Coupling Coordination Relationship and Driving Force Analysis between Gross Ecosystem Product and Regional Economic System in the Qinling Mountains, China
Abstract
1. Introduction
2. Materials and Methods
2.1. Study Area
2.2. Research Framework
2.3. Data Sources
- (1)
- Daily climate data of national meteorological stations in the QMs were downloaded from the China Meteorological Data Service Centre, and the meteorological elements included precipitation, temperature, etc. Then, with the meteorological elements, the local runoff and evaporation data were obtained using the hydrological formula;
- (2)
- Environmental data included air quality and water environment quality data, collected from Shaanxi Province air quality monitoring station and Shaanxi Provincial Department of Ecology and Environment, respectively;
- (3)
- Remote sensing data mainly included land use, soil, DEM, NPP, and NDVI. Since there were many types of remote sensing data involved, and the spatial resolutions of different data were significantly different, the remote sensing data were resampled to a resolution of 1000 m in the data processing process, and the data output resolution of ES and GEP assessment results were also set to 1000 m;
- (4)
- Social economic data, including GDP, population, water price, agricultural product price, tourist income, etc., were obtained from Shaanxi provincial statistical yearbook, Shaanxi provincial tourism development statistical bulletin, Shaanxi water conservancy statistical yearbook, etc. The statistical scale of social economic data is district-county scale, so the data output resolution of ES value evaluation results is also unified to district-county scale. Therefore, the total GEP results are also read with the same scale. In view of the fact that some districts and counties are not fully included in the scope of the QMs [40], the social economic statistics of these districts and counties are assigned within the coverage area by an area-weighted method.
2.4. Methods
2.4.1. GEP Accounting Methodology
2.4.2. Coupling Coordination Degree (CCD) Model
- Data standardization processing
- 2.
- Coupling Degree (CD) model
- 3.
- Coupling Coordination Degree (CCD) model
- 4.
- Relative Development Degree (RDD) model
2.4.3. Geographic Detector Model
- Factor detection
- 2.
- Interaction detector
- 3.
- The selection and processing of indicators
3. Results
3.1. Spatial Variations of ESs and GEP
3.1.1. Variations of PES from 2010–2020
3.1.2. Variations of RES during 2010–2020
3.1.3. Variations of CES during 2010–2020
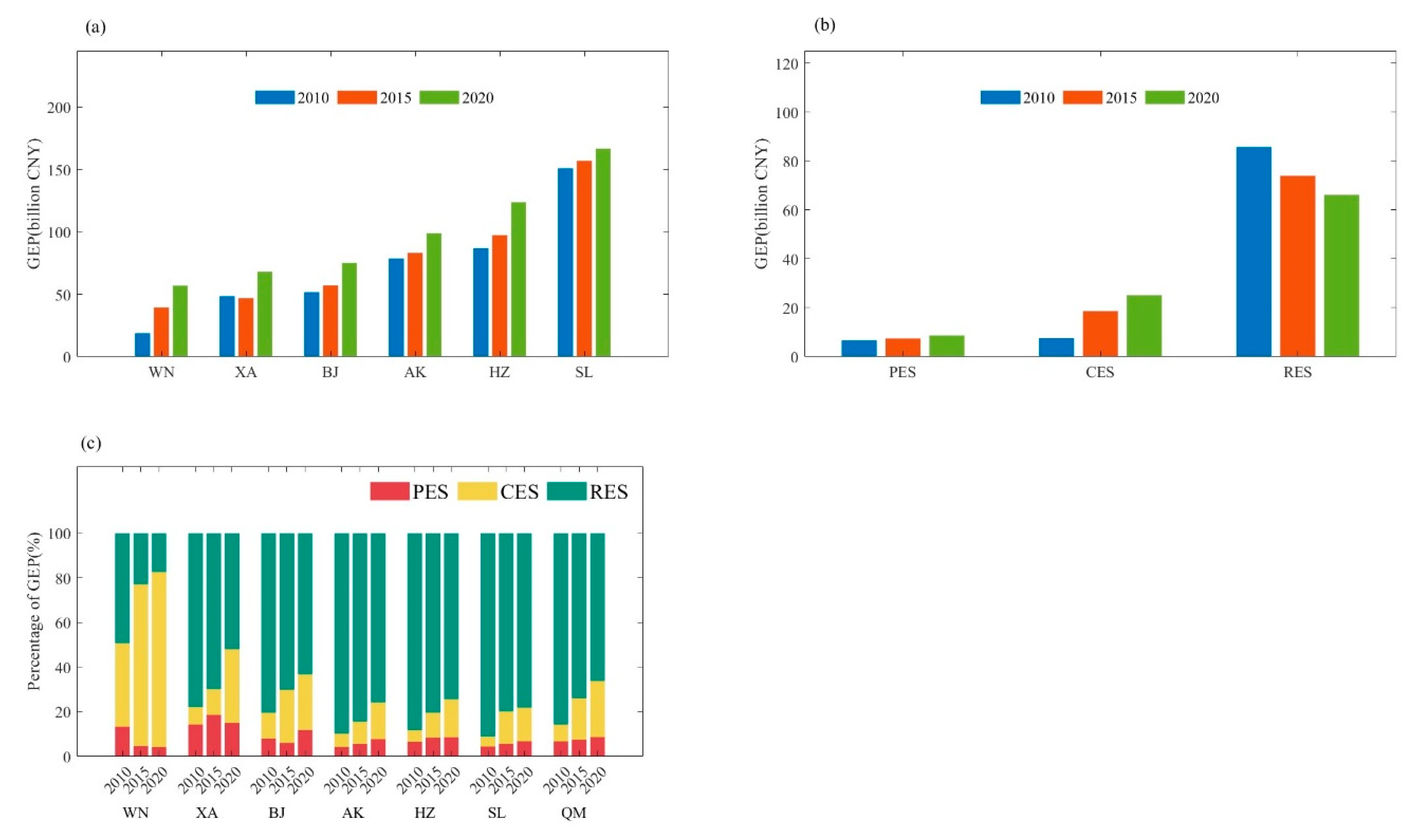
3.1.4. Variations of GEP during 2010–2020
3.2. Spatiotemporal Variations of the Coupling Relationship between GEP and GDP
3.2.1. Evolution Characteristics between CD and CCD
3.2.2. Evolution Characteristics of RDD and CDD Type
3.3. Driving Factors Affecting the Coupling Coordination Degree between GEP and GDP
3.3.1. Factor Detection Analysis
3.3.2. Interaction Detection Analysis
4. Discussion
4.1. Implications of GEP Assessment
4.2. Interaction between GEP and GDP
4.3. Policy Recommendations
4.4. Limitations and Future Research
5. Conclusions
Supplementary Materials
Author Contributions
Funding
Data Availability Statement
Conflicts of Interest
References
- Chaplin-Kramer, R.; Sharp, R.P.; Weil, C.; Bennett, E.M.; Pascual, U.; Arkema, K.K.; Brauman, K.A.; Bryant, B.P.; Guerry, A.D.; Haddad, N.M.; et al. Global modeling of nature’s contributions to people. Science 2019, 366, 255–258. [Google Scholar] [CrossRef]
- Díaz, S.; Pascual, U.; Stenseke, M.; Martín-López, B.; Watson, R.T.; Molnár, Z.; Hill, R.; Chan, K.M.A.; Baste, I.A.; Brauman, K.A.; et al. Assessing nature’s contributions to people. Science 2018, 359, 270–272. [Google Scholar] [CrossRef] [PubMed]
- Liu, Y.; Fu, B.; Wang, S.; Rhodes, J.R.; Li, Y.; Zhao, W.; Li, C.; Zhou, S.; Wang, C. Global assessment of nature’s contributions to people. Sci. Bull. 2023, 68, 424–435. [Google Scholar] [CrossRef] [PubMed]
- Pascual, U.; Balvanera, P.; Díaz, S.; Pataki, G.; Roth, E.; Stenseke, M.; Watson, R.T.; Başak Dessane, E.; Islar, M.; Kelemen, E.; et al. Valuing nature’s contributions to people: The IPBES approach. Curr. Opin. Environ. Sustain. 2017, 26–27, 7–16. [Google Scholar] [CrossRef]
- Peng, J.; Xia, P.; Liu, Y.; Xu, Z.; Zheng, H.; Lan, T.; Yu, S. Ecosystem services research: From golden era to next crossing. Trans. Earth Environ. Sustain. 2023, 1, 9–19. [Google Scholar] [CrossRef]
- Liu, Q.; Qiao, J.; Li, M.; Huang, M. Spatiotemporal heterogeneity of ecosystem service interactions and their drivers at different spatial scales in the Yellow River Basin. Sci. Total Environ. 2024, 908, 168486. [Google Scholar] [CrossRef]
- Costanza, R.; dArge, R.; deGroot, R.; Farber, S.; Grasso, M.; Hannon, B.; Limburg, K.; Naeem, S.; Oneill, R.V.; Paruelo, J.; et al. The value of the world’s ecosystem services and natural capital. Nature 1997, 387, 253–260. [Google Scholar] [CrossRef]
- Bullock, J.M.; Aronson, J.; Newton, A.C.; Pywell, R.F.; Rey-Benayas, J.M. Restoration of ecosystem services and biodiversity: Conflicts and opportunities. Trends Ecol. Evol. 2011, 26, 541–549. [Google Scholar] [CrossRef]
- Watson, L.; Straatsma, M.W.; Wanders, N.; Verstegen, J.A.; de Jong, S.M.; Karssenberg, D. Global ecosystem service values in climate class transitions. Environ. Res. Lett. 2020, 15, 024008. [Google Scholar] [CrossRef]
- Helseth, E.V.; Vedeld, P.; Vatn, A.; Gómez-Baggethun, E. Value asymmetries in Norwegian forest governance: The role of institutions and power dynamics. Ecol. Econ. 2023, 214, 107973. [Google Scholar] [CrossRef]
- Costanza, R.; de Groot, R.; Braat, L.; Kubiszewski, I.; Fioramonti, L.; Sutton, P.; Farber, S.; Grasso, M. Twenty years of ecosystem services: How far have we come and how far do we still need to go? Ecosyst. Serv. 2017, 28, 1–16. [Google Scholar] [CrossRef]
- Millennium Ecosystem Assessment. Ecosystems and Human Well-Being: Synthesis; Island Press: Washington, DC, USA, 2005. [Google Scholar]
- Daily, G.C. Nature’s Services: Societal Dependence on Natural Ecosystems; Island Press: Washington, DC, USA, 1997. [Google Scholar]
- Tan, P.Y.; Zhang, J.; Masoudi, M.; Alemu, J.B.; Edwards, P.J.; Gret-Regamey, A.; Richards, D.R.; Saunders, J.; Song, X.P.; Wong, L.W. A conceptual framework to untangle the concept of urban ecosystem services. Landsc. Urban Plan. 2020, 200, 103837. [Google Scholar] [CrossRef] [PubMed]
- Zhang, Z.; Liu, Y.; Wang, Y.; Liu, Y.; Zhang, Y.; Zhang, Y. What factors affect the synergy and tradeoff between ecosystem services, and how, from a geospatial perspective? J. Clean. Prod. 2020, 257, 120454. [Google Scholar] [CrossRef]
- Jones, L.; Norton, L.; Austin, Z.; Browne, A.L.; Donovan, D.; Emmett, B.A.; Grabowski, Z.J.; Howard, D.C.; Jones, J.P.G.; Kenter, J.O.; et al. Stocks and flows of natural and human-derived capital in ecosystem services. Land Use Policy 2016, 52, 151–162. [Google Scholar] [CrossRef]
- Jiang, W.; Lü, Y.; Liu, Y.; Gao, W. Ecosystem service value of the Qinghai-Tibet Plateau significantly increased during 25 years. Ecosyst. Serv. 2020, 44, 101146. [Google Scholar] [CrossRef]
- Daily, G.C.; Söderqvist, T.; Aniyar, S.; Arrow, K.; Dasgupta, P.; Ehrlich, P.R.; Folke, C.; Jansson, A.; Jansson, B.-O.; Kautsky, N.; et al. The Value of Nature and the Nature of Value. Science 2000, 289, 395–396. [Google Scholar] [CrossRef] [PubMed]
- de Groot, R.; Brander, L.; van der Ploeg, S.; Costanza, R.; Bernard, F.; Braat, L.; Christie, M.; Crossman, N.; Ghermandi, A.; Hein, L.; et al. Global estimates of the value of ecosystems and their services in monetary units. Ecosyst. Serv. 2012, 1, 50–61. [Google Scholar] [CrossRef]
- Ouyang, Z.; Zheng, H.; Xiao, Y.; Polasky, S.; Liu, J.; Xu, W.; Wang, Q.; Zhang, L.; Xiao, Y.; Rao, E.M.; et al. Improvements in ecosystem services from investments in natural capital. Science 2016, 352, 1455–1459. [Google Scholar] [CrossRef]
- Yu, Y.; Li, J.; Han, L.; Zhang, S. Research on ecological compensation based on the supply and demand of ecosystem services in the Qinling-Daba Mountains. Ecol. Indic. 2023, 154, 110687. [Google Scholar] [CrossRef]
- Wang, P.; Zhang, L.; Li, Y.; Jiao, L.; Wang, H.; Yan, J.; Lü, Y.; Fu, B. Spatio-temporal variations of the flood mitigation service of ecosystem under different climate scenarios in the Upper Reaches of Hanjiang River Basin, China. J. Geogr. Sci. 2018, 28, 1385–1398. [Google Scholar] [CrossRef]
- Sannigrahi, S.; Chakraborti, S.; Joshi, P.K.; Keesstra, S.; Sen, S.; Paul, S.K.; Kreuter, U.; Sutton, P.C.; Jha, S.; Dang, K.B. Ecosystem service value assessment of a natural reserve region for strengthening protection and conservation. J. Environ. Manag. 2019, 244, 208–227. [Google Scholar] [CrossRef] [PubMed]
- Xie, G.; Zhang, C.; Zhen, L.; Zhang, L. Dynamic changes in the value of China’s ecosystem services. Ecosyst. Serv. 2017, 26, 146–154. [Google Scholar] [CrossRef]
- Ouyang, Z.; Zhu, C.; Yang, G.; Xu, W.; Zheng, H.; Zhang, Y.; Xiao, Y. Gross ecosystem product: Concept, accounting framework and case study. Acta Ecol. Sin. 2013, 33, 6747–6761. [Google Scholar] [CrossRef]
- Ouyang, Z.; Song, C.; Zheng, H.; Polasky, S.; Xiao, Y.; Bateman, I.J.; Liu, J.; Ruckelshaus, M.; Shi, F.; Xiao, Y.; et al. Using gross ecosystem product (GEP) to value nature in decision making. Proc. Natl. Acad. Sci. USA 2020, 117, 14593–14601. [Google Scholar] [CrossRef] [PubMed]
- Zou, Z.; Wu, T.; Xiao, Y.; Song, C.; Wang, K.; Ouyang, Z. Valuing natural capital amidst rapid urbanization: Assessing the gross ecosystem product (GEP) of China’s ‘Chang-Zhu-Tan’ megacity. Environ. Res. Lett. 2020, 15, 124019. [Google Scholar] [CrossRef]
- Wang, W.; Xu, C.; Li, Y. Priority areas and benefits of ecosystem restoration in Beijing. Environ. Sci. Pollut. Res. Int. 2023, 30, 83600–83614. [Google Scholar] [CrossRef]
- Xie, H.; Li, Z.; Xu, Y. Study on the Coupling and Coordination Relationship between Gross Ecosystem Product (GEP) and Regional Economic System: A Case Study of Jiangxi Province. Land 2022, 11, 1540. [Google Scholar] [CrossRef]
- Zang, Z.; Zhang, Y.; Xi, X. Analysis of the Gross Ecosystem Product—Gross Domestic Product Synergistic States, Evolutionary Process, and Their Regional Contribution to the Chinese Mainland. Land 2022, 11, 732. [Google Scholar] [CrossRef]
- Ma, Q.; Zhou, M.; Liu, J.; Zhao, J.; Xi, M. Coupling Relationship between Ecosystem Service Value and Socioeconomic Development in the Qinba Mountains, China. Diversity 2022, 14, 1105. [Google Scholar] [CrossRef]
- Guan, S.; Liao, Q.; Wu, W.; Yi, C.; Gao, Y. Revealing the Coupling Relationship between the Gross Ecosystem Product and Economic Growth: A Case Study of Hubei Province. Sustainability 2022, 14, 7546. [Google Scholar] [CrossRef]
- Jiang, H.; Wu, W.; Wang, J.; Yang, W.; Gao, Y.; Duan, Y.; Ma, G.; Wu, C.; Shao, J. Mapping global value of terrestrial ecosystem services by countries. Ecosyst. Serv. 2021, 52, 101361. [Google Scholar] [CrossRef]
- Ge, Y.; Hu, S.; Ren, Z.; Jia, Y.; Wang, J.; Liu, M.; Zhang, D.; Zhao, W.; Luo, Y.; Fu, Y.; et al. Mapping annual land use changes in China’s poverty-stricken areas from 2013 to 2018. Remote Sens. Environ. 2019, 232, 111285. [Google Scholar] [CrossRef]
- Sun, X.; Lu, H.; Wang, S.; Xu, X.; Zeng, Q.; Lu, X.; Lu, C.; Zhang, W.; Zhang, X.; Dennell, R. Hominin distribution in glacial-interglacial environmental changes in the Qinling Mountains range, central China. Quat. Sci. Rev. 2018, 198, 37–55. [Google Scholar] [CrossRef]
- Qi, G.; Bai, H.; Zhao, T.; Meng, Q.; Zhang, S. Sensitivity and areal differentiation of vegetation responses to hydrothermal dynamics on the northern and southern slopes of the Qinling Mountains in Shaanxi province. J. Geogr. Sci. 2021, 31, 785–801. [Google Scholar] [CrossRef]
- Zhao, T.; Bai, H.; Yuan, Y.; Deng, C.; Qi, G.; Zhai, D. Spatio-temporal differentiation of climate warming (1959–2016) in the middle Qinling Mountains of China. J. Geogr. Sci. 2020, 30, 657–668. [Google Scholar] [CrossRef]
- Shang, X.; He, Z.; Chen, W.; He, L.; Yang, H. Changes and response mechanisms of leaf area index and evapotranspiration in the typical natural landscapes of the Loess Plateau in northern Shaanxi of China under the human intervention. Ecol. Indic. 2023, 154, 110517. [Google Scholar] [CrossRef]
- Zou, C.; Zhu, J.; Lou, K.; Yang, L. Coupling coordination and spatiotemporal heterogeneity between urbanization and ecological environment in Shaanxi Province, China. Ecol. Indic. 2022, 141, 109152. [Google Scholar] [CrossRef]
- Taibai County People’s Government. Notice of General Office of Shaanxi Provincial People’s Government on Issuing the Overall Plan for Ecological and Environmental Protection of Qinling Mountains. Available online: https://www.taibai.gov.cn/art/2021/2027/2013/art_7770_2821.html (accessed on 15 December 2021).
- Zhang, D.; Zhang, X.; Bai, X.; Peng, J. A Dataset of 1km Grid Road Network Density in China (2019). Available online: https://cstr.cn/31253.11.sciencedb.02938 (accessed on 12 October 2023).
- Zhejiang Provincial Market Supervision and Administration Bureau. Technical Specification for Accounting Gross Ecosystem Product (GEP)—Terrestrial Ecosystems. DB33/T 2274-2020. Available online: http://zjamr.zj.gov.cn/art/2020/9/29/art_1229047334_58814039.html (accessed on 12 October 2023).
- Ni, R.; Wang, F.; Yu, J. Spatiotemporal changes in sustainable development and its driving force in the Yangtze River Delta region, China. J. Clean. Prod. 2022, 379, 134751. [Google Scholar] [CrossRef]
- Wen, Y.; Sun, Q.; Yan, Y.; Xiao, M.; Song, W.; Yang, J. Impacts of the terrestrial ecosystem changes on the carbon fixation and oxygen release services in the Guangdong-Hong Kong-Macao Greater Bay Area. Acta Ecol. Sin. 2020, 40, 8482–8493. [Google Scholar]
- Ma, G.; Yu, F.; Wang, J.; Zhou, X.; Yuan, J.; Mou, X.; Zhou, Y.; Yang, W.; Peng, F. Measuring gross ecosystem product (GEP) of 2015 for terrestrial ecosystems in China. China Environ. Sci. 2017, 37, 1474–1482. [Google Scholar]
- Guo, X.; Fang, C.; Mu, X.; Chen, D. Coupling and coordination analysis of urbanization and ecosystem service value in Beijing-Tianjin-Hebei urban agglomeration. Ecol. Indic. 2022, 137, 108782. [Google Scholar] [CrossRef]
- Sun, Y.; Liu, S.; Dong, Y.; An, Y.; Shi, F.; Dong, S.; Liu, G. Spatio-temporal evolution scenarios and the coupling analysis of ecosystem services with land use change in China. Sci. Total Environ. 2019, 681, 211–225. [Google Scholar] [CrossRef] [PubMed]
- Ding, T.; Chen, J.; Fang, Z.; Chen, J. Assessment of coordinative relationship between comprehensive ecosystem service and urbanization: A case study of Yangtze River Delta urban Agglomerations, China. Ecol. Indic. 2021, 133, 108454. [Google Scholar] [CrossRef]
- Yang, Y.; Bao, W.; Liu, Y. Coupling coordination analysis of rural production-living-ecological space in the Beijing-Tianjin-Hebei region. Ecol. Indic. 2020, 117, 106512. [Google Scholar] [CrossRef]
- Zhang, Y.; He, Y.; Li, Y.; Jia, L. Spatiotemporal variation and driving forces of NDVI from 1982 to 2015 in the Qinba Mountains, China. Environ. Sci. Pollut. Res. Int. 2022, 29, 52277–52288. [Google Scholar] [CrossRef] [PubMed]
- Li, L.; Fan, Z.; Feng, W.; Yuxin, C.; Keyu, Q. Coupling coordination degree spatial analysis and driving factor between socio-economic and eco-environment in northern China. Ecol. Indic. 2022, 135, 108555. [Google Scholar] [CrossRef]
- Hu, Z.; Gong, J.; Li, J.; Li, R.; Zhang, Z.; Zhong, F.; Wen, C. Valuing the coordinated development of urbanization and ecosystem service value in border counties. J. Clean. Prod. 2023, 415, 137799. [Google Scholar] [CrossRef]
- Weiskopf, S.R.; Rubenstein, M.A.; Crozier, L.G.; Gaichas, S.; Griffis, R.; Halofsky, J.E.; Hyde, K.J.W.; Morelli, T.L.; Morisette, J.T.; Munoz, R.C.; et al. Climate change effects on biodiversity, ecosystems, ecosystem services, and natural resource management in the United States. Sci. Total Environ. 2020, 733, 137782. [Google Scholar] [CrossRef] [PubMed]
- Costanza, R.; de Groot, R.; Sutton, P.; van der Ploeg, S.; Anderson, S.J.; Kubiszewski, I.; Farber, S.; Turner, R.K. Changes in the global value of ecosystem services. Glob. Environ. Chang. 2014, 26, 152–158. [Google Scholar] [CrossRef]
- Li, W.; Cai, Z.; Jin, L. Spatiotemporal characteristics and influencing factors of the coupling coordinated development of production-living-ecology system in China. Ecol. Indic. 2022, 145, 109738. [Google Scholar] [CrossRef]
- Fu, J.; Bu, Z.; Jiang, D.; Lin, G.; Li, X. Sustainable land use diagnosis based on the perspective of production–living–ecological spaces in China. Land Use Policy 2022, 122, 106386. [Google Scholar] [CrossRef]
- Liu, X.; Wang, X.; Chen, K.; Li, D. Simulation and prediction of multi-scenario evolution of ecological space based on FLUS model: A case study of the Yangtze River Economic Belt, China. J. Geogr. Sci. 2023, 33, 373–391. [Google Scholar] [CrossRef]
- Wang, A.; Liao, X.; Tong, Z.; Du, W.; Zhang, J.; Liu, X.; Liu, M. Spatial-temporal dynamic evaluation of the ecosystem service value from the perspective of “production-living-ecological” spaces: A case study in Dongliao River Basin, China. J. Clean. Prod. 2022, 333, 130218. [Google Scholar] [CrossRef]











| Category | Index | Time Resolution | Spatial Resolution | Data Sources |
|---|---|---|---|---|
| Climate data | Precipitation, Temperature, etc. | 2010–2020 | Meteorological station | China Meteorological Data Service Centre (http://data.cma.cn, accessed on 20 June 2021) |
| Runoff | Calculated from meteorological data | |||
| Evaporation | ||||
| Environmental data | Air quality | Observation station | Shaanxi Province air quality monitoring station, accessed on 20 September 2021 | |
| Water environment quality | Shaanxi Provincial Department of Ecology and Environment, accessed on 20 September 2021 | |||
| Remote sensing data | Land use | 2010, 2015, 2020 | 30 m | China Multi-Period Land Use Remote Sensing Monitoring Dataset (CNLUCC) (https://www.resdc.cn, accessed on 6 September 2021) |
| Soil | 2017 | 250 m | Global gridded soil information (https://www.isric.org/explore/soilgrids, accessed on 17 August 2021) | |
| DEM | 2011 | 12.5 m | NASA EARTHDATA Advanced Land Observing Satellite data (https://search.earthdata.nasa.gov/search, accessed on 15 August 2021) | |
| NPP | 2010, 2015, 2020 | 500 m | NASA’s Land Processes Distributed Active Archive Center (https://e4ftl01.cr.usgs.gov/, accessed on 23 October 2021) | |
| NDVI | 2010, 2015, 2020 | 1000 m | MODIS/Terra Vegetation Indices Monthly L3 Global 1 km SIN Grid V006, NASA EOSDIS Land Processes DAAC (https://search.earthdata.nasa.gov/search, accessed on 28 April 2022) | |
| Social economic data | Density of road network | 2019 | 1000 m | A dataset of 1 km Grid Road network density in China (2019) (https://cstr.cn/31253.11.sciencedb.02938, accessed on 12 October 2023) [41] |
| GDP, Population, Water price, Agricultural product price, Tourist income, etc. | 2011, 2016, 2021 | District- county scale | Shaanxi provincial statistical yearbook, Shaanxi provincial tourism development statistical Bulletin, Shaanxi water conservancy statistical yearbook |
| Categoriy | Accounting ES | Material Quantity Method | Monetary Value Method |
|---|---|---|---|
| Provisioning ecosystem service | Agricultural products | Statistical survey method | market value |
| Forestry products | |||
| Animal husbandry products | |||
| Fishery products | |||
| Water resources | |||
| Regulating ecosystem service | Water conservation service | water balance equation | shadow project |
| Water purification service | empirical method | replacement cost | |
| Flood regulating service | empirical method | shadow project | |
| Carbon sequestration service | Vegetation photosynthesis model | market value | |
| Oxygen release service | |||
| Air purification service | empirical method | replacement cost | |
| Climate regulating service | Ecosystem Evapotranspiration Model | replacement cost | |
| Soil conservation service | RUSLE model | replacement cost | |
| Cultural ecosystem service | Ecological tourism service | Statistical survey method | replacement cost |
| Gross Ecosystem Product | Total value of 14 ES types | - | accumulation |
| Level | Classification | CCD | Relative Development Degree (RDD) | CCD Features | Type |
|---|---|---|---|---|---|
| 1 | Severe unbalance | 0 < D ≤ 0.2 | 0 < RDD ≤ 0.9 | Severe unbalance—GEP lag | SU—GEP lag |
| 0.9 < RDD ≤ 1.1 | Severe unbalance | SU—Balance | |||
| 1.1 < RDD | Severe unbalance—GDP lag | SU—GDP lag | |||
| 2 | Moderate unbalance | 0.2 < D ≤ 0.4 | 0 < RDD ≤ 0.9 | Moderate unbalance—GEP lag | MU—GEP lag |
| 0.9 < RDD ≤ 1.1 | Moderate unbalance | MU—Balance | |||
| 1.1 < RDD | Moderate unbalance—GDP lag | MU—GDP lag | |||
| 3 | Slight coordination | 0.4 < D ≤ 0.6 | 0 < RDD ≤ 0.9 | Slight coordination—GEP lag | SC—GEP lag |
| 0.9 < RDD ≤ 1.1 | Slight coordination | SC—Balance | |||
| 1.1 < RDD | Slight coordination—GDP lag | SC—GDP lag | |||
| 4 | Moderate coordination | 0.6 < D ≤ 0.8 | 0 < RDD ≤ 0.9 | Moderate coordination—GEP lag | MC—GEP lag |
| 0.9 < RDD ≤ 1.1 | Moderate coordination | MC—Balance | |||
| 1.1 < RDD | Moderate coordination—GDP lag | MC—GDP lag | |||
| 5 | High coordination | 0.8 < D ≤ 1 | 0 < RDD ≤ 0.9 | High coordination—GEP lag | HC—GEP lag |
| 0.9 < RDD ≤ 1.1 | High coordination | HC—Balance | |||
| 1.1 < RDD | High coordination—GDP lag | HC—GDP lag |
| Type | Factor | Abbreviation | Code | Unit |
|---|---|---|---|---|
| Geographical conditions | Temperature | TEM | X1 | °C |
| Precipitation | PRE | X2 | mm | |
| Altitude | Altitude | X3 | m | |
| Slope | Slope | X4 | ° | |
| NDVI | NDVI | X5 | - | |
| Landscape features | Aggregation index | AGI | X6 | % |
| Landscape shape index | LSI | X7 | - | |
| Shannon diversity index | SDI | X8 | - | |
| Shannon evenness index | SEI | X9 | - | |
| Contagion index | CAI | X10 | % | |
| Social economic features | Road network density | RND | X11 | km/100 km2 |
| Population density | POD | X12 | persons/km2 |
Disclaimer/Publisher’s Note: The statements, opinions and data contained in all publications are solely those of the individual author(s) and contributor(s) and not of MDPI and/or the editor(s). MDPI and/or the editor(s) disclaim responsibility for any injury to people or property resulting from any ideas, methods, instructions or products referred to in the content. |
© 2024 by the authors. Licensee MDPI, Basel, Switzerland. This article is an open access article distributed under the terms and conditions of the Creative Commons Attribution (CC BY) license (https://creativecommons.org/licenses/by/4.0/).
Share and Cite
Wang, P.; Chen, Y.; Liu, K.; Li, X.; Zhang, L.; Chen, L.; Shao, T.; Li, P.; Yang, G.; Wang, H.; et al. Coupling Coordination Relationship and Driving Force Analysis between Gross Ecosystem Product and Regional Economic System in the Qinling Mountains, China. Land 2024, 13, 234. https://doi.org/10.3390/land13020234
Wang P, Chen Y, Liu K, Li X, Zhang L, Chen L, Shao T, Li P, Yang G, Wang H, et al. Coupling Coordination Relationship and Driving Force Analysis between Gross Ecosystem Product and Regional Economic System in the Qinling Mountains, China. Land. 2024; 13(2):234. https://doi.org/10.3390/land13020234
Chicago/Turabian StyleWang, Pengtao, Yuxuan Chen, Kang Liu, Xupu Li, Liwei Zhang, Le Chen, Tianjie Shao, Peilin Li, Guoqing Yang, Hui Wang, and et al. 2024. "Coupling Coordination Relationship and Driving Force Analysis between Gross Ecosystem Product and Regional Economic System in the Qinling Mountains, China" Land 13, no. 2: 234. https://doi.org/10.3390/land13020234
APA StyleWang, P., Chen, Y., Liu, K., Li, X., Zhang, L., Chen, L., Shao, T., Li, P., Yang, G., Wang, H., Gao, S., & Yan, J. (2024). Coupling Coordination Relationship and Driving Force Analysis between Gross Ecosystem Product and Regional Economic System in the Qinling Mountains, China. Land, 13(2), 234. https://doi.org/10.3390/land13020234

