Changes in Family Structure during Shantytown Redevelopment and Their Correlation with the Living Space
Abstract
1. Introduction
2. Data and Methods
2.1. Study Area and Background
2.2. Data Collection
2.2.1. Community Survey
2.2.2. Family Structure and Living Space
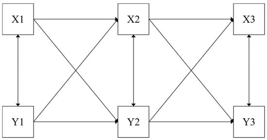
2.3. Cross-Lagged Panel Model
3. Results and Discussion
3.1. Family Structure Changes during Shantytown Redevelopment
3.2. The Correlation between Family Structure and Living Space
3.3. Comparison between Types of Residential Units
3.3.1. Comparison of Family Structure Changes
3.3.2. Comparison of Correlations
4. Conclusions
Author Contributions
Funding
Data Availability Statement
Conflicts of Interest
References
- Yang, Q.; Zhang, C. How Does the Renewal of Urban Villages Affect the Resettled Villagers’ Subjective Well-Being? A Case Study in Wuhan, China. Land 2023, 12, 1547. [Google Scholar] [CrossRef]
- Fullilove, M.T. Root Shock: How Tearing up City Neighborhoods Hurts America, and What We Can Do about It; New Village Press: New York, NY, USA, 2016. [Google Scholar]
- Liu, C. Shantytown Redevelopment and Housing Prices: Empirical Evidence from Chinese Cities. Land 2023, 12, 823. [Google Scholar] [CrossRef]
- Rossi, P.H. Why Families Move: A Study in the Social Psychology of Urban Residential Mobility; Free Press: Glencoe, IL, USA, 1955. [Google Scholar]
- Clark, W.A.V. Life Course Events and Residential Change: Unpacking Age Effects on the Probability of Moving. J. Pop. Res. 2013, 30, 319–334. [Google Scholar] [CrossRef]
- Patel, A.; Joseph, G.; Killemsetty, N.; Eng, S. Effects of Residential Mobility and Migration on Standards of Living in Dar Es Salaam, Tanzania: A Life-Course Approach. PLoS ONE 2020, 15, e0239735. [Google Scholar] [CrossRef] [PubMed]
- Clark, W.A.; Withers, S.D. Family Migration and Mobility Sequences in the United States: Spatial Mobility in the Context of the Life Course. Demogr. Res. 2007, 17, 591–622. [Google Scholar] [CrossRef]
- Ding, L.; Hwang, J.; Divringi, E. Gentrification and Residential Mobility in Philadelphia. Reg. Sci. Urban Econ. 2016, 61, 38–51. [Google Scholar] [CrossRef] [PubMed]
- Knox, P.; Pinch, S. Urban Social Geography: An Introduction; Routledge: London, UK, 2014. [Google Scholar]
- China State Council. Regulations on the Expropriation and Compensation of Houses on State Owned Land. Available online: https://www.gov.cn/zwgk/2011-01/21/content_1790111.htm (accessed on 4 June 2024).
- Drevon, G.; Viry, G.; Kaufmann, V.; Widmer, E.; Gauthier, J.-A.; Ganjour, O. Analysing the Effects of Residential Mobility Behaviours on the Composition of Personal Network in Switzerland. Popul. Space Place 2021, 27, e2472. [Google Scholar] [CrossRef]
- Oishi, S.; Tsang, S. The Socio-Ecological Psychology of Residential Mobility. J. Consum. Psychol. 2022, 32, 519–536. [Google Scholar] [CrossRef]
- Keene, D.E.; Ruel, E. “Everyone Called Me Grandma”: Public Housing Demolition and Relocation among Older Adults in Atlanta. Cities 2013, 35, 359–364. [Google Scholar] [CrossRef] [PubMed]
- Li, X. Residents’ Perceptions of Impending Forced Relocation in Urban China: A Case Study of State-Led Urban Redevelopment in Shenyang. A+BE Archit. Built Environ. 2018, 11, 1–174. [Google Scholar] [CrossRef]
- Wang, F.; Wang, D. Changes in Residential Satisfaction after Home Relocation: A Longitudinal Study in Beijing, China. Urban Stud. 2020, 57, 583–601. [Google Scholar] [CrossRef]
- China State Council. Opinions of the State Council on Further Doing a Good Job in the Transformation of Urban Shantytowns and Rural Dilapidated Houses and the Construction of Supporting Infrastructure. Available online: https://www.gov.cn/zhengce/content/2015-06/30/content_9991.htm (accessed on 25 December 2023).
- MOHURD. Decoding the Suggestions on Accelerating the Redevelopment of Shantytowns from the State Council. Available online: http://www.gov.cn/zwhd/2013-07/12/content_2445702.htm (accessed on 25 December 2023).
- Chen, C. From “the Bottom of the Province” to “Entering the Middle Level”—Observations and Reflections on the “Breakthrough Heze” Strategy (Part 1). Heze Daily, 26 March 2022; A1. [Google Scholar]
- Allan, G.; Crow, G. Families, Households and Society; Springer: Berlin/Heidelberg, Germany, 2001. [Google Scholar]
- Lodhi, F.S.; Rabbani, U.; Khan, A.A.; Raza, O.; Holakouie-Naieni, K.; Yaseri, M.; Farooq, U.; Montazeri, A. Factors Associated with Quality of Life among Joint and Nuclear Families: A Population-Based Study. BMC Public Health 2021, 21, 234. [Google Scholar] [CrossRef] [PubMed]
- Kenny, D.A. Cross-Lagged Panel Correlation: A Test for Spuriousness. Psychol. Bull. 1975, 82, 887. [Google Scholar] [CrossRef]
- Ferrer, E.; McArdle, J. Alternative Structural Models for Multivariate Longitudinal Data Analysis. Struct. Equ. Model. Multidiscip. J. 2003, 10, 493–524. [Google Scholar] [CrossRef]
- Zhao, C.; Chen, B.; Li, X. Rising Housing Prices and Marriage Delays in China: Evidence from the Urban Land Transaction Policy. Cities 2023, 135, 104214. [Google Scholar] [CrossRef]
- Coulter, R.; Thomas, M. A New Look at the Housing Antecedents of Separation. Demogr. Res. 2019, 40, 725–760. [Google Scholar] [CrossRef]
- Chakraborty, A.; McMillan, A. Is Housing Diversity Good for Community Stability? Evidence from the Housing Crisis. J. Plan. Educ. Res. 2022, 42, 150–161. [Google Scholar] [CrossRef]






| Original Residence | Subdistrict | Resettlement Residence | Resettlement Model | Number of Samples | |
|---|---|---|---|---|---|
| 1 | Dongan community | Dongcheng Subdistrict | Zhongbei-xinduxin | In situ | 189 |
| 2 | Baiyuan community | Xicheng Subdistrict | Liucaiyuan-jiayuan | In situ | 90 |
| 3 | Huangchao community | Xicheng Subdistrict | Zhongda-heyuan | In situ | 157 |
| 4 | West area of early Heze City | Xicheng Subdistrict | Zhongda-heyuan | Nearby (about 800 m) | 76 |
| 5 | Zhongyue community | Nancheng Subdistrict | jiahheyiyuan | In situ | 94 |
| 6 | Zhanglou community | Nancheng Subdistrict | Tietou-ronghuafu | In situ | 124 |
| 7 | Yimin community | Beicheng Subdistrict | Kaixingtianxia | In situ | 87 |
| 8 | Yueguang community | Helou Subdistrict | Wanfujiayuan | In situ | 218 |
| Sample | EF | SF | NF | SPF | OF | Total |
|---|---|---|---|---|---|---|
| ALL-1 | 115 (11.1%) | 383 (37.0%) | 493 (47.6%) | 16 (1.5%) | 28 (2.7%) | 1035 (100.0%) |
| AB-1 | 62 (9.7%) | 259 (40.6%) | 297 (46.6%) | 4 (0.6%) | 16 (2.5%) | 638 (100.0%) |
| DH-1 | 53 (13.4%) | 124 (31.2%) | 196 (49.4%) | 12 (3.0%) | 12 (3.0%) | 397 (100.0%) |
| SOH-1 | 23 (11.4%) | 72 (35.8%) | 92 (45.8%) | 5 (2.5%) | 9 (4.5%) | 201 (100.0%) |
| RH-1 | 91 (11.3%) | 309 (38.3%) | 390 (48.3%) | 9 (1.1%) | 8 (1.0%) | 807 (100.0%) |
| ALL-2 | 55 (5.3%) | 397 (38.3%) | 543 (52.5%) | 13 (1.3%) | 27 (2.6%) | 1035 (100.0%) |
| AB-2 | 16 (2.5%) | 268 (42.0%) | 336 (52.6%) | 3 (0.5%) | 15 (2.4%) | 638 (100.0%) |
| DH-2 | 39 (9.8%) | 129 (32.5%) | 207 (52.1%) | 10 (2.5%) | 12 (3.0%) | 397 (100.0%) |
| SOH-2 | 12 (6.0%) | 81 (40.3%) | 100 (50.0%) | 1 (0.4%) | 7 (3.5%) | 201 (100.0%) |
| RH-2 | 43 (5.3%) | 314 (38.9%) | 432 (53.5%) | 10 (1.2%) | 8 (1.0%) | 807 (100.0%) |
| ALL-3 | 11 (1.1%) | 217 (21.0%) | 754 (72.8%) | 13 (1.3%) | 40 (3.8%) | 1035 (100.0%) |
| AB-3 | 4 (0.6%) | 145 (22.7%) | 461 (72.3%) | 3 (0.5%) | 25 (3.9%) | 638 (100.0%) |
| DH-3 | 7 (1.8%) | 72 (18.1%) | 293 (73.8%) | 10 (2.5%) | 15 (3.8%) | 397 (100.0%) |
| SOH-3 | 1 (0.4%) | 31 (15.4%) | 152 (75.6%) | 4 (2.0%) | 13 (6.5%) | 201 (100.0%) |
| RH-3 | 10 (1.2%) | 184 (22.8%) | 592 (73.4%) | 7 (0.9%) | 14 (1.7%) | 807 (100.0%) |
| Sample | Variable | Mean | Std | Min | Max |
|---|---|---|---|---|---|
| ALL | X1 | 280.060 | 121.534 | 28.000 | 1000.000 |
| X2 | 148.522 | 73.218 | 20.000 | 600.000 | |
| X3 | 127.748 | 25.431 | 85.000 | 366.000 | |
| Y1 | 0.000 | 1.016 | −2.045 | 3.474 | |
| Y2 | 0.000 | 0.997 | −2.072 | 3.808 | |
| Y3 | 0.000 | 0.948 | −1.862 | 4.651 | |
| AB | X1 | 267.726 | 106.526 | 28.000 | 1000.000 |
| X2 | 116.085 | 35.362 | 20.000 | 400.000 | |
| X3 | 130.543 | 27.520 | 85.000 | 366.000 | |
| Y1 | −0.005 | 0.958 | −2.045 | 3.474 | |
| Y2 | −0.048 | 0.866 | −2.072 | 3.808 | |
| Y3 | 0.020 | 0.909 | −1.862 | 4.403 | |
| DH | X1 | 299.881 | 140.266 | 30.000 | 935.160 |
| X2 | 200.650 | 86.988 | 25.000 | 600.000 | |
| X3 | 123.256 | 20.918 | 86.000 | 247.000 | |
| Y1 | 0.008 | 1.104 | −2.045 | 3.474 | |
| Y2 | 0.077 | 1.175 | −2.072 | 3.808 | |
| Y3 | −0.032 | 1.009 | −1.862 | 4.651 | |
| SOH | X1 | 285.059 | 135.249 | 30.000 | 935.160 |
| X2 | 154.945 | 85.878 | 25.000 | 600.000 | |
| X3 | 124.652 | 20.709 | 86.000 | 247.000 | |
| Y1 | −0.033 | 1.126 | −2.045 | 3.474 | |
| Y2 | 0.126 | 1.208 | −2.072 | 3.808 | |
| Y3 | −0.204 | 0.976 | −1.862 | 3.251 | |
| RH | X1 | 280.181 | 117.691 | 28.000 | 1000.000 |
| X2 | 150.113 | 68.223 | 25.000 | 600.000 | |
| X3 | 128.938 | 26.596 | 85.000 | 366.000 | |
| Y1 | 0.050 | 0.966 | −2.045 | 3.474 | |
| Y2 | 0.016 | 0.909 | −2.072 | 3.808 | |
| Y3 | 0.092 | 0.913 | −1.862 | 4.651 |
Disclaimer/Publisher’s Note: The statements, opinions and data contained in all publications are solely those of the individual author(s) and contributor(s) and not of MDPI and/or the editor(s). MDPI and/or the editor(s) disclaim responsibility for any injury to people or property resulting from any ideas, methods, instructions or products referred to in the content. |
© 2024 by the authors. Licensee MDPI, Basel, Switzerland. This article is an open access article distributed under the terms and conditions of the Creative Commons Attribution (CC BY) license (https://creativecommons.org/licenses/by/4.0/).
Share and Cite
Chao, H.; Kong, H. Changes in Family Structure during Shantytown Redevelopment and Their Correlation with the Living Space. Land 2024, 13, 1025. https://doi.org/10.3390/land13071025
Chao H, Kong H. Changes in Family Structure during Shantytown Redevelopment and Their Correlation with the Living Space. Land. 2024; 13(7):1025. https://doi.org/10.3390/land13071025
Chicago/Turabian StyleChao, Hao, and Hui Kong. 2024. "Changes in Family Structure during Shantytown Redevelopment and Their Correlation with the Living Space" Land 13, no. 7: 1025. https://doi.org/10.3390/land13071025
APA StyleChao, H., & Kong, H. (2024). Changes in Family Structure during Shantytown Redevelopment and Their Correlation with the Living Space. Land, 13(7), 1025. https://doi.org/10.3390/land13071025

