Spatial and Seasonal Variation and the Driving Mechanism of the Thermal Effects of Urban Park Green Spaces in Zhengzhou, China
Abstract
1. Introduction
2. Materials and Methods
2.1. Study Area
2.2. Data and Methods
2.2.1. Parks Selection, Classification, and Field Survey
2.2.2. Inversion of LST
2.2.3. Impact Factors
2.2.4. Correlation between LST and Driving Factors
3. Results
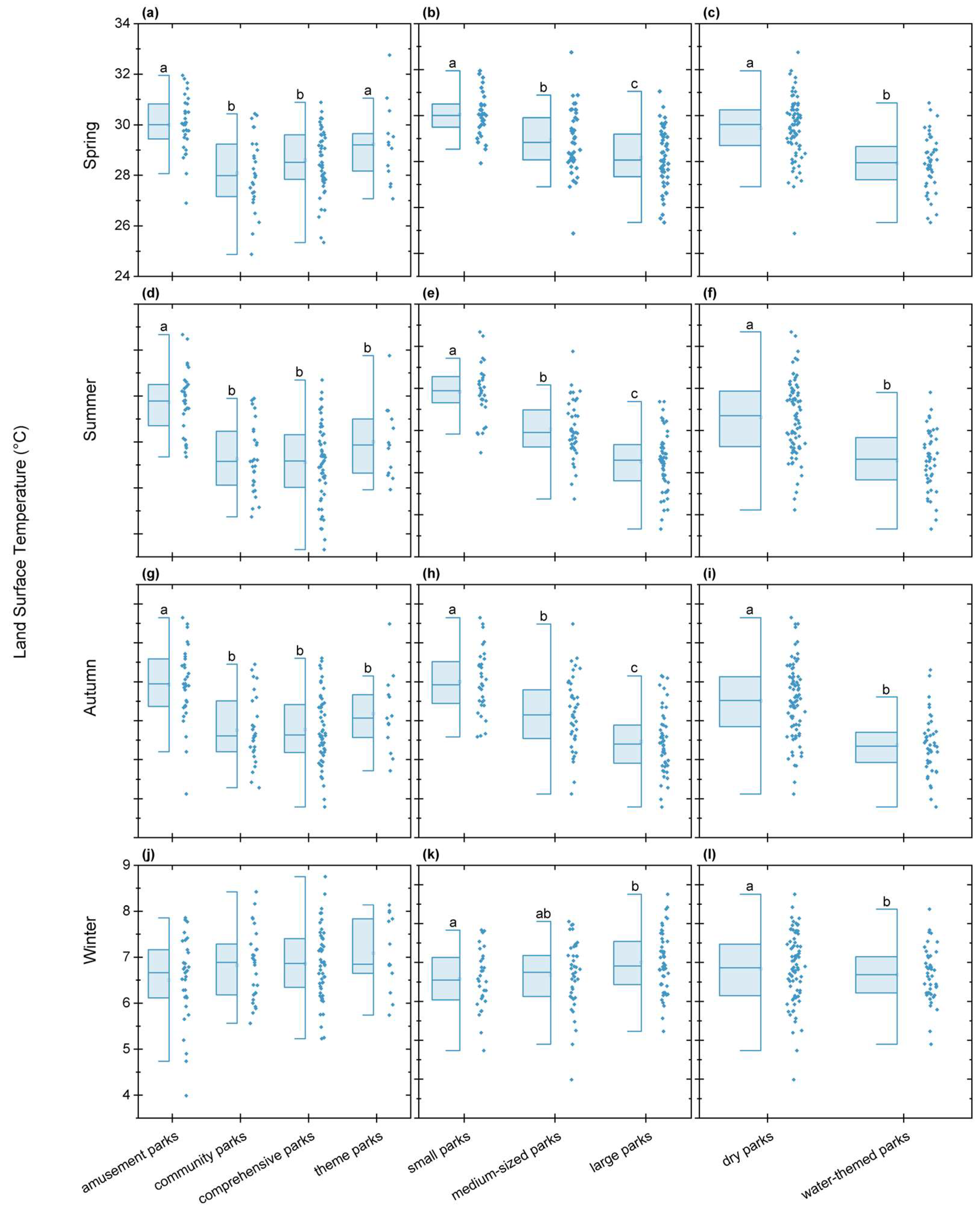
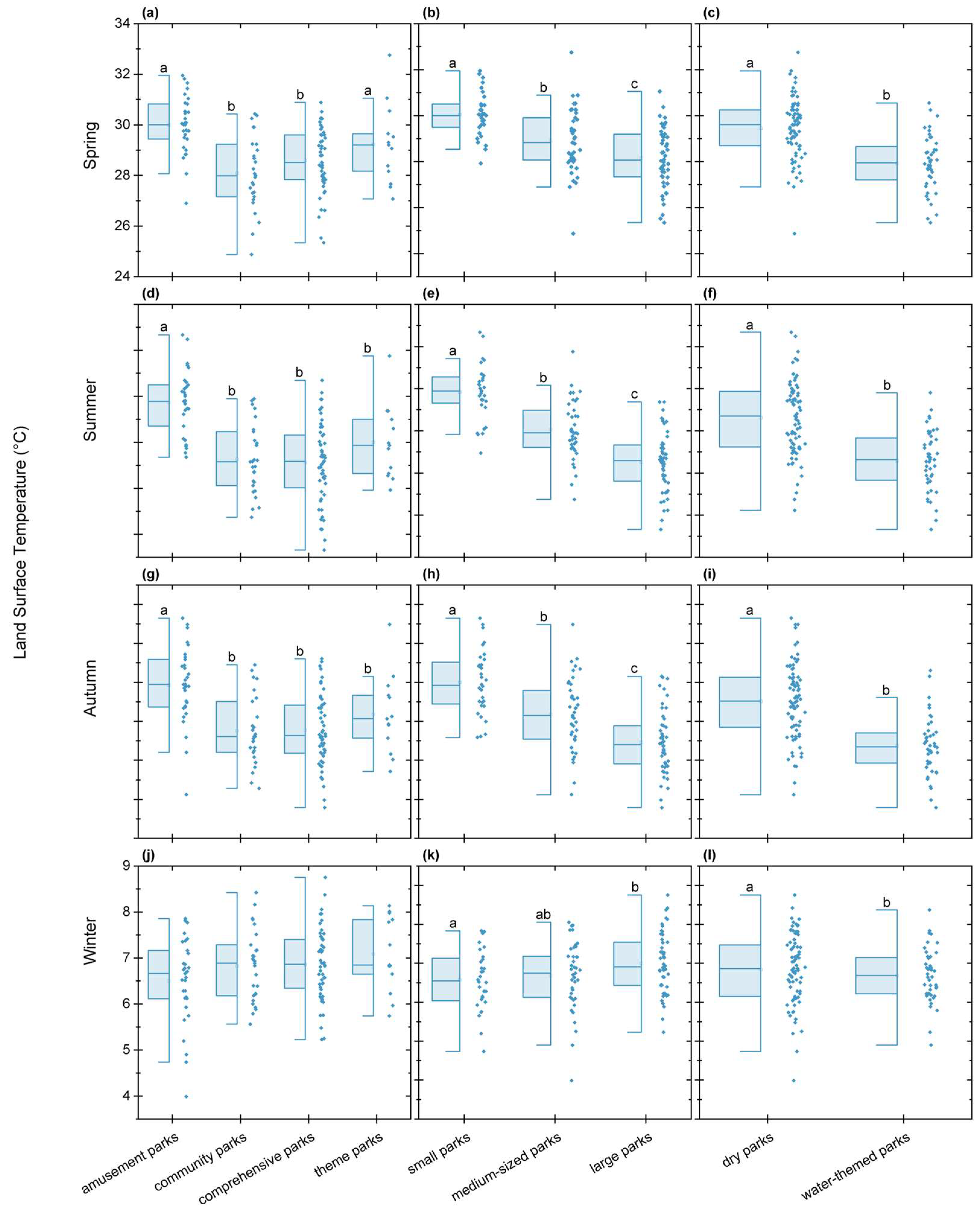
3.1. Characteristics of Spatial and Temporal Variability of LST in Parks
3.2. Spatial Changes in Impact Factors
3.3. Corrections between LST and Impact Factors
3.4. Relative Importance of Impact Factors
3.5. Marginal Effects
4. Discussion
4.1. Seasonal Variations in LST in Parks
4.2. Impact Factors Driving LST
4.3. Implications for Future Urban Planning and Management
4.4. Limitations and Suggestions
5. Conclusions
Author Contributions
Funding
Data Availability Statement
Conflicts of Interest
Appendix A

References
- United Nations. 68% of the World Population Projected to Live in Urban Areas by 2050, Says UN; United Nations: New York, NY, USA, 2018. [Google Scholar]
- Li, B.; Chen, C.; Hu, B. Governing Urbanization and the New Urbanization Plan in China. Environ. Urban. 2016, 28, 515–534. [Google Scholar] [CrossRef]
- Ventriglio, A.; Torales, J.; Castaldelli-Maia, J.M.; Berardis, D.D.; Bhugra, D. Urbanization and Emerging Mental Health Issues. CNS Spectr. 2021, 26, 43–50. [Google Scholar] [CrossRef] [PubMed]
- Wu, J.; Xiang, W.-N.; Zhao, J. Urban Ecology in China: Historical Developments and Future Directions. Landsc. Urban Plan. 2014, 125, 222–233. [Google Scholar] [CrossRef]
- Liang, L.; Wang, Z.; Li, J. The Effect of Urbanization on Environmental Pollution in Rapidly Developing Urban Agglomerations. J. Clean. Prod. 2019, 237, 117649. [Google Scholar] [CrossRef]
- Li, G.; Zhang, X.; Mirzaei, P.A.; Zhang, J.; Zhao, Z. Urban Heat Island Effect of a Typical Valley City in China: Responds to the Global Warming and Rapid Urbanization. Sustain. Cities Soc. 2018, 38, 736–745. [Google Scholar] [CrossRef]
- Augusto, B.; Roebeling, P.; Rafael, S.; Ferreira, J.; Ascenso, A.; Bodilis, C. Short and Medium- to Long-Term Impacts of Nature-Based Solutions on Urban Heat. Sustain. Cities Soc. 2020, 57, 102122. [Google Scholar] [CrossRef]
- Founda, D.; Santamouris, M. Synergies between Urban Heat Island and Heat Waves in Athens (Greece), during an Extremely Hot Summer (2012). Sci. Rep. 2017, 7, 10973. [Google Scholar] [CrossRef]
- Tan, J.; Zheng, Y.; Tang, X.; Guo, C.; Li, L.; Song, G.; Zhen, X.; Yuan, D.; Kalkstein, A.J.; Li, F.; et al. The Urban Heat Island and Its Impact on Heat Waves and Human Health in Shanghai. Int. J. Biometeorol. 2010, 54, 75–84. [Google Scholar] [CrossRef]
- Patz, J.A.; Campbell-Lendrum, D.; Holloway, T.; Foley, J.A. Impact of Regional Climate Change on Human Health. Nature 2005, 438, 310–317. [Google Scholar] [CrossRef]
- Chow, W.T.L.; Pope, R.L.; Martin, C.A.; Brazel, A.J. Observing and Modeling the Nocturnal Park Cool Island of an Arid City: Horizontal and Vertical Impacts. Theor. Appl. Clim. 2011, 103, 197–211. [Google Scholar] [CrossRef]
- Su, Y.; Wu, J.; Zhang, C.; Wu, X.; Li, Q.; Liu, L.; Bi, C.; Zhang, H.; Lafortezza, R.; Chen, X. Estimating the Cooling Effect Magnitude of Urban Vegetation in Different Climate Zones Using Multi-Source Remote Sensing. Urban Clim. 2022, 43, 101155. [Google Scholar] [CrossRef]
- Qiu, G.; Li, H.; Zhang, Q.; Chen, W.; Liang, X.; Li, X. Effects of Evapotranspiration on Mitigation of Urban Temperature by Vegetation and Urban Agriculture. J. Integr. Agric. 2013, 12, 1307–1315. [Google Scholar] [CrossRef]
- Sun, R.; Chen, L. Effects of Green Space Dynamics on Urban Heat Islands: Mitigation and Diversification. Ecosyst. Serv. 2017, 23, 38–46. [Google Scholar] [CrossRef]
- Debbage, N.; Shepherd, J.M. The Urban Heat Island Effect and City Contiguity. Comput. Environ. Urban Syst. 2015, 54, 181–194. [Google Scholar] [CrossRef]
- Stuhlmacher, M.; Georgescu, M.; Turner, B.L.; Hu, Y.; Goldblatt, R.; Gupta, S.; Frazier, A.E.; Kim, Y.; Balling, R.C.; Clinton, N. Are Global Cities Homogenizing? An Assessment of Urban Form and Heat Island Implications. Cities 2022, 126, 103705. [Google Scholar] [CrossRef]
- Abdulmana, S.; Garcia-Constantino, M.; Lim, A. The Influence of Elevation, Land Cover and Vegetation Index on LST Increase in Taiwan from 2000 to 2021. Sustainability 2023, 15, 3262. [Google Scholar] [CrossRef]
- Peng, W.; Yuan, X.; Gao, W.; Wang, R.; Chen, W. Assessment of Urban Cooling Effect Based on Downscaled Land Surface Temperature: A Case Study for Fukuoka, Japan. Urban Clim. 2021, 36, 100790. [Google Scholar] [CrossRef]
- Xiang, Y.; Ye, Y.; Peng, C.; Teng, M.; Zhou, Z. Seasonal Variations for Combined Effects of Landscape Metrics on Land Surface Temperature (LST) and Aerosol Optical Depth (AOD). Ecol. Indic. 2022, 138, 108810. [Google Scholar] [CrossRef]
- Gabriel, K.M.A.; Endlicher, W.R. Urban and Rural Mortality Rates during Heat Waves in Berlin and Brandenburg, Germany. Environ. Pollut. 2011, 159, 2044–2050. [Google Scholar] [CrossRef]
- Kim, M.; Lee, K.; Cho, G.-H. Temporal and Spatial Variability of Urban Heat Island by Geographical Location: A Case Study of Ulsan, Korea. Build. Environ. 2017, 126, 471–482. [Google Scholar] [CrossRef]
- Chapman, S.; Thatcher, M.; Salazar, A.; Watson, J.E.M.; McAlpine, C.A. The Impact of Climate Change and Urban Growth on Urban Climate and Heat Stress in a Subtropical City. Int. J. Climatol. 2019, 39, 3013–3030. [Google Scholar] [CrossRef]
- Liu, Y.; Li, Q.; Yang, L.; Mu, K.; Zhang, M.; Liu, J. Urban Heat Island Effects of Various Urban Morphologies under Regional Climate Conditions. Sci. Total Environ. 2020, 743, 140589. [Google Scholar] [CrossRef]
- Peng, J.; Jia, J.; Liu, Y.; Li, H.; Wu, J. Seasonal Contrast of the Dominant Factors for Spatial Distribution of Land Surface Temperature in Urban Areas. Remote Sens. Environ. 2018, 215, 255–267. [Google Scholar] [CrossRef]
- Tran, D.X.; Pla, F.; Latorre-Carmona, P.; Myint, S.W.; Caetano, M.; Kieu, H.V. Characterizing the Relationship between Land Use Land Cover Change and Land Surface Temperature. ISPRS J. Photogramm. 2017, 124, 119–132. [Google Scholar] [CrossRef]
- Guo, A.; Yang, J.; Xiao, X.; Xia, J.; Jin, C.; Li, X. Influences of Urban Spatial Form on Urban Heat Island Effects at the Community Level in China. Sustain. Cities Soc. 2020, 53, 101972. [Google Scholar] [CrossRef]
- Han, D.; An, H.; Wang, F.; Xu, X.; Qiao, Z.; Wang, M.; Sui, X.; Liang, S.; Hou, X.; Cai, H.; et al. Understanding Seasonal Contributions of Urban Morphology to Thermal Environment Based on Boosted Regression Tree Approach. Build. Environ. 2022, 226, 109770. [Google Scholar] [CrossRef]
- Özhancı, E.; Koç, A. The Effect of Different Area Uses and Topography on Surface Temperature and Climate Parameters. Environ. Sci. Pollut. Res. 2023, 30, 47038–47051. [Google Scholar] [CrossRef]
- Saavedra, M.; Junquas, C.; Espinoza, J.-C.; Silva, Y. Impacts of Topography and Land Use Changes on the Air Surface Temperature and Precipitation over the Central Peruvian Andes. Atmos. Res. 2020, 234, 104711. [Google Scholar] [CrossRef]
- Xin, J.; Yang, J.; Sun, D.; Han, T.; Song, C.; Shi, Z. Seasonal Differences in Land Surface Temperature under Different Land Use/Land Cover Types from the Perspective of Different Climate Zones. Land 2022, 11, 1122. [Google Scholar] [CrossRef]
- Yuan, B.; Li, X.; Zhou, L.; Bai, T.; Hu, T.; Huang, J.; Liu, D.; Li, Y.; Guo, J. Global Distinct Variations of Surface Urban Heat Islands in Inter- and Intra-Cities Revealed by Local Climate Zones and Seamless Daily Land Surface Temperature Data. ISPRS J. Photogramm. Remote Sens. 2023, 204, 1–14. [Google Scholar] [CrossRef]
- Peng, J.; Dan, Y.; Qiao, R.; Liu, Y.; Dong, J.; Wu, J. How to Quantify the Cooling Effect of Urban Parks? Linking Maximum and Accumulation Perspectives. Remote Sens. Environ. 2021, 252, 112135. [Google Scholar] [CrossRef]
- Zhou, T.; Jia, W.; Yan, L.; Hong, B.; Wang, K. Urban Park’s Vertical Canopy Structure and Its Varied Cooling Effect under Continuous Warming Climate. Urban Clim. 2024, 53, 101819. [Google Scholar] [CrossRef]
- Zhang, K.; Yun, G.; Song, P.; Wang, K.; Li, A.; Du, C.; Jia, X.; Feng, Y.; Wu, M.; Qu, K.; et al. Discover the Desirable Landscape Structure of Urban Parks for Mitigating Urban Heat: A High Spatial Resolution Study Using a Forest City, Luoyang, China as a Lens. Int. J. Environ. Res. Public Health 2023, 20, 3155. [Google Scholar] [CrossRef] [PubMed]
- Sobrino, J.A.; Juan, C. Jiménez-Muoz, J.C. Leonardo Paolini Land Surface Temperature Retrieval from LANDSAT TM 5. Remote Sens. Environ. 2004, 90, 434–440. [Google Scholar] [CrossRef]
- Carlson, T.N.; Ripley, D.A. On the Relation between NDVI, Fractional Vegetation Cover, and Leaf Area Index. Remote Sens. Environ. 1997, 62, 241–252. [Google Scholar] [CrossRef]
- Huang, J.; Wang, Y. Cooling Intensity of Hybrid Landscapes in a Metropolitan Area: Relative Contribution and Marginal Effect. Sustain. Cities Soc. 2022, 79, 103725. [Google Scholar] [CrossRef]
- Li, Z.; Hu, D. Exploring the Relationship between the 2D/3D Architectural Morphology and Urban Land Surface Temperature Based on a Boosted Regression Tree: A Case Study of Beijing, China. Sustain. Cities Soc. 2022, 78, 103392. [Google Scholar] [CrossRef]
- Du, C.; Song, P.; Wang, K.; Li, A.; Hu, Y.; Zhang, K.; Jia, X.; Feng, Y.; Wu, M.; Qu, K.; et al. Investigating the Trends and Drivers between Urbanization and the Land Surface Temperature: A Case Study of Zhengzhou, China. Sustainability 2022, 14, 13845. [Google Scholar] [CrossRef]
- Min, M.; Zhao, H.; Miao, C. Spatio-Temporal Evolution Analysis of the Urban Heat Island: A Case Study of Zhengzhou City, China. Sustainability 2018, 10, 1992. [Google Scholar] [CrossRef]
- Yang, H.; Xi, C.; Zhao, X.; Mao, P.; Wang, Z.; Shi, Y.; He, T.; Li, Z. Measuring the Urban Land Surface Temperature Variations Under Zhengzhou City Expansion Using Landsat-Like Data. Remote Sens. 2020, 12, 801. [Google Scholar] [CrossRef]
- Li, B.; Shi, X.; Wang, H.; Qin, M. Analysis of the Relationship between Urban Landscape Patterns and Thermal Environment: A Case Study of Zhengzhou City, China. Environ. Monit. Assess. 2020, 192, 540. [Google Scholar] [CrossRef] [PubMed]
- Zhao, H.; Tan, J.; Ren, Z.; Wang, Z. Spatiotemporal Characteristics of Urban Surface Temperature and Its Relationship with Landscape Metrics and Vegetation Cover in Rapid Urbanization Region. Complexity 2020, 2020, 7892362. [Google Scholar] [CrossRef]
- Zhou, X.; Chen, H. Experimental Analysis of the Influence of Urban Morphological Indices on the Urban Thermal Environment of Zhengzhou, China. Atmosphere 2021, 12, 1058. [Google Scholar] [CrossRef]
- Zhang, X.; Xiao, Y.; Zhu, G.; Shi, J. A Coupled CEEMD-BiLSTM Model for Regional Monthly Temperature Prediction. Environ. Monit. Assess. 2023, 195, 379. [Google Scholar] [CrossRef]
- Zhou, S.; Liu, D.; Zhu, M.; Tang, W.; Chi, Q.; Ye, S.; Xu, S.; Cui, Y. Temporal and Spatial Variation of Land Surface Temperature and Its Driving Factors in Zhengzhou City in China from 2005 to 2020. Remote Sens. 2022, 14, 4281. [Google Scholar] [CrossRef]
- Li, Y.; Fan, S.; Li, K.; Zhang, Y.; Kong, L.; Xie, Y.; Dong, L. Large Urban Parks Summertime Cool and Wet Island Intensity and Its Influencing Factors in Beijing, China. Urban For. Urban Green. 2021, 65, 127375. [Google Scholar] [CrossRef]
- Bowler, D.E.; Buyung-Ali, L.; Knight, T.M.; Pullin, A.S. Urban Greening to Cool Towns and Cities: A Systematic Review of the Empirical Evidence. Landsc. Urban Plan. 2010, 97, 147–155. [Google Scholar] [CrossRef]
- Feyisa, G.L.; Dons, K.; Meilby, H. Efficiency of Parks in Mitigating Urban Heat Island Effect: An Example from Addis Ababa. Landsc. Urban Plan. 2014, 123, 87–95. [Google Scholar] [CrossRef]
- Lin, W.; Yu, T.; Chang, X.; Wu, W.; Zhang, Y. Calculating Cooling Extents of Green Parks Using Remote Sensing: Method and Test. Landsc. Urban Plan. 2015, 134, 66–75. [Google Scholar] [CrossRef]
- Oliveira, S.; Andrade, H.; Vaz, T. The Cooling Effect of Green Spaces as a Contribution to the Mitigation of Urban Heat: A Case Study in Lisbon. Build. Environ. 2011, 46, 2186–2194. [Google Scholar] [CrossRef]
- Onishi, A.; Xin, C.; Ito, T.; Shi, F.; Imura, H. Evaluating the Potential for Urban Heat-Island Mitigation by Greening Parking Lots. Urban For. Urban Green. 2010, 9, 323–332. [Google Scholar] [CrossRef]
- Hamada, S.; Ohta, T. Seasonal Variations in the Cooling Effect of Urban Green Areas on Surrounding Urban Areas. Urban For. Urban Green. 2010, 9, 15–24. [Google Scholar] [CrossRef]
- Yang, C.; He, X.; Wang, R.; Yan, F.; Yu, L.; Bu, K.; Yang, J.; Chang, L.; Zhang, S. The Effect of Urban Green Spaces on the Urban Thermal Environment and Its Seasonal Variations. Forests 2017, 8, 153. [Google Scholar] [CrossRef]
- Ca, V.T.; Asaeda, T.; Abu, E.M. Reductions in air conditioning energy caused by a nearby park. Energy Build. 1998, 29, 83–92. [Google Scholar] [CrossRef]
- Yao, L.; Li, T.; Xu, M.; Xu, Y. How the Landscape Features of Urban Green Space Impact Seasonal Land Surface Temperatures at a City-Block-Scale: An Urban Heat Island Study in Beijing, China. Urban For. Urban Green. 2020, 52, 126704. [Google Scholar] [CrossRef]
- Nwakaire, C.M.; Onn, C.C.; Yap, S.P.; Yuen, C.W.; Onodagu, P.D. Urban Heat Island Studies with Emphasis on Urban Pavements: A Review. Sustain. Cities Soc. 2020, 63, 102476. [Google Scholar] [CrossRef]
- Yang, Q.; Huang, X.; Li, J. Assessing the Relationship between Surface Urban Heat Islands and Landscape Patterns across Climatic Zones in China. Sci. Rep. 2017, 7, 9337. [Google Scholar] [CrossRef]
- Lin, B.-S.; Lin, Y.-J. Cooling Effect of Shade Trees with Different Characteristics in a Subtropical Urban Park. Hortscience 2010, 45, 83–86. [Google Scholar] [CrossRef]
- Cao, S.; Sanchez-Azofeifa, A. Modeling Seasonal Surface Temperature Variations in Secondary Tropical Dry Forests. Int. J. Appl. Earth Obs. Geoinf. 2017, 62, 122–134. [Google Scholar] [CrossRef]
- Aram, F.; García, E.H.; Solgi, E.; Mansournia, S. Urban Green Space Cooling Effect in Cities. Heliyon 2019, 5, e01339. [Google Scholar] [CrossRef]
- Wu, W.; Li, L.; Li, C. Seasonal Variation in the Effects of Urban Environmental Factors on Land Surface Temperature in a Winter City. J. Clean. Prod. 2021, 299, 126897. [Google Scholar] [CrossRef]
- Chen, L.; Wang, X.; Cai, X.; Yang, C.; Lu, X. Seasonal Variations of Daytime Land Surface Temperature and Their Underlying Drivers over Wuhan, China. Remote Sens. 2021, 13, 323. [Google Scholar] [CrossRef]
- Zhang, W.; Jiang, J.; Zhu, Y. Change in Urban Wetlands and Their Cold Island Effects in Response to Rapid Urbanization. Chin. Geogr. Sci. 2015, 25, 462–471. [Google Scholar] [CrossRef]
- Haase, D.; Jänicke, C.; Wellmann, T. Front and Back Yard Green Analysis with Subpixel Vegetation Fractions from Earth Observation Data in a City. Landsc. Urban. Plan. 2019, 182, 44–54. [Google Scholar] [CrossRef]
- Park, J.; Kim, J.-H.; Lee, D.K.; Park, C.Y.; Jeong, S.G. The Influence of Small Green Space Type and Structure at the Street Level on Urban Heat Island Mitigation. Urban. For. Urban Green. 2017, 21, 203–212. [Google Scholar] [CrossRef]
- Wu, C.; Li, J.; Wang, C.; Song, C.; Finka, M. Estimating the Cooling Effect of Pocket Green Space in High Density Urban Areas in Shanghai, China. Front. Environ. Sci. 2021, 9, 657969. [Google Scholar] [CrossRef]
- Cao, X.; Onishi, A.; Chen, J.; Imura, H. Quantifying the Cool Island Intensity of Urban Parks Using ASTER and IKONOS Data. Landsc. Urban Plan. 2010, 96, 224–231. [Google Scholar] [CrossRef]
- Jenerette, G.D.; Harlan, S.L.; Brazel, A.; Jones, N.; Larsen, L.; Stefanov, W.L. Regional Relationships between Surface Temperature, Vegetation, and Human Settlement in a Rapidly Urbanizing Ecosystem. Landsc. Ecol. 2007, 22, 353–365. [Google Scholar] [CrossRef]
- Eyster, H.N.; Beckage, B. Conifers May Ameliorate Urban Heat Waves Better Than Broadleaf Trees: Evidence from Vancouver, Canada. Atmosphere 2022, 13, 830. [Google Scholar] [CrossRef]
- Li, Z.; Zheng, H. Cooling and Humidification Effects of Coniferous and Broad-Leaved Plant Communities in Urban Park. Build. Environ. 2023, 245, 110892. [Google Scholar] [CrossRef]
- Yuan, F.; Bauer, M.E. Comparison of Impervious Surface Area and Normalized Difference Vegetation Index as Indicators of Surface Urban Heat Island Effects in Landsat Imagery. Remote Sens. Environ. 2007, 106, 375–386. [Google Scholar] [CrossRef]
- Yu, Z.; Xu, S.; Zhang, Y.; Jorgensen, G.; Vejre, H. Strong Contributions of Local Background Climate to the Cooling Effect of Urban Green Vegetation. Sci. Rep. 2018, 8, 6798. [Google Scholar] [CrossRef] [PubMed]
- Huang, G.; Cadenasso, M.L. People, Landscape, and Urban Heat Island: Dynamics among Neighborhood Social Conditions, Land Cover and Surface Temperatures. Landsc. Ecol. 2016, 31, 2507–2515. [Google Scholar] [CrossRef]
- Asgarian, A.; Amiri, B.J.; Sakieh, Y. Assessing the Effect of Green Cover Spatial Patterns on Urban Land Surface Temperature Using Landscape Metrics Approach. Urban Ecosyst. 2015, 18, 209–222. [Google Scholar] [CrossRef]
- Xue, Y.; Lu, H.; Guan, Y.; Tian, P.; Yao, T. Impact of Thermal Condition on Vegetation Feedback under Greening Trend of China. Sci. Total Environ. 2021, 785, 147380. [Google Scholar] [CrossRef]
- Chen, J.; Jin, S.; Du, P. Roles of Horizontal and Vertical Tree Canopy Structure in Mitigating Daytime and Nighttime Urban Heat Island Effects. Int. J. Appl. Earth Obs. Geoinf. 2020, 89, 102060. [Google Scholar] [CrossRef]
- Klok, L.; Zwart, S.; Verhagen, H.; Mauri, E. The Surface Heat Island of Rotterdam and Its Relationship with Urban Surface Characteristics. Resour. Conserv. Recycl. 2012, 64, 23–29. [Google Scholar] [CrossRef]
- Yang, C.; Yan, F.; Lei, X.; Ding, X.; Zheng, Y.; Liu, L.; Zhang, S. Investigating Seasonal Effects of Dominant Driving Factors on Urban Land Surface Temperature in a Snow-Climate City in China. Remote Sens. 2020, 12, 3006. [Google Scholar] [CrossRef]
- Liu, C.-F.; Li, J.-Z.; Li, X.-M.; He, X.-Y.; Chen, W. Selection of landscape metrics for urban forest based on simulated landscapes. Ying Yong Sheng Tai Xue Bao 2009, 20, 1125–1131. [Google Scholar]
- Xie, M.; Wang, Y.; Chang, Q.; Fu, M.; Ye, M. Assessment of Landscape Patterns Affecting Land Surface Temperature in Different Biophysical Gradients in Shenzhen, China. Urban Ecosyst. 2013, 16, 871–886. [Google Scholar] [CrossRef]
- Masoudi, M.; Tan, P.Y. Multi-Year Comparison of the Effects of Spatial Pattern of Urban Green Spaces on Urban Land Surface Temperature. Landsc. Urban Plan. 2019, 184, 44–58. [Google Scholar] [CrossRef]
- Yin, J.; Wu, X.; Shen, M.; Zhang, X.; Zhu, C.; Xiang, H.; Shi, C.; Guo, Z.; Li, C. Impact of Urban Greenspace Spatial Pattern on Land Surface Temperature: A Case Study in Beijing Metropolitan Area, China. Landsc. Ecol. 2019, 34, 2949–2961. [Google Scholar] [CrossRef]
- Li, X.; Zhou, W.; Ouyang, Z.; Xu, W.; Zheng, H. Spatial Pattern of Greenspace Affects Land Surface Temperature: Evidence from the Heavily Urbanized Beijing Metropolitan Area, China. Landsc. Ecol. 2012, 27, 887–898. [Google Scholar] [CrossRef]
- Zhao, H.; Zhang, H.; Miao, C.; Ye, X.; Min, M. Linking Heat Source-Sink Landscape Patterns with Analysis of Urban Heat Islands: Study on the Fast-Growing Zhengzhou City in Central China. Remote Sens. 2018, 10, 1268. [Google Scholar] [CrossRef]
- Zheng, Z.; Lin, X.; Chen, L.; Yan, C.; Sun, T. Effects of Urbanization and Topography on Thermal Comfort during a Heat Wave Event: A Case Study of Fuzhou, China. Sustain. Cities Soc. 2024, 102, 105233. [Google Scholar] [CrossRef]
- Song, B.; Park, K. Mountain Valley Cold Air Flow Interactions with Urban Morphology: A Case Study of the Urban Area of Changwon, South Korea. Landsc. Urban Plan. 2023, 233, 104703. [Google Scholar] [CrossRef]
- Badaro-Saliba, N.; Adjizian-Gerard, J.; Zaarour, R.; Najjar, G. LCZ Scheme for Assessing Urban Heat Island Intensity in a Complex Urban Area (Beirut, Lebanon). Urban Clim. 2021, 37, 100846. [Google Scholar] [CrossRef]









| Satellite | Sensor | Date | Satellite | Sensor | Date |
|---|---|---|---|---|---|
| Landsat 8 | OLI_TIRS | 12 November 2019 | Landsat 8 | OLI_TIRS | 30 September 2021 |
| Landsat 8 | OLI_TIRS | 31 January 2020 | Landsat 8 | OLI_TIRS | 3 December 2021 |
| Landsat 8 | OLI_TIRS | 16 February 2020 | Landsat 8 | OLI_TIRS | 19 December 2021 |
| Landsat 8 | OLI_TIRS | 19 March 2020 | Landsat 9 | OLI-2_TIRS-2 | 27 December 2021 |
| Landsat 8 | OLI_TIRS | 4 April 2020 | Landsat 9 | OLI-2_TIRS-2 | 2 April 2022 |
| Landsat 8 | OLI_TIRS | 22 May 2020 | Landsat 8 | OLI_TIRS | 10 April 2022 |
| Landsat 8 | OLI_TIRS | 26 August 2020 | Landsat 9 | OLI-2_TIRS-2 | 18 April 2022 |
| Landsat 8 | OLI_TIRS | 11 September 2020 | Landsat 9 | OLI-2_TIRS-2 | 4 May 2022 |
| Landsat 8 | OLI_TIRS | 29 October 2020 | Landsat 9 | OLI-2_TIRS-2 | 20 May 2022 |
| Landsat 8 | OLI_TIRS | 16 December 2020 | Landsat 9 | OLI-2_TIRS-2 | 5 June 2022 |
| Landsat 8 | OLI_TIRS | 1 January 2021 | Landsat 8 | OLI_TIRS | 13 June 2022 |
| Landsat 8 | OLI_TIRS | 17 January 2021 | Landsat 8 | OLI_TIRS | 29 June 2022 |
| Landsat 8 | OLI_TIRS | 2 February 2021 | Landsat 9 | OLI-2_TIRS-2 | 7 July 2022 |
| Landsat 8 | OLI_TIRS | 22 March 2021 | Landsat 8 | OLI_TIRS | 1 September 2022 |
| Variable | Abbr. | Units | Description | Formula |
|---|---|---|---|---|
| Tree Count | TC | individuals | Total number of trees in sample plots | |
| Tree Species Count | TSC | individuals | Total number of tree species in sample plots | - |
| Average Tree Crown Width | TCW | m | Mean width of tree crowns | |
| Average Tree Height | TH | m | Mean height of trees in sample plots | |
| Average Tree Diameter at Breast Height | TDBH | cm | Average diameter of tree trunks at 1.3 m above ground | |
| Tree Crown Base Height | TCBH | m | Mean height from ground to lowest branch of crown | |
| Shrub Count | SC | individuals | Total number of shrubs in sample plots | |
| Shrub Species Count | SSC | individuals | Total number of shrub species in sample plots | - |
| Average Shrub Canopy Width | SCW | m | Mean width of shrub canopies | |
| Average Shrub Height | SH | m | Mean height of shrubs in sample plots | |
| Average Shrub Stem Diameter | SSD | cm | Average diameter of shrub stems | |
| Individual Count | C | individuals | Total number of individuals in sample plots | |
| Simpson Index | D | - | Probability that two randomly selected individuals belong to the same species | |
| Shannon-Wiener Index | H | - | Index accounting for species abundance and evenness | |
| Menhinick Index | DM | - | Measure of species richness considering the number of species and individuals | |
| Mean Patch Size | AREA_MN | ha | Average size of landscape patches | |
| Edge Density | ED | m/ha | Total edge length in the landscape per unit area (per hectare) | |
| Interspersion and Juxtaposition Index | IJI | % | Dispersion and juxtaposition of patch types (0: low, 100: high) | |
| Largest Patch Index | LPI | % | Percentage of landscape occupied by the largest patch | |
| Patch Perimeter | PERIM | m | Total boundary length of patches | - |
| Vegetation Cover Percentage | PG | % | Percentage of landscape covered by vegetation | |
| Impervious Surface Percentage | PI | % | Percentage of landscape covered by impervious surfaces | |
| Water Body Percentage | PW | % | Percentage of landscape covered by water bodies | |
| Shape Index | SHAPE | - | Complexity of patch shapes relative to a standard shape (e.g., square) | |
| Shannon Diversity Index | SHDI | - | Index considering species richness and evenness across patches |
| Season | LST (°C) | Amusement Parks | Community Parks | Comprehensive Parks | Theme Parks | Small Parks | Medium-Sized Parks | Large Parks | Dry Parks | Water-Themed Parks |
|---|---|---|---|---|---|---|---|---|---|---|
| Spring | Maximum | 8.75 | 30.43 | 30.89 | 32.75 | 31.95 | 32.75 | 31.05 | 32.75 | 30.55 |
| Minimum | 26.9 | 24.87 | 25.34 | 27.07 | 27.92 | 24.87 | 25.34 | 24.87 | 25.34 | |
| Average | 29.99 | 28.09 | 28.6 | 29.23 | 30.06 | 28.91 | 28.16 | 29.45 | 27.93 | |
| Standard Deviation | 1.11 | 1.44 | 1.25 | 1.57 | 0.96 | 1.41 | 1.31 | 1.31 | 1.22 | |
| Summer | Maximum | 40.67 | 37.9 | 38.7 | 39.76 | 40.67 | 39.76 | 37.37 | 40.67 | 37.81 |
| Minimum | 35.35 | 32.74 | 31.32 | 33.92 | 34.95 | 32.74 | 31.32 | 32.23 | 31.32 | |
| Average | 37.73 | 35.26 | 35.1 | 36.01 | 37.83 | 36.06 | 34.52 | 36.62 | 34.59 | |
| Standard Deviation | 1.37 | 1.5 | 1.73 | 1.61 | 1.31 | 1.4 | 1.43 | 1.75 | 1.44 | |
| Autumn | Maximum | 28.65 | 27.45 | 27.6 | 28.49 | 28.65 | 28.49 | 27.15 | 28.65 | 27.31 |
| Minimum | 24.12 | 24.29 | 23.79 | 24.71 | 25.58 | 24.12 | 23.79 | 24.12 | 23.79 | |
| Average | 26.93 | 25.75 | 25.77 | 26.18 | 27 | 26.18 | 25.46 | 26.51 | 25.37 | |
| Standard Deviation | 0.97 | 0.87 | 0.91 | 1.01 | 0.82 | 0.93 | 0.8 | 0.96 | 0.74 | |
| Winter | Maximum | 7.86 | 8.42 | 8.75 | 8.14 | 7.84 | 8.06 | 8.75 | 8.75 | 8.37 |
| Minimum | 3.99 | 5.56 | 5.23 | 5.74 | 4.74 | 3.99 | 5.23 | 3.99 | 4.9 | |
| Average | 6.5 | 6.82 | 6.86 | 7.09 | 6.58 | 6.68 | 7 | 6.84 | 6.69 | |
| Standard Deviation | 0.93 | 0.77 | 0.77 | 0.82 | 0.79 | 0.87 | 0.78 | 0.89 | 0.68 |
Disclaimer/Publisher’s Note: The statements, opinions and data contained in all publications are solely those of the individual author(s) and contributor(s) and not of MDPI and/or the editor(s). MDPI and/or the editor(s) disclaim responsibility for any injury to people or property resulting from any ideas, methods, instructions or products referred to in the content. |
© 2024 by the authors. Licensee MDPI, Basel, Switzerland. This article is an open access article distributed under the terms and conditions of the Creative Commons Attribution (CC BY) license (https://creativecommons.org/licenses/by/4.0/).
Share and Cite
Feng, Y.; Zhang, K.; Li, A.; Zhang, Y.; Wang, K.; Guo, N.; Wan, H.Y.; Tan, X.; Dong, N.; Xu, X.; et al. Spatial and Seasonal Variation and the Driving Mechanism of the Thermal Effects of Urban Park Green Spaces in Zhengzhou, China. Land 2024, 13, 1474. https://doi.org/10.3390/land13091474
Feng Y, Zhang K, Li A, Zhang Y, Wang K, Guo N, Wan HY, Tan X, Dong N, Xu X, et al. Spatial and Seasonal Variation and the Driving Mechanism of the Thermal Effects of Urban Park Green Spaces in Zhengzhou, China. Land. 2024; 13(9):1474. https://doi.org/10.3390/land13091474
Chicago/Turabian StyleFeng, Yuan, Kaihua Zhang, Ang Li, Yangyang Zhang, Kun Wang, Nan Guo, Ho Yi Wan, Xiaoyang Tan, Nalin Dong, Xin Xu, and et al. 2024. "Spatial and Seasonal Variation and the Driving Mechanism of the Thermal Effects of Urban Park Green Spaces in Zhengzhou, China" Land 13, no. 9: 1474. https://doi.org/10.3390/land13091474
APA StyleFeng, Y., Zhang, K., Li, A., Zhang, Y., Wang, K., Guo, N., Wan, H. Y., Tan, X., Dong, N., Xu, X., He, R., Wang, B., Fan, L., Ge, S., & Song, P. (2024). Spatial and Seasonal Variation and the Driving Mechanism of the Thermal Effects of Urban Park Green Spaces in Zhengzhou, China. Land, 13(9), 1474. https://doi.org/10.3390/land13091474

