Measuring Urban–Peripheral Disparities in Fresh Food Access: Spatial Equity Analysis of Wet Markets in Shanghai
Abstract
1. Introduction
2. Literature Review
2.1. Roles of Wet Markets in Urban Food Systems
2.2. Spatial Accessibility: Concepts and Methods
2.3. Spatial Equity: Concepts and Methods
3. Materials and Methods
3.1. Research Framework
3.2. Study Area
3.3. Data Source
3.4. Measurement of Accessibility and Equity
3.4.1. Gaussian Two-Step Floating Catchment Area (2SFCA) Method and Accessibility by Transportation Mode
3.4.2. Outlier Detection
3.4.3. Equity Evaluation: Coefficient of Variation (CoV) and Gini Coefficient
4. Results
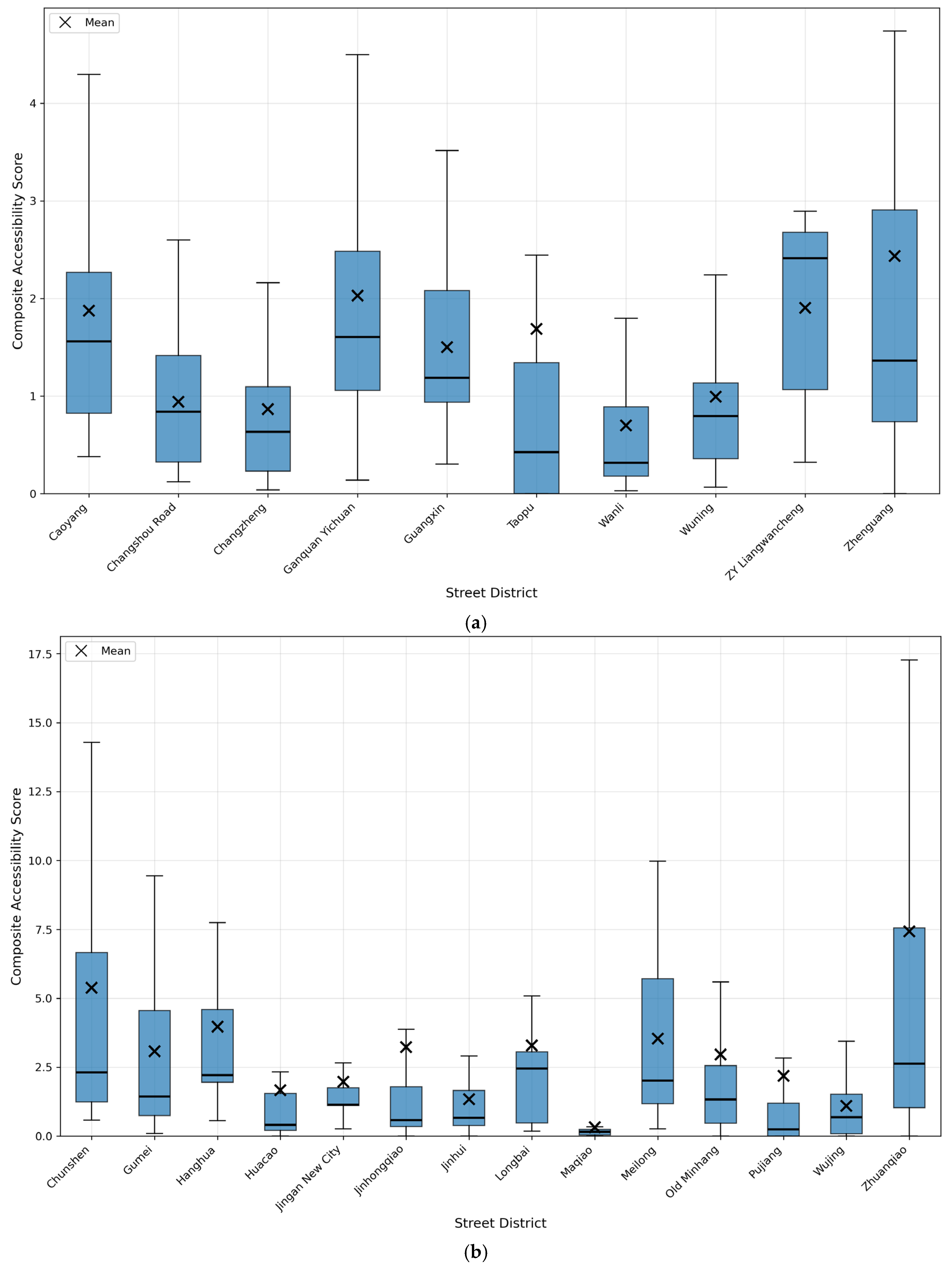
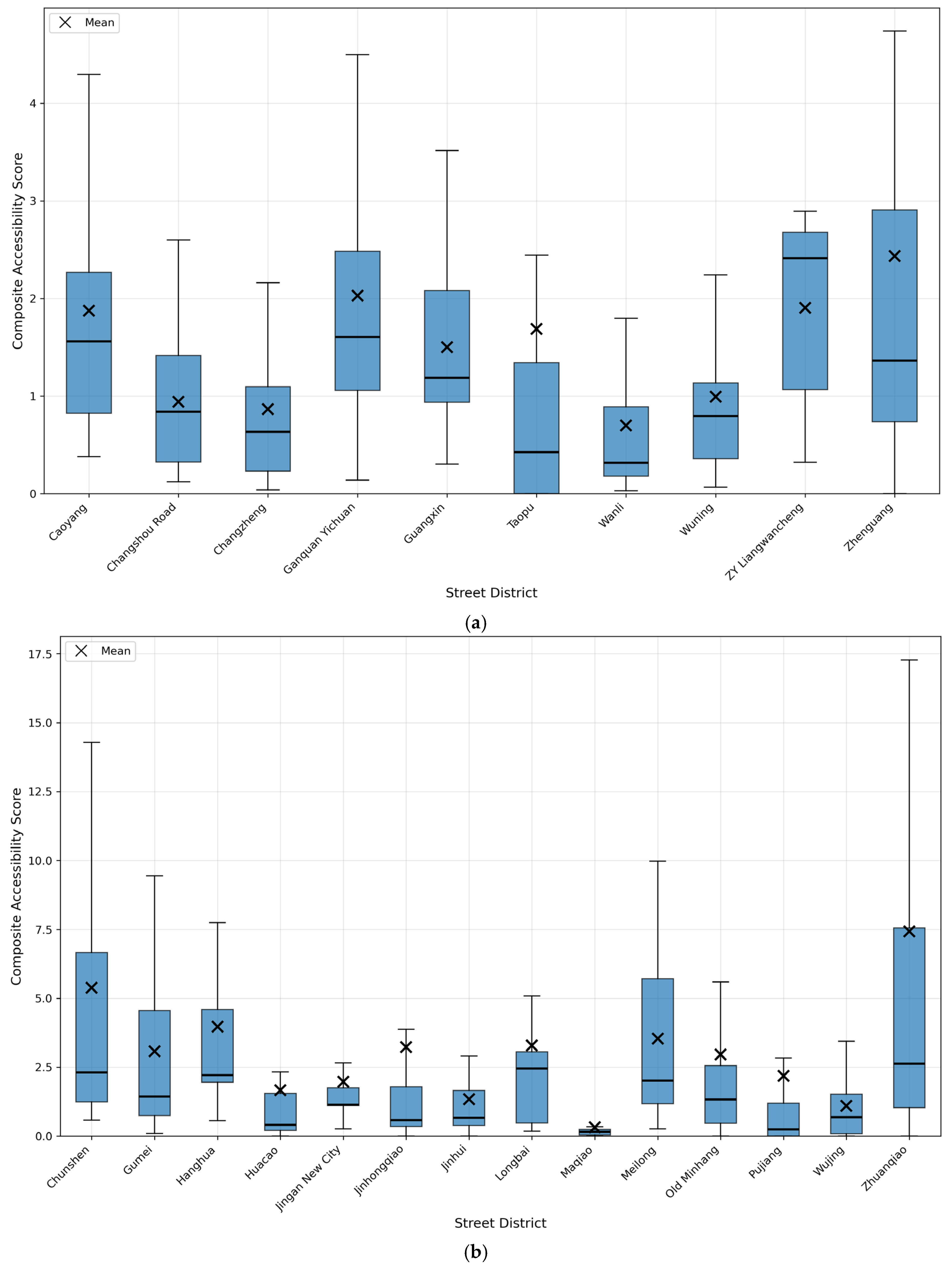
4.1. Accessibility Analysis
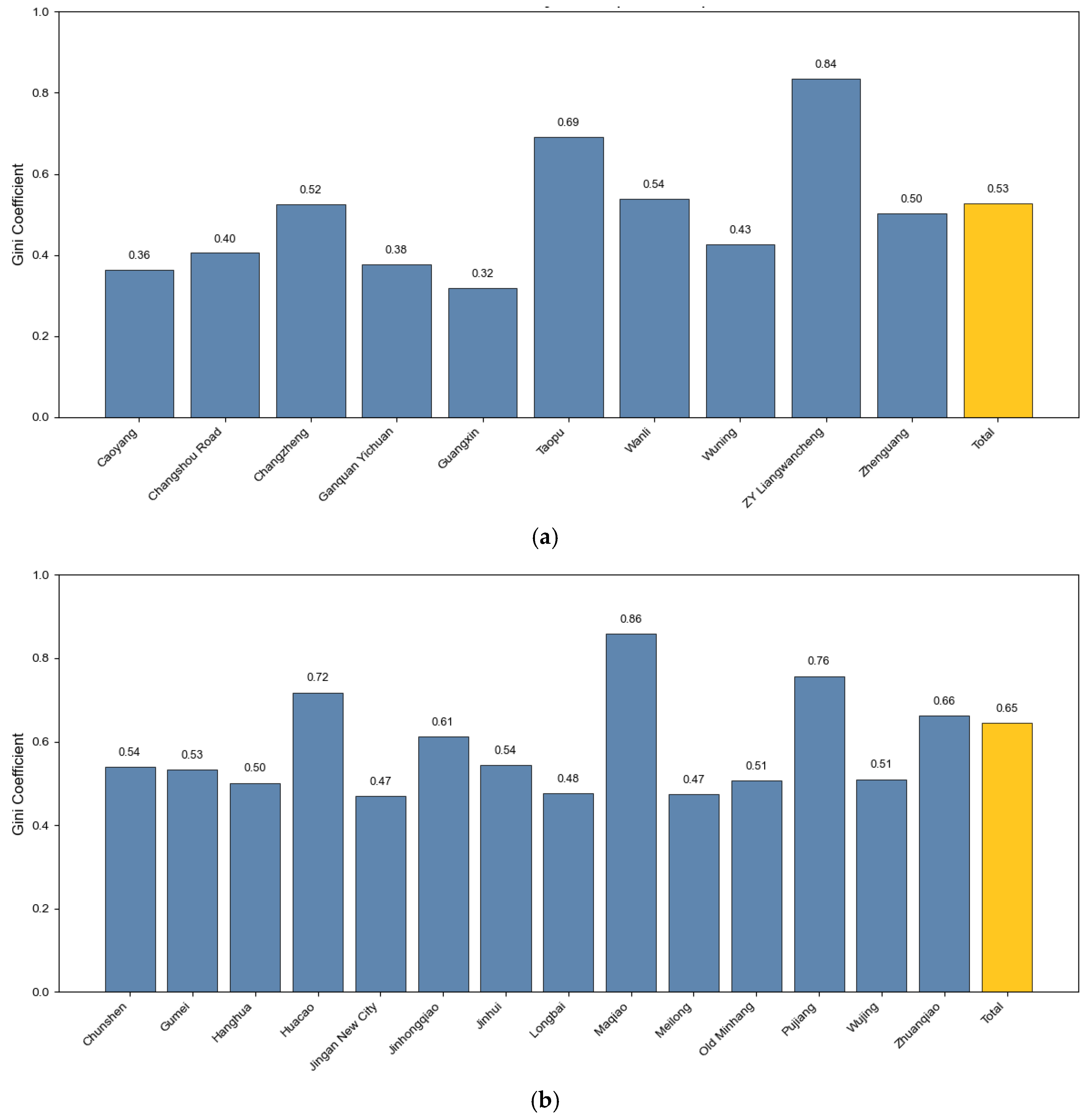
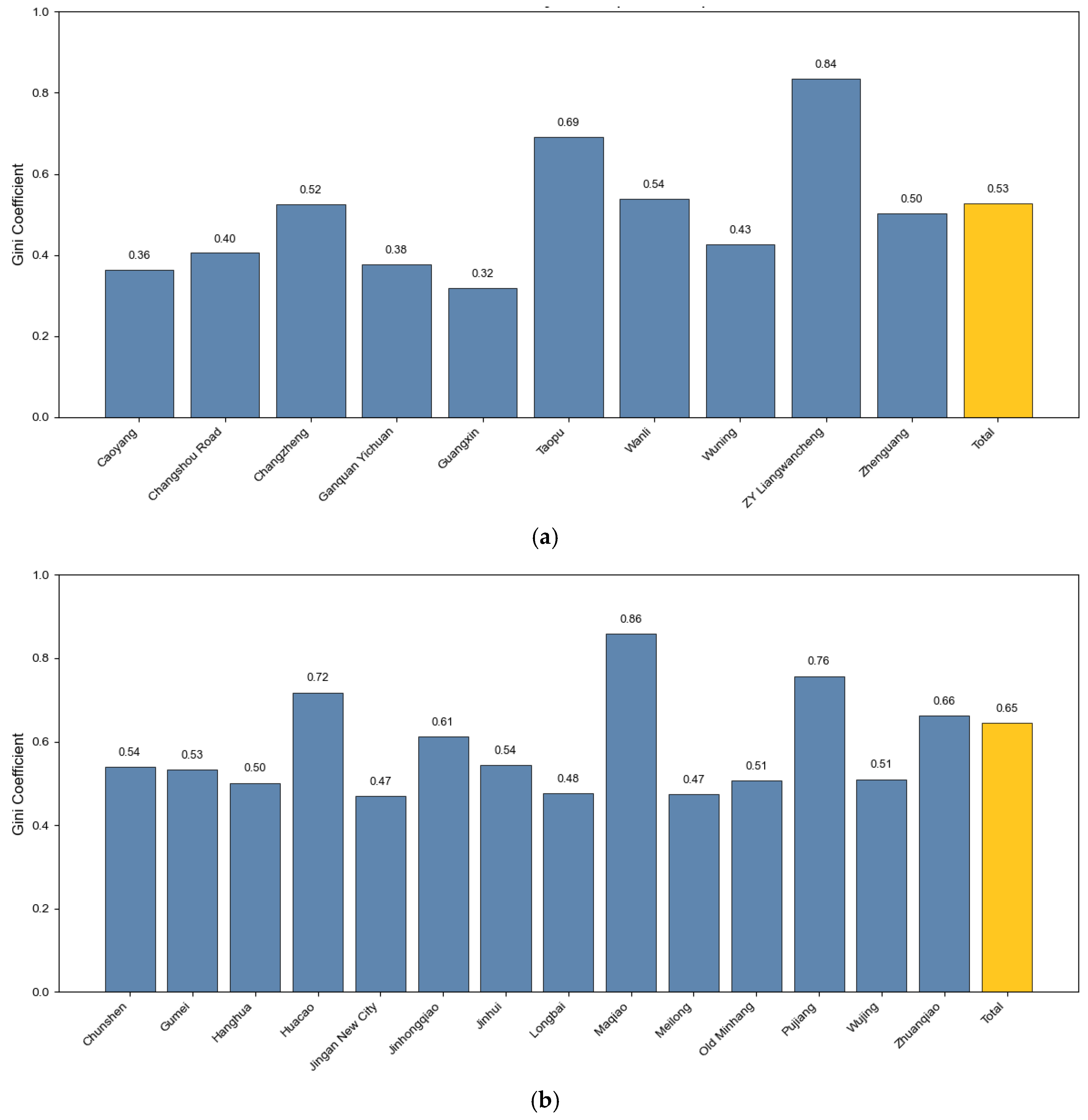
4.2. Equity Analysis
4.3. Accessibility–Equity Relationship
4.4. Spatial Distribution of Accessibility
4.5. Building Age and Accessibility
5. Discussion
5.1. Reinterpreting the Urban Core–Peripheral Divide
5.2. Policy Implications
5.3. Limitations and Future Research
6. Conclusions
Author Contributions
Funding
Conflicts of Interest
References
- Sonnino, R. Food system transformation: Urban perspectives. Cities 2023, 134, 104164. [Google Scholar] [CrossRef]
- Qi, X.; Si, Z.; Zhong, T.; Huang, X.; Crush, J. Spatial determinants of urban wet market vendor profit in Nanjing, China. Habitat Int. 2019, 94, 102064. [Google Scholar] [CrossRef]
- Zhong, T.; Si, Z.; Crush, J.; Xu, Z.; Huang, X.; Scott, S.; Zhang, X. The impact of proximity to wet markets and supermarkets on household dietary diversity in Nanjing City, China. Sustainability 2018, 10, 1465. [Google Scholar] [CrossRef]
- Zhong, S.; Crang, M.; Zeng, G. Constructing freshness: The vitality of wet markets in urban China. Agric. Human Values 2020, 37, 175–185. [Google Scholar] [CrossRef]
- Shanghai Urban Planning and Land Resources Administration Bureau. Planning Guidance of 15-Minute Community-Life Circle—Planning and Construction Guidance, Action Guidelines; Shanghai Urban Planning and Land Resources Administration Bureau: Shanghai, China, 2016.
- Shanghai Municipal Commission of Commerce. Shanghai Standard Wet Market Renewal and Upgrade Plan. Available online: https://www.shanghai.gov.cn/gwk/search/content/459d1edc79634ae6b9d4aa69f5d90210 (accessed on 20 October 2025).
- Chen, Y. Neighborhood form and residents’ walking and biking distance to food markets: Evidence from Beijing, China. Transp. Policy 2019, 81, 340–349. [Google Scholar] [CrossRef]
- Si, Z.; Scott, S.; McCordic, C. Wet markets, supermarkets and alternative food sources: Consumers’ food access in Nanjing, China. Can. J. Dev. Stud. 2019, 40, 78–96. [Google Scholar] [CrossRef]
- Zhang, Q.F.; Pan, Z. The transformation of urban vegetable retail in China: Wet markets, supermarkets and informal markets in Shanghai. J. Contemp. Asia 2013, 43, 497–518. [Google Scholar] [CrossRef]
- Everts, J.; Jackson, P.; Juraschek, K.A. The socio-material practices of the transformation of urban food markets. Area 2021, 53, 389–397. [Google Scholar] [CrossRef]
- Mele, C.; Ng, M.; Chim, M.B. Urban markets as a ’corrective’ to advanced urbanism: The social space of wet markets in contemporary Singapore. Urban Stud. 2015, 52, 103–120. [Google Scholar] [CrossRef]
- Nicholls, S. Measuring the accessibility and equity of public parks: A case study using GIS. Manag. Leisure 2001, 6, 201–219. [Google Scholar] [CrossRef]
- Yang, N.; Shen, L.; Shu, T.; Liao, S.; Peng, Y.; Wang, J. An integrative method for analyzing spatial accessibility in the hierarchical diagnosis and treatment system in China. Soc. Sci. Med. 2021, 270, 113656. [Google Scholar] [CrossRef]
- Zhang, M.; Li, Z.; Peng, H. The accessibility analysis of multiple public facilities in the central urban areas based on multi-transportation modes: A study in Chengdu. Trans. GIS 2023, 27, 2213–2233. [Google Scholar] [CrossRef]
- Luo, W.; Qi, Y. An enhanced two-step floating catchment area (E2SFCA) method for measuring spatial accessibility to primary care physicians. Health Place 2009, 15, 1100–1107. [Google Scholar] [CrossRef]
- Gorton, M.; Sauer, J.; Supatpongkul, P. Wet markets, supermarkets and the "big middle" for food retailing in developing countries: Evidence from Thailand. World Dev. 2011, 39, 1624–1637. [Google Scholar] [CrossRef]
- Anku, E.K.; Ahorbo, G.K. Conflict between supermarkets and wet-markets in Ghana: Early warning signals and preventive policy recommendations. Int. J. Bus. Soc. Res. 2017, 7, 1–17. [Google Scholar] [CrossRef]
- Battersby, J. The food desert as a concept and policy tool in African cities: An opportunity and a risk. Sustainability 2019, 11, 458. [Google Scholar] [CrossRef]
- Battersby, J.; Crush, J. Africa’s urban food deserts. In Urban Forum; Springer: Dordrecht, The Netherlands, 2014; Volume 25, pp. 143–151. [Google Scholar]
- Zhen, C. Food deserts: Myth or reality? Annu. Rev. Resour. Econ. 2021, 13, 109–129. [Google Scholar] [CrossRef]
- Stanley, A.K.; Hadi, Y.; Newbold, D.; Heuvelman, H.; Krige, A. Identifying predictors for food insecurity in England: A cross-sectional database analysis. J. Health Popul. Nutr. 2025, 44, 53. [Google Scholar] [CrossRef] [PubMed]
- Janatabadi, F.; Newing, A.; Ermagun, A. Social and spatial inequalities of contemporary food deserts: A compound of store and online access to food in the United Kingdom. Appl. Geogr. 2024, 163, 103184. [Google Scholar] [CrossRef]
- Teixeira, V.A.V.; Ribeiro, N.F. The lamprey and the partridge: A multi-sited ethnography of food tourism as an agent of preservation and disfigurement in Central Portugal. J. Herit. Tour. 2013, 8, 193–212. [Google Scholar] [CrossRef]
- Bakri, A.F.; Ibrahim, N.; Ahmad, S.S.; Zaman, N.Q. Public perception on the cultural significance of heritage buildings in Kuala Lumpur. Procedia Soc. Behav. Sci. 2015, 202, 294–302. [Google Scholar] [CrossRef][Green Version]
- Geng, X.; Chen, K.; Fukuda, S.; Moritaka, M.; Liu, R.; Wei, A. Retail of Fresh Vegetables in China: Why Wet Markets Are Not Replaceable by Supermarkets? Faculty of Agriculture, Kyushu University: Fukuoka, Japan, 2020. [Google Scholar][Green Version]
- Li, L.; Wang, D. Do neighborhood food environments matter for eating through online-to-offline food delivery services? Appl. Geogr. 2022, 138, 102620. [Google Scholar] [CrossRef]
- Farrington, J.H. The new narrative of accessibility: Its potential contribution to discourses in (transport) geography. J. Transp. Geogr. 2007, 15, 319–330. [Google Scholar] [CrossRef]
- Páez, A.; Scott, D.M.; Morency, C. Measuring accessibility: Positive and normative implementations of various accessibility indicators. J. Transp. Geogr. 2012, 25, 141–153. [Google Scholar] [CrossRef]
- Panagiotopoulos, G.; Kaliampakos, D. Accessibility and spatial inequalities in Greece. Appl. Spat. Anal. Policy 2019, 12, 567–586. [Google Scholar] [CrossRef]
- Zhou, H.; Li, X.N. Research on vegetable market layout planning strategy from the perspective of resource allocation: Taking Yuhong district in Shenyang as an example. City House 2021, 9, 108–111. [Google Scholar]
- Sun, B.L.; Zhang, H.; Li, L. The spatial distribution equity of wet markets in central urban district in Tianjin based on GIS analysis. Planners’ J. 2015, 31, 298–304. (In Chinese) [Google Scholar]
- Liang, H.; Zhang, Q. Assessing the public transport service to urban parks on the basis of spatial accessibility for citizens in the compact megacity of Shanghai, China. Urban Stud. 2018, 55, 1983–1999. [Google Scholar] [CrossRef]
- Hare, T.S.; Barcus, H.R. Geographical accessibility and Kentucky’s heart-related hospital services. Appl. Geogr. 2007, 27, 181–205. [Google Scholar] [CrossRef]
- Jin, H.; Lu, Y. Multi-mode huff-based 2SFCA: Examining geographical accessibility to food outlets in austin, Texas. ISPRS Int. J. Geo-Inf. 2022, 11, 579. [Google Scholar] [CrossRef]
- Li, J.; Kim, C. Exploring relationships of grocery shopping patterns and healthy food accessibility in residential neighborhoods and activity space. Appl. Geogr. 2020, 116, 102169. [Google Scholar] [CrossRef]
- Ng, K.; Chen, C.; Jenelius, E. The 15-minute city around one’s trajectory: Evaluating food accessibility for transit users in Stockholm, Sweden. J. Transp. Geogr. 2025, 127, 104283. [Google Scholar] [CrossRef]
- Radke, J.; Mu, L. Spatial decompositions, modeling and mapping service regions to predict access to social programs. Geogr. Inf. Sci. 2000, 6, 105–112. [Google Scholar] [CrossRef]
- Cheng, G.; Zeng, X.; Duan, L.; Lu, X.; Sun, H.; Jiang, T.; Li, Y. Spatial difference analysis for accessibility to high level hospitals based on travel time in Shenzhen, China. Habitat Int. 2016, 53, 485–494. [Google Scholar] [CrossRef]
- Gu, X.; Tao, S.; Dai, B. Spatial accessibility of country parks in Shanghai, China. Urban For. Urban Green. 2017, 27, 373–382. [Google Scholar] [CrossRef]
- Ashik, F.R.; Mim, S.A.; Neema, M.N. Towards vertical spatial equity of urban facilities: An integration of spatial and aspatial accessibility. J. Urban Manag. 2020, 9, 77–92. [Google Scholar] [CrossRef]
- Liang, H.; Yan, Q.; Yan, Y.; Zhang, Q. Using an improved 3SFCA method to assess inequities associated with multimodal accessibility to green spaces based on mismatches between supply and demand in the metropolitan of Shanghai, China. Sustain. Cities Soc. 2023, 91, 104456. [Google Scholar] [CrossRef]
- Tahmasbi, B.; Mansourianfar, M.H.; Haghshenas, H.; Kim, I. Multimodal accessibility-based equity assessment of urban public facilities distribution. Sustain. Cities Soc. 2019, 49, 101633. [Google Scholar] [CrossRef]
- Litman, T. Evaluating Transportation Equity: Guidance for Incorporating Distributional Impacts in Transportation Planning; Victoria Transport Policy Institute: Victoria, BC, Canada, 2007. [Google Scholar]
- Jin, M.; Liu, L.; Tong, D.; Gong, Y.; Liu, Y. Evaluating the spatial accessibility and distribution balance of multi-level medical service facilities. Int. J. Environ. Res. Public Health 2019, 16, 1150. [Google Scholar] [CrossRef] [PubMed]
- Jang, S.; An, Y.; Yi, C.; Lee, S. Assessing the spatial equity of Seoul’s public transportation using the Gini coefficient based on its accessibility. Int. J. Urban Sci. 2017, 21, 91–107. [Google Scholar] [CrossRef]
- Wu, J.; Chen, H.; Wang, H.; He, Q.; Zhou, K. Will the opening community policy improve the equity of green accessibility and in what ways?—Response based on a 2-step floating catchment area method and genetic algorithm. J. Clean. Prod. 2020, 263, 121454. [Google Scholar] [CrossRef]
- Ou, G.; Zhou, M.; Zeng, Z.; He, Q.; Yin, C. Is there an equality in the spatial distribution of urban vitality: A case study of Wuhan in China. Open Geosci. 2021, 13, 469–481. [Google Scholar] [CrossRef]
- Survey Office of the National Bureau of Statistics in Shanghai. 2020 Shanghai Statistical Yearbook; China Statistic Press: Beijing, China, 2021.
- Wang, L.; He, S.; Zhao, C.; Su, S.; Weng, M.; Li, G. Unraveling urban food availability dynamics and associated social inequalities: Towards a sustainable food environment in a developing context. Sustain. Cities Soc. 2022, 77, 103591. [Google Scholar] [CrossRef]
- Wei, Y.; Ning, S. Establishment and analysis of the supernetwork model for Nanjing metro transportation system. Complexity 2018, 2018, 4860531. [Google Scholar] [CrossRef]
- Zhang, D.M.; Du, F.; Huang, H.; Zhang, F.; Ayyub, B.M.; Beer, M. Resiliency assessment of urban rail transit networks: Shanghai metro as an example. Saf. Sci. 2018, 106, 230–243. [Google Scholar] [CrossRef]
- Fan, N.; Chen, X.; Tian, T.; Zhao, S. Comparison of the transportation network for public transit and private vehicles in Shanghai: An accessibility approach. Heliyon 2024, 10, e24886. [Google Scholar] [CrossRef]
- Yuan, H.; Deng, L.; Li, X.H. GIS-based accessibility analysis of public libraries: A case study of Nanjing City. Lib. Res. 2020, 50, 1–9. (In Chinese) [Google Scholar]
- Sun, P.; Chawla, S. On local spatial outliers. In Proceedings of the Fourth IEEE International Conference on Data Mining, Brighton, UK, 1–4 November 2004; pp. 209–216. [Google Scholar]
- Deng, Y.; Liu, J.; Luo, A.; Wang, Y.; Xu, S.; Ren, F.; Su, F. Spatial mismatch between the supply and demand of urban leisure services with multisource open data. ISPRS Int. J. Geo-Inf. 2020, 9, 466. [Google Scholar] [CrossRef]
- Egidi, G.; Cividino, S.; Quaranta, G.; Alhuseen, A.; Salvati, L. Land mismatches, urban growth and spatial planning: A contribution to metropolitan sustainability. Environ. Impact Assess. Rev. 2020, 84, 106439. [Google Scholar] [CrossRef]
- Wang, Z.; Liu, C.; Tian, Y. The Effect of Urban–Rural Public Service Gaps on Consumption Gaps Under the Perspective of Sustainable Development: Evidence from China. Sustainability 2025, 17, 6148. [Google Scholar] [CrossRef]
- Krugman, P. Increasing returns and economic geography. J. Polit. Econ. 1991, 99, 483–499. [Google Scholar] [CrossRef]
- Pow, C.-P. Gated Communities in China: Class, Privilege and the Moral Politics of the Good Life; Routledge: London, UK, 2009. [Google Scholar]
- Wang, Q.C.; Wan, L. Activity-Based Models for Smart and Sustainable Urban Environment. In Routledge Handbook of Smart Built Environment; Routledge: London, UK, 2025; pp. 220–242. [Google Scholar]
- Wang, Q.C.; Sun, M.; Liu, X.; Tao, F.; Yang, D.; Bardhan, R. Reflecting City Digital Twins (CDTs) for sustainable urban development: Roles, challenges and directions. Digit. Eng. 2025, 5, 100035. [Google Scholar] [CrossRef]
- He, P.; Wang, Q.; Wang, H.; Xue, J.; Bao, H.X.; Shen, G.Q.; Guo, S.; Ni, M.; Wang, S. From participation to partnership: A systematic review of public engagement in sustainable urban planning. Environ. Impact Assess. Rev. 2026, 117, 108187. [Google Scholar] [CrossRef]
- Mouratidis, K. Time to challenge the 15-minute city: Seven pitfalls for sustainability, equity, livability, and spatial analysis. Cities 2024, 153, 105274. [Google Scholar] [CrossRef]













| Travel Mode | Putuo | Minhang |
|---|---|---|
| Public Transport—Average | 0.567 | 2.831 |
| Public Transport—CoV | 3.519 | 6.851 |
| Cycling—Average | 1.477 | 3.361 |
| Cycling—CoV | 0.647 | 1.598 |
| Walking—Average | 1.536 | 3.005 |
| Walking—CoV | 1.625 | 3.173 |
| Composite—Average | 1.475 | 3.335 |
| Composite—CoV | 1.212 | 2.738 |
| t-statistic | −6.144594 |
| Degrees of freedom (Welch) | 1069.9 |
| p-value | 0.0000 |
| Effect size (Cohen’s d) | −0.2598 |
| Category | District | Count | Mean | Std | Median |
|---|---|---|---|---|---|
| New Housing | Minhang | 134 | 1.251 | 2.769 | 0.306 |
| Putuo | 50 | 1.419 | 1.989 | 0.875 | |
| Standard Housing | Minhang | 555 | 3.417 | 8.149 | 1.140 |
| Putuo | 235 | 1.412 | 1.907 | 0.840 | |
| Old Housing | Minhang | 262 | 3.678 | 8.080 | 1.436 |
| Putuo | 359 | 1.490 | 1.565 | 1.135 |
| District | Significant Pairs | p-Value | Median Comparison |
|---|---|---|---|
| Minhang | New vs. Standard Housing | <0.001 | 0.306 < 1.140 |
| New vs. Old Housing | <0.001 | 0.306 < 1.436 | |
| Standard vs. Old Housing | 1.000 | 1.140 ≈ 1.436 | |
| Putuo | Standard vs. Old Housing | 0.008 | 0.840 < 1.135 |
Disclaimer/Publisher’s Note: The statements, opinions and data contained in all publications are solely those of the individual author(s) and contributor(s) and not of MDPI and/or the editor(s). MDPI and/or the editor(s) disclaim responsibility for any injury to people or property resulting from any ideas, methods, instructions or products referred to in the content. |
© 2025 by the authors. Licensee MDPI, Basel, Switzerland. This article is an open access article distributed under the terms and conditions of the Creative Commons Attribution (CC BY) license (https://creativecommons.org/licenses/by/4.0/).
Share and Cite
Liu, Y.; Wang, Q.-C.; Zhang, K. Measuring Urban–Peripheral Disparities in Fresh Food Access: Spatial Equity Analysis of Wet Markets in Shanghai. Land 2025, 14, 2107. https://doi.org/10.3390/land14112107
Liu Y, Wang Q-C, Zhang K. Measuring Urban–Peripheral Disparities in Fresh Food Access: Spatial Equity Analysis of Wet Markets in Shanghai. Land. 2025; 14(11):2107. https://doi.org/10.3390/land14112107
Chicago/Turabian StyleLiu, Yuefu, Qian-Cheng Wang, and Kexin Zhang. 2025. "Measuring Urban–Peripheral Disparities in Fresh Food Access: Spatial Equity Analysis of Wet Markets in Shanghai" Land 14, no. 11: 2107. https://doi.org/10.3390/land14112107
APA StyleLiu, Y., Wang, Q.-C., & Zhang, K. (2025). Measuring Urban–Peripheral Disparities in Fresh Food Access: Spatial Equity Analysis of Wet Markets in Shanghai. Land, 14(11), 2107. https://doi.org/10.3390/land14112107

