Next Article in Journal
Unveiling Differentiation Characteristics of Vegetation Restoration Potential for Browning Areas in China’s Hilly and Gully Region
Next Article in Special Issue
How Does Cross-City Patient Mobility Impact the Spatial Equity of Healthcare in China?
Previous Article in Journal
The Influence of Multi-Sensory Perception on Public Activity in Urban Street Spaces: An Empirical Study Grounded in Landsenses Ecology
Previous Article in Special Issue
How Can Drones Uncover Land Degradation Hotspots and Restoration Hopespots? An Integrated Approach in the Mount Elgon Region with Community Perceptions
 
 
Font Type:
Arial Georgia Verdana
Font Size:
Aa Aa Aa
Line Spacing:
Column Width:
Background:
Article

Study on the Evolutionary Characteristics of Spatial and Temporal Patterns and Decoupling Effect of Urban Carbon Emissions in the Yangtze River Delta Region Based on Neural Network Optimized by Aquila Optimizer with Nighttime Light Data

1
The Institute for Sustainable Development, Macau University of Science and Technology, Taipa, Macao 999078, China
2
School of Geography, South China Normal University, Guangzhou 510631, China
3
Department of Decision Sciences, School of Business, Macau University of Science and Technology, Taipa, Macao 999078, China
*
Author to whom correspondence should be addressed.
Land 2025, 14(1), 51; https://doi.org/10.3390/land14010051
Submission received: 1 November 2024 / Revised: 15 December 2024 / Accepted: 23 December 2024 / Published: 30 December 2024

Abstract

China produces the largest amount of CO2 emissions since 2007 and is the second largest economy in the world since 2010, and the Yangtze River Delta (YRD) area plays a crucial role in promoting low-carbon development in China. Analyzing its evolutionary characteristics of spatial and temporal patterns and its decoupling effect is of great importance for the purpose of low-carbon development. However, this analysis relies on the estimation of CO2 emissions. Recently, neural network-based models are widely used for CO2 emission estimation. To improve the performance of neural network models, the Aquila Optimizer (AO) algorithm is introduced to optimize the hyper-parameter values in the back-propagation (BP) neural network model in this research due to the appealing searching capability of AO over traditional algorithms. Such a model is referred to as the AO-BP model, and this paper uses the AO-BP model to estimate carbon emissions, compiles a city-level CO2 emission inventory for the YRD region, and analyzes the spatial dependence, spatial correlation characteristics, and decoupling status of carbon emissions. The results show that the CO2 emissions in the YRD region show a spatial distribution pattern of “low in the west, high in the east, and developing towards the west”. There exists a spatial dependence of carbon emissions in the cities from 2001 to 2022, except for the year 2000, and the local spatial autocorrelation test shows that high-high is concentrated in Shanghai and Suzhou, and low-low is mainly centered in Anqing, Chizhou, and Huangshan in southern Anhui. Furthermore, there exist significant regional differences in the correlation levels of CO2 emissions between cities, with a trend of low in the west and high in the east in location, and a decreasing and then increasing trend in time. From 2000 to 2022, the decoupling of carbon emissions and economic growth shows a steadily improving trend.

1. Introduction

The phenomenon of global warming has become one of the greatest challenges faced by human society, which is rooted in the increasing concentration of greenhouse gases (GHGs) in the atmosphere [1]. Among them, carbon dioxide is the main greenhouse gas, and the increase or decrease of its emission directly affects the stability and change in global climate [2,3]. With the process of industrialization, a large amount of carbon dioxide is emitted into the atmosphere, leading to a gradual increase in global temperature, frequent occurrence of extreme weather events, serious threats to the ecosystem, and unprecedented challenges to the living environment of human beings [4]. Under this background, governments around the world have increasingly recognized the importance of reducing carbon emissions and have taken a series of actions [5]. In the Paris Agreement, the international community decided to limit the global temperature rise to 2 °C and to strive to limit temperature rise to 1.5 °C [6]. China, as the largest CO2 producer from 2007 and the second largest economy since 2010, has a particularly important role in the global carbon emissions problem. Accordingly, China plans to achieve carbon peaking by 2030 and carbon neutral by 2060 [7,8]. Cities, as an important source of carbon emissions, account for 85% of the total carbon emissions in China [9]. Meanwhile, China’s urbanization process is still ongoing, which makes the urban carbon emission problem even more prominent [10]. Therefore, in order to achieve carbon peaking and carbon neutrality, it is necessary to thoroughly study and explore the carbon emission problems of Chinese cities. This is of far-reaching strategic significance for promoting China’s low-carbon development.
A complete and long-term inventory of carbon emissions is an indispensable foundation for the study of carbon emissions. For this purpose, the International Panel on Climate Change (IPCC) proposed a carbon emission calculation formula, which provides a standardized method for global carbon emission research. Chen et al. [11] used the IPCC emission-factor approach to calculate the carbon emissions of 30 provinces in China from 2005 to 2015 and analyzed the impact of technological changes on carbon emissions. With a similar approach, Liang et al. [12] calculated the carbon emissions of 30 provinces in China in 2004, 2010, and 2019 and analyzed the influence degree of socio-economic factors on CO2 emissions with the STIRPAT model and the geographically weighted regression model. Xu et al. [13] compiled an updated CO2 emission inventory for China and its 30 provinces in 2020–2021 and conducted spatial analysis. However, these studies mainly calculated carbon emissions at the provincial level, since the IPCC carbon emission formula requires accurate energy consumption data, which are relatively complete at the provincial level and challenging to acquire at the municipal level in China.
To deal with this challenge, scholars started to explore the use of nighttime light data to invert city-level carbon emissions. Sun et al. [14] assessed the spatial and temporal variations of city-level carbon emissions in China by integrating DMSP-OLS and NPP-VIIRS and linearly fitting them to carbon emissions. Meng et al. [15] constructed a pixel-scale estimation model in Jiangsu Province with DMSP-OLS and NPP-VIIRS nighttime light data and linearly fitting them to carbon emissions. Wu et al. [16] applied the nighttime light data for linear fitting to depict the grid-scale carbon emissions with high accuracy. Seven urban agglomerations in China’s Yellow River Basin are taken as examples, and the dynamic evolution trend of carbon emissions and dynamic spillover effects are analyzed.
However, linear regression is insufficient to describe the nonlinear relationship between lighting and carbon emissions due to the limitation of model complexity. In recent years, some scholars tried to solve this problem by using machine learning algorithms. Zhou et al. [17] established a back-propagation neural network (BP) model with Genetic Algorithm (GA), which utilizes the NPP/VIIRS nighttime light dataset for estimating the carbon emissions of three major urban agglomerations in China. Chen et al. [18] used PSO-BP (BP optimized by PSO (Particle Swarm optimization)) to estimate the carbon emission databases of more than 2000 county-level cities. Sun et al. [19] used SSA-BP (BP optimized by SSA (Sparrow Search Algorithm)) to estimate the carbon emissions of 27 cities and analyzed the carbon emission efficiency.
Given the research results from existing literature, it is easy to discover that the performance of neural networks highly relies on the appropriate use of optimization approaches due to their complex structures of weights between different layers and neurons. Compared with commonly used optimization methods such as GA, PSO, and SSA, the Aquila Optimizer (AO) is a relatively new approach that can better balance the exploration and exploitation. Therefore, in this research, we propose an AO-BP model by integrating the optimization scheme of the AO method with the back-propagation neural network model for carbon emission estimation. Considering the vast and complex scale of obtaining data from all regions in China, we limit this research to the YRD region, which is an important region in China’s economic development and low-carbon development [20,21]. Finally, the carbon emission inventory of these cities is compiled for time duration from 2000–2022.
In addition, spatial effects of carbon emissions are also an issue of great academic interest, which have been discussed widely in the literature. A series of important studies are summarized in Table 1. Note that, to better reflect the current research trends in this field, most papers reviewed in this study are published within the last five years.
From these studies, it is known that the global Moran, local Moran, and Gravity models are commonly used approaches for analyzing spatial effects of carbon emissions. To be more specific, the global Moran index can reflect the spatial dependence, the local Moran index can reflect the agglomeration characteristics, and the Gravity model can measure the spatial correlation of the whole region and the spatial transmission paths between individuals.
Decoupling refers to a change in the relationship between economic growth and environmental pollution. The economy can continue to grow without increasing environmental pollution. Achieving a balance between economic growth and environmental protection as well as promoting sustainable development is crucial in solving the global climate change problem and realizing the carbon emission reduction target. Consequently, many scholars have studied the decoupling relationship between carbon emissions and economic growth. Major studies are listed in Table 2.
These studies show that decoupling economic growth and carbon emissions is an important issue that cannot be ignored, whether by the world’s continents, countries, regions, provinces, or cities in China. However, most of these studies have analyzed the decoupling of the whole country or a province as a whole, and fewer articles have analyzed the decoupling status of cities within a region.
Accordingly, the contributions of this research are summarized below:
(1)
Based on the AO-BP model, this research estimates the carbon emissions of cities in the YRD region and compiles a complete, long time-series YRD region CO2 emission inventory.
(2)
Revealing the spatial and temporal evolution, spatial autocorrelation, and spatial correlation characteristics of carbon emissions.
(3)
Clarifying the decoupling effect of carbon emissions of cities in the YRD region.
(4)
Providing policy recommendations for the YRD region in low-carbon development.
Finally, this paper is structured as follows: Part 2 describes how to compile city-level carbon emission inventories through the AO-BP model and nighttime light data, as well as introduces spatial autocorrelation, spatial correlation analyses, and decoupling models. In the third part, the provincial model is evaluated to compile a city-level CO2 emission inventory. Furthermore, the spatial and temporal evolution, spatial autocorrelation, spatial correlation characterization, and decoupling effect analysis of carbon emissions are performed. Finally, the fourth part draws conclusions and gives policy recommendations.

2. Materials and Methods

2.1. Study Area

The YRD region, as shown in Figure 1, covering 41 cities in Shanghai, Jiangsu, Zhejiang, and Anhui Provinces, is one of the most dynamic regions in China, as well as one of the most densely populated and economically concentrated regions in the world. In 2022, the YRD region’s total population reached 236.64 million, and its GDP stood at 2895.667 billion and accounted for 24.04% of the country’s total. This region contributes close to a quarter of the country’s GDP, although its geographical area is only a small part of China’s total area, showing its important position in China. Moreover, the YRD region has shown strong willingness and remarkable results in low-carbon development. A number of cities have already made breakthroughs in building a green economy, promoting optimization of energy structure and improving energy efficiency, and have become models for low-carbon development across the country and even globally. In particular, some cities have taken the national lead in areas such as new energy vehicles, green buildings, and clean energy utilization, which not only help reduce carbon emissions but also provide useful experiences and models for global climate change response. In addition, the low-carbon development has benefited from its strong scientific research capability and innovation system in the region. Many universities, research institutes, and leading enterprises in the region have continued to invest in low-carbon technology and product development, laying a solid foundation for promoting the region’s green transformation and realizing carbon peaking and carbon neutrality. Therefore, the study of carbon emissions in this region is not only of great significance for promoting the green transformation of the region, but also provides important theoretical support and practical reference for the low-carbon development of the whole country.

2.2. Research Framework

This research focuses on CO2 emissions in the YRD region. It consists of two main research parts. The first part works on the accounting of CO2 emissions with AO-BP to compile the city-level CO2 emission inventory. The second part analyzes the spatial and temporal evolution, spatial autocorrelation, spatial correlation characteristics, and decoupling effects affecting CO2 emissions. A detailed logical flow is presented in Figure 2.

2.3. Data Sources

Nighttime light data rely primarily on two data sources, DMSP/OLS (2000 to 2012) and VIIRS (2013 to 2018). However, DMSP/OLS data fluctuate abnormally due to multi-sensor acquisition and lack of planetary level calibration. In order to support long time series analysis, DMSP/OLS and VIIRS data must be integrated and calibrated. Ref. [37] processed DMSP-OLS nighttime light data by implementing cross-sensor calibration, and integrated and adjusted it with NPP-VIIRS nighttime light data. Such NPP-VIIRS-like nighttime light data product demonstrates a high degree of consistency at both the pixel and city levels, which provides a more accurate tool for monitoring socio-economic activity. Population data are derived from the LandScan platform, which is the world’s top provider of high-resolution population distribution datasets. The GDP data are derived from the provincial statistical yearbooks and is converted to the constant price of 2015. Provincial energy consumption is from the China Energy Statistics Yearbook [38].

2.4. Estimation of City-Level CO2 Emissions with AO-BP Model

2.4.1. Provincial Level CO2 Emissions Accounting

Without loss of generality, this research builds the model of CO2 emissions estimation for the four provinces in the YRD region, first by considering the time duration from 2000 to 2022. In this research, the accounting of CO2 emissions is obtained by the emission-factor approach suggested by IPCC, as below:
C O 2 = w = 1 3 A D w × E F w
E F w = N C V w × C C w × O w × 44 12
where w represents the energy type which generates CO2 emissions and A D w represents the fossil fuel consumption. E F w is the CO2 emission factor. Furthermore, N C V w represents the net calorific value, C C w represents the carbon content, and O w represents the oxidation efficiency. The corresponding values of the emission factor are clearly discussed in Liu et al. [39].

2.4.2. Estimation of CO2 Emissions by AO-BP Neural Networks and Nighttime Light Data

In this study, the estimation of CO2 emissions is based on the nighttime light data obtained in ArcGIS Pro 3.0.1 and used to extract the total lighting (DN) values of each city. When constructing the model, the lighting data are treated as the predictor variable, and the carbon emission accounted in Equation (1) is treated as the response variable for the model.
The detailed structure and logic flow of AO-BP model is presented in Figure 3. Note that the basic model to generate estimates is still the BP model. In particular, the predictor variable values, as the input layer x i = { x 1 , x 2 , x d } , are transformed to output y j = { y 1 , y 2 , y l } through hidden layer h k = { h 1 , h 2 , h q } . Different layers are connected by the weights W = { W 1 , W 2 , W n } and threshold parameter b = { b 1 , b 2 , b n } . The final estimates are obtained by updating the parameters W and b . Note that the final estimation accuracy of BP model is affected by the initial values of W and b . To enhance the performance of the BP model, AO algorithm is introduced to optimize the selection on initial values of W and b due to its more appealing searching capability compared with traditional algorithms. Namely, potential W and b values formulate the population set of the AO algorithm, and the estimation errors of the BP model are treated as the objective function in the AO algorithm. As a result, the optimal W and b initial values can be found by the looping process for searching for the best objective function value. In brief, the proposed AO-BP model is a BP model where its parameters are optimized by AO algorithm.
Based on the AO-BP model, the provincial-level carbon emissions estimates are obtained. The provincial-level carbon emissions are further downscaled to city-level carbon emissions by manipulating the DN value distribution of cities within each province. Such a scheme assumes that city-level carbon emissions have similar ratio weight of DN values when compared with the total carbon emissions in the corresponding province, which is commonly accepted by the literature, as discussed in Chen et al. [18] and Zhou et al. [40]. Finally, the city-level carbon emissions for all cities are obtained from 2000 to 2022.

2.4.3. The Fundamental Logic of AO Optimization

AO is a novel natural-inspired based meta-heuristic optimization algorithm proposed by Abualigah et al. [41], which is an effective optimization method in a bench of situations. According to the situations between the optimal solution and the current status, AO has four different searching strategies that can switch between each other to balance the exploration and exploitation. The detailed mathematical formulations are discussed in the following.
(1)
Initialization of the problem solution
In AO, the optimization rule starts with a set ( X ) of candidate solutions to the given problem (see Equation (3)), which is generated randomly between the upper bound ( U B ) and lower bound ( L B ) of the given problem. In each iterative run, the best solution obtained so far is approximated and determined as the optimal solution.
X = x 1 , 1 x 1 , j x 1 , D i m 1 x 1 , D i m x 2 , 1 x 2 , j x 2 , D i m x i , j x N 1 , 1 x N 1 , j x N 1 , D i m x N , 1 x N , j x N , D i m 1 x N , D i m
where X denotes a set of current candidate solutions randomly generated by using Equation (3), x i denotes the decision value of the ith solution, N denotes the total number of candidate solutions, and D i m denotes the dimension size of the problem.
X i j = r a n d × ( U B j L B j ) + L B j ,   i = 1 ,   2 ,   ,   N ,   j = 1 ,   2 ,   ,   D i m
where r a n d is a random number, L B j denotes the lower bound of the first, and U B j denotes the upper bound of the first.
(2)
Expanded exploration ( S 1 )
In the first method ( S 1 ), the Aquila identifies prey areas by flying vertically bent at a high altitude to select the best hunting area. This behavior is mathematically expressed as shown in Equation (5).
S 1 ( t + 1 ) = S b e s t ( t ) × ( 1 t T ) + ( S M ( t ) S b e s t ( t ) × r a n d )
where S 1 ( t + 1 ) is the solution of the next iteration generated by the search method ( S 1 ), S b e s t ( t ) is the best value obtained by the tth iteration, and S M ( t ) denotes the average value of the current solution connected at the first iteration.
(3)
Narrowed exploration ( S 2 )
In the second method ( S 2 ), while soaring from a high altitude to find the prey area, the Aquila hovers above the target prey, preparing to land and then attack. This behavior is expressed mathematically as shown in Equation (6).
S 2 ( t + 1 ) = S b e s t ( t ) × L e v y ( D ) + S R ( t ) + ( y x ) × r a n d
where S 2 ( t + 1 ) is the solution of the next iteration generated by the search method ( S 2 ), D is the dimension space, and L e v y ( D ) is the Levy flight distribution function, S R ( t ) is the random solution in the range [1, N] taken at the tth iteration.
(4)
Expanded exploitation ( S 3 )
In the third method ( S 3 ), when the prey area is precisely designated and the Aquila is ready to land and attack, the Aquila descends vertically and performs a preliminary attack to detect the prey’s response. This behavior is mathematically expressed as shown in Equation (7).
S 3 ( t + 1 ) = ( S b e s t ( t ) S M ( t ) ) × α r a n d + ( ( U B L B ) × r a n d + L B ) × δ
where S 3 ( t + 1 ) is the solution for the next iteration of t, generated by the search method ( S 3 ). r a n d is a random value between 0 and 1. α and δ are adjustment parameters.
(5)
Narrowed exploitation ( S 4 )
In the fourth method ( S 4 ), when the Aquila approaches its prey, the Aquila attacks it on land based on the random movements of the prey. This method is called walking and catching prey. This behavior is mathematically expressed as shown in Equation (8).
S 4 ( t + 1 ) = Q F × S b e s t ( t ) ( G 1 × x ( t ) × r a n d ) G 2 × L e v y ( D ) + r a n d × G 1
where S 4 ( t + 1 ) is the solution of the next iteration of the time generated by the search method ( S 4 ). Q F denotes the quality function used to balance the search strategy. Other notation meanings can be found in Abualigah et al. [41]. It is important to point out the supreme performance of AO is due to the dynamic searching strategies that switch among the four searching schemes according to the current solution location between the target and current optimum.

2.5. Spatial Autocorrelation

As stated in [42], observations within a region exhibit a specific spatial dependence. Moreover, a shorter distance signifies a more intense spatial dependence. To capture the correlation level between observations at a sample point and those in its neighboring regions across the entire area, this paper calculates the global Moran’s I index by
G l o b a l   M o r a n ' s   I = N i = 1 N j = 1 N W i j ( y i y ¯ ) ( y j y ¯ ) i = 1 N j = 1 N W i j i = 1 N ( y i y ¯ ) 2
where y i , y j are the observation of y at location i and j . W stands for the spatially weighted matrix. With the well-known property, when I is positive, it signifies positive spatial autocorrelation, where higher values indicate stronger clustering of regions with similar properties. Conversely, if I < 0, it indicates negative spatial autocorrelation, with a smaller value suggesting the dispersion of regions with similar properties.
Secondly, to determine the location of spatial agglomeration for the observed data within the study area, local Moran’s I index can be utilized, with its value for the ith location specifically defined as follows:
L o c a l   M o r a n ' s   I i = ( y i y ¯ ) j = 1 , j i n W i j ( y j y ¯ ) S 2
S 2 = j = 1 , j i N W i j N 1 y ¯ 2
where n is the number of observations.

2.6. Modified Gravity Model

The modified gravity model is widely used in the environment and energy field [43,44]. In this study, such a model is chosen to analyze the spatial correlation characteristics and dynamic evolution process of carbon emissions among cities with the following equations:
y i j = k i j C i G i P i 3 × C j G j P j 3 D i j 2
k i j = C i C i + C j
where, i and j are the label for the city. Furthermore, C, G, and P refer to CO2 emissions, GDP, and population. Dij and kij represent the distance and the contribution rate of city i to the carbon emission.

2.7. Tapio Decoupling Model

Carbon decoupling describes the ideal state in which carbon emissions can be leveled or gradually reduced while the economy continues to grow. In order to quantify and analyze this process, this study is based on the Tapio decoupling model [45] to construct a carbon decoupling model for the YRD region with the following equation:
D ( C , G D P ) = Δ C / C 0 Δ G D P / G D P 0
In Equation (14), D(C, GDP) is the decoupling elasticity index between economic growth and CO2 emissions, GDP0 is the GDP of the base period, and ΔGDP is the amount of change in the GDP of the target period relative to the GDP of the base period. Based on the magnitude of ΔC, ΔGDP, and D(C, GDP), eight decoupling states can be derived through Figure 4.

3. Results

3.1. Accuracy of CO2 Emissions Estimation and Inventory Compiling

As discussed in the previous section, a provincial-level CO2 emission estimation model based on the AO-BP model is established first. Such a model is particularly developed for the four provinces in the YRD region [46]. Furthermore, there are five predictor variables, three of which are based on the digital number (DN) extracted from nighttime light data in the forms of DN, DN2, and Ln(DN). The other two predictor variables are year and the dummy variable of province index, as mentioned in Chen et al. [18]. To evaluate the accuracy of the proposed model without loss of generality, the dataset is split into training and testing sets based on three scenarios. Note that it is not reasonable to randomly split the data into two sets for training and testing due to the existence of the time index. Thus, the training and testing sets are determined by the occurrence sequence of the data, as shown in Figure 5. Namely, in scenario 1, the training set includes the data from year 2000 to 2021, and the testing set includes data for the year 2022. In scenario 2, the training set includes data from the years 2000 to 2019, and the testing set includes data from the year 2020 to 2022. In scenario 3, the training set includes data from the year 2000 to 2017, and the testing set includes data from the years 2018 to 2022.
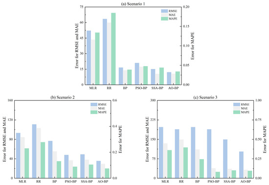
In this research, the multiple linear regression (MLR), ridge regression (RR), BP, PSO-BP, and SSA-BP models are introduced as candidates for comparison purposes. Furthermore, four commonly used measures, RMSE, MAE, MAPE, and R2, are introduced for evaluation purposes. Detailed results are presented and summarized in Table 3 and Figure 6. Apparently, the proposed AO-BP model produces better performance than the other candidate models in nearly all conditions.
After obtaining the provincial carbon emission data through AO-BP, the CO2 emission inventory of cities was obtained by applying the light normalization of each city, as shown in Figure 7.

3.2. Spatio-Temporal Evolution

The trend of carbon emissions over the years is presented in Figure 8. As a whole, the regional CO2 emissions show a sharp increase before 2011 and present a slow growth rate after then. Carbon emissions grow from 544.27 Mt to 1715.46 Mt during 2000 to 2022, with an approximate growth rate of 5.36% annually. In particular, the average annual growth rate is 9.03% before 2011, while from 2011 to 2022, the rate is only 1.81%. This is attributed to the 12th Five-Year Plan strategy in China, which establishes energy conservation and emission reduction as a core objective. It plans to eliminate outdated production capacity and promote technological transformation and upgrading of polluting enterprises. At the provincial level, Shanghai’s carbon emissions have always fluctuated at a lower rate, and for the most part have been the lowest among the four provinces in the YRD region. On the other hand, Jiangsu Province follows a similar trend to the region as a whole, with a large increase in the early period and a slowdown after 2011. Zhejiang Province’s carbon emissions decreased after 2013 but rebounded after 2020. In Anhui Province, carbon emissions tended to rise steadily throughout the period.
The spatial distribution of carbon emissions of cities in 2000, 2007, 2015, and 2022 are presented in Figure 9. It can be seen that the CO2 emissions of cities show a spatial pattern of “low in the west and high in the east, with development towards the west”. To be more specific, Shanghai and Suzhou contribute much more carbon emissions than other cities. Among them, Shanghai, as an important global financial center and China’s economic center, attracts a large number of industrial enterprises and population gathering by its strong economic radiation effect, resulting in the highest carbon emissions. Suzhou, one of the largest electronic information industry bases in China, has a large number of energy-consuming industries, including the electronic information industry, machinery manufacturing, chemical industry, and textile and garment industry, which are the main sources of carbon emissions. Next are Hefei, Hangzhou, and Nanjing, all of which are provincial capitals. Their higher levels of carbon emissions are mainly caused by their strong economic activities, the high energy consumption of their characteristic industries, and their dense populations. Among them, the integrated circuit industry and automobile manufacturing industry in Hefei, the logistics and transportation industry in Hangzhou, and the manufacturing industry, especially metallurgy and chemical industry, in Nanjing are important sources of carbon emissions in these cities. In contrast, Huangshan, Chizhou, and Tongling produce lower carbon emissions, which are in the bottom three of the YRD region in terms of long-term economic development and population size and are dominated by agriculture and tourism.

3.3. Spatial Autocorrelation Analysis

To examine the spatial relationship of CO2 emissions among the cities, we conducted spatial autocorrelation analysis of the data using Moran’s I method. The corresponding results are presented in Table 4.
As shown in Table 4, except for 2000, all tests are significant. The Moran’s I is greater than zero, and since 2004, they are all significant at the 1% level, suggesting a significant positive spatial correlation between urban carbon emissions.
To deeply analyze the characteristics of urban CO2 emission agglomeration in the YRD region from 2000 to 2022, this study adopts Local Moran’s index to measure its spatial correlation and draws the corresponding local spatial agglomeration maps. As presented in Figure 10, the region did not present high-high agglomeration areas in 2000, and from 2007 onwards, they were present in Shanghai and Suzhou, which is because these two cities have the highest carbon emissions in the region. The low-low concentration areas are stable, mainly in Anqing, Chizhou, and Huangshan, due to the underdeveloped economy and small population size of this generation, which is dominated by agriculture and tourism. The low-high agglomeration region only appears around Jiaxing and Huzhou, which is due to the predominance of light industry and services with low carbon emissions, while neighboring Shanghai and Suzhou are the cities with the highest regional carbon emissions. Overall, the study area has a relatively stable carbon emission agglomeration characteristic throughout the study period, without much change.

3.4. Spatial Correlation Characteristics

The modified gravity model was applied to measure the interactions between carbon emissions in 2000, 2007, 2015, and 2022, and the spatial correlation network structure among cities was mapped. The gravitational values are classified into five types of correlations with the rank obtained from the natural breakpoint method. The spatial and temporal patterns of spatial correlation are analyzed in this way, as presented in Figure 11, and the types of spatial correlation are presented in Table 5.
From Figure 11 and Table 5, we can discover that: (1) Overall, there exist significant regional differences in carbon emission correlations in the YRD region, showing a spatial pattern of low in the west and high in the east. Note that the economic activities and population of the YRD region are concentrated in the eastern part, precisely within the radiation circle of Shanghai. (2) In terms of time, from 2000 to 2007, the Weaker correlation shifted from 720 pairs to 729 pairs, and the Weak correlation shifted from 78 pairs to 71 pairs, which reflects a decrease in the carbon emission linkages between cities, which is mainly due to the changes in the inter-regional industrial structure and the energy structure related to economic development. With economic development and industrialization, cities began to optimize and upgrade their industries according to their own strengths, which led to differences in the originally similar industrial and energy structures, thus reducing the carbon emission linkages between cities. During this period, China began to implement regional differentiated environmental protection policies, which also affected the linkage of carbon emissions between cities to a certain extent. From 2007 to 2015, the Stronger correlation remained unchanged, and both the Strong correlation and middle correlation increased, which reflects the fact that the carbon emission linkages between cities began to strengthen, which is mainly because cities in the YRD region began to develop deeper economic integration and industrial synergy during this period. With the advancement of economic integration, the economic links between cities strengthened, and the industrial chain and supply chain became closer, which caused the increase in carbon emission correlations. Furthermore, the government’s control over environmental protection and carbon emissions was gradually strengthened, and cities in the YRD region had more synergies and cooperation in implementing energy-saving and emission reduction policies, which also contributed to the strengthening of the linkage of carbon emissions between cities. In 2015–2022, the Strong correlation and middle correlation continued to increase with a high rate, which reflects the continued strengthening of carbon emission linkages between cities. This is mainly because during this period, China’s carbon reduction policy entered a new stage. First, China pledged in 2015 to peak carbon emissions by 2030, a policy goal that has prompted more aggressive implementation of carbon emission reduction measures across the country, particularly in the economically developed YRD region. Second, during this period, the process of economic integration in the YRD region has further accelerated, with closer economic ties between cities and better industrial chains and supply chains, which has also led to closer carbon emission links between cities. Finally, with the development and application of new energy technologies, the energy structure of the YRD region has undergone significant changes, which has also enhanced the carbon emission links between cities to a certain extent. (3) Specifically, Shanghai-Suzhou and Suzhou-Wuxi, two pairs of cities, have a stronger correlation of spatial correlation of carbon emissions between them in the long term, which is due to the similarity of their economic activities, industrial structures, and energy consumption patterns. Secondly, there is a long-term strong correlation of carbon emissions between Shanghai and Nanjing, Shanghai and Jiaxing, Shanghai and Wuxi, and Suzhou and Wuxi, but not as strong as the correlation between the first two pairs of cities. In Anhui Province, on the other hand, the spatial correlation between the cities is weaker because of the large differences in their levels of economic development, industrial structures, and energy consumption patterns.

3.5. Decoupling Analysis

To clarify the evolution pattern and stage characteristics of the decoupling relationship between economic growth and carbon emissions, according to Equation (14), the Tapio decoupling model was applied to calculate and evaluate the decoupling indices of the two in 2000–2007, 2007–2015, 2015–2022, and the whole study period (2000–2022), and ArcGIS Pro 3.0.1 visualization was carried out; see Figure 12.
As presented in Figure 12, overall, there are four decoupling states of economic growth and carbon emissions, namely Strong decoupling (SD), Weak decoupling (WD), Expansive coupling (EC), and Expansive negative decoupling (END), which is because the GDP of each city is in growth in these phases, and thus the remaining four states do not exist.
During the period of 2000–2007, most of the cities are in END, which is mainly represented by Suzhou, Nanjing, Hangzhou, and other cities, which indicates that the economic growth of these cities has led to the increase of carbon emissions, and the growth rate of carbon emissions exceeds the economic growth rate. This is because this period is the stage of China’s rapid economic growth, and the YRD region, as an important engine of economic development, has accelerated its industrialization and urbanization, which has led to a large amount of energy consumption and an increase in carbon emissions; the energy structure of this period is mainly dominated by coal with a high carbon emission coefficient, and thus carbon emissions increase with economic growth. Although energy-saving and emission-reduction policies were introduced during this period, due to technical and financial constraints, the implementation of these policies did not immediately show results, so the growth of carbon emissions has not been effectively suppressed. In contrast, Shanghai has begun to experience a WD of the growth rate of carbon emissions from that of the economy due to the city’s early advantages in energy restructuring and energy-saving technologies.
During the period of 2007–2015, the decoupling status of the YRD region was significantly improved, with most cities experiencing WD, while a number of cities showed an SD status with a downward trend in carbon emissions while maintaining economic growth. The SD of cities such as Hangzhou is mainly due to the government’s energy-saving and emission reduction policies and technological advances, especially the development of clean energy technologies, which have led to the optimization of the energy structure. The SD of a city like Huangshan is due to the fact that the city itself is a tourism-oriented city with low carbon emissions and has benefited from technological and economic development by promoting green tourism and raising environmental awareness during this period. In addition, as the economy of the YRD region shifted from rapid growth to high-quality development, the structure of the economy shifted, and some heavy industries with high carbon emissions were gradually replaced by low-carbon service industries, which together led to a lower rate of growth in carbon emissions than in the economy and even a reduction in carbon emissions with economic growth.
During 2015–2022, there were more strongly decoupled cities in the YRD region, but there were also some cities with END. Among them, the increase in strongly decoupled cities was mainly because, during this period, the Chinese government further strengthened its control over carbon emissions and also increased its promotion of clean energy by raising subsidies for renewable energy sources, say solar and wind, and increasing taxes on high-carbon energy sources, such as coal. These policies have encouraged cities to make greater use of clean energy, thereby reducing carbon emissions. At the same time, advances in science and technology, especially clean energy technology, have also enabled these cities to utilize clean energy more efficiently and further reduce carbon emissions, with key representative cities such as Shanghai and Suzhou. However, while some cities have succeeded in achieving SD, others have experienced negative expansive decoupling. This is mainly due to the fact that these cities have relied excessively on energy-intensive industries in their pursuit of economic growth, resulting in the link between their carbon emissions and economic growth not being effectively weakened or even strengthened. Overall, the increase in the number of strongly decoupled cities and the negative expansive decoupling state of some cities are mainly the result of differences in policy promotion, technological progress, and economic development methods.
Throughout the study period, most cities are in a WD state. Namely, their economy and carbon emissions show a growing trend during the study period, while carbon emissions have a lower growth rate. This phenomenon suggests that although economic growth has driven an increase in carbon emissions through improving energy efficiency and optimizing the energy structure, these cities have decoupled economic growth and carbon emissions to some extent.

4. Conclusions

Based on the nighttime light data, this paper estimates the carbon emissions of 41 cities in the YRD region from 2000 to 2022 and further analyzes its evolutionary characteristics of spatial and temporal patterns and decoupling effect. The contributions of this research are summarized as follows. (1) Based on the AO-BP model, this research estimates the carbon emissions of cities in the YRD region and compiles a complete, long time-series CO2 emission inventory. (2) Revealing the spatial and temporal evolution, spatial autocorrelation and spatial correlation characteristics of carbon emissions. (3) Clarifying the decoupling effect of carbon emissions of cities in the YRD region. (4) Providing policy recommendations for the YRD region in low carbon development.
According to the results discovered in the research, it is found that (1) the accuracy of the proposed AO-BP model in estimating provincial carbon emissions is higher than all other candidate models. (2) Carbon emissions increase from 544.27 Mt to 1715.46 Mt during 2000 to 2022 and show a spatial distribution pattern of “low in the west and high in the east, with a development towards the west”. (3) There exists spatial dependence of carbon emissions of the cities from 2001 to 2022, except for the year 2000. The local spatial autocorrelation test shows that high-high is concentrated in Shanghai and Suzhou; low-low is mainly centered in Anqing, Chizhou, and Huangshan in southern Anhui; and Jiaxing and Huzhou once had low-high status. (4) In terms of spatial correlation characteristics, there exist significant regional differences in carbon emission correlation level between cities, showing a spatial pattern of low in the west and high in the east. In terms of time, the carbon emission correlation between cities has experienced a process of decreasing and then increasing. (5) From 2000 to 2022, the decoupling of carbon emissions and economic growth shows a steadily improving trend. In particular, it evolved from END-dominated in 2000–2007 to WD-dominated with a small amount of SD in 2007–2015, and finally to WD-dominated with an increase in SD and a small amount of END in 2015–2022. This is mainly attributed to the policy impetus, in particular the implementation of the low-carbon development policy and environmental protection regulations, as well as the support for clean energy and high-tech industries.
The findings of this paper are of guiding significance for carbon emission policy formulation in the YRD region. (1) This study shows that there exist geographical differences and imbalances in carbon emissions in the YRD region, which indicates that formulating carbon emission policies and control strategies relies on deeply analyzing and considering resource endowment, economic development level, energy consumption structure, etc. (2) With the gradual strengthening of carbon emission linkages among cities in the YRD region, the institutional mechanism of the carbon emissions market needs to be further optimized and improved. This includes strengthening the supervision and management of the carbon emissions market, preventing excessive competition and price distortion, and ensuring the stable operation of the carbon emissions market. In more economically developed cities, more sophisticated market mechanisms and technological solutions can be introduced, while for less economically developed or technologically backward regions, progressive policies of technological guidance and financial subsidies can be adopted to promote the healthy development and stable operation of the carbon market. At the same time, inter-regional synergies in carbon emission management should be enhanced to realize more effective intra-regional carbon emission management by strengthening cross-regional carbon emission data sharing and information exchange. (3) The decoupling effect suggests that the economic growth of the YRD region is progressively transitioning away from excessive dependence on energy consumption towards a more environmentally friendly and efficient development paradigm. However, the complete decoupling of carbon emissions and economic growth is a long-term and arduous task, especially in terms of technological feasibility, which requires further strengthening of the research and development and promotion of clean energy technologies to enhance regional energy efficiency. This requires the government to vigorously promote the use of clean energy, encourage enterprises to actively explore green production modes, raise the energy-saving awareness of the whole society, and advocate green travel patterns. At the same time, the government should provide the necessary financial support and policy guarantees to help enterprises and society reduce the cost of the transition. On this basis, the policy should balance the dual goals of economic development and environmental protection and promote the steady progress of green transformation through scientific and rational resource allocation and technological innovation to minimize the impact on economic growth. (4) As the city with the best performance in decoupling carbon emissions in the YRD region, Shanghai should strengthen the synergy between green finance and low-carbon technological innovation and promote the development of intelligent manufacturing and low-carbon service industries. Suzhou should promote green industrial transformation, relying on manufacturing upgrading, clean energy application, and intelligent transformation to promote the low-carbon development of industry and regional economy. The two regions should jointly promote the construction of low-carbon demonstration parks and the development of cross-regional low-carbon transportation systems and play a demonstration and driving role for other regions in the Yangtze River Delta in terms of carbon market construction and environmental policy synergy.
In conclusion, the locally adapted policy formulation, carbon market optimization, regional synergistic management, green production, and energy conservation awareness, and promotion of urban low-carbon characteristic development proposed in this study can provide an important basis for the formulation of carbon emission policies in the YRD region and also contribute to theoretical support and practical paths for realizing China’s carbon peaking and carbon neutrality goals through the summarization of the regional experience and demonstration role.
As mentioned previously, this research estimates the city-level carbon emissions and compiles a complete, long time-series CO2 emission inventory based on the AO-BP model. Note that the implementation of the AO algorithm improves the performance of the BP model by optimizing the hyper-parameter values, which are crucial to the prediction accuracy of the BP model. Due to the appealing capability of the AO algorithm in avoiding local minimum, it is not surprising to observe a better performance when compared with the traditional optimization algorithm, and this is also verified by the results provided in this research. However, the initial weights and threshold parameters limit the capability of the AO-BP model. The optimization of other parameters in the BP model is not covered in this study, and this is worthy of further research. Furthermore, the accuracy of city-level CO2 estimations is not investigated, which is another potential drawback for this research. It is well-accepted that true values of city-level CO2 estimations are hard to obtain. Thus, there are many city-level CO2 estimation inventories generated in the literature. Due to the differences between this research and previous studies on regional location and time durations, the comparison with different CO2 estimation inventories is out of the scope of this research. This topic is definitely worthy of further research.

Author Contributions

Conceptualization, X.L.; Methodology, X.L. and H.Z.; Software, X.L.; Validation, C.C.; Formal analysis, X.L.; Writing—original draft, X.L.; Writing—review & editing, C.C. and H.Z.; Visualization, X.L.; Supervision, H.Z.; Funding acquisition, H.Z. All authors have read and agreed to the published version of the manuscript.

Funding

This research is supported by Macao Foundation.

Data Availability Statement

The data presented in this study are openly available in China Energy Statistics Yearbook (2000–2023) at https://www.stats.gov.cn/zs/tjwh/tjkw/tjzl/202302/t20230215_1907891.html (accessed on 1 November 2024), Shanghai Statistics Yearbook (2000–2023) at https://tjj.sh.gov.cn, Jiangsu Statistics Yearbook (2000–2023) at http://www.jiangsu.gov.cn/, Zhejiang Statistics Yearbook (2000–2023) at http://tjj.zj.gov.cn/, Anhui Statistics Yearbook (2000–2023) at https://tjj.ah.gov.cn/, LandScan at https://landscan.ornl.gov/, and Chen et al. [37].

Conflicts of Interest

The authors declare no conflict of interest.

References

  1. Moore, F.C.; Lacasse, K.; Mach, K.J.; Shin, Y.A.; Gross, L.J.; Beckage, B. Determinants of emissions pathways in the coupled climate–social system. Nature 2022, 603, 103–111. [Google Scholar] [CrossRef]
  2. Kakran, S.; Sidhu, A.; Kumar, A.; Ben Youssef, A.; Lohan, S. Hydrogen energy in BRICS-US: A whirl succeeding fuel treasure. Appl. Energy 2023, 334, 120670. [Google Scholar] [CrossRef]
  3. He, S.; Ma, S.; Zhang, B.; Li, G.; Yang, Z. Early Warning of the Carbon-Neutral Pressure Caused by Urban Agglomeration Growth: Evidence from an Urban Network-Based Cellular Automata Model in the Greater Bay Area. Remote Sens. 2023, 15, 338. [Google Scholar] [CrossRef]
  4. Feng, Y.; Pan, Y.; Lu, S.; Shi, J. Identifying the multiple nexus between geopolitical risk, energy resilience, and carbon emissions: Evidence from global data. Technol. Forecast. Soc. Change 2024, 208, 123661. [Google Scholar] [CrossRef]
  5. Luo, X.; Liu, C.; Zhao, H. Driving factors and emission reduction scenarios analysis of CO2 emissions in Guangdong-Hong Kong-Macao Greater Bay Area and surrounding cities based on LMDI and system dynamics. Sci. Total Environ. 2023, 870, 161966. [Google Scholar] [CrossRef] [PubMed]
  6. Meinshausen, M.; Lewis, J.; McGlade, C.; Gütschow, J.; Nicholls, Z.; Burdon, R.; Cozzi, L.; Hackmann, B. Realization of Paris Agreement pledges may limit warming just below 2 °C. Nature 2022, 604, 304. [Google Scholar] [CrossRef]
  7. Xu, T.; Kang, C.; Zhang, H. China's efforts towards carbon neutrality: Does energy-saving and emission-reduction policy mitigate carbon emissions? J. Environ. Manag. 2022, 316, 115286. [Google Scholar] [CrossRef] [PubMed]
  8. Wang, Y.; Xie, M.; Wu, Y.; Zhang, X.; Wang, M.; Zhang, Y.; Xie, Y. Ozone-related Co-benefits of China’s Climate mitigation Policy. Resour. Conserv. Recycl. 2022, 182, 106288. [Google Scholar] [CrossRef]
  9. Liu, X.; Duan, Z.; Shan, Y.; Duan, H.; Wang, S.; Song, J. Low-carbon developments in Northeast China: Evidence from cities. Appl. Energy 2019, 236, 1019–1033. [Google Scholar] [CrossRef]
  10. Li, J.; Huang, X.; Chuai, X.; Yang, H. The impact of land urbanization on carbon dioxide emissions in the Yangtze River Delta, China: A multiscale perspective. Cities 2021, 116, 103275. [Google Scholar] [CrossRef]
  11. Chen, J.; Gao, M.; Mangla, S.K.; Song, M.; Wen, J. Effects of technological changes on China's carbon emissions. Technol. Forecast. Soc. Change 2020, 153, 119938. [Google Scholar] [CrossRef]
  12. Liang, X.; Min, F.; Xiao, Y.; Yao, J. Temporal-spatial characteristics of energy-based carbon dioxide emissions and driving factors during 2004–2019, China. Energy 2022, 261, 124965. [Google Scholar] [CrossRef]
  13. Xu, J.; Guan, Y.; Oldfield, J.; Guan, D.; Shan, Y. China carbon emission accounts 2020–2021. Appl. Energy 2024, 360, 122837. [Google Scholar] [CrossRef]
  14. Sun, Y.; Zheng, S.; Wu, Y.; Schlink, U.; Singh, R.P. Spatiotemporal Variations of City-Level Carbon Emissions in China during 2000–2017 Using Nighttime Light Data. Remote Sens. 2020, 12, 2916. [Google Scholar] [CrossRef]
  15. Meng, H.; Zhang, X.; Du, X.; Du, K. Spatiotemporal Heterogeneity of the Characteristics and Influencing Factors of Energy-Consumption-Related Carbon Emissions in Jiangsu Province Based on DMSP-OLS and NPP-VIIRS. Land 2023, 12, 1369. [Google Scholar] [CrossRef]
  16. Wu, H.; Yang, Y.; Li, W. Dynamic spatiotemporal evolution and spatial effect of carbon emissions in urban agglomerations based on nighttime light data. Sustain. Cities Soc. 2024, 113, 105712. [Google Scholar] [CrossRef]
  17. Zhou, L.; Song, J.; Chi, Y.; Yu, Q. Differential Spatiotemporal Patterns of CO2 Emissions in Eastern China’s Urban Agglomerations from NPP/VIIRS Nighttime Light Data Based on a Neural Network Algorithm. Remote Sens. 2023, 15, 404. [Google Scholar] [CrossRef]
  18. Chen, J.; Gao, M.; Cheng, S.; Hou, W.; Song, M.; Liu, X.; Liu, Y.; Shan, Y. County-level CO2 emissions and sequestration in China during 1997–2017. Sci. Data 2020, 7, 391. [Google Scholar] [CrossRef] [PubMed]
  19. Sun, Q.; Chen, H.; Wang, Y.; Huang, H.; Deng, S.; Bao, C. Analysis of spatial and temporal carbon emission efficiency in Yangtze River Delta city cluster — Based on nighttime lighting data and machine learning. Environ. Impact Assess. Rev. 2023, 103, 107232. [Google Scholar] [CrossRef]
  20. Luo, H.; Wang, C.; Li, C.; Meng, X.; Yang, X.; Tan, Q. Multi-scale carbon emission characterization and prediction based on land use and interpretable machine learning model: A case study of the Yangtze River Delta Region, China. Appl. Energy 2024, 360, 122819. [Google Scholar] [CrossRef]
  21. Cui, L.; Wang, J.; Chen, X.; Song, M. Regional policy options for carbon peaking in the Yangtze River Delta under uncertainty. J. Environ. Manag. 2024, 364, 121445. [Google Scholar] [CrossRef]
  22. Zhao, M.; Sun, T. Dynamic spatial spillover effect of new energy vehicle industry policies on carbon emission of transportation sector in China. Energy Policy 2022, 165, 11299. [Google Scholar] [CrossRef]
  23. Zhang, F.; Deng, X.; Phillips, F.; Fang, C.; Wang, C. Impacts of industrial structure and technical progress on carbon emission intensity: Evidence from 281 cities in China. Technol. Forecast. Soc. Change 2020, 154, 119949. [Google Scholar] [CrossRef]
  24. Luo, X.; Liu, C.; Zhao, H. Modeling and spatio-temporal analysis on CO2 emissions in the Guangdong-Hong Kong-Macao greater bay area and surrounding cities based on neural network and autoencoder. Sustain. Cities Soc. 2024, 103, 105254. [Google Scholar] [CrossRef]
  25. Bai, C.; Zhou, L.; Xia, M.; Feng, C. Analysis of the spatial association network structure of China's transportation carbon emissions and its driving factors. J. Environ. Manag. 2020, 253, 109765. [Google Scholar] [CrossRef] [PubMed]
  26. Liu, S.; Xiao, Q. An empirical analysis on spatial correlation investigation of industrial carbon emissions using SNA-ICE model. Energy 2021, 224, 120183. [Google Scholar] [CrossRef]
  27. Dong, J.; Li, C. Structure characteristics and influencing factors of China’s carbon emission spatial correlation network: A study based on the dimension of urban agglomerations. Sci. Total Environ. 2022, 853, 158613. [Google Scholar] [CrossRef]
  28. Li, R.; Jiang, R. Investigating effect of R&D investment on decoupling environmental pressure from economic growth in the global top six carbon dioxide emitters. Sci. Total Environ. 2020, 740, 140053. [Google Scholar]
  29. Yang, J.; Hao, Y.; Feng, C. A race between economic growth and carbon emissions: What play important roles towards global low-carbon development? Energy Econ. 2021, 100, 105327. [Google Scholar] [CrossRef]
  30. Zhao, Y.; Su, Q.; Li, B.; Zhang, Y.; Wang, X.; Zhao, H.; Guo, S. Have those countries declaring “zero carbon” or “carbon neutral” climate goals achieved carbon emissions-economic growth decoupling? J. Clean. Prod. 2022, 363, 132450. [Google Scholar] [CrossRef]
  31. Xie, P.; Gong, N.; Sun, F.; Li, P.; Pan, X. What factors contribute to the extent of decoupling economic growth and energy carbon emissions in China? Energy Policy 2023, 173, 113416. [Google Scholar] [CrossRef]
  32. Gao, C.; Ge, H.; Lu, Y.; Wang, W.; Zhang, Y. Decoupling of provincial energy-related CO2 emissions from economic growth in China and its convergence from 1995 to 2017. J. Clean. Prod. 2021, 297, 12662. [Google Scholar] [CrossRef]
  33. Wang, Z.; Li, F.; Xie, Z.; Li, Q.; Zhang, Y.; Dai, M. Decoupling CO2 Emissions from Economic Growth in China’s Cities from 2000 to 2020: A Case Study of the Pearl River Delta Agglomeration. Land 2023, 12, 1804. [Google Scholar] [CrossRef]
  34. Moudi, M.; Sun, G.; Gao, R.; Liu, Y.; Liu, Y.; Li, C. Studying regional low-carbon development: A case study of Sichuan Province in China. PLoS ONE 2024, 19, e0302733. [Google Scholar]
  35. Xu, W.; Xie, Y.; Xia, D.; Ji, L.; Huang, G. A multi-sectoral decomposition and decoupling analysis of carbon emissions in Guangdong province, China. J. Environ. Manag. 2021, 298, 113485. [Google Scholar] [CrossRef]
  36. Yang, F.; Shi, L.; Gao, L. Probing CO2 emission in Chengdu based on STRIPAT model and Tapio decoupling. Sustain. Cities Soc. 2023, 89, 104309. [Google Scholar] [CrossRef]
  37. Chen, Z.; Yu, B.; Yang, C.; Zhou, Y.; Qian, X.; Wang, C.; Wu, B.; Wu, J. An extended time series (2000–2018) of global NPP-VIIRS-like nighttime light data from a cross-sensor calibration. Earth Syst. Sci. Data 2021, 13, 889–906. [Google Scholar] [CrossRef]
  38. NBSC. China Energy Statistical Yearbook 2000–2023; China Statistical Press: Beijing, China, 2023. [Google Scholar]
  39. Liu, Z.; Guan, D.; Wei, W.; Davis, S.J.; Ciais, P.; Bai, J.; Peng, S.; Zhang, Q.; Hubacek, K.; Marland, G.; et al. Reduced carbon emission estimates from fossil fuel combustion and cement production in China. Nature 2015, 524, 335. [Google Scholar] [CrossRef] [PubMed]
  40. Zhou, Y.; Chen, M.; Tang, Z.; Zhao, Y. City-level carbon emissions accounting and differentiation integrated nighttime light and city attributes. Resour. Conserv. Recycl. 2022, 182, 106337. [Google Scholar] [CrossRef]
  41. Abualigah, L.; Yousri, D.; Abd Elaziz, M.; Ewees, A.A.; Al-qaness MA, A.; Gandomi, A.H. Aquila Optimizer: A novel meta-heuristic optimization algorithm. Comput. Ind. Eng. 2021, 157, 107250. [Google Scholar] [CrossRef]
  42. Tobler, W.R. A computer movie simulating urban growth in the Detroit region. Econ. Geogr. 1970, 46, 234–240. [Google Scholar] [CrossRef]
  43. Shi, X.; Zhong, Y. Research on the temporal and spatial pattern evolution characteristics and decoupling effect of electricity power consumption in China. Sustain. Cities Soc. 2024, 110, 105558. [Google Scholar] [CrossRef]
  44. Fan, J.; Xiao, Z. Analysis of spatial correlation network of China’s green innovation. J. Clean. Prod. 2021, 299, 126815. [Google Scholar] [CrossRef]
  45. Tapio, P. Towards a theory of decoupling: Degrees of decoupling in the EU and the case of road traffic in Finland between 1970 and 2001. Transp. Policy 2005, 12, 137–151. [Google Scholar] [CrossRef]
  46. Yang, D.; Luan, W.; Qiao, L.; Pratama, M. Modeling and spatio-temporal analysis of city-level carbon emissions based on nighttime light satellite imagery. Appl. Energy 2020, 268, 114696. [Google Scholar] [CrossRef]
Figure 1. Map of the research region: the YRD region.
Figure 1. Map of the research region: the YRD region.
Land 14 00051 g001
Figure 2. Research framework: the estimation of CO2 emissions and its evolutionary characteristics of spatial and temporal patterns and decoupling effect.
Figure 2. Research framework: the estimation of CO2 emissions and its evolutionary characteristics of spatial and temporal patterns and decoupling effect.
Land 14 00051 g002
Figure 3. The structure of the AO-BP model.
Figure 3. The structure of the AO-BP model.
Land 14 00051 g003
Figure 4. Quadrant plot of decoupling states corresponding to decoupling indices.
Figure 4. Quadrant plot of decoupling states corresponding to decoupling indices.
Land 14 00051 g004
Figure 5. Dataset splitting schemes for different scenarios.
Figure 5. Dataset splitting schemes for different scenarios.
Land 14 00051 g005
Figure 6. Testing errors for different scenarios.
Figure 6. Testing errors for different scenarios.
Land 14 00051 g006
Figure 7. City-level CO2 emission estimates in the YRD region.
Figure 7. City-level CO2 emission estimates in the YRD region.
Land 14 00051 g007
Figure 8. Temporal evolution of carbon emissions in the YRD region, 2000–2022.
Figure 8. Temporal evolution of carbon emissions in the YRD region, 2000–2022.
Land 14 00051 g008
Figure 9. Spatial pattern evolution of Yangtze River Delta region CO2 emissions (Mt).
Figure 9. Spatial pattern evolution of Yangtze River Delta region CO2 emissions (Mt).
Land 14 00051 g009
Figure 10. Local Moran’s I for cities in the YRD region.
Figure 10. Local Moran’s I for cities in the YRD region.
Land 14 00051 g010
Figure 11. Spatial and temporal evolution of spatial correlation characteristics of carbon emissions, 2000–2022.
Figure 11. Spatial and temporal evolution of spatial correlation characteristics of carbon emissions, 2000–2022.
Land 14 00051 g011
Figure 12. Spatial patterns of the decoupling effect of carbon emissions in the YRD region, 2000–2022.
Figure 12. Spatial patterns of the decoupling effect of carbon emissions in the YRD region, 2000–2022.
Land 14 00051 g012
Table 1. Literature on spatial effects analysis of carbon emissions.
Table 1. Literature on spatial effects analysis of carbon emissions.
ArticleTime DurationRegionMethod
Zhao and Sun [22]2009–201830 provinces in ChinaMoran
Zhang et al. [23]2006–2016281 cities in CinaMoran
Luo et al. [24]2000–2019GBA and surrounding citiesMoran
Bai et al. [25]2005–201530 provinces in ChinaGravity model
Liu and Xiao [26]2004–201730 provinces in ChinaGravity model
Dong and Li [27]2005–20197 Megalopolis in ChinaGravity model
Table 2. Literature on the decoupling effects of carbon emissions and economic growth.
Table 2. Literature on the decoupling effects of carbon emissions and economic growth.
ArticleTime DurationResearch TargetMethod
Li and Jiang [28]1996–20146 world’s largest CO2 emittersTapio Model
Yang et al. [29]2000–2017Six continents in the worldTapio Model
Zhao et al. [30]2000–2018133 countriesTapio Model
Xie et al. [31]1978–2020ChinaTapio Model
Gao et al. [32]1995–201730 provinces in ChinaTapio Model
Wang et al. [33]2000–2020Pearl River DeltaTapio Model
Moudi et al. [34]2005–2020Sichuan ProvinceTapio Model
Xu et al. [35]2002–2017Guangdong ProvinceTapio Model
Yang et al. [36]2009–2020Chengdu CityTapio Model
Table 3. Detailed testing errors for the three scenarios.
Table 3. Detailed testing errors for the three scenarios.
ScenarioMethodRMSEMAPEMAER2
Scenario 1MLR52.20370.134143.42450.9663
RR63.48350.184659.84800.9839
BP16.62200.038813.88050.9911
PSO-BP21.03090.047617.29150.9882
SSA-BP15.15310.044010.47410.9978
AO-BP12.12120.034010.57580.9990
Scenario 2MLR93.18630.230084.32770.9450
RR110.87220.2784103.02270.9602
BP76.89480.131155.12680.8902
PSO-BP47.92620.089136.79030.9493
SSA-BP49.16690.105438.02610.9513
AO-BP35.73140.075329.51740.9488
Scenario 3MLR147.59710.3601134.39580.9192
RR165.63280.3950148.95480.9173
BP179.44030.2447110.58540.8348
PSO-BP66.07290.081038.59730.8833
SSA-BP45.03400.102236.27550.9192
AO-BP41.69190.096032.62680.9256
Table 4. Global Moran’s I index obtained by city-level CO2 emissions.
Table 4. Global Moran’s I index obtained by city-level CO2 emissions.
YearMoran’s IZ-Scorep-Value
20000.08791.26630.2054
20010.15132.02810.0425 **
20020.18582.28430.0224 **
20030.19802.29000.0220 **
20040.26292.97170.0030 ***
20050.25172.70530.0068 ***
20060.27762.91550.0036 ***
20070.29533.00430.0027 ***
20080.32223.19640.0014 ***
20090.25212.68410.0073 ***
20100.32123.18660.0014 ***
20110.33163.28710.0010 ***
20120.27982.87650.0040 ***
20130.31553.15750.0016 ***
20140.30753.07820.0021 ***
20150.32073.21380.0013 ***
20160.31363.14260.0017 ***
20170.31003.12940.0018 ***
20180.31013.14130.0017 ***
20190.29713.01850.0025 ***
20200.29853.01740.0025 ***
20210.30242.99380.0028 ***
20220.30242.94320.0032 ***
Note: ***, **, and * indicate that coefficients are statistically significant at 1%, 5%, and 10% levels, respectively.
Table 5. Characteristics of spatial correlation in the YRD region, 2000–2022.
Table 5. Characteristics of spatial correlation in the YRD region, 2000–2022.
2000200720152022
Weaker correlation720729721708
Weak correlation78717570
Middle correlation16141629
Strong correlation54511
Stronger correlation1222
Disclaimer/Publisher’s Note: The statements, opinions and data contained in all publications are solely those of the individual author(s) and contributor(s) and not of MDPI and/or the editor(s). MDPI and/or the editor(s) disclaim responsibility for any injury to people or property resulting from any ideas, methods, instructions or products referred to in the content.

Share and Cite

MDPI and ACS Style

Luo, X.; Cai, C.; Zhao, H. Study on the Evolutionary Characteristics of Spatial and Temporal Patterns and Decoupling Effect of Urban Carbon Emissions in the Yangtze River Delta Region Based on Neural Network Optimized by Aquila Optimizer with Nighttime Light Data. Land 2025, 14, 51. https://doi.org/10.3390/land14010051

AMA Style

Luo X, Cai C, Zhao H. Study on the Evolutionary Characteristics of Spatial and Temporal Patterns and Decoupling Effect of Urban Carbon Emissions in the Yangtze River Delta Region Based on Neural Network Optimized by Aquila Optimizer with Nighttime Light Data. Land. 2025; 14(1):51. https://doi.org/10.3390/land14010051

Chicago/Turabian Style

Luo, Xichun, Chaoming Cai, and Honghao Zhao. 2025. "Study on the Evolutionary Characteristics of Spatial and Temporal Patterns and Decoupling Effect of Urban Carbon Emissions in the Yangtze River Delta Region Based on Neural Network Optimized by Aquila Optimizer with Nighttime Light Data" Land 14, no. 1: 51. https://doi.org/10.3390/land14010051

APA Style

Luo, X., Cai, C., & Zhao, H. (2025). Study on the Evolutionary Characteristics of Spatial and Temporal Patterns and Decoupling Effect of Urban Carbon Emissions in the Yangtze River Delta Region Based on Neural Network Optimized by Aquila Optimizer with Nighttime Light Data. Land, 14(1), 51. https://doi.org/10.3390/land14010051

Note that from the first issue of 2016, this journal uses article numbers instead of page numbers. See further details here.

Article Metrics

Back to TopTop