Next Article in Journal
Regulatory Analysis of Strategic Environmental Assessment Follow-Up
Previous Article in Journal
Potential Reduction of Spatiotemporal Patterns of Water and Wind Erosion with Conservation Tillage in Northeast China
Previous Article in Special Issue
Disembedding and Disentangling Grassland Valuation: Insights into Grassland Management Institutions and Ecological Research in China
 
 
Font Type:
Arial Georgia Verdana
Font Size:
Aa Aa Aa
Line Spacing:
Column Width:
Background:
Article

Contribution of Rare Earth Elements Is Key to the Economy of the Future

by
Juan-Ramón Cuadros-Muñoz
1,
Juan-Antonio Jimber-del-Río
1,*,
Rafael Sorhegui-Ortega
2,
Michelle Zea-De la Torre
3 and
Arnaldo Vergara-Romero
1
1
Department of Agricultural Economics, Finance and Accounting, Faculty of Law and Financial Economy, Universidad de Córdoba, 14071 Córdoba, Spain
2
Research Departement, Universidad Bolivariana del Ecuador, Durán 092405, Ecuador
3
School of Economics, Universidad Ecotec, Samborondón 092302, Ecuador
*
Author to whom correspondence should be addressed.
Land 2024, 13(8), 1220; https://doi.org/10.3390/land13081220
Submission received: 24 May 2024 / Revised: 19 July 2024 / Accepted: 22 July 2024 / Published: 7 August 2024
(This article belongs to the Special Issue The Socio-Economic Values in Land Resource Management)

Abstract

An econometric model was developed to analyze the contribution of various factors to the gross value added to the agricultural, manufacturing, and service sectors in the United States. The study found that variables such as rare earth element mining, the employment it generates, the domestic consumption, imports, and prices of certain elements significantly impact economic sectors. The models showed a good fit and met the necessary statistical assumptions. Rare earth elements are essential for a wide range of technological products, with China being the leading producer and consumer. This has raised concerns about the dependence on other countries. These elements significantly impact the economy’s primary, secondary, and tertiary sectors used in agriculture, manufacturing, and services. Rare earth elements’ mining and processing are complex and expensive processes, and demand is expected to continue to increase in the future.

1. Introduction

Rare earth elements are 17 chemical elements found in the Earth’s crust in minimal quantities, between 10 and 100 parts per million. Rare earth elements are found in a wide range of rocks but are concentrated in a few minerals, such as monazite, bastnäsite, and xenotime [1]. Recent years have seen a surge in research on how geopolitical events influence energy and resource prices [1,2]. Nassar et al. [2] were among the first to demonstrate that world governance, political stability, the absence of violence, and global supply concentrations have a more significant impact on rare earth elements’ prices when global supply is limited. Building on this, Ref. [3] found that periods of economic turmoil and geopolitical unrest lead to increased “spillover” effects, meaning that price fluctuations in oil markets can have a greater impact on financial markets, and vice versa.
The principal rare earth elements’ deposits are in China, Australia, the United States, Brazil, and Russia [4]. China is the leading producer and consumer of rare earth elements. These are essential elements for manufacturing a wide range of products, including electronic devices, automobiles, defense equipment, and clean energy [4].
The importance of rare earth elements has increased in recent years due to the growth of the global economy and the increasing demand for products that depend on them [5]. Rare earth elements are essential for developing critical energy, transition technologies, and digitalization technologies, such as electric motors, wind turbines, and batteries [5].
High-tech devices, medical equipment, and military systems all rely heavily on rare earth elements (REEs) [6]. These elements are becoming even more critical as clean energy technologies develop [6]. As the demand for clean energy surges in the coming decades, so will the demand for REEs, placing a strain on the current supply chain [6].
Rare earth elements (REEs) are like wonder materials for modern technology. Their unique electronic, optical, catalytic, and magnetic properties allow them to solve a range of technological challenges [7]. While there is no single way to categorize their uses, REEs are generally employed in nine main sectors as catalysts, polishing compounds, glass, phosphors and pigments, metallurgy, batteries, magnets, ceramics, and others [7]. In 2015, the global consumption of REEs reached an estimated 119,650 metric tons of REO, with their biggest use as catalysts, followed by magnets, polishing, and others (Figure 1). Experts predict a 5% annual growth rate in global REE demand by 2020, with clean energy’s booming market expected to further propel this growth for years to come [8]. This surge in demand puts a strain on the global REE supply chain, creating a significant challenge [8].
The push for cleaner energy through decarbonization and electrification is skyrocketing demand for neodymium (Nd). The International Energy Agency (IEA) predicts demand could double or even triple in the next few decades, with clean energy becoming a major consumer of rare earth elements (REEs), potentially exceeding 40% of total demand [9]. This economic importance, coupled with potential supply disruptions, has countries scrambling for sustainable REE sources. As a result, we have seen a recent surge in REE exploration projects and processing plants [9].
Nations around the world have come together to address climate change by setting a goal of limiting global warming to be below 2 °C compared to pre-industrial levels. This effort is called the Paris Agreement. To achieve this goal, countries are implementing strategies to reduce emissions’ “mitigation” and prepare for the effects of climate change “adaptation” [10].
Mitigation efforts include transitioning to cleaner energy sources like solar and wind power, which are becoming increasingly cost-effective. Rare earth elements, which have unique properties that make them essential for many renewable energy technologies, are also in high demand [10].
The transition to renewable energy is happening rapidly, with the share of renewables in electricity generation expected to reach over 60% by 2030 and 88% by 2050. Solar and wind power are expected to become the leading sources of electricity [11].
Transportation is another major source of emissions, and electric vehicles are seen as a key part of the solution. In a scenario where emissions are reduced to net zero, electricity is projected to be the primary fuel for transportation by 2040 [12].
Given this evolving landscape, a timely analysis of global REE resources and potential supply chains is critical for stakeholders. This study provides a comprehensive overview, including a compilation of ongoing rare earth element projects, innovative supply chain designs, and highlights regions with the most promising REE potential [12].
China currently dominates the global REE market, producing roughly 85% in 2016, with Australia following at 10% [6]. However, there is good news: despite limited production, the world has a wealth of REE resources. As of 2017, there were 178 identified REE deposits scattered around the globe, containing an estimated total of 478 million tonnes (Mt) of rare earth oxides (REOs). Over half (58%) of these deposits hold more than 0.1 Mt of REOs, and nearly 60 have undergone technical assessments [6].
Rare earth elements, a critical strategic resource, have become a subject of intense research due to concerns about China’s influence. Scholars like [13,14] worry that China might leverage its dominant position to gain geopolitical advantages.
Beyond physical disruptions, research by [15] highlights how societal and geopolitical factors like speculative markets, export bans [16], and environmental regulations can impact supply [16]. Since downstream applications hold more power in the global market [17], China’s policies significantly influence prices. The authors of [18] even found that increased trade policy uncertainty in the US benefits the rare earth element market by potentially boosting demand, while such uncertainty in China might restrict supply [12].
Further research by [19] suggests a positive correlation between geopolitics and import prices, but a negative correlation with overall import value. This complexity highlights the interplay of factors like rising anti-globalization sentiment and the COVID-19 pandemic, influencing the rare earth element market in unpredictable ways [20].
At the current production rate, these resources could supply the world for over a century. However, there is a catch. Clean technologies are expected to require a significant amount of specific REEs, particularly neodymium (Nd) and dysprosium (Dy). By 2030, these two elements are projected to make up 75% and 9% of the clean tech REE demand, respectively [19,21]. This is concerning because they only represent 15% and 0.52% of global REE resources. This imbalance means that neodymium and dysprosium will likely be major factors driving the development of new REE exploration projects and clean energy technologies in the coming years.
The extraction and processing of rare earth elements is a complex and expensive process. The extraction and processing processes of rare earth elements can be divided into the following stages [22]:
  • Prospecting: This stage consists of searching for rare earth element deposits.
  • Exploitation: This stage consists of extracting rare earth elements from deposits.
  • Concentration: This stage consists of the concentration of rare earth elements.
  • Purification: This stage consists of the purification of rare earth elements.
The scarcity of deposits around the world in which it is profitable to extract these materials is a source of tensions between the central technology-producing countries.
This article aims to evaluate the implications of rare earth elements on the gross value added and break it down for primary, secondary and tertiary sectors. Also, it is expected that this analysis can evaluate the global potential of REE resources, evaluate the economic viability of current advanced REE projects, and analyze the medium- and long-term demand (2016–2030) for REEs from clean energy technologies. The relevance of this research is to establish a foundation to quantitatively analyze future opportunities, challenges, and constraints within the global REE supply chain and demand landscape.
This article follows the following structure. The introduction is followed by a theoretical framework that puts us in the situation of the current discussion in the scientific field, specifying its contribution to the three main sectors of the economy, the primary, secondary, and tertiary sectors.
The materials and methods are explained below, including data collection and the econometric model used, followed by the results obtained, the discussion, and conclusions. This study ends with the bibliographic references cited in the article.

1.1. Theoretical Framework

The 17 chemical elements that make up rare earth elements are Lanthanum (La), Cerium (Ce), Praseodymium (Pr), Neodymium (Nd), Promecium (Pm), Samarium (Sm), Eudimium (Eu), Gadolinium (Gd), Terbium (Tb), Dysprosium (Dy), Holmium (Ho), Erbium (Er), Thulium (Tm), Ytterbium (Yb), Lutecide (Lu), Scandium (Sc) and Yttrium (Y). These elements are found in the periodic table in group 3 and are characterized by their magnetic, optical, and catalytic properties [23].
Rare earth elements are crucial materials in electronics, optics, or magnetism and are currently irreplaceable. Small amounts of up to 16 or 17 components are usually present in our mobile phones, except for the average. In short, they are used in circuits, speakers, and screens in all device parts [24]. They are vital for electric vehicles and electronic devices, but we also find their use is transcendental in the weapons industry, such as in missile guidance systems, radar-invisible aircraft, or nuclear submarines [24]. This industry is currently on the rise due to the Russia–Ukraine conflict, Chinese rearmament, and the fear that the United States will lose its role in world hegemony [25].
The use of rare earth elements is not only used to take lives but also to save them. The role of these chemical elements is fundamental in medical applications. For example, they are found in contrast injections to see the functioning of an organ or an X-ray [26].
Scandium is a non-lanthanide rare earth element used to strengthen metal bonds. We can find it in low-consumption lights and modern televisions. Scandium, a valuable element used in applications, is typically difficult to extract [27]. This research explores a promising method for obtaining scandium from bauxite residue, a waste product from aluminum production. The technique utilizes high-pressure sulfuric acid leaching to achieve high yields of scandium while minimizing the extraction of iron and aluminum, which are also present in the residue [27,28].
Yttrium is a non-lanthanide rare earth element used in superconductors, pulsed light lasers, drugs in chemotherapy and rheumatoid arthritis treatment, and surgical supplies. It is also used in low-consumption light bulbs or camera lenses. Beyond traditional mining, lanthanides and yttrium can be extracted as valuable byproducts from processing other minerals [29]. These include apatite mining and uranium tailings. Notably, red mud, a waste product from the Bayer process for aluminum production, is enriched with lanthanides and yttrium. In Greece alone, 5 million tons of red mud are produced annually, and this material contains a significant concentration of these elements—exceeding 0.1% in total [29].
Lanthanum is used in the manufacturing of lenses for cameras and telescopes. It can also be used in wastewater treatment and oil refining. Lanthanum has a strong attraction to phosphate, binding it to form insoluble LaPO4. This compound sinks to the bottom and cannot be absorbed by algae or aquatic plants. One major advantage of lanthanum is its effectiveness across various environmental conditions. Traditionally, aluminum (Al) or iron (Fe) were used for phosphorus control, but their success heavily depended on factors like water pH, oxygen levels, alkalinity, and the presence of other minerals and organic matter. Lanthanum’s broader applicability makes it a more reliable solution [27,30].
Cerium is the most abundant rare earth element. It has many uses, including being used as a catalyst in catalytic converters in vehicle exhaust systems to reduce emissions. It is widely used to manufacture magnets and create alloys with iron, magnesium, and aluminum. Cerium (Ce), a member of the lanthanide group on the periodic table, made its debut in 1803. Discovered in its oxide form by researchers in both Sweden and Germany, the oxide was later named “ceria” by Swedish scientist Jons Jacob Berzelius [29,31].
Praseodymium is used in pigmentation for glass and gems and in the manufacturing of magnets. We can find it when creating high-strength metals, such as those used in aircraft engines [27]. Praseodymium stands out among the rare earth elements due to its unique ability to exist in multiple chemical states. This versatility translates to praseodymium-based catalysts excelling at both capturing and activating CO2. Additionally, these catalysts boast superior stability compared to their copper and iron counterparts, making them a promising option for CO2 conversion technologies [27]. The decrease in the size of electronic devices has been possible thanks to the magnetic properties of ytterbium and terbium.
Another element that is part of the rare earth elements group is neodymium. It is present on mobile phones or headphones, not only on those devices. It is a colorant in ceramic glazes and manufactures’ welding glasses and lasers. Neodymium allows us, through alloys with boron and iron, to create a neodymium-iron-boron magnet, which is currently the most powerful magnet. The magnetic properties of rare earth elements make a high demand for them [32]. This magnet type represents one of the most powerful permanent magnets used in electric motors, vital for the transition toward electric vehicles (see Table 1 and Table 2). In a couple of decades, more than a million electric vehicles are expected to be on the roads of the United States, increasing the demand for neodymium exponentially. Demand exceeds production by around 2 or 3 thousand tons annually. Neodymium is a strategically important resource and an essential element in modern societies. It is a key enabler of the energy transition due to its application in electric motors and wind turbines [33].
Table 2 shows us the following rare earth elements.
Table 2. Uses of rare earth elements (Dy, Ho, Er, Tm, Yb, Lu, Sc, and Y).
Table 2. Uses of rare earth elements (Dy, Ho, Er, Tm, Yb, Lu, Sc, and Y).
DyHoErTmYbLuScY
Permanent Magnets
Ceramics
Batteries
Construction Materials
Lasers
Aircraft Alloys
Optical Glasses
Catalysis
Magnetism
Note: “✗” are the different use of rare earth elements, according to the “World Production of Rare Earths” report by the United States Geological Survey [27].
According to the “World Production of Rare Earths” report by the United States Geological Survey [27], the central producing countries of rare earth elements in 2023 were the following (see Table 3).
China has been the leading producer of rare earth elements for decades, accounting for more than 69% of global production. The authors of [23] report that the United States is the second largest producer in the world (14%), followed by Australia (6%), Myanmar (4%), and Thailand (2%).
The production of rare earth elements has increased in recent years due to the increased demand for these elements to manufacture technological products. Demand for rare earth elements is expected to continue to rise in the coming years as technology develops and the global economy expands [34].
China’s dependence on rare earth element production is a matter of growing concern. China has used its control of the rare earth element market as an instrument of political pressure. It has led to efforts to diversify the supply of rare earth elements and reduce dependence on China [25,26].
In recent years, significant investments have been made in rare earth elements exploration and development projects in countries outside of China. These projects aim to increase rare earth element production in these countries and reduce dependence on China [32].
However, diversifying the supply of rare earth elements is a complex and challenging process. Rare earth element deposits are relatively scarce and difficult to extract. Additionally, the mining and processing of rare earth elements can have a negative impact on the environment [22].

1.2. Contribution of Rare Earth Elements to the Sectors of the Economy

Rare earth elements significantly impact the primary sector, as they are used in various products and applications essential for agriculture, forestry, and fisheries. Among the main uses that are addressed in previous research are the following:
Neodymium is used to manufacture phosphate fertilizers, an important source of phosphorus for crops. Phosphorus is an essential nutrient for plant growth. Praseodymium is used to manufacture pesticides such as insecticides and fungicides. These pesticides control pests that attack crops [27,35].
Terbium is used to manufacture electric motors for agricultural machinery, such as tractors and combines. Electric motors are more efficient than internal combustion engines and produce fewer polluting emissions [29,36].
Gadolinium manufactures sensors for forestry equipment, such as distance and motion sensors. These sensors are used to monitor the operation of forestry equipment. Dysprosium is used to manufacture some pesticides, such as insecticides and fungicides [27,37].
These pesticides are used to control pests that attack forests. Erbium is used to manufacture wood products such as furniture and construction boards. These wood products are used in construction and furniture. Thulium is used to manufacture electric motors for fishing equipment such as boats and nets. Electric motors are more efficient than internal combustion engines and produce fewer polluting emissions [29].
Yttrium is used to manufacture navigation instruments, such as Global Positioning Systems (GPSs). These instruments are used to navigate the sea. Scandium is used in the manufacture of fileting machines for fish processing. These machines cut fish into filets [27,38].
Rare earth elements are the invisible raw materials that power many of the technologies that shape our world. Their unique properties drive innovation and enable the development of a more sustainable future and a modern manufacturing industry [39]. Their main uses include the following:
Neodymium is the element most used in the manufacturing of permanent magnets. These magnets are used in various applications, such as electric motors for automobiles, hard drives for computers, and speakers for audio equipment [40].
Cerium is used as a catalyst in the production of sulfuric acid, an important chemical used in a wide range of applications, such as fertilizers, detergents, and batteries [41].
Yttrium is used in the manufacturing of optical glasses for lenses and filters. These lenses are used in cameras, telescopes, glasses, and other optical devices. Scandium is used in alloys with aluminum to improve its strength and ductility. These alloys are used to manufacture airplanes, automobiles, ships, and other structures [39].
The main applications to the third sector of the economy include the following:
Neodymium is used to manufacture permanent magnets for electric motors in mobile phones, computers, and televisions. Gadolinium is used to manufacture MRI contrast agents, which are used to diagnose diseases [42].
Dysprosium is used to manufacture permanent magnets for wind turbines, essential for renewable energy generation. Terbium is used to manufacture electric motors for electric vehicles, which are more efficient and produce fewer polluting emissions than internal combustion vehicles. Yttrium is used in the manufacturing of missiles, which are used by armies to attack targets [43].

2. Materials and Methods

The research objectives are met by applying the following methodology and verifying the empirical assumptions analyzed for the object of study.

2.1. Data Source and Variables

The data were obtained from the Rare Earth Statistics and Information issued by the National Minerals Information Center. This information is regulated by the U.S. Geological Survey acts as the scientific arm of the Department of the Interior, providing up-to-date scientific information relevant to an ever-changing world. It responds to society’s evolving needs by offering a wide range of data and expertise in geology, water, biology and cartography. This information supports decision-making on environmental, resource, and public safety issues in the United States [44].
The reports were reviewed and the information was extracted from the Mineral Commodity Summaries and Minerals Yearbook from 1990 to 2022, thus providing 33 observations. The prices of the leading rare earth elements and the gross value added to the primary (agricultural), secondary (manufacturing), and tertiary (services) sectors of the United States of America were extracted (see Table 4).
The trade restriction variable was a dummy variable where 0 was used for the years in which there were no restrictions and 1 was used for the year’s corresponding to the restrictions initially imposed by the administration of President Donald Trump.
Table 4. Model variables.
Table 4. Model variables.
SymbologyVariableMeasurementVariable Type
Y1Primary Gross Added ValueLog (% Total GDP)Explained-Endogenous
Y2Secondary Gross Added ValueLog (% Total GDP)Explained-Endogenous
Y3Tertiary Gross Added ValueLog (% Total GDP)Explained-Endogenous
X1Rare earth elements’ exploitationLog (Metric Tons)Explanatory-Exogenous
X2Employment generated by rare earth elementsLog (Annual average)Explanatory-Exogenous
X3Domestic consumption of rare earth elementsLog (Metric Tons)Explanatory-Exogenous
X4Import of rare earth elementsLog (Metric Tons)Explanatory-Exogenous
X5DysprosiumLog (Average Price)Explanatory-Exogenous
X6EuropiumLog (Average Price)Explanatory-Exogenous
X7NeodymiumLog (Average Price)Explanatory-Exogenous
X8TerbiumLog (Average Price)Explanatory-Exogenous
X9Trade restrictionDummy Explanatory-Exogenous
The data for this study were processed using JASP v.0.17.2.1 [45], a comprehensive and user-friendly statistical software package developed by the JASP Team at the University of Amsterdam. JASP offers a wide range of statistical analyses suitable for various research designs, from basic descriptive statistics to complex modeling techniques. In this study, we utilized JASP version 0.17.2.1, which incorporates the latest advancements and bug fixes to ensure the accuracy and reliability of our statistical analyses.
JASP is used because it uniquely offers both Bayesian and Frequentist statical approaches, allowing users to compare and contrast results from different perspectives and gain a more comprehensive understanding of their data. This flexibility is particularly valuable in fields where both approaches are prevalent.
Figure 1 shows the behavior over time of the gross value added to each sector of the economy. It can be seen that the primary GVA is maintained over time, while the manufacturing sector has a slight decrease and in the case of the tertiary sector, an increase is seen.
Figure 2 shows the behavior of the rare earth element industry from exploitation to consumption or export, depending on the case. It can be seen that both the exploitation of rare earth elements and their exportation have a structural upward trend in the last seven years.
In Figure 3, you can see the prices of rare earth elements over time. It can be seen that the prices decreased in the nineties, but in recent years they have been on the rise.

2.2. Econometric Model

The econometric model meets the article’s objective to analyze the contribution of various factors in the gross value added to the economic sectors in agriculture, manufacturing, and services. The mathematical expression of the model is shown in Equation (1).
Y t = f X 1 , X 2 , X n
where Y t represents an endogenous or explained variable, while the X n are the variables that indicate the explanatory or exogenous factors.
Consequently, to correctly explain the empirical content, three models are proposed that are expressed in Equations (2)–(4).
Y 1 = b 0 + b 1 X 1 + b 2 X 2 + b 3 X 3 + b 4 X 4 + b 5 X 5 + b 6 X 6 + b 7 X 7 + b 8 X 8 + b 9 X 9 + μ i
Y 2 = b 0 + b 1 X 1 + b 2 X 2 + b 3 X 3 + b 4 X 4 + b 5 X 5 + b 6 X 6 + b 7 X 7 + b 8 X 8 + b 9 X 9 + μ i
Y 3 = b 0 + b 1 X 1 + b 2 X 2 + b 3 X 3 + b 4 X 4 + b 5 X 5 + b 6 X 6 + b 7 X 7 + b 8 X 8 + b 9 X 9 + μ i
where each model represents each economic sector of the economy of the United States of America. Now, the term disturbance or random error is μ i . This term groups all the variables not included in the model but can explain the object of study [46]. Each b n represents the explanatory variables described in Table 4.

3. Results

Table 5 shows the description of the variables and their main statistics. It allows us to analyze the absence of outliers and evaluate the normality of the data and the number of observations.
Table 6 shows the coefficients of the models explained in the Materials and Methods, with the standard deviation and the plausible significance of the variable in the models in parentheses. The latter is represented as a measure of probability that the coefficient of the variables is different from zero. For this, the significance is represented when it is less than 0.00 with (***) and 0.05 with (**).
Table 7 shows the additional adjustments to validate the model, showing acceptable collinearity indices. The last two adjustments were made to verify that the models do not present problems in which two or more variables are highly correlated.
The models meet the statistical parameters and assumptions of the variables’ linearity, exogeneity, homoscedasticity, normality, and independence.
This plot compares the quantiles (percentiles) of two datasets. In this case, one dataset represents the quantiles of your standardized residuals, and the other represents the quantiles of a theoretical normal distribution.
For the specified model 1, the Q–Q plot of standardized residuals presents strong evidence supporting the normality of the distribution of the residuals. The points on the graph are aligned approximately along a straight diagonal line, indicating a notable similarity between the observed distribution of standardized residuals and a theoretical normal distribution (see Figure 4).
Importantly, no curved patterns or significant deviations from the diagonal line are observed in the Q–Q chart. This reinforces the idea that there is no evidence to suggest a non-normal distribution of the residuals (see Figure 5).
Based on the evidence provided by the Q–Q plot, we can analyze that the residuals of the specified model follow a normal distribution (see Figure 6). This conclusion has important implications for the reliability of the statistical analysis performed.
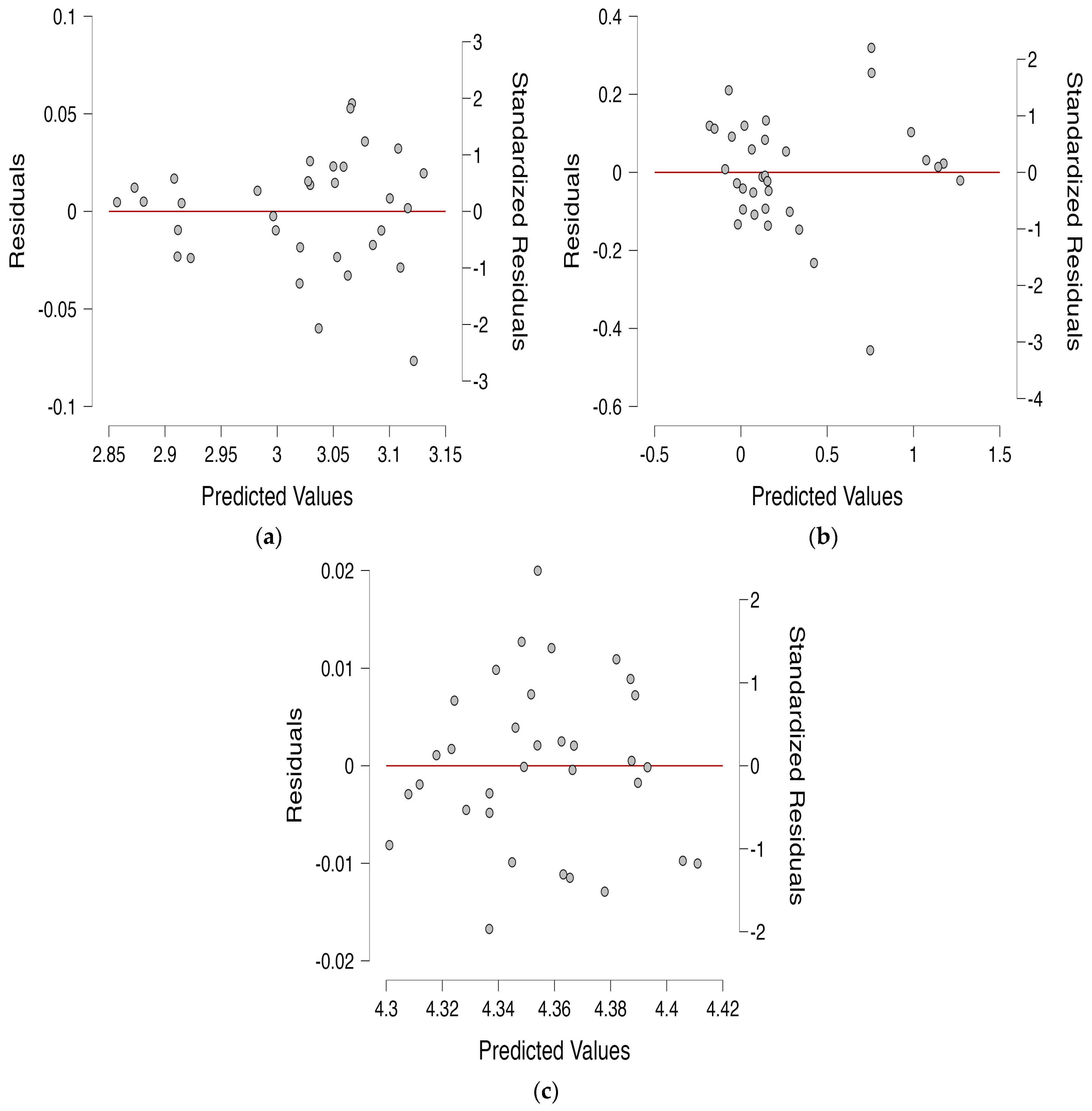
The plot of residuals versus predicted values for the specified model provides strong evidence supporting the adequacy of model fit. In this graph, the points are randomly distributed around a horizontal line in the center, exhibiting no discernible patterns. This random distribution suggests that the model effectively captures the relationship between the dependent and independent variables and that there are no significant violations of the assumptions of the linear regression model (see Figure 7).
The plot of residuals vs. predicted values provides compelling evidence that the specified model adequately fits the data. The random distribution of residuals supports the validity of the model assumptions, strengthening confidence in the predictions, inferences, and interpretations obtained from the analysis. This graphical analysis complements the evaluation of the model and contributes to the robustness of the conclusions derived from the study.

4. Discussion

This study employed an econometric model to systematically investigate the influence of various factors on the gross value added (GVA) to the agricultural, manufacturing, and service sectors in the United States. The model’s findings unveil statistically significant impacts of rare earth element (REE) exploitation, utilization, domestic consumption, imports, and the prices of specific REEs (e.g., Dysprosium, Europium, Neodymium) on sectoral GVA. These results corroborate prior research highlighting the pivotal role of REEs in modern economies, stemming from their extensive application in technological advancements [26,46]. Notably, the control variable representing restrictions on REE trade suggests a stronger influence of REEs on the primary (agricultural) sector compared to the manufacturing sector. This aligns with prevailing concerns regarding overreliance on a single source, particularly China’s dominant position in REE production and consumption [47,48]. While potential alternatives to mitigate this concentration are acknowledged, long-term monitoring and evaluation are imperative to assess their effectiveness and implications.
The econometric analysis extends beyond the manufacturing sector, revealing that REEs exert a pervasive influence across the primary and service sectors as well. Their diverse applications in agricultural practices, manufacturing processes, and various service industries underscore the multifaceted economic importance of REEs [49,50]. However, the model also sheds light on the challenges associated with REE extraction and processing, including their complex and costly nature [51,52]. These factors, coupled with the projected surge in REE demand [53], necessitate the development of robust strategies to address the sustainability and security of supply concerns. Ensuring a stable and sustainable supply of these critical elements is paramount for fostering long-term economy growth, resilience, and environmental stewardship.
The findings of this study have significant implications for policymakers, industry leaders, and researchers engaged in the sustainable management of REE resources. Policymakers can leverage the study’s insights to formulate informed policies that promote the efficient and environmentally responsible utilization of REEs while mitigating the risks associated with overreliance on a single supplier. Industry leaders can utilize the research findings to guide their strategic decision-making processes, ensuring the sustainable sourcing, processing, and application of REEs throughout their value chains. Researchers can build upon the study’s methodology and findings to further investigate the intricate dynamics between REEs, economic development, and environmental sustainability.
The study’s contributions extend beyond the realm of resource economics, offering valuable insights for broader economic discourse. The identification of REEs as critical factors influencing sectoral GVA highlights the interconnectedness of modern economies and the need for holistic approaches to economic development. Moreover, the study underscores the importance of considering environmental and social sustainability dimensions alongside economic growth objectives. By recognizing the multifaceted impacts of REE utilization, policymakers and industry leaders can strive for a more sustainable and equitable distribution of the benefits associated with these critical resources.
Future research directions can further enhance our understanding of the complex relationship between REEs, economic development, and sustainability. One avenue for exploration lies in conducting comparative studies across different countries and regions to identify factors that influence the effectiveness of REE-related policies and practices. Additionally, in-depth analyses of specific REE-intensive industries can provide granular insights into the economic and environmental implications of REE utilization. Furthermore, research examining the potential for substitution of REEs with alternative materials can inform strategies for reducing reliance on these critical resources.
This study unveils the profound influence of rare earth elements on the gross value added of various economic sectors, highlighting their critical role in modern economies. The findings underscore the need for comprehensive strategies that promote the sustainable and responsible management of REE resources, ensuring a balance between economic growth, environmental stewardship, and social equity. By fostering international collaboration and research, we can collectively navigate the challenges and opportunities presented by these critical elements, shaping a more sustainable and resilient future for all.

5. Conclusions

The econometric analysis conducted in this study has demonstrated the importance of rare earth elements in the agricultural, manufacturing, and service economic sectors in the United States. It has been identified that factors such as the exploitation of rare earth elements, the employment they generate, domestic consumption, imports, and the prices of these elements significantly impact the economy. The concentration of rare earth element production and consumption in China poses challenges regarding dependence on other countries and the security of supply.
Furthermore, it has been highlighted that rare earth elements are essential for manufacturing technological products and have a transversal impact on the economy’s primary, secondary, and tertiary sectors. Mining and processing rare earth elements are complex and expensive, underscoring the importance of addressing the sustainability and security of supply issues.
In this sense, it is essential to properly understand and manage the impact of rare earth elements on the economy to promote sustainable and resilient economic development. Special attention is required to diversify supply sources, innovate extraction and processing technologies, and promote sustainable practices using these essential elements. Additionally, it is recommended to analyze the behavior of the price of Terbium since this harms the primary and tertiary sectors.
Although the findings are important for future research, it should be mentioned that they also have limitations. Among the limitations of this study are the data and the potential for biases or missing information related to the temporal dimension.
For future research, the long-term analysis and evaluation of public policies aimed at the exploitation of rare earth elements, and the research and development of products made using these elements should be considered. Likewise, it is recommended to analyze panel data with information from other producing countries and thus take advantage of the temporal nature of the variables.

Author Contributions

Conceptualization, J.-R.C.-M. and R.S.-O.; methodology, J.-R.C.-M. and J.-A.J.-d.-R.; software, A.V.-R.; validation, J.-R.C.-M., J.-A.J.-d.-R., R.S.-O. and M.Z.-D.l.T.; formal analysis, R.S.-O.; investigation, J.-R.C.-M.; resources, J.-A.J.-d.-R.; data curation, R.S.-O.; writing—original draft preparation, J.-R.C.-M.; writing—review and editing, J.-A.J.-d.-R. and A.V.-R.; visualization, A.V.-R.; supervision, J.-A.J.-d.-R.; project administration, A.V.-R. and M.Z.-D.l.T.; funding acquisition, A.V.-R. All authors have read and agreed to the published version of the manuscript.

Funding

This research was funded by the Universidad Bolivariana del Ecuador, grant number PROY-UBE-2023-017, and the Universidad Bolivariana del Ecuador funded the APC under the project “Community Economic Resilience through Citizen Satisfaction in the Province of Guayas”.

Data Availability Statement

The database is available in the Helvia repository of the Universidad de Córdoba at http://hdl.handle.net/10396/27658, accessed on 1 January 2024.

Conflicts of Interest

The authors declare no conflicts of interest.

References

  1. Li, Z.Z.; Meng, Q.; Zhang, L.; Lobont, O.R.; Shen, Y. How do rare earth prices respond to economic and geopolitical factors? Resour. Policy 2023, 85, 103853. [Google Scholar] [CrossRef]
  2. Nassar, N.T.; Du, X.; Graedel, T.E. Criticality of the rare earth elements. J. Ind. Ecol. 2015, 19, 1044–1054. [Google Scholar] [CrossRef]
  3. Antonakakis, N.; Chatziantoniou, I.; Filis, G. Oil shocks and stock markets: Dynamic connectedness under the prism of recent geopolitical and economic unrest. Int. Rev. Financ. Anal. 2017, 50, 1–26. [Google Scholar] [CrossRef]
  4. Filho, W.L.; Kotter, R.; Özuyar, P.G.; Abubakar, I.R.; Eustachio, J.H.P.P.; Matandirotya, N.R. Understanding Rare Earth Elements as Critical Raw Materials. Sustainability 2023, 15, 1919. [Google Scholar] [CrossRef]
  5. Ilankoon, I.M.S.K.; Dushyantha, N.P.; Mancheri, N.; Edirisinghe, P.M.; Neethling, S.J.; Ratnayake, N.P.; Rohitha, L.P.S.; Dissanayake, D.M.D.O.K.; Premasiri, H.M.R.; Premasiri, H.M.R.; et al. Constraints to rare earth elements supply diversification: Evidence from an industry survey. J. Clean. Prod. 2022, 331, 129932. [Google Scholar] [CrossRef]
  6. Zhou, B.; Li, Z.; Chen, C. Global potential of rare earth resources and rare earth demand from clean technologies. Minerals 2017, 7, 203. [Google Scholar] [CrossRef]
  7. De Boer, M.A.; Lammertsma, K. Scarcity of rare earth elements. ChemSusChem 2013, 6, 2045–2055. [Google Scholar] [CrossRef]
  8. Trench, A.; Sykes, J.P. Rare earth permanent magnets and their place in the future economy. Engineering 2020, 6, 115–118. [Google Scholar] [CrossRef]
  9. Kim, T.Y. The Role of Critical Minerals in Clean Energy Transitions; International Energy Agency: Washington, DC, USA, 2021; pp. 70–71. Available online: https://static.sif.it/SIF/resources/public/files/energy2023/Kim.pdf (accessed on 10 October 2023).
  10. United Nations. Climate Action. The Paris Agreement. 2024. Available online: https://www.un.org/en/climatechange/paris-agreement (accessed on 11 November 2023).
  11. World Economic Forum. Energy Transition. The World Added 50% More Renewable Capacity Last Year Than in 2022. 2024. Available online: https://www.weforum.org/agenda/2024/02/renewables-energy-capacity-demand-growth/ (accessed on 22 December 2023).
  12. Almassalkhi, M.R.; Kundu, S. Intelligent Electrification as an Enabler of Clean Energy and Decarbonization. Curr. Sustain./Renew. Energy Rep. 2023, 10, 183–196. [Google Scholar] [CrossRef]
  13. Pawar, G.; Ewing, R.C. Recent advances in the global rare-earth supply chain. MRS Bull. 2022, 47, 244–249. [Google Scholar] [CrossRef]
  14. Kalantzakos, S. The race for critical minerals in an era of geopolitical realignments. Int. Spect. 2020, 55, 1–16. [Google Scholar] [CrossRef]
  15. Dushyantha, N.; Batapola, N.; Ilankoon, I.M.S.K.; Rohitha, S.; Premasiri, R.; Abeysinghe, B.; Ratnayake, N.; Dissanayake, K. The story of rare earth elements (REEs): Occurrences, global distribution, genesis, geology, mineralogy and global production. Ore Geol. Rev. 2020, 122, 103521. [Google Scholar] [CrossRef]
  16. Mancheri, N.A.; Sprecher, B.; Bailey, G.; Ge, J.; Tukker, A. Effect of Chinese policies on rare earth supply chain resilience. Resour. Conserv. Recycl. 2019, 142, 101–112. [Google Scholar] [CrossRef]
  17. Hu, X.; Sun, B.; Wang, C.; Lim, M.K.; Wang, P.; Geng, X.; Yao, C.; Chen, W.Q. Impacts of China’s exports decline in rare earth primary materials from a trade network-based perspective. Resour. Policy 2023, 81, 103321. [Google Scholar] [CrossRef]
  18. Aziman, E.S.; Ismail, A.F.; Rahmat, M.A. Balancing economic growth and environmental protection: A sustainable approach to Malaysia’s rare-earth industry. Resour. Policy 2023, 83, 103753. [Google Scholar] [CrossRef]
  19. Xia, Q.; Du, D.; Cao, W.; Li, X. Who is the core? Reveal the heterogeneity of global rare earth trade structure from the perspective of industrial chain. Resour. Policy 2023, 82, 103532. [Google Scholar] [CrossRef]
  20. Hau, L.; Zhu, H.; Yu, Y.; Yu, D. Time-frequency coherence and quantile causality between trade policy uncertainty and rare earth prices: Evidence from China and the US. Resour. Policy 2022, 75, 102529. [Google Scholar] [CrossRef]
  21. Liu, S.L.; Fan, H.R.; Liu, X.; Meng, J.; Butcher, A.R.; Yann, L.; Yang, K.-F.; Li, X.C. Global rare earth elements projects: New developments and supply chains. Ore Geol. Rev. 2023, 157, 105428. [Google Scholar] [CrossRef]
  22. Shuai, J.; Zhao, Y.; Shuai, C.; Wang, J.; Yi, T.; Cheng, J. Assessing the international co-opetition dynamics of rare earth resources between China, USA, Japan and the EU: An ecological niche approach. Resour. Policy 2023, 82, 103446. [Google Scholar] [CrossRef]
  23. Hoatson, D.M.; Jaireth, S.; Miezitis, Y. The major rare-earth-element deposits of Australia: Geological setting, exploration, and resources. Geosci. Aust. 2011, 204, 72–128. [Google Scholar] [CrossRef]
  24. Uysal, T. Economic analysis of rare earth element processing methods for Mountain Pass ore. J. S. Afr. Inst. Min. Metall. 2022, 122, 407–412. [Google Scholar] [CrossRef]
  25. Fishman, T.; Myers, R.J.; Rios, O.; Graedel, T.E. Implications of emerging vehicle technologies on rare earth supply and demand in the United States. Resources 2018, 7, 9. [Google Scholar] [CrossRef]
  26. Lee, Y.; Dacass, T. Reducing the United States’ risks of dependency on China in the rare earth market. Resour. Policy 2022, 77, 102702. [Google Scholar] [CrossRef]
  27. Holthaus, D. The Rare Earths Economy: Can Supply Keep up with Growing Demand? Am. Ceram. Soc. Bull. 2022, 3, 38–41. Available online: https://ceramics.org/wp-content/uploads/2022/03/CGM-April2022_Feature.pdf (accessed on 13 December 2023).
  28. USGS. United States Geological Survey 2022. Rare Earths Statistics and Information. Available online: https://www.usgs.gov/centers/national-minerals-information-center/rare-earths-statistics-and-information (accessed on 1 March 2024).
  29. Chen, Y.; Zheng, B. What happens after the rare earth crisis: A systematic literature review. Sustainability 2019, 11, 1288. [Google Scholar] [CrossRef]
  30. USGS. United States Geological Survey 2024. Historical Statistics for Mineral and Material Commodities in the United States. Available online: https://www.usgs.gov/centers/national-minerals-information-center/historical-statistics-mineral-and-material-commodities (accessed on 1 March 2024).
  31. Jowitt, S.M. Mineral economics of the rare-earth elements. MRS Bull. 2022, 47, 276–282. [Google Scholar] [CrossRef]
  32. Kim, Y.; Kim, S.; Lee, J. Economic evaluation of rare earth elements contained in coal ash. Resour. Recycl. 2019, 28, 26–35. [Google Scholar] [CrossRef]
  33. Ma, J.; Li, M. The feedback effect of rare earth development policy on economy and society. E3S Web Conf. 2021, 228, 01014. [Google Scholar] [CrossRef]
  34. Financial Times. Rare Earths. Available online: https://www.ft.com/rare-earths (accessed on 1 March 2024).
  35. Ortiz, C.E.A.; Viana Júnior, E.M. Rare earth elements in the international economic scenario. Rem Rev. Esc. Minas 2014, 67, 361–366. [Google Scholar] [CrossRef]
  36. Bisaka, K.; Thobadi, I.C.; Pawlik, C. Extraction of rare earths from iron-rich rare earth deposits. J. S. Afr. Inst. Min. Metall. 2017, 117, 731–739. [Google Scholar] [CrossRef]
  37. Zhang, S. Study on Economic Significance of Rare Earth Mineral Resources Development Based on Goal Programming and Few-Shot Learning. Comput. Intell. Neurosci. 2022, 2022, 7002249. [Google Scholar] [CrossRef] [PubMed]
  38. Yu, G.; Xiong, C.; Xiao, J.; He, D.; Peng, G. Evolutionary analysis of the global rare earth trade networks. Appl. Math. Comput. 2022, 430, 127249. [Google Scholar] [CrossRef]
  39. Jaroni, M.S.; Friedrich, B.; Letmathe, P. Economical feasibility of rare earth mining outside China. Minerals 2019, 9, 576. [Google Scholar] [CrossRef]
  40. Wang, J.; Guo, M.; Liu, M.; Wei, X. Long-term outlook for global rare earth production. Resour. Policy 2020, 65, 101569. [Google Scholar] [CrossRef]
  41. Yinbu, S. Social Elements: A Summary of Social Science Research on Rare Earth Industry in Baotou. Int. Sci. Res. 2022, 2, 7–20. [Google Scholar] [CrossRef]
  42. Kryukov, V.A.; Yatsenko, V.A.; Kryukov, Y.V. Rare Earth Industry—How to take advantage of opportunities. Gornaya Promyshlennost Russ. Min. Ind. 2020, 5, 68–84. (In Russian) [Google Scholar] [CrossRef]
  43. Vekasi, K. Politics, markets, and rare commodities: Responses to Chinese rare earth policy. Jpn. J. Political Sci. 2019, 20, 2–20. [Google Scholar] [CrossRef]
  44. Yatsenko, V. Specific Aspects in Assessing Economic Feasibility of Rare Earth Mining. World Econ. Manag. 2020, 20, 138–152. (In Russian) [Google Scholar] [CrossRef]
  45. JASP Team. JASP; Version 0.17.2.1; JASP Team: Amsterdam, The Netherlands, 2023. [Google Scholar]
  46. Apergis, E.; Apergis, N. What is extracted from earth is gold: Are rare earths telling a new tale to economic growth? J. Econ. Stud. 2018, 45, 177–192. [Google Scholar] [CrossRef]
  47. Kryukov, I.V.; Samsonov, N.I.; Iatsenko, V.A. The Russian Rare-Earth Industry: Should China’s Experience Be Adopted? Probl. Econ. Transit. 2020, 62, 95–107. [Google Scholar] [CrossRef]
  48. Zou, B.; Poncin, S.; Bertinelli, L. The US-China Supply Competition for Rare Earth Elements: A Dynamic Game View. Environ. Model. Assess. 2022, 27, 883–900. [Google Scholar] [CrossRef]
  49. Gholz, E.; Hughes, L. Market structure and economic sanctions: The 2010 rare earth elements episode as a pathway case of market adjustment. Rev. Int. Political Econ. 2021, 28, 611–634. [Google Scholar] [CrossRef]
  50. Vekasi, K. The geoeconomics of critical rare earth minerals. Georget. J. Int. Aff. 2021, 22, 271–279. [Google Scholar] [CrossRef]
  51. He, Y. Reregulation of China’s rare earth production and export. Int. J. Emerg. Mark. 2014, 9, 236–256. [Google Scholar] [CrossRef]
  52. Proelss, J.; Schweizer, D.; Seiler, V. The economic importance of rare earth elements volatility forecasts. Int. Rev. Financ. Anal. 2020, 71, 101316. [Google Scholar] [CrossRef]
  53. Guo, Q.; You, W. A comprehensive evaluation of the international competitiveness of strategic minerals in China, Australia, Russia and India: The case of rare earths. Resour. Policy 2023, 85, 103821. [Google Scholar] [CrossRef]
Figure 1. GVA sector.
Figure 1. GVA sector.
Land 13 01220 g001
Figure 2. Rare earth elements’ market behavior.
Figure 2. Rare earth elements’ market behavior.
Land 13 01220 g002
Figure 3. Dysprosium, Europium, Neodymium, and Terbium prices.
Figure 3. Dysprosium, Europium, Neodymium, and Terbium prices.
Land 13 01220 g003
Figure 4. Q–Q plot of standardized residuals for Model 1.
Figure 4. Q–Q plot of standardized residuals for Model 1.
Land 13 01220 g004
Figure 5. Q–Q plot of standardized residuals for Model 2.
Figure 5. Q–Q plot of standardized residuals for Model 2.
Land 13 01220 g005
Figure 6. Q–Q Plot Standardized Residuals Model 3.
Figure 6. Q–Q Plot Standardized Residuals Model 3.
Land 13 01220 g006
Figure 7. Plot of residuals vs. predicted values. (a) Model 1, (b) Model 2, (c) Model 3.
Figure 7. Plot of residuals vs. predicted values. (a) Model 1, (b) Model 2, (c) Model 3.
Land 13 01220 g007
Table 1. Uses of rare earth elements (La, Ce, Pr, Nd, Pm, Sm, Eu, Gd, and Tb).
Table 1. Uses of rare earth elements (La, Ce, Pr, Nd, Pm, Sm, Eu, Gd, and Tb).
LaCePrNdPmSmEuGdTb
Permanent Magnets
Ceramics
Batteries
Construction Materials
Lasers
Aircraft Alloys
Optical Glasses
Catalysis
Magnetism
Note: “✗” are the different use of rare earth elements, according to the “World Production of Rare Earths” report by the United States Geological Survey [27].
Table 3. Countries producing or exploiting rare earth elements.
Table 3. Countries producing or exploiting rare earth elements.
CountryProduction
(Metric Tons)
China210,000
United States43,000
Australia18,000
Myanmar12,000
Thailand7100
Vietnam4300
India2900
Russia2600
Madagascar960
Brazil80
Malaysia80
Table 5. Descriptive statistics.
Table 5. Descriptive statistics.
VariableNMeanSE
Primary GVA (Y1)330.3040.078
Secondary GVA (Y2)333.0200.015
Tertiary GVA (Y3)334.3550.005
Exploitation (X1)339.2320.127
Employment (X2)335.2700.101
Consumption (X3)339.2720.079
Import (X4)339.3350.073
Dysprosium (X5)335.3130.144
Europium (X6)336.4100.285
Neodymium (X7)334.0310.152
Terbium (X8)336.7550.112
Trade restriction (X9)330.1520.364
Table 6. Model coefficients.
Table 6. Model coefficients.
VariableModel 1 (Y1)Model 2 (Y2)Model 3 (Y3)
Intercept−3.896 (0.823) ***1.854 (0.357) ***4.678 (0.039) **
Exploitation (X1)0.346 (0.077) ***0.021 (0.014) **
Employment (X2)0.302 (0.075) ***
Consumption (X3) 0.061 (0.017) ***−0.028 (0.005) ***
Import (X4) 0.032 (0.027) **
Dysprosium (X5)−0.211 (0.092) *** 0.013 (0.004) ***
Europium (X6)0.281 (0.086) ***0.034 (0.019) ***−0.007 (0.004) ***
Neodymium (X7)0.196 (0.115) ***−0.022 (0.015) ***
Terbium (X8)−0.307 (0.129) *** −0.013 (0.005) ***
Trade restriction (X9)0.088 (0.085) *0.045 (0.058) **0.012 (0.013) ***
Note: *, **, *** are the significance levels of 10%, 5% and 1% or less respectively.
Table 7. Models’ goodness of fit.
Table 7. Models’ goodness of fit.
FitModel 1 (Y1)Model 2 (Y2)Model 3 (Y3)
R20.8960.8840.919
RMSE0.1610.0320.009
Tolerance (Colinearity)*********
VIF (Colinearity)*********
Note: *** is the significance level of 1% or less.
Disclaimer/Publisher’s Note: The statements, opinions and data contained in all publications are solely those of the individual author(s) and contributor(s) and not of MDPI and/or the editor(s). MDPI and/or the editor(s) disclaim responsibility for any injury to people or property resulting from any ideas, methods, instructions or products referred to in the content.

Share and Cite

MDPI and ACS Style

Cuadros-Muñoz, J.-R.; Jimber-del-Río, J.-A.; Sorhegui-Ortega, R.; Zea-De la Torre, M.; Vergara-Romero, A. Contribution of Rare Earth Elements Is Key to the Economy of the Future. Land 2024, 13, 1220. https://doi.org/10.3390/land13081220

AMA Style

Cuadros-Muñoz J-R, Jimber-del-Río J-A, Sorhegui-Ortega R, Zea-De la Torre M, Vergara-Romero A. Contribution of Rare Earth Elements Is Key to the Economy of the Future. Land. 2024; 13(8):1220. https://doi.org/10.3390/land13081220

Chicago/Turabian Style

Cuadros-Muñoz, Juan-Ramón, Juan-Antonio Jimber-del-Río, Rafael Sorhegui-Ortega, Michelle Zea-De la Torre, and Arnaldo Vergara-Romero. 2024. "Contribution of Rare Earth Elements Is Key to the Economy of the Future" Land 13, no. 8: 1220. https://doi.org/10.3390/land13081220

APA Style

Cuadros-Muñoz, J.-R., Jimber-del-Río, J.-A., Sorhegui-Ortega, R., Zea-De la Torre, M., & Vergara-Romero, A. (2024). Contribution of Rare Earth Elements Is Key to the Economy of the Future. Land, 13(8), 1220. https://doi.org/10.3390/land13081220

Note that from the first issue of 2016, this journal uses article numbers instead of page numbers. See further details here.

Article Metrics

Back to TopTop