The Impact of Urban Renewal on Spatial–Temporal Changes in the Human Settlement Environment in the Yangtze River Delta, China
Abstract
1. Introduction
2. Theoretical Framework
2.1. Assessing the Human Settlement Environment
2.2. Theoretical Nexus of Urban Renewal and the HSE
3. Materials and Methods
3.1. Study Area and Data
3.2. Baseline Model
3.3. The Geographically and Temporally Weighted Regression (GTWR) Model
3.4. Variables
3.4.1. Dependent Variable
3.4.2. Key Independent Variable
3.4.3. Control Variable
- (1)
- Population density (Pop): The rapid urbanization process has resulted in a significant influx of rural population into cities. High population density can exert considerable pressure on urban transportation, the ecological environment, and living conditions, leading to frequent urban challenges. To measure population density, this study used the number of people per square kilometer.
- (2)
- External investment (Foreign): As comprehensive national strength grows, capital investments from foreign countries or regions play a crucial role in driving urban development and improving the living standards of urban residents. To represent the intensity of external investment, this study employed the number of contracted projects for foreign direct investment.
- (3)
- Unemployment (Unemployed): Unemployment directly affects household income and consumption levels for the majority of the urban population, consequently impacting the urban economic environment. To evaluate the level of unemployment, this study utilized the number of registered unemployed individuals in the city.
- (4)
- Human capital (Education): The level of human capital in cities directly reflects the quality of the urban economic environment. Enhanced human capital can increase individual employment opportunities, elevate income levels, and subsequently influence urban consumption levels. To measure the level of human capital in cities, this study considered the proportion of higher education students to the registered population.
4. Result and Discussion
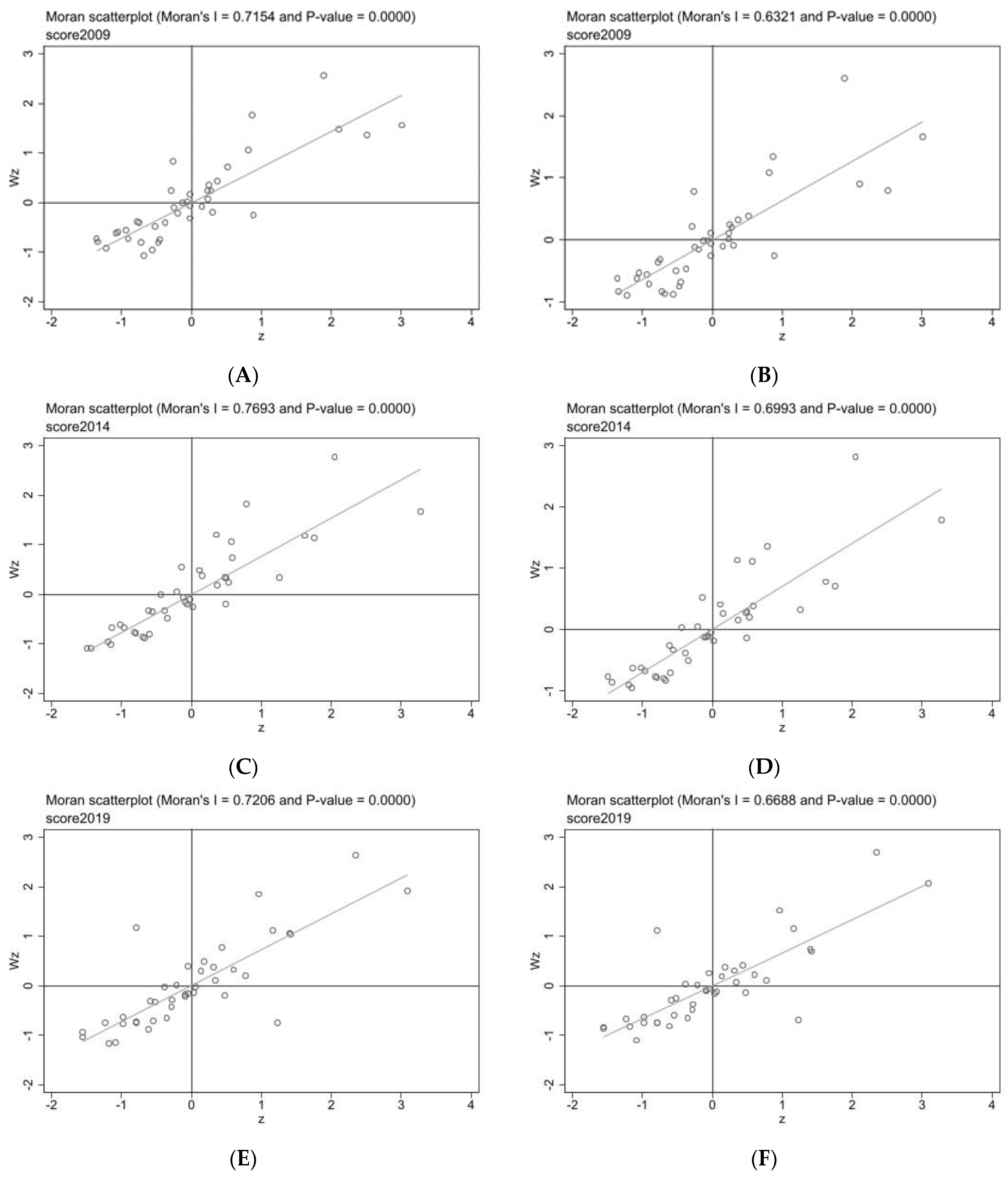
4.1. Mapping the Spatial Variability and Temporal Trajectories of the HSE
4.2. The Impact of Urban Renewal on the HSE: Benchmark Findings
4.3. The Impact of Urban Renewal on the HSE: Mechanisms
- (1)
- Policy Dimension (Figure 5): Local policy interventions are largely conducive to the HSE enhancement, with their potency escalating over time following their implementation. Pivoting around the 2014 national policy milestone, the 2009–2013 phase saw Jiangsu and Zhejiang provinces bask in the zenith of positive policy impact. Conversely, from 2015 to 2019, Anhui and Jiangsu emerged as new focal points, albeit with some southern Zhejiang cities, prominently Wenzhou, encountering adverse effects.
- (2)
- Infrastructure Investment Dynamics (Figure 6): The trajectory of fixed asset investments in municipal public facilities’ influence on HSE transitioned from adverse to favorable. Until 2013, all cities registered detrimental regression coefficients. Post-2014, however, a reversal in the coefficient polarity became prevalent across many cities, implying a strengthening constructive influence. This transformation aligns with the advent of the “Lucid Waters and Lush Mountains” green development philosophy, highlighting infrastructure investments’ escalating role in bolstering the HSE. Meanwhile, the contribution of urban drainage pipeline length to HSE improvement was generally positive but stabilizing. Between 2009 and 2013, regions in Zhejiang and southern Jiangsu reaped the lion’s share of benefits from extended drainage systems. Post-2014, the ameliorative effect dropped off, potentially due to rapid urbanization and mature infrastructure in these locales, diminishing the incremental advantage of further pipeline extensions on the HSE.
- (3)
- Industrial Progress (Figure 7): The progress of industrial structure exerts a substantial effect on the HSE, with the secondary industry’s GDP contribution displaying a stable, primarily positive impact. Between 2009 and 2013, the regression coefficients for 40 cities consistently hovered within a [0.04, 0.07] band. While Wenzhou and Taizhou momentarily showed a 2014 decline, the period from 2015 to 2019 witnessed a stronger, predominantly positive influence across the cities, particularly in Jiangsu and northern Anhui. The tertiary industry’s GDP share had a more substantial bearing, with cities like Yancheng, Huai’an, Taizhou, Nanjing, Hangzhou, and Hefei consistently benefitting. Moreover, the Yangtze River cities registered significantly higher coefficients compared to their southern Zhejiang coastal counterparts, highlighting the tertiary sector’s enhanced HSE impact in the Yangtze region.
- (4)
- Material Renewal (Figure 8): The physical revitalization of spaces significantly shapes the HSE landscape through multiple avenues. Local general public budget revenue, despite being generally positive, waned in influence over the timeline. The northern Anhui cities initially saw the most positive impact, yet post-2014 policy implementation, the southern Zhejiang cities exhibited a positive surge, except for Lianyungang’s marginal negative coefficient. Residential land area generally fostered a positive HSE environment, yet with notable fluctuations, transitioning from negative dominance in northern Anhui and Jiangsu (2009–2013) to a positive swing favoring Zhejiang post-2014. Industrial land area mostly positively influenced the HSE, with initial mixed signals at provincial borders evolving into a more definitive positive trend concentrated in cities like Lu’an, Hefei, and Huai’an from 2015 to 2019, while southern Zhejiang cities experienced negative effects.
5. Conclusions
Author Contributions
Funding
Data Availability Statement
Conflicts of Interest
References
- Kang, Y.H.; Zhang, F.; Gao, S.; Peng, W.Z.; Ratti, C. Human settlement value assessment from a place perspective: Considering human dynamics and perceptions in house price modeling. Cities 2021, 118, 103333. [Google Scholar] [CrossRef]
- Xia, C.; Yeh, A.G.-O.; Zhang, A. Analyzing spatial relationships between urban land use intensity and urban vitality at street block level: A case study of five Chinese megacities. Landsc. Urban Plan. 2020, 193, 103669. [Google Scholar] [CrossRef]
- Cao, K.; Deng, Y.; Wang, W.; Liu, S. The spatial heterogeneity and dynamics of land redevelopment: Evidence from 287 Chinese cities. Land Use Policy 2023, 132, 106760. [Google Scholar] [CrossRef]
- Zhu, H.; Yu, W.; Li, J. The Spatial Injustice in Tourism-Led Historic Urban Area Renewal: An Analytical Framework from Stakeholder Analysis. Curr. Issues Tour. 2024, 27, 1229–1248. [Google Scholar] [CrossRef]
- Li, H.; Dong, A.; Hu, X.; Fu, H. Innovative Research on Urban Renewal Operation Mechanism and Evolution: Based on Ecological Theory. Fresenius Environ. Bull. 2021, 30, 7933–7938. [Google Scholar]
- Lee, C.; Liang, C.-M.; Chen, C.-Y. The Impact of Urban Renewal on Neighborhood Housing Prices in Taipei: An Application of the Difference-in-Difference Method. J. Hous. Built Environ. 2017, 32, 407–428. [Google Scholar] [CrossRef]
- Ferrari, E. Competing Ideas of Social Justice and Space:Locating Critiques of Housing Renewal in Theory and in Practice. Int. J. Hous. Policy 2012, 12, 263–280. [Google Scholar]
- Zhang, W.; Zhang, X.; Wu, G. The Network Governance of Urban Renewal: A Comparative Analysis of Two Cities in China. Land Use Pol. 2021, 106, 105448. [Google Scholar] [CrossRef]
- Li, H.; Zhou, L.-A. Political turnover and economic performance: The incentive role of personnel control in China. J. Public Econ. 2005, 89, 1743–1762. [Google Scholar] [CrossRef]
- Han, L.; Lu, M. Housing prices and investment: An assessment of China’s inland-favoring land supply policies. J. Asia Pac. Econ. 2017, 22, 106–121. [Google Scholar] [CrossRef]
- Li, J. Land sale venue and economic growth path: Evidence from China’s urban land market. Habitat Int. 2014, 41, 307–313. [Google Scholar] [CrossRef]
- Huang, Z.; Du, X. Strategic interaction in local governments’ industrial land supply: Evidence from China. Urban Stud. 2017, 54, 1328–1346. [Google Scholar] [CrossRef]
- Zhou, L.; Tian, L.; Cao, Y.; Yang, L. Industrial land supply at different technological intensities and its contribution to economic growth in China: A case study of the Beijing-Tianjin-Hebei region. Land Use Policy 2021, 101, 105087. [Google Scholar] [CrossRef]
- Deng, F. Gated community and residential segregation in urban China. GeoJournal 2017, 82, 231–246. [Google Scholar] [CrossRef]
- Chen, Q.X.; Zhang, K.W.; Zhang, G.Y.; Zhang, M.Y. Vulnerability assessment on human settlement environment of coastal towns with entire-array-polygon method: Evidence from Ninghai, China. Environ. Dev. Sustain. 2024, 1–24. [Google Scholar] [CrossRef]
- Li, J.B.; Huang, X.J.; Kwan, M.P.; Yang, H.; Chuai, X.W. The effect of urbanization on carbon dioxide emissions efficiency in the Yangtze River Delta, China. J. Clean. Prod. 2018, 188, 38–48. [Google Scholar] [CrossRef] [PubMed]
- Wang, B.; Hu, D.; Hao, D.; Li, M.; Wang, Y. Influence of Government Information on Farmers’ Participation in Rural Residential Environment Governance: Mediating Effect Analysis Based on Moderation. Int. J. Environ. Res. Public Health 2021, 18, 12607. [Google Scholar] [CrossRef] [PubMed]
- Chen, L.; Tao, J. Will Model of Polycentric Synergetic Governance Be “The Good Road to Governance” of Rural Habitat Environment? J. Northwest AF Univ. (Soc. Sci. Ed.) 2024, 24, 10–21. [Google Scholar]
- Lin, S.; Hou, L. SDGs-Oriented Evaluation of the Sustainability of Rural Human Settlement Environment in Zhejiang, China. Heliyon 2023, 9, e13492. [Google Scholar] [CrossRef] [PubMed]
- Wang, Y.; Zhu, Y. Exploring the Effects of Rural Human Settlement on Rural Development: Evidence from Xianju County in Zhejiang Province, China. Environ. Dev. 2023, 46, 100845. [Google Scholar] [CrossRef]
- Chen, J. Temporal-Spatial Assessment of the Vulnerability of Human settlement environment in Urban Agglomerations in China. Environ. Sci. Pollut. Res. 2023, 30, 3726–3742. [Google Scholar] [CrossRef] [PubMed]
- Gao, J.; Cao, F.; Sun, D.; Bai, Z.; Lang, Z. Composite Characteristic and Mechanism Analysis of Human settlement environment in Jinan City Based on Demand Hierarchy Theory. Buildings 2023, 13, 1624. [Google Scholar] [CrossRef]
- Zhou, X.; Ao, R.; Zhu, Y.; Chen, J.; Shen, X.; Aihemaitijiang, Y. Urban human settlements’ resilience measurement and characteristics and their mechanism model in China. PLoS ONE 2023, 18, e0289754. [Google Scholar] [CrossRef] [PubMed]
- Stal, G.Y.; Zuberi, D.M. Ending the Cycle of Poverty through Socio-Economic Integration: A Comparison of Moving to Opportunity (MTO) in the United States and the Bijlmermeer Revival Project in the Netherlands. Cities 2010, 27, 3–12. [Google Scholar] [CrossRef]
- Wang, Y.; Li, J.; Zhang, G.; Li, Y.; Asare, M.H. Fuzzy Evaluation of Comprehensive Benefit in Urban Renewal Based on the Perspective of Core Stakeholders. Habitat Int. 2017, 66, 163–170. [Google Scholar] [CrossRef]
- Yao, Z. The Design of Marine Architecture: A Renewal and Development of Coastal City Space Perspective. J. Coast. Res. 2020, 106, 347–350. [Google Scholar]
- Tang, M.; Hong, J.; Wang, X.; He, R. Sustainability Accounting of Neighborhood Metabolism and Its Applications for Urban Renewal Based on Emergy Analysis and SBM-DEA. J. Environ. Manag. 2020, 275, 111177. [Google Scholar] [CrossRef] [PubMed]
- Li, X.; Hui, E.C.M.; Chen, T.; Lang, W.; Guo, Y. From Habitat III to the New Urbanization Agenda in China: Seeing through the Practices of the “Three Old Renewals” in Guangzhou. Land Use Pol. 2019, 81, 513–522. [Google Scholar] [CrossRef]
- Page, B.; Ross, E. Legacies of a Contested Campus: Urban Renewal, Community Resistance, and the Origins of Gentrification in Denver. Urban Geogr. 2017, 38, 1293–1328. [Google Scholar] [CrossRef]
- Wallace, A. The Inbetweeners: Living with Abandonment, Gentrification and Endless Urban ‘Renewal’ in Salford, UK: A Cross-National Perspective. In Social Housing and Urban Renewal; Emerald Publishing Limited: Bingley, UK, 2017. [Google Scholar]
- Yang, R.; Lin, Y. Rural Spatial Transformation and Governance from the Perspective of Land Development Rights: A Case Study of Fenghe Village in Guangzhou. Growth Chang. 2022, 53, 1102–1121. [Google Scholar] [CrossRef]
- Konove, A. Making a Modern Barrio: Infrastructure and Progress in Mexico City, 1900–1903. J. Urban Hist. 2020, 46, 516–540. [Google Scholar] [CrossRef]
- Dai, M.; Zhang, H. Luo Wanting. Theory and Practice of Urban Development Transformation--An Introduction to Shenzhen’s Development Transformation. Urban Probl. 2013, 12, 84–88. [Google Scholar]
- Chang, J.F.; Wang, W.; Liu, J.L. Industrial upgrading and its influence on green land use efficiency. Sci. Rep. 2023, 13, 2813. [Google Scholar] [CrossRef] [PubMed]
- Ye, L.; Peng, X.; Aniche, L.Q.; Scholten, P.H.T.; Ensenado, E.M. Urban Renewal as Policy Innovation in China: From Growth Stimulation to Sustainable Development. Public Adm. Dev. 2021, 41, 23–33. [Google Scholar] [CrossRef]
- Hsu, K.-W.; Chao, J.-C. Economic Valuation of Green Infrastructure Investments in Urban Renewal: The Case of the Station District in Taichung, Taiwan. Environments 2020, 7, 56. [Google Scholar] [CrossRef]
- Deng, Y.; Fu, B.; Sun, C. Effects of Urban Planning in Guiding Urban Growth: Evidence from Shenzhen, China. Cities 2018, 83, 118–128. [Google Scholar] [CrossRef]
- Wu, P.; Zhong, K.; Wang, L.; Xu, J.; Liang, Y.; Hu, H.; Wang, Y.; Le, J. Influence of Underlying Surface Change Caused by Urban Renewal on Land Surface Temperatures in Central Guangzhou. Build. Environ. 2022, 215, 108985. [Google Scholar] [CrossRef]
- Shuai, S.; Xin, L.; Jianhua, C.; Lili, Y. China’s Economic Policy Choices for Governing Smog Pollution Based on Spatial Spillover Effects. Econ. Res. J. 2016, 51, 73–88. [Google Scholar]
- Li, W.; Cai, J.; Zhu, Y.; Li, J.; Li, Z. Can digital finance development drive green transformation in manufacturing? Evidence from China. Environ. Sci. Pollut. Res. 2024, 31, 23876–23895. [Google Scholar] [CrossRef]








| Dimension | Indicator | Description |
|---|---|---|
| Economic environment | Income distribution | Theil’s index; measures income disparities between urban and rural population. |
| Per capita consumption expenditure | Per capita spending, indicative of living standards | |
| Engel’s coefficient | Proportion of income spent on food; lower values signal higher living standards. | |
| Ecological environment | Waste management efficiency | The annual volume of industrial wastewater discharged per city; measures the waste disposal practices for environmental sustainability. |
| Green area of parks | Ratio of parks and gardens to urban area for improved wellbeing. | |
| Greening coverage in built-up areas | Measures the vegetative layer that exists amidst buildings, roads, and other concrete structures, serving as a vital element of urban ecology. |
| Year | 2009 | 2010 | 2011 | 2012 | 2013 | 2014 |
| (W1) | 0.715 *** | 0.757 *** | 0.777 *** | 0.77 *** | 0.76 *** | 0.77 *** |
| (0.101) | (0.103) | (0.102) | (0.101) | (0.1) | (0.101) | |
| (W2) | 0.632 *** | 0.684 *** | 0.708 *** | 0.696 *** | 0.677 *** | 0.699 *** |
| (0.092) | (0.094) | (0.093) | (0.092) | (0.092) | (0.092) | |
| Year | 2015 | 2016 | 2017 | 2018 | 2019 | |
| (W1) | 0.725 *** | 0.767 *** | 0.714 *** | 0.735 *** | 0.721 *** | |
| (0.101) | (0.102) | (0.102) | (0.102) | (0.102) | ||
| (W2) | 0.661 *** | 0.703 *** | 0.672 *** | 0.684 *** | 0.669 *** | |
| (0.093) | (0.093) | (0.093) | (0.093) | (0.093) |
| Variable | Model 1 | Model 2 | Model 3 |
|---|---|---|---|
| Policy | 0.256 *** | 0.25 *** | 0.004 |
| (4.67) | (4.52) | (0.68) | |
| Invest | 0.01 * | 0.102 ** | 0.013 *** |
| (1.92) | (2.02) | (2.91) | |
| Pipe | 0.005 | 0.003 | −0.001 |
| (0.43) | (0.24) | (−0.11) | |
| Road | −0.005 | −0.005 | −0.007 |
| (−1.07) | (−1.07) | (−1.52) | |
| Second | 0.038 *** | 0.035 *** | 0.025 *** |
| (4.8) | (4.22) | (3.3) | |
| Third | 0.044 *** | 0.043 *** | 0.024 ** |
| (5.15) | (4.84) | (2.49) | |
| Income | 0.025 *** | 0.028 *** | 0.021 ** |
| (2.78) | (3.05) | (2.44) | |
| Floor | −0.028 ** | −0.033 ** | −0.03 ** |
| (−2.18) | (−2.56) | (−2.5) | |
| Industrial | 0.014 ** | 0.014 ** | 0.013 ** |
| (2.03) | (2.11) | (2.19) | |
| Pop | −0.005 | −0.003 | |
| (−0.8) | (−0.68) | ||
| Foreign | 0.000 | 0.000 | |
| (0.34) | (0.08) | ||
| Unemployed | 0.000 | 0.002 | |
| (0.07) | (1.23) | ||
| Education | 0.024 ** | 0.03 *** | |
| (2.2) | (3.03) |
| Parameter | Bandwidth | Residual Squares | Sigma | AICc | R2 | R2 Adjusted | Spatio-Temporal Distance Ratio |
|---|---|---|---|---|---|---|---|
| Value | 0.11006 | 0.346914 | 0.028079 | −1485.41 | 0.9733 | 0.972526 | 2.2447 |
Disclaimer/Publisher’s Note: The statements, opinions and data contained in all publications are solely those of the individual author(s) and contributor(s) and not of MDPI and/or the editor(s). MDPI and/or the editor(s) disclaim responsibility for any injury to people or property resulting from any ideas, methods, instructions or products referred to in the content. |
© 2024 by the authors. Licensee MDPI, Basel, Switzerland. This article is an open access article distributed under the terms and conditions of the Creative Commons Attribution (CC BY) license (https://creativecommons.org/licenses/by/4.0/).
Share and Cite
Zheng, L.; Zheng, Y.; Fu, Z. The Impact of Urban Renewal on Spatial–Temporal Changes in the Human Settlement Environment in the Yangtze River Delta, China. Land 2024, 13, 841. https://doi.org/10.3390/land13060841
Zheng L, Zheng Y, Fu Z. The Impact of Urban Renewal on Spatial–Temporal Changes in the Human Settlement Environment in the Yangtze River Delta, China. Land. 2024; 13(6):841. https://doi.org/10.3390/land13060841
Chicago/Turabian StyleZheng, Linzi, Yongjie Zheng, and Zhengbo Fu. 2024. "The Impact of Urban Renewal on Spatial–Temporal Changes in the Human Settlement Environment in the Yangtze River Delta, China" Land 13, no. 6: 841. https://doi.org/10.3390/land13060841
APA StyleZheng, L., Zheng, Y., & Fu, Z. (2024). The Impact of Urban Renewal on Spatial–Temporal Changes in the Human Settlement Environment in the Yangtze River Delta, China. Land, 13(6), 841. https://doi.org/10.3390/land13060841

