Next Article in Journal
Assessment and Prediction of Ecosystem Services and Identification of Key Areas for Ecological Restoration: A Case Study of the Loess Plateau in China
Previous Article in Journal
Chromium Species and Fractions in Agricultural and Urban Mediterranean Soils: Effects of Aging and Soil Properties on Soil Cr (III) and Cr (VI) Availability
 
 
Font Type:
Arial Georgia Verdana
Font Size:
Aa Aa Aa
Line Spacing:
Column Width:
Background:
Article

Evaluation of Vegetation Restoration Effectiveness in the Jvhugeng Mining Area of the Muli Coalfield Based on Sentinel-2 and Gaofen Data

1
Geological Institute of China Chemical Geology and Mine Bureau, China National Administration of Coal Geology, Beijing 100013, China
2
China Chemical Geology and Mine Bureau, China National Administration of Coal Geology, Beijing 100013, China
3
College of Geoscience and Surveying Engineering, China University of Mining and Technology—Beijing, Beijing 100083, China
4
School of Geography and Environment, Liaocheng University, Liaocheng 252059, China
*
Author to whom correspondence should be addressed.
Land 2025, 14(11), 2151; https://doi.org/10.3390/land14112151
Submission received: 21 July 2025 / Revised: 28 September 2025 / Accepted: 30 September 2025 / Published: 29 October 2025
(This article belongs to the Section Land Use, Impact Assessment and Sustainability)

Abstract

To address the serious ecological problems caused by long-term mining in the Muli Coalfield, a three-year ecological restoration project was initiated in 2020. The Jvhugeng mining area was the largest and most ecologically damaged area in the Muli Coalfield. Vegetation restoration is the core of mine ecological restoration. Scientific evaluation of the vegetation restoration status in the Jvhugeng mining area is significant for comprehensively revealing ecological restoration effectiveness in the Muli Coalfield. Based on Sentinel-2’s spectral and temporal advantages and GF-1/GF-6’s high spatial resolution in detailed portrayal, fractional vegetation cover (FVC) and landscape pattern index were determined separately. Thus, the vegetation restoration effectiveness and spatiotemporal dynamics of the Jvhugeng mining area from 2020 to 2023 were evaluated in terms of structural and functional dimensions. The results show that, from 2020 to 2023, vegetation cover extent (varying from 8.77 km2 in 2020 to a peak of 17.93 km2 in 2022 and then decreasing to 13.48 km2 in 2023) and FVC (from 0.33 in 2020 to about 0.50 during 2021–2023) first increased sharply and then fluctuated. Vegetation regions with both high FVC and dominant landscape features also presented the characteristics of rapid expansion and then fluctuation. Vegetation restoration demonstrated significant effectiveness, with the natural ecological environment restored to some extent and remaining stable. Newly vegetated regions had high FVC and significant landscape pattern characteristics. However, vegetation cover expansion also led to further fragmentation and morphological complexity of vegetation landscape patterns in the study area. The results can provide a basis for quantitatively assessing ecological restoration effectiveness in the Jvhugeng mining area and even the Muli Coalfield. This can also provide a dual-source data synergy technical reference for dynamic monitoring and effective evaluation of vegetation restoration in other mining areas.

1. Introduction

As an important foundation for national development and construction, the mining industry plays a key role in resource security and industrial support [1]. However, long-term over-exploitation of mineral resources has caused various ecological and social problems, especially due to the lack of ecological protection and soil and water conservation measures during mining. These problems include aggravation of geological hazards such as landslides and avalanches, damage to natural landscapes and vegetation and soil resources, and disruption to the production and life of surrounding residents [2,3]. Therefore, the restoration and management of mine ecological environment has become a major concern to be addressed urgently.
In recent years, China has attached great importance to mine ecological restoration [4]. Mine ecological restoration involves various measures, such as geomorphic remodeling, permafrost restoration, soil reconstruction, mine waste improvement, goaf backfilling, slope modification, grass planting for regreening, stream-wetland connection, and demolition of buildings or structures. Particularly, vegetation restoration is recognized as the core of mine ecological restoration. Vegetation is essential to rebuilding the stability and health of ecosystems by participating in soil formation, nutrient cycling, and water regulation [5,6]. Therefore, scientific assessment of the vegetation restoration status in mining areas is significant in reflecting ecological restoration effectiveness and guiding subsequent management strategies [7,8,9].
Fractional vegetation cover (FVC), as a core indicator for measuring the surface vegetation status, can directly reflect the physical cover extent of vegetation restoration and its dynamic changes by quantifying the ratio of the vertical projection area of vegetation on the ground to the total vegetation area [10,11]. Although FVC has extensively been used to evaluate vegetation restoration, existing research frameworks remain bifurcated: fragmentation of the assessment system [12,13]. This means that FVC is often treated in isolation [14], lacking the capacity to holistically quantify ecosystem restoration. This fragmented approach limits the ability to evaluate the overall effectiveness and long-term sustainability of ecological restoration efforts. For example, FVC can only reflect the physical cover level of vegetation and is difficult to comprehensively characterize the spatial distribution of vegetation patches and its synergistic relationship with ecosystem functions during restoration. Under the same vegetation cover, differences in the spatial distribution of vegetation patches (e.g., concentrated and contiguous distribution, or fragmented distribution) may significantly affect the soil and water conservation efficiency, species dispersal capacity, and long-term stability of ecosystems [15,16,17]. Therefore, introducing vegetation landscape pattern analysis can supplement the inadequacy of FVC regarding spatial heterogeneity and provide a multidimensional assessment framework for mine vegetation restoration [18,19].
The Muli Coalfield is located at the southern foothill of the Qilian Mountains in the north of the Qinghai–Tibet Plateau and is the largest surface coal mine in Qinghai Province [20]. It serves as a vital component of the water conservation area and ecological security barrier of the Qilian Mountains, holding immense significance for ecological protection. However, due to the large-scale open-pit mining that started after 2010, the fragile alpine ecology in this area was damaged [21], resulting in problems such as grassland degradation and declining water conservation functions of ecosystems. This area needed to be remediated and restored urgently. This situation was exposed by the media on 4 August 2020, sparking significant concerns. Relevant authorities acted swiftly to implement a complete shutdown of all industrial and mining enterprises within the Muli Coalfield and launched a three-year regional ecological restoration initiative on 31 August 2020. Evaluating the progress and ecological outcomes of these restoration measures is critical since this can provide scientific validation of restoration effectiveness and inform adaptive management strategies for alpine ecosystem restoration. The Jvhugeng mining area has the largest mining scale in the Muli Coalfield and has become a key area for the comprehensive ecological environmental remediation work in the Muli region [10,22].
Compared with traditional manual on-site surveys and unmanned aerial vehicle technologies, satellite remote sensing has assumed an increasingly critical role in ecological investigations, environmental assessments, and mining site monitoring systems owing to its cost-effectiveness, operational efficiency, and extensive spatial coverage [22]. Conventional manual surveys, while maintaining historical significance in environmental monitoring paradigms, demonstrate inherent limitations in time expenditure and workflow optimization. Unmanned aerial vehicles have the advantages of cost-effectiveness, high accuracy, and time efficiency [23,24]. However, their deployment requires flight permits from the civilian aviation authorities. Their limited battery life in applications over large areas may also pose logistical challenges.
Remote sensing satellites, often used in ecological and environmental monitoring studies of open-pit mining areas, mainly include Landsat, NOAA, SPOT, QuickBird, Sentinel, and Gaofen (GF) [11,25,26]. Sentinel-2 satellites can provide multispectral and 10 m data. They have the advantages of a high revisit period (5 days) and free access and are well suited for large-scale and long-time-series FVC dynamic monitoring. In contrast, the GF satellite with PMS sensor can provide the high spatial resolution images with 2 m. The use of such high-resolution remote sensing imagery enables the detection of detailed and small-scale vegetation features, such as small vegetation patches, edge structure, and internal heterogeneity. This is crucial for accurately quantifying vegetation landscape pattern indices (e.g., patch density, shape index, and aggregation). Therefore, combining the advantages of Sentinel-2 in spectral and temporal dimensions and GF in spatial detail portrayal, FVC and spatial pattern (landscape index) can be calculated separately to realize the synergy between “macro-vegetation cover trend” and “micro-landscape structural characteristics”. Thus, a comprehensive assessment of the whole process from “quantitative expansion” to “qualitative optimization” can be performed, improving the comprehensiveness and accuracy of assessing vegetation restoration status in the mining area.
This paper aims to comprehensively evaluate vegetation restoration in the Jvhugeng mining area of the Muli Coalfield (2020–2023) using multi-source high-resolution remote sensing data. The specific objectives are as follows: (1) to quantify FVC and vegetation landscape indices separately using Sentinel-2 and GF-2 data; (2) to evaluate and analyze the vegetation restoration effectiveness and spatiotemporal dynamics during the critical period from 2020 (the year when large-scale remediation was initiated) to 2023 (the year when the three-year ecological restoration period was completed) based on FVC and vegetation landscape index; (3) to reveal the FVC-landscape pattern cascading response mechanism under the driving force of multi-source remote sensing; (4) to provide quantifiable decision-making tools and a scientific basis for the precise management of ecological restoration in alpine mining areas and even similar fragile ecological regions.

2. Materials and Methods

2.1. Study Region

2.1.1. Geographical Location

The Jvhugeng mining area in the Muli Coalfield is located in the northeast of the Qinghai–Tibetan Plateau (Figure 1) in Tianjun County, Haixi Mongol and Tibetan Autonomous Prefecture, Qinghai Province (99.05°~99.27° E, 38.05°~38.27° N). There are six mining pits in the Jvhugeng mining area, which are distributed in mine fields Nos. 3, 4, 5, 7, 8, and 9, respectively. These mining pits cover a total area of 11,187,400 m2 and have a maximum depth of 150 m. A total of 12 slag heaps have been formed by these mining pits and have a maximum height of 50 m, a total area of 13,372,400 m2, and a total volume of 350,681,000 m3 [27]. Nos. 3, 4, and 5 mine fields are the core target areas and typical samples of the ecological restoration of the Muli Coalfield, and the main components of the Jvhugeng mining area. Therefore, these three mine fields were taken as the research object (Figure 1).

2.1.2. Natural Conditions

The mining area is situated in a high-altitude area of the Central Qilian Mountains, with an elevation of 3800~4200 m, and is dominated by the plateau periglacial landform. The regional climate is cold alpine with a mean annual temperature of about −1.5 °C and mean annual precipitation of about 360 mm, concentrated primarily in the summer (June to August). The vegetation type in the mining area is divided into alpine swamp and alpine meadow, with more significant morphological characteristics of alpine areas, simple plant community structure, sparse vegetation, and weak resistance to the interference of human activities. Surface water is primarily derived from snowmelt and summer precipitation-fed streams. Groundwater is limited due to permafrost and shallow soil layers. Soils are dominated by alpine and swamp meadow soils, overlying permafrost. They are often thin, and rocky or fine-textured and have low organic matter and nutrient levels, which constrain post-mining revegetation.

2.1.3. Ecological Restoration Measures

A three-year ecological restoration program was launched in August 2020 across the Muli Coalfield, adopting a “one strategy per mining pit, one strategy per mine field” approach. In the Jvhugeng mining area (Nos. 3, 4, and 5 mine fields), the specific restoration measures were as follows:
No. 3—Slope step treatment, partial bottom greening, and water diversion to form a plateau lake.
The pit slopes were cut into stepped terraced benches and stabilized to reduce erosion and improve stability. Native alpine vegetation was replanted in sections of the pit bottom. Surface water from the Shangduosuo River was diverted into the pit, creating a plateau lake that can protect exposed coal resources while providing a stable aquatic ecosystem.
No. 4—Retention of pit water to form a plateau lake, slope and slag-heap treatment, soil cover and vegetation restoration, and regular hydrological monitoring.
Natural pit water was preserved to create a plateau lake. Unstable dump slopes and slag heaps were reshaped and stabilized. The reshaped surfaces were covered with reconstructed soil and revegetated with indigenous alpine meadow species. Long-term hydrological monitoring ensured the ecological safety and sustainability of the new water body.
No. 5—Partial backfilling of the pit to form terraced landforms, slope and slag-heap treatment, vegetation restoration, and natural reconnection of surface water systems.
Partial backfilling of the pit bottom created terraces sloping from west to east, facilitating soil reconstruction and vegetation growth. Surface water ditches were arranged to connect with the lower Duosuo River, gradually re-establishing natural hydrological links and improving water availability for vegetation.
Across all three mine fields, soil reconstruction relied on locally available weathered mudstone and siltstone materials from spoil heaps. Decomposed organic matters were supplemented where feasible, such as sheep manure, to enhance fertility and water-holding capacity. Vegetation restoration employed mixed seeding of native alpine meadow and wetland species to accelerate ecological succession and stabilize reclaimed land.
These comprehensive measures—landform reshaping, soil reconstruction, vegetation restoration, hydrological connectivity, and long-term monitoring—collectively addressed the key ecological problems of the Jvhugeng mining area. These problems mainly included landscape damage, vegetation degradation, water-system disruption, and slope instability. This can provide a detailed and verifiable account of how ecological restoration has been carried out in this high-altitude coal-mining environment.

2.2. Data Sources and Processing

In this study, we employed the satellite data of Sentinel-2, GF-1, GF-1B, GF-1D, and GF-6 (Table 1) for vegetation restoration analysis. The peak growing season of vegetation in the study area was from June to September. Thus, satellite images during this season were selected. During image selection, we diligently avoided cloud interference.
The Sentinel-2 multispectral data at a spatial resolution of 10 m were acquired from Google Earth Engine. The data were processed with radiometric calibration and atmospheric correction. For 2020 and 2021, a single cloud-free image of Sentinel-2 fully covered the study area in each year. Thus, only one date was used. In 2022 and 2023, however, no single-date image data provided complete cloud-free coverage. We therefore extracted the cloud-free parts from multiple images and mosaicked them to obtain a single seamless, high-quality image.
Since no single GF satellite provides continuous cloud-free images covering 2020–2023, we selected the GF satellite capable of delivering cloud-free images of the study area for each year. GF-1, GF-1B, GF-1D, and GF-6 were all equipped with PMS sensors, and could provide panchromatic images at a 2 m resolution and multispectral images at an 8 m resolution. These GF data were processed using specialized software for radiometric calibration, atmospheric correction, ortho correction, fusion, mosaic, and clipping. The Fast Line-of-sight Atmospheric Analysis of Spectral Hypercubes (FLAASH) algorithm was used for atmospheric correction. The panchromatic and multispectral images were then fused by NNDiffuse Pan Sharpening.

2.3. Methods

2.3.1. Technical Process

Firstly, FVC and vegetation cover information were determined based on the Sentinel-2 and GF data, respectively. Then, vegetation landscape index was calculated based on the vegetation cover information using Fragstats 4.2. Finally, the spatial and temporal characteristics of FVC and vegetation landscape index were analyzed using spatial analysis methods.

2.3.2. Vegetation Extraction and Accuracy Verification

The method of obtaining the vegetation cover information based on GF data is as follows: (1) segmenting images using an object-oriented method to obtain the objects of surface cover types; (2) calculating the normalized difference vegetation index (NDVI) (Equation (1)) based on image objects, and using the threshold binary classification method to extract vegetation information based on segmented NDVI; (3) using manual visual interpretations to modify acquired vegetation information in order to improve the accuracy as much as possible.
NDVI = ( NIR R ) / ( NIR + R ) ,
where NIR is the near-infrared band and R is the red band.
Based on image pixel-level, the Kappa coefficient (Kappa) and overall accuracy (OA) were then calculated using validation sample points and confusion matrices to evaluate the accuracy of extracted vegetation cover information [28]. Kappa is an index used to test the consistency of extraction results with actual vegetation cover, and OA is the overall evaluation of the quality of extraction results.

2.3.3. Fractional Vegetation Cover

The methods for obtaining vegetation cover based on remote sensing mainly include the empirical method, the vegetation index method, and the pixel decomposition method. In the pixel decomposition model, the pixel dichotomy model assumes that the pixel consists of only vegetation and soil, and the pixel signal consists of only these two components linearly. This model has the advantages of simplicity, reliability, ease of obtaining data parameters, and high inversion accuracy. The land use and land cover in the mining area are mainly dominated by vegetation and soil. Thus, the pixel dichotomy model was used to invert FVC [29]. Based on NDVI, FVC was estimated using the pixel dichotomy model:
FVC = ( NDVI NDVI soil ) / ( NDVI veg + NDVI soil ) ,
where NDVIsoil is the NDVI value of bare soil or areas without vegetation cover; NDVIveg is the NDVI value of pure vegetation pixels. Theoretically, the NDVIsoil value should be close to 0. NDVIveg represents the maximum NDVI value of the pixel with full vegetation cover. However, the actual values of NDVIsoil and NDVIveg vary due to the influence of many factors such as light conditions, temporal and spatial variations, image quality, and vegetation type. In estimating FVC using the pixel dichotomy model, the minimum and maximum values of NDVI within the confidence interval are usually taken empirically as NDVIsoil and NDVIveg, respectively. In this study, the upper and lower thresholds of NDVI were intercepted using a confidence level of 0.5%. The NDVI values with a cumulative frequency of 0.5% and 99.5% were selected as NDVIsoil and NDVIveg, respectively.
In the field of vegetation cover classification, despite a wealth of research, the development of universally accepted criteria has been hindered by anthropogenic and geographic factors. In the present study, FVC in the study area was classified into five distinct categories based on thresholds in existing literature [30,31]: 0–20% (low FVC), 20–40% (medium-low FVC), 40–60% (medium FVC), 60–80% (medium-high FVC), and 80–100% (high FVC).

2.3.4. Selection and Calculation of Landscape Pattern Indices

Landscape pattern indices were calculated for the vegetation in the study area using Fragstats 4.2. Fragstats is a specialized software for landscape pattern analysis and can calculate and analyze a wide range of landscape indices to help assess the structure, composition, and spatial distribution patterns of landscapes [32]. Fragstats has a wide range of applications in the fields of landscape ecology, land use planning, and environmental studies. In this study, a total of seven representative landscape indices (Table 2) were selected to analyze the vegetation landscape characteristics in the study area at the category level [26,33].

2.3.5. Scale Effect and Spatial Analysis

Scale effects can affect landscape pattern analysis [34], with the effect of spatial extent being one of the important factors. When the spatial extent is smaller, landscape indices change significantly and fluctuate greatly. Thus, landscape indices cannot effectively reflect the gradient characteristics of landscape patterns. When the spatial extent is larger, landscape indices vary gently. This can eliminate the interference caused by high resolution and regional differences, but lead to the loss of some gradient features [26]. Five spatial grid scales ranging from 100 × 100 to 500 × 500 m at an interval of 100 m were used to test scale effects in vegetation landscapes. Seven vegetation landscape pattern indices were calculated at five spatial scales using Fragstats 4.2.
Spatial autocorrelation analysis mainly reveals whether there are a significant spatial correlation and interdependence between variables of a geospatial unit and its neighboring geospatial unit. Spatial autocorrelation can describe the degree of aggregation in variable values in different spatial locations. Spatial autocorrelation is divided into two categories: global and local spatial autocorrelation. The global spatial autocorrelation of each landscape pattern index was calculated at each grid scale. Based on the grid scale with the strongest global spatial autocorrelation, local spatial autocorrelation was used to analyze the spatial distribution characteristics of the landscape pattern indices. Bivariate local spatial autocorrelation was used to analyze the spatial aggregation characteristics between FVC and the landscape indices.

3. Results

3.1. Vegetation Extraction Accuracy and Spatiotemporal Changes in Vegetation

The accuracy of the vegetation extraction results met the requirements for subsequent analysis in all years (Table 3, Kappa ≥ 0.90 and OA ≥ 96%).
Figure 2 illustrates the vegetation distribution of Nos. 3~5 mine fields in the Jvhugeng mining area from 2020 to 2023. In 2020, the vegetation was mainly distributed in the north and south of No. 3 mine field and in the north-central area of No. 4 mine field, with scattered distribution in the area of No. 5 mine field. In 2021, 2022, and 2023, vegetation cover exhibited a consistent spatial pattern, mainly distributed in the area of No. 3 mine field (except for the central area), the north-central, southern, and eastern areas of No. 4 mine field, and almost the whole area of No. 5 mine field.
Between 2020 and 2023, vegetation cover in the study area showed a staged evolution. (1) The rapid expansion period (2020–2021): the vegetation area surged from 8.77 km2 to 16.14 km2 (increasing by 84.04%), reflecting the significant effectiveness of the restoration project at the initial stage. (2) The fluctuation adaptation period (2021–2023): the vegetation area reached a peak of 17.93 km2 in 2022 (increasing by 11.09% compared with that of 2021) and then decreased to 13.48 km2 in 2023 (decreasing by 24.82% compared with the peak). This implied challenges to local habitat stability.
Figure 2e,f depict the newly vegetated areas and stabilized vegetation areas from 2020 to 2021. The newly vegetated areas were mainly existed in the central area of No. 3 mine field, the south and east of No. 4 mine field, and most of the area of No. 5 mine field. The stabilized vegetation areas were mainly located in the northern and southern areas of No. 3 mine field and the north-central area of No. 4 mine field.

3.2. Assessment of Fractional Vegetation Cover

Figure 3 shows the interannual variation in average FVC in the whole area of the three mine fields in the Jvhugeng mining area. FVC showed a variation trend of “low-high-stable” from 2020 to 2023. From 2021 to 2023, due to the comprehensive ecological environment restoration in the Jvhugeng mining area, the ecological restoration effectiveness of the vegetation was significant and stable. Average FVC from 2021 to 2023 (about 0.50) was significantly higher than that in 2020 (0.33).
Figure 4 shows the FVC spatial distribution from 2020 to 2023. The comparative analysis shows that, in terms of spatial distribution, the whole study area was dominated by low FVC in 2020 (0.0–0.2). Medium-high and high FVC existed only in the north and south of No. 3 mine field and the north-central area of No. 4 mine field. Relative to 2020, the newly vegetated areas in 2021 were mainly dominated by medium-high and high FVC. In 2021, 2022, and 2023, the entire study area was dominated by medium, medium-high, and high FVC, with a value greater than 0.4. These FVC areas showed a spatial distribution pattern comparable to the vegetated areas.
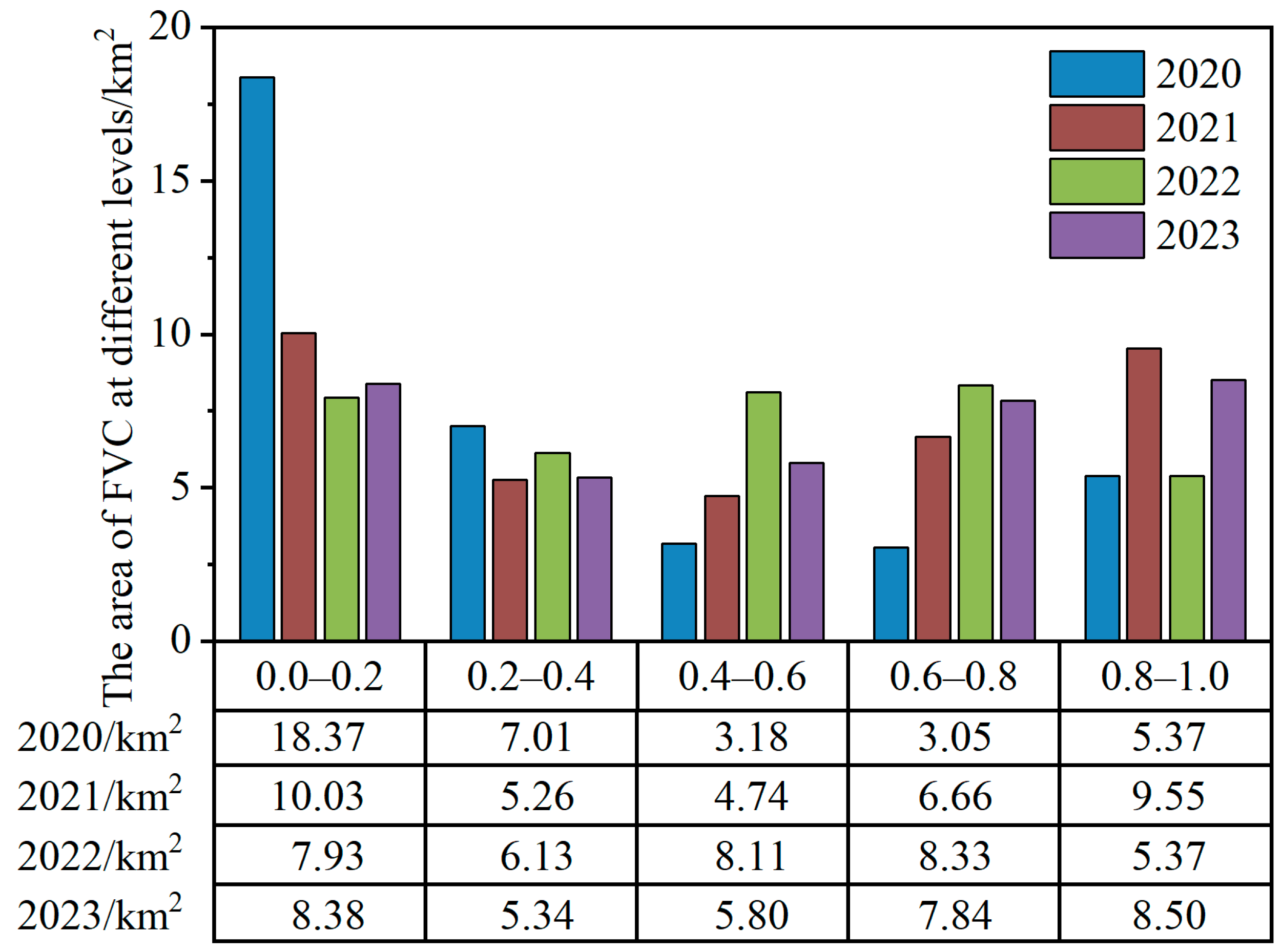
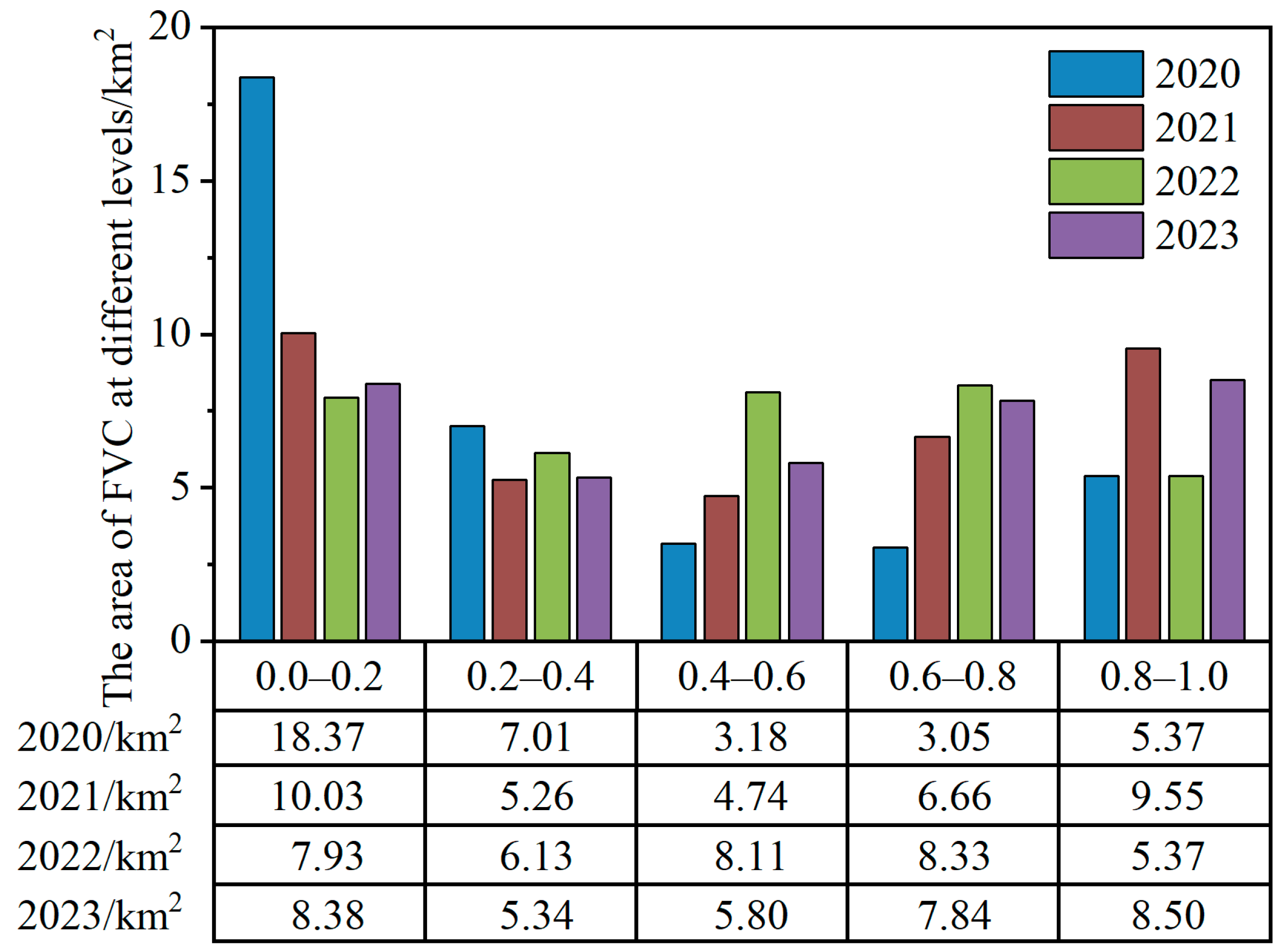
In terms of area (Figure 5), the low-FVC zone (0.0~0.2) shrank significantly. Vegetation area within the low-FVC zone amounted to 18.37 km2 (50% of the whole area) in 2020, plummeted to 10.03 km2 (28%) in 2021, and narrowed further to 7.93 km2 (22%) in 2022 and 8.38 km2 (23%) in 2023. This sharp reduction indicates that the bare surface in the mining area was gradually restored.
The medium-high FVC zone continued to expand, indicating that the vegetation in the study area was being restored rapidly. FVC (0.4~0.6): vegetation area increased from 3.18 km2 in 2020 to a peak of 8.11 km2 in 2022 (increasing by 155%). FVC (0.6~0.8): vegetation area increased from 3.05 km2 in 2020 to 8.33 km2 in 2022 (increasing by 173%). FVC (0.8~1.0): vegetation area peaked in 2021 (9.55 km2; increasing by 78% relative to 2020).
There were interannual fluctuations in the medium/high FVC area during restoration in the later years, with an overall stable trend. The area of the medium-FVC zone (0.4~0.6) and the medium-high-FVC zone (0.6~0.8) declined to 5.80 km2 and 7.84 km2 in 2023, respectively, and was still higher than those in 2021 (4.74 km2 and 6.66 km2). The area of the high-FVC zone (0.8~1.0) dropped to 5.37 km2 in 2022 and rebounded to 8.50 km2 in 2023, indicating a resilient restoration of the ecosystem.

3.3. Assessment of Vegetation Landscape

3.3.1. Grid-Scale Analysis

Global spatial autocorrelation reflects whether a single variable exhibits an overall correlation pattern or aggregation trend in the whole region, which is often measured by Global Moran’s I. The value of Moran’s I ranges within [−1, 1]. Moran’s I greater than 0 indicates positive spatial autocorrelation; the closer the index value is to 1, the stronger the spatial aggregation trend. Moran’s I less than 0 indicates negative spatial autocorrelation; the closer the index value is to −1, the stronger the spatial heterogeneity. Moran’s I equal to 0 indicates that the value of an attribute is randomly distributed, without spatial correlation.
The global spatial autocorrelation, measured by Global Moran’s I at the 100–500 m grid scales for each landscape pattern index, ranged from 0.16 to 0.80 and exhibited statistical significance (p < 0.01) (Figure 6). The results indicate that the vegetation distribution from 2020 to 2023 had a discernible spatial autocorrelation, presenting a clustered distribution. Moran’s I values for each index from 2020 to 2023 were consistently higher at the 100 m grid scale. Consequently, the 100 m grid was identified as the most suitable unit for autocorrelation analysis.

3.3.2. Temporal Variations

The temporal variations in the average landscape pattern indices of all grids in the study area are shown in Figure 7. (1) Staged expansion of vegetation cover area and dominant patches. The variation trends of TA and LPI were highly synchronized, showing a characteristic of rapid growth from 2020 to 2022 and a slight decline from 2022 to 2023. TA rose from 0.27 in 2020 to a peak of 0.55 in 2022 and fell to 0.42 in 2023. LPI increased from 24.54 in 2020 to 51.68 in 2022 and then decreased to 38.55 in 2023. The trend of “increasing and then stabilizing” reflects that, in the early stage of restoration (2020–2022), artificial measures drove the expansion of vegetation patches. In the later stage (2023), the dominant patches entered a stable adaptation stage through natural succession. (2) Continuous intensification of fragmentation and morphological complexity. ED, PD, and LSI showed a unidirectional trend continuously increasing from 164.94, 128.03, and 1.22 in 2020 to 216.67, 165.59, and 1.57 in 2023, respectively. The increase in ED and PD indicates that vegetation landscape fragmentation gradually intensified. The increase in LSI verifies that vegetation patch shapes evolved from artificial regularity to natural complexity. The integration of ED, PD, and LSI revealed the paradoxical synergy of “fragmentation-naturalization” during restoration. (3) Mutational response of landscape division. DIVISION remained stable from 2020 to 2022 (0.45 on average) and then rose abruptly to 0.54 in 2023 (increasing by 20%). This indicates that the probability of vegetation landscapes being divided into independent patches increased significantly in 2023. (4) Aggregation increased first and then decreased. AI increased from 58.17 in 2020 to 83.48 in 2022 and then decreased to 78.62 in 2023. This reflects that vegetation aggregation was first strengthened by engineering measures (2020–2022) and then stabilized by natural dispersal (2023).

3.3.3. Spatial Distribution

Local spatial autocorrelation was used to identify spatial heterogeneity by calculating local statistics for each unit. This study used Getis-Ord Gi* as the indicator to assess the aggregation/dispersion pattern of local spatial vegetation [28]. Once calculated, each statistical unit will have a Z-score that plays a pivotal role in identifying statistically significant hot and cold spots. A higher absolute Z-score signifies a more pronounced degree of aggregation in the variable value within this region. In this study, the significance of hot/cold grid units stemmed from their very high/low values of landscape pattern indices, which were consistently mirrored in the surrounding units.
Figure 8 shows the regional distribution of hot spots (GiZScore > 0) and cold spots (GiZScore < 0) of seven landscape pattern indices at the 100 m spatial grid. In 2020, vegetated areas showed significant spatial differentiation. TA and AI were dominated by hot spot grids, indicating that vegetation landscapes were characterized by a large patch size and high aggregation. The core vegetation distribution areas (the north and south of No. 3 mine field and the north-central area of No. 4 mine field) showed LPI hot spots and ED, PD, DIVISION, and LSI cold spots. This implies that continuous, complete, regular-shaped, and highly connected vegetation patches existed in the areas. In contrast, the other vegetation distribution areas showed a combination of LPI cold spots and ED, PD, DIVISION, and LSI hotspots, reflecting a fragmented, weakly connected, and irregular pattern of vegetation landscapes.
From 2020 to 2021, the landscape of the newly vegetated area varied in different mine fields and overall showed larger area, a concentrated distribution, better continuity, integrity, connectivity, and regularity, and significant vegetation landscape patterns. Specifically, at No. 3 mine field, the newly vegetated areas in the west-central and north-central areas (LPI cold spots; TA, ED, PD, DIVISION, LSI, and AI hot spots) covered large area and were concentrated, with poor continuity, connectivity, and regularity, and dispersed and fragmented features. The newly vegetated areas in the north, east-central, and southern areas (TA, LPI, and AI hot spots; ED, PD, DIVISION, and LSI cold spots) presented larger vegetation area and higher aggregation, with better continuity, integrity, connectivity, and regularity. At No. 4 mine field, the newly vegetated areas in the south and east (TA, LPI, and AI hot spots; ED, PD, DIVISION, and LSI cold spots) were characterized by large area, regular morphology, and complete and contiguous distribution. In contrast, the newly vegetated areas in the southwestern, east-central, and north-central areas (TA and LPI cold spots; ED, PD, DIVISION, LSI, and AI hot spots) were characterized by high aggregation, small area, fragmentation, and low continuity, connectivity, and regularity. At No. 5 mine field, the newly vegetated areas were dominated by TA, LPI, and AI hot spots and ED, PD, DIVISION, and LSI cold spots, with scattered TA and LPI cold spots and ED, PD, DIVISION, and LSI hot spots. This indicates that most of the areas had large vegetation areas, regular morphology, and complete and contiguous patterns, and some small, fragmented vegetation patches with poor continuity and regularity existed in local areas.
From 2021 to 2023, the spatial locations of hot- and cold-spot areas for each landscape index at all levels remained largely unchanged, and the number of grids exhibited only minor fluctuations. This indicates a stable overall spatial pattern and sustained vegetation restoration effectiveness in the mining area.

3.4. Fractional Vegetation Cover and Vegetation Landscape

Bivariate spatial autocorrelation analysis, developed from univariate spatial autocorrelation analysis, can characterize the spatial association and dependence of the spatial distribution between two variables [35], which is measured by Moran’s I. Bivariate local spatial autocorrelation can identify five types of spatial correlations: high-high (HH) and low-low (LL) positive correlations, low-high (LH) and high-low (HL) negative correlations, and no significant correlation. For example, LH indicates that the grid unit has very low values of landscape pattern indices, and its surrounding units have very high values of FVC.
Based on the bivariate local Moran’s I analysis on the GeoDa platform (significance level p ≤ 0.05), the cluster map (Local Indicators of Spatial Association (LISA)) of the local spatial autocorrelation of FVC with landscape pattern indices was determined under p ≤ 0.05 (confidence level ≥ 95%). According to the cluster map, the number of grids with HH positive spatial correlation between TA, LPI, AI, and FVC and the number of grids with LH negative spatial correlation between ED, PD, DIVISION, LSI, and FVC were counted (Figure 9). The HH cluster area (high TA/LPI/AI and high FVC) indicates that the core grid and its neighboring areas synchronously showed a vegetation landscape with high FVC, large contiguous patches, and high aggregation. The LH cluster area (low ED/PD/DIVISION/LSI and high FVC) demonstrates that regular patches with low edge density, low fragmentation, and high connectivity were accompanied by high vegetation cover in their peripheries.
Between 2020 and 2023, the number of grids with both high FVC and favorable landscape characteristics (large area, strong continuity, high aggregation, high integrity, good connectivity, and regular morphology) demonstrated a nonlinear N-shaped pattern of “rapid growth-short term decline-steady restoration” (Figure 9). This evolution suggests that the policy-driven ecological restoration project effectively promoted the spatial expansion of high-quality vegetation and ecosystem stability in the key mining area (Nos. 3, 4, and 5 mine fields). The mid-term fluctuations imply that local habitats were still fragile.

4. Discussion

(1) Vegetation expansion and FVC enhancement were related to the restoration measures and master plan of local governments. In August 2020, relevant departments issued the “Three-Year Action Plan for Comprehensive Improvement of the Ecological Environment in the Muli Coalfield and the Southern Foothills of the Qilian Mountains within Qinghai”. The plan has always adhered to the principles of integrity, systematization, dynamism, and the inherent laws of ecological and environmental systems. On the basis of coordinated planning, integrated treatment, and holistic restoration for mining pits and slag heaps, soil reconstruction, vegetation recovery, water environment, and resources, the site-specific restoration and management program of “one strategy per mining pit, one strategy per mine field” was formed. According to field-specified governance, at No. 5 mine field, most of the area, including mine pits and slag heaps, has been fully vegetated. Except for the area where water is diverted to form a plateau lake, No. 3 mine field has also been covered with vegetation. In contrast, at No. 4 mine fields, some mine pits and slag heaps had not undergone vegetation restoration.
(2) The variation in FVC and landscape pattern indices from 2020 to 2023 reveals that the vegetation ecology in the study area was progressing towards natural succession. It is necessary to further strengthen vegetation monitoring, emphasize vegetation protection and maintenance, and comprehensively improve regional ecological environment. Vegetation restoration from 2020 to 2023 was characterized by a rapid expansion of vegetation cover from 8.77 km2 to a peak of 17.93 km2, a rise in mean FVC from 0.33 to about 0.50, and a progressive diversification of landscape patterns. This can provide practical guidance for ecological restoration in high-altitude mining regions. Beyond huge changes (2020–2021) in vegetation cover area, FVC, and vegetation landscape, our integrated FVC–landscape pattern analysis revealed important internal heterogeneity during greening. From 2020 to 2021, hotspot analysis of landscape indices indicates that even within areas of net vegetation increase, differences remained in patch integrity, connectivity, and other attributes. For example, some areas exhibited compact, well-connected vegetation, whereas others remained relatively fragmented. During the relatively stable phase (2021–2023), although FVC did not change significantly, the vegetation landscape across the three mine fields underwent changes. The number of grid units where high FVC coincided with favorable landscape characteristics continued to fluctuate, also indicating ongoing spatial reorganization within apparently stable vegetation.
(3) The observed temporal changes in landscape pattern indices can be attributed to both engineering restoration measures and natural ecological processes. The marked increase in TA and LPI from 2020 mainly resulted from large-scale backfilling, slope reshaping, and intensive revegetation implemented during the early stage of the restoration project. These measures rapidly expanded continuous vegetation patches. After the major engineering interventions were completed, human-assisted planting slowed as natural succession processes began to dominate. Consequently, TA and LPI slightly decreased in 2023 as some artificial vegetation patches underwent thinning and structural adjustment. Meanwhile, the continuous rise in ED, PD, and LSI indicates increasing fragmentation and more complex patch boundaries. This reflects the natural growth and evolution of vegetation. The decrease in AI and the increase in DIVISION in 2023 further suggest that vegetation patches became more spatially dispersed, consistent with the transition from rapid engineering-driven restoration to a more mature and ecologically resilient landscape pattern.
(4) The monitoring frameworks integrating FVC and landscape indices provides effective multidimensional monitoring for vegetation restoration in mining areas. The findings in vegetation cover area, FVC, and vegetation landscape demonstrate that large-scale engineering measures (such as pit backfilling, slope reshaping, and intensive revegetation) trigger a swift early expansion of vegetation. Subsequent natural succession enhances structural heterogeneity and long-term ecological resilience. This also highlights the added value of multidimensional monitoring, which goes beyond macro-level vegetation cover to reveal micro-level spatial dynamics and ecosystem functioning. Future restoration projects should therefore combine short-term engineering interventions with long-term natural regulation and implement monitoring frameworks that integrate FVC and landscape indices to track both quantity and quality of vegetation restoration. The approach developed in this study provides a quantifiable decision-support tool for assessing ecological effectiveness, setting dynamic vegetation targets, and prioritizing maintenance measures. Beyond the Muli Coalfield, these insights can inform adaptive management and policy making for other alpine mining areas and similarly fragile ecosystems worldwide, contributing to long-term sustainability and carbon-neutral restoration goals.
(5) FVC and landscape pattern indices based on Sentinel-2 and GF data improved the cross-scale synergistic assessment capability of monitoring vegetation restoration in the mining area, especially for large-scale and long time-series monitoring. In addition to the advantages of short revisit period, free access, and high resolution, the narrow near-infrared band of Sentinel-2 (Band 8, centered at 842 nm) can provide higher sensitivity to low-density vegetation compared with the wide near-infrared band of GF satellites (770–890 nm) [36]. This is particularly advantageous in monitoring early-stage restoration in mining areas, where background interference from bare soil or rock is significant. Sentinel 2-based FVC can characterize trends in vegetation cover at the mine field at a macro level, indicating whether mine restoration induces regreening. The landscape pattern based on the GF data can further assess the restoration effectiveness of the regreening area at the micro level. This can comprehensively utilize the joint explanatory power of trends and details. For example, FVC in the study area remained stable from 2021 to 2023, whereas the fragmentation and morphological complexity of vegetation continued to increase.

5. Conclusions

In this study, for the main mine fields in the Jvhugeng mining area of the Muli Coalfield, FVC and landscape pattern indices were calculated by combining Sentinel 2 and GF satellite images. Then, the effectiveness and spatiotemporal dynamics of vegetation restoration from 2020 to 2023 were assessed. The following conclusions are obtained:
(1) Remarkable vegetation restoration with staged dynamics, and newly vegetated areas have high-quality vegetation patches. Vegetation cover extent increased from 8.77 km2 in 2020 to 17.93 km2 in 2022 and then stabilized at 13.48 km2 in 2023. Mean FVC rose from 0.33 to about 0.50, showing a pattern of “rapid expansion–short-term fluctuation–stable maintenance”. Newly vegetated areas displayed high FVC and favorable landscape features—large patch size, strong spatial aggregation, and good integrity and connectivity—mainly in the central area of No. 3 mine field, the southern and eastern area of No. 4 mine field, and almost the entire No. 5 mine field.
(2) Increasing structural heterogeneity and internal spatial reorganization. Despite overall stabilization of FVC after 2021, landscape indices (ED, PD, LSI) continued to rise, indicating progressive fragmentation and morphological complexity. Hotspot analyses further reveal that even within zones of net vegetation increase, patch integrity, connectivity, and other structural attributes differed. The number of grids where high FVC coincided with favorable landscape characteristics fluctuated slightly from 2021 to 2023, pointing to ongoing fine-scale spatial reorganization within apparently stable vegetation.
(3) Engineering interventions followed by natural succession jointly drove landscape changes. The early rapid increase in TA and LPI was mainly driven by engineering measures such as pit backfilling, slope reshaping, and intensive revegetation. After these interventions, natural succession became dominant, explaining the slight decrease in TA and LPI and the concurrent rise in DIVISION and decline of AI in 2023. This together marked a transition to a more mature and ecologically resilient vegetation pattern.
(4) Integrated monitoring framework guiding adaptive management. The integrated FVC-landscape index framework proved effective in capturing both macro-level greening trends and micro-level structural dynamics, providing a multi-dimensional and quantifiable tool for assessing ecological restoration. These findings can support adaptive management, offering scientific guidance for long-term vegetation maintenance in the Jvhugeng mining area and other fragile alpine mining regions worldwide.

Author Contributions

Conceptualization, methodology, formal analysis, and writing—original draft preparation, L.J.; writing—review and editing, supervision, and funding acquisition, L.C.; software, project administration, J.L.; validation, resources, S.J.; investigation, Y.Z.; data curation, Z.J.; visualization, C.Y. All authors have read and agreed to the published version of the manuscript.

Funding

This research was funded by National Key Research and Development Program of China (2022YFF1303305), Ministry-Province Cooperative Project under the Ministry of Natural Resources (2024ZRBSHZ098), and Science and Technology Innovation Project of China Coal Geology Administration (ZMKJ-2023-GJ02).

Data Availability Statement

The data presented in this study are available on request from the corresponding author.

Conflicts of Interest

The authors declare no conflicts of interest.

References

  1. Young, R.E.; Gann, G.D.; Walder, B.; Liu, J.; Cui, W.; Newton, V.; Nelson, C.R.; Tashe, N.; Jasper, D.; Silveira, F.A. International principles and standards for the ecological restoration and recovery of mine sites. Restor. Ecol. 2022, 30, e13771. [Google Scholar] [CrossRef]
  2. Wu, C.; Zhang, Y.; Zhang, J.; Chen, Y.; Duan, C.; Qi, J.; Cheng, Z.; Pan, Z. Comprehensive evaluation of the eco-geological environment in the concentrated mining area of mineral resources. Sustainability 2022, 14, 6808. [Google Scholar] [CrossRef]
  3. Chen, F.; Zhu, Y.; Bi, Y.; Yang, Y.; Ma, J.; Peng, S. High-priority actions to improve carbon sequestration potential for mining ecological restoration in China. Engineering 2025, 47, 16–21. [Google Scholar] [CrossRef]
  4. Chen, Z.; Yang, Y.; Zhou, L.; Hou, H.; Zhang, Y.; Liang, J.; Zhang, S. Ecological restoration in mining areas in the context of the Belt and Road initiative: Capability and challenges. Environ. Impact Assess. Rev. 2022, 95, 106767. [Google Scholar] [CrossRef]
  5. Song, D.; Hu, Z.; Zeng, J.; Sun, H. Influence of mining on vegetation in semi-arid areas of western China based on the coupling of above ground and below ground—A case study of Daliuta coalfield. Ecol. Indic. 2024, 161, 111964. [Google Scholar] [CrossRef]
  6. Fan, K.; Chu, H.; Eldridge, D.J.; Gaitan, J.J.; Liu, Y.-R.; Sokoya, B.; Wang, J.-T.; Hu, H.-W.; He, J.-Z.; Sun, W.; et al. Soil biodiversity supports the delivery of multiple ecosystem functions in urban greenspaces. Nat. Ecol. Evol. 2023, 7, 113–126. [Google Scholar] [CrossRef] [PubMed]
  7. Mao, Z.; Wang, M.; Chu, J.; Sun, J.; Liang, W.; Yu, H. Feature extraction and analysis of reclaimed vegetation in ecological restoration area of abandoned mines based on hyperspectral remote sensing images. J. Arid Land 2024, 16, 1409–1425. [Google Scholar] [CrossRef]
  8. Liu, J.; He, Z.; Shi, H.; Zhao, Y.; Wang, J.; Liu, A.; Li, L.; Zhu, R. The Analysis of Spatiotemporal Changes in Vegetation Coverage and Driving Factors in the Historically Affected Manganese Mining Areas of Yongzhou City, Hunan Province. Land 2025, 14, 133. [Google Scholar] [CrossRef]
  9. Yu, H.; Zahidi, I.; Chow, M.F. Vegetation as an ecological indicator in assessing environmental restoration in mining areas. iScience 2023, 26, 107667. [Google Scholar] [CrossRef] [PubMed]
  10. Hong, F.; He, G.; Wang, G.; Zhang, Z.; Peng, Y. Monitoring of Land Cover and Vegetation Changes in Juhugeng Coal Mining Area Based on Multi-Source Remote Sensing Data. Remote Sens. 2023, 15, 3439. [Google Scholar] [CrossRef]
  11. Zhang, M.; Wang, J.; Li, S. Tempo-spatial changes and main anthropogenic influence factors of vegetation fractional coverage in a large-scale opencast coal mine area from 1992 to 2015. J. Clean. Prod. 2019, 232, 940–952. [Google Scholar] [CrossRef]
  12. Feng, S.; Li, Z.; Zhang, C.; Qi, R.; Yang, L. Ecological restoration in high-altitude mining areas: Evaluation soil reconstruction and vegetation recovery in the Jiangcang coal mining area on the Qinghai-Tibet Plateau. Front. Environ. Sci. 2025, 12, 1538243. [Google Scholar] [CrossRef]
  13. Tang, Y.; Zhao, Y.; Li, Z.; He, M.; Sun, Y.; Hong, Z.; Ren, H. A Comprehensive Evaluation of Land Reclamation Effectiveness in Mining Areas: An Integrated Assessment of Soil, Vegetation, and Ecological Conditions. Remote Sens. 2025, 17, 1744. [Google Scholar] [CrossRef]
  14. Yu, H.; Zahidi, I.; Liang, D. Mine land reclamation, mine land reuse, and vegetation cover change: An intriguing case study in Dartford, the United Kingdom. Environ. Res. 2023, 225, 115613. [Google Scholar] [CrossRef]
  15. Zhang, S.; Fan, W.; Li, Y.; Yi, Y. The influence of changes in land use and landscape patterns on soil erosion in a watershed. Sci. Total Environ. 2017, 574, 34–45. [Google Scholar] [CrossRef]
  16. Zhang, W.; Yi, S.; Chen, J.; Qin, Y.; Chang, L.; Sun, Y.; Shangguan, D. Characteristics and controlling factors of alpine grassland vegetation patch patterns on the central Qinghai-Tibetan plateau. Ecol. Indic. 2021, 125, 107570. [Google Scholar] [CrossRef]
  17. Bi, Y.; Liu, T.; Pei, Y.; Wang, X.; Du, X. Landscape Analysis and Assessment of Ecosystem Stability Based on Land Use and Multitemporal Remote Sensing: A Case Study of the Zhungeer Open-Pit Coal Mining Area. Remote Sens. 2025, 17, 1162. [Google Scholar] [CrossRef]
  18. Xu, S.; Zhao, Q.; Ding, S.; Qin, M.; Ning, L.; Ji, X. Improving Soil and Water Conservation of Riparian Vegetation Based on Landscape Leakiness and Optimal Vegetation Pattern. Sustainability 2018, 10, 1571. [Google Scholar] [CrossRef]
  19. Yuan, M.; Ouyang, J.; Zheng, S.; Tian, Y.; Sun, R.; Bao, R.; Li, T.; Yu, T.; Li, S.; Wu, D.; et al. Research on Ecological Effect Assessment Method of Ecological Restoration of Open-Pit Coal Mines in Alpine Regions. Int. J. Environ. Res. Public Health 2022, 19, 7682. [Google Scholar] [CrossRef] [PubMed]
  20. Qian, D.; Yan, C.; Xing, Z.; Xiu, L. Monitoring coal mine changes and their impact on landscape patterns in an alpine region: A case study of the Muli coal mine in the Qinghai-Tibet Plateau. Environ. Monit. Assess. 2017, 189, 559. [Google Scholar] [CrossRef] [PubMed]
  21. Yuan, D.; Hu, Z.; Yang, K.; Guo, J.; Li, P.; Li, G.; Fu, Y. Assessment of the ecological impacts of coal mining and restoration in alpine areas: A case study of the Muli coalfield on the Qinghai-Tibet Plateau. IEEE Access 2021, 9, 162919–162934. [Google Scholar] [CrossRef]
  22. Xiao, W.; Guo, J.; He, T.; Lei, K.; Deng, X. Assessing the ecological impacts of opencast coal mining in Qinghai-Tibet Plateau-a case study in Muli coal field, China. Ecol. Indic. 2023, 153, 110454. [Google Scholar] [CrossRef]
  23. Stothard, P.; Shirani Faradonbeh, R. Application of UAVs in the mining industry and towards an integrated UAV-AI-MR technology for mine rehabilitation surveillance. Min. Technol. 2023, 132, 65–88. [Google Scholar] [CrossRef]
  24. Dang, T.M.; Nguyen, B.D. Applications of UAVs in mine industry: A scoping review. J. Sustain. Min. 2023, 22, 128–146. [Google Scholar] [CrossRef]
  25. Liu, X.; Zhou, W.; Bai, Z. Vegetation coverage change and stability in large open-pit coal mine dumps in China during 1990–2015. Ecol. Eng. 2016, 95, 447–451. [Google Scholar] [CrossRef]
  26. Zhang, Y.; Wang, Y.; Ding, N. Spatial effects of landscape patterns of urban patches with different vegetation fractions on urban thermal environment. Remote Sens. 2022, 14, 5684. [Google Scholar] [CrossRef]
  27. Wang, T.; Du, B.; Li, C.; Zhou, W.; Wang, H.; Lin, Z.; Zhao, X.; Xiong, T. Ecological environment rehabilitation management model and key technology in Plateau Alpine Coal Mine. J. China Coal Soc. 2021, 46, 230–244. [Google Scholar] [CrossRef]
  28. Ji, Z.; Ren, H.; Zha, C.; Adem, E.S. Monitoring Spatio-Temporal Variations of Ponds in Typical Rural Area in the Huai River Basin of China. Remote Sens. 2023, 16, 39. [Google Scholar] [CrossRef]
  29. Xiu, L.; Yao, X.; Chen, M.; Yan, C. Effect of ecological construction engineering on vegetation restoration: A case study of the loess plateau. Remote Sens. 2021, 13, 1407. [Google Scholar] [CrossRef]
  30. Liu, H.; Na, Y.; Wu, Y.; Li, Z.; Qu, Z.; Lv, S.; Jiang, R.; Sun, N.; Hao, D. Spatiotemporal Patterns of Vegetation Coverage and Its Response to Land-Use Change in the Agro-Pastoral Ecotone of Inner Mongolia, China. Land 2025, 14, 1202. [Google Scholar] [CrossRef]
  31. Chen, S.; Zhang, Q.; Chen, Y.; Zhou, H.; Xiang, Y.; Liu, Z.; Hou, Y. Vegetation Change and Eco-Environmental Quality Evaluation in the Loess Plateau of China from 2000 to 2020. Remote Sens. 2023, 15, 424. [Google Scholar] [CrossRef]
  32. McGarigal, K. FRAGSTATS: Spatial Pattern Analysis Program for Quantifying Landscape Structure; US Department of Agriculture, Forest Service, Pacific Northwest Research Station: Portland, OR, USA, 1995; Volume 351.
  33. Toosi, N.B.; Soffianian, A.R.; Fakheran, S.; Waser, L.T. Mapping disturbance in mangrove ecosystems: Incorporating landscape metrics and PCA-based spatial analysis. Ecol. Indic. 2022, 136, 108718. [Google Scholar] [CrossRef]
  34. Teng, M.; Zeng, L.; Zhou, Z.; Wang, P.; Xiao, W.; Dian, Y. Responses of landscape metrics to altering grain size in the Three Gorges Reservoir landscape in China. Environ. Earth Sci. 2016, 75, 1055. [Google Scholar] [CrossRef]
  35. Anselin, L.; Syabri, I.; Kho, Y. GeoDa: An Introduction to Spatial Data Analysis. Geogr. Anal. 2006, 38, 5–22. [Google Scholar] [CrossRef]
  36. Arasumani, M.; Kumaresan, M.; Gupta, A.; Anaswara, A. Mapping the fraction of invasive species to prioritise restoration areas of coastal wetland vegetation communities in a Ramsar site using Sentinel-2 images with machine learning regression. Biol. Invasions 2025, 27, 170. [Google Scholar] [CrossRef]
Figure 1. Location of the Jvhugeng mining area and distribution of the study areas (i.e., Nos. 3, 4, and 5 mine fields).
Figure 1. Location of the Jvhugeng mining area and distribution of the study areas (i.e., Nos. 3, 4, and 5 mine fields).
Land 14 02151 g001
Figure 2. Vegetation spatial distribution from 2020 to 2023 (ad) and the newly vegetated areas and the stabilized vegetation areas from 2020 to 2021 (e,f).
Figure 2. Vegetation spatial distribution from 2020 to 2023 (ad) and the newly vegetated areas and the stabilized vegetation areas from 2020 to 2021 (e,f).
Land 14 02151 g002
Figure 3. Variation trend of average FVC of the three mine fields in the Jvhugeng mining area from 2020 to 2023.
Figure 3. Variation trend of average FVC of the three mine fields in the Jvhugeng mining area from 2020 to 2023.
Land 14 02151 g003
Figure 4. Spatial distribution of FVC in the Jvhugeng mining area from 2020 to 2023.
Figure 4. Spatial distribution of FVC in the Jvhugeng mining area from 2020 to 2023.
Land 14 02151 g004
Figure 5. Changes in the area of FVC at different levels in the Jvhugeng mining area from 2020 to 2023.
Figure 5. Changes in the area of FVC at different levels in the Jvhugeng mining area from 2020 to 2023.
Land 14 02151 g005
Figure 6. Global Moran’s I of each landscape pattern index at five grid scales.
Figure 6. Global Moran’s I of each landscape pattern index at five grid scales.
Land 14 02151 g006
Figure 7. Temporal variations in landscape pattern indices from 2020 to 2023 in the Jvhugeng mining area.
Figure 7. Temporal variations in landscape pattern indices from 2020 to 2023 in the Jvhugeng mining area.
Land 14 02151 g007
Figure 8. Clustered distributions of vegetation spatial hot spots and cold spots at a 100 m grid.
Figure 8. Clustered distributions of vegetation spatial hot spots and cold spots at a 100 m grid.
Land 14 02151 g008
Figure 9. Grid count statistical chart of spatial correlation between FVC and landscape pattern indices at the 100 m grid scale. The bar chart shows the number of grids with significant spatial correlation with FVC: “high-high” positive correlation (TA/LPI/AI) and “low-high” negative correlation (ED/PD/DIVISION/LSI).
Figure 9. Grid count statistical chart of spatial correlation between FVC and landscape pattern indices at the 100 m grid scale. The bar chart shows the number of grids with significant spatial correlation with FVC: “high-high” positive correlation (TA/LPI/AI) and “low-high” negative correlation (ED/PD/DIVISION/LSI).
Land 14 02151 g009
Table 1. Specific information of remote sensing image data.
Table 1. Specific information of remote sensing image data.
SatelliteSensorsResolution (m)TimeAcquisition Path
Sentinel-2MSI1013 August 2020
7 September 2021
9 July 2022
12 September 2022
22 September 2022
28 August 2023
12 September 2023
https://earthengine.google.com/
(accessed on 9 October 2024)
GF-1DPMS230 August 2020http://data.cresda.cn/#/home
(accessed on 15 October 2024)
GF-6PMS226 August 2021
GF-1PMS220 July 2022
22 July 2022
10 October 2022
GF-1BPMS229 July 2023
Table 2. Landscape pattern index at the category level and its ecological significance.
Table 2. Landscape pattern index at the category level and its ecological significance.
MetricDescriptionEcological Significance
Total area (TA)Sum of the areas of all vegetation patchesThe larger the TA, the more extensive the vegetation cover
Largest patch index (LPI)Percentage of the landscape covered by the largest vegetation patchThe larger the LPI, the higher the continuity of vegetation cover
Edge density (ED)Edge length between patches of heterogeneous landscape elements per unit area of landscapeHigh ED indicates severe patch fragmentation, which is not conducive to ecological stability; lower ED indicates that vegetation tends to be contiguously patchy
Patch density (PD)Number of vegetation patches per unit areaHigher PD indicates a more fragmented landscape
Landscape division index (DIVISION)Probability of the vegetation landscape being divided into independent patchesDIVISION characterizes the degree of patch separation, with larger values indicating less landscape connectivity
Landscape shape index (LSI)Ratio of the total edge length of the landscape to the minimum possible edge lengthLarger LSI indicates more complex and irregularly shaped plaques
Aggregation index (AI)Proportion of adjacencies between patches of the same class to their maximum possible adjacenciesAI measures the degree of aggregation of vegetation patches, with larger values indicating more concentrated vegetation cover
Table 3. Accuracy evaluation of the vegetation extraction results.
Table 3. Accuracy evaluation of the vegetation extraction results.
YearKappaOA (%)
20200.9096
20210.9096
20220.9598
20231.00100
Disclaimer/Publisher’s Note: The statements, opinions and data contained in all publications are solely those of the individual author(s) and contributor(s) and not of MDPI and/or the editor(s). MDPI and/or the editor(s) disclaim responsibility for any injury to people or property resulting from any ideas, methods, instructions or products referred to in the content.

Share and Cite

MDPI and ACS Style

Ju, L.; Chen, L.; Liu, J.; Jiao, S.; Zhang, Y.; Ji, Z.; Yue, C. Evaluation of Vegetation Restoration Effectiveness in the Jvhugeng Mining Area of the Muli Coalfield Based on Sentinel-2 and Gaofen Data. Land 2025, 14, 2151. https://doi.org/10.3390/land14112151

AMA Style

Ju L, Chen L, Liu J, Jiao S, Zhang Y, Ji Z, Yue C. Evaluation of Vegetation Restoration Effectiveness in the Jvhugeng Mining Area of the Muli Coalfield Based on Sentinel-2 and Gaofen Data. Land. 2025; 14(11):2151. https://doi.org/10.3390/land14112151

Chicago/Turabian Style

Ju, Linxue, Lei Chen, Junxing Liu, Sen Jiao, Yanxu Zhang, Zhonglin Ji, and Caiya Yue. 2025. "Evaluation of Vegetation Restoration Effectiveness in the Jvhugeng Mining Area of the Muli Coalfield Based on Sentinel-2 and Gaofen Data" Land 14, no. 11: 2151. https://doi.org/10.3390/land14112151

APA Style

Ju, L., Chen, L., Liu, J., Jiao, S., Zhang, Y., Ji, Z., & Yue, C. (2025). Evaluation of Vegetation Restoration Effectiveness in the Jvhugeng Mining Area of the Muli Coalfield Based on Sentinel-2 and Gaofen Data. Land, 14(11), 2151. https://doi.org/10.3390/land14112151

Note that from the first issue of 2016, this journal uses article numbers instead of page numbers. See further details here.

Article Metrics

Back to TopTop