Predicting Soil Properties for Agricultural Land in the Caucasus Mountains Using Mid-Infrared Spectroscopy
Abstract
1. Introduction
1.1. The Use of Spectroscopy to Predict Soil Properties
1.2. A Brief Review on the Use of Handheld MIR-FTIR
2. Materials and Methods
2.1. Study Area and Soil Sampling
2.2. Chemical Analyses
2.3. Mid-Infrared Reflectance Measurements and Pre-Processing of Spectra
2.4. Partial Least Squares Regression Model Calibration and Validation
2.5. Spectra Characterization and Analysis of Prediction Mechanisms
3. Results
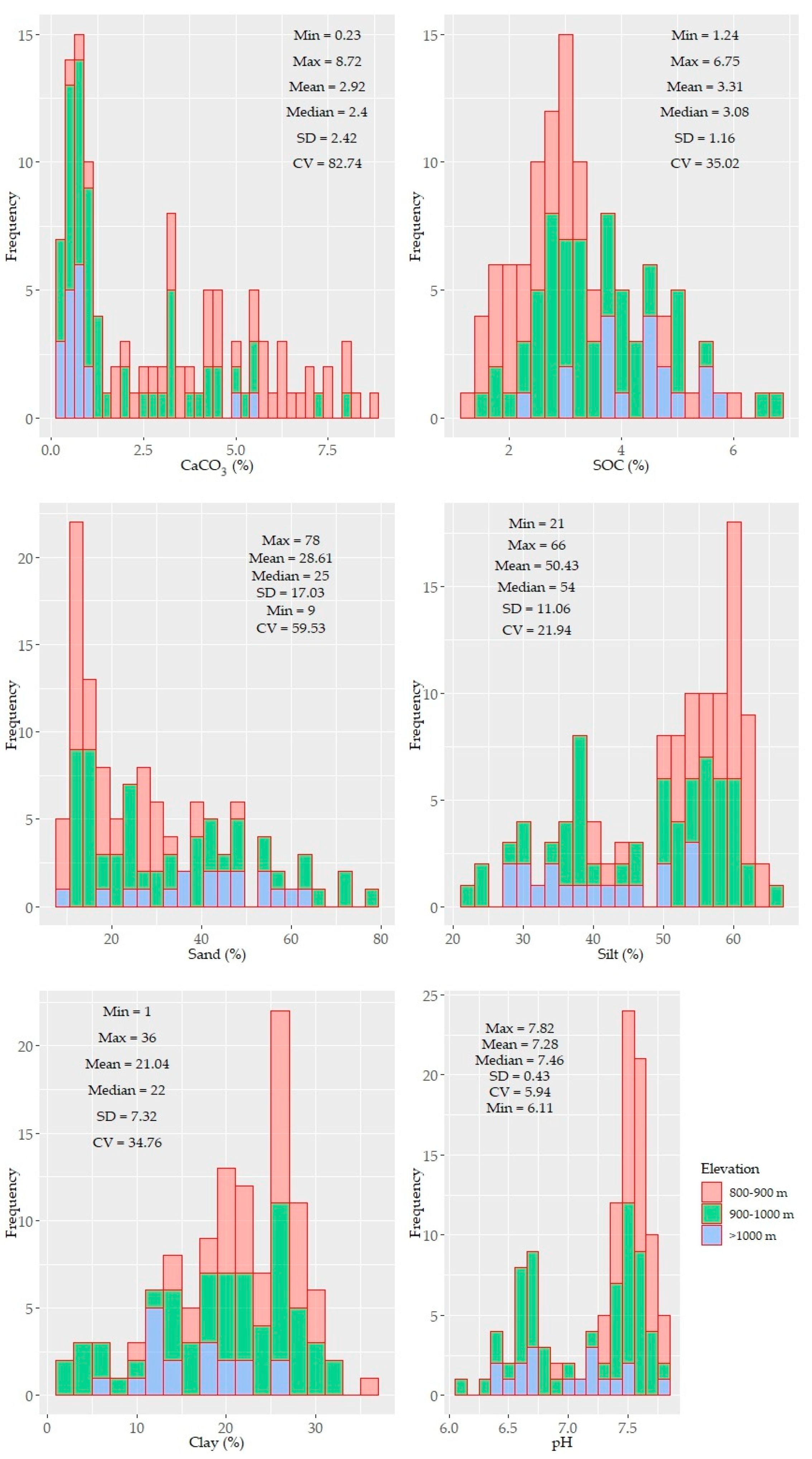
3.1. Soil Characteristics and Reference Data
3.2. Influence of Spectral Pre-Processing Methods on the PLSR Model Calibration
3.3. Spectral Soil Properties
3.4. Prediction Mechanism
4. Discussion
4.1. Soil Characteristics
4.2. Model Performance
4.3. Prediction Mechanism
4.3.1. Correlation Patterns
4.3.2. Principal Component Analysis
4.3.3. Partial Correlation Analysis
5. Conclusions
Author Contributions
Funding
Institutional Review Board Statement
Informed Consent Statement
Data Availability Statement
Acknowledgments
Conflicts of Interest
References
- Viscarra Rossel, R.A.; Behrens, T.; Ben-Dor, E.; Brown, D.J.; Demattê, J.A.M.; Shepherd, K.D.; Shi, B.; Stenberg, A.; Stevens, V.; Adamchuk, H.; et al. A global spectral library to characterize the world’s soil. Earth-Sci. Rev. 2016, 155, 198–230. [Google Scholar] [CrossRef]
- Viscarra Rossel, R.A.; Behrens, T.; Ben- Dor, E.; Chabrillat, S.; Demattê, J.A.M.; Ge, Y.; Gomez, C.; Guerrero, C.; Peng, Y.; Ramirez Lopez, L.; et al. Diffuse reflectance spectroscopy for estimating soil properties: A technology for the 21st century. Eur. J. Soil Sci. 2022, 73, e13271. [Google Scholar] [CrossRef]
- Viscarra Rossel, R.A.; Walvoort, D.J.J.; McBratney, A.B.; Janik, L.J.; Skjemstad, J.O. Visible, Near-Infrared, Mid-Infrared or Combined Diffuse Reflectance Spectroscopy for Simultaneous Assessment of Various Soil Properties. Geoderma 2006, 131, 59–75. [Google Scholar] [CrossRef]
- Haghi, R.K.; Pérez-Fernández, E.; Robertson, A.H.J. Prediction of various soil properties for a national spatial dataset of Scottish soils based on four different chemometric approaches: A comparison of near infrared and mid-infrared spectroscopy. Geoderma 2021, 396, 115071. [Google Scholar] [CrossRef]
- Terra, F.S.; Demattê, J.A.M.; Viscarra Rossel, R. Spectral libraries for quantitative analyses of tropical Brazilian soils: Comparing vis-NIR and mid-IR reflectance data. Geoderma 2015, 255–256, 81–93. [Google Scholar] [CrossRef]
- Weindorf, D.C.; Bakr, N.; Zhu, Y.D. Advances in portable X-ray fluorescence (PXRF) for environmental, pedological, and agronomic applications. Adv. Agron. 2014, 128, 1–45. [Google Scholar] [CrossRef]
- Parikh, S.J.; Goyne, K.W.; Margenot, A.J.; Mukome, F.N.D.; Calder’on, F.J. Soil Chemical Insights Provided through Vibrational Spectroscopy. In Advances in Agronomy; Sparks, D.L., Ed.; Academic Press: Burlington, MA, USA, 2014; Volume 126, pp. 1–148. [Google Scholar] [CrossRef]
- Bellon-Maurel, V.; McBratney, A. Near-infrared (NIR) and mid-infrared (MIR) spectroscopic techniques for assessing the amount of carbon stock in soils—Critical review and research perspectives. Soil Biol. Biochem. 2011, 43, 1398–1410. [Google Scholar] [CrossRef]
- Ng, W.; Minasny, B.; Jeon, H.S.; McBratney, A. Mid-infrared spectroscopy for accurate measurement of an extensive set of soil properties for assessing soil functions. Soil Secur. 2022, 6, 100043. [Google Scholar] [CrossRef]
- Rial, M.; Cortizas, A.M.; Rodríguez-Lado, L. Mapping soil organic carbon content using spectroscopic and environmental data: A case study in acidic soils from NW Spain. Sci. Total Environ. 2016, 539, 26–35. [Google Scholar] [CrossRef]
- Sanderman, J.; Savage, K.; Dangal, S.R.S. Mid-infrared spectroscopy for prediction of soil health indicators in the United States. Soil Sci. Soc. Am. J. 2020, 84, 251–261. [Google Scholar] [CrossRef]
- Vasques, G.M.; Demattê, J.A.M.; Viscarra Rossel, R.A.; Ramírez-López, L.; Terra, F.S. Soil classification using visible/near-infrared diffuse reflectance spectra from multiple depths. Geoderma 2014, 223–225, 73–78. [Google Scholar] [CrossRef]
- Naimi, S.; Ayoubi, S.; Di Loreto, L.A.; Dematte, J.A.M. Quantification of some intrinsic soil properties using proximal sensing in arid lands: Application of Vis-NIR, MIR and pXRF spectroscopy. Geoderma Reg. 2022, 28, e00484. [Google Scholar] [CrossRef]
- McCarty, G.W.; Reeves, J.B. III. Comparison of near infrared and mid infrared diffuse reflectance spectroscopy for field-scale measurement of soil fertility parameters. Soil Sci. 2006, 171, 94–102. [Google Scholar] [CrossRef]
- Hutengs, C.; Seidel, M.; Oertel, F.; Ludwig, B.; Vohland, M. In situ and laboratory soil spectroscopy with portable visible-to-near-infrared and mid-infrared instruments for the assessment of organic carbon in soils. Geoderma 2019, 355, 113900. [Google Scholar] [CrossRef]
- Ludwig, B.; Murugan, R.; Parama, V.R.R.; Vohland, M. Accuracy of estimating soil properties with mid-infrared spectroscopy: Implications of different chemometric approaches and software packages related to calibration sample size. Soil Sci. Soc. Am. J. 2019, 83, 1542–1552. [Google Scholar] [CrossRef]
- Riedel, F.; Denk, M.; Müller, I.; Barth, N.; Gläßer, C. Prediction of soil parameters using the spectral range between 350 and 15,000nm: A case study based on the Permanent Soil Monitoring Program in Saxony, Germany. Geoderma 2018, 315, 188–198. [Google Scholar] [CrossRef]
- Vohland, M.; Ludwig, B.; Seidel, M.; Hutengs, C. Quantification of soil organic carbon at regional scale: Benefits of fusing vis-NIR and MIR diffuse reflectance data are greater for in situ than for laboratory-based modelling approaches. Geoderma 2022, 405, 115426. [Google Scholar] [CrossRef]
- Ng, W.; Minasny, B.; Montazerolghaem, M.; Padarian, J.; Ferguson, R.; Bailey, S.; McBratney, A.B. Convolutional neural network for simultaneous prediction of several soil properties using visible/near-infrared, mid-infrared, and their combined spectra. Geoderma 2019, 352, 251–267. [Google Scholar] [CrossRef]
- Soriano-Disla, J.M.; Janik, L.J.; Rossel, R.A.V.; Macdonald, L.M.; Laughli, M.J. The performance of visible, near-, and mid-infrared reflectance spectroscopy for prediction of soil physical, chemical, and biological properties. Appl. Spectrosc. Rev. 2014, 49, 139–186. [Google Scholar] [CrossRef]
- Stenberg, B.; Viscarra Rossel, R.A.; Mouazen, A.M.; Wetterlind, J. 2010. Visible and near infrared spectroscopy in soil science. In Advances in Agronomy; Sparks, D.L., Ed.; Academic Press: Burlington, MA, USA, 2010; Volume 107, pp. 163–215. [Google Scholar]
- Vohland, M.; Ludwig, M.; Thiele-Bruhn, S.; Ludwig, B. Determination of soil properties with visible to near- and mid-infrared spectroscopy: Effects of spectral variable selection. Geoderma 2014, 223–225, 88–96. [Google Scholar] [CrossRef]
- Baumann, P.; Helfenstein, A.; Gubler, A.; Keller, A.; Meuli, R.G.; Wächter, D.; Lee, J.; Viscarra Rossel, R.; Six, J. Developing the Swiss mid-infrared soil spectral library for local estimation and monitoring. Soil 2021, 7, 525–546. [Google Scholar] [CrossRef]
- Margenot, A.J.; Calderón, F.J.; Goyne, K.W.; Mukome, F.N.D.; Parikh, S.J. IR Spectroscopy, Soil Analysis Applications. In Encyclopedia of Spectroscopy and Spectrometry, 3rd ed.; Lindon, J.C., Tranter, G.E., Koppenaal, D., Eds.; Academic Press: Cambridge, MA, USA, 2017; pp. 448–454. [Google Scholar]
- Greenberg, I.; Vohland, M.; Seidel, M.; Hutengs, C.; Bezard, R.; Ludwig, B. Evaluation of mid-infrared and X-ray fluorescence data fusion approaches for prediction of soil properties at the field scale. Sensors 2023, 23, 662. [Google Scholar] [CrossRef]
- Li, X.; Pan, W.; Li, D.; Gao, W.; Zeng, R.; Zheng, G.; Cai, K.; Zeng, Y.; Jiang, C. Can fusion of vis-NIR and MIR spectra at three levels improve the prediction accuracy of soil nutrients? Geoderma 2024, 41, 116754. [Google Scholar] [CrossRef]
- Mammadov, E.; Denk, M.; Riedel, F.; Kazmierowski, C.; Lewinska, K.; Łukowiak, R.; Grzebisz, W.; Mamedov, A.I.; Glaesser, C. Determination of Mehlich 3 Extractable Elements with Visible and Near Infrared Spectroscopy in a Mountainous Agricultural Land, the Caucasus Mountains. Land 2022, 11, 363. [Google Scholar] [CrossRef]
- Seidel, M.; Vohland, V.; Greenberg, I.; Ludwig, B.; Ortner, M.; Thiele-Bruhn, S.; Hutengs, C. Soil moisture effects on predictive VNIR and MIR modeling of soil organic carbon and clay content. Geoderma 2022, 427, 116103. [Google Scholar] [CrossRef]
- Seybold, C.A.; Ferguson, R.; Wysocki, D.; Bailey, S.; Anderson, J.; Nester, B.; Schoeneberger, P.; Wills, S.; Libohova, Z.; Hoover, D.; et al. Application of mid-infrared spectroscopy in soil survey. Soil Sci. Soc. Am. J. 2019, 83, 1746–1759. [Google Scholar] [CrossRef]
- Breure, T.S.; Prout, J.M.; Haefele, S.M.; Milne, A.E.; Hannam, J.A.; Moreno-Rojas, S.; Corstanje, R. Comparing the effect of different sample conditions and spectral libraries on the prediction accuracy of soil properties from near- and mid-infrared spectra at the field-scale. Soil Tillage Res. 2022, 215, 105196. [Google Scholar] [CrossRef] [PubMed]
- Dong, Y.W.; Yang, S.Q.; Xu, C.Y.; Li, Y.Z.; Bai, W.; Fan, Z.N.; Wang, Y.N.; Li, Q.Z. Determination of soil parameters in apple-growing regions by near- and mid-infrared spectroscopy. Pedosphere 2011, 21, 591–602. [Google Scholar] [CrossRef]
- Metzger, K.; Zhang, C.; Daly, K. From benchtop to handheld MIR for soil analysis: Predicting lime requirement and organic matter in agricultural soils. Biosyst. Eng. 2021, 204, 257–269. [Google Scholar] [CrossRef]
- Yin, J.; Shi, Z.; Li, B.; Sun, F.; Miao, T.; Shi, Z.; Chen, S.; Yang, M.; Ji, W. Prediction of soil properties in a field in typical black soil areas using in situ MIR spectra and its comparison with vis-NIR spectra. Remote Sens. 2023, 15, 2053. [Google Scholar] [CrossRef]
- Hutengs, C.; Ludwig, B.; Jung, A.; Eisele, A.; Vohland, M. Comparison of Portable and Bench-Top Spectrometers for Mid-Infrared Diffuse Reflectance Measurements of Soils. Sensors 2018, 18, 993. [Google Scholar] [CrossRef] [PubMed]
- Pätzold, S.; Leenen, M.; Frizen, P.; Heggemann, T.; Wagner, P.; Rodionov, A. Predicting plant available phosphorus using infrared spectroscopy with consideration for future mobile sensing applications in precision farming. Precis. Agric. 2020, 21, 737–761. [Google Scholar] [CrossRef]
- Wehrle, R.G.; Welp, S. Pätzold. Total and hot-water extractable organic carbon and nitrogen in organic soil amendments: Their prediction using portable mid-infrared spectroscopy with support vector machines. Agronomy 2021, 11, 659. [Google Scholar] [CrossRef]
- Forrester, S.T.; Janik, L.J.; Soriano-Disla, J.M.; Mason, S.; Burkitt, L.; Moody, P.; Gourley, C.J.P.; McLaughlin, M.J. Use of handheld mid-infrared spectroscopy and partial least-squares regression for the prediction of the phosphorus buffering index in Australian soils. Soil Res. 2015, 53, 67. [Google Scholar] [CrossRef]
- Greenberg, I.; Seidel, M.; Vohland, M.; Ludwig, B. Performance of field-scale lab vs in situ visible/near- and mid-infrared spectroscopy for estimation of soil properties. Eur. J. Soil Sci. 2021, 73, e13180. [Google Scholar] [CrossRef]
- IUSS Working Group WRB. World reference base for soil resources 2014, update 2015. In International Soil Classification System for Naming Soils and Creating Legends for Soil Maps. World Soil Resource Reports No. 106; FAO: Rome, Italy, 2015; p. 239. [Google Scholar]
- NASA JPL. NASA Shuttle Radar Topography Mission Global 1 arc Second [Data Set]. NASA EOSDIS Land Processes Distributed Active Archive Center. 2013. Available online: https://lpdaac.usgs.gov/products/srtmgl1v003/ (accessed on 11 July 2018). [CrossRef]
- Mammadov, E.; Nowosad, J.; Glaesser, C. Estimation and mapping of surface soil properties in the Caucasus Mountains, Azerbaijan using high-resolution remote sensing data. Geoderma Reg. 2021, 26, e00411. [Google Scholar] [CrossRef]
- Burt, R. (Ed.) Soil Survey Staff, Soil Survey Field and Laboratory Methods Manual, Soil Survey Investigations Report No. 51; Version 2.0.; U.S. Department of Agriculture, Natural Resources Conservation Service: Redmond, OR, USA, 2014; 487p.
- Nelson, D.; Sommers, L. Total Carbon, Organic Carbon, and Organic Matter. In Methods of Soil Analysis, 2nd ed.; Part 2; Sparks, D.L., Ed.; American Society of Agronomy/Soil Science Society of America: Madison, WI, USA, 1996; pp. 961–1010. [Google Scholar]
- Sparks, D.L.; Fendorf, S.E.; Toner, C.V.; Carski, T.H. Kinetic Methods and Measurements. In Methods of Soil Analysis; Part 3—Chemical Methods; Sparks, D.L., Ed.; SSSA Book Series: Madison, WI, USA, 1996; pp. 1275–1307. [Google Scholar]
- Gee, G.; Bauder, J. Physical and Mineralogical Methods: Particle-Size Analysis. In Methods of Soil Analysis, 2nd ed.; Agronomy Monograph, Part 1; Klute, A., Ed.; American Society of Agronomy/Soil Science Society of America: Madison, WI, USA, 1986; pp. 383–411. [Google Scholar]
- Bloesch, P.M. Prediction of the CEC to clay ratio using mid-infrared spectroscopy. Soil Res. 2012, 50, 1–6. [Google Scholar] [CrossRef]
- Mehlich, A. Mehlich 3 soil test extractant: A modification of Mehlich 2 extractant. Commun. Soil Sci. Plant Anal. 2008, 15, 1409–1416. [Google Scholar] [CrossRef]
- Zbíral, J. Determination of Plant-Available Micronutrients by the Mehlich 3 Soil Extractant–a Proposal of Critical Values. Plant Soil Environ. 2016, 62, 527–531. [Google Scholar] [CrossRef]
- Ameyan, O. Surface soil variability of a map unit on Niger river alluvium. Soil Sci. Soc. Am. J. 1984, 50, 1289–1293. [Google Scholar] [CrossRef]
- Evans, J. Straightforward Statistics for the Behavioral Sciences; Brooks/Cole Publishing: Pacific Grove, CA, USA, 1996; 600p. [Google Scholar]
- R Development Core Team. R: A Language and Environment for Statistical Computing; R Foundation for Statistical Computing: Vienna, Austria, 2019; Available online: https://www.cran.r-project.org (accessed on 1 November 2021).
- Tian, Y.; Zhang, J.; Yao, X.; Cao, W.; Zhu, Y. Laboratory assessment of three quantitative methods for estimating the organic matter content of soils in China based on visible/near-infrared reflectance spectra. Geoderma 2013, 202, 161–170. [Google Scholar] [CrossRef]
- Savitzky, A.; Golay, M. Smoothing and differentiation of data by simplified least squares procedures. Anal. Chem. 1964, 36, 1627–1639. [Google Scholar] [CrossRef]
- Geladi, P.; McDougall, D.; Martens, H. Linearization and scatter correction for near infrared reflectance spectra of meat. Appl. Spectrosc. 1985, 39, 491–500. [Google Scholar] [CrossRef]
- Clark, R.; Roush, T. Reflectance spectroscopy quantitative analysis techniques for remote sensing applications. J. Geophys. Res. 1984, 89, 6329–6340. [Google Scholar] [CrossRef]
- Barnes, R.; Dhanoa, M.; Lister, S. Standard normal variate transformation and de-trending of near-infrared diffuse reflectance spectra. Appl. Spectrosc. 1989, 43, 772–777. [Google Scholar] [CrossRef]
- Mammadov, E.; Denk, M.; Riedel, F.; Lewinska, K.; Ka´zmierowski, C.; Glaesser, C. Visible and Near-Infrared Reflectance Spectroscopy for assessment of soil properties in the Caucasus Mountains, Azerbaijan. Commun. Soil Sci. Plant Anal. 2020, 51, 2111–2136. [Google Scholar] [CrossRef]
- Stevens, A.; Ramirez-Lopez, L. An Introduction to the Prospectr Package in R. Available online: https://CRAN.R-project.org/package=prospectr/vignettes/prospectr.html (accessed on 9 June 2014).
- Geladi, P.; Kowalski, B. Partial least-squares regression: A tutorial. Anal. Chimica. Acta. 1986, 185, 1–17. [Google Scholar] [CrossRef]
- Wold, S.; Eriksson, L.; Trygg, J.; Kettaneh, N. The PLS Method—Partial Least Squares Projections to Latent Structures—And Its Applications in Industrial RDP (Research, Development, and Production); Technical Report for PLS in Industrial RPD (Research, Development, and Production); Umea University: Umeå, Sweden, 2004; pp. 1–44. [Google Scholar]
- Efron, B.; Tibshir, R. An Introduction to the Bootstrap; Chapman Hall/CRC Press: Boca Raton, FL, USA, 1994; 430p. [Google Scholar]
- Akaike, H. Akaike’s Information Criterion. In International Encyclopedia of Statistical Science; Lovric, M., Ed.; Springer: Berlin/Heidelberg, Germany, 2011; pp. 25–29. [Google Scholar]
- Williams, P. Near-Infrared Technology in the Agricultural and Food Industries; Williams, P., Norris, K., Eds.; American Association of Cereal Chemists: Saint Paul, MN, USA, 2001; pp. 35–55. [Google Scholar]
- Mevik, B.; Wehrens, R. The pls package: Principal component and partial least squares regression in R. J. Stat. Softw. 2007, 18, 1–24. [Google Scholar] [CrossRef]
- Wang, J.J.; Cui, L.J.; Gao, W.X.; Shi, T.Z.; Chen, Y.Y.; Gao, Y. Prediction of low heavy metal concentrations in agricultural soils using visible and near-infrared reflectance spectroscopy. Geoderma 2014, 216, 1–9. [Google Scholar] [CrossRef]
- Wu, Y.; Chen, J.; Ji, J.; Gong, P.; Liao, Q.; Tian, Q.; Ma, H. A mechanism study of reflectance spectroscopy for investigating heavy metals in soils. Soil Sci. Soc. Am. J. 2007, 71, 918–926. [Google Scholar] [CrossRef]
- Cheng, H.; Shen, R.; Chen, Y.; Wan, Q.; Shi, T.; Wang, J.; Wan, Y.; Hong, Y.; Li, X. Estimating heavy metal concentrations in suburban soils with reflectance spectroscopy. Geoderma 2019, 336, 59–67. [Google Scholar] [CrossRef]
- Stuart, B. Infrared Spectroscopy: Fundamentals and Applications; John Wiley & Sons Ltd.: West Sussex, UK, 2004. [Google Scholar]
- Rowley, M.C.; Grand, S.; Verrecchia, E.P. Calcium—Mediated stabilization of soil organic carbon. Biogeochemistry 2018, 137, 27–49. [Google Scholar] [CrossRef]
- Golia, E.E.; Diakoloukas, V. Soil parameters affecting the levels of potentially harmful metals in Thessaly area, Greece: A robust quadratic regression approach of soil pollution prediction. Environ. Sci. Pollut. Res. 2021, 29, 29544–29561. [Google Scholar] [CrossRef]
- Mamedov, A.I.; Tsunekawa, A.; Tsubo, M.; Fujimaki, H.; Kawai, T.; Kebede, B.; Mulualem, T.; Abebe, G.; Wubet, A.; Levy, G.J. Soil structure stability under different land uses in association with polyacrylamide effects. Sustainability 2021, 13, 1407. [Google Scholar] [CrossRef]
- Asgari, N.; Ayoubi, S.; Demattê, J.A.M.; Dotto, A.C. Carbonates and organic matter in soils characterized by reflected energy from 350–25000 nm wavelength. J. Mt. Sci. 2020, 17, 1636–1651. [Google Scholar] [CrossRef]
- Knox, N.M.; Grunwald, S.; McDowell, M.L.; Bruland, G.L.; Myers, D.B.; Harris, W.G. Modelling soil carbon fractions with visible near-infrared (VNIR) and mid-infrared (MIR) spectroscopy. Geoderma 2015, 239–240, 229–239. [Google Scholar] [CrossRef]
- Tatzber, M.; Mutsch, F.; Mentler, A.; Leitgeb, E.; Englisch, M.; Gerzabek, M.H. Determination of Organic and Inorganic Carbon in Forest Soil Samples by Mid-Infrared Spectroscopy and Partial Least Squares Regression. Appl. Spectrosc. 2010, 64, 1167–1175. [Google Scholar] [CrossRef]
- Comstock, J.P.; Sherpa, S.R.; Ferguson, R.; Bailey, S.; Beem-Miller, J.P.; Lin, F.; Wolfe, D.W. Carbonate determination in soils by mid-IR spectroscopy with regional and continental scale models. PLoS ONE 2019, 14, e0210235. [Google Scholar] [CrossRef]
- Nguyen, T.T.; Janik, L.J.; Raupach, M. Diffuse reflectance infrared Fourier transform (DRIFT) spectroscopy in soil studies. Aust. J. Soil Res. 1991, 29, 49–67. [Google Scholar] [CrossRef]
- Silvero, N.E.Q.; Di Raimo, D.L.; Pereira, G.S.; de Magalhães, L.P.; Terra, F.S.; Dassan, M.A.; Salazar, D.F.U.; Demattê, J.A.M. Effects of water, organic matter, and iron forms in mid-IR spectra of soils: Assessments from laboratory to satellite-simulated data. Geoderma 2020, 375, 114480. [Google Scholar] [CrossRef]
- Janik, L.J.; Soriano-Disla, J.M.; Forrester, S.T.; McLaughlin, M.J. Moisture effects on diffuse reflection infrared spectra of contrasting minerals and soils: A mechanistic interpretation. Vib. Spectrosc. 2016, 86, 244–252. [Google Scholar] [CrossRef]










| Soil Property | Wavelength Range | Spectral Pre-Processing | NF | Cross-Validation (n = 114) | Calibration (n = 88) | Validation (n = 26) | ||||||
|---|---|---|---|---|---|---|---|---|---|---|---|---|
| RMSE | R2 | RPD | RMSE | R2 | RPD | RMSE | R2 | RPD | ||||
| CaCO3 (%) | MIR Vis-NIR | D1 D1 | 9 11 | 0.36 0.81 | 0.99 0.96 | 6.68 2.97 | 0.41 0.83 | 0.99 0.96 | 6.26 3.02 | 0.33 0.99 | 0.99 0.89 | 6.47 2.16 |
| Sand (%) | MIR Vis-NIR | SG D1 | 7 4 | 8.48 8.18 | 0.85 0.81 | 2.01 2.08 | 9.09 8.21 | 0.84 0.82 | 1.82 2.02 | 7.96 8.35 | 0.82 0.81 | 2.30 2.19 |
| Silt (%) | MIR Vis-NIR | D1 D1 | 3 4 | 5.51 5.32 | 0.81 0.82 | 2.01 2.07 | 5.50 5.00 | 0.82 0.85 | 1.99 2.19 | 5.76 5.75 | 0.81 0.81 | 1.98 2.02 |
| Clay (%) | MIR Vis-NIR | SG MSC | 7 11 | 4.14 3.78 | 0.79 0.84 | 1.69 1.85 | 4.05 4.02 | 0.80 0.85 | 1.73 1.75 | 4.65 3.77 | 0.70 0.83 | 1.78 2.20 |
| SOC (%) | MIR Vis-NIR | D1 Ab | 7 16 | 0.41 0.45 | 0.95 0.93 | 2.86 2.53 | 0.45 0.54 | 0.96 0.94 | 2.60 2.19 | 0.34 0.43 | 0.90 0.90 | 3.24 2.16 |
| pH | MIR Vis-NIR | D1 D1 | 8 4 | 0.22 0.36 | 0.90 0.69 | 1.94 1.44 | 0.23 0.35 | 0.90 0.66 | 1.85 1.47 | 0.19 0.37 | 0.86 0.65 | 2.27 1.49 |
| WC (%) | MIR Vis-NIR | SNV SG | 7 9 | 0.60 0.72 | 0.79 0.63 | 1.62 1.38 | 0.60 0.73 | 0.83 0.68 | 1.68 1.39 | 0.69 0.75 | 0.48 0.51 | 1.12 1.15 |
| Ca (mg kg−1) | MIR Vis-NIR | D1 D1 | 7 10 | 131.50 180.60 | 0.92 0.91 | 2.96 2.15 | 143.90 179.80 | 0.92 0.94 | 2.76 2.21 | 112.00 165.10 | 0.92 0.86 | 3.13 2.39 |
| Cd (mg kg−1) | MIR Vis-NIR | Ab D1 | 6 6 | 0.03 0.035 | 0.82 0.80 | 1.94 1.81 | 0.04 0.036 | 0.81 0.82 | 1.72 1.79 | 0.03 0.037 | 0.84 0.74 | 2.45 1.88 |
| Cu (mg kg−1) | MIR Vis-NIR | D1 D1 | 3 10 | 0.30 0.275 | 0.58 0.80 | 1.35 1.47 | 0.33 0.327 | 0.60 0.80 | 1.29 1.31 | 0.22 0.180 | 0.57 0.76 | 1.44 1.74 |
| Fe (mg kg−1) | MIR Vis-NIR | D1 D1 | 6 9 | 10.59 14.66 | 0.89 0.82 | 2.21 1.60 | 10.97 14.79 | 0.91 0.83 | 2.19 1.49 | 10.82 16.31 | 0.80 0.76 | 1.99 1.72 |
| K (mg kg−1) | MIR Vis-NIR | D1 D1 | 6 10 | 89.01 72.21 | 0.78 0.85 | 1.43 1.85 | 93.99 78.93 | 0.81 0.85 | 1.25 1.55 | 89.14 65.32 | 0.70 0.83 | 1.76 2.62 |
| Mg (mg kg−1) | MIR Vis-NIR | MSC D1 | 8 8 | 50.30 67.14 | 0.84 0.73 | 1.85 1.39 | 55.68 74.30 | 0.83 0.75 | 1.66 1.27 | 41.91 66.00 | 0.81 0.62 | 2.31 1.36 |
| Mn (mg kg−1) | MIR Vis-NIR | D1 D1 | 8 10 | 13.27 13.72 | 0.87 0.85 | 1.79 1.73 | 13.67 14.77 | 0.88 0.86 | 1.70 1.57 | 12.01 14.25 | 0.78 0.71 | 2.15 1.81 |
| P (mg kg−1) | MIR Vis-NIR | SqR D1 | 7 8 | 2.32 2.19 | 0.60 0.73 | 1.29 1.36 | 2.51 2.26 | 0.63 0.72 | 1.21 1.25 | 1.81 2.41 | 0.58 0.51 | 1.55 1.43 |
| Pb (mg kg−1) | MIR Vis-NIR | D1 D1 | 6 10 | 0.35 0.37 | 0.93 0.91 | 2.45 2.29 | 0.35 0.38 | 0.93 0.93 | 2.35 2.17 | 0.38 0.396 | 0.84 0.84 | 2.57 2.48 |
| Zn (mg kg−1) | MIR Vis-NIR | D1 D1 | 4 6 | 0.74 0.75 | 0.53 0.56 | 1.22 1.20 | 0.80 0.89 | 0.51 0.54 | 1.13 0.99 | 0.51 0.67 | 0.68 0.57 | 1.67 1.43 |
| Category Controlled | CaCO3 | Clay | Silt | Sand | SOC | pH | WC | Fe | Ca | Mg | K | P |
| Spearman Rho Correlation Coefficient | ||||||||||||
| 0.78 * | 0.62 * | 0.77 * | −0.73 * | −0.58 * | 0.60 * | −0.25 * | −0.61 * | 0.76 * | −0.29 * | 0.42 * | 0.32 * | |
| Partial Correlation Coefficient | ||||||||||||
| CaCO3 | 1 | 0.29 * | 0.32 * | 0.33 * | −0.12 | |||||||
| Clay | 0.76 * | 1 | 0.64 * | −0.37 * | 0.29 * | 0.46 * | ||||||
| Silt | 0.60 * | 0.24 * | 1 | 0.46 * | −0.22 | 0.26 * | 0.34 * | |||||
| Sand | 0.68 * | 0.09 | 0.39 * | 1 | 0.53 * | −0.32 * | 0.26 * | 0.37 * | ||||
| SOC | 0.66 * | 0.52 * | 0.72 * | −0.64 * | 1 | 0.68 * | −0.2 | 0.39 * | 0.24 * | |||
| pH | 0.62 * | 0.54 * | 0.65 * | −0.61 * | −0.35 * | 1 | 0.60 * | 0.12 | 0.34 * | 0.16 | ||
| WC | 0.76 * | 0.66 * | 0.81 * | −0.76 * | −0.54 * | 0.61 * | 1 | 0.78 * | −0.26 * | 0.40 * | 0.30 * | |
| Fe | 0.61 * | 0.61 * | 0.69 * | −0.68 * | −0.33 * | 0.31 * | −0.09 | 1 | 0.59 * | 0.1 | 0.34 * | 0.05 |
| CaCO3 + Clay + Fe | 0.38 * | −0.30 * | −0.1 | −0.01 | −0.22 | 0 | 0.18 | 0.25 * | 0.07 | |||
| Category controlled | CaCO3 | Clay | Silt | Sand | SOC | pH | WC | Cd | Cu | Mn | Pb | Zn |
| Spearman Rho Correlation Coefficient | ||||||||||||
| 0.78 * | 0.62 * | 0.77 * | −0.73 * | −0.58 * | 0.60 * | −0.25 * | 0.65 * | −0.01 | 0.16 | 0.68 * | −0.1 | |
| Partial Correlation Coefficient | ||||||||||||
| CaCO3 | 1 | 0.25 * | 0.05 | 0.16 | 0.25 * | 0.13 | ||||||
| Clay | 0.76 * | 1 | 0.54 * | 0.2 | 0.01 | 0.58 * | −0.18 | |||||
| Silt | 0.60 * | 0.24 * | 1 | 0.26 * | 0.17 | −0.18 | 0.35 * | −0.16 | ||||
| Sand | 0.68 * | 0.09 | 0.39 * | 1 | 0.42 * | 0.23 | −0.09 | 0.47 * | −0.13 | |||
| SOC | 0.66 * | 0.52 * | 0.72 * | −0.64 * | 1 | 0.65 * | 0.21 | 0.19 | 0.66 * | −0.06 | ||
| pH | 0.62 * | 0.54 * | 0.65 * | −0.61 * | −0.35 * | 1 | 0.45 * | 0.06 | −0.18 | 0.47 * | −0.15 | |
| WC | 0.76 * | 0.66 * | 0.81 * | −0.76 * | −0.54 * | 0.61 * | 1 | 071 * | −0.02 | 0.25 * | 0.71 * | −0.1 |
| Fe | 0.61 * | 0.61 * | 0.69 * | −0.68 * | −0.33 * | 0.31 * | −0.09 | 0.45 * | −0.04 | 0.1 | 0.44 * | −0.07 |
| CaCO3 + Clay + Fe | 0.38 * | −0.30 * | −0.1 | −0.01 | −0.22 | 0.11 | 0.24 | 0.03 | 0.14 | 0.06 | ||
Disclaimer/Publisher’s Note: The statements, opinions and data contained in all publications are solely those of the individual author(s) and contributor(s) and not of MDPI and/or the editor(s). MDPI and/or the editor(s) disclaim responsibility for any injury to people or property resulting from any ideas, methods, instructions or products referred to in the content. |
© 2024 by the authors. Licensee MDPI, Basel, Switzerland. This article is an open access article distributed under the terms and conditions of the Creative Commons Attribution (CC BY) license (https://creativecommons.org/licenses/by/4.0/).
Share and Cite
Mammadov, E.; Denk, M.; Mamedov, A.I.; Glaesser, C. Predicting Soil Properties for Agricultural Land in the Caucasus Mountains Using Mid-Infrared Spectroscopy. Land 2024, 13, 154. https://doi.org/10.3390/land13020154
Mammadov E, Denk M, Mamedov AI, Glaesser C. Predicting Soil Properties for Agricultural Land in the Caucasus Mountains Using Mid-Infrared Spectroscopy. Land. 2024; 13(2):154. https://doi.org/10.3390/land13020154
Chicago/Turabian StyleMammadov, Elton, Michael Denk, Amrakh I. Mamedov, and Cornelia Glaesser. 2024. "Predicting Soil Properties for Agricultural Land in the Caucasus Mountains Using Mid-Infrared Spectroscopy" Land 13, no. 2: 154. https://doi.org/10.3390/land13020154
APA StyleMammadov, E., Denk, M., Mamedov, A. I., & Glaesser, C. (2024). Predicting Soil Properties for Agricultural Land in the Caucasus Mountains Using Mid-Infrared Spectroscopy. Land, 13(2), 154. https://doi.org/10.3390/land13020154

