Determinants of Property Reuse for Age-Friendly Social Housing Development in Shrinking and Ageing Cities: Evidence from Latvia
Abstract
1. Introduction
- What are the primary determinants influencing adaptive reuse for social housing in a shrinking and ageing population in a post-socialist context?
- How do stakeholders—seniors, developers, and policymakers—perceive these determinants?
- What implications do these findings hold for policy and practice in ageing and shrinking cities?
2. Literature Review
2.1. Social Housing in Ageing Societies
2.2. Shrinking Cities and Post-Soviet Housing Legacies
2.3. Adaptive Reuse and Sustainability
2.4. Determinants of Adaptive Reuse
2.5. Age-Friendly Housing Design
2.6. Analytical Approaches in Housing Studies
3. Methodology
3.1. Research Design
3.2. Data Collection
3.3. Variables and Constructs
- Site selection: Considered proximity to healthcare facilities, public transport, and environmental safety.
- Feasibility analysis: Evaluated costs, structural soundness, financing availability, and legal compliance.
- Design and planning: Focused on universal design features, accessibility, and communal spaces.
- Implementation strategies: Examined stakeholder engagement, risk management, and project phasing.
- Monitoring and evaluation: Addressed key performance indicators, continuous review processes, and resident satisfaction measures.
- Scaling strategies: Assessed replicability, policy incentives, and long-term framework considerations.
3.4. Analytical Procedures
4. Results
4.1. Qualitative Insights
- Prioritising proximity to essential amenities: Stakeholders consistently stressed the importance of location. As one project manager observed, “Proximity to hospitals, clinics, and other healthcare facilities is particularly important for the elderly and families with young children. Access to grocery shops, pharmacies, and other daily necessities is also essential.” (Project Manager, VSAA, 4 years).
- Incorporating environmental sustainability: Respondents emphasised avoiding environmentally hazardous sites. A Valmiera councillor stated, “Avoiding a high environmental impact is important. We ensure that environmental considerations are integrated into our assessments.” (Valmiera City Councillor, 23 years).
- Regulatory and policy support: Policy clarity and incentives were seen as crucial. One consultant noted, “Tax incentives and local government support are necessary to make property reuse financially viable, especially in underdeveloped areas.” (Consultant, Latvia Sotheby’s International Realty, 30 years).
- Community-centred design: Inclusive design and community integration were highlighted. A Cēsis Council Chairman commented, “We organise meetings, discussions, and surveys to involve everyone in the decision-making process.” (Council Chairman, 25 years).
- Ensuring affordability: Cost was a recurring concern. A Valmiera councillor remarked, “Cost and proximity to amenities are crucial because they directly affect the affordability and quality of life in the housing.” (Valmiera City Councillor, 15 years).
- Promoting sustainability and energy efficiency: Long-term energy efficiency was emphasised. As one business development specialist explained, “Sustainable practices, like using eco-friendly materials and technologies, not only benefit the environment but also lower long-term operational costs.” (Business Development Specialist, Latio, 18 years).
- Enhancing accessibility and community integration: Accessibility and inclusivity were consistently raised. A Valmiera councillor noted, “We make it easy to use for everyone, providing amenities and designs that cater to different needs.” (Valmiera City Councillor, 15 years).
4.2. Survey Results: Descriptive Statistics
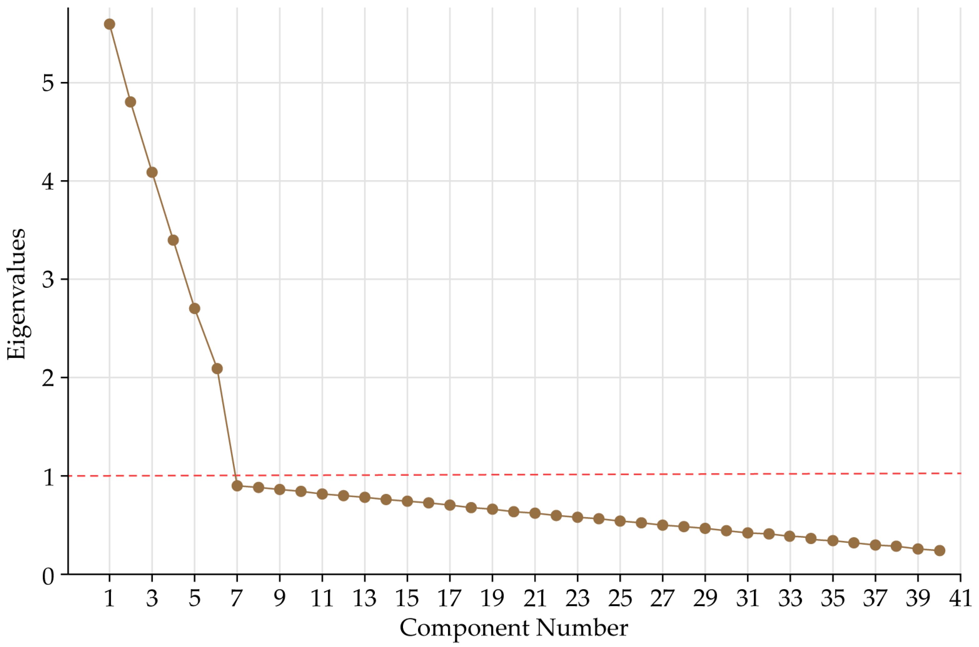
4.3. Exploratory Factor Analysis (EFA)
- Site selection (e.g., accessibility, proximity to services, environmental conditions);
- Feasibility analysis (e.g., affordability, financing, cost–benefit considerations);
- Design and planning (e.g., inclusivity, adaptability, architectural quality);
- Implementation strategies (e.g., governance, regulatory clarity, partnership capacity);
- Monitoring and evaluation (e.g., compliance checks, performance assessment);
- Scaling strategies (e.g., replicability, long-term adaptability, policy alignment).
5. Discussion
5.1. Economic and Regulatory Dominance
5.2. The Centrality of Implementation Strategies
5.3. Trust and Stakeholder Engagement
5.4. Community Integration and Design
5.5. Environmental Sustainability as a Deferred Priority
5.6. Contribution to Theory and Practice
5.7. Limitations
6. Conclusions
Author Contributions
Funding
Institutional Review Board Statement
Data Availability Statement
Conflicts of Interest
Appendix A. Semi-Structured Interview and Focus Group Protocol
- What economic challenges face you in developing age-friendly social housing?
- What financing options and incentives are the most helpful for property reuse projects?
- What do the current trends of the real estate market affect social housing affordability?
- What demographic trends affect the demand for age-friendly social housing?
- How do you engage the community and stakeholders in social housing projects?
- What social acceptance challenges do you face in reusing properties for social housing?
- How can energy efficiency be improved in social housing projects?
- What practices do you recommend for better water conservation and waste management in social housing?
- What sustainable materials and construction techniques are effective for property reuse projects?
- How can the distribution and accessibility of social housing be improved for the aging population?
- What urban planning and land use policies support age-friendly social housing?
- What measures can address spatial inequality in social housing developments?
- What regulatory and legal hurdles do you face in property reuse for social housing?
- What technical and logistical challenges do you face in property reuse projects?
- How can public perception and resistance to property reuse for social housing be effectively managed?
Appendix B. Survey Instrument
Appendix B.1. Economic Factors: Costs, Financing, and Market Dynamics
- Development and construction costs are a significant barrier to the development of age-friendly social housing.
- There are sufficient financing options and incentives available for property reuse projects in Latvia.
- The trends of the real estate market currently support the affordability of social housing developments.
- The development and construction costs influence the feasibility of age-friendly social housing.
- The financial incentives provided by the government are adequate to promote the reuse of property for social housing.
Appendix B.2. Social Factors: Demographic Trends, Community Needs, and Public Perception
- 6.
- The aging population in Latvia is adequately considered in social housing policies.
- 7.
- Community involvement is crucial to the success of age-friendly social housing projects.
- 8.
- Public awareness and acceptance are major challenges in implementing property reuse for social housing.
- 9.
- The household characteristics of the aging population are well understood by policymakers.
- 10.
- The community’s needs are effectively addressed in the design of age-friendly social housing.
Appendix B.3. Environmental Factors: Sustainability, Resource Efficiency, and Green Building Practices
- 11.
- Energy efficiency measures are well integrated into current social housing projects.
- 12.
- There is a need for better water conservation and waste management practices in social housing.
- 13.
- Sustainable materials and construction techniques are prioritized in property reuse projects.
- 14.
- The integration of renewable energy sources is a priority in the development of social housing.
- 15.
- Environmental sustainability is a key consideration in the planning of age-friendly social housing.
Appendix B.4. Spatial Design and Inequality in Age-Friendly Social Housing
- 16.
- The distribution and accessibility of social housing meet the needs of the aging population.
- 17.
- Urban planning and land use policies support the development of age-friendly social housing.
- 18.
- Spatial inequality is a significant issue in the development of age-friendly social housing.
- 19.
- Public buildings and spaces are accessible to people of different physical abilities.
- 20.
- Conveniently located emergency care centers are available to older adults.
Appendix B.5. Challenges and Barriers to Property Reuse for Social Housing
- 21.
- Regulatory and legal hurdles significantly impede the reuse for social housing.
- 22.
- Technical and logistical challenges are the main barriers to implementing property reuse projects.
- 23.
- Public perception and resistance hinder the success of property reuse for social housing.
- 24.
- Implementing a property reuse system requires significant changes in current policies.
- 25.
- The reuse for social housing is perceived positively by the general public.
Appendix B.6. Integration and Overall Impact
- 26.
- The proposed property reuse system will significantly improve the affordability of social housing.
- 27.
- The proposed system will improve the sustainability of social housing projects.
- 28.
- Energy efficiency will be a key benefit of the property reuse system.
- 29.
- The property reuse system will ensure better accessibility for the aging population.
- 30.
- The proposed system will foster community integration and resilience.
Appendix B.7. Specific Features and Services
- 31.
- The stairs are in good condition and accessible for wheelchairs or other assistive mobility devices.
- 32.
- Public transportation is accessible and convenient for older adults.
- 33.
- Affordable housing options are available for adults of varying income levels.
- 34.
- Well-maintained parks with enough benches are available in the community.
- 35.
- The health facilities are well-maintained and conveniently located.
- 36.
- Social and cultural activities are specifically geared toward older adults.
- 37.
- Affordable health and wellness programs are available for older adults.
- 38.
- There are adequate job training opportunities for older adults who want to learn new skills.
- 39.
- Maintenance services for housing are affordable and reliable.
- 40.
- The community is well informed about available local volunteer opportunities available.
References
- Langston, C.; Wong, F.K.; Hui, E.C.; Shen, L.Y. Strategic assessment of building adaptive reuse opportunities in Hong Kong. Build. Environ. 2008, 43, 1709–1718. [Google Scholar] [CrossRef]
- Bullen, P.A.; Love, P.E.D. Adaptive reuse of heritage buildings. Struct. Surv. 2011, 29, 411–421. [Google Scholar] [CrossRef]
- Meng, F.; Zhi, Y.; Pang, Y. Assessment of the Adaptive Reuse Potentiality of Industrial Heritage Based on Improved Entropy TOPSIS Method from the Perspective of Urban Regeneration. Sustainability 2023, 15, 7735. [Google Scholar] [CrossRef]
- Nicolini, E. Climate change adaptation and mitigation and historic centers preservation. Underway and repeatable technological design solutions. Cities 2024, 152, 105174. [Google Scholar] [CrossRef]
- Angrisano, M.; Bosone, M.; Assunta, M.; Gravagnuolo, A. Adapting Historic Cities Towards the Circular Economy: Technologies and Materials for Circular Adaptive Reuse of Historic Buildings BT—The Future of Liveable Cities; Fusco Girard, L., Kourtit, K., Nijkamp, P., Eds.; Springer International Publishing: Cham, Switzerland, 2023; pp. 91–125. ISBN 978-3-031-37466-1. [Google Scholar]
- Raven, R.; Lane, R.; Lindsay, J.; Reynolds, D.; Kronsell, A. Household innovation and agency in sustainability transitions. Environ. Innov. Soc. Transit. 2025, 56, 100987. [Google Scholar] [CrossRef]
- Moore, T.; Doyon, A. Providing Sustainable Housing Through Sustainability Transitions BT—A Transition to Sustainable Housing: Progress and Prospects for a Low Carbon Housing Future; Moore, T., Doyon, A., Eds.; Springer Nature: Singapore, 2023; pp. 123–146. ISBN 978-981-99-2760-9. [Google Scholar]
- Sorensen, A.; Brenner, A.-K. Cities, Urban Property Systems, and Sustainability Transitions: Contested Processes of Institutional Change and the Regulation of Urban Property Development. Sustainability 2021, 13, 8429. [Google Scholar] [CrossRef]
- Ikiz Kaya, D.; Pintossi, N.; Koot, C.A.M. Adaptive Reuse of Cultural Heritage: Barrier Assessment and Policy-Related Recommendations BT—Adaptive Reuse of Cultural Heritage: Circular Business, Financial and Governance Models; Fusco Girard, L., Gravagnuolo, A., Eds.; Springer International Publishing: Cham, Switzerland, 2025; pp. 379–407. ISBN 978-3-031-67628-4. [Google Scholar]
- Sechi, G.; Golubchikov, O. Neoliberalism as space fragmentation: A Lefebvrian gaze at post-socialist urban transitions. Urban Stud. 2025, 62, 2725–2747. [Google Scholar] [CrossRef]
- Tsenkova, S.; Polanska, D.V. Between state and market: Housing policy and housing transformation in post-socialist cities. GeoJournal 2014, 79, 401–405. [Google Scholar] [CrossRef]
- Central Statistical Bureau of Latvia Number of Population in Latvia in 2024. Available online: https://stat.gov.lv/en/statistics-themes/population/population/press-releases/22900-number-population-latvia-2024?themeCode=IR (accessed on 1 October 2025).
- Sanchaniya, R.; Geipele, I. Identifying Existing Properties for Reuse Into Social Housing. Eng. Rural Dev. 2023, 22, 100–107. [Google Scholar] [CrossRef]
- Sanchaniya, R.J.; Geipele, I.; Kundziņa, A.; Černeckienė, J. Key Factors and Strategies for Implementing Property Reuse Systems in Age-Friendly Social Housing Development. Arch. Urban Plan. 2025, 21, 139–150. [Google Scholar] [CrossRef]
- Lulle, A. (Post-)Socialist Housing and Aging in Neoliberal Riga. Urban Plan. 2024, 9. [Google Scholar] [CrossRef]
- Gentile, M.; Sjöberg, Ö. Spaces of Priority: The Geography of Soviet Housing Construction in Daugavpils, Latvia. Ann. Assoc. Am. Geogr. 2010, 100, 112–136. [Google Scholar] [CrossRef]
- Krišjāne, Z.; Bērziņš, M. Intra-urban residential differentiation in the post-Soviet city: The case of Riga, Latvia. Hung. Geogr. Bull. 2014, 63, 235–253. [Google Scholar] [CrossRef]
- Rasnaca, L.; Rezgale-Straidoma, E. Housing vulnerability for seniors in Latvia. Res. Rural Dev. 2019, 2, 225–231. [Google Scholar] [CrossRef]
- OECD. OECD Affordable Housing Database. Available online: https://www.oecd.org/en/data/datasets/oecd-affordable-housing-database.html (accessed on 1 October 2025).
- Ay, D.; Götze, V. Housing for “ageing in place”: Urban densification projects and the provision of age-appropriate housing in Switzerland. Cities 2025, 167, 106304. [Google Scholar] [CrossRef]
- Rogelj, V.; Bogataj, D.; Bogataj, M.; Campuzano-Bolarín, F.; Drobež, E. The Role of Housing in Sustainable European Long-Term Care Systems. Sustainability 2023, 15, 3075. [Google Scholar] [CrossRef]
- Van Hoof, J.; Kazak, J.K.; Perek-Białas, J.M.; Peek, S.T.M. The Challenges of Urban Ageing: Making Cities Age-Friendly in Europe. Int. J. Environ. Res. Public Health 2018, 15, 2473. [Google Scholar] [CrossRef] [PubMed]
- Eurostat More than 10% of Households in Romania, Latvia and Bulgaria Were Three-Generation in 2008. Available online: https://ec.europa.eu/eurostat/documents/3433488/5579620/KS-SF-11-052-EN.PDF (accessed on 2 March 2025).
- United Nations. Living Arrangements of Older Persons Around the World. Available online: https://www.un.org/en/development/desa/population/publications/pdf/popfacts/PopFacts_2019-2.pdf (accessed on 2 March 2025).
- LSM.lv 41% of Latvian Households Are of Just One Person. Available online: https://eng.lsm.lv/article/society/society/41-of-latvian-households-are-of-just-one-person.a414323/ (accessed on 23 October 2025).
- World Health Organization (WHO). Global Age-Friendly Cities: A Guide. Available online: https://www.who.int/publications/i/item/9789241547307 (accessed on 2 March 2025).
- Suragarn, U.; Hain, D.; Pfaff, G. Approaches to enhance social connection in older adults: An integrative review of literature. Aging Health Res. 2021, 1, 100029. [Google Scholar] [CrossRef]
- Hossen, M.S.; Mohd Pauzi, H.; Salleh, S.F. Enhancing elderly well-being through age-friendly community, social engagement and social support. Am. J. Sci. Educ. Res. 2023, 192, 1–10. [Google Scholar]
- Whear, R.; Campbell, F.; Rogers, M.; Sutton, A.; Robinson-Carter, E.; Sharpe, R.; Cohen, S.; Fergy, R.; Garside, R.; Kneale, D.; et al. What is the effect of intergenerational activities on the wellbeing and mental health of older people?: A systematic review. Campbell Syst. Rev. 2023, 19, e1355. [Google Scholar] [CrossRef]
- Yu, C.; Lee, Y. Housing requirements for a ageing society. Indoor Built Environ. 2017, 26, 441–446. [Google Scholar] [CrossRef]
- Lowe, S.; Tsenkova, S. Housing Change in East and Central Europe: Integration or Fragmentation? Ashgate (now Routledge): Aldershot, UK, 2003; ISBN 978-0-7546-1814-0. [Google Scholar]
- Rink, D.; Couch, C.; Haase, A.; Krzysztofik, R.; Nadolu, B.; Rumpel, P. The governance of urban shrinkage in cities of post-socialist Europe: Policies, strategies and actors. Urban Res. Pract. 2014, 7, 258–277. [Google Scholar] [CrossRef]
- Eva, M.; Cehan, A.; Lazăr, A. Patterns of Urban Shrinkage: A Systematic Analysis of Romanian Cities (1992–2020). Sustainability 2021, 13, 7514. [Google Scholar] [CrossRef]
- Foster, G. Circular economy strategies for adaptive reuse of cultural heritage buildings to reduce environmental impacts. Resour. Conserv. Recycl. 2020, 152, 104507. [Google Scholar] [CrossRef]
- Meng, F.; Xiao, X. Spatiotemporal Distribution and Adaptive Reuse Results Assessment of Beijing Industrial Heritage Based on the Sustainable Renewal Perspective. Land 2025, 14, 384. [Google Scholar] [CrossRef]
- Nocca, F.; Bosone, M.; Orabona, M. Multicriteria Evaluation Framework for Industrial Heritage Adaptive Reuse: The Role of the ‘Intrinsic Value’. Land 2024, 13, 1266. [Google Scholar] [CrossRef]
- Song, J.; Chen, J.; Yang, X.; Zhu, Y. Research on Adaptive Reuse Strategy of Industrial Heritage Based on the Method of Social Network. Land 2024, 13, 383. [Google Scholar] [CrossRef]
- European Commission. Renovation Wave. Available online: https://energy.ec.europa.eu/topics/energy-efficiency/energy-performance-buildings/renovation-wave_en (accessed on 2 March 2025).
- Tam, V.W.Y.; Hao, J.J.L. Adaptive reuse in sustainable development. Int. J. Constr. Manag. 2019, 19, 509–521. [Google Scholar] [CrossRef]
- Galimshina, A.; Moustapha, M.; Hollberg, A.; Padey, P.; Lasvaux, S.; Sudret, B.; Habert, G. What is the optimal robust environmental and cost-effective solution for building renovation? Not the usual one. Energy Build. 2021, 251, 111329. [Google Scholar] [CrossRef]
- Liao, H.; Ren, R.; Li, L. Existing Building Renovation: A Review of Barriers to Economic and Environmental Benefits. Int. J. Environ. Res. Public Health 2023, 20, 4058. [Google Scholar] [CrossRef] [PubMed]
- Lanz, F.; Pendlebury, J. Adaptive reuse: A critical review. J. Archit. 2022, 27, 441–462. [Google Scholar] [CrossRef]
- Savoie, É.; Sapinski, J.P.; Laroche, A.M. Key factors for revitalising heritage buildings through adaptive reuse. Build. Cities 2025, 6, 103–120. [Google Scholar] [CrossRef]
- Remøy, H.; Van Der Voordt, T. Adaptive reuse of office buildings into housing: Opportunities and risks. Build. Res. Inf. 2014, 42, 381–390. [Google Scholar] [CrossRef]
- van Hoof, J.; Marston, H.R. Age-Friendly Cities and Communities: State of the Art and Future Perspectives. Int. J. Environ. Res. Public Health 2021, 18, 1644. [Google Scholar] [CrossRef] [PubMed]
- Salmistu, S.; Kotval, Z. Spatial interventions and built environment features in developing age-friendly communities from the perspective of urban planning and design. Cities 2023, 141, 104417. [Google Scholar] [CrossRef]
- Rana, K.; Kent, J.L.; Page, A. Housing inequalities and health outcomes among migrant and refugee populations in high-income countries: A mixed-methods systematic review. BMC Public Health 2025, 25, 1098. [Google Scholar] [CrossRef]
- Brown, P.; Gill, S.; Halsall, J.P. The impact of housing on refugees: An evidence synthesis. Hous. Stud. 2024, 39, 227–271. [Google Scholar] [CrossRef]
- Arif, F.; Tahir, S. Housing sector risk assessment using structural equation modeling for small-to-medium sized construction companies and builders in urban areas. Int. J. Constr. Manag. 2025, 25, 1058–1071. [Google Scholar] [CrossRef]
- Chen, X.; Song, J. Influence Path Analysis of Rural Household Portfolio Selection: A Empirical Study Using Structural Equation Modelling Method. J. Real Estate Financ. Econ. 2022, 64, 298–322. [Google Scholar] [CrossRef]
- Vardopoulos, I. Adaptive Reuse for Sustainable Development and Land Use: A Multivariate Linear Regression Analysis Estimating Key Determinants of Public Perceptions. Heritage 2023, 6, 809–828. [Google Scholar] [CrossRef]
- Glumac, B.; Islam, N. Housing preferences for adaptive re-use of office and industrial buildings: Demand side. Sustain. Cities Soc. 2020, 62, 102379. [Google Scholar] [CrossRef]
- Boateng, G.O.; Neilands, T.B.; Frongillo, E.A.; Melgar-Quiñonez, H.R.; Young, S.L. Best Practices for Developing and Validating Scales for Health, Social, and Behavioral Research: A Primer. Front. Public Health 2018, 6, 149. [Google Scholar] [CrossRef]
- Braun, V.; Clarke, V. Using thematic analysis in psychology. Qual. Res. Psychol. 2006, 3, 77–101. [Google Scholar] [CrossRef]
- Sanchaniya, R.J.; Černeckienė, J.; Gudumasu, N.S.; Kundziņa, A. Adaptive Property Reuse for Social Housing: Benefits, Challenges, and Best Practices. Balt. J. Real Estate Econ. Constr. Manag. 2025, 13, 1–9. [Google Scholar] [CrossRef]
- Dixon, T.J.; Karuri-Sebina, G.; Ravetz, J.; Tewdwr-Jones, M. Re-imagining the future: City-region foresight and visioning in an era of fragmented governance. Reg. Stud. 2023, 57, 609–616. [Google Scholar] [CrossRef]
- Peverini, M. Vienna: A Strategic Welfare and Planning Approach Targeting Housing Affordability BT—Promoting Rental Housing Affordability in European Cities: Learning from the Cases of Milan and Vienna; Peverini, M., Ed.; Springer Nature: Cham, Switzerland, 2023; pp. 57–79. ISBN 978-3-031-43692-5. [Google Scholar]
- Kössl, G. Affordable Housing and Social Inclusion—The Case of Vienna and Austria. In Future Urban Habitation: Transdisciplinary Perspectives, Conceptions, and Designs; Wiley: Hoboken, NJ, USA, 2022; pp. 115–129. ISBN 9781119734895. [Google Scholar]
- Cooper, A.; Kurzer, P. Similar Origins—Divergent Paths: The Politics of German and Dutch Housing Markets. Ger. Polit. 2023, 32, 341–360. [Google Scholar] [CrossRef]
- Sanchaniya, R.J.; Asif, S.A.S.; Geipele, I. Role of Real Estate Management Firms Toward Sustainability in India. Civ. Environ. Eng. 2023, 19, 511–519. [Google Scholar] [CrossRef]
- Jaymin-Sanchaniya, R.; Thomson, D.; Kundzina, A.; Geipele, I. Effective Project Management Practices in Construction Industry: Quantitative Study. Eng. Rural Dev. 2024, 23, 85–92. [Google Scholar] [CrossRef]
- Ganeshu, P.; Fernando, T.; Keraminiyage, K. Barriers to, and Enablers for, Stakeholder Collaboration in Risk-Sensitive Urban Planning: A Systematised Literature Review. Sustainability 2023, 15, 4600. [Google Scholar] [CrossRef]
- Malik, S.; Roosli, R.; Yusof, N. Institutional stakeholder collaborations (ISCs): A conceptual framework for housing research. J. Hous. Built Environ. 2022, 37, 213–239. [Google Scholar] [CrossRef]





| Questions | Items | Mean | SD |
|---|---|---|---|
| FISS1 | Factors Influencing Site Selection—Proximity to amenities | 3.92 | 0.4 |
| FISS2 | Factors Influencing Site Selection—Transportation accessibility | 3.64 | 0.76 |
| ESC1 | Environmental and Socio-economic Considerations_Environmental impact | 3.8 | 0.76 |
| ESC2 | Environmental and Socio-economic Considerations_Socio-economic benefits | 3.8 | 0.65 |
| PEFA1 | Property Evaluation and Feasibility Analysis—Structural integrity | 3.96 | 0.45 |
| PEFA2 | Property Evaluation and Feasibility Analysis—Cost–benefit analysis | 4.08 | 0.57 |
| PEFA3 | Property Evaluation and Feasibility Analysis—Legal and zoning considerations | 4.04 | 0.54 |
| DEPC1 | Design and Planning Considerations—Universal design principles | 3.88 | 0.53 |
| DEPC2 | Design and Planning Considerations—Specific accessibility modifications | 4.04 | 0.73 |
| DEPC3 | Design and Planning Considerations—Community spaces | 4.08 | 0.57 |
| DEPC4 | Design and Planning Considerations—Designing for social interaction | 4.04 | 0.61 |
| ISN1 | Integration with Surrounding Neighbourhoods—Connectivity to the neighborhood | 4.12 | 0.67 |
| ISN2 | Integration with Surrounding Neighbourhoods—Enhancing neighbourhood cohesion | 4.12 | 0.67 |
| IS1 | Implementation Strategies—Identifying key stakeholders | 4.24 | 0.44 |
| IS2 | Implementation Strategies—Effective stakeholder engagement | 4 | 0.58 |
| IS3 | Implementation Strategies—Understanding relevant regulations | 3.96 | 0.61 |
| IS4 | Implementation Strategies—Effective strategies for approvals | 4.04 | 0.61 |
| IS5 | Implementation Strategies—Detailed project planning | 4.08 | 0.49 |
| IS6 | Implementation Strategies—Well-defined execution strategies | 4.4 | 0.65 |
| IS7 | Implementation Strategies—Identifying and mitigating risks | 4 | 0.41 |
| ME1 | Monitoring and Evaluation—Clearly defined KPIs | 4.04 | 0.54 |
| ME2 | Monitoring and Evaluation—Establishing baseline measurements | 4.12 | 0.67 |
| ME3 | Monitoring and Evaluation—Implementing feedback loops | 4.28 | 0.54 |
| ME4 | Monitoring and Evaluation—Ongoing improvement strategies | 4.32 | 0.56 |
| ISS1 | Integration and Scaling—Supportive policies | 3.96 | 0.45 |
| ISS2 | Integration and Scaling—Effective regulatory frameworks | 4.12 | 0.73 |
| ISS3 | Integration and Scaling—Identifying diverse funding sources | 4.12 | 0.67 |
| ISS4 | Integration and Scaling—Incentive programs | 4.2 | 0.58 |
| Factor | Representative Items (Examples) | Loading Range | Cronbach’s α | Variance Explained |
|---|---|---|---|---|
| Site Selection | Proximity to healthcare, access to public transport, environmental safety | 0.71–0.86 | 0.84 | 15.2% |
| Feasibility Analysis | Renovation costs, structural soundness, financing availability, legal/zoning compliance | 0.72–0.88 | 0.89 | 14.1% |
| Design and Planning | Universal design features, accessibility adaptations, communal spaces | 0.70–0.83 | 0.82 | 12.6% |
| Implementation Strategies | Stakeholder engagement, risk management, communication transparency | 0.68–0.81 | 0.79 | 11.3% |
| Monitoring and Evaluation | KPIs, continuous review processes, satisfaction indicators | 0.65–0.80 | 0.78 | 9.5% |
| Scaling Strategies | Policy incentives, replicability of models, long-term viability frameworks | 0.64–0.77 | 0.80 | 8.9% |
Disclaimer/Publisher’s Note: The statements, opinions and data contained in all publications are solely those of the individual author(s) and contributor(s) and not of MDPI and/or the editor(s). MDPI and/or the editor(s) disclaim responsibility for any injury to people or property resulting from any ideas, methods, instructions or products referred to in the content. |
© 2025 by the authors. Licensee MDPI, Basel, Switzerland. This article is an open access article distributed under the terms and conditions of the Creative Commons Attribution (CC BY) license (https://creativecommons.org/licenses/by/4.0/).
Share and Cite
Sanchaniya, R.J.; Cerneckiene, J.; Geipele, I.; Kundzina, A.; Jansons, L.; Pudzis, E.; Drukis, P. Determinants of Property Reuse for Age-Friendly Social Housing Development in Shrinking and Ageing Cities: Evidence from Latvia. Land 2025, 14, 2375. https://doi.org/10.3390/land14122375
Sanchaniya RJ, Cerneckiene J, Geipele I, Kundzina A, Jansons L, Pudzis E, Drukis P. Determinants of Property Reuse for Age-Friendly Social Housing Development in Shrinking and Ageing Cities: Evidence from Latvia. Land. 2025; 14(12):2375. https://doi.org/10.3390/land14122375
Chicago/Turabian StyleSanchaniya, Rashmi Jaymin, Jurgita Cerneckiene, Ineta Geipele, Antra Kundzina, Leo Jansons, Edgars Pudzis, and Peteris Drukis. 2025. "Determinants of Property Reuse for Age-Friendly Social Housing Development in Shrinking and Ageing Cities: Evidence from Latvia" Land 14, no. 12: 2375. https://doi.org/10.3390/land14122375
APA StyleSanchaniya, R. J., Cerneckiene, J., Geipele, I., Kundzina, A., Jansons, L., Pudzis, E., & Drukis, P. (2025). Determinants of Property Reuse for Age-Friendly Social Housing Development in Shrinking and Ageing Cities: Evidence from Latvia. Land, 14(12), 2375. https://doi.org/10.3390/land14122375

