Abstract
The degradation of urban ecology, particularly in metropolitan areas distinguished by dense populations and impervious surfaces, presents a worldwide challenge linked to swift urban expansion. Despite extensive documentation of urbanization’s impact on broad regions or specific urban ecosystems over defined time periods, there remains a scarcity of studies investigating the spatiotemporal dynamics of landscape pattern (LP) changes in specific ecosystems at small-to-medium scales within inland megacities as a response to urbanization. Therefore, this work focused on the Bailuwan Wetland Park (BWP) in Chengdu, an inland megacity in southwestern China. Employing satellite imagery data from selected years spanning the previous decade (2010–2021, encompassing 2010, 2012, 2015, 2018, and 2021), this investigation delved into the influences of urbanization on the LP over various time-frames and across different land use/land cover (LULC) types. Our study revealed that urbanization has a significant impact on the patch-/landscape-level characteristics, including the class area (CA), number of patches (NP), patch density (PD), percentage of landscape (PLAND), aggregation index (AI), contagion index (CONTAG), largest patch index (LPI), landscape shape index (LSI), fractal dimension index (FRAC_MN), Shannon’s diversity (SHDI), and evenness index (SHEI). Over the period from 2010 to 2021, NP and PD experienced notable increases, while landscape shape (LSI/FRAC_MN) exhibited greater complexity and fragmentation (PLAND) intensified. Further, landscape heterogeneity (AI/CONTAG) and diversity (SHDI/SHEI) decreased. Particularly significant was the conversion of 52 ha of agricultural land to vegetation, resulting in heightened complexity and fragmentation in vegetation patterns. Additionally, the CA of lakes and rivers decreased following the establishment of the park, while the CA and NP of bare land presented significant increases. These findings suggest that rapid urbanization significantly influences the spatial–temporal dynamics of wetland landscape patterns. Consequently, it is imperative for society to prioritize the restoration and protection of urban constructed wetlands.
1. Introduction
Wetlands are often hailed as the kidneys of the Earth, providing ecosystem service values (ESVs) directly or indirectly to humanity, encompassing provisioning, regulating, supporting, and cultural services [1,2,3,4,5]. Previous studies indicated that the global ecosystem services are valued at a minimum of USD 125 trillion annually, with wetland ESVs alone reaching USD 29 trillion in 2011 [6,7]. However, human activities such as urban development, agricultural cultivation, and industrial production have significantly impacted the ESV of both natural and urban environments [8,9,10,11]. Among those, urbanization is regarded as the most crucial and conspicuous anthropogenic driver affecting urban ecological spaces, biodiversity conservation, and landscape patterns (LPs) [12,13,14,15].
The Organization for Economic Cooperation and Development (OECD) estimated that over the past 150 years, more than 50% of wetlands globally have undergone alterations, degradation, or loss in terms of their area, quantity, typology, and structure owing to human activities [5,16,17]. According to the main results of the Second National Wetland Resources Survey (2009–2013) published in 2014, the total wetland area nationwide is 53.60 million ha, a decrease of 3.40 million ha compared to the first survey, a reduction rate of 8.82% [7,18]. In recent decades, many countries and regions have hastily converted natural lands into constructed ones in order to expedite urban development, resulting in the fragmentation and complexity of wetland landscapes [19,20,21]. Since the 1980s, the principles and methods of LP analysis have gradually been applied in wetland science, effectively advancing investigations into the evolution of wetland LPs [3,22]. LP refers to the spatial distribution of different elements (such as types, sizes, and shapes), which can be reflected by a series of landscape metrics, such as the class area (CA), patch density (PD), and fractal dimension index (FRAC_MN), to characterize their structural composition and spatial configuration features [23,24,25]. In recent years, with the increasing global emphasis on wetland conservation, more scholars have argued that studying the dynamic changes in wetland LPs is conducive to the protection and restoration of urban wetland. Simultaneously, it serves as a fundamental basis for constructing regional ecological security patterns, particularly in metropolis areas [26,27].
Currently, urbanization is rapidly altering land use/land cover (LULC), converting green spaces and water bodies into built-up areas, with scale being a focal point and challenge in LULC and wetland ecosystem service studies [11,14]. Previously, numerous scholars have explored the evolution of LULC changes and LPs of wetland ecology from various perspectives. Many studies have utilized remote sensing (RS) and geographic information systems (GIS) at local, regional, watershed, and global scales to monitor LULC changes and wetland landscapes [28,29,30]. For instance, investigations into the spatiotemporal changes in wetlands in Henan, China, from 1980 to 2015, indicated a 28% increase in total wetland area (dominated by constructed wetlands) but a 74% decrease in natural wetlands. During the period from 2005 to 2010, extensive floodplain wetlands were transformed into canals and other LULC types due to groundwater exploitation, the South-to-North Water Diversion Project, and recreational land development [25,31]. At the mesoscale, Maheng et al. [21] provided quantitative evidence of the impacts of LP changes on the selection of urban ecosystem services in large cities such as Jakarta, Indonesia. The results indicated that changes in LPs significantly reduced carbon sequestration, temperature regulation, and runoff regulation, suggesting that the influence of green spaces on ecosystem services depends not only on their area but also on LPs [27,32].
To our knowledge, studies have been conducted on urban wetlands in various climatic regions globally [5,33,34], such as the West Lake National Wetland Park and Xixi National Wetland Park in Zhejiang [35,36,37], the Ebinur Lake Wetland Nature Reserve in Xinjiang [30,38,39], 38 of urban wetland parks in Wuhan [40], and Xiuhu and Guanyintang National Urban Wetland Park in Chongqing, China [41], as well as other urban wetland parks including Victoria, Spain, Gestede [42], Kolkata, India [43], Finland [44], Waterloo, Ontario, Canada [45], and Ohio, Florida, and Missouri in the United States [46,47,48]. However, knowledge regarding the LPs of urban wetlands of inland basins (especially metropolitan areas) remains limited. Moreover, most publications have focused on large-scale urban wetland parks (with areas exceeding 10 ha; merely an agreement without a standard), leaving a gap in investigation on the LPs of medium- (1–10 ha) and small-scale (less than 1 ha) wetlands in metropolis areas. For example, an investigation in the Ebinur Lake Wetland Nature Reserve (with an area of 3171 km2) indicated an annual decrease in area of 3.88% since 2012, with ~45 km2 of subsoil experiencing severe salinization [30]. These findings suggest that wetland ecological landscapes are becoming more spatially heterogeneous and temporally dynamic, with decreased landscape connectivity leading to increased fragmentation [7]. Therefore, in-depth exploration of the spatiotemporal changes and driving mechanisms of urbanization affecting the variation of smaller scale wetland landscape in megacities has become one of the hotspots and important areas in world landscape ecology investigations [1,11,14].
Chengdu is situated in the inland basin of southwest China, with a built-up area of 949.6 km2 and a permanent population exceeding 20 million. The urbanization rate is as high as 74.41% [see http://cdstats.chengdu.gov.cn/ (accessed on 14 January 2024)], making it the most populous and rapidly developing megacity in the southwest region. Previous studies have demonstrated that from 2000 to 2020, Chengdu’s central urban area expanded continuously into the peripheral counties, leading to a consistent increase in urbanization levels, thereby marking a period of rapid urbanization [48,49]. Unlike other typical inland basins on the Eurasian continent, such as the Tarim Basin and the Qaidam Basin, Chengdu lies in a subtropical monsoon climate zone characterized by higher humidity and lower diurnal temperature variation [50,51]. In February 2018, during an inspection of Chengdu, the President of China issued instructions emphasizing the distinctive features of the park city and the consideration of ecological values, thus proposing the concept of the park city for the first time. In March 2022, the Overall Plan for the Construction of Chengdu as the Park City Demonstration Zone Practicing the New Development Concept, approved by the State Council of China, was officially released. The Bailuwan Wetland Park (BWP) is a significant wetland within the Chengdu Urban Ecological Belt, known as the Six Lakes and Eight Wetlands, playing a crucial role in maintaining regional ecosystem circulation and balance. In January 2017, the wetland park was designated as a national urban wetland park, becoming the first of its kind in Chengdu. Despite considerable efforts by the Chengdu municipal government in recent years to undertake ecological restoration and protection measures, the wetland is currently facing challenges such as shrinkage, water shortage, and deterioration in water quality due to increasing natural pressures and urban development. Therefore, comprehensively studying the typical wetland LP changes within the metropolitan area holds significant importance for the construction of the Park City Demonstration Zone and the improvement of the living environment.
In recent years, strides in satellite imaging technology have furnished potent tools for scrutinizing intricate urban environments, fostering deeper insights and more efficacious governance of urban complex systems [9,12,16]. Notably, high-resolution multispectral satellite imagery can meticulously capture the dynamic flux of urban expansion, traffic patterns, vegetation distribution, water resource allocation, and air quality dynamics. These datasets are obtainable either in real time or via scheduled acquisitions, facilitating the precise monitoring of urbanization trends, infrastructural demands, and environmental ramifications [13,23]. Moreover, the amalgamation and processing prowess of satellite-derived data have fortified the empirical underpinnings of urban planning, disaster mitigation, and resource apportionment, thereby amplifying the efficiency and responsiveness of urban governance mechanisms [26,35].
Building upon this foundation, this study focuses on the BWP in Chengdu, an inland megacity located in southwest China. Utilizing satellite imagery data spanning the past decade (from 2010 to 2021), combined with on-site surveys, we conducted a comprehensive analysis. Landscape information for the years 2010, 2012, 2015, 2018, and 2021 was extracted to create landscape type maps, forming the basis of our analysis. The objectives of this work were threefold: (i) to quantify the dynamic changes in the landscape of this wetland park and analyze the trends and degrees of landscape composition type changes through the calculation of landscape dynamic indices and transition matrices; (ii) to analyze the LP indices of the wetland park and investigate its current landscape status; and (iii) to comprehensively identify the dynamic impacts of urbanization on the LP. The findings are expected to provide insights into the landscape planning, conservation management, and ecological restoration/protection of urban wetlands in megacities, both regionally and globally.
2. Materials and Methods
2.1. Study Area
The BWP (30°56′~30°57′ N, 104°12′~104°14′ E) is situated in the southeastern part of Chengdu, China, within the Jinjiang Eco-City Loop. The park spans a total area of 200 ha, with ~67 ha comprising water bodies (Figure 1). The Duogou River, the main water source, flows from east to west through the entire park. Upstream domestic wastewater is purified by wetland aquatic plants, ultimately serving as a water source for landscape use. This wetland is located in a subtropical humid climate zone, with an average annual temperature of 15.6 °C, an average relative humidity of 82.1%, and a total annual precipitation of 1030.8 mm. The average annual solar radiation is 334.09 KJ cm–2. Additionally, we monitored the monthly variations in air temperature and solar radiation at the wetland park from October 2020 to November 2021 (see Figure S1). An investigation of the plant species within the wetland park revealed ~200 species, including 82 genera from 49 families of woody plants, 46 genera from 19 families of herbaceous plants, and 21 genera from 15 families of aquatic plants, including submerged, emergent, and floating species (see Table S1).
Figure 1.
Satellite image of the Bailuwan Urban Wetland Park in the southwest of inland China. The multispectral satellite image shown above is from the Tianditu and was captured on 9 October 2013 (phase I completed in May 2013). These imagery resources for Tianditu were sourced from the GF-1 satellite with two panchromatic/multispectral cameras (res., 2/8 m) and four multispectral cameras (res., 16 m) and/or the ZY-3 satellite with a nadir panchromatic TDI CCD camera (res., 2.5 m), two forward/backward panchromatic TDI CCD cameras (res., 4.0 m), and a nadir multispectral camera (res., 10.0 m). The acquired multispectral imagery was synthesized into true-color images using the red, green, and blue channels. The inset in the upper left corner of the image depicts the shape of the BWP. The black lines (some are double lines) around the studied wetland area represent roads.
2.2. Data Sources
Due to the small scale of the study area and the requirement for high-precision RS imagery, lower-resolution images may make it difficult to accurately discern actual land features. Additionally, high-resolution imagery often falls under government confidentiality, while readily available RS imagery may lack the necessary resolution. Moreover, employing supervised classification using the ENVI 5.3 software on such imagery often yields classification results with numerous errors, challenging the accuracy and scientific validity of the classifications. This also hampers subsequent investigations into LP evolution and dynamics. Therefore, for this work, we utilized satellite imagery from the Tianditu (sources from the ZY-3 and/or GF-1 satellites), the National Geographical Information Public Service Platform of China [https://www.tianditu.gov.cn/ (accessed on 13 March 2022)]. Among them, the ZY-3 satellite is equipped with a high-resolution nadir panchromatic TDI CCD camera with a ground resolution better than 2.5 m, two forward and backward panchromatic TDI CCD cameras with a ground resolution better than 4.0 m, and a nadir multispectral camera with a ground resolution better than 10.0 m. The GF-1 satellite carries two cameras with 2 and 8 m resolutions, as well as four multispectral cameras with a resolution of 16 m. We selected satellite images of the BWP from 2010 to 2021 as the foundational dataset, with intervals of from 2 to 3 years. The selected satellite images were captured on 15 November 2010; 31 October 2012; 2 May 2015; 25 May 2018; and 27 October 2021, all between 10 a.m. and 2 p.m. We conducted a comprehensive analysis combining manual visual interpretation with field surveys and obtained wetland land cover data using the ArcGIS software. Among them, the manual visual interpretation of the satellite images used human visual and cognitive skills to identify and analyze surface features and changes. The process included selecting appropriate images, preprocessing, understanding image characteristics, considering elements like tone, shape, size, texture, shadow, and location, conducting a detailed interpretation, verifying the results through field surveys and existing data, and summarizing the findings in a detailed report. This method supports environmental monitoring, resource management, and planning. Further, leveraging the ArcMap 10.7 software, we ensured that the geographic coordinates of the satellite images were in the WGS84 (World Geodetic System 1984). We delineated the study area boundaries using the standardized planning range of this park as a reference and employed masking tools to crop the images for each year, extracting the studied area images. Subsequently, we vectorized the landform types using feature creation, referring to the national standard of the Classification of Wetlands in the People’s Republic of China (GB/T 24708-2009). The landscape types within the study area were classified into seven categories: agricultural land, bare land, rivers, lakes, built-up areas, vegetation, and transportation land. In wetland ecosystems, vegetation plays a crucial role. Considering vegetation as a distinct type allows for a better understanding of how wetland LP affects ecosystem functionality. Moreover, our study focused specifically on the distribution of and changes in vegetation within wetlands. Therefore, treating vegetation as a separate category facilitated a more detailed analysis and description of the vegetation spatial distribution patterns within the wetlands. This process resulted in the production of landscape coverage maps for the BWP from 2010 to 2021.
2.3. Data Analysis
The landscape classification maps of this studied park for each year were processed through vector-to-raster conversion to generate output files in .TIFF format, meeting the requirements for LP and evolution analysis. These files in .TIFF format were imported into the FRAGSTATS 4.2 software [https://fragstats.org/index.php (accessed on 28 March 2022); developed by Dr. Kevin McGarigal et al.] to calculate LP indices. To explore the changes in LPs and related driving factors in the urban wetland park and to scientifically assess the wetland landscape ecological health, our work focused on two levels: patch type and landscape level indices. Specifically, 8 primary and 12 secondary indices were selected, including fundamental indices such as CA (ha) and indices of the landscape fragmentation degree, such as the number of patches (NP, n), PD (n/100 ha), percentage of landscape (PLAND, %), and largest patch index (LPI, %). Moreover, the landscape aggregation/dispersion indices included the aggregation index (AI, %) and contagion index (CONTAG, %), landscape shape indices such as the landscape shape index (LSI) and FRAC_MN, and landscape diversity indices such as Shannon’s diversity index (SHDI) and Shannon’s evenness index (SHEI, Table 1).
Table 1.
Selected landscape indices and their ecological significance in this study. In the following table, CA, class area; NP, number of patches; PD, patch density; PLAND, percentage of landscape; LPI, largest patch index; AI, aggregation index; CONTAG, contagion index; LSI, landscape shape index; FRAC_MN, mean fractal dimension index; SHDI, Shannon’s diversity index; and SHEI, Shannon’s evenness index.
In this study, we also investigated the landscape dynamics (K), which could reflect the dynamic changes in a specific landscape type within a time-frame in the studied area. By calculating K, we could quantitatively describe the rate of change for different landscape types over time, as shown in the formula below (1):
In the equation, T represents the total duration of the study period, Ua denotes the initial area of a specific landscape type at the beginning of the study, Ub represents the area of the same landscape type at the end of the study period, and K signifies the rate of change in a particular landscape type within the time span T (%).
To depict the spatial transitions between different landscape types within specific time intervals, the transition matrix model was also analyzed in this study. Through the analysis of the model, the direction and trends of the landscape evolution in this related park were identified as shown in the equation below (2):
In the equation, P represents the area of each landscape type, n denotes the number of landscape types, and i, j represent the landscape types at the beginning and end of the study period, respectively. During the study, landscape transition matrices for four time intervals (2010–2012, 2012–2015, 2015–2018, and 2018–2021) in this studied park were calculated. The data of the area transition were exported to an Excel file, and by utilizing Excel’s pivot table functionality, various transition matrix charts for each period were generated.
3. Results
3.1. Assessment of Landscape Composition
Although the composition types have remained constant, encompassing agricultural land, vegetation, lake, river, construction land, road land, and bare land (Figure 2), their spatial arrangement has undergone significant alterations. Water, being the quintessential landscape feature of wetlands, has witnessed a gradual transition from scarcity to abundance as a consequence of human development. Initially confined to sporadic occurrences in the eastern region, water bodies have proliferated, culminating in the formation of expansive lakes following the park’s construction. Concurrently, the river network’s distribution has exhibited minimal alteration, maintaining its predominant east-to-west flow pattern.
Figure 2.
Landscape type graphs of the BWP for selected years from 2010 to 2021.
The vegetation landscape, comprising grasslands, shrubbery, forests, and wetland flora, has evolved from a fragmented and dispersed state to a more uniform/sinuous distribution, establishing itself as the principal constituent of the park’s scenery. The development of road infrastructure has paralleled the progress of land plots, resulting in the establishment of well-defined and accessible pathways for park visitors. In the park’s nascent stages, construction land predominantly comprised residential zones, evenly distributed across the eastern expanse, with some pockets located in the northwest and central areas. However, subsequent phases of construction precipitated the demolition of most residential areas, save for those in the northeast, to make way for public amenities and infrastructure. Further, initially characterized by block-like parcels of unused land, bare land has undergone fragmentation over time due to human intervention, serving as a transitional domain for the interplay and transformation of diverse landscape elements. In other words, at different phases of the constructed wetland’s construction, the majority of bare land within the wetland park area underwent a transitional phase, evolving from original forests or farmland to landscaped green spaces and construction sites. Throughout this transition, bare land served a vital role in soil and environmental preservation.
3.2. Evaluation of Landscape Dynamics
3.2.1. Landscape Area
This work suggests that prior to the establishment of the park in 2010, vegetation occupied approximately 44.5% of the studied area, with agricultural land covering 41.1%. Other landscape categories were comparatively minor, without significant water bodies present (Table 2). Subsequent to the completion of the park in 2012, agricultural land decreased to 28.8%, while vegetation expanded to ~113 ha, surpassing half of the total area. The lake area presented an enlargement attributed to the attraction development of the Lotus Pool by Moonlight, accompanied by a rise in road land, while the river area remained stable, with slight fluctuations in other landscape categories. By 2015, agricultural land dwindled to 7.2%, whereas the lake area expanded to 20.1%. Although there was a slight decline in vegetation, it still constituted more than half of the area. In 2018, nearly all the farmland was repurposed, resulting in a reduction in the lake area by 7.2 ha. Interestingly, the area of bare land increased significantly by 15.9 ha, primarily around the Lotus Pool by Moonlight and the outer perimeter of the first bypass motorway. The former could be attributed to the construction of wetland parks, which occupied farmland and lake areas for green spaces and structures, while the latter indicates that bare land represents an intermediate transitional phase in landscape change. By 2021, the lake area experienced further diminishment, while the vegetation area expanded to 121.8 ha; road land witnessed marginal expansion due to construction completion, while construction land remained largely unaltered.
Table 2.
Area/proportion of landscape types in the wetland park from 2010 to 2021. The unit of area is ha, while the unit of ratio is %.
3.2.2. Landscape Dynamics
From 2010 to 2012, lake area, vegetation area, and road land experienced dynamic growth, while all the other landscape types exhibited a declining trend (Table 3). Notably, the lake area presented a remarkable dynamic growth of 154.17%, likely attributable to the initial stages of constructing the newly established constructed park, which necessitated water diversion to fill the lake. Moreover, the dynamics of the lake/river areas showed a significant increase from 2012 to 2015 compared to the previous period, indicating the completion of various functional areas and water diversion projects within the park, resulting in a more stable landscape structure. From 2015 to 2018, the dynamics of bare land increased at a rate of 18.49% due to the implementation of the Jincheng Green-way project (the longest urban green-way in China). Meanwhile, agricultural land and lake area decreased at rates of 28.31% and 5.55%, respectively, with the former attributed to landscape type conversion and the latter possibly influenced by meteorological or anthropogenic factors. From 2018 to 2021, road land exhibited the highest dynamic changes among all the landscape types, primarily due to the completion of the Jincheng Green-way. However, the dynamics of lake and river areas continued to shrink, albeit at a slower pace.
Table 3.
The landscape dynamics across various periods in the BWP. The unit of measurement for landscape dynamics is expressed in percentages (%). In the following table, positive values signify an upward trend in landscape dynamics, whereas negative values denote a decline in landscape dynamics over time.
3.2.3. Landscape Transition Matrix
Table 4 illustrates the most notable landscape transformations observed from 2010 to 2012, predominantly characterized by the conversion of agricultural land to vegetation, with ~21 and 13 ha transitioning into vegetation and lake areas, respectively. During the period spanning 2012 to 2015, around three-fifths of the agricultural land persisted in transitioning into vegetation and lake areas. However, within this time-frame, vegetation areas also underwent conversions to bare land and lake areas, encompassing 18.58 ha and 15.62 ha, respectively, thereby contributing to a significant expansion in the lake area. From 2015 to 2018, the overall landscape alterations were not particularly pronounced, with reciprocal transitions between vegetation and bare land predominating. Moving forward to the 2018–2021 period, vegetation and bare land remained as the primary landscapes undergoing changes, with 20.84 ha of bare land transitioning to vegetation areas, while vegetation areas converted into bare land by 14.63 ha.
Table 4.
Transition matrix of various landscape types over periods in the park. The unit of measurement for this landscape transition matrix is ha. Rows depict the data from various time intervals preceding the study, whereas columns illustrate the data at the conclusion of the study period. The absence of data in the table signifies the absence of transition between the two landscape types during that specific period.
Further, we calculated the transition matrix from 2010 to 2021 and produced a landscape change map, which is depicted in Figure 3. This work indicated that an area of 53.75 ha of vegetation remained stable and did not shift to other landscape types. Notably, the most substantial changes occurred in the conversion between agricultural land and vegetation, with over 51.24 ha of agricultural land transitioning into vegetation areas during the last decade. The transformation of agricultural land was also the most intricate and frequent, involving conversions of 18.16 ha into lake areas and 12.24 ha into bare land. Moreover, vegetation areas underwent transitions to other categories, with 18.43 ha converting into bare land and 10.11 ha into lake areas, while the transitions to other landscape types were all under 10 ha.
Figure 3.
The landscape transition graphs of the BWP spanning from 2010 to 2021. The legend denotes landscape changes with transition areas exceeding 1 ha. In the legend, agricultural land is represented by 10, vegetation by 20, road land by 40, lakes by 50, rivers by 60, construction land by 80, and bare land by 90. For instance, 10–20 signifies the transformation of agricultural land into vegetation within a specific year.
3.3. Examination of Landscape Pattern Indices
3.3.1. Patch Type Level Indices
Analysis of Patch Type Indices
Figure 4 presents our analysis of patch type indices, including the class area (CA), percentage of landscape (PLAND), number of patches (NP), patch density (PD), largest patch index (LPI), landscape shape index (LSI), and fractal dimension index (FRAC_MN), for the selected years. This study demonstrates that the CA consistently held the highest rank across the selected years from 2010 to 2021, displaying a consistent increase over time (Figure 4A). Interestingly, agricultural land and vegetation had comparable areas in 2010; however, as agricultural land transitioned into other types, the dominance of vegetation became increasingly evident. By 2015, the area of bare land, the only type trailing vegetation, still trailed by 86.82 ha. Similarly, the PLAND surpassed 50% from 2012 onwards, indicating its continued predominance in the landscape during the study period (Figure 4B), while the PLAND for the other types remained relatively lower.

Figure 4.
The characteristics of class area [CA, ha; (A)], percentage of landscape [PLAND, %; (B)], number of patches [NP, n; (C)], patch density [PD, n/100 ha; (D)], largest patch index [LPI, %; (E)], landscape shape index [LSI; (F)], mean fractal dimension index [FRAC_MN; (G)] and aggregation index [AI, %; (H)] in the BWP for selected years from 2010 to 2021. Among them, LSI and FRAC_MN are dimensionless.
In terms of the NP (Figure 4C), the count of construction land patches peaked during 2010–2012 (reaching 200), markedly surpassing the other landscape categories. From 2015 to 2021, the number of construction land patches gradually declined, while bare land and vegetation patches increased to 549 and 289, respectively, by 2021, indicating varying levels of fragmentation across different patches. These changes in the NP also resulted in notable fluctuations in the PD (Figure 4D). For instance, the high PD observed in 2010 rose from 0.43 to 2.54 patch ha–2 by 2021, with construction land, vegetation, and bare land patches showing considerable heterogeneity in density. It is particularly noteworthy that the LPI values for vegetation in 2015, 2018, and 2021 were 20.99%, 15.71%, and 16.52%, respectively, underscoring its significant dominance within the overall landscape (Figure 4E).
Regarding the LSI (Figure 4F), there was a subtle overall upward trend observed over the study period. Remarkably, the LSI for road land consistently ranked the highest throughout the investigation, peaking in 2018 (LSI for 49.87), signifying considerable complexity and irregularity in patch shapes. Conversely, the LSI for bare land and vegetation exhibited a declining trend followed by an upward trend, indicating an escalation in the complexity and dispersion of bare land patches from 2015 to 2021. Further, the FRAC_MN between 2010 and 2021 demonstrated no significant overall disparities, fluctuating within the range of from 1.07 to 1.41 (Figure 4G). As illustrated in the AI variation graph (Figure 4H), no discernible inter-annual changes overall were recorded. Notably, the highest AI values were observed for agricultural land and lake areas, registering at 97.9 (~0.68) and 96.43 (~0.29), respectively, which is indicative of a pronounced level of patch aggregation within these landscape types.
Characteristics of Landscape Type Changes
The examination of landscape alterations within the park, as delineated in Table 4, unveiled a spectrum of changes from 2010 to 2021, notably in agricultural land, which experienced a nuanced reduction in the CA, NP, PD, LPI, LSI, and FRAC_MN. Specifically, the CA witnessed a substantial decrease from 89.04 ha in 2010 to 3.08 ha in 2021, accompanied by a decline in the LSI, followed by a marginal rebound between 2018 and 2021. Conversely, juxtaposed against the metrics of 2010, vegetation in 2021 showcased noteworthy escalations of 26%, 172%, 248%, 649%, 211%, and 31% in the CA, PLAND, NP, PD, LPI, and LSI, respectively, underscoring vegetation as the predominant landscape feature within the wetland park. However, human activities have heightened the fragmentation and heterogeneity. The changes in the FRAC_MN and AI over the study duration were negligible, indicating a relatively consistent level of complexity in patch types and patch aggregation for vegetation. Similarly, attributable to the development of roads and lakes within the wetland park over the years, areas designated as road land and lake areas also manifested varying degrees of augmentation in the CA, PLAND, NP, PD, LPI, and LSI.
In 2021, noteworthy increases were observed in the metrics of the CA, PLAND, NP, PD, LPI, and AI for rivers when compared to 2010 (p < 0.05), while the LSI experienced a significant decline of 17%. This suggests that anthropogenic influences are driving rivers towards more regular shapes, with reduced interaction with the surrounding landscape matrix. Construction land, a crucial indicator of land categories within the park, underwent significant changes in patch type levels due to park developments. By 2021, compared to 2010, the CA, PLAND, LPI, and AI increased by 3%, 123%, 433%, and 111%, respectively. Conversely, the NP, PD, and LSI decreased by 60%, 13%, and 42%, respectively, while the FRAC_MN tended towards stability. These changes may be attributed to the removal of certain structures during construction and the establishment of new facilities. Furthermore, the fluctuations in the NP and PD for bare land paralleled those of roads and lakes. However, the CA, NP, and LSI experienced sharp declines in 2012 before rebounding to peak values, while the AI displayed a gradual decreasing trend.
3.3.2. Landscape Level Indices
Degree of the Fragmentation
In this investigation, the landscape fragmentation indices encompass the NP and PD (Figure 5A,B). Among them, the NP declined from 468 in 2010 to 362 in 2015 and then markedly surged to 1077. The PD mirrored the pattern of the NP, declining initially before sharply ascending, signifying heightened landscape fragmentation and augmented spatial heterogeneity within the research area.

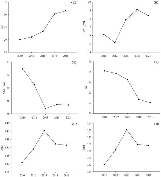
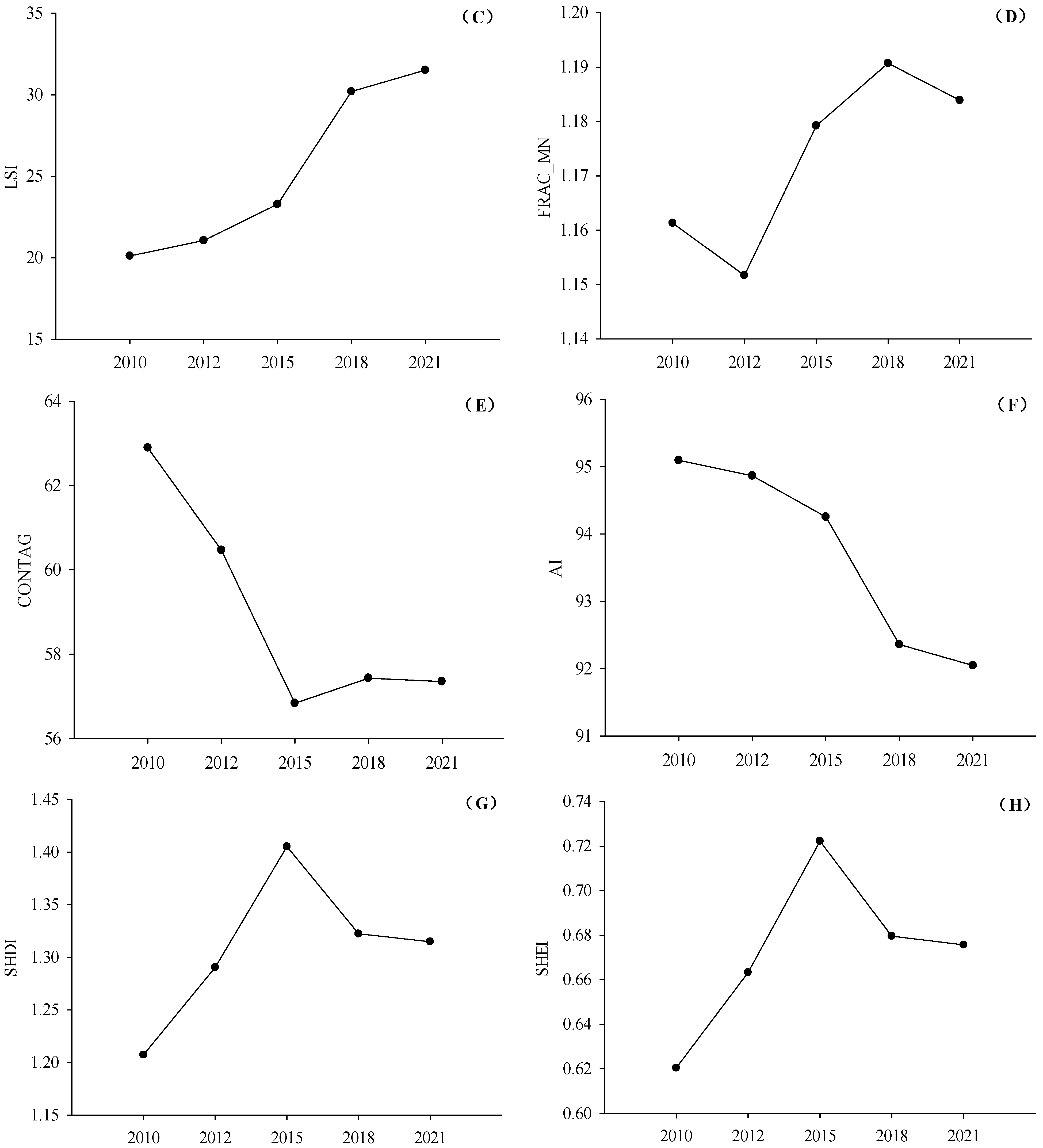
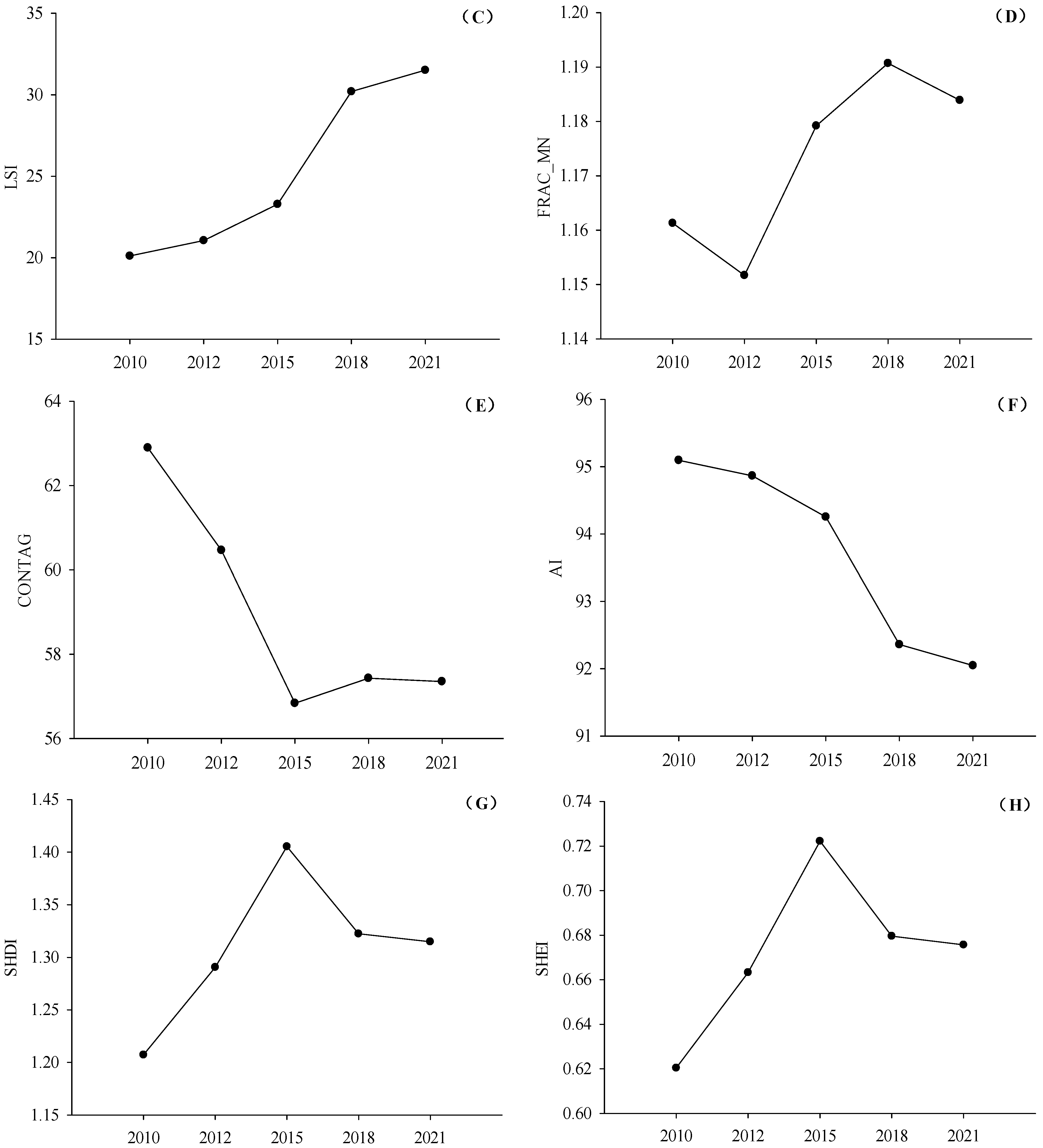
Figure 5.
Dynamic changes of number of patches [NP, n; (A)], patch density [PD, n/100 ha; (B)], landscape shape index [LSI; (C)], mean fractal dimension index [FRAC_MN; (D)], contagion index [CONTAG, %; (E)], aggregation index [AI, %; (F)], Shannon’s diversity index [SHDI; (G)], and Shannon’s evenness index [SHEI; (H)] in selected years from 2010 to 2021. Among them, LSI, FRAC_MN, SHDI, and SHEI are dimensionless.
Shape of the Landscape
This study highlights that the landscape shape indices LSI and FRAC_MN demonstrated a consistent upward trend throughout the studied period (Figure 5C,D). Specifically, the LSI surged from 20.11 in 2010 to 31.51 in 2021, with a notable acceleration between 2015 and 2018. This trajectory may be ascribed to the expansion initiatives of construction activities, contributing to the progressive intricacy of landscape patches, heightened isolation, and a deviation towards irregularity. Conversely, the FRAC_MN displayed fluctuating dynamics, initially declining and then rebounding before descending again, albeit within a narrow margin (~0.04), peaking at 1.19 in 2018.
Aggregation of the Landscape
The landscape aggregation indices, CONTAG and AI (Figure 5E,F), shed light on the dynamics of spatial organization within the study area. Initially, the CONTAG experienced a swift decline, followed by a marginal rebound before stabilizing. This pattern could be ascribed to the prevailing presence of agricultural land characterized by robust landscape connectivity before the establishment of the park. However, the redevelopment of the land has induced shifts in the distribution of various patch types, notably agricultural land, disrupting the original spatial clustering and eroding the connectivity and expansiveness between landscape patches. Conversely, the AI portrayed a consistent downward trajectory, fluctuating between 92 and 95, indicative of waning connectivity among patches within the wetland park. This trend reflects an enduring decline in the uniformity of distribution and compactness. Of particular note is the notable decrease observed from 2015 to 2018, signaling a reduced level of aggregation and a more dispersed spatial configuration compared to the preceding years.
Diversity of the Landscape
This study demonstrates a consistent pattern of an initial rise succeeded by a decline in both SHDI and SHEI (Figure 5G,H), which reached their peaks in 2015 at 1.41 and 0.72, respectively, followed by a slowdown in the rate of decrease from 2018 to 2021. This finding implies that in 2015, the different patch types across the park were fairly evenly distributed in terms of the proportions of the total area, displaying considerable richness and uniformity. However, the subsequent decline observed from 2018 onwards indicates a reduction in both richness and uniformity, likely due to the impact of the park’s landscape renovation projects and highway construction.
4. Discussion
4.1. Drivers of Landscape Fragmentation in the BWP
The escalation of landscape fragmentation, spurred by rapid urbanization, not only profoundly affects the quality of urban living environments and the physical and mental well-being of inhabitants but also emerges as a principal catalyst for biodiversity decline within the region [14,51,52,53]. The quantitative delineation of landscape fragmentation within the study area primarily aims to scrutinize and chronicle fragmentation trajectories over a defined temporal scope [3]. Through juxtaposing fragmentation levels and their ramifications across diverse locales, potential driving forces are scrutinized, habitat impairment is evaluated, and remedial actions and strategies are instituted [26,54].
Numerous studies have indicated that anthropogenic disturbances, particularly urbanization, are the primary drivers of landscape fragmentation [5,15,24,33,52,55]. For example, previous investigations into the degradation of major urban wetlands in South Asia, such as Kolkata [55], Mumbai [56], and Bengaluru [57] in India and Colombo in Sri Lanka [58], and South Africa [59] have demonstrated their rapid anthropogenic transformation since the late 19th century. In China, scholars have extensively investigated the spatiotemporal evolution characteristics of urban wetland land use, ecosystem service values, land use change simulations and prediction models, and LP evolution [7]. For instance, researchers examining LP changes in the vicinity of Poyang Lake from 1988 to 2018 observed a gradual increase in overall fragmentation attributed to human activities influencing land use changes and pattern evolution [60]. Similarly, previous studies have focused on the degree of fragmentation in midstream wetland landscapes along the Heihe River, the second largest inland river in northwest China, indicating that the driving forces include both natural and/or human factors. However, human activities, particularly expanding human impacts, were the primary cause of landscape fragmentation in the study area, contributing significantly more than natural factors [61]. Further, Gao et al. [62] reached similar conclusions in their study on LP changes in Qilihai Lake, the largest Tamarix lake in north China and one of the few remaining modern Tamarix lakes in China, from 1987 to 2015.
Constructed wetlands are recognized as cost-effective and socially acceptable solutions for managing stormwater in urban environments, serving various urban design goals [18]. They play a vital role in sewage and industrial wastewater treatment, alongside the restoration of natural environments disrupted by industrialization, and in mitigating soil erosion [32,63,64]. Regulatory bodies worldwide have endorsed constructed wetlands as part of the best management practices for soil erosion control. Examples include the National Pollutant Discharge Elimination System (NPDES) in the United States, the Flood and Water Management Act (FWMA) in the United Kingdom, and the Urban Stormwater Management Guidelines (USMG) in Australian [65]. Despite providing habitats for aquatic organisms and acting as wildlife sanctuaries, concerns are rising regarding the impact of urbanization on wetland biodiversity and its associated LPs [14,63].
In this study, the BWP, classified as a constructed wetland, underwent substantial alterations in its LPs throughout the study period, driven primarily by construction and operational activities under human influence. Before the establishment of this park, the predominant landscape types were vegetation and agricultural land, collectively covering 85.6% of the total area and displaying a high degree of landscape connectivity (Table 5 and Figure 4). However, the redevelopment of land and human-made constructions led to modifications in the distribution of various patch types, including vegetation and agricultural land (Table 4). This study suggests that changes in vegetation patterns not only indicate shifts in their roles within human ecosystem services but also impact global carbon and nutrient cycling dynamics [53]. The analysis of transition matrices spanning from 2010 to 2021 revealed that merely 28.9% of the land retained its original landscape configuration, signaling that human interventions disrupted the spatial clustering of the initial landscape [2,12,33]. Consequently, connectivity and expansiveness between landscape patches diminished, along with a decrease in the evenness of distribution and compactness. As proposed by Li et al. [35] in their examination of the spatiotemporal dynamics of LPs in the Xixi Wetland Park, Hangzhou, China, regions experiencing severe landscape fragmentation manifest notable human–environmental contradictions [29]. These observations are echoed in this study, where from 2015 to 2021, the park became accessible to the public. The patch type index analysis revealed significant increments in fragmentation across vegetation, road land, and bare land landscapes, partly attributable to park construction activities [18,21]. Moreover, this studied park serves as a key interchange hub node on the proposed mainline of the expressway of Tianfu International Airport, Chengdu. The construction of bridges, embankments, and road surfaces during the expressway’s development have generated substantial areas of bare land, temporarily modifying the landscape of this wetland park and leading to gradual complexities in landscape patch shapes, increased isolation, and irregular shape development (Figure 5).
Table 5.
Landscape pattern indices in the BWP from 2010 to 2021. In the following table, CA, class area (ha); NP, number of patches (n); PD, patch density (n/100 ha); PLAND, percentage of landscape (%); LPI, largest patch index (%); AI, aggregation index (%); CONTAG, contagion index (%); LSI, landscape shape index; FRAC_MN, mean fractal dimension index; SHDI, Shannon’s diversity index; and SHEI, Shannon’s evenness index. Among them, LSI, FRAC_MN, SHDI, and SHEI are dimensionless.
In summary, anthropogenic construction activities emerged as the primary driver of landscape fragmentation in this related park in this study. The direct consequences arose from the incremental conversion and developmental activities within the wetland park area. Moreover, fragmentation was chiefly evidenced by the escalation in the NP and PD, accompanied by an expansion of the patch shape fragmentation index such as the LSI.
4.2. Landscape Fragmentation and Diversity in the BWP
Diversity characteristics are a significant focus for understanding the spatial–temporal dynamics of landscapes [2,5,66]. These characteristics primarily involve identifying the proportions and distribution abundance of different landscape types, which influence processes such as material migration, energy exchange, population distribution, productivity levels, and nutrient cycling rates [46]. On the other hand, fragmentation indices indicate the degree of separation among patches within landscapes, serving as metrics for assessing landscape diversity loss [67]. Therefore, investigating landscape diversity and fragmentation is crucial for various purposes, including land use planning, landscape assessment/design, and the establishment of natural conservation areas. This is particularly pertinent in the context of urban wetland conservation and restoration efforts [22,31,68].
Previous investigations have provided compelling evidence of a significant negative correlation between LP diversity indices and habitat fragmentation rates [10,66,69,70]. For instance, scholars conducted a quantitative assessment of the impact of human activities on the LP of the Yancheng coastal wetlands. Their findings revealed that under natural conditions, the wetland landscapes demonstrated lower fragmentation and higher diversity. However, with escalating human interventions, the level of landscape fragmentation heightened, leading to more uniform landscape shapes and a reduction in landscape diversity [71]. Likewise, employing deforestation simulation models, another study simulated the repercussions of human activities on habitat fragmentation spanning the last century. The results indicated that urban development activities contributed to a decline in LP diversity indices and a rise in habitat fragmentation rates [72].
In this work, we identified a correlation between the fragmentation and landscape diversity in the park under investigation (Figure 5 and Table 4). For example, from 2010 to 2015, a decrease in both the number and density of patches in the park was recorded, indicating reduced fragmentation, alongside a notable increase in landscape diversity. However, from 2015 to 2021, landscape fragmentation markedly intensified, leading to a transition of some wetland landscapes and vegetation types from continuous and intact states to dispersed states, consequently resulting in a decline in landscape diversity. Moreover, throughout each study period, human activities exerted varying degrees of interference on the different landscape types within the wetland park, influenced by both natural factors and external conditions. This variability led to different rates of evolution in landscape fragmentation and diversity indices. Particularly noteworthy are the recent efforts by the Jinjiang District government to close and maintain the wetland park, which have demonstrated some effectiveness in alleviating the declining trend in landscape diversity. However, the significant severity of landscape fragmentation persists, underscoring the need for continued efforts to bolster restoration and conservation work in the future.
While significant evidence supports the concept of a negative correlation, it should be noted that it is not an absolute law [17,73]. For example, a study examining the dynamic changes in landscape diversity over a 40-year period in small watersheds of the Loess Plateau revealed an uptick in the total number of patches and a tendency towards landscape fragmentation. However, both the diversity and evenness of the landscape types increased during the study period, suggesting that human intervention and natural vegetation succession were the primary driving forces [74]. Similarly, in the Panjin region of Liaoning Province, it was observed that human activities caused an escalation in the total number of patches and landscape fragmentation, coupled with an augmentation in type diversity. This phenomenon was attributed to the replacement of relatively simple landscape types with intricate urban landscapes, resulting in heightened diversity indices, evenness, and a reduction in dominance [7,75].
In some cases, the relationship between diversity indices and fragmentation may not be consistent across different regions within the same time-frame. For instance, a study investigating landscape characteristics across various functional zones within a nature reserve found no definitive negative correlation between diversity and fragmentation indices [69]. In this scenario, human intervention in the study area resulted in landscape fragmentation, leading to the emergence of new anthropogenic and semi-natural landscape types, thereby increasing the variety of landscape types and augmenting landscape diversity [76]. Moreover, Qiu et al. [77], in their examination of landscape fragmentation patterns, discovered that although certain urban areas exhibited minimal fragmentation, they also presented relatively uniform patch types, limiting their capacity to effectively serve landscape functions and consequently lacking positive effects on urban ecosystems. Hence, when assessing the indicative significance of wetland landscape fragmentation or other ecological indicators in a particular studied area, it is crucial to integrate comprehensive analyses of the site’s ecological context and landscape composition [17,22,31]. Depending on the specific stage of research, employing various quantitative indicators to depict changes in LPs, optimizing landscape configurations, connecting them with ecological functions, implementing targeted ecological restoration in fragmented habitats, and enhancing biodiversity all carry considerable significance [2,3,78].
4.3. LPs and Ecological Services of Constructed Wetlands
Ecosystem services refer to all the benefits humans obtain from ecosystems, including provisioning services, regulating services, cultural services, and supporting services [44,45]. Existing studies and practice have shown that while certain functions of natural ecosystems, such as wastewater purification and soil remediation, can be artificially replicated, the large-scale functions of natural ecosystems cannot yet be replaced by constructed means, as evidenced by the failure of the Biosphere Two Experiment. Landscape patterns reflect changes in regional land use and the transition between ecological and economic land uses, which generate landscape heterogeneity [38]. This heterogeneity can directly or indirectly alter the ESV through changes in ecosystem functions [37,41,79].
Currently, there is no consensus on the relationship between landscape fragmentation and the value of ecosystem services. Some studies suggest that the ESV decreases with increasing landscape fragmentation. For example, landscape fragmentation has been shown to damage the overall ESV in Fuyang, China [80], and human activities have altered the landscape patterns along the urban–rural gradient in Xi’an, China, leading to a decline in the ESV [81]. Conversely, other studies have reported opposite findings. For instance, Zhu et al. [34] found that despite increased fragmentation and decreased connectivity in the landscape of the Nanchang wetlands in China, the ESV showed an upward trend.
Constructed wetlands, which are constructed and managed similarly to marshes, utilize the synergistic physical, chemical, and biological effects of soil–artificial medium–plants–microorganisms to treat wastewater and sludge. They are widely accepted as key green infrastructure (GI) or nature-based solutions (NbSs) [82]. For example, Mahanta and Rajput [47] studied two constructed wetlands in the U.S., the Olentangy River Wetland Research Park (Columbus, Ohio) and Freedom Park Wetlands (Naples, Florida), and found that pollutant reduction was evident from the start of hydraulic input and that viable soil–plant–microbe ecosystems were established within the first two years of operation. These studies also suggested that in urbanized areas, constructed wetlands provide practical means for land conservation and the maintenance of critical open spaces, garnering significant support from local communities and seasonal visitors like bird watchers and tourists. Additionally, Sharley et al. [65] evaluated sediment quality in 98 constructed wetlands across Melbourne, Australia, and found that land use type significantly determined the concentrations of heavy metals and petroleum hydrocarbons in sediments. In our study, the landscape diversity of the urban constructed wetland initially increased with fragmentation and then decreased. Whether the ESV follows the same trend requires further investigation in future research.
4.4. Limitations of This Study and Future Perspectives
In this work, our study indicated that the land use structure of the BWP is predominantly composed of farmland and forest land. Due to increased human development intensity, there has been an expansion of construction land alongside a reduction in farmland and unused land, which has led to a continuous increase in landscape fragmentation in the study area. Therefore, it is imperative to enhance the protection of farmland and forest land to maintain and strengthen the overall continuity of the regional landscape pattern.
In recent years, numerous studies both domestically and internationally have focused on methodologies and metrics for analyzing urban landscape patterns. Particularly, these studies have employed quantitative mathematical methods, including landscape indices and models, integrated with remote sensing technology to conduct regional landscape pattern analysis, examine multi-temporal pattern dynamics, and simulate landscape pattern changes during urbanization. These approaches have yielded significant results.
Future work could focus on the following: (1) exploring the landscape pattern characteristics of various wetland types and their impact on ecological functions; (2) developing higher-resolution satellite imagery and advanced remote sensing techniques to enhance the accuracy and reliability of wetland park landscape pattern studies; and (3) exploring new models and strategies for wetland park management to promote ecological conservation and sustainable utilization.
5. Conclusions
This work delved into the landscape digitization of the BWP in an inland city, Chengdu, China, by employing RS imagery and spatial analysis tools such as ArcGIS. Our findings are presented from two perspectives: the patch-type and the landscape levels.
At the patch-type level, significant alterations in landscape distribution and composition unfolded within the wetland park from 2010 to 2021. Notably, there was a substantial conversion of agricultural land to vegetation, with 51.24 ha transitioning to vegetated areas, although the overall landscape composition remained stable. Wetland vegetation emerged as the dominant landscape type throughout the study period, exhibiting heightened intricacy in shape and a tendency towards increased diversity and fragmentation. Further, the expanse of wetland landscapes, encompassing lakes and rivers, experienced some degree of contraction following the park’s establishment. Moreover, a conspicuous expansion in bare land area and patch count near certain wetland landscapes was recorded, potentially attributable to habitat deterioration stemming from frequent visitor interactions in this popular tourist destination. Persistent excessive external disturbances could precipitate wetland degradation, underscoring the need for vigilant oversight.
At the landscape level, over the past decade, the wetland park under scrutiny has witnessed a notable increase in the NP and PD, accompanied by a trend towards heightened complexity and fragmentation in landscape shapes. Concurrently, there has been a certain degree of reduction in landscape heterogeneity and diversity following the park’s establishment, attributable to excessive human interference and inadequate wetland conservation measures. Moreover, the decrease in landscape diversity was correlated with a decline in biodiversity levels, ultimately unsettling the stability of the entire park landscape ecosystem and compromising landscape health. In recent years, although studies indicate a slowdown in the declining trend of landscape diversity in wetland parks, ecological preservation efforts should adhere to safety boundaries, expedite the restoration and stabilization of natural landscapes, and enhance public awareness of wetland environmental conservation.
Therefore, our study findings indicate that measures such as utilizing data-driven planning to optimize land use, implementing adaptive management with timely strategy adjustments, prioritizing the protection of critical habitats to maintain landscape heterogeneity, mitigating the impacts of infrastructure projects through green infrastructure and buffer zones, conducting public education to enhance ecological awareness and encourage community involvement, and supporting policy formulation with investigative data to promote sustainable development and environmental conservation will effectively guide the sustainable management and enhancement of urban wetland parks. However, satellite image-based studies on landscape patterns of wetland parks have limitations, including resolution constraints, high data acquisition costs, and the inability of RS images to provide detailed ground information. For other small-to-medium-sized urban wetland parks, their applicability is influenced by landscape features, ecological conditions, and management needs, necessitating the comprehensive consideration of different regional contexts. Future studies should delve deeper into the ecological effects of land use changes and the responses of wetland landscape fragmentation to urbanization, as well as the socio-economic driving factors. Such research aims to provide insights for promoting the ecological conservation and coordinated economic development of the BWP.
Supplementary Materials
The following supporting information can be downloaded at: https://www.mdpi.com/article/10.3390/land13060806/s1, Figure S1: Monthly variation in air temperature (A) and solar radiation (B) in this wetland park; Table S1: Plant species and percentage in the BWP.
Author Contributions
Conceptualization, S.L. and Q.C.; Methodology, S.L., Y.C. and R.Y.; Software, S.L. and Y.C.; Validation, S.L. and Y.C.; Formal Analysis, S.L., Y.C., R.Y. and X.C.; Investigation, S.L., Y.C., R.Y., D.L., Y.Q. and K.L.; Resources, S.L. and Q.C.; Data Curation, S.L., Y.C. and X.C.; Writing—Original Draft Preparation, S.L. and Y.C.; Writing—Review and Editing, S.L. and Q.C.; Visualization, Y.C.; Supervision, Q.C.; Project Administration, Q.C.; Funding Acquisition, S.L. and Q.C. All authors have read and agreed to the published version of the manuscript.
Funding
This work was partially supported by the Project Supported by Sichuan Landscape and Recreation Research Center (grant number JGYQ2024011), and the Research Interest Cultivation Program Fund at Sichuan Agricultural University (grant number 2024913).
Data Availability Statement
Data can be made available on request to the authors of this article.
Acknowledgments
The authors are thankful to Sichuan Keshengxin Environmental Technology Co., Ltd., Chengdu Hanyunpeng Agricultural Technology Co., the State Key Laboratory of Crop Gene Resource Discovery and Utilization in Southwest China, and the College of Environmental Sciences at Sichuan Agricultural University. Special thanks are extended to Bo Ren at the Sichuan Academy of Forestry and Siyu Li, Ting Lei, Lijuan Yang, and Qianrui Liu and the assistance of others in our landscape pattern and water testing at Sichuan Agricultural University. The authors express their gratitude to the Bailuwan Lake Management Center for granting permission and providing transportation.
Conflicts of Interest
Author Shiliang Liu was employed by Sichuan Yuze Landscape Planning and Design Co., Ltd. The remaining authors declare that the research was conducted in the absence of any commercial or financial relationships that could be construed as a potential conflict of interest.
References
- Kirwan, M.; Megonigal, J. Tidal wetland stability in the face of human impacts and sea-level rise. Nature 2013, 504, 53–60. [Google Scholar] [CrossRef]
- Wang, X.; Xiao, X.; Xu, X.; Zou, Z.; Chen, B.; Qin, Y.; Zhang, X.; Dong, J.; Liu, D.; Pan, L.; et al. Rebound in China’s coastal wetlands following conservation and restoration. Nat. Sustain. 2021, 4, 1076–1083. [Google Scholar] [CrossRef]
- Peng, S.; Lin, X.; Thompson, R.L.; Xi, Y.; Liu, G.; Hauglustaine, D.; Lan, X.; Poulter, B.; Ramonet, M.; Saunois, M.; et al. Wetland emission and atmospheric sink changes explain methane growth in 2020. Nature 2022, 612, 477–482. [Google Scholar] [CrossRef]
- Pinheiro, R.O.; Triest, L.; Lopes, P.F. Cultural ecosystem services: Linking landscape and social attributes to ecotourism in protected areas. Ecosyst. Serv. 2021, 50, 101340. [Google Scholar] [CrossRef]
- Xiong, Y.; Mo, S.; Wu, H.; Qu, X.; Liu, Y.; Zhou, L. Influence of human activities and climate change on wetland landscape pattern—A review. Sci. Total Environ. 2023, 879, 163112. [Google Scholar] [CrossRef] [PubMed]
- Costanza, R.; de Groot, R.; Sutton, P.; van der Ploeg, S.; Anderson, S.J.; Kubiszewski, I.; Farber, S.; Turner, R.K. Changes in the global value of ecosystem services. Global. Environ. Chang. 2014, 26, 152–158. [Google Scholar] [CrossRef]
- Mao, D.; Yang, H.; Wang, Z.; Song, K.; Thompson, J.R.; Flower, R.J. Reverse the hidden loss of China’s wetlands. Science 2022, 376, 1061. [Google Scholar]
- Ouyang, X.; Tang, L.; Wei, X.; Li, Y. Spatial interaction between urbanization and ecosystem services in Chinese urban agglomerations. Land Use Policy 2021, 109, 105587. [Google Scholar] [CrossRef]
- Feng, Y.; Liu, Y.; Tong, X. Spatiotemporal variation of landscape patterns and their spatial determinants in Shanghai, China. Ecol. Ind. 2018, 87, 22–32. [Google Scholar] [CrossRef]
- Guilherme, F.A.G.; Júnior, A.F.; de Souza, L.F.; Martins, A.P.; Ferreira, G.L.; Maciel, E.A. Effect of drainage ditches on diversity, structure and dynamics vegetation in campos de murundus (mound fields). Ecol. Eng. 2022, 182, 106723. [Google Scholar] [CrossRef]
- Fluet-Chouinard, E.; Stocker, B.D.; Zhang, Z.; Malhotra, A.; Melton, J.R.; Poulter, B.; Kaplan, J.O.; Goldewijk, K.K.; Siebert, S.; Minayeva, T.; et al. Extensive global wetland loss over the past three centuries. Nature 2023, 614, 281–286. [Google Scholar] [CrossRef]
- Deng, J.; Wang, K.; Hong, Y.; Qi, J. Spatio-temporal dynamics and evolution of land use change and landscape pattern in response to rapid urbanization. Landscape Urban Plann. 2009, 92, 187–198. [Google Scholar] [CrossRef]
- Zhou, D.; Tian, Y.; Jiang, G. Spatio-temporal investigation of the interactive relationship between urbanization and ecosystem services: Case study of the Jingjinji urban agglomeration, China. Ecol. Ind. 2018, 95, 152–164. [Google Scholar] [CrossRef]
- Sun, B.; Lu, Y.; Yang, Y.; Yu, M.; Yaun, J.; Yu, R.; Bullock, J.M.; Stenseth, N.C.; Li, X.; Cao, Z.; et al. Urbanization affects spatial variation and species similarity of bird diversity distribution. Sci. Adv. 2022, 49, e3061. [Google Scholar] [CrossRef] [PubMed]
- Mahapatra, A.; Hore, U.; Singh, A.; Kumari, M. The effect of urbanization on the shrinkage of wetlands in the Noida-Greater Noida region and its surrounding sub-urban areas. Ecol. Fron. 2024, 44, 96–104. [Google Scholar] [CrossRef]
- Abolafya, M.; Onmuş, O.; Şekercioğlu, Ç.H.; Bilgin, R. Using citizen science data to model the distributions of common songbirds of Turkey under different global climatic change scenarios. PLoS ONE 2013, 8, e68037. [Google Scholar] [CrossRef]
- Taubert, F.; Fischer, R.; Groeneveld, J.; Lehmann, S.; Müller, M.S.; Rödig, E.; Wiegand, T.; Huth, A. Global patterns of tropical forest fragmentation. Nature 2018, 554, 519–522. [Google Scholar] [CrossRef]
- Meng, W.; He, M.; Hu, B.; Mo, X.; Li, H.; Liu, B.; Wang, Z. Status of wetlands in China: A review of extent, degradation, issues and recommendations for improvement. Ocean Coast. Manag. 2017, 146, 50–59. [Google Scholar] [CrossRef]
- Dadashpoor, H.; Azizi, P.; Moghadasi, M. Land use change, urbanization, and change in landscape pattern in a metropolitan area. Sci. Total Environ. 2019, 655, 707–719. [Google Scholar] [CrossRef]
- Wu, C.; Chen, B.; Huang, X.; Wei, Y.D. Effect of land-use change and optimization on the ecosystem service values of Jiangsu province. Ecol. Ind. 2020, 117, 106507. [Google Scholar] [CrossRef]
- Maheng, D.; Pathirana, A.; Zevenbergen, C. A preliminary study on the impact of landscape pattern changes due to urbanization: Case study of Jakarta, Indonesia. Land 2021, 10, 218. [Google Scholar] [CrossRef]
- Kareiva, P.; Wennergren, U. Connecting landscape patterns to ecosystem and population processes. Nature 1995, 373, 299–302. [Google Scholar] [CrossRef]
- Shi, F.; Liu, S.; An, Y.; Sun, Y.; Zhao, S.; Liu, Y.; Li, M. Spatio-Temporal dynamics of landscape connectivity and ecological network construction in Long Yangxia Basin at the Upper Yellow River. Land 2020, 9, 265. [Google Scholar] [CrossRef]
- Byun, E.; Sato, H.; Cowling, S.A.; Finkelstein, S.A. Extensive wetland development in mid-latitude North America during the Bølling–Allerød. Nat. Geosci. 2021, 14, 30–35. [Google Scholar] [CrossRef]
- Li, H.; Wang, J.; Zhang, J.; Qin, F.; Hu, J.; Zhou, Z. Analysis of characteristics and driving factors of wetland landscape pattern change in Henan Province from 1980 to 2015. Land 2021, 10, 564. [Google Scholar] [CrossRef]
- Zhu, C.; Zhang, X.; Zhou, M.; He, S.; Gan, M.; Yang, L.; Wang, K. Impacts of urbanization and landscape pattern on habitat quality using OLS and GWR models in Hangzhou, China. Ecol. Ind. 2020, 117, 106654. [Google Scholar] [CrossRef]
- Ye, H.; Li, Z.; Zhang, N.; Leng, X.; Meng, D.; Zheng, J.; Li, Y. Variations in the effects of landscape patterns on the urban thermal environment during rapid urbanization (1990–2020) in megacities. Remote Sens. 2021, 13, 3415. [Google Scholar] [CrossRef]
- Trinh, T.; Kavvas, M.L.; Ishida, K.; Ercan, A.; Chen, Z.Q.; Anderson, M.L.; Ho, C.; Nguyen, T. Integrating global land-cover and soil datasets to update saturated hydraulic conductivity parameterization in hydrologic modeling. Sci. Total Environ. 2018, 631–632, 279–288. [Google Scholar] [CrossRef] [PubMed]
- Skariah, M.; Suriyakala, C.D. Land use/land cover changes (1988–2017) in Central Kerala and the effect of urban built-up on Kerala floods 2018. Arab. J. Geosci. 2022, 15, 1–15. [Google Scholar] [CrossRef]
- Sun, Q.; Sun, J.; Baidurela, A.; Li, L.; Hu, X.; Song, T. Ecological landscape pattern changes and security from 1990 to 2021 in Ebinur Lake Wetland Reserve, China. Ecol. Ind. 2022, 145, 109648. [Google Scholar] [CrossRef]
- Ma, J.; Li, J.; Wu, W.; Liu, J. Global forest fragmentation change from 2000 to 2020. Nat Commun 2023, 14, 3752. [Google Scholar] [CrossRef] [PubMed]
- Grimm, N.B.; Faeth, S.H.; Golubiewski, N.E.; Redman, C.L.; Wu, J.G.; Bai, X.M.; Briggs, J.M. Global change and the ecology of cities. Science 2008, 319, 756–760. [Google Scholar] [CrossRef] [PubMed]
- Athukorala, D.; Estoque, R.C.; Murayama, Y.; Matsushita, B. Impacts of urbanization on the Muthurajawela Marsh and Negombo Lagoon, Sri Lanka: Implications for landscape planning towards a sustainable urban wetland ecosystem. Remote Sens. 2021, 13, 316. [Google Scholar] [CrossRef]
- Zhu, L.; Zhu, K.; Zeng, X. Evolution of landscape pattern and response of ecosystem service value in international wetland cities: A case study of Nanchang City. Ecol. Ind. 2023, 155, 110987. [Google Scholar] [CrossRef]
- Li, Y.; Liu, H.; Zheng, N.; Cao, X. A functional classification method for examining landscape pattern of urban wetland park: A case study on Xixi Wetland Park, China. Acta Ecol. Sin. 2011, 31, 1021–1028. Available online: https://www.ecologica.cn/stxb/article/abstract/stxb201001090060 (accessed on 18 April 2024). (In Chinese).
- Ma, J.; Liu, Y.; Yu, G.; Li, H.; Yu, S.; Jiang, Y.; Li, G.; Lin, J. Temporal dynamics of urbanization-driven environmental changes explored by metal contamination in surface sediments in a restoring urban wetland park. J. Hazard. Mat. 2016, 309, 228–235. [Google Scholar] [CrossRef] [PubMed]
- Yang, J. The heterogeneous preferences for conservation and management in urban wetland parks: A case study from China. Urban. For. Urban. Gree. 2021, 60, 127064. [Google Scholar] [CrossRef]
- Song, S.; Albert, C.; Prominski, M. Exploring integrated design guidelines for urban wetland parks in China. Urban For. Urban Gree. 2020, 53, 126712. [Google Scholar] [CrossRef]
- Deng, Y.; Yao, Y.; Zhang, L. Analysis of urban wetland park cooling effects and their potential influence factors: Evidence from 477 urban wetland parks in China. Ecol. Indic. 2023, 156, 111103. [Google Scholar] [CrossRef]
- Ye, Y.; Qiu, H. Environmental and social benefits, and their coupling coordination in urban wetland parks. Urban For. Urban Gree. 2021, 60, 127043. [Google Scholar] [CrossRef]
- Zhou, L.; Guan, D.; Huang, X.; Yuan, X.; Zhang, M. Evaluation of the cultural ecosystem services of wetland park. Ecol. Indic. 2020, 114, 106286. [Google Scholar] [CrossRef]
- García-Linares, C.; Martínez-Santos, M.; Martínez-Bilbao, V.; Sánchez-Pérez, J.M.; Antiguedad, I. Wetland restoration and nitrate reduction: The example of the peri-urban wetland of Vitoria-Gasteiz (Basque Country, North Spain). Hydrol. Earth Sys. Sci. 2003, 7, 109–121. [Google Scholar] [CrossRef]
- Smardon, R. Community-based wetland management: A case study of Brace Bridge Nature Park (BBNP), Kolkata, India. In Sustaining the World’s Wetlands; Springer: New York, NY, USA, 2009. [Google Scholar] [CrossRef]
- Wahlroos, O.; Valkama, P.; Mäkinen, E.; Ojala, A.; Vasander, H.; Väänänen, V.; Halonen, A.; Lindén, L.; Nummi, P.; Ahponen, H.; et al. Urban wetland parks in Finland: Improving water quality and creating endangered habitats. Intern. J. Biodiv. Sci. Eco. Serv. Manag. 2015, 11, 46–60. [Google Scholar] [CrossRef]
- Hopkinson, C.; Horrigan, K.; Cane, T.; Gaborit, S.; McLernon, S.; Pennington, S.; Quon, S.; Woo, L.; Mulamoottil, G.; Jasinski, P.; et al. An integrated approach to the planning and management of urban wetlands: The case of bechtel park wetland, Waterloo, Ontario. Can. Water Resour. J. 1997, 22, 45–56. [Google Scholar] [CrossRef]
- Festus, O.O.; Ji, W.; Zubair, O.A. Characterizing the landscape structure of urban wetlands using terrain and landscape indices. Land 2020, 9, 29. [Google Scholar] [CrossRef]
- Mahanta, N.R.; Rajput, B. Landscape interventions for resilience and sustainability in urban wetland parks: A review. In Proceedings of the 2019 Advances in Science and Engineering Technology International Conferences, Dubai, United Arab Emirates, 26 March–10 April 2019; pp. 1–6. [Google Scholar] [CrossRef]
- Mitsch, W.J.; Zhang, L.; Griffiths, L.N.; Bays, J. Contrasting two urban wetland parks created for improving habitat and downstream water quality. Ecol. Eng. 2023, 192, 106976. [Google Scholar] [CrossRef]
- Chen, X.; Liu, H.; Li, J.; Fan, S.; Ge, Z. Coupled coordination analysis of urbanization and ecological environment based on nighttime light remote sensing. Rem. Sens. Nat. Res. 2022, 34, 280–285. (In Chinese) [Google Scholar]
- Xu, J.; Zhang, J.; Chen, F.; Zhang, H. Characteristics and influencing factors of landscape pattern evolution in Chengdu over the past 15 years. J. Anhui Agr. Sci. 2023, 51, 80–89. (In Chinese) [Google Scholar]
- Wu, S.; Yang, H.; Luo, P.; Luo, C.; Li, H.; Liu, M.; Ruan, Y.; Zhang, S.; Xiang, P.; Jia, H.; et al. The effects of the cooling efficiency of urban wetlands in an inland megacity: A case study of Chengdu, Southwest China. Build. Environ. 2021, 204, 108128. [Google Scholar] [CrossRef]
- Burgin, S.; Franklin, M.J.M.; Hull, L. Wetland loss in thetransition to urbanisation: A case study from Western Sydney, Australia. Wetlands 2016, 36, 985–994. [Google Scholar] [CrossRef]
- Ballut-Dajud, G.A.; Sandoval Herazo, L.C.; Fernández-Lambert, G.; Marín-Muñiz, J.L.; López Méndez, M.C.; Betanzo-Torres, E.A. Factors affecting wetland loss: A review. Land 2022, 11, 434. [Google Scholar] [CrossRef]
- Li, Y.; Zhu, X.; Sun, X.; Wang, F. Landscape effects of environmental impact on bay-area wetlands under rapid urban expansion and development policy: A case study of Lianyungang, China. Landscape Urban. Plan. 2010, 94, 218–227. [Google Scholar] [CrossRef]
- Mondal, B.; Dolui, G.; Pramanik, M.; Maity, S.; Biswas, S.S.; Pal, R. Urban expansion and wetland shrinkage estimation using a GIS-based model in the East Kolkata Wetland, India. Ecol. Indic. 2017, 83, 62–73. [Google Scholar] [CrossRef]
- Vaz, E. Managing urban coastal areas through landscape metrics: An assessment of Mumbai’s mangrove system. Ocean Coast. Manag. 2014, 98, 27–37. [Google Scholar] [CrossRef]
- Brinkmann, K.; Hoffmann, E.; Buerkert, A. Spatial and Temporal Dynamics of Urban Wetlands in an Indian Megacity over the Past 50 Years. Remote Sens. 2020, 12, 662. [Google Scholar] [CrossRef]
- Hettiarachchi, M.; Morrison, T.H.; Wickramsinghe, D.; Mapa, R.; Alwis, A.; de McAlpine, C.A. The eco-social transformation of urban wetlands: A case study of Colombo, Sri Lanka. Landsc. Urban Plan. 2014, 132, 55–68. [Google Scholar] [CrossRef]
- Adeeyo, A.O.; Ndlovu, S.S.; Ngwagwe, L.M.; Mudau, M.; Alabi, M.A.; Edokpayi, J.N. Wetland eesources in South Africa: Threats and metadata study. Resources 2022, 11, 54. [Google Scholar] [CrossRef]
- Wen, Y.; Li, H.; Zhang, X.; Wang, X.; Huang, Q.; Cai, Y. Changes of land use and landscape pattern in the peripheral region of Poyang Lake in recent 30 years. Acta Sci. Circum. 2022, 42, 501–510. (In Chinese) [Google Scholar] [CrossRef]
- Zhao, R.F.; Jiang, P.H.; Zhao, H.L.; Fan, J.P. Fragmentation process of wetlands landscape in the middle reaches of the Heihe River and its driving forces analysis. Acta Ecol. Sin. 2013, 33, 4436–4449. (In Chinese) [Google Scholar] [CrossRef]
- Gao, J.; Gao, M.; Zhao, Z.; Han, Z.; Han, X.; Gao, W. Wetland landscape pattern changes and driving forces in Qilihai lagoon, 1987–2015. J. Hydroecol. 2018, 4, 8–16. (In Chinese) [Google Scholar] [CrossRef]
- Lucas, R.; Earl, E.R.; Babatunde, A.O.; Bockelmann-Evans, B.N. Constructed wetlands for stormwater management in the UK: A concise review. Civ. Eng. Environ. Syst. 2015, 32, 251–268. [Google Scholar] [CrossRef]
- Li, F.; Liu, X.; Zhang, X.; Zhao, D.; Liu, H.; Zhou, C.; Wang, R. Urban ecological infrastructure: An integrated network for ecosystem services and sustainable urban systems. J. Clean. Prod. 2017, 163, S12–S18. [Google Scholar] [CrossRef]
- Sharley, D.J.; Sharp, S.M.; Marshall, S.; Jeppe, K.; Pettigrove, V.J. Linking urban land use to pollutants in constructed wetlands: Implications for stormwater and urban planning. Landscape Urban. Plan. 2017, 162, 80–91. [Google Scholar] [CrossRef]
- Kirk, D.A.; Martínez-Lanfranco, J.A.; Forsyth, D.J.; Martin, A.E. Farm management and landscape context shape plant diversity at wetland edges in the Prairie Pothole Region of Canada. Ecol. Appl. 2024, 34, e2943. [Google Scholar] [CrossRef] [PubMed]
- Das, S.; Adhikary, P.P.; Shit, P.K.; Bera, B. Urban wetland fragmentation and ecosystem service assessment using integrated machine learning algorithm and spatial landscape analysis. Geocarto. Int. 2022, 37, 7800–7818. [Google Scholar] [CrossRef]
- Abalo, M.; Badabate, D.; Fousseni, F.; Kpérkouma, W.; Koffi, A. Landscape-based analysis of wetlands patterns in the Ogou River basin in Togo (West Africa). Environ. Chall. 2021, 2, 100013. [Google Scholar] [CrossRef]
- Zhang, Y.; Yin, H.; Zhu, L.; Miao, C. Landscape fragmentation in Qinling–Daba Mountains Nature Reserves and its influencing factors. Land 2021, 10, 1124. [Google Scholar] [CrossRef]
- Zhang, X.; Wang, G.; Xue, B.; Zhang, M.; Tan, Z. Dynamic landscapes and the driving forces in the Yellow River Delta wetland region in the past four decades. Sci. Total. Environ. 2021, 787, 147644. [Google Scholar] [CrossRef]
- Xie, R.; Shen, Y.; Lao, H. Dynamic changes and responses of coastal wetland landscape pattern based on human disturbance degree in Yancheng, Jiangsu Province, China. Chin. J. Ecol. 2022, 41, 351–360. (In Chinese) [Google Scholar] [CrossRef]
- Zhang, Y.; Guindon, B. Landscape analysis of human impacts on forest fragmentation in the Great Lakes region. Can. J. Remote Sens. 2005, 31, 153–166. [Google Scholar] [CrossRef]
- Weng, Y. Spatiotemporal changes of landscape pattern in response to urbanization. Landscape Urban Plan. 2007, 81, 341–353. [Google Scholar] [CrossRef]
- Wang, X.; Xu, Z.; Yang, M.; Tian, J. Analysis of the landscape diversity dynamics of small watershed in the Loess Plateau. Chin. J. Appl. Ecol. 2004, 15, 273–277. Available online: https://www.cjae.net/CN/Y2004/V/I2/273 (accessed on 15 April 2024). (In Chinese).
- Cai, Y.; Qu, B.; Lv, J. Researches on the changes of landscape diversity in Panjin Area. J. Northwest Forest. Univ. 2015, 30, 277–282. [Google Scholar]
- Uhl, B.; Wölfling, M.; Fiedler, K. Understanding small-scale insect diversity patterns inside two nature reserves: The role of local and landscape factors. Biodivers. Conserv. 2020, 29, 2399–2418. [Google Scholar] [CrossRef]
- Qiu, J.; Wang, X.; Lu, F.; Ouyang, Z.; Zheng, H. The spatial pattern of landscape fragmentation and its relations with urbanization and socio-economic developments: A case study of Beijing. Acta Ecol. Sin. 2012, 32, 2659–2669. [Google Scholar] [CrossRef]
- Haddad, N.M.; Brudvig, L.A.; Clobert, J.; Davies, K.F.; Gonzalez, A.; Holt, R.D.; Lovejoy, T.E.; Sexton, J.O.; Austin, M.P.; Collins, C.D.; et al. Habitat fragmentation and its lasting impact on Earth’s ecosystems. Sci. Adv. 2015, 1, e150005. [Google Scholar] [CrossRef]
- Guo, S.; Wu, C.; Wang, Y.; Qiu, G.; Zhu, D.; Niu, Q.; Qin, L. Threshold effect of ecosystem services in response to climate change, human activity and landscape pattern in the upper and middle Yellow River of China. Ecol. Ind. 2022, 136, 108603. [Google Scholar] [CrossRef]
- Qiu, L.; Pan, Y.; Zhu, J.; Amable, G.S.; Xu, B. Integrated analysis of urbanizationtriggered land use change trajectory and implications for ecological land management: A case study in Fuyang, China. Sci. Total Environ. 2019, 660, 209–217. [Google Scholar] [CrossRef]
- Hou, L.; Wu, F.; Xie, X. The spatial characteristics and relationships between landscape pattern and ecosystem service value along an urban-rural gradient in Xi’an city. Ecol. Ind. 2020, 108, 105720. [Google Scholar] [CrossRef]
- Takavakoglou, V.; Pana, E.; Skalkos, D. Constructed wetlands as nature-based solutions in the post-COVID Agri-Food Supply Chain: Challenges and opportunities. Sustainability 2022, 14, 3145. [Google Scholar] [CrossRef]
Disclaimer/Publisher’s Note: The statements, opinions and data contained in all publications are solely those of the individual author(s) and contributor(s) and not of MDPI and/or the editor(s). MDPI and/or the editor(s) disclaim responsibility for any injury to people or property resulting from any ideas, methods, instructions or products referred to in the content. |
© 2024 by the authors. Licensee MDPI, Basel, Switzerland. This article is an open access article distributed under the terms and conditions of the Creative Commons Attribution (CC BY) license (https://creativecommons.org/licenses/by/4.0/).






