Effect of Grazing on Plant and Soil Parameters of Steppe Pastures on Mount Aragats, Armenia
Abstract
1. Introduction
2. Materials and Methods
2.1. Study Area
2.2. Climate
2.3. Vegetation
2.4. Sampling
2.5. Data Analysis
3. Results
4. Discussion
4.1. Effect of Grazing Exclusion on Vegetation and Soil Characteristics
4.2. Effect of Grazing on Vegetation and Soil Characteristics
4.3. The Importance of Pasture Management
5. Conclusions
Author Contributions
Funding
Data Availability Statement
Conflicts of Interest
References
- Török, P.; Penksza, K.; Tóth, E.; Kelemen, A.; Sonkoly, J.; Tóthmérész, B. Vegetation type and grazing intensity jointly shape grazing effects on grassland biodiversity. Ecol. Evol. 2018, 8, 10326–10335. [Google Scholar] [CrossRef]
- Milchunas, D.; Forwood, J.; Lauenroth, W. Productivity of long-term grazing treatments in response to seasonal precipitation. J. Range Manag. 1994, 47, 133–139. [Google Scholar] [CrossRef]
- Török, P.; Valkó, O.; Deák, B.; Kelemen, A.; Tóth, E.; Tóthmérész, B. Managing for species composition or diversity? Pastoral and free grazing systems of alkali grasslands. Agric. Ecosyst. Environ. 2016, 234, 23–30. [Google Scholar] [CrossRef]
- Gao, X.; Huang, X.; Lob, K.; Dang, Q.; Wena, R. Vegetation responses to climate change in the Qilian Mountain nature reserve, Northwest China. Glob. Ecol. Conserv. 2021, 28, 1–12. [Google Scholar] [CrossRef]
- Zhang, Y.; Liang, W.; Liao, L.; Han, Z.; Xu, M.; Jiao, R.; Liu, L. Effects of climate change on lake area and vegetation cover over the past 55 years in Northeast Inner Mongolia grassland, China. Theor. Appl. Climatol. 2019, 138, 13–25. [Google Scholar] [CrossRef]
- Bai, W.; Fang, Y.; Zhou, M.; Xie, T.; Li, L.; Zhang, W. Heavily intensified grazing reduces root production in Inner Mongolia temperate steppe. Agric. Ecosyst. Environ. 2014, 200, 143–150. [Google Scholar] [CrossRef]
- Briggs, J.; Knapp, A. Interannual variability in primary production in tallgrass prairie: Climate, soil moisture, topographic position and fire as determinants of aboveground biomass. Am. J. Bot. 1995, 82, 1024–1030. [Google Scholar] [CrossRef]
- Craine, J.; Nipperta, J.; Elmoreb, A.; Skibbea, A.; Hutchinsonc, S.; Brunsell, N. Timing of climate variability and grassland productivity. Proc. Natl. Acad. Sci. USA 2012, 109, 3401–3405. [Google Scholar] [CrossRef]
- Gamoun, M.; Tarhouni, M.; Belgacem, A.; Neffati, M.; Hanchi, B. Response of different arid rangelands to protection and drought. Arid Land Res. Manag. 2011, 25, 372–378. [Google Scholar] [CrossRef]
- Hao, L.; Sun, G.; Liu, Y.; Gao, Z.; He, J.; Shi, T.; Wu, B. Effects of precipitation on grassland ecosystem restoration under grazing exclusion in Inner Mongolia, China. Landsc. Ecol. 2014, 29, 1657–1673. [Google Scholar] [CrossRef]
- Ni, J. Estimating net primary productivity of grasslands from field biomass measurements in temperate northern China. Plant Ecol. 2004, 174, 217–234. [Google Scholar] [CrossRef]
- Sala, O.; Parton, W.; Joyce, L.; Lauenroth, W. Primary production of the central grassland region of the United States. Ecology 1988, 69, 40–45. [Google Scholar] [CrossRef]
- Yang, H.; Wu, M.; Liu, W.; Zhang, E.; Zhang, N.; Wan, S. Community structure and composition in response to climate change in a temperate steppe. Glob. Chang. Biol. 2011, 17, 452–465. [Google Scholar] [CrossRef]
- Chen, L.; Li, H.; Zhang, P.; Zhao, X.; Zhou, L.; Liu, T.; Hu, H.; Bai, Y.; Shen, H.; Fang, J. Climate and native grassland vegetation as drivers of the community structures of shrub-encroached grasslands in Inner Mongolia, China. Lands. Ecol. 2014, 30, 1627–1641. [Google Scholar] [CrossRef]
- Li, Z.; Ma, W.; Liang, C.; Liu, Z.; Wang, W.; Wang, L. Long-term vegetation dynamics driven by climatic variations in the Inner Mongolia grassland: Findings from 30-year monitoring. Lands. Ecol. 2015, 30, 1701–1711. [Google Scholar] [CrossRef]
- Deng, S.; Yang, T.; Zeng, B.; Zhu, X.; Xu, H. Vegetation cover variation in the Qilian Mountains and its Response to Climate Change in 2000–2011. J. Mt. Sci. 2013, 10, 1050–1062. [Google Scholar] [CrossRef]
- Yan, W.; Shi, F.; Wan, T. Effects of grazing intensity on plant-soil C: N: P stoichiometry with precipitation changes during the growing season in desert grassland. Res. Sq. 2021; 1–18. [Google Scholar] [CrossRef]
- Kudrevatykh, Y.; Kalinin, P.; Mitenko, G. The effect of changes vegetation cover on the chemical properties of steppe soils during climate aridization. Plant Soil. 2023, 491, 265–284. [Google Scholar] [CrossRef]
- Wang, X.; Dong, S.; Yang, B.; Li, Y.; Su, X. The effects of grassland degradation on plant diversity, primary productivity and soil fertility in the alpine region of Asia’s headwaters. Environ. Monit. Assess. 2014, 186, 6903–6917. [Google Scholar] [CrossRef]
- Hanafi, A.; Jauffret, S. Are long-term vegetation dynamics useful in monitoring and assessing desertification processes in the arid steppe, southern Tunisia. J. Arid. Environ. 2008, 72, 557–572. [Google Scholar] [CrossRef]
- Zhang, M.; Zhang, F.; Guo, L.; Dong, P.; Cheng, C.; Kumar, P.; Johnson, B.; Chan, N.; Shi, J. Contributions of climate change and human activities to grassland degradation and improvement from 2001 to 2020 in Zhaosu County, China. J. Environ. Manag. 2023, 348, 119465. [Google Scholar] [CrossRef]
- McNaughton, S.; Banyikwa, F.; McNaughton, M. Promotion of the cycling of diet-enhancing nutrients by African grazers. Science 1997, 278, 1798–1800. [Google Scholar] [CrossRef]
- Parissi, Z.; Papaioannou, A.; Abraham, E.; Kyriazopoulos, A.; Sklavou, P.; Tsiouvaras, C. Influence of combined grazing by wild boar and small ruminant on soil and plant nutrient contents in a coppice oak forest. Plant Nutr. Soil Sci. 2014, 177, 783–791. [Google Scholar] [CrossRef]
- Abraham, E.; Karatassiou, M.; Parissi, Z.; Koukoura, Z.; Tsiouvaras, C. Long-term effects of grazing on composition in various habitats of a mountainous area in central Greece. Options Méditerranéennes 2009, 85, 73–78. [Google Scholar]
- Collins, S.; Knapp, A.; Briggs, J.; Blair, J.; Steinauer, E. Modulation of diversity by grazing and mowing in native tallgrass prairie. Science 1998, 280, 745–747. [Google Scholar] [CrossRef] [PubMed]
- Chen, J.; Tang, H.P. Effect of grazing exclusion on vegetation characteristics and soil organic carbon of Leymus chinensis grassland in northern China. Sustainability 2016, 8, 56. [Google Scholar] [CrossRef]
- Qasim, S.; Gul, S.; Shah, M.; Hussain, F.; Ahmad, S.; Islam, M.; Rehman, G.; Yaqoob, M.; Qasim, S. Influence of grazing exclosure on vegetation biomass and soil quality. Int. Soil Water Cons. Res. 2017, 5, 62–68. [Google Scholar] [CrossRef]
- Rong, Y.; Yuan, F.; Ma, L. Effectiveness of enclosures for restoring soils and vegetation degraded by overgrazing in the Junggar Basin, China. Grassl. Sci. 2014, 60, 118–124. [Google Scholar] [CrossRef]
- Jeddi, K.; Chaieb, M. Changes in soil properties and vegetation following livestock grazing exclusion in degraded arid environment of South Tunisia. Flora Morphol. Distrib. Funct. Ecol. Plants 2010, 205, 184–189. [Google Scholar] [CrossRef]
- He, N.; Zhang, Y.; Yu, Q.; Chen, Q.; Pan, Q.; Zhnag, G.; Han, X. Grazing intensity impacts soil carbon and nitrogen storage of continental steppe. Ecosphere 2011, 2, 1–10. [Google Scholar] [CrossRef]
- Ghazaryan, H. Soils of Armenia. In Soil Resources of Mediterranean and Caucasus Countries: Extension of the European Soil Database; Yigini, Y., Panagos, P., Montanarella, L., Eds.; Office for Official Publications of the European Communities: Luxembourg, 2013; pp. 2–15. [Google Scholar]
- Gabrielyan, E.; Zohary, D. Wild relatives of food crops native to Armenia and Nachichevan. Fl. Midit. 2004, 14, 5–80. [Google Scholar]
- Study of pasture management issue and their causality in the Republic of Armenia. In 2019 SDC Report; Swiss Agency for Development Cooperation: Bern, Switzerland, 2019.
- Mezhunts, B.K. Production Process of the Ecosystems of the Ararat Valley and the Ways for Their Improvement; Abs. of doct. diss.; CENS NAS RA: Yerevan, Armenia, 2011; 43p. [Google Scholar]
- Fayvush, G. Endemic plants of Armenian flora. In Flora, Vegetation and Plant Resources of Armenia; Armenian Academy of Sciences: Yerevan, Armenia, 2007; Volume 16, pp. 62–68. [Google Scholar]
- Fayvush, G.; Aleksanyan, A. Habitats of Armenia; NAS RA Institute of Botany: Yerevan, Armenia, 2016; 360p. [Google Scholar]
- Tovmasyan, G. Sustainable Management of Biodiversity Program South Caucasus: Guidelines for Development and Implementation of Sustainable Management Plans for Pastures and Grasslands; Task LLC: Yerevan, Armenia, 2015; 60p. [Google Scholar]
- ISO 11465; Soil Quality—Determination of Dry Matter and Water Content on a Mass Basis—Gravimetric Method. 1st ed. ISO: Geneva, Switzerland, 1993; 3p.
- ISO 10390:2021; Soil, Treated Biowaste and Sludge—Determination of pH. 3rd ed. ISO: Geneva, Switzerland, 2021; 8p.
- ISO 11261:1995; Soil Quality—Determination of Total Nitrogen—Modified Kjeldahl Method. 1st ed. ISO: Geneva, Switzerland, 1995; 4p.
- Truog, E.; Meyer, H. Improvements in the deniges colorimetric method for phosphate and arsenic. Ind. Eng. Chem. Anal. Ed. 1929, 1, 136–139. [Google Scholar] [CrossRef]
- ISO 11263:1994; Soil Quality—Determination of Phosphorus—Spectrometric Determination of Phosphorus Soluble in Sodium Hydrogen Carbonate Solution. 1st ed. ISO: Geneva, Switzerland, 1994; 5p.
- Standard Operating Procedure for Soil Organic Carbon. In Walkley-Black Method, Titration and Colorimetric Method; FAO: Rome, Italy, 2019; pp. 1–25.
- ISO 5725:2023; Accuracy (Trueness and Precision) of Measurement Methods and Results. 2nd ed. ISO: Geneva, Switzerland, 2023; 19p.
- Sandel, B.; Goldstein, L.; Kraft, N.; Okie, J.; Shuldman, M.; Ackerly, D.; Cleland, E.; Suding, K. Contrasting trait responses in plant communities toexperimental and geographic variation in precipitation. New Phytol. 2010, 188, 565–575. [Google Scholar] [CrossRef]
- Bai, Y.; Wu, J.; Xing, Q.; Pan, Q.; Huang, J.; Yang, D.; Han, X. Primary production and rain use efficiency across a precipitation gradient on the Mongolia plateau. Ecology 2008, 89, 2140–2153. [Google Scholar] [CrossRef]
- Clark, C.; Tilman, D. Loss of plant species after chronic low-level nitrogen deposition to prairie grasslands. Nature 2008, 451, 712–715. [Google Scholar] [CrossRef] [PubMed]
- De Deyn, G.; Quirk, H.; Yi, Z.; Oakley, S.; Ostle, N.; Bardgett, R. Vegetation composition promotes carbon and nitrogen storage in model grassland communities of contrasting soil fertility. Ecology 2009, 97, 864–875. [Google Scholar] [CrossRef]
- Reynolds, H.; Haubensak, K. Soil fertility, heterogeneity and microbes: Towards an integrated understanding of grassland structure and dynamics. Appl. Veg. Sci. 2009, 12, 33–44. [Google Scholar] [CrossRef]
- Bale, C.; Williams, J.; Charley, J. The impact of aspect on forest structure and floristics in some Eastern Australian sites. Forest Ecol. Manag. 1998, 110, 363–377. [Google Scholar] [CrossRef]
- Gao, Y.; Giese, G.; Han, X.; Wang, D.; Zhou, Z.; Brueck, H.; Lin, S.; Taube, F. Land use and drought interactively affect interspecific competition and species diversity at the local scale in a semiarid steppe ecosystem. Ecol. Res. 2009, 24, 627–635. [Google Scholar] [CrossRef]
- Briggs, J.; Knapp, A. Determinants of C3 forb growth and production in a C4 dominated Grassland. Plant Ecol. 2001, 152, 93–100. [Google Scholar] [CrossRef]
- O’Connor, T.; Haines, L.; Snyman, H. Influence of precipitation and species composition on phytomass of a semi-arid African grassland. J. Ecol. 2001, 89, 850–860. [Google Scholar] [CrossRef]
- Tilman, D. The Ecological consequences of changes in biodiversity: A search for general principles. Ecology 1999, 80, 1455–1474. [Google Scholar] [CrossRef]
- Wei, P.; Pan, X.; Xu, L.; Hu, Q.; Zhang, X.; Guo, Y.; Shao, C.; Wang, C.; Li, Q.; Yin, Z. The effects of topography on aboveground biomass and soil moisture at local scale in dryland grassland ecosystem, China. Ecol. Indic. 2019, 105, 107–115. [Google Scholar] [CrossRef]
- Radic, V.; Drinic, M.; Kralj, A.; Figurek, A.; Komljenovic, L. Impact of agricultural practices on the botanical composition changes and nutritional value of natural grassland, type Aagroseietum vulgaris. Appl. Ecol. Environ. Res. 2017, 15, 403–415. [Google Scholar] [CrossRef]
- Liu, D.; Zhang, C.; Ogaya, R.; Estiarte, M.; Peñuelas, J. Effects of Decadal experimental drought and climate extremes on vegetation growth in Mediterranean forests and shrublands. J. Veg. Sci. 2020, 31, 768–779. [Google Scholar] [CrossRef]
- Weil, R.R.; Brady, N.C. The Nature and Properties of Soils, 15th ed.; Pearson: Columbus, OH, USA, 2016; ISBN 978-0-13-325448-8. [Google Scholar]
- Moghbeli, Z.; Ebrahimi, M.; Shirmohammdi, E. Effects of different livestock grazing intensities on plant cover, soil properties, and above and below ground C and N Pools in arid ecosystems (Jiroft Rangeland, Iran). Environ. Resour. Res. 2021, 9, 13–30. [Google Scholar]







| Sites | Elevation, m a.s.l. | Terrain | Soil Characteristics | Precipitation, mm | Temperature, °C | FUP |
|---|---|---|---|---|---|---|
| NSSH1 (1–2) | 1323–1425 | Plain (slope up to 30°) and southeastern exposure | Loamy, slightly eroded, and very stony light chestnut soils with pH 7.8, humus 1.9%, total nitrogen 4.5% | 294 | 11.6 | 64 |
| NSSH2 (3–4) | 1673–1703 | Gentle slope (30–60°) and southeastern exposure | Soil dark chestnut; loamy; rubble–stony; pH 7.8, humus 2–4%, nitrogen 4–5% | 384 | 9.7 | 58 |
| AVN (5–6) | 1500–1580 | Northward, gentle slope | Typical chestnut; slightly eroded; moderately stony; loamy soils; with relatively low total nitrogen content (3.1%); pH 7.8, humus 2–4% | 430 | 6.9 | 72 |
| ANT (7–8) | 1783–1800 | Plain; northwestern | Cinnamonic, leached, clay, slightly stony, and eroded soils, which are distinguished by high humus content (5.2%), nitrogen 3.4%, and pH 7.6 | 477 | 9.1 | 39 |
| ART (9–10) | 1766–1824 | Northern exposure, gentle slope (30–60°) | Soil chernozem-like, leached, deep-calcic, clay, non-eroded, moderately stony; nitrogen 3.7%, humus 5.5%, and pH 7.7 | 477 | 9.1 | 53 |
| UGR | FG | UGR/FG | |||||||
|---|---|---|---|---|---|---|---|---|---|
| Year (Y) | Site (S) | S/Y | Year (Y) | Site (S) | S/Y | Grazing (Gr) | Site (S) | Gr/S | |
| Plant | |||||||||
| CH, cm | ns | * | ns | ns | * | ns | * | * | ns |
| TAGB, g m−2 | ns | * | ns | * | * | * | * | * | ns |
| G, g m−2 | ns | ns | ns | ns | * | ns | * | * | * |
| L, g m−2 | ns | * | ns | ns | * | ns | * | * | * |
| F, g m−2 | ns | * | * | ns | * | ns | * | * | ns |
| Soil | |||||||||
| N, % | ns | * | * | ns | * | * | * | * | ns |
| P2O5, % | ns | * | ns | ns | * | * | ns | * | * |
| K, % | ns | * | ns | ns | * | ns | ns | * | * |
| pH | ns | * | ns | ns | * | ns | ns | * | ns |
| Litter, % | ns | * | ns | ns | * | * | * | * | ns |
| Studied Parameters | Ungrazed | Freely Grazed | ||
|---|---|---|---|---|
| Mean | St.dev | Mean | St.dev | |
| Plant | ||||
| CH, cm | 32 a * | 9 | 21 b | 12 |
| TAGB, g m−2 | 308 a | 76 | 138 b | 78 |
| G, g m−2 | 143 a | 100 | 55 b | 53 |
| L, g m−2 | 58 a | 72 | 18 b | 36 |
| F, g m−2 | 107 a | 95 | 67 b | 54 |
| Soil | ||||
| N, % | 0.46 a | 0.13 | 0.37 b | 0.11 |
| P2O5, % | 0.39 a | 0.10 | 0.37 a | 0.08 |
| K, % | 0.54 a | 0.14 | 0.52 a | 0.17 |
| pH | 6.40 a | 0.71 | 6.35 a | 0.73 |
| Litter, % | 6.20 a | 1.25 | 4.95 b | 1.43 |
| Studied Parameters | Sites | ||||
|---|---|---|---|---|---|
| NSSH1 | NSSH2 | ANT | ART | AVN | |
| Plant | |||||
| CH, cm | 25 a * | 31 b | 42 b | 30 b | 28 a |
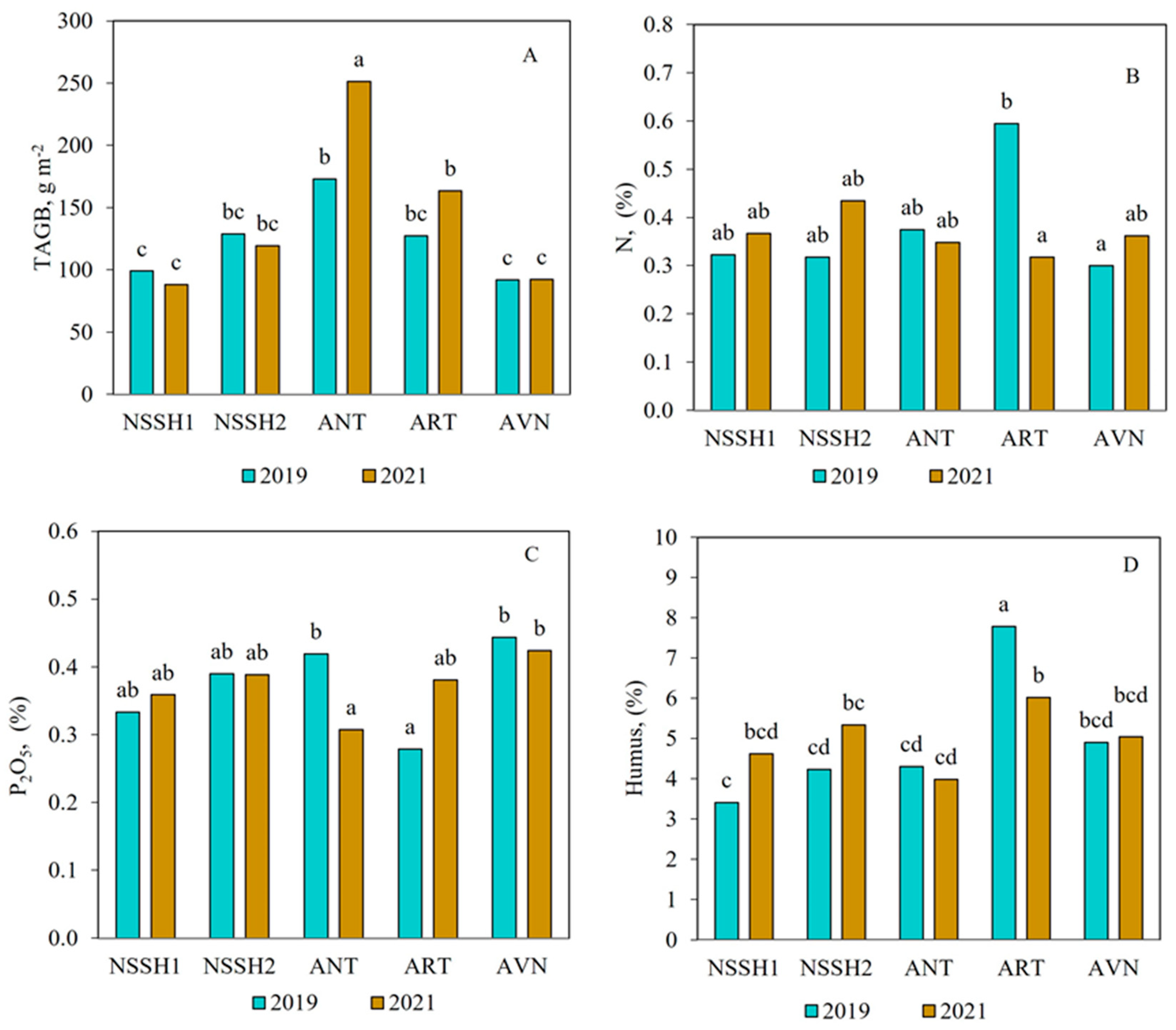
| TAGB, g m−2 | 270 a | 293 ab | 349 b | 311 b | 309 b |
| G, g m−2 | 128 a | 143 ab | 180 b | 129 ab | 130 ab |
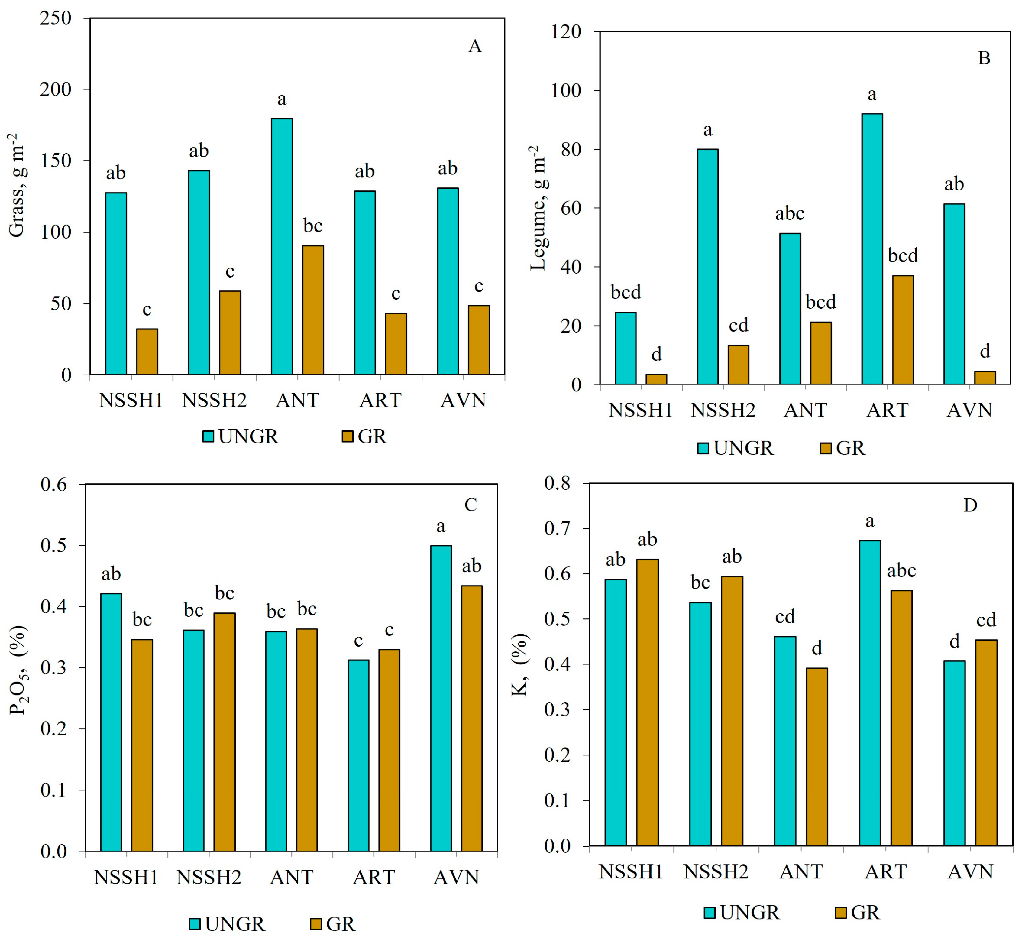
| L, g m−2 | 25 b | 80 a | 51 a | 92 a | 66 a |
| F, g m−2 | 137 a | 70 b | 118 a | 90 ab | 117 a |
| Soil | |||||
| N, % | 0.45 a | 0.48 a | 0.43 a | 0.54 a | 0.38 b |
| P2O5, % | 0.42 a | 0.36 ab | 0.35 ab | 0.31 b | 0.50 a |
| K, % | 0.59 a | 0.54 a | 0.46 a | 0.67 ab | 0.41 c |
| pH | 5.96 a | 6.11 a | 6.33 a | 6.79 b | 7.3 b |
| Litter, % | 5.19 a | 5.78 a | 5.86 ab | 7.45 c | 5.96 ab |
| Studied Parameters | Sites | ||||
|---|---|---|---|---|---|
| NSSH1 | NSSH2 | ANT | ART | AVN | |
| Plant | |||||
| CH, cm | 14 a * | 18 a | 38 b | 18 a | 19 a |
| TAGB, g m−2 | 96 a | 124 b | 212 c | 145 b | 93 a |
| G, g m−2 | 32 a | 59 b | 90 b | 43 a | 49 a |
| L, g m−2 | 3.5 a | 13.4 ab | 21.3 ab | 37 b | 4.6 a |
| F, g m−2 | 58 a | 53 a | 105 b | 65 a | 39 c |
| Soil | |||||
| N, % | 0.34 a | 0.38 a | 0.36 a | 0.46 b | 0.33 a |
| P2O5, % | 0.35 a | 0.39 ab | 0.36 a | 0.33 a | 0.43 b |
| K, % | 0.63 a | 0.59 a | 0.39 b | 0.56 a | 0.45 a |
| pH | 5.51 b | 6.13 a | 6.39 a | 6.84 a | 7.45 c |
| Litter, % | 4.01 a | 4.78 a | 4.14 a | 6.90 b | 4.97 a |
Disclaimer/Publisher’s Note: The statements, opinions and data contained in all publications are solely those of the individual author(s) and contributor(s) and not of MDPI and/or the editor(s). MDPI and/or the editor(s) disclaim responsibility for any injury to people or property resulting from any ideas, methods, instructions or products referred to in the content. |
© 2024 by the authors. Licensee MDPI, Basel, Switzerland. This article is an open access article distributed under the terms and conditions of the Creative Commons Attribution (CC BY) license (https://creativecommons.org/licenses/by/4.0/).
Share and Cite
Navasardyan, M.; Sargsyan, T.; Daveyan, H.; Mezhunts, B.; Abraham, E.M. Effect of Grazing on Plant and Soil Parameters of Steppe Pastures on Mount Aragats, Armenia. Land 2024, 13, 1430. https://doi.org/10.3390/land13091430
Navasardyan M, Sargsyan T, Daveyan H, Mezhunts B, Abraham EM. Effect of Grazing on Plant and Soil Parameters of Steppe Pastures on Mount Aragats, Armenia. Land. 2024; 13(9):1430. https://doi.org/10.3390/land13091430
Chicago/Turabian StyleNavasardyan, Marine, Tatevik Sargsyan, Harutyun Daveyan, Bagrat Mezhunts, and Eleni M. Abraham. 2024. "Effect of Grazing on Plant and Soil Parameters of Steppe Pastures on Mount Aragats, Armenia" Land 13, no. 9: 1430. https://doi.org/10.3390/land13091430
APA StyleNavasardyan, M., Sargsyan, T., Daveyan, H., Mezhunts, B., & Abraham, E. M. (2024). Effect of Grazing on Plant and Soil Parameters of Steppe Pastures on Mount Aragats, Armenia. Land, 13(9), 1430. https://doi.org/10.3390/land13091430

