Has China’s Pilot Policy of Farmland Management Right Mortgage Loan Promoted County Agricultural Economic Growth?
Abstract
1. Introduction
2. Literature Review
3. Institutional Background and Research Hypothesis
- From the perspective of the cultivation of new agricultural management entities, in reality, the farmland management rights of new agricultural management entities are obtained through land transfer, and there are unsustainable problems with property rights during the mortgage period, making it difficult to obtain farmland mortgage loans. Taking farmers’ professional cooperatives as an example, farmers invest in cooperatives through the discount of farmland management rights, and the two sides sign a land transfer agreement for a certain period of time, but the dividends are basically paid once a year. In fact, after paying the dividends, the management rights are really transferred to the cooperative side. For the management rights of the next few years, although the agreement has been signed, but because the dividends have not been paid, they can only be considered as creditor’s rights, and this “management right” actually has no mortgage value. Therefore, in the case of one-year dividends, the new agricultural business entities to mortgage land management rights are actually a kind of empty transfer of management rights, without a substantial mortgage [25]. This is the same as tenant’s mortgaging a landlord’s home. As a result, they are frequently rejected by financial institutions as loan collateral, which limits the ability of new agricultural business entities to obtain funding. In order to establish new agricultural business organizations, it is challenging to draw talented individuals from urban areas to rural areas, and the CAEG is lacking in its core.
- From the perspective of the scale of farmland management, the key difficulty in the implementation of farmland mortgage loans is that it is difficult to value and dispose of farmland management rights. These two difficulties determine that the effectiveness of farmland management rights as collateral is low, and it is difficult to promote farmland transfer and scale operation. Firstly, collateral valuation is an important part of loan issuance; the existing methods of farmland value assessment are mainly the income reduction method, market comparison method, cost approximation method, etc. These assessment methods are different, and there is a gap with reality. At present, there is no unified, scientific, reasonable, and standardized assessment standard for the value of farmland management right, which impedes the process of bank lending. Secondly, collateral disposal is another important reason that affects the issuance of loans. Collateral disposal mainly has three forms: transfer, change, and realization, which requires a more active collateral trading platform. However, farmland belongs to the thin market, with poor liquidity and realization. The development of China’s farmland trading market lags behind, and the efficiency of disposal and realization is low, which seriously restricts the enthusiasm of financial institutions to participate in this business. For example, in pilot areas such as Xinyi City in Jiangsu Province, Wuhan City in Hubei Province, and Zaozhuang City in Shandong Province, defaults by borrowers and difficulties in disposing of mortgaged farmland have occurred [26].
- Farmland mortgage loans were inadequate in many places during the pilot phase, and the quantity of loans did not reach the level necessary for regional agricultural economic growth, as seen from the standpoint of the agricultural financial supply level. As a result, it will be challenging for the program to fully reap its benefits in terms of agricultural economic growth. For instance, since the FMRML’s establishment in Shaanxi Province’s Nanzheng District, the quantity, size, and profit of the loans made have all been modest, and it has been challenging to create an impact on a big scale. This is due to two factors: First of all, the conditions necessary for the policy’s implementation are not met. Mortgage financing of land management rights requires clear ownership, and during the pilot policy phase, land contract management rights certificates were not issued quickly. Farmers did not receive all of the land contract management rights certificates that they were due, and in some pilot areas, townships and village committees still lacked these certificates. This limited the transfer of contracted land in rural areas, hindered the realization of the right to mortgage financing, and hampered the pilot program’s advancement. As of the end of September 2018, in 45 pilot areas of the FMRML, rural contracted land had been certified but land contract management rights certificates had not yet been issued4. Secondly, the effective supply of financial institutions is insufficient. An (2017) [27] also found, through research in four regions such as Tongxin County in Ningxia, that local governments provide some guidance on the interest rate for the FMRML, which mostly fluctuates within 50% of the benchmark interest rate, that is, between 6% and 9.6%. However, this interest rate is not sufficient to cover the costs of financial institutions in carrying out this business, resulting in insufficient market incentives for financial institutions to carry out this business, and the “policy nature” of the FMRML is stronger than the “market nature”.
- From the perspective of loan flow, some agricultural management organizations have experienced distortions in the flow and use of loans after they have been approved, exacerbating the mismatch of resources between urban and rural areas, which is not conducive to CAEG. The Interim Measures for Pilot Mortgage Loans for the Management Right of Contracted Rural Land stipulates that “the mortgage loans on the operating right of contracted land obtained by the borrowers shall be mainly used for legitimate purposes recognized by the lenders, such as agricultural production and operation”. However, there is no supporting policy to establish the systemic compliance of its business, that is, it fails to clarify the relevant systemic rules and regulate the specific operational practices. Therefore, in reality, agricultural operators lack regulation and stability in land transfer operations. Because of their profit-driven nature, some agricultural operators, such as agribusinesses, have taken advantage of policy incentives to obtain loans at lower interest rates. Instead of using the money for agricultural purposes, they have invested it in fixed assets like energy, real estate, and iron and steel, as well as other cities and towns. This has led to a flow of loans to “non-agricultural and non-grain” industries. The concentration of labor, technology, and other variables in towns, coupled with the flow of finances to towns rather than the countryside, exacerbates the resource mismatch between urban and rural areas and impedes CAEG and urban–rural integration.
4. Empirical Strategy and Data Description
4.1. Empirical Strategy
4.2. Indicator Selection
4.2.1. Explained Variables
4.2.2. Core Explanatory Variables
4.2.3. Control Variables
4.3. Data Sources and Statistical Characteristics
5. Analysis of Empirical Results
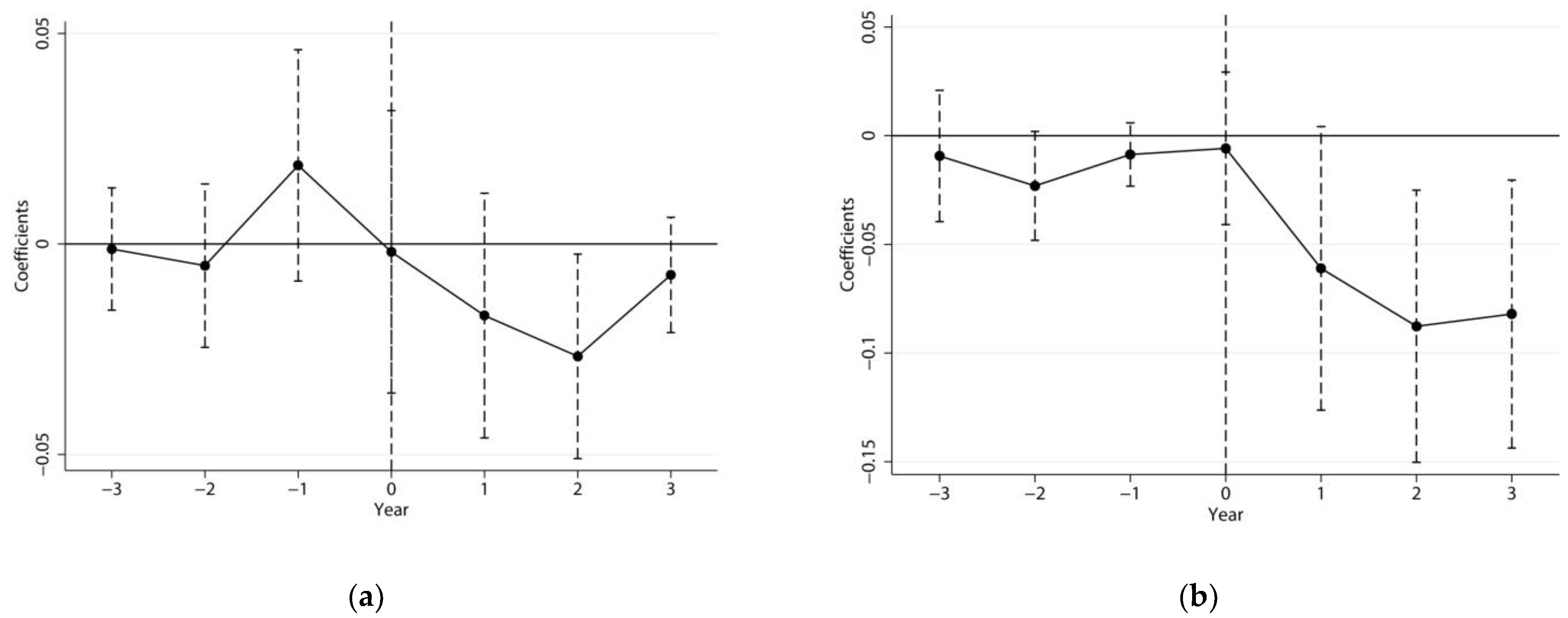
5.1. Parallel Trend Test
5.2. Baseline Estimates
5.2.1. Results of the Baseline Estimation: Has China’s Pilot Policy of FMRML Promoted CAEG
5.2.2. Mining the Causes: Why China’s Pilot Policy of FMRML Has Failed to Promote CAEG
5.3. Robustness Tests
5.3.1. Considering Sample Selection Bias
5.3.2. Excluding the Effects of Other Policies
5.4. Heterogeneity Analysis
6. Further Discussion
7. Conclusions and Policy Recommendations
7.1. Conclusions
7.2. Policy Recommendations
- Enhancing the enabling policies that give farming mortgages the bare minimum of assistance. First off, while the registration and issuance of certificates for rural contracted land has essentially been finished nationwide as of right now, there are still lingering issues in certain places, such as the inability to issue certificates, the holding back of land from certification, and false information regarding certified rights. In the future, it will be crucial to advance the settlement of outstanding issues, protect the certified rights from the previous period, enhance the national land contracting information application platform’s upgrading, and effectively manage the policy relationship between the confirmation of farmland rights and the extension of the second round of land contracting upon its expiration. Second, in order to encourage consistent evaluation norms, methods and procedures for determining the value of farmland management rights should be implemented nationally. In addition, local governments ought to investigate the use of independent assessment organizations, the development of a pool of experts in assessment, and financial institutions’ self-evaluation in order to enhance the legitimacy and professionalism of farmland value assessments. Thirdly, in order to increase farmland’s tradability, it is imperative that farmland transfer platforms be established as quickly as possible. To this end, all regions of the nation should expedite the creation of online and offline platforms for farmland property rights trading information, offering services like activity venues and filing registration for local farmland property rights transfers.
- Increasing the willingness of borrowers and financial institutions to engage and following the path of development that is focused on the market. The government should progressively step down its engagement and establish a farming mortgage environment that is focused on the market. Financial institutions must reasonably and independently determine the collateral rate, interest rate, and actual loan amount of the FMRML, taking into account the borrower’s credit status, borrowing demand and repayment ability, the value of the contracted land management right, and the method of transfer, among other factors. In order to successfully address the demand for financial services from farmers and diverse agricultural business subjects, financial institutions must continue to support the innovation of farmland financial products and services in accordance with local conditions. In order to incentivize returning business owners and regular farmers to establish new agricultural business entities, they should also concentrate on prospective demand groups for entrepreneurs with an interest in agriculture and offer loan funds in support of innovative business models like multi-industry integration entrepreneurship based on the agricultural industry. Farmers must take on the role of village cadres in information transmission in order to increase the transparency of agricultural mortgage policy and lessen the issue of credit rationing brought on by knowledge asymmetry. To guarantee that the land management rights acquired by the new agricultural business entities are effective during the mortgage period of the following few years, it is necessary to advise the land transfer parties to sign long-term contracts and pay one-time dividends for the next few years.
- A united front is formed by multi-party coordination to guarantee that farmland mortgage benefits the CAEG. State and local governments should define certain operational procedures, build business system compliance, explain pertinent system regulations, and adopt supporting policies concurrently with the implementation of farmland mortgage policy. Taking a cue from the “Xintian model”, lending should be tightly restricted to financing agricultural output, comprehensive agricultural growth, agricultural product processing, and other economic development associated with agriculture. Financial institutions should make use of digital loan supervisory tools and financial information technology, monitor various borrower data types in real time, and dynamically assess the likelihood of their performance risks. To build a strong firewall against financial risks, the Chengdu “NongDaiTong” platform, for instance, uses big data as the foundation for modeling to monitor the borrower’s business situation, living conditions, and behavioral changes. It also tracks changes in the borrower’s willingness and ability to repay. To truly understand the positive relationship between the farmland mortgage policy and the county’s industrial projects, farmers and other agricultural business subjects must utilize the policy for farmland mortgages in a reasonable manner. They also need to keep the funds in the county and for the county in order to realize the positive relationship between farmland mortgages and the county’s economic growth and achieve win–win development.
Author Contributions
Funding
Data Availability Statement
Conflicts of Interest
| 1 | Original information from https://www.gov.cn/gongbao/content/2016/content_5086363.htm, accessed on 30 April 2024. |
| 2 | Original information from http://www.npc.gov.cn/npc/c1773/c1848/c21114/c30514/c30517/201905/t20190521_263175.html, accessed on 6 June 2024. |
| 3 | Original information from https://www.gov.cn/flfg/2007-03/19/content_554452.htm, accessed on 6 June 2024. |
| 4 | Original information from http://www.npc.gov.cn/zgrdw/npc/xinwen/2018-12/23/content_2067610.htm, accessed on 30 April 2024. |
| 5 | The eastern region includes the 10 provinces (cities) of Beijing, Tianjin, Hebei, Shanghai, Jiangsu, Zhejiang, Fujian, Shandong, Guangdong, and Hainan; the central region includes Shanxi, Anhui, Jiangxi, Henan, Hubei, and Hunan provinces; the western region includes the 12 provinces (autonomous regions and municipalities) of Inner Mongolia, Guangxi, Chongqing, Sichuan, Guizhou, Yunnan, Tibet, Shaanxi, Gansu, Qinghai, Ningxia, and Xinjiang, and the northeast region includes Liaoning, Jilin, and Heilongjiang. Original information from https://www.stats.gov.cn/hd/cjwtjd/202302/t20230207_1902279.html, accessed on 6 June 2024. |
References
- He, S.; Liao, H.F.; Li, G. A spatiotemporal analysis of county economy and the multi-mechanism process of regional inequality in rural China. Appl. Geography. 2019, 111, 102073. [Google Scholar] [CrossRef]
- Zheng, H.G.; Zhang, Z.B. Analyzing characteristics and implications of the mortgage default of agricultural land management rights in recent China based on 724 court Decisions. Land 2021, 10, 729. [Google Scholar] [CrossRef]
- Ma, L.; Long, H.L.; Zhang, Y.N.; Tu, S.S.; Ge, D.Z.; Tu, X.S. Agricultural labor changes and agricultural economic development in China and their implications for rural vitalization. J. Geogr. Sci. 2019, 29, 163–179. [Google Scholar] [CrossRef]
- Jiang, A.N.; Zhang, W.S.; Zhou, F.; Peng, H.; Liu, X.; Wang, Y.; Zhang, X. Quantitative assessment of spatial-temporal characteristics of agricultural development level in China: A county-level analysis. Sustainability 2023, 15, 15816. [Google Scholar] [CrossRef]
- Guo, X.D.; Lung, P.; Sui, J.L.; Zhang, R.P.; Wang, C. Agricultural support policies and China’s cyclical evolutionary path of agricultural economic growth. Sustainability 2021, 13, 6134. [Google Scholar] [CrossRef]
- Zhao, N.; Yao, F.G. Innovative mechanism of rural finance: Risk assessment methods and impact factors of agricultural loans based on personal emotion and artificial intelligence. J. Environ. Public Health 2022, 2022, 1126489. [Google Scholar] [CrossRef]
- Kemper, N. Property rights and consumption volatility: Evidence from a land reform in Vietnam. World Dev. 2015, 71, 107–130. [Google Scholar] [CrossRef]
- Ruth, S.S. Historical grounding, political contexts, material hurdles: Towards more in-depth understandings of ‘finance going farming’. J. Agrar. Chang. 2021, 23, 433–441. [Google Scholar]
- Li, T.; Li, J.Y. Is farmland financial innovation narrowing the urban-rural income gap? A cross-regional study of China. PLoS ONE 2022, 17, e0269503. [Google Scholar] [CrossRef]
- Frederiksen, D.M. Mortgage banking in Germany. Q. J. Econ. 1894, 9, 47–76. [Google Scholar] [CrossRef]
- William, E.H.; Stanley, R.S.; Donnie, R.P.; Benoist, L.A. An analysis of factors that affect the quality of federal land bank loans. South. J. Agric. Econ. 2016, 19, 175–182. [Google Scholar]
- Wang, S.Q.; Liu, J.; Yang, J.X.; Benoist, L.A. Risks of rural land financial products in China: Types, characteristics and their prevention. Rural. Econ. 2019, 11, 110–117. [Google Scholar]
- Fitz, D. Evaluating the impact of market-assisted land reform in Brazil. World Dev. 2018, 103, 255–267. [Google Scholar] [CrossRef]
- Besley, T. Property rights and investment incentives: Theory and evidence from China. J. Political Econ. 2009, 103, 903–937. [Google Scholar] [CrossRef]
- Wang, Y.R.; Lu, H.G.; Chen, Y.G.; Yang, P.W.; Cheng, X.B.; Xie, F.T. The impact of farmland management rights loan on the agri-food industrial agglomeration: Case of Hubei Province. Land 2023, 12, 1389. [Google Scholar] [CrossRef]
- Stupen, R. Development of land and mortgage crediting of agriculture through land banks mechanism. Ukr. J. Econ. 2014, 4, 31–34. [Google Scholar]
- Galiani, S.; Schargrodsky, E. Land property rights and resource allocation. J. Law Econ. 2011, 54, S329–S345. [Google Scholar] [CrossRef]
- Sippel, R.S.; Larder, N.; Lawrence, G. Grounding the financialization of farmland: Perspectives on financial actors as new land owners in rural Australia. Agric. Hum. Values 2017, 34, 251–265. [Google Scholar] [CrossRef]
- Tassel, E.V. Credit access and transferable land rights. Oxf. Econ. Pap. 2004, 56, 151–166. [Google Scholar] [CrossRef]
- Gu, Q.K.; Lin, L.F. Can farmland management rights mortgages relieve the credit rationing of farmers? Econ. Rev. 2019, 5, 63–76. [Google Scholar]
- Ma, J.J.; Qi, H.; Wu, B.J.; Kong, X.Z. The financial supply effect of the mortgage of agricultural land management right: Evidence from the rural financial institutions. Stat. Res. 2023, 40, 121–133. [Google Scholar]
- Hu, X.P.; Mao, Y. Why is it difficult to promote land management rights of mortgage loan: Based on a case study in Pengshan District, Meishan City, Sichuan Province. Financ. Econ. 2021, 2, 109–120. [Google Scholar]
- Peng, Y.L.; Jiang, Y.S.; Hong, Y. Heterogeneous preferences for selecting attributes of farmland management right mortgages in western China: A demand perspective. Land 2022, 11, 1157. [Google Scholar] [CrossRef]
- Guo, Y.Z.; Liu, Y.S. Poverty alleviation through land assetization and its implications for rural revitalization in China. Land Use Policy 2021, 105, 105418. [Google Scholar] [CrossRef]
- Lin, Y.M.; Sun, Q.W.; Guan, X. The realistic predicament and system innovation of the mortgage of rural land management right in China. Reform 2020, 1, 123–132. [Google Scholar]
- Jiang, M.S.; Li, J.R.; Mi, Y.S. Participation of third-party organizations, reduction of transaction cost and availability of farmland mortgage: Based on the perspective of farmland disposal. Econ. Rev. 2020, 4, 97–110. [Google Scholar]
- An, H.Y. Study on the Pilot Effect of Mortgage Loan for Rural Contracted Land Management Rights; China Financial & Economic Publishing House: Beijing, China, 2017; pp. 200–201. [Google Scholar]
- Ran, R.; Hua, L.; Li, T.; Chen, Y.J.; Xiao, J.F. Why have China’s poverty eradication policy resulted in the decline of arable land in poverty-stricken Areas? Land 2023, 12, 1856. [Google Scholar] [CrossRef]
- Bao, S.G. Does public private partnership in agriculture promote the development of county agricultural economy? Empirical evidence based on multi-period DID method. Chin. Rural. Econ. 2022, 1, 61–75. [Google Scholar]
- Gan, T.Q.; Li, B.; Deng, H. The reform of three rights division of farmland and the growth of county agricultural economy. J. Huazhong Agric. Univ. (Soc. Sci. Ed.) 2021, 5, 147–157+198–199. [Google Scholar]
- Gong, M.G.; Xi, R.C.; Qi, Y.X.; Wang, X.Z.; Sun, P.S. Agricultural land management and rural financial development: Coupling and coordinated relationship and temporal-spatial disparities in China. Sci. Rep. 2024, 14, 6523. [Google Scholar] [CrossRef]
- Boler, A.E.; Moxnes, A.; Ulltveit-Moe, H.K. International sourcing, and the joint impact on firm performance. Am. Econ. Rev. 2015, 105, 3704–3739. [Google Scholar] [CrossRef]
- Rosenbaum, P.R.; Rubin, D.B. The central role of the propensity score in observational studies for causal effects. Biometrika 1983, 70, 41–55. [Google Scholar] [CrossRef]
- Bulte, E.; Xu, L.H.; Zhang, X.B. Post-disaster aid and development of the manufacturing sector: Lessons from a natural experiment in China. Eur. Econ. Rev. 2018, 101, 441–458. [Google Scholar] [CrossRef]
- De Soto, H. The Mystery of Capital: Why Capitalism Triumphs in the West and Fails Everywhere Else; Basic Books: New York, NY, USA, 2000. [Google Scholar]


| Variable Name | Variable Symbol | Definition |
|---|---|---|
| County industrial structure | str | The proportion of the added value of the secondary industry in county GDP |
| County government intervention degree | gov | The ratio of general public budget expenditure to county GDP |
| County urban and rural economic characteristics | tow | The proportion of the number of towns in the total number of towns and townships |
| County residents’ savings level | dep | The ratio of residents’ savings deposit balance to county GDP |
| County education endowment condition | edu | The ratio of the number of students in ordinary middle schools to the total population of the county |
| County informatization level | inf | The ratio of the number of fixed telephone subscribers to the total population of the county |
| Variable Name | Obs | Mean | S.D. | Min | Max |
|---|---|---|---|---|---|
| lnGDP1 | 20,450 | 11.9825 | 1.0518 | 7.3856 | 14.3104 |
| lnPGDP1 | 20,450 | 8.4178 | 0.6753 | 3.0339 | 12.5353 |
| fed | 20,450 | 0.0511 | 0.2202 | 0.0000 | 1.0000 |
| str | 20,450 | 0.4187 | 0.1609 | 0.0131 | 0.9773 |
| gov | 20,450 | 0.3252 | 0.3502 | 0.0049 | 16.7352 |
| tow | 20,450 | 0.6335 | 0.2569 | 0.0000 | 1.0000 |
| dep | 20,450 | 0.7716 | 0.4115 | 0.0128 | 7.3447 |
| edu | 20,450 | 0.0499 | 0.0579 | 0.0002 | 3.0950 |
| inf | 20,450 | 0.1108 | 0.1056 | 0.0001 | 4.1245 |
| County Agricultural Economic Development Level: lnGDP1 | County Agricultural Economic Development Level: lnPGDP1 | |||
|---|---|---|---|---|
| (1) | (2) | (3) | (4) | |
| fed | −0.0082 | −0.0041 | −0.0463 *** | −0.0340 *** |
| (−1.21) | (−0.32) | (−3.01) | (−2.72) | |
| str | −0.2426 *** | −0.2137 *** | ||
| (−16.29) | (−7.58) | |||
| gov | −0.0302 *** | 0.0062 | ||
| (−4.27) | (0.46) | |||
| tow | 0.1215 *** | 0.0725 *** | ||
| (9.42) | (2.97) | |||
| dep | −0.1361 *** | −0.1371 *** | ||
| (−23.23) | (−12.37) | |||
| edu | 0.0560 *** | 3.6062 *** | ||
| (2.81) | (95.57) | |||
| inf | 0.2054 *** | 0.3223 *** | ||
| (12.59) | (10.44) | |||
| Constant | 11.6929 *** | 11.7896 *** | 8.1339 *** | 7.9674 *** |
| (3594.91) | (974.51) | (1104.88) | (348.09) | |
| County fixed effect | YES | YES | YES | YES |
| Time fixed effect | YES | YES | YES | YES |
| R2 | 0.5452 | 0.5706 | 0.1829 | 0.4609 |
| N | 20,450 | 20,450 | 20,450 | 20,450 |
| Mechanism 1: Cultivation of New Agricultural Business Entities | Mechanism 2: Large-Scale Operation of Farmland | Mechanism 3: Agricultural Financial Supply | Mechanism 4: County Resource Mismatch | |||||
|---|---|---|---|---|---|---|---|---|
| Variable | (1) | (2) | (3) | (4) | (5) | (6) | (7) | (8) |
| rceo | lnGDP1 | land | lnGDP1 | loan | lnGDP1 | mis | lnGDP1 | |
| fed | −0.1235 *** | −0.0017 | 0.0313 | −0.0022 | −0.0278 ** | −0.0014 | 0.0343 * | −0.0027 |
| (−3.26) | (−0.26) | (0.74) | (−0.34) | (−2.17) | (−0.22) | (1.83) | (−0.41) | |
| rceo/land/loan/mis | 0.0030 ** | 0.0039 *** | 0.0249 *** | −0.0167 *** | ||||
| (2.31) | (3.39) | (6.53) | (6.43) | |||||
| str | 0.3604 *** | −0.2437 *** | 0.2774 *** | −0.2437 *** | 0.4545 *** | −0.2539 *** | 0.6772 *** | −0.2539 *** |
| (4.21) | (−16.35) | (2.90) | (−16.36) | (15.79) | (−16.95) | (16.00) | (−16.94) | |
| gov | 0.0107 | −0.0302 *** | −0.0368 | −0.0301 *** | 0.2999 *** | −0.0377 *** | 0.1047 *** | −0.0320 *** |
| (0.26) | (−4.28) | (−0.81) | (−4.25) | (21.95) | (−5.27) | (5.21) | (−4.52) | |
| tow | −0.0439 | 0.1216 *** | 0.1059 | 0.1211 *** | −0.0647 *** | 0.1231 *** | −0.2441 *** | 0.1256 *** |
| (−0.59) | (9.43) | (1.28) | (9.39) | (−2.59) | (9.55) | (−6.66) | (9.73) | |
| dep | −0.0677 ** | −0.1359 *** | −0.0723 * | −0.1359 *** | −0.1570 *** | −0.1322 *** | −0.5615 *** | −0.1268 *** |
| (−2.01) | (−23.20) | (−1.92) | (−23.19) | (−13.87) | (−22.47) | (−33.72) | (−21.02) | |
| edu | −0.0432 | 0.0561 *** | 0.0354 | 0.0558 *** | 0.1330 *** | 0.0526 *** | −0.0945 * | 0.0575 *** |
| (−0.38) | (2.81) | (0.28) | (2.80) | (3.45) | (2.64) | (−1.67) | (2.89) | |
| inf | 0.1534 | 0.2050 *** | −0.0877 | 0.2058 *** | 0.2888 *** | 0.1982 *** | 0.3318 *** | 0.1999 *** |
| (1.64) | (12.56) | (−0.84) | (12.61) | (9.16) | (12.13) | (7.15) | (12.24) | |
| Constant | 1.1801 *** | 11.7861 *** | 0.8871 *** | 11.7862 *** | 8.0635 *** | 11.5888 *** | 13.0138 *** | 11.5727 *** |
| (16.99) | (966.77) | (11.41) | (971.07) | (344.92) | (350.89) | (378.60) | (322.91) | |
| County fixed effect | YES | YES | YES | YES | YES | YES | YES | YES |
| Time fixed effect | YES | YES | YES | YES | YES | YES | YES | YES |
| R2 | 0.1112 | 0.5708 | 0.0026 | 0.5709 | 0.6460 | 0.1112 | 0.5708 | 0.0026 |
| N | 20,450 | 20,450 | 20,450 | 20,450 | 20,450 | 20,450 | 20,450 | 20,450 |
| Variable | PSM-DID | |
|---|---|---|
| lnGDP1 | lnPGDP1 | |
| fed | −0.0016 | −0.0325 *** |
| (0.01) | (0.01) | |
| str | −0.4136 *** | −0.3601 *** |
| (0.02) | (0.03) | |
| gov | −0.0647 *** | 0.0413 ** |
| (0.01) | (0.02) | |
| tow | 0.1327 *** | 0.0851 *** |
| (0.01) | (0.02) | |
| dep | −0.1696 *** | −0.1806 *** |
| (0.01) | (0.01) | |
| edu | 0.0534 *** | 3.6006 *** |
| (0.02) | (0.04) | |
| inf | 0.2138 *** | 0.3289 *** |
| (0.02) | (0.03) | |
| Constant | 11.8953 *** | 8.0443 *** |
| (0.01) | (0.03) | |
| County fixed effect | YES | YES |
| Time fixed effect | YES | YES |
| R2 | 0.5783 | 0.4631 |
| N | 20,395 | 20,395 |
| Variable | Exclusion of Former National Poor Counties | Exclusion of Pilot Counties for Returning-Home Entrepreneurship | Exclusion of Pilot Counties for Farmers’ Housing Property Rights Mortgage |
|---|---|---|---|
| lnGDP1 | lnGDP1 | lnGDP1 | |
| fed | −0.0031 | −0.0106 | −0.0060 |
| (−0.41) | (−1.36) | (−0.88) | |
| str | −0.1923 *** | −0.2294 *** | −0.2336 *** |
| (−10.75) | (−14.51) | (−15.54) | |
| gov | −0.1304 *** | −0.0293 *** | −0.0309 *** |
| (−4.62) | (−4.02) | (−4.35) | |
| tow | 0.0344 ** | 0.1183 *** | 0.1218 *** |
| (2.09) | (8.33) | (9.26) | |
| dep | −0.0830 *** | −0.1314 *** | −0.1362 *** |
| (−10.60) | (−21.00) | (−23.03) | |
| edu | 0.0471 * | 0.0515 ** | 0.0481 ** |
| (1.93) | (2.44) | (2.38) | |
| inf | 0.1408 *** | 0.2681 *** | 0.2014 *** |
| (7.77) | (13.75) | (12.15) | |
| Constant | 12.1872 *** | 11.7263 *** | 11.7752 *** |
| (738.81) | (903.87) | (961.97) | |
| County fixed effect | YES | YES | YES |
| Time fixed effect | YES | YES | YES |
| R2 | 0.4982 | 0.5624 | 0.5701 |
| N | 12,470 | 17,380 | 19,900 |
| Variable | Eastern Region | Central Region | Western Region | Northeastern Region |
|---|---|---|---|---|
| lnGDP1 | lnGDP1 | lnGDP1 | lnGDP1 | |
| fed | −0.0118 | −0.0192 * | 0.0137 | 0.0140 |
| (−1.01) | (−1.76) | (1.09) | (0.59) | |
| str | −0.2995 *** | −0.0405 ** | −0.4229 *** | −0.1989 *** |
| (−7.39) | (−2.01) | (−18.43) | (−3.02) | |
| gov | −0.1275 ** | 0.0664 | −0.0282 *** | −0.1206 |
| (−2.15) | (1.54) | (−4.02) | (−1.64) | |
| tow | 0.0718 ** | 0.0376 | 0.1175 *** | 0.0853 |
| (2.40) | (1.36) | (7.43) | (1.05) | |
| dep | −0.1303 *** | −0.0839 *** | −0.2474 *** | −0.0781 *** |
| (−8.73) | (−6.05) | (−23.70) | (−3.67) | |
| edu | 0.0078 | 0.1198 *** | 0.0290 | −0.1553 |
| (0.28) | (3.55) | (0.79) | (−0.57) | |
| inf | 0.1269 *** | 0.0465 | 0.1314 *** | 0.1215 |
| (5.41) | (1.49) | (4.33) | (1.18) | |
| Constant | 12.4272 *** | 11.8563 *** | 11.4450 *** | 12.3715 *** |
| (385.00) | (555.62) | (696.77) | (181.01) | |
| County fixed effect | YES | YES | YES | YES |
| Time fixed effect | YES | YES | YES | YES |
| R2 | 0.4431 | 0.5937 | 0.6903 | 0.4525 |
| N | 5110 | 4950 | 8890 | 1500 |
Disclaimer/Publisher’s Note: The statements, opinions and data contained in all publications are solely those of the individual author(s) and contributor(s) and not of MDPI and/or the editor(s). MDPI and/or the editor(s) disclaim responsibility for any injury to people or property resulting from any ideas, methods, instructions or products referred to in the content. |
© 2024 by the authors. Licensee MDPI, Basel, Switzerland. This article is an open access article distributed under the terms and conditions of the Creative Commons Attribution (CC BY) license (https://creativecommons.org/licenses/by/4.0/).
Share and Cite
Deng, J.; Gu, Y.; Zhang, N. Has China’s Pilot Policy of Farmland Management Right Mortgage Loan Promoted County Agricultural Economic Growth? Land 2024, 13, 869. https://doi.org/10.3390/land13060869
Deng J, Gu Y, Zhang N. Has China’s Pilot Policy of Farmland Management Right Mortgage Loan Promoted County Agricultural Economic Growth? Land. 2024; 13(6):869. https://doi.org/10.3390/land13060869
Chicago/Turabian StyleDeng, Jinqian, Yue Gu, and Na Zhang. 2024. "Has China’s Pilot Policy of Farmland Management Right Mortgage Loan Promoted County Agricultural Economic Growth?" Land 13, no. 6: 869. https://doi.org/10.3390/land13060869
APA StyleDeng, J., Gu, Y., & Zhang, N. (2024). Has China’s Pilot Policy of Farmland Management Right Mortgage Loan Promoted County Agricultural Economic Growth? Land, 13(6), 869. https://doi.org/10.3390/land13060869

