and vegetation type control carbon fluxes in a newly-constructed soft-sediment wetland. Wetl. Ecol. Manag. 2023, 31, 583–594. [Google Scholar] [CrossRef]
- Li, Y.; Wu, H.; Wang, J.; Cui, L.; Tian, D.; Wang, J.; Zhang, X.; Yan, L.; Yan, Z.; Zhang, K.; et al. Plant biomass and soil organic carbon are main factors influencing dry-season ecosystem carbon rates in the coastal zone of the Yellow River Delta. PLoS ONE 2019, 14, e0210768. [Google Scholar] [CrossRef] [PubMed]
- Yang, R.M. Interacting effects of plant invasion, climate, and soils on soil organic carbon storage in coastal wetlands. J. Geophys. Res. Biogeosci. 2019, 124, 2554–2564. [Google Scholar] [CrossRef]
- Huo, L.; Chen, Z.; Zou, Y.; Lu, X.; Guo, J.; Tang, X. Effect of Zoige alpine wetland degradation on the density and fractions of soil organic carbon. Ecol. Eng. 2013, 51, 287–295. [Google Scholar] [CrossRef]
- Ismail, R.E.; Al-Raoush, R.I.; Alazaiza, M.Y.D. The impact of water table fluctuation and salinity on LNAPL distribution and geochemical properties in the smear zone under completely anaerobic conditions. Environ. Earth Sci. 2023, 82, 368. [Google Scholar] [CrossRef]
- Hong, S.; Piao, S.; Chen, A.; Liu, Y.; Liu, L.; Peng, S.; Sardans, J.; Sun, Y.; Peñuelas, J.; Zeng, H. Afforestation neutralizes soil pH. Nat. Commun. 2018, 9, 520. [Google Scholar] [CrossRef] [PubMed]
- Sasse, J.; Martinoia, E.; Northen, T. Feed your friends: Do plant exudates shape the root microbiome? Trends Plant Sci. 2018, 23, 25–41. [Google Scholar] [CrossRef] [PubMed]
- King, D.L. Nutrient cycling by wetlands and possible effects of water levels. In Coastal Wetlands; CRC Press: Boca Raton, FL, USA, 2018; pp. 69–86. [Google Scholar]
- Qian, F.; Zhou, Y.; Li, W.; Wang, X.; Sun, Z.; Liu, G.; Wei, H. Soil characteristics and ecological thresholds of Suaeda salsa wetlands. Ecosyst. Health Sustain. 2022, 8, 2021805. [Google Scholar] [CrossRef]
- Liu, G.; Tian, K.; Sun, J.; Xiao, D.; Yuan, X. Evaluating the effects of wetland restoration at the watershed scale in northwest Yunnan Plateau, China. Wetlands 2016, 36, 169–183. [Google Scholar] [CrossRef]
- Neale, S.P.; Shah, Z.; Adams, W.A. Changes in microbial biomass and nitrogen turnover in acidic organic soils following liming. Soil Biol. Biochem. 1997, 29, 1463–1474. [Google Scholar] [CrossRef]
- Lai, W.L.; Wang, S.Q.; Peng, C.L.; Chen, Z.H. Root features related to plant growth and nutrient removal of 35 wetland plants. Water Res. 2011, 45, 3941–3950. [Google Scholar] [CrossRef]
- Li, M.; Wu, P.; Ma, Z.; Pan, Z.; Lv, M.; Yang, Q.; Duan, Y. The increasing role of vegetation transpiration in soil moisture loss across China under global warming. J. Hydrometeorol. 2022, 23, 253–274. [Google Scholar] [CrossRef]
- Li, N.; Skaggs, T.H.; Ellegaard, P.; Bernal, A.; Scudiero, E. Relationships among soil moisture at various depths under diverse climate, land cover and soil texture. Sci. Total Environ. 2024, 947, 174583. [Google Scholar] [CrossRef]
- Yan, N.; Marschner, P.; Cao, W.; Zuo, C.; Qin, W. Influence of salinity and water content on soil microorganisms. Int. Soil Water Conserv. Res. 2015, 3, 316–323. [Google Scholar] [CrossRef]
- Nie, C.; Huang, Y.; Zhang, S.; Yang, Y.; Zhou, S.; Lin, C.; Wang, G. Effects of soil water content on forest ecosystem water use efficiency through changes in transpiration/evapotranspiration ratio. Agric. For. Meteorol. 2021, 308, 108605. [Google Scholar] [CrossRef]
- Xiao, T.; Li, P.; Fei, W.; Wang, J. Effects of vegetation roots on the structure and hydraulic properties of soils: A perspective review. Sci. Total Environ. 2024, 906, 167524. [Google Scholar] [CrossRef]
- Bai, X.; Chen, K.; Chen, X. Short-time response in growth and sediment properties of Zizania latifolia to water depth. Environ. Earth Sci. 2013, 70, 2847–2854. [Google Scholar] [CrossRef]
- Mann, C.J.; Wetzel, R.G. Hydrology of an impounded lotic wetland—Wetland sediment characteristics. Wetlands 2000, 20, 23–32. [Google Scholar] [CrossRef]
- Lai, C.; Sun, H.; Wu, X.; Li, J.; Wang, Z.; Tong, H.; Feng, J. Water availability may not constrain vegetation growth in Northern Hemisphere. Agric. Water Manag. 2024, 291, 108649. [Google Scholar] [CrossRef]
- Wang, P.; Huang, K.; Hu, S. Distinct fine-root responses to precipitation changes in herbaceous and woody plants: A meta-analysis. New Phytol. 2020, 225, 1491–1499. [Google Scholar] [CrossRef] [PubMed]
- Ren, G.H.; Deng, B.; Shang, Z.H.; Hou, Y.; Long, R.J. Plant communities and soil variations along a successional gradient in an alpine wetland on the Qinghai-Tibetan Plateau. Ecol. Eng. 2013, 61, 110–116. [Google Scholar] [CrossRef]
- Liu, Y.; Zhao, C.; Guo, J.; Zhang, L.; Xuan, J.; Chen, A.; You, C. Short-term phosphorus addition augments the effects of nitrogen addition on soil respiration in a typical steppe. Sci. Total Environ. 2021, 761, 143211. [Google Scholar] [CrossRef]
- Li, Y.; Zhao, Y.; Bao, X.; Xie, H.; Lü, X.; Fu, Y.; Tang, S.; Ge, C.; Liang, C. Soil total and available C: N: P stoichiometry among different parent material soil profiles in rubber plantations of Hainan Island, China. Geoderma Reg. 2024, 36, e00765. [Google Scholar] [CrossRef]
- Dong, L.; Wang, J.; Li, J.; Wu, Y.; Zheng, Y.; Zhang, J.; Li, Z.; Yin, R.; Liang, C. Assessing the impact of grazing management on wind erosion risk in grasslands: A case study on how grazing affects aboveground biomass and soil particle composition in Inner Mongolia. Glob. Ecol. Conserv. 2022, 40, e02344. [Google Scholar] [CrossRef]
- Kiba, T.; Krapp, A. Plant nitrogen acquisition under low availability: Regulation of uptake and root architecture. Plant Cell Physiol. 2016, 57, 707–714. [Google Scholar] [CrossRef]
- Steinauer, K.; Thakur, M.P.; Hannula, S.E.; Weinhold, A.; Uthe, H.; van Dam, N.M.; Bezemer, T.M. Root exudates and rhizosphere microbiomes jointly determine temporal shifts in plant-soil feedbacks. Plant Cell Environ. 2023, 46, 1885–1899. [Google Scholar] [CrossRef]
- Salter, J.; Morris, K.; Bailey, P.C.; Boon, P.I. Interactive effects of salinity and water depth on the growth of Melaleuca ericifolia Sm. (Swamp paperbark) seedlings. Aquat. Bot. 2007, 86, 213–222. [Google Scholar] [CrossRef]
- Yang, D.; Yang, Z.; Wen, Q.; Ma, L.; Guo, J.; Chen, A.; Zhang, M.; Xing, X.; Yuan, Y.; Lan, X.; et al. Dynamic monitoring of aboveground biomass in inner Mongolia grasslands over the past 23 Years using GEE and analysis of its driving forces. J. Environ. Manag. 2024, 354, 120415. [Google Scholar] [CrossRef] [PubMed]
- Webb, J.A.; Wallis, E.M.; Stewardson, M.J. A systematic review of published evidence linking wetland plants to water regime components. Aquat. Bot. 2012, 103, 1–14. [Google Scholar] [CrossRef]
- Wu, J.; Ma, W.; Li, G.; Alhassan, A.-R.M.; Wang, H.; Chen, G. Vegetation degradation along water gradient leads to soil active organic carbon loss in Gahai wetland. Ecol. Eng. 2020, 145, 105666. [Google Scholar] [CrossRef]
- Fu, Y.; Hu, Z.; Zhu, Q.; Rong, Y. Characteristics of labile organic carbon fractions under different types of subsidence waterlogging areas in a coal mining area: A case study in Xinglongzhuang Coal Mine, China. Catena 2023, 232, 107398. [Google Scholar] [CrossRef]
- Bastida, F.; Eldridge, D.J.; García, C.; Png, G.K.; Bardgett, R.D.; Delgado-Baquerizo, M. Soil microbial diversity–biomass relationships are driven by soil carbon content across global biomes. ISME J. 2021, 15, 2081–2091. [Google Scholar] [CrossRef]
- Han, J.Y.; Kim, D.H.; Oh, S.; Moon, H.S. Effects of water level and vegetation on nitrate dynamics at varying sediment depths in laboratory-scale wetland mesocosms. Sci. Total Environ. 2020, 703, 134741. [Google Scholar] [CrossRef]
- Cui, J.; Zhang, S.; Wang, X.; Xu, X.; Ai, C.; Liang, G.; Zhu, P.; Zhou, W. Enzymatic stoichiometry reveals phosphorus limitation-induced changes in the soil bacterial communities and element cycling: Evidence from a long-term field experiment. Geoderma 2022, 426, 116124. [Google Scholar] [CrossRef]
- Yao, L.; Adame, M.F.; Chen, C. Resource stoichiometry, vegetation type and enzymatic activity control wetlands soil organic carbon in the Herbert River catchment, North-east Queensland. J. Environ. Manag. 2021, 296, 113183. [Google Scholar] [CrossRef]
- Wang, X.; Feng, J.; Ao, G.; Qin, W.; Han, M.; Shen, Y.; Liu, M.; Chen, Y.; Zhu, B. Globally nitrogen addition alters soil microbial community structure, but has minor effects on soil microbial diversity and richness. Soil Biol. Biochem. 2023, 179, 108982. [Google Scholar] [CrossRef]
- Zhang, Z.; Yan, J.; Han, X.; Zou, W.; Chen, X.; Lu, X.; Feng, Y. Labile organic carbon fractions drive soil microbial communities after long-term fertilization. Glob. Ecol. Conserv. 2021, 32, e01867. [Google Scholar] [CrossRef]
- Cai, D.; Ma, Z.; Jiang, Z. Study on the Huixian Karst Wetland Ecosystem; Geological Publishing House: Beijing, China, 2012; pp. 1–20. [Google Scholar]









Disclaimer/Publisher’s Note: The statements, opinions and data contained in all publications are solely those of the individual author(s) and contributor(s) and not of MDPI and/or the editor(s). MDPI and/or the editor(s) disclaim responsibility for any injury to people or property resulting from any ideas, methods, instructions or products referred to in the content. |
© 2025 by the authors. Licensee MDPI, Basel, Switzerland. This article is an open access article distributed under the terms and conditions of the Creative Commons Attribution (CC BY) license (https://creativecommons.org/licenses/by/4.0/).
Share and Cite
Wang, Y.; Dai, J.; Jiang, F.; Wan, Z.; Zhang, S. Coupled Effects of Water Depth, Vegetation, and Soil Properties on Soil Organic Carbon Components in the Huixian Wetland of the Li River Basin. Land 2025, 14, 584. https://doi.org/10.3390/land14030584
Wang Y, Dai J, Jiang F, Wan Z, Zhang S. Coupled Effects of Water Depth, Vegetation, and Soil Properties on Soil Organic Carbon Components in the Huixian Wetland of the Li River Basin. Land. 2025; 14(3):584. https://doi.org/10.3390/land14030584
Chicago/Turabian StyleWang, Yongkang, Junfeng Dai, Fan Jiang, Zupeng Wan, and Shuaipu Zhang. 2025. "Coupled Effects of Water Depth, Vegetation, and Soil Properties on Soil Organic Carbon Components in the Huixian Wetland of the Li River Basin" Land 14, no. 3: 584. https://doi.org/10.3390/land14030584
APA StyleWang, Y., Dai, J., Jiang, F., Wan, Z., & Zhang, S. (2025). Coupled Effects of Water Depth, Vegetation, and Soil Properties on Soil Organic Carbon Components in the Huixian Wetland of the Li River Basin. Land, 14(3), 584. https://doi.org/10.3390/land14030584
