Determination of Contributing Area Threshold and Downscaling of Topographic Factors for Small Watersheds in Hilly Areas of Purple Soil
Abstract
1. Introduction
2. Materials and Methods
2.1. Study Area
2.2. Experimental Procedure
2.3. Base Datasets
2.4. Setting of Contributing Area Threshold
2.5. Determination of Optimal Contributing Area Threshold
2.6. Downscaling of LS Factor
3. Results
3.1. Optimal Contributing Area Threshold
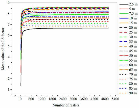
3.2. LS Factor Scale Effects
3.3. Downscaling of LS Factor
3.4. LS Factor Downscaling Effect
4. Discussion
5. Conclusions
Author Contributions
Funding
Data Availability Statement
Conflicts of Interest
References
- Fu, S.; Liu, B.; Zhou, G.; Sun, Z.; Zhu, X. Calculation tool of topographic factors. Sci. Soil Water Conserv. 2015, 13, 105–110. [Google Scholar]
- Fu, S.; Cao, L.; Liu, B.; Wu, Z.; Savabi, M.R. Effects of dem grid size on predicting soil loss from small watersheds in china. Environ. Earth Sci. 2015, 73, 2141–2151. [Google Scholar] [CrossRef]
- Lin, D.; Yu, X.; Fu, S.; Wu, S. Effect of contributing area threshold on the evaluation of soil erosion. J. Soil Water Conserv. 2018, 32, 61–67+73. [Google Scholar]
- Li, A.; Zhang, X.C.; Liu, B. Effects of dem resolutions on soil erosion prediction using chinese soil loss equation. Geomorphology 2021, 384, 107706. [Google Scholar] [CrossRef]
- Guo, W.; Fan, Y.; Yang, Q. Statistical distribution of slope length derived from dem with different spatial resolutions. Res. Soil Water Conserv. 2019, 26, 72–76+85. [Google Scholar]
- Fu, S.; Wu, Z.; Liu, B.; Cao, L. Comparison of the effects of the different methods for computing the slope length factor at a watershed scale. Int. Soil Water Conserv. Res. 2013, 1, 64–71. [Google Scholar]
- Liu, H.; Yang, Q.; Wang, C.; Li, J. Changes of dem-derived slope with horizontal resolution and their spatial distribution. Geomat. Inf. Sci. Wuhan Univ. 2012, 37, 105–109. [Google Scholar]
- Tang, G.; Zhao, M.; Li, T.; Liu, Y.; Xie, Y. Modeling slope uncertainty derived from dems in loess plateau. Acta Geogr. Sin. 2003, 58, 824–830. [Google Scholar]
- Wolock, D.M.; Mccabe, G.J. Differences in topographic characteristics computed from 100- and 1000-m resolution digital elevation model data. Hydrol. Process. 2000, 14, 987–1002. [Google Scholar] [CrossRef]
- Yang, L. Ls Factor Scacle Transform and Application in Soil Erosion Sampling Survey. Master’s Thesis, University of the Chinese Academy of Sciences, Beijing, China, 2020. [Google Scholar]
- Zhang, S.; Hou, X.; Wu, C.; Zhang, C. Impacts of climate and planting structure changes on watershed runoff and nitrogen and phosphorus loss. Sci. Total Environ. 2020, 706, 134489. [Google Scholar] [CrossRef]
- Yun, Z.; Lin, W. Runoff and sediment simulation in purple hilly area based on swat model. J. Geo-Inf. Sci. 2013, 15, 401–407. [Google Scholar]
- Chen, R.; Yan, D.; Wen, A.; Li, C.; Shi, Z. Research on soil erosion in key prevention and control region of soil and water loss based on gis/csle in sichuan province. J. Soil Water Conserv. 2020, 34, 17–26. [Google Scholar]
- Zhang, H.; Yang, Q.; Li, R.; Liu, Q. Estimation methods of slope gradient and slope length in watershed based on gis and multiple flow direction algorithm. Trans. Chin. Soc. Agric. Eng. 2012, 28, 159–164. [Google Scholar]
- Zhang, H. Extraction and Analysis on Distributed Erosion Slope Length in Watershed Scale. Ph.D. Thesis, Northwest A&F University, Xianyang, China, 2012. [Google Scholar]
- Xiang, J. Statistical Methods for Data Processing in Nonlinear Systems; Science Publishing House, Science Press: Beijing, China, 2000. [Google Scholar]
- Liang, B.; Xu, Y.; Bai, L.; Luo, M.; Zhao, W. Comparison of the determination of optimal convergence threshold based on mean change-point and bifurcation ratio. Chin. Agric. Sci. Bull. 2017, 33, 76–82. [Google Scholar]
- Chang, Z.; Jian, W.; Bai, S.; Zhang, Z. Determination of accumulation area based on the method of applying mean of change-point analysis. J. Nanjing Norm. Univ. Nat. Sci. Ed. 2014, 37, 147–150. [Google Scholar]
- Han, L.; Rui, X.P.; Liang, H.D.; Bi, X.L.; Yang, Z.X.; Jin, L. Extraction of drainage network in three gorge reservoir area based on mean change point method. Sci. Surv. Mapp. 2012, 37, 173–175. [Google Scholar]
- Yang, Q.; Jupp, D.; Rui, L.I.; Wei, L. Re-scaling lower resolution slope by histogram matching. In Advances in Digital Terrain Analysis; Springer: Berlin/Heidelberg, Germany, 2008. [Google Scholar]
- Dai, Q.; Zhu, L. Research on the method for determining the threshold of optimal catchment area based on dem. China Water Transp. 2018, 18, 166–168. [Google Scholar]
- Kong, F.; Li, L. Determination of river drainage area threshold for extraction of drainage network by dem. Water Resour. Power 2005, 23, 65–67+93. [Google Scholar]
- Fan, Y.; Guo, W.; Jiang, W.; Xiang, T.; Zhao, L. Changes of derived distributed erosion slope length with dem resolution. Yellow River 2019, 41, 78–82. [Google Scholar]
- Kuang, G.; Liu, C.; Yu, G.; Wang, J.; Zhang, G.; Wu, G. A study of differences between soil erosion classification and grading criteria and RUSLE modeling. Pearl River 2014, 35, 15–18. [Google Scholar]
- Zhang, H.; Yang, Q.; Wang, M.; Jin, B.; Wang, L.; Li, R. Effect of channel networks cutoff on extraction of distributed erosion slope length. J. Hydraul. Eng. 2017, 48, 568–575. [Google Scholar]
- Zhu, M.; Zhang, J.; Ma, H.; Zhu, L. Analysis of relief amplitude based on dem and the mean change-point analysis method in funiu mountain area. J. Henan Univ. Nat. Sci. 2020, 50, 36–43. [Google Scholar]
- McVicar, T.; Davies, P.; Yang, Q.; Zhang, G. An introduction to temporal-geographic information systems (tgis) for assessing, monitoring and modelling regional water and soil processes. Reg. Water Soil Assess. Manag. Sustain. Agric. China Aust. 2002, 205–223. [Google Scholar]
- Mukherjee, S.; Mukherjee, S.; Garg, R.D.; Bhardwaj, A.; Raju, P. Evaluation of topographic index in relation to terrain roughness and dem grid spacing. J. Earth Syst. Sci. 2013, 122, 869–886. [Google Scholar] [CrossRef]
- Lin, S.; Jing, C.; Coles, N.A.; Chaplot, V.; Moore, N.J.; Wu, J. Evaluating dem source and resolution uncertainties in the soil and water assessment tool. Stoch. Environ. Res. Risk Assess. 2013, 27, 209–221. [Google Scholar] [CrossRef]
- Li, M.; Zhao, Y.; Gao, G.; Ding, G.; Na, Y. Effects of dem resolution on the accuracy of topographic factor derived from dem. Sci. Soil Water Conserv. 2016, 14, 15–22. [Google Scholar]
- Yang, Z. A study on the uncertainty of extracting terrain factors from dem with different spatial resolutions: A case study of the huanwan planning area in quanzhou city, fujian province. NanFang GuoTu ZiYuan 2021, 45–48. [Google Scholar]
- Gao, J. Resolution and accuracy of terrain representation by grid dems at a micro-scale. Int. J. Geogr. Inf. Sci. 1997, 11, 199–212. [Google Scholar] [CrossRef]
- Thompson, J.A.; Bell, J.C.; Butler, C.A. Digital elevation model resolution: Effects on terrain attribute calculation and quantitative soil-landscape modeling. Geoderma 2015, 100, 67–89. [Google Scholar] [CrossRef]
- Wang, F.; Wang, C.M. Research for the influences of dem resolution on topographical factors—A case study of mengyin county. Res. Soil Water Conserv. 2009, 16, 225–229. [Google Scholar]





















| DEM Resolution Change Interval (m) | Mean Difference | Difference in Standard Deviation | ||
|---|---|---|---|---|
| 2.5–5 | 0.0828 | 0.0331 | 0.0573 | 0.0229 |
| 5–7.5 | 0.0764 | 0.0305 | 0.0699 | 0.0280 |
| 7.5–10 | 0.0889 | 0.0356 | 0.0942 | 0.0377 |
| 10–15 | 0.2189 | 0.0438 | 0.1867 | 0.0373 |
| 15–20 | 0.2523 | 0.0505 | 0.1957 | 0.0391 |
| 20–25 | 0.3234 | 0.0647 | 0.1896 | 0.0379 |
| 25–30 | 0.2971 | 0.0594 | 0.1845 | 0.0369 |
| 30–35 | 0.3304 | 0.0661 | 0.2007 | 0.0401 |
| 35–40 | 0.3245 | 0.0649 | 0.1769 | 0.0354 |
| 40–45 | 0.3194 | 0.0639 | 0.1725 | 0.0345 |
| 45–50 | 0.3012 | 0.0602 | 0.1577 | 0.0315 |
| 50–55 | 0.2761 | 0.0552 | 0.1492 | 0.0298 |
| 55–60 | 0.2969 | 0.0594 | 0.1451 | 0.0290 |
| 60–65 | 0.2578 | 0.0516 | 0.1336 | 0.0267 |
| 65–70 | 0.2473 | 0.0495 | 0.1405 | 0.0281 |
| 70–75 | 0.2701 | 0.0540 | 0.1205 | 0.0241 |
| 75–80 | 0.2243 | 0.0449 | 0.1079 | 0.0216 |
| 80–85 | 0.1994 | 0.0399 | 0.1240 | 0.0248 |
| 85–90 | 0.2081 | 0.0416 | 0.1032 | 0.0206 |
| DEM Resolution Change Interval (m) | Mean Difference | Difference in Standard Deviation | ||
|---|---|---|---|---|
| 2.5–5 | −7.9104 | 3.1642 | −8.6227 | 3.4491 |
| 5–7.5 | −16.9142 | 6.7657 | −13.5297 | 5.4119 |
| 7.5–10 | −13.0468 | 5.2187 | −12.0668 | 4.8267 |
| 10–15 | −39.2214 | 7.8443 | −53.9863 | 10.7973 |
| 15–20 | −20.6984 | 4.1397 | −32.1550 | 6.4310 |
| 20–25 | −19.7499 | 3.9500 | −29.8419 | 5.9684 |
| 25–30 | −18.0244 | 3.6049 | −27.3635 | 5.4727 |
| 30–35 | −17.9251 | 3.5850 | −24.8265 | 4.9653 |
| 35–40 | −15.8052 | 3.1610 | −22.2297 | 4.4459 |
| 40–45 | −17.0631 | 3.4126 | −23.6329 | 4.7266 |
| 45–50 | −13.7633 | 2.7527 | −17.4191 | 3.4838 |
| 50–55 | −15.3524 | 3.0705 | −20.9577 | 4.1915 |
| 55–60 | −15.1956 | 3.0391 | −22.2281 | 4.4456 |
| 60–65 | −15.1077 | 3.0215 | −22.4376 | 4.4875 |
| 65–70 | −16.9433 | 3.3887 | −24.3855 | 4.8771 |
| 70–75 | −12.5555 | 2.5111 | −13.2517 | 2.6503 |
| 75–80 | −12.0002 | 2.4000 | −16.4137 | 3.2827 |
| 80–85 | −14.7402 | 2.9480 | −14.7272 | 2.9454 |
| 85–90 | −12.9160 | 2.5832 | −17.0352 | 3.4070 |
| DEM Resolution Change Interval (m) | Mean Difference | Difference in Standard Deviation | ||
|---|---|---|---|---|
| 2.5–5 | −0.3109 | 0.1244 | −0.4292 | 0.1717 |
| 5–7.5 | −0.7108 | 0.2843 | −0.5190 | 0.2076 |
| 7.5–10 | −0.4214 | 0.1686 | −0.3080 | 0.1232 |
| 10–15 | −0.7791 | 0.1558 | −0.5929 | 0.1186 |
| 15–20 | −0.1994 | 0.0399 | −0.2144 | 0.0429 |
| 20–25 | −0.0815 | 0.0163 | −0.1591 | 0.0318 |
| 25–30 | −0.0396 | 0.0079 | −0.1130 | 0.0226 |
| 30–35 | 0.0379 | 0.0076 | −0.0360 | 0.0072 |
| 35–40 | 0.0736 | 0.0147 | −0.0243 | 0.0049 |
| 40–45 | 0.0876 | 0.0175 | −0.0105 | 0.0021 |
| 45–50 | 0.1193 | 0.0239 | 0.0158 | 0.0032 |
| 50–55 | 0.1143 | 0.0229 | 0.0144 | 0.0029 |
| 55–60 | 0.1538 | 0.0308 | 0.0277 | 0.0055 |
| 60–65 | 0.1170 | 0.0234 | 0.0292 | 0.0058 |
| 65–70 | 0.1441 | 0.0288 | 0.0815 | 0.0163 |
| 70–75 | 0.1820 | 0.0364 | 0.0676 | 0.0135 |
| 75–80 | 0.1491 | 0.0298 | 0.0727 | 0.0145 |
| 80–85 | 0.1244 | 0.0249 | 0.0803 | 0.0161 |
| 85–90 | 0.1540 | 0.0308 | 0.0751 | 0.0150 |
Disclaimer/Publisher’s Note: The statements, opinions and data contained in all publications are solely those of the individual author(s) and contributor(s) and not of MDPI and/or the editor(s). MDPI and/or the editor(s) disclaim responsibility for any injury to people or property resulting from any ideas, methods, instructions or products referred to in the content. |
© 2024 by the authors. Licensee MDPI, Basel, Switzerland. This article is an open access article distributed under the terms and conditions of the Creative Commons Attribution (CC BY) license (https://creativecommons.org/licenses/by/4.0/).
Share and Cite
Chen, R.; Zhu, Y.; Zhang, J.; Wen, A.; Hu, S.; Luo, J.; Li, P. Determination of Contributing Area Threshold and Downscaling of Topographic Factors for Small Watersheds in Hilly Areas of Purple Soil. Land 2024, 13, 1193. https://doi.org/10.3390/land13081193
Chen R, Zhu Y, Zhang J, Wen A, Hu S, Luo J, Li P. Determination of Contributing Area Threshold and Downscaling of Topographic Factors for Small Watersheds in Hilly Areas of Purple Soil. Land. 2024; 13(8):1193. https://doi.org/10.3390/land13081193
Chicago/Turabian StyleChen, Ruiyin, Yonggang Zhu, Jun Zhang, Anbang Wen, Shudong Hu, Jun Luo, and Peng Li. 2024. "Determination of Contributing Area Threshold and Downscaling of Topographic Factors for Small Watersheds in Hilly Areas of Purple Soil" Land 13, no. 8: 1193. https://doi.org/10.3390/land13081193
APA StyleChen, R., Zhu, Y., Zhang, J., Wen, A., Hu, S., Luo, J., & Li, P. (2024). Determination of Contributing Area Threshold and Downscaling of Topographic Factors for Small Watersheds in Hilly Areas of Purple Soil. Land, 13(8), 1193. https://doi.org/10.3390/land13081193

