Impact of Land Use/Cover Changes on Regional Soil Organic Carbon Storage in the Main Stream of the Tarim River from 1990 to 2020
Abstract
1. Introduction
2. Materials and Methods
2.1. Outline of the Study Area
2.2. Data Sources and Processing
2.3. Methods
3. Results
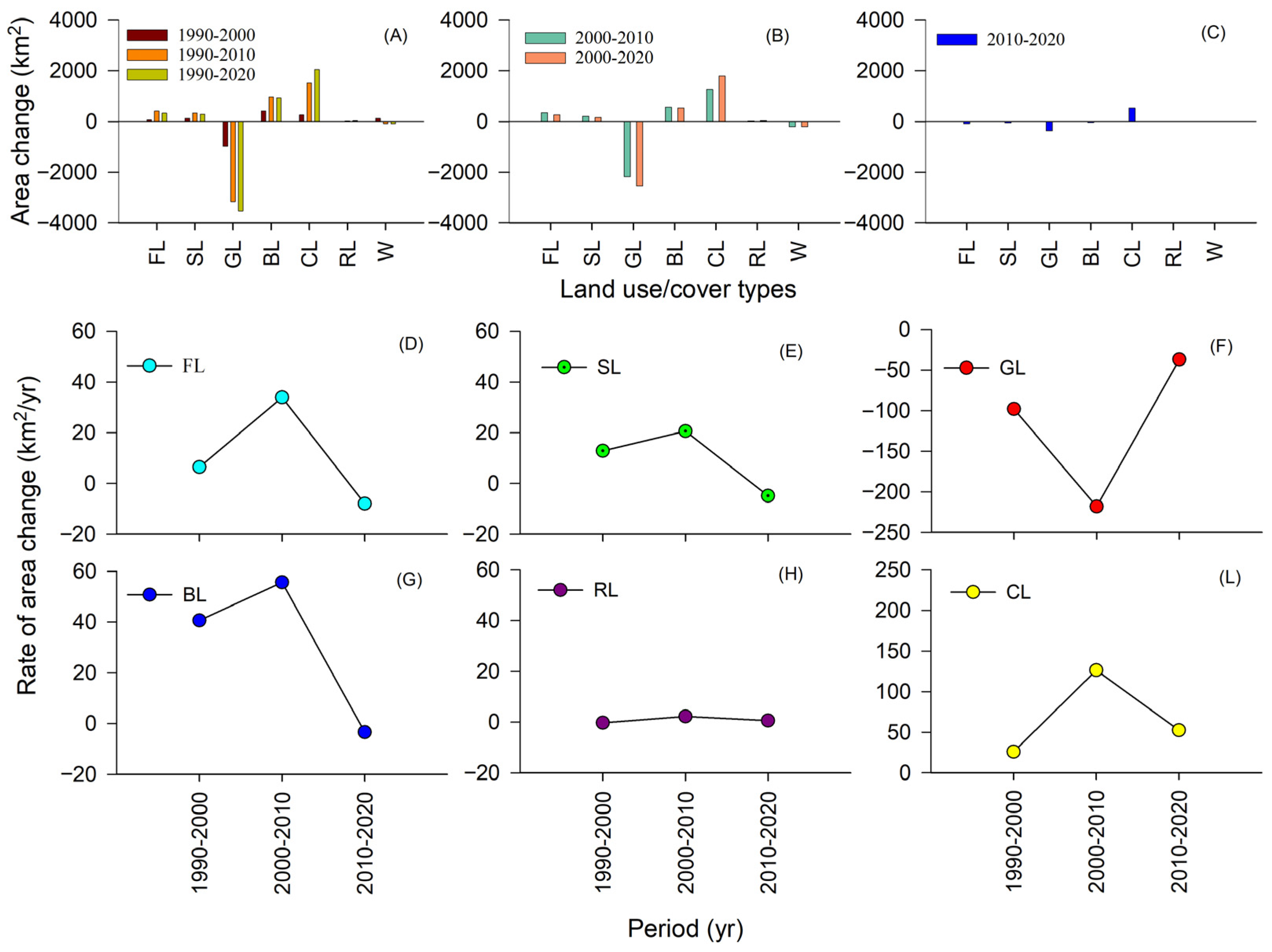
3.1. Temporal Change in the Land Use/Cover
3.2. Land Use/Cover Conversion
3.3. Total Amount of Soil Organic Carbon in Each Type of Land Use/Cover
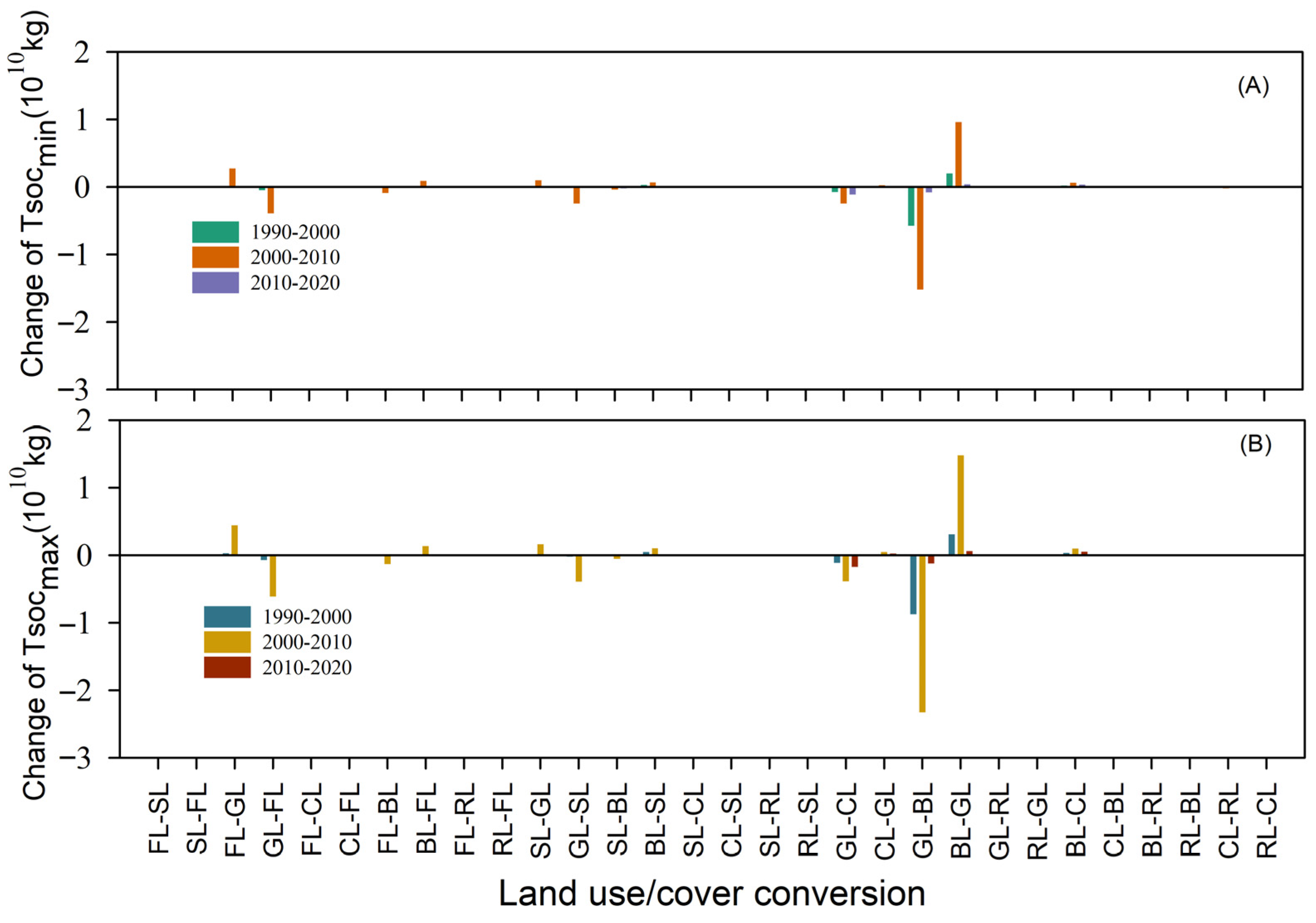
3.4. The Change in Total Amount of Soil Organic Carbon for the Land Use/Cover Conversion
3.5. Regional Soil Organic Carbon Stock of the Main Stream of the Tarim River
4. Discussion
4.1. Change in the Land Use/Cover
4.2. The Impact of the Land Use/Cover Change on the Soil Organic Carbon Content
4.3. The Impact of the Land Use/Cover Change on the Soil Organic Carbon Stock in the Region
5. Conclusions
Author Contributions
Funding
Data Availability Statement
Acknowledgments
Conflicts of Interest
References
- Lal, R. Soil carbon sequestration impacts on global climate change and food security. Science 2004, 304, 1623–1627. [Google Scholar] [CrossRef]
- Chen, L.Y.; Fang, K.; Wei, B.; Qin, S.Q.; Feng, X.H.; Hu, T.Y.; Ji, C.J.; Yang, Y.H. Soil carbon persistence governed by plant input and mineral protection at regional and global scales. Ecol. Lett. 2021, 24, 1018–1028. [Google Scholar] [CrossRef]
- Deng, L.; Zhu, G.Y.; Tang, Z.S.; Shangguan, Z.P. Global patterns of the effects of land-use changes on soil carbon stocks. Glob. Ecol. Conserv. 2016, 5, 127–138. [Google Scholar] [CrossRef]
- Guo, L.B.; Gifford, R.M. Soil carbon stocks and land use change: A meta analysis. Glob. Change Biol. 2002, 8, 345–360. [Google Scholar] [CrossRef]
- Liu, Z.; Deng, Z.; Davis, S.J.; Clement, G.; Philippe, C. Monitoring global carbon emissions in 2021. Nat. Rev. Earth Environ. 2022, 3, 217–219. [Google Scholar] [CrossRef] [PubMed]
- Houghton, R.A.; Hackler, J.L.; Lawrence, K.T. The US carbon budget: Contributions from land-use change. Science 1999, 285, 574–578. [Google Scholar] [CrossRef] [PubMed]
- Were, K.; Singh, B.R.; Dick, B. Spatially distributed modelling and mapping of soil organic carbon and total nitrogen stocks in the Eastern Mau Forest Reserve, Kenya. J. Geogr. Sci. 2016, 26, 102–124. [Google Scholar] [CrossRef]
- Christopher, P.; Axel, D. Sensitivity of soil organic carbon stocks and fractions to different land-use changes across Europe. Geoderma 2013, 192, 89–201. [Google Scholar] [CrossRef]
- Li, M.; Wu, J.J.; Deng, X.Z. Land use change and soil carbon sequestration in China: Where does it pay to conserve? Reg. Environ. Change 2016, 16, 2429–2441. [Google Scholar] [CrossRef]
- Xu, L.; Yu, G.R.; He, N.P. Changes of Soil organic carbon storage in Chinese terrestrial ecosystems from the 1980s to the 2010s. Acta Geogr. Sin. 2018, 73, 2150–2167. (In Chinese) [Google Scholar]
- Yang, Y.H.; Che, Y.N.; Li, Z.; Chen, Y.P. Land use/cover conversion affects soil organic carbon stock: A case study along the main channel of the Tarim River, China. PLoS ONE 2018, 13, e0206903. [Google Scholar] [CrossRef]
- Zhou, H.H.; Ye, Z.X.; Yang, Y.H.; Zhu, C.G. Drought stress might induce sexual spatial segregation in dioecious Populus euphratica—insights from long-term water use efficiency and growth rates. Biology 2024, 13, 318. [Google Scholar] [CrossRef]
- Zhao, R.F.; Jiang, M.H.; Chen, Y.N.; Shi, P.J.; Pan, J.H.; Zhao, H.L. Land use/Land cover changes and its eco-environmental effects in the main stream area of the Tarim River. Geogr. Sin. 2012, 32, 244–250. (In Chinese) [Google Scholar] [CrossRef]
- Tian, Z.X.; Gao, F.; He, B.; Han, F.H. Land use changes and its impact on carbon stock in the Tarim River Basin from 1990 to 2020. Huan Jing Ke Xue 2024, 45, 6514–6526. (In Chinese) [Google Scholar] [CrossRef] [PubMed]
- Guo, J.; Wang, G.Y.; Xu, S.W.; Zhang, G.P.; Yuan, K.Y.; Ling, H.B.; Wumaierjiang, X.Y.D. Dynamic assessment of Tarim River carbon storage under enhanced water resources management. Arid. Zone Res. 2021, 38, 589–599. [Google Scholar] [CrossRef]
- Fu, W.; Xia, W.H.; Fan, T.S.; ZOU, Z.; Hou, Y. Scenario projection analysis of ecosystem carbon stocks in the Tarim River Basin. Arid. Land Geogr. 2024, 47, 634–647. [Google Scholar] [CrossRef]
- Tong, R.X.; Liang, X.; Guan, Q.F.; Song, Y.; Chen, Y.L.; Wang, Q.Y.; Zheng, L.N.; Jin, Q.; Yu, Y.P.; He, J.; et al. Estimation of soil carbon storage from land use and management at a high spatial resolution in China during 2000–2020. Acta Geogr. Sin. 2023, 78, 2209–2222. [Google Scholar] [CrossRef]
- Rawat, J.S.; Manish, K. Monitoring land use/cover change using remote sensing and GIS techniques: A case study of Hawalbagh block, district Almora, Uttarakhand, India. Egypt. J. Remote Sens. 2015, 18, 77–84. [Google Scholar] [CrossRef]
- Yan, Z.L.; Huang, Q.; Chang, J.X.; Wang, Y.M. Analysis and dynamic monitoring of land use in the main stream of Tarim river valley using remote sensing. Trans. Chin. Soc. Agric. Eng. 2008, 24, 119–123. (In Chinese) [Google Scholar]
- Wang, Y.P.; Alimujang; Zhou, L.; Yang, P.N.; Feng, S.Y.; Wang, Y.W. Ecological water conveyance effect in the lower reaches of Tarim River. J. Desert Res. 2023, 43, 231–240. (In Chinese) [Google Scholar] [CrossRef]
- Deng, L.; Wang, K.B.; Tang, Z.S.; Shangguan, Z.P. Soil organic carbon dynamics following natural vegetation restoration: Evidence from stable carbon isotopes (δ13C). Agric. Ecosyst. Environ. 2016, 221, 235–244. [Google Scholar] [CrossRef]
- Fan, S.H.; Guan, F.Y.; Xu, X.L.; Forrester, D.I.; Ma, W.; Tang, X.L. Ecosystem carbon stock loss after land use change in subtropical forests in China. Forests 2016, 7, 142. [Google Scholar] [CrossRef]
- Pan, Y.J.; He, Z.R.; Liu, Y.L.; Dong, L.B.; Lv, W.W.; Shangguan, Z.P.; Deng, L. Dynamic changes of soil aggregate associated organic carbon during secondary forests succession in the Loess Plateau. Acta Ecol. Sin. 2021, 41, 5195–5203. [Google Scholar] [CrossRef]
- Chang, R.Y.; Fu, B.; Liu, G.H.; Wang, S.; Yao, X.L. The effects of afforestation on soil organic and inorganic carbon: A case study of the Loess Plateau of China. Catena 2012, 95, 145–152. [Google Scholar] [CrossRef]
- Liu, S.L.; Tang, Y.H.; Zhang, F.W.; Du, Y.G.; Lin, L.; Li, Y.K.; Guo, X.W.; Li, Q.; Cao, G.M. Changes of soil organic and inorganic carbon in relation to grassland degradation in Northern Tibet. Ecol. Res. 2017, 32, 395–404. [Google Scholar] [CrossRef]
- Dlamini, P.; Chivenge, P.; Manson, A.; Chaplot, V. Land degradation impact on soil organic carbon and nitrogen stocks of sub-tropical humid grasslands in South Africa. Geoderma 2014, 235–236, 372–381. [Google Scholar] [CrossRef]
- Dlamini, P.; Chivenge, P.; Chaplot, V. Overgrazing decreases soil organic carbon stocks the most under dry climates and low soil pH: A meta-analysis shows. Agric. Ecosyst. Environ. 2016, 221, 258–269. [Google Scholar] [CrossRef]
- Francaviglia, R.; Renzi, G.; Ledda, L.; Benedetti, A. Organic carbon pools and soil biological fertility are affected by land use intensity in Mediterranean ecosystems of Sardinia, Italy. Sci. Total Environ. 2017, 599–600, 789–796. [Google Scholar] [CrossRef]
- dos Santos, C.A.; Rezende, C.d.P.; Machado Pinheiro, É.F.; Pereira, J.M.; Alves, B.J.R.; Urquiaga, S.; Boddey, R.M. Changes in soil carbon stocks after land-use change from native vegetation to pastures in the Atlantic forest region of Brazil. Geoderma 2019, 337, 394–401. [Google Scholar] [CrossRef]
- Poeplau, C.; Don, A.; Vesterdal, L.; Leifeld, J.; Wesemael, B.V.; Schumacher, J.; Gensior, A. Temporal dynamics of soil organic carbon after land-use change in the temperate zone- carbon response functions as a model approach. Glob. Change Biol. 2017, 3, 61–66. [Google Scholar] [CrossRef]
- Tang, G.M.; Xu, W.L.; Sheng, J.D.; Liang, Z.; Zhou, B.; Zhu, M. The variation of soil organic carbon and soil particle-sizes in Xinjiang Oasis farmland of different years. Acta Pedol. Sin. 2010, 47, 279–285. (In Chinese) [Google Scholar] [CrossRef]
- Yonekura, Y.; Ohta, S.; Kiyono, Y.; Aksa, D.; Morisada, K.; Tanaka, N.; Tayasu, I. Dynamics of soil carbon following destruction of tropical rainforest and the subsequent establishment of Imperata grassland in Indonesian Borneo using stable carbon isotopes. Glob. Change Biol 2012, 18, 2606–2616. [Google Scholar] [CrossRef]
- Straaten, O.V.; Corre Marife, D.C.; Wolf, K.; Tchienkoua, M.; Cuellar, E.; Matthews, R.B.; Veldkamp, E. Conversion of lowland tropical forests to tree cash crop plantations loses up to one-half of stored soil organic carbon. Proc. Natl. Acad. Sci. USA 2015, 112, 9956–9960. [Google Scholar] [CrossRef]
- Tesfaye, M.A.; Bravo, F.; Ruiz-Peinado, R.; Pando, V.; Bravo-Oviedo, A. Impact of changes in land use, species and elevation on soil organic carbon and total nitrogen in Ethiopian Central Highlands. Geoderma 2016, 261, 70–79. [Google Scholar] [CrossRef]
- Cremer, M.; Kern, N.V.; Prietzel, J. Soil organic carbon and nitrogen stocks under pure and mixed stands of European beech, Douglas fir and Norway spruce. For. Ecol. Manag. 2016, 367, 30–40. [Google Scholar] [CrossRef]
- Finstad, K.; van Straaten, O.; Veldkamp, E.; McFarlane, K. Soil carbon dynamics following land use changes and conversion to oil palm plantations in tropical lowlands inferred from radiocarbon. Glob. Biogeochem. Cycles 2020, 34, e2019GB006461. [Google Scholar] [CrossRef]
- Ma, S.H.; Zhu, B.; Chen, G.P.; Ni, X.F.; Zhou, L.H.; Su, H.J.; Cai, Q.; Chen, X.; Zhu, J.J.; Ji, C.J.; et al. Loss of soil microbial residue carbon by converting a tropical forest to tea plantation. Sci. Total Environ. 2022, 818, 151742. [Google Scholar] [CrossRef]
- Tu, C.L.; Liu, C.Q.; Quine, T.A.; Jones, M.W.; Liu, T.L.; Li, L.B.; Liu, W.J. Dynamics of soil organic carbon following land-use change: Insights from stable C-isotope analysis in black soil of Northeast China. Acta Geochim. 2018, 37, 746–757. [Google Scholar] [CrossRef]
- Lin, Z.W.; Li, Y.F.; Tang, C.X.; Luo, Y.; Fu, W.J.; Cai, X.Q.; Li, Y.C.; Yue, T.; Jiang, P.K.; Hu, S.D.; et al. Converting natural evergreen broadleaf forests to intensively managed Moso bamboo plantations affect the pools size stability of soil organic carbon and enzyme activites. Biol. Fert. Soils 2018, 54, 467–480. [Google Scholar] [CrossRef]
- Lu, S.; Meng, P.; Zhang, J.S.; Yin, C.J.; Sun, S.Y. Changes in soil organic carbon and total nitrogen in croplands converted to walnut-based agroforestry systems and orchards in southeastern Loess Plateau of China. Environ. Monit. Assess. 2015, 187, 688. [Google Scholar] [CrossRef]
- Lemma, B.; Kleja, D.B.; Dan Ingvar, N.; Mats, O. Soil carbon sequestration under different exotic tree species in the southwestern highlands of Ethiopia. Geoderma 2006, 136, 886–898. [Google Scholar] [CrossRef]
- Houghton, R.A.; Hobbie, J.E.; Melillo, J.M.; Moore, B.J.P.; Shaver, G.R.; Woodwell, G.M. Changes in the carbon content of terrestrial biota and soils between 1860 and 1980: A net release of CO2 to the atmosphere. Ecol. Monogr. 1983, 53, 235–262. [Google Scholar] [CrossRef]
- Kasel, S.; Singh, S.; Sanders, G.J.; Bennett, L.T. Species-specific effects of native trees on soil organic carbon in biodiverse plantings across north-central Victoria, Australia. Geoderma 2011, 161, 95–106. [Google Scholar] [CrossRef]
- Zhang, C.; Liu, G.B.; Xue, S.; Sun, C.L. Soil organic carbon and total nitrogen storage as affected by land use in a small watershed of the Loess Plateau, China. Eur. J. Soil Biol. 2013, 54, 16–24. [Google Scholar] [CrossRef]
- Xiao, C.H.; Gong, Y.Q.; Pei, X.L.; Chen, H.Y.; Li, S.; Lu, C.W.; Chen, L.; Zheng, X.H.; Zheng, J.X.; Yan, X. Impacts of land-use change from primary forest to farmland on the storage of soil organic carbon. Appl. Sci. 2024, 14, 4736. [Google Scholar] [CrossRef]
- DeFries, R.S.; Houghton, R.A.; Hansen, M.C.; Field, C.B.; Skole, D.; Townshend, J. Carbon emissions from tropical deforestation and regrowth based on satellite observations for the 1980s and 1990s. Proc. Natl. Acad. Sci. USA 2002, 99, 14256–14261. [Google Scholar] [CrossRef] [PubMed]









Disclaimer/Publisher’s Note: The statements, opinions and data contained in all publications are solely those of the individual author(s) and contributor(s) and not of MDPI and/or the editor(s). MDPI and/or the editor(s) disclaim responsibility for any injury to people or property resulting from any ideas, methods, instructions or products referred to in the content. |
© 2025 by the authors. Licensee MDPI, Basel, Switzerland. This article is an open access article distributed under the terms and conditions of the Creative Commons Attribution (CC BY) license (https://creativecommons.org/licenses/by/4.0/).
Share and Cite
Yang, Y.; Wang, Y.; Lyu, H.; Wang, W.; Ye, Z.; Fu, A.; Zhou, H. Impact of Land Use/Cover Changes on Regional Soil Organic Carbon Storage in the Main Stream of the Tarim River from 1990 to 2020. Land 2025, 14, 2334. https://doi.org/10.3390/land14122334
Yang Y, Wang Y, Lyu H, Wang W, Ye Z, Fu A, Zhou H. Impact of Land Use/Cover Changes on Regional Soil Organic Carbon Storage in the Main Stream of the Tarim River from 1990 to 2020. Land. 2025; 14(12):2334. https://doi.org/10.3390/land14122334
Chicago/Turabian StyleYang, Yuhai, Yang Wang, Haodong Lyu, Wanrui Wang, Zhaoxia Ye, Aihong Fu, and Honghua Zhou. 2025. "Impact of Land Use/Cover Changes on Regional Soil Organic Carbon Storage in the Main Stream of the Tarim River from 1990 to 2020" Land 14, no. 12: 2334. https://doi.org/10.3390/land14122334
APA StyleYang, Y., Wang, Y., Lyu, H., Wang, W., Ye, Z., Fu, A., & Zhou, H. (2025). Impact of Land Use/Cover Changes on Regional Soil Organic Carbon Storage in the Main Stream of the Tarim River from 1990 to 2020. Land, 14(12), 2334. https://doi.org/10.3390/land14122334

