An Integrated Framework for Assessing Dynamics of Ecological Spatial Network Resilience Under Climate Change Scenarios: A Case Study of the Yunnan Central Urban Agglomeration
Abstract
1. Introduction
2. Materials and Methods
2.1. Study Area
2.2. Data Sources
2.3. Methods
2.3.1. Projections of LULC Patterns Under SSP-RCP Scenarios
- 1.
- Selection of Scenarios
- 2.
- Simulations of Future LULC
2.3.2. Construction of EN
- 1.
- Identification of Habitat Patches
- 2.
- Construction of Resistance Surfaces
- 3.
- Identification of Ecological Corridors
2.3.3. Dynamic Simulation of EN Resilience
- 1.
- Establishment of Node and Link Attack Strategies
- 2.
- Selection of Resilience Indicators
- 3.
- Measurement of Overall Resilience
2.3.4. Resilience-Based Spatial Prioritization
3. Results
3.1. Spatiotemporal Changes of LULC Patterns Under Multiple Scenarios
3.2. Spatiotemporal Evolution of EN
3.3. Analysis of Resilience Changes in EN
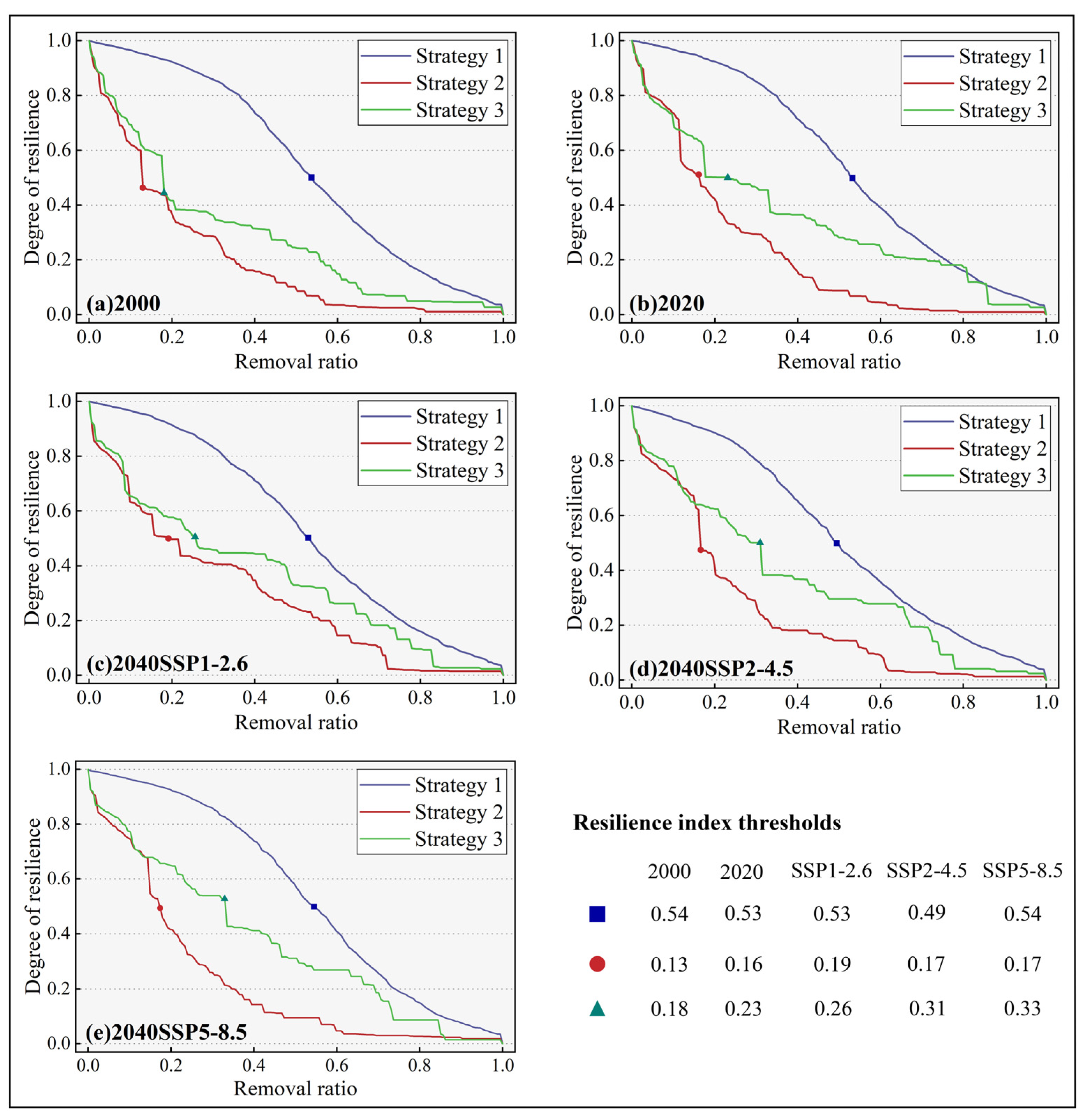
3.3.1. Changes in EN Resilience Under Node Failures
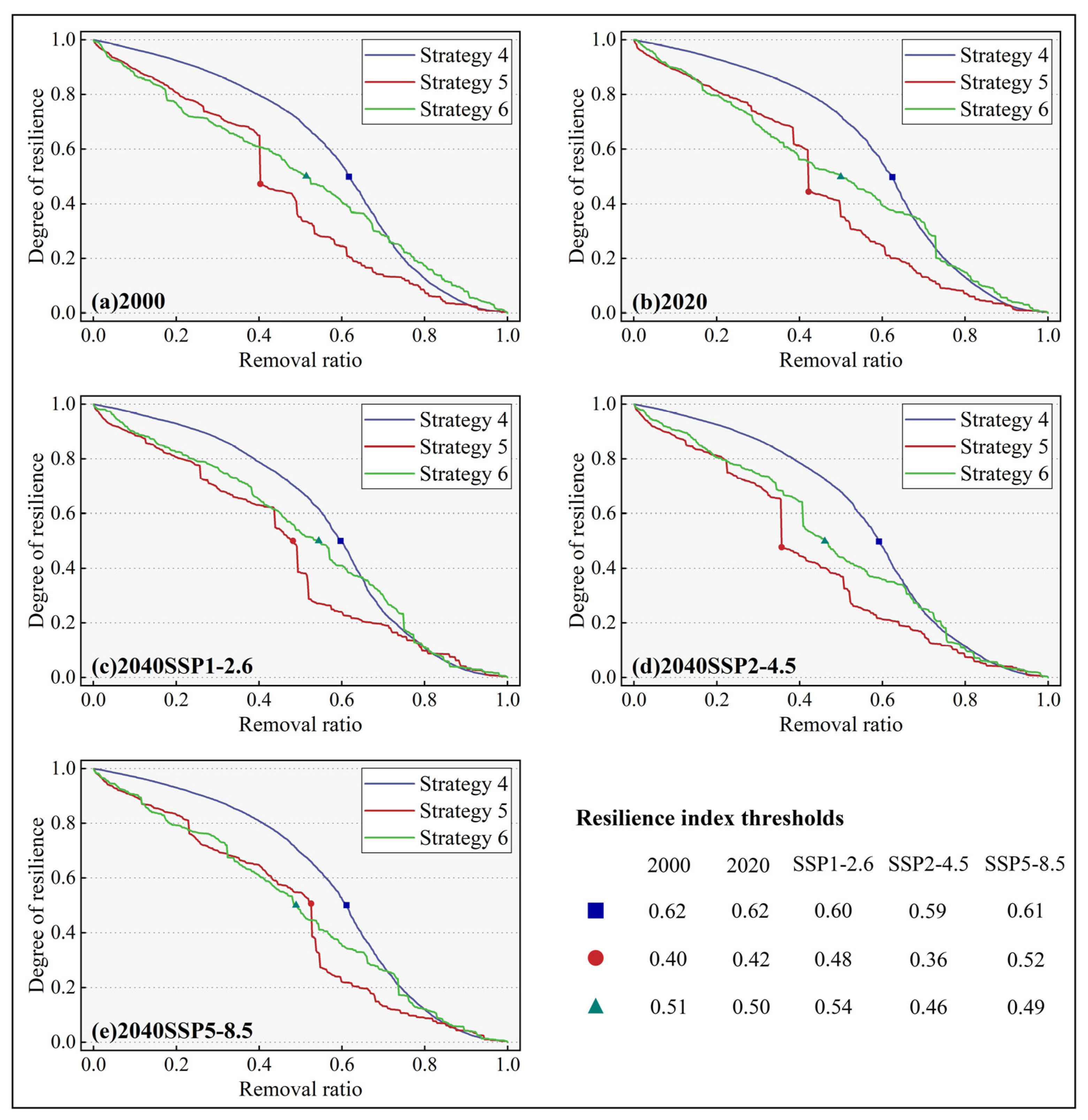
3.3.2. Changes in EN Resilience Under Link Failures
3.4. Spatiotemporal Evolution of EN Resilience Conservation Patterns
3.4.1. Dynamic Simulation of EN Resilience Spatial Patterns
3.4.2. Spatial Prioritization Analysis of EN
4. Discussion
4.1. Feedback of SSP-RCP Scenarios’ Impacts on EN Construction
4.2. Advantages of EN Resilience for Spatial Prioritization under Node and Link Failures
4.3. Implications for Planning and Management
4.4. Limitations
5. Conclusions
Supplementary Materials
Author Contributions
Funding
Data Availability Statement
Conflicts of Interest
Abbreviations
| EN | Ecological networks |
| LULC | Land use/land cover |
| CYUA | Central Yunnan Urban Agglomeration |
| SSP-RCP | Shared Socioeconomic Pathways and Representative Concentration Pathways |
| ES | Ecosystem services |
| CMIP6 | Coupled Model Intercomparison Project Phase 6 |
| GDP | Gross domestic product |
| DEM | Digital elevation model |
| NDVI | Normalized difference vegetation index |
| NPP | Net primary productivity |
| PLUS | Patch-generating land use simulation |
| InVEST | Integrated Valuation of Ecosystem Services and Tradeoffs |
| SPCA | Spatial principal component analysis |
| LCP | Least-cost path |
| AUC | Area under the curve |
| MGWR | Multiscale geographically weighted regression |
References
- Bevacqua, E.; Schleussner, C.; Zscheischler, J. A year above 1.5 °C signals that Earth is most probably within the 20-year period that will reach the Paris Agreement limit. Nat. Clim. Chang. 2025, 15, 262–265. [Google Scholar] [CrossRef]
- Williams, B.A.; Venter, O.; Allan, J.R.; Atkinson, S.C.; Rehbein, J.A.; Ward, M.; Di Marco, M.; Grantham, H.S.; Ervin, J.; Goetz, S.J.; et al. Change in Terrestrial Human Footprint Drives Continued Loss of Intact Ecosystems. One Earth 2020, 3, 371–382. [Google Scholar] [CrossRef]
- Molné, F.; Donati, G.F.A.; Bolliger, J.; Fischer, M.; Maurer, M.; Bach, P.M. Supporting the planning of urban blue-green infrastructure for biodiversity: A multi-scale prioritisation framework. J. Environ. Manag. 2023, 342, 118069. [Google Scholar] [CrossRef]
- Yang, X.; Cai, H.; Zhao, X.; Zhang, H. Revealing the ecological security pattern in China’s ecological civilization demonstration area. Land 2025, 14, 1560. [Google Scholar] [CrossRef]
- CBD. Decision adopted by the conference of the parties to the convention on biological diversity. 15/4. Kunming-Montreal global biodiversity framework. In Proceedings of the Conference of the Parties to the Convention on Biological Diversity Fifteenth Meeting—Part II, Montreal, QC, Canada, 7–19 December 2022; United Nations Environment Programme: Nairobi, Kenya, 2022. Available online: https://www.cbd.int/doc/decisions/cop-15/cop-15-dec-04-en.pdf (accessed on 5 May 2025).
- Shen, X.; Liu, M.; Hanson, J.O.; Wang, J.; Locke, H.; Watson, J.E.M.; Ellis, E.C.; Li, S.; Ma, K. Countries’ differentiated responsibilities to fulfill area-based conservation targets of the Kunming-Montreal global biodiversity framework. One Earth 2023, 6, 548–559. [Google Scholar] [CrossRef]
- Jalkanen, J.; Vierikko, K.; Moilanen, A. Spatial prioritization for urban biodiversity quality using biotope maps and expert opinion. Urban For. Urban Green. 2020, 49, 126586. [Google Scholar] [CrossRef]
- Chen, Y.; Xiong, K.; Luo, L.; Zhang, S.; Chen, J. Promoting ecological conservation through multi-objective ecological early warning and network regulation in the karst plateau, China. J. Environ. Manag. 2025, 385, 125635. [Google Scholar] [CrossRef]
- Dong, X.; Wang, F.; Fu, M. Research progress and prospects for constructing ecological security pattern based on ecological network. Ecol. Indic. 2024, 168, 112800. [Google Scholar] [CrossRef]
- Sun, H.; Yin, H.; Kong, F.; Shen, Z.; Su, J. Integrating the functions and structures to assess ecological network sustainability under climate change scenarios. Landsc. Ecol. 2024, 39, 20. [Google Scholar] [CrossRef]
- Opdam, P.; Steingröver, E.; Rooij, S.V. Ecological networks: A spatial concept for multi-actor planning of sustainable landscapes. Landsc. Urban Plan. 2006, 75, 322–332. [Google Scholar] [CrossRef]
- Ríos-Alvear, G.; Meneses, P.; Ortega-Andrade, H.M.; Santos, C.; Muzo, A.; López, K.G.; Bentley, A.G.; Villamarín, F. Key connectivity areas in the Llanganates-Sangay Ecological Corridor in Ecuador: A participative multicriteria analysis based on a landscape species. Landsc. Urban Plan. 2024, 246, 105039. [Google Scholar] [CrossRef]
- Beger, M.; Metaxas, A.; Balbar, A.C.; McGowan, J.A.; Daigle, R.; Kuempel, C.D.; Treml, E.A.; Possingham, H.P. Demystifying ecological connectivity for actionable spatial conservation planning. Trends Ecol. Evol. 2022, 37, 1079–1091. [Google Scholar] [CrossRef] [PubMed]
- Jalkanen, J.; Toivonen, T.; Moilanen, A. Identification of ecological networks for land-use planning with spatial conservation prioritization. Landsc. Ecol. 2020, 35, 353–371. [Google Scholar] [CrossRef]
- Hong, W.; Guo, R.; Li, X.; Liao, C. Measuring urban ecological network resilience: A disturbance scenario simulation method. Cities 2022, 131, 104057. [Google Scholar] [CrossRef]
- Huang, L.; Wang, J.; Lu, Y.; Ye, Y.; Zhai, T. Measuring the resilience of mountain city ecological network: A methodological framework integrating real disaster shocks and simulated disturbance scenarios. J. Environ. Manag. 2025, 384, 125573. [Google Scholar] [CrossRef] [PubMed]
- Dang, H.; Bai, J.; Lü, Y.; Li, J. The cascade failure model under ecological network is effective for quantifying the resilience of urban regions. Sust. Cities Soc. 2024, 114, 105749. [Google Scholar] [CrossRef]
- Li, J.; Nie, W.; Zhang, M.; Wang, L.; Dong, H.; Xu, B. Assessment and optimization of urban ecological network resilience based on disturbance scenario simulations: A case study of Nanjing city. J. Clean. Prod. 2024, 438, 140812. [Google Scholar] [CrossRef]
- Holling, C.S. Resilience and stability of ecological systems. Nnual Rev. Ecol. Syst. 1973, 4, 1–23. [Google Scholar] [CrossRef]
- Jeynes-Smith, C.; Bode, M.; Araujo, R.P. Identifying and explaining resilience in ecological networks. Ecol. Lett. 2024, 27, e14484. [Google Scholar] [CrossRef]
- Meyer, K. A mathematical review of resilience in ecology. Nat. Resour. Model. 2016, 29, 339–352. [Google Scholar] [CrossRef]
- Artime, O.; Grassia, M.; De Domenico, M.; Gleeson, J.P.; Makse, H.A.; Mangioni, G.; Perc, M.; Radicchi, F. Robustness and resilience of complex networks. Nat. Rev. Phys. 2024, 6, 114–131. [Google Scholar] [CrossRef]
- Messier, C.; Bauhus, J.; Doyon, F.; Maure, F.; Sousa-Silva, R.; Nolet, P.; Mina, M.; Aquilué, N.; Fortin, M.; Puettmann, K. The functional complex network approach to foster forest resilience to global changes. For. Ecosyst. 2019, 6, 21. [Google Scholar] [CrossRef]
- Aquilué, N.; Filotas, É.; Craven, D.; Fortin, M.; Brotons, L.; Messier, C. Evaluating forest resilience to global threats using functional response traits and network properties. Ecol. Appl. 2020, 30, e2095. [Google Scholar] [CrossRef]
- Mina, M.; Messier, C.; Duveneck, M.; Fortin, M.; Aquilué, N. Network analysis can guide resilience-based management in forest landscapes under global change. Ecol. Appl. 2021, 31, e2221. [Google Scholar] [CrossRef]
- Sánchez-Pinillos, M.; Dakos, V.; Kéfi, S. Ecological dynamic regimes: A key concept for assessing ecological resilience. Biol. Conserv. 2024, 289, 110409. [Google Scholar] [CrossRef]
- Wang, Y.; Cai, Y.; Xie, Y.; Zhang, P.; Chen, L. Resilience and dynamism: Innovative modeling of ecological group dynamics in urban landscapes. Environ. Impact Assess. Rev. 2024, 108, 107613. [Google Scholar] [CrossRef]
- Gonzalez, A.; Thompson, P.; Loreau, M. Spatial ecological networks: Planning for sustainability in the long-term. Curr. Opin. Environ. Sustain. 2017, 29, 187–197. [Google Scholar] [CrossRef] [PubMed]
- De Montis, A.; Ganciu, A.; Cabras, M.; Bardi, A.; Peddio, V.; Caschili, S.; Massa, P.; Cocco, C.; Mulas, M. Resilient ecological networks: A comparative approach. Land Use Policy 2019, 89, 104207. [Google Scholar] [CrossRef]
- Wang, H.; Zhou, L.; Su, K.; Zhou, Y.; Yang, Q. Resilience evolution and optimization strategies of ecological networks in the three gorges reservoir area: A scenario-based simulation approach. Ecol. Inform. 2025, 90, 103285. [Google Scholar] [CrossRef]
- Nawaz, T.; Ismail Ansari, M.G.; Avirmed, B.; Zhao, T.; Liu, W.; Lian, J.; Wang, Y.; Liu, Y.; Zhao, J.; Yang, X.; et al. Ecological network optimization and its correlation with net primary productivity in the Thal Desert: A 20-year analysis. Geo-Spat. Inf. Sci. 2025, 1–25. [Google Scholar] [CrossRef]
- Karimi, S.; Amiri, M.J.; Yavari, A.R. Identifying priority areas for conservation based on the evaluation of ecological network resilience in the Hyrcanian Forest ecosystem. Integr. Environ. Assess. Manag. 2025, 21, 570–582. [Google Scholar] [CrossRef] [PubMed]
- Lu, Z.; Li, W.; Zhou, S. Constructing a resilient ecological network by considering source stability in the largest Chinese urban agglomeration. J. Environ. Manag. 2023, 328, 116989. [Google Scholar] [CrossRef] [PubMed]
- Dang, H.; Lü, Y.; Guo, J.; Wu, X. Multi-scenario simulation can contribute to identify priorities for regional ecological corridors conservation. Ecol. Indic. 2024, 165, 112166. [Google Scholar] [CrossRef]
- Lu, Y.; Liu, Y.; Xing, L.; Liu, Y. Robustness test of multiple protection strategies for ecological networks from the perspective of complex networks: Evidence from Wuhan Metropolitan Area, China. Land Degrad. Dev. 2023, 34, 52–71. [Google Scholar] [CrossRef]
- Zhang, S.; Zhu, J.; Lv, L.; Wang, Z. Spatial scale increment identification and dynamic simulation of network resilience disturbances in landscape infrastructure: A comprehensive approach for optimizing regional planning. Sust. Cities Soc. 2025, 121, 106180. [Google Scholar] [CrossRef]
- Arani, B.M.S.; Carpenter, S.R.; Lahti, L.; van Nes, E.H.; Scheffer, M. Exit time as a measure of ecological resilience. Science 2021, 372, eaay4895. [Google Scholar] [CrossRef]
- Cooper, G.S.; Willcock, S.; Dearing, J.A. Regime shifts occur disproportionately faster in larger ecosystems. Nat. Commun. 2020, 11, 1175. [Google Scholar] [CrossRef]
- Albert, C.H.; Rayfield, B.; Dumitru, M.; Gonzalez, A. Applying network theory to prioritize multispecies habitat networks that are robust to climate and land-use change. Conserv. Biol. 2017, 31, 1383–1396. [Google Scholar] [CrossRef]
- Gao, J.; Gong, J.; Li, Y.; Yang, J.; Liang, X. Ecological network assessment in dynamic landscapes: Multi-scenario simulation and conservation priority analysis. Land Use Policy 2024, 139, 107059. [Google Scholar] [CrossRef]
- Chen, Q.; Ning, Y. Projecting LUCC dynamics and ecosystem services in an emerging urban agglomeration under SSP-RCP scenarios and their management implications. Sci. Total Environ. 2024, 949, 175100. [Google Scholar] [CrossRef] [PubMed]
- Gomes, L.C.; Bianchi, F.J.J.A.; Cardoso, I.M.; Schulte, R.P.O.; Arts, B.J.M.; Fernandes Filho, E.I. Land use and land cover scenarios: An interdisciplinary approach integrating local conditions and the global shared socioeconomic pathways. Land Use Policy 2020, 97, 104723. [Google Scholar] [CrossRef]
- O’Neill, B.C.; Carter, T.R.; Ebi, K.; Harrison, P.A.; Kemp-Benedict, E.; Kok, K.; Kriegler, E.; Preston, B.L.; Riahi, K.; Sillmann, J.; et al. Achievements and needs for the climate change scenario framework. Nat. Clim. Change 2020, 10, 1074–1084. [Google Scholar] [CrossRef]
- Tebaldi, C.; Debeire, K.; Eyring, V.; Fischer, E.; Fyfe, J.; Friedlingstein, P.; Knutti, R.; Lowe, J.; O’Neill, B.; Sanderson, B.; et al. Climate model projections from the Scenario Model Intercomparison Project (ScenarioMIP) of CMIP6. Earth Syst. Dynam. 2021, 12, 253–293. [Google Scholar] [CrossRef]
- Ai, X.; Zheng, X.; Zhang, Y.; Liu, Y.; Ou, X.; Xia, C.; Liu, L. Climate and land use changes impact the trajectories of ecosystem service bundles in an urban agglomeration: Intricate interaction trends and driver identification under SSP-RCP scenarios. Sci. Total Environ. 2024, 944, 173828. [Google Scholar] [CrossRef] [PubMed]
- Ma, D.; Peng, S.; Lin, Z. Towards a more comprehensive scenario analysis: Response of soil erosion to future land use and climate change in the central Yunnan urban agglomeration, China. J. Environ. Manag. 2025, 376, 124523. [Google Scholar] [CrossRef]
- Pepin, N.; Bradley, R.S.; Diaz, H.F.; Baraer, M.; Caceres, E.B.; Forsythe, N.; Fowler, H.; Greenwood, G.; Hashmi, M.Z.; Liu, X.D.; et al. Elevation-dependent warming in mountain regions of the world. Nat. Clim. Change 2015, 5, 424–430. [Google Scholar]
- Wang, R.; Zhao, J.; Lin, Y.; Qin, B.; Chen, G.; Bao, L.; Long, X. Study on the response and prediction of SDGs based on different climate change scenarios: The case of the urban agglomeration in central Yunnan. Ecol. Indic. 2023, 156, 111076. [Google Scholar] [CrossRef]
- O’ Neill, B.C.; Kriegler, E.; Ebi, K.L.; Kemp-Benedict, E.; Riahi, K.; Rothman, D.S.; van Ruijven, B.J.; van Vuuren, D.P.; Birkmann, J.; Kok, K.; et al. The roads ahead: Narratives for shared socioeconomic pathways describing world futures in the 21st century. Glob. Environ. Change 2017, 42, 169–180. [Google Scholar] [CrossRef]
- Huang, H.; Xue, J.; Feng, X.; Zhao, J.; Sun, H.; Hu, Y.; Ma, Y. Thriving arid oasis urban agglomerations: Optimizing ecosystem services pattern under future climate change scenarios using dynamic Bayesian network. J. Environ. Manag. 2024, 350, 119612. [Google Scholar] [CrossRef]
- Liang, X.; Guan, Q.; Clarke, K.C.; Liu, S.; Wang, B.; Yao, Y. Understanding the drivers of sustainable land expansion using a patch-generating land use simulation (PLUS) model: A case study in Wuhan, China. Comput. Environ. Urban Syst. 2021, 85, 101569. [Google Scholar] [CrossRef]
- Peng, J.; Yang, Y.; Liu, Y.; Hu, Y.; Du, Y.; Meersmans, J.; Qiu, S. Linking ecosystem services and circuit theory to identify ecological security patterns. Sci. Total Environ. 2018, 644, 781–790. [Google Scholar] [CrossRef] [PubMed]
- Synes, N.W.; Ponchon, A.; Palmer, S.C.F.; Osborne, P.E.; Bocedi, G.; Travis, J.M.J.; Watts, K. Prioritising conservation actions for biodiversity: Lessening the impact from habitat fragmentation and climate change. Biol. Conserv. 2020, 252, 108819. [Google Scholar] [CrossRef]
- Kong, W.; Shen, W.; Yu, C.; Niu, L.; Zhou, H.; Zhang, Z.; Guo, S. The neglected cost: Ecosystem services loss due to urban expansion in China from a triple-coupling perspective. Environ. Impact Assess. Rev. 2025, 112, 107827. [Google Scholar] [CrossRef]
- Li, Y.; Liu, W.; Feng, Q.; Zhu, M.; Yang, L.; Zhang, J.; Yin, X. The role of land use change in affecting ecosystem services and the ecological security pattern of the Hexi Regions, Northwest China. Sci. Total Environ. 2023, 855, 158940. [Google Scholar] [CrossRef]
- Men, D.; Pan, J. Incorporating network topology and ecosystem services into the optimization of ecological network: A case study of the Yellow River Basin. Sci. Total Environ. 2024, 912, 169004. [Google Scholar] [CrossRef] [PubMed]
- DNRYP. Special Territorial Spatial Plan for the Central Yunnan Urban Agglomeration (2021–2035) (Draft for Public Comment). Department of Natural Resources of Yunnan Province. 2023. Available online: https://dnr.yn.gov.cn/uploadfile/s58/2023/1108/20231108025955118.pdf (accessed on 18 May 2025).
- Jiang, J.; Zhang, H.; Huang, Q.; Liu, F.; Li, L.; Qiu, H.; Zhou, S. Diagnosis of Key Ecological Restoration Areas in Territorial Space under the Guidance of Resilience: A Case Study of the Chengdu–Chongqing Region. Land 2023, 12, 973. [Google Scholar] [CrossRef]
- Dickson, B.G.; Albano, C.M.; Anantharaman, R.; Beier, P.; Fargione, J.; Graves, T.A.; Gray, M.E.; Hall, K.R.; Lawler, J.J.; Leonard, P.B.; et al. Circuit-theory applications to connectivity science and conservation. Conserv. Biol. 2019, 33, 239–249. [Google Scholar] [CrossRef]
- McRae, B.H.; Dickson, B.G.; Keitt, T.H.; Shah, V.B. Using circuit theory to model connectivity in ecology, evolution, and conservation. Ecology 2008, 89, 2712–2724. [Google Scholar] [CrossRef]
- Lou, Y.; Wang, L.; Chen, G. Structural robustness of complex networks: A survey of a posteriori measures. IEEE Circuits Syst. Mag. 2023, 23, 12–35. [Google Scholar] [CrossRef]
- De Montis, A.; Caschili, S.; Mulas, M.; Modica, G.; Ganciu, A.; Bardi, A.; Ledda, A.; Dessena, L.; Laudari, L.; Fichera, C.R. Urban–rural ecological networks for landscape planning. Land Use Policy 2016, 50, 312–327. [Google Scholar] [CrossRef]
- Song, S.; Gong, Y.; Yu, Y. Integrating pattern, process, and function in urban landscape ecological network planning: A case study of Harbin central city. Ecol. Indic. 2024, 159, 111671. [Google Scholar] [CrossRef]
- Chen, H.; Yan, W.; Li, Z.; Wende, W.; Xiao, S. A framework for integrating ecosystem service provision and connectivity in ecological spatial networks: A case study of the Shanghai metropolitan area. Sust. Cities Soc. 2024, 100, 105018. [Google Scholar] [CrossRef]
- Donaldson, L.; Bennie, J.J.; Wilson, R.J.; Maclean, I.M.D. Designing effective protected area networks for multiple species. Biol. Conserv. 2021, 258, 109125. [Google Scholar] [CrossRef]
- Babaei, M.; Jalili, M.; Safari, M.; Mirzasoleiman, B. Cascaded failures in weighted networks. Phys. Rev. E 2011, 84, 46114. [Google Scholar] [CrossRef] [PubMed]
- Zhang, M.; Li, J.; Wang, L.; Xu, B.; Nie, W. The impact of connectivity in natural protected areas on the resilience of urban ecological networks: A research framework based on hierarchical disturbance scenario simulation. Ecol. Indic. 2024, 164, 112144. [Google Scholar] [CrossRef]
- Wang, X.; Shi, J.; Wang, C.; Jiao, X. Measuring the green infrastructure network resilience: Based on disturbance scenario simulations. Ecosyst. Health Sustain. 2025, 11, 337. [Google Scholar] [CrossRef]
- Schneider, C.M.; Moreira, A.A.; Andrade, J.S.; Havlin, S.; Herrmann, H.J. Mitigation of malicious attacks on networks. Proc. Natl. Acad. Sci. USA 2011, 108, 3838–3841. [Google Scholar] [CrossRef]
- Liu, W.; Zeng, A. Enhancing network robustness against malicious attacks. Phys. Rev. E 2012, 85, 66130. [Google Scholar] [CrossRef]
- Engsig, M.; Tejedor, A.; Moreno, Y.; Foufoula-Georgiou, E.; Kasmi, C. Domirank centrality reveals structural fragility of complex networks via node dominance. Nat. Commun. 2024, 15, 56. [Google Scholar] [CrossRef]
- Qi, X.; Mei, G. Network resilience: Definitions, approaches, and applications. J. King Saud Univ. Comput. Inf. Sci. 2024, 36, 101882. [Google Scholar] [CrossRef]
- Xiang, Q.; Yu, H.; Huang, H.; Li, F.; Ju, L.; Hu, W.; Yu, P.; Deng, Z.; Chen, Y. Assessing the resilience of complex ecological spatial networks using a cascading failure model. J. Clean. Prod. 2024, 434, 140014. [Google Scholar] [CrossRef]
- Lucet, V.; Gonzalez, A. Integrating land use and climate change models with stakeholder priorities to evaluate habitat connectivity change: A case study in southern Québec. Landsc. Ecol. 2022, 37, 2895–2913. [Google Scholar] [CrossRef]
- Pelorosso, R.; Noce, S.; De Notaris, C.; Gobattoni, F.; Apollonio, C.; Petroselli, A.; Recanatesi, F.; Ripa, M.N. The nexus between connectivity, climate, and land use: A scenario assessment of bio-energy landscape connectivity in central Italy. J. Environ. Manag. 2025, 376, 124521. [Google Scholar] [CrossRef]
- Sun, X.; Lian, A.; Wang, Z.; Cai, Y.; Dong, R. Structural, functional, and resilience dynamics of ecological networks in the Guangdong-Hong Kong-Macao Greater Bay Area: Impacts of climate and urbanization. J. Environ. Manag. 2025, 393, 126990. [Google Scholar] [CrossRef] [PubMed]
- Liu, Q.; Hang, T.; Wu, Y.; Song, Y.; Tang, X. Unveiling differences in biodiversity conservation efficiency across multi-level ecological networks under future climate change scenarios. Ecol. Indic. 2024, 169, 112933. [Google Scholar] [CrossRef]
- Isaac, N.J.B.; Brotherton, P.N.M.; Bullock, J.M.; Gregory, R.D.; Boehning-Gaese, K.; Connor, B.; Crick, H.Q.P.; Freckleton, R.P.; Gill, J.A.; Hails, R.S.; et al. Defining and delivering resilient ecological networks: Nature conservation in England. J. Appl. Ecol. 2018, 55, 2537–2543. [Google Scholar] [CrossRef]
- Diniz, M.F.; Dallmeier, F.; Gregory, T.; Martinez, V.; Saldivar-Bellassai, S.; Benitez-Stanley, M.A.; Sánchez-Cuervo, A.M. Balancing multi-species connectivity and socio-economic factors to connect protected areas in the Paraguayan Atlantic Forest. Landsc. Urban Plan. 2022, 222, 104400. [Google Scholar] [CrossRef]
- Saura, S.; Rubio, L. A common currency for the different ways in which patches and links can contribute to habitat availability and connectivity in the landscape. Ecography 2010, 33, 523–537. [Google Scholar] [CrossRef]
- Lin, Z.; Wu, T.; Xiao, Y.; Rao, E.; Shi, X.; Ouyang, Z. Protecting biodiversity to support ecosystem services: An analysis of trade-offs and synergies in southwestern China. J. Appl. Ecol. 2022, 59, 2440–2451. [Google Scholar] [CrossRef]
- Wimberly, M.C.; Narem, D.M.; Bauman, P.J.; Carlson, B.T.; Ahlering, M.A. Grassland connectivity in fragmented agricultural landscapes of the north-central United States. Biol. Conserv. 2018, 217, 121–130. [Google Scholar] [CrossRef]
- Holl, K.D.; Aide, T.M. When and where to actively restore ecosystems? For. Ecol. Manag. 2011, 261, 1558–1563. [Google Scholar] [CrossRef]
- Morán-Ordóñez, A.; Hermoso, V.; Martínez-Salinas, A. Multi-objective forest restoration planning in Costa Rica: Balancing landscape connectivity and ecosystem service provisioning with sustainable development. J. Environ. Manag. 2022, 310, 114717. [Google Scholar] [CrossRef] [PubMed]
- Maxwell, S.L.; Cazalis, V.; Dudley, N.; Hoffmann, M.; Rodrigues, A.S.L.; Stolton, S.; Visconti, P.; Woodley, S.; Kingston, N.; Lewis, E.; et al. Area-based conservation in the twenty-first century. Nature 2020, 586, 217–227. [Google Scholar] [CrossRef] [PubMed]












| Category | Name | Year | Resolution | Sources and Descriptions |
|---|---|---|---|---|
| LULC | Land use | 2000–2020 | 30 m × 30 m | Resource and Environmental Science Data Platform (https://www.resdc.cn/, accessed on 25 November 2024). The dataset was reclassified into six types: cropland, forest, grassland, water bodies, built-up land, and unused land. |
| Climate | Precipitation (annual), temperature (mean annual), evapotranspiration (annual) | 2000–2020 | 1 km × 1 km | Resource and Environmental Science Data Platform (https://www.resdc.cn/, accessed on 16 January 2025) |
| Socioeconomic | Population; gross domestic product (GDP) | 2000–2020 | 1 km × 1 km | Resource and Environmental Science Data Platform (https://www.resdc.cn/, accessed on 20 January 2025) |
| Railway and road network | 2020 | Vector | National Catalogue Service for Geographic Information (http://www.webmap.cn, accessed on 8 February 2025) | |
| Physical geography | Digital elevation model (DEM) | – | 30 m × 30 m | Geospatial Data Cloud (http://www.gscloud.cn/, accessed on 2 February 2025) |
| Soil types, components and erosion intensity | – | 1 km × 1 km | Food and Agriculture Organization of the United Nations (http://www.fao.org/soils-portal/soil-survey/, accessed on 3 March 2025); Resource and Environmental Science Data Platform (https://www.resdc.cn/, accessed on 21 February 2025) | |
| Normalized difference vegetation index (NDVI); net primary productivity (NPP) | 2000–2020 | 30 m × 30 m; 1 km × 1 km | Landsat-8 OLI data were accessed and processed via Google Earth Engine; Moderate Resolution Imaging Spectroradiometer (https://modis.gsfc.nasa.gov/data/, accessed on 12 February 2025) | |
| River network | 2020 | Vector | National Catalogue Service for Geographic Information (http://www.webmap.cn, accessed on 9 March 2025) | |
| Territorial spatial planning | Ecological conservation redlines; protected natural areas | 2022 | Vector | Department of Natural Resources of Yunnan Province, China |
| SSP-RCP scenario | Population; GDP | 2020–2040 | 0.1° | Science Data Bank (https://doi.org/10.57760/sciencedb.01683, accessed on 3 December 2024). Gridded data under SSPs were interpolated. |
| Precipitation, temperature, evapotranspiration | 2020–2040 | 0.25° | Earth System Grid Federation (http://esgf.nci.org.au/projectscmip6-nci/, accessed on 18 November 2024). Gridded data were downscaled using the MRI-ESM2-0 model [48]. |
| Indicators | Descriptions | Equations | Explanation |
|---|---|---|---|
| Largest connected component | Connectivity strength after network removal [36] | is the number of nodes in the largest connected component of the residual network, is the total number of nodes in the network, is the set of all nodes, is the shortest path length between nodes and , is the number of actual links among the neighbors of node , and is the degree of node . | |
| Global efficiency | Information transmission efficiency between all node pairs in the network [67] | ||
| Average clustering coefficient | Network cohesion and clustering characteristics [68] |
| Content | Metrics | 2000 | 2020 | 2040 | ||
|---|---|---|---|---|---|---|
| SSP1-2.6 | SSP2-4.5 | SSP5-8.5 | ||||
| Habitat patch | Number | 177 | 186 | 172 | 168 | 167 |
| Area (103 km2) | 29.85 | 29.60 | 30.53 | 30.00 | 30.35 | |
| Ecological corridor | Number | 449 | 474 | 417 | 404 | 411 |
| Length (103 km) | 5.30 | 5.71 | 4.98 | 5.15 | 5.28 | |
| Area (103 km2) | 16.30 | 17.79 | 15.14 | 15.33 | 15.39 | |
| Mean cumulative current density (A) | 7.51 | 8.42 | 6.58 | 7.09 | 7.08 | |
| EN | Proportion of CYUA area (%) | 41.45 | 42.56 | 41.02 | 40.71 | 41.08 |
| Failure Conditions | Attack Strategies | 2000 | 2020 | 2040 | ||
|---|---|---|---|---|---|---|
| SSP1-2.6 | SSP2-4.5 | SSP5-8.5 | ||||
| Node failure | Strategy 1 | 0.544 | 0.540 | 0.535 | 0.514 | 0.543 |
| Strategy 2 | 0.202 | 0.213 | 0.284 | 0.230 | 0.222 | |
| Strategy 3 | 0.281 | 0.340 | 0.352 | 0.346 | 0.359 | |
| Link failure | Strategy 4 | 0.575 | 0.582 | 0.561 | 0.558 | 0.572 |
| Strategy 5 | 0.433 | 0.434 | 0.447 | 0.413 | 0.452 | |
| Strategy 6 | 0.488 | 0.485 | 0.503 | 0.475 | 0.477 | |
| Mean | 0.421 | 0.432 | 0.447 | 0.423 | 0.438 | |
| Priority | 2000 | 2020 | 2040 | ||||
|---|---|---|---|---|---|---|---|
| SSP1-2.6 | SSP2-4.5 | SSP5-8.5 | |||||
| Habitat | Core priority | Number | 10 | 12 | 9 | 14 | 13 |
| Percentage | 5.6% | 6.5% | 5.2% | 8.3% | 7.8% | ||
| Area (103 km2) | 16.51 | 15.03 | 13.94 | 14.90 | 15.23 | ||
| Secondary priority | Number | 18 | 21 | 32 | 19 | 21 | |
| Percentage | 10.2% | 11.3% | 18.6% | 11.3% | 12.6% | ||
| Area (103 km2) | 5.32 | 6.71 | 10.03 | 7.92 | 7.90 | ||
| Corridor | Core priority | Number | 61 | 89 | 82 | 63 | 78 |
| Percentage | 13.6% | 18.8% | 19.7% | 15.6% | 19.0% | ||
| Length (103 km) | 0.48 | 1.12 | 0.62 | 0.48 | 0.57 | ||
| Secondary priority | Number | 118 | 130 | 94 | 86 | 87 | |
| Percentage | 26.3% | 27.4% | 22.5% | 21.3% | 21.2% | ||
| Length (103 km) | 1.96 | 1.81 | 1.33 | 1.30 | 1.45 | ||
Disclaimer/Publisher’s Note: The statements, opinions and data contained in all publications are solely those of the individual author(s) and contributor(s) and not of MDPI and/or the editor(s). MDPI and/or the editor(s) disclaim responsibility for any injury to people or property resulting from any ideas, methods, instructions or products referred to in the content. |
© 2025 by the authors. Licensee MDPI, Basel, Switzerland. This article is an open access article distributed under the terms and conditions of the Creative Commons Attribution (CC BY) license (https://creativecommons.org/licenses/by/4.0/).
Share and Cite
Qin, B.; Zhao, J.; Chen, G.; Wang, R.; Lin, Y. An Integrated Framework for Assessing Dynamics of Ecological Spatial Network Resilience Under Climate Change Scenarios: A Case Study of the Yunnan Central Urban Agglomeration. Land 2025, 14, 1988. https://doi.org/10.3390/land14101988
Qin B, Zhao J, Chen G, Wang R, Lin Y. An Integrated Framework for Assessing Dynamics of Ecological Spatial Network Resilience Under Climate Change Scenarios: A Case Study of the Yunnan Central Urban Agglomeration. Land. 2025; 14(10):1988. https://doi.org/10.3390/land14101988
Chicago/Turabian StyleQin, Bingui, Junsan Zhao, Guoping Chen, Rongyao Wang, and Yilin Lin. 2025. "An Integrated Framework for Assessing Dynamics of Ecological Spatial Network Resilience Under Climate Change Scenarios: A Case Study of the Yunnan Central Urban Agglomeration" Land 14, no. 10: 1988. https://doi.org/10.3390/land14101988
APA StyleQin, B., Zhao, J., Chen, G., Wang, R., & Lin, Y. (2025). An Integrated Framework for Assessing Dynamics of Ecological Spatial Network Resilience Under Climate Change Scenarios: A Case Study of the Yunnan Central Urban Agglomeration. Land, 14(10), 1988. https://doi.org/10.3390/land14101988

