Abstract
Urban parks provide essential ecosystem services (ESs) that enhance human wellbeing. However, discrepancies often arise between objective assessments of these services and stakeholders’ subjective perceptions. This study addresses a research gap concerning the synergies and tradeoffs between objective evaluations and subjective perceptions of key ecosystem services across various spatial scales. We investigated six key ecosystem services in Century Park, Shanghai, across seven buffer radii (8–100 m). Objective data were obtained from park view images (PVIs) and spatial analysis, while subjective perceptions were gathered through a scoring survey of 33 stakeholders. The key finding is that a buffer radius of 35 m offers optimal synergy between objective and subjective assessments for most ESs, particularly in pollution mediation, temperature regulation, and cultural services. Professionals showed stronger alignment in regulatory services like pollution mediation and temperature regulation, while residents exhibited higher synergy in net primary production (NPP) beyond a 75 m radius. Notably, cultural services displayed nuanced differences, with professionals preferring simpler landscapes and residents demonstrating varied aesthetic preferences. These findings emphasize the importance of integrating objective data and human perceptions in urban green space planning and governance. By incorporating diverse stakeholders and identifying optimal buffer zones, planners and designers can effectively balance ESs with human experiences. This approach ultimately fosters more sustainable and wellbeing-centered urban environments.
1. Introduction
Ecosystem services (ESs) refer to many valuable functions or resources that ecosystems provide to humans, either directly or indirectly [1,2]. These services are categorized into supporting, provisioning, regulating, and cultural services [3,4]. Extensive research has highlighted the value of natural ESs, especially those provided by urban park green spaces, including forests, wetlands, and waterfront areas. These studies emphasize the importance of ESs in providing leisure opportunities, protecting biodiversity, regulating climate, maintaining air quality, and supporting biodiversity [5,6]. However, the intensification of urbanization in recent years has led to the destruction of natural habitats such as forests and wetlands, damaging the structure of urban ecosystems and negatively impacting ESs and human wellbeing [7]. Therefore, ESs have gained increasing attention with the construction of green infrastructure in cities. The assessment of ESs helps improve the efficiency of green infrastructure investment and reduce a series of environmental issues caused by the continuous expansion of urban construction land, such as the reduction of biodiversity, the intensification of urban heat island effects, and soil pollution [8].
The assessment of ESs has become a pivotal research area within landscape science, ecology, and related fields [9,10]. Studies concerning the evaluation of individual ESs [11], the comprehensive assessment of ESs through coupled models [12], the analysis of synergies and tradeoffs among ESs [13], and the examination of the nexus between human wellbeing and ESs [14] are widely available. The methods for ES assessment have diversified significantly, with a strong focus on analysis and mapping based on land use and land cover conditions [15,16]. Notably, quantitative assessment tools such as the InVEST [17], SoLVES [18], and ARIES [19] models have gained prominence. These models provide spatially explicit methods for ecosystem service assessment, which serve as a critical means for both academic students and governmental decision making [20,21]. Some studies have employed the InVEST model to estimate the impact of land-use change on carbon storage under various urban scenarios [22]. Others have utilized the SoLVES model within a geographic information system (GIS) framework to map and analyze the social value of ESs in the study area [23]. Additionally, organizations have developed multifunctional platforms for the quantitative assessment of ES. For instance, iTree allows for the estimation of land cover and tree canopy benefits, using random point sampling on aerial imagery. Some studies have employed spatially explicit biophysical iTree models to explore priority planting initiatives and tradeoffs in ESs [24]. Hence, objective assessment methods are crucial for accurately evaluating ESs, as they provide reliable data needed for effective decision making. By ensuring precision in these assessments, stakeholders can better identify optimal conservation strategies that enhance both ecosystem health and human wellbeing.
Despite the advancements, many studies employ single or multiple scales in ES assessments but often overlook the influence of buffer settings at a given scale [25,26]. Buffer settings play a vital role in managing urban park ESs, as they help indicate areas that can enhance or diminish the effectiveness of these services. Previous research has demonstrated that buffer zones can influence water quality [27], biodiversity [28], and habitat connectivity [29], serving as critical interfaces between developed and natural areas. Studies have shown different estimation methods of buffer settings to determine urban park cooling intensity [30]. The concept of landscape gradients captures the complex interactions among biophysical components, illustrating how urbanization affects ecological processes and functions [31]. As urban areas transition from densely built environments to more natural settings, these gradients reveal variations in land use and ESs that can inform effective urban planning [32]. Prior investigations have highlighted the significance of buffer gradients, which describe how ES values, such as river streams [33] and forests [34], change in relation to distance from key environmental features. Some researchers have conducted a study on ES gradient buffers to examine how tree diversity influences biodiversity ecosystem function relationships in riparian corridors across environmental gradients and conservation statuses [28]. Despite the recognition of buffer gradients in relevant studies, there is limited research focusing on the buffer gradients of ESs at medium and small scales, particularly inside urban green spaces. Addressing this gap is essential for developing strategies that effectively integrate ecological health with urban development. By analyzing buffer gradients in these settings, researchers can better understand how to manage urban green spaces and improve ES delivery, ultimately contributing to more sustainable urban planning and enhancing the quality of life in urban areas [35]. Therefore, understanding the cumulative impact of ES buffer radii in urban green spaces is crucial for determining the optimal extent of ESs necessary to maintain ecosystem functions and support human wellbeing [36,37].
Stakeholders play an indispensable role as both co-creators and beneficiaries of ESs within urban green spaces, influencing the processes of supply, demand, and policy making regarding ESs [38,39]. Their insights are crucial for understanding the social implications and potential impacts of ESs. Presently, the evaluation of ESs from the perspective of stakeholders, the revelation of the factors that shape their perceptions, and the diverse ecological benefits among various stakeholders has risen as an imperative subject for resolution [40,41]. For instance, research utilizing multiple correspondence analysis has identified ecosystem service bundles, revealing the value tradeoffs perceived by different stakeholders [42]. Additional studies have incorporated the Kano model and the quality function deployment (QFD) approach, considering the ecological needs of residents and government policies, to systematically prioritize the implementation tasks of urban ecological infrastructure [43]. Therefore, assessing stakeholders’ perceptions of ESs is vital for formulating effective urban green space management policies, prompting researchers to devise new methods for accurately capturing and quantifying these perceptions.
Subjective assessments of ESs are critical as they capture the personal perceptions and values stakeholders associate with their environments [44]. Understanding these subjective views enriches our knowledge of how stakeholders experience and evaluate ESs, informing more inclusive decision-making processes [45]. Previous studies on stakeholder perceptions have extensively utilized methods such as semi-structured [46] and structured interviews [47] for data mining, focusing primarily on Likert scales [48] and participatory mapping [49]. Assessments of ecosystem services by individuals are influenced by visual and sensory experiences, with landscape images playing a crucial role in determining the value of specific areas or services [50,51]. In recent years, street view images (SVI) have become an essential tool for assessing ESs, as they provide objective representations that reduce the subjectivity of verbal descriptions and more accurately reflect human perceptions [52,53]. By increasing accessibility and allowing users to examine urban greenery without the necessity of on-site visits, SVI has broadened the spectrum of research subjects [54,55]. Moreover, numerous studies have utilized deep learning methodologies based on pixel- and object-based analysis, enabling rapid, large-scale collection of SVI-derived information and the utilization of trained datasets for predictive modeling of perceptions [56,57]. SVI are commonly obtained via online platforms; however, data coverage in parks is often limited due to the inability of capturing vehicles to access narrow park trails [58,59]. To overcome these limitations, panoramic camera imagery is implemented to effectively complement the constraints of SVI in data coverage. Panoramic camera imagery capturing comprehensive environmental visual information within parks, assisting in the study of stakeholders’ subjective perceptions of ESs [60].
Considering the diversity of ecosystem service assessments and the significance of stakeholder perception analysis, researchers are focusing on integrating quantitative assessment tools with subjective perception analysis to comprehensively understand and manage urban green space ESs [61,62]. While explicit assessment methods enhance stakeholders understanding of ESs, it is evident that the subjective experiences derived from direct ecological perception may diverge from the formal assessments of ESs [63,64]. Such discrepancies have the potential to influence the quality of participatory decision-making and evaluative processes in ecological spatial planning and design [65,66]. Thus, it is crucial to explore the differences and complementarities between these aspects these aspects that can provide a more comprehensive perspective for urban planning [67]. By integrating both objective assessments and subjective perceptions, governments can establish more effective strategies that ensures decision making reflects both empirical data and the experiences of stakeholders, ultimately fostering greener and more inclusive urban environments.
However, current research remains limited, often focusing on stakeholder needs through traditional interviews and surveys while neglecting subjective perceptions based on visual experiences [67,68]. In the context of the current multi-dimensional challenge, this study selects Century Park in Pudong District, Shanghai, as the research site. This study aims to analyze the differences between objective assessments and subjective perceptions of ESs, particularly in the context of buffer gradient synergies. By integrating park view data collection, semantic segmentation, and subjective perceptions with land cover data and objective evaluations, our goal is to identify the optimal human perception buffer radius, thereby providing a scientific basis for ecological spatial planning and design decisions. This involves (1) balancing objective data with subjective perceptions in design and ecological governance, (2) determining the spatial scale of ESs in relation to buffer gradients to inform design interventions, (3) incorporating diverse stakeholder perceptions, and (4) addressing subjective perception bias. Through the study, a basis for planning functions of urban green spaces can be given to address the research gap by investigating the preferences and tradeoffs of ESs among different stakeholders in urban green spaces at varying buffer gradients and identify the optimal buffer radius for human perception. Additionally, this research captures diverse stakeholder perceptions to better understand the complexities of human interactions with urban ESs. Subjective perception understanding and assessment of stakeholders would enhance participatory decision making and scientific and social acceptance in ecological space design. Each of these will be useful in optimizing management and developing policies on urban green space. Additionally, this study will thereby contribute to the development of a better theoretical understanding of the various complexities that arise in urban ecosystems and create a scientific base for healthier and more sustainable living environments in urban areas.
2. Materials and Methods
2.1. Study Area
The research case Century Park (Figure 1) is located in Pudong New District of Shanghai, China. Century Park opened in 2000 and covers an area of 154.16 hectares, making it the largest urban comprehensive park in central Shanghai. The park integrates ecological, recreational, and cultural service functions, highlighting its significant ecological importance within the region. The area and proportion of different land use types are shown in Table 1 (data accessed in 2023).
Figure 1.
Location of Century Park.
Table 1.
The area and proportion of the land use types in Century Park in 2023.
Since 2021, the average annual number of visitors to Century Park has surpassed 5 million. It holds significant ecological importance regionally and occupies a very important position in the green space system of Pudong, and even in the entire central area of Shanghai. The current greening status of Century Park, both overall and within individual zones, is generally favorable, with complete environmental elements pertinent to ecosystem service evaluation (Figure 2). Consequently, Century Park serves as an ideal study area for assessing the perception of ESs.
Figure 2.
Satellite imagery of Century Park.
2.2. Study Design
The research framework for this study consists of three main components (Figure 3). First, we conduct data collection for both subjective and objective assessment indicators. Subjective perception indicators are derived from participant evaluations of ESs, using PVIs taken every 15 m. Objective assessment indicators are gathered from various spatial geographic elements, climatic data, and web data mining. Second, we conducted subjective scoring and objective assessment for six types of regulating services and cultural services. Subjective evaluation was achieved through manual scoring and random forest prediction of all PVIs, while objective assessment was evaluated cumulatively for ESs within a target radius distance of 8 to 100 m. Finally, we analyzed the perception differences in ESs. Through testing with Spearman correlation analysis, ordinary least squares (OLS) model, and ridge regression model, we ultimately selected the results from Spearman correlation and ridge regression for detailed analysis. The perception difference analysis primarily focuses on the relationships between each ecosystem service, their stakeholders, and the on-site experiences.
Figure 3.
Method and workflow.
2.3. Data Collection and Processing
2.3.1. Park View Images
PVI Collection
SVIs have rapidly become a valuable data source for urban analysis and geospatial data collection. In this study, we employed a similar panoramic image method as that associated with SVIs in order to collect PVIs. A panoramic camera was selected for PVI collection due to their ability to capture a 360° view of the environment, which is essential for accurately reflecting the visual experience of stakeholders walking along park paths. Traditional SVIs are often limited to streets that are accessible by vehicles and may not cover internal park areas comprehensively. In contrast, panoramic cameras can be carried on foot, allowing for data collection in areas inaccessible to vehicles, such as narrow park trails.
The Inst360 One X2 panoramic camera (Insta360, Shenzhen, China) was used, capturing images every 15 m along the selected path to ensure the continuity of PVI data and to capture diverse physical environmental components [69]. To minimize interference from the photographer’s body in the images, the camera was mounted on top of the photographer’s head. The data collection occurred from November to December 2023, a period chosen to ensure the seasonal stability of deciduous plants [70], thereby ensuring that the perception of ESs remained relatively objective and conservative. Each image was exported in panoramic mode with a resolution of 6080 × 2000 pixels. During PVI collection, several criteria were applied to exclude images that could negatively impact the quality of the analysis. Images were visually inspected, and those with significant motion blur or out-of-focus areas were excluded or recaptured. Images that were incorrectly geotagged (e.g., due to GPS signal interference) were excluded if their location could not be accurately corrected through manual review of the path and surrounding features in the image. After excluding images with incorrect locations and blurriness, a total of 884 PVI samples were retained for analysis (Figure 4).
Figure 4.
Semantic segmentation diagram for a single park view image (PVI).
Semantic Segmentation and Elements Screening of PVIs
The subjective experience of park visitors is primarily gathered while they walk along the park’s pathways. Therefore, PVIs were collected from both main and branch paths in Century Park. The objective view index, commonly defined as the ratio of pixels of visual elements in SVIs, is widely used to capture the importance of the eye-level perspective in physical activity research [71]. For data processing, the same objective view index was employed, using the ADE20K dataset in Python 3.8 to classify and calculate the physical elements of garden landscape images into 150 categories. ADE20K is known for its comprehensive coverage of scenes and objects, achieving an accuracy of up to 82.4% [72]. To streamline the subsequent calculations, elements with a pixel ratio less than 1% were filtered out. These elements did not contribute meaningfully to the subjective perception of the landscape [73,74]; they were often distant or peripheral objects that would not have a substantial impact on ecosystem service perception. The remaining elements were further grouped into six primary categories: building, sky, pavement–earth, tree, grass–plant and water. According to the visual interface scale of landscape space perception [75], each panoramic image was cropped to a 30° horizontal view angle (Figure 4).
2.3.2. Objective Assessment of ESs
Selection of Driving Factors and Data Sources
Urban parks are widely recognized as providing regulating and cultural services that significantly impact local communities [76]. In particular, urban central parks like Century Park play a crucial role in enhancing human wellbeing and quality of life through these services [77].Based on the common international classification of ecosystem services (CICES 5.1) and the types of ecosystem services associated with urban parks, while also considering the sense limitations of subjective perception by PVI [56,78], we selected carbon sequestration, air filtration, temperature regulation, and water retention as key regulating services. Carbon sequestration and air filtration (pollution mediation) were selected as regulating services that directly contribute to the mitigation of climate change and the improvement of air quality. Temperature regulation was included as it plays a critical role in counteracting urban heat island effects, which is essential in densely populated urban environments like Shanghai [79]. Water flow retention was chosen to assess the park’s ability to retain stormwater and mitigate urban flooding, another increasingly pressing issue in urban planning [80]. For cultural services, recreation and enjoyment and aesthetic experience were selected due to their direct impact on human wellbeing and frequent use in stakeholder-based assessments of park services. These services reflect the park’s social value, particularly in highly urbanized areas [81]. The calculations were performed using ArcGIS Pro 3.1, with the detailed data sources and processing methods outlined in Table 2. Both land surface temperature (LST) and land use/land cover (LULC) data were derived from Sentinel-2, with a 10 m resolution. Using the random forest algorithm, we conducted supervised classification of Sentinel-2 imagery through the Google Earth Engine platform. The dataset comprised 612 randomly distributed ground truth points, which were divided into training and test sets at an 8:2 ratio. The number of decision trees was set to 50. The classification categorized the LULC types of Century Park into five categories: evergreen forest, deciduous forest, lawn, water body, and impervious surface. The classification results were then validated using a confusion matrix, achieving an overall accuracy of 0.8583 and a Kappa coefficient of 0.8226.
Table 2.
The data sources and processing methods of ecosystem services (ESs) variables.
To ensure time and conditions of data acquisition consistent with the subsequent subjective evaluation, we referenced measured data from nearby areas and similar latitudes for calculating each ecosystem service. For the net primary production (NPP), air filtration, and water flow retention, those that have a limited impact on the correlation calculations, we utilized average data from broader regional sources, specifically within the Pudong New District. In particular, we obtained data, e.g., participation and air quality, from the Pudong Monitoring Station, which is located less than 2 km from Century Park. The data obtained were ultimately calculated based on LULC, and the LULC information was manually interpreted and verified using satellite imagery and PVI to ensure accuracy. Regarding the temporal comparability of the data, the temperature regulation data were adjusted for seasonal variation, and, because the subjective assessments were focused on perceptions of coolness during hot weather, we used land surface temperature data from the most recent summer. For net primary production, air filtration, and water flow retention, which tend to be relatively stable over annual or long-term periods, we used annual average data to minimize fluctuations. For cultural services, as the parks have not undergone major renovations since their construction, the recreational sites have remained relatively stable; thus, we extracted long-term online review data for further analysis.
For cultural services, the category of recreation and enjoyment utilized 21,244 review data collected from Dianping.com. We utilized the Jieba Chinese segmentation tool to process the collected reviews. This involved summarizing similar place names and aligning them with the actual recreational sites in Century Park. To assess the popularity of each site, we tracked the cumulative number of reviews. In order to maintain consistency in scoring with the objective environment, we excluded plant areas that were not in bloom during the collection period of PVIs, such as rapeseed flowers and cherry blossoms. After extracting the location data from the reviews, we correlated them with the locations on GIS. To maintain objectivity in the evaluation results, we excluded comments containing emotions and personal experiences, focusing only on place names and types of recreational activities.
Methodology
In order to enhance the accuracy of the computational results, each ES calculation was based on the data source and employed well-established formulas. These formulas, which are commonly used in previous studies [86], were implemented using software tools such as i-Tree 6.1.51 and InVEST 3.13.0. Table 3 provides a detailed overview of the specific formulas employed for evaluating various content.
- (1)
- Regulatory services analysis
For carbon sequestration, pollution mediation and water retention, our analysis was based on LULC data [87,88]. For temperature regulation, we directly utilized Landsat-8 and Sentinel-2 imagery for the analysis.
Carbon sequestration: We utilized net primary productivity (NPP) to represent the intensity of carbon fixation in the study. The NPP of plants was categorized and accounted for based on the land cover data, which included evergreen forests, deciduous forests, lawns, water bodies, and impervious surfaces. To simplify the calculations, the average NPP per unit for evergreen and deciduous trees was calculated differently, taking into account the proportion of various trees in Century Park.
Pollution mediation: iTree, developed by the United States Forest Service is one of the most common models used to obtain an approximation of the dry deposition of PM10. We thus used iTree-derived calculations to estimate the capability of green infrastructure to potentially mediate traffic-bound PM10 pollution over a selectable period. This calculation was based on the area of different LULC types and their respective unit capacity for PM10 filtration [89].
Water retention: To calculate Century Park’s capacity to retain the discharge (in m3) from a single heavy rain event, we estimated it based on the discharge coefficient and LULC types.
Temperature regulation: Considering the more noticeable and intense subjective feelings during hot periods, we utilized the LST data from the summer season.
- (2)
- Cultural services analysis
Recreation and enjoyment: The long-term popularity of recreational sites plays an important role in the evaluation of cultural ecosystem services [90], particularly in urban parks and areas with significant landscape value [91]. Therefore, we integrated data from online reviews of recreational sites and conducted a statistical analysis of the number of reviews for each site, illustrating visitor popularity and recreational site usage [92]. To define the attraction scope for visitors, we performed kernel density using number of reviews to determine the radius of influence for recreational popularity. An on-site survey confirmed the consistent presence of these recreational sites since the parks’ openings. The popularity buffer of recreational sites can intersect with various PVI radii, and the number of intersecting recreational sites reflects the overall volume of recreation and entertainment services available within a specific area.
Aesthetic experience is significantly influenced by the diversity of land cover types within a given area, both landscape element diversity and naturalness are crucial factors in shaping landscape aesthetics [68]. However, the objective assessment of landscape aesthetics necessitates a broader consideration of variables (e.g., slope, flora, fauna, buildings, etc.) [77] and analytical methods (e.g., shape index, patch density, and other landscape indices) [93]. This study examines the correlation between subjective and objective perceptions, particularly in the context of evaluating various ecosystem services, leading to simplified assessment methods related to aesthetics. We mapped recreational sites with the types of natural landscape land cover. To better capture the aesthetic experience volume from a PVI spot, we summed the number of landscape land cover types within various buffer radii during the objective assessment.
Table 3.
Objective evaluation formula of ESs.
Table 3.
Objective evaluation formula of ESs.
| ES Indicator | Equation | Description | Reference |
|---|---|---|---|
| Carbon sequestration | is the annual total carbon sequestration (i.e., NPP or biomass) (gC·a−1); is LULC ’s annual carbon sequestration density (gC·m−2·a−1); is LULC ’s area (m2). | / | |
| Air filtration | is the total pollutant flux (g·m−2·h−1); is the deposition velocity (m·s−1); is pollutant concentration (g·m−3). | [89] | |
| Temperature regulation | is the land surface temperatures (°C); NDVI is the normalized difference vegetation index. | [94] | |
| Water flow retention | is the total discharged coefficient (CW value, m3); is LULC ’s CW value (m3); is LULC ’s area (m2); is the sum precipitation value of an existing or virtual single heavy rain event (mm). | [95] | |
| Recreation and enjoyment | is the popularity of the site; is the frequency that the recreational sites intersect with the buffer of PVI spot . | / | |
| Aesthetic experience | is aesthetic experience index; is the number of natural landscape land cover types with the buffer of PVI spot . | [96] |
Cumulative Value of ESs with Different Buffer Radii
The cumulative impact effect of ecosystem service buffer radius is a commonly used method to assess the landscape pattern of ribbon-like areas such as riparian zones [26]. In this study, we selected the PVI locations along the park’s pathways as assessment points, and employed various buffer radii for the cumulative calculation of ESs. Considering the close relationship between spatial subjective perception and the visual distance of landscape space [10], we compared cumulative buffers with six target radii: 8 m, 15 m, 25 m, 35 m, 50 m, 75 m, and 100 m (Figure 5). In public spaces, the minimal visual perception radius is approximately 8 m, which accounts for perceptual compressions and expansions of in-depth intervals, as typically observed under bamboo groves and tree canopies; public spaces within a range of 12–15 m can be described as intimate [97]. Meanwhile, a 25 m radius is the most comfortable and appropriate scale for social environments [98]. At a distance of 35 m, more pronounced physical features, such as age or hairstyle can be recognized. When the radius extends to 50–75 m, it becomes possible to identify specific details, such as tree types or the activities of individuals [99]. For landscape spaces with a sense of spaciousness, the commonly accepted spatial scale is 110 m [98]; however, at this distance, the buffer would extend the park’s boundary, potentially leading to data distortion. Therefore, the largest radius in this study was set at 100 m. Calculations at other intervals provide a detailed understanding of the subjective and objective differences in scale distances. Within these six target buffers, we cumulatively calculated the six types of ESs.
Figure 5.
The different buffer radii of PVI spots.
2.3.3. ESs Subjective Perceptions Scores Collection
The provisioning services and supporting services of ESs have limited relevance in the context of urban parks [78]. Therefore, we focused on the types of subjective perceptions of ecosystem services primarily aligned with objective assessment, which consist of regulatory services and cultural services. To collect perceptual scoring data on the subjective perception of the ESs, we developed a park view image scoring system (http://pingfen.inno-we.cn/, accessed on 7 June 2024). The scoring system includes a login page and a scoring page. The login page collects background information from participants, such as whether they are professionals or local residents, along with their on-site experience. Gender information is pre-recorded during participant recruitment. The scoring page is designed for subjective perception evaluations based on every park view image. Participants rate various aspects of the ecosystem services as they perceive them in the images, ensuring a comprehensive collection of subjective data.
Perception description content is integrated with factors related to human subjective feelings [100] (Table 4). When assessing regulatory services, the perception of NPP was found to be linked to factors such as plant composition, vegetation coverage, and perceived surface organic matter, reflecting the objective service capacity. A higher perception index indicated a stronger NPP of the vegetation in the scene. Regarding pollution mediation and water flow retention, participants’ perceptions were informed by their lived experiences in various environments in Shanghai, as the information was derived from images. A higher perception index corresponded to a better participant experience, suggesting improved air quality and site permeability. For temperature regulation, an assessment method was employed to determine whether an image evoked a sense of coolness during hot weather. Here, a higher perception index signified a more effective cooling effect of the site. In the perception description method of recreation and enjoyment in cultural services, we utilizing an approach grounded in principles akin to the willingness to pay (WTP) method [101], the higher the perception index, the greater the willingness to engage in recreation and entertainment. The aesthetic experience was found to be evaluated by participants’ direct perception of the scene’s aesthetic feeling. A higher perception index indicates a better aesthetic experience.
Table 4.
Subjective perception indicators, description and values of ESs.
This study involved 33 volunteers who participated in the evaluation and scoring of subjective perceptions. The participants included 15 researchers from ecology-related fields and 18 local residents. As ES assessment requires multidisciplinary knowledge and because ESs also benefit general human wellbeing, it is necessary to evaluate the perception differences between professionals and the general public. Among these, 13 participants were familiar with Century Park as they had visited it before, while 20 participants had never been to Century Park. Familiarity with the park can significantly shape stakeholders’ perceptions of its ES benefits. Differences in on-site experience may lead to variations in scoring results, providing valuable insights for future research on selecting appropriate assessment methods. The participants were evenly distributed by gender (male-to-female ratio approximately 1:1). In terms of their education, all participants had attained at least a college-level education. The sample size was determined based on previous studies that assessed subjective perceptions in urban parks to ensure a sufficient representation of both professionals and residents, facilitating a comparative analysis of perceptions across different stakeholder groups [102,103]. Each participant scored 320 PVI ratings, which enhances the robustness of the evaluations. This approach strikes a balance between comprehensiveness and manageability in data collection [104]. The sampling technique used was a combination of purposive sampling and convenience sampling. For all participants, convenience sampling was used, targeting individuals living near to Century Park to ensure that their perceptions would be informed by direct or frequent interaction with the park. This approach allowed us to gather meaningful insights from both expert and lay perspectives, which are critical to understanding the differences in subjective evaluations of ecosystem services. For the group of professionals, purposive sampling was employed to select individuals with a background in ecology or related fields, ensuring that the sample included experts with relevant knowledge.
A total of 320 PVIs were uploaded into the scoring system for participants to evaluate the perceived benefits of ESs. All participants were trained for the basic operation of the scoring system, including a background introduction and a literal interpretation of the relevant ES scoring questions. This training was designed to avoid any leading or biased information, thereby minimizing the potential for respondent bias. By ensuring that each participant consistently interpreted the questions in the same manner, we aimed to maintain the integrity and reliability of the scoring process. Although urban park green spaces have been shown to enhance mental health and reduce attention fatigue [105], aesthetic fatigue may occur, particularly when viewing similar landscape images repeatedly over a short period [106]. In this study, taking photos every 15 m can lead to similar content in adjacent images. To address this issue, we selected every third image for scoring, ensuring that all sections of the path were represented while capturing noticeable changes in PVI content. The selected PVIs were then randomized for scoring to prevent consecutive images from featuring locations that were too similar. Given the large number of images and detailed scoring criteria, the system was developed to allow progress to be saved at any point. This feature enables participants to complete their evaluations over multiple sessions, helping to mitigate the effects of potential aesthetic fatigue.
The perceptual indicator was scored from 1 (low) to 5 (high). The results were grouped based on the type of stakeholders and the on-site experience of the participants, after which the average scores were calculated. A random forest model was employed in Python 3.8 to predict scores. The dataset comprised 320 scored PVIs and 6 environmental elements identified through semantic segmentation, which were divided into training and test sets at a respective ratio of 8:2. The model achieved an R2 score with 0.9182 for the training set and an R2 score with 0.7536 for the test set. The root mean square error (RMSE) is 0.1668 for the training set and 0.2765 for the test set. Ultimately, using the training data, the perception scores for different types of ecosystem services were predicted for the remaining 564 photos.
2.4. Correlation Analysis for Subjective and Objective Evaluation
Due to its strong interpretability, the OLS linear regression model is widely used to analyze the relationships between the subjective and objective characteristics of the built environment [107]. However, in this study, calculating different buffer radius widths at the same location results in an increased area of overlap as the width expands. This overlap can lead to higher multicollinearity, potentially causing the OLS results to be biased or inefficient [108].
To avoid the multicollinearity of subjective and objective analysis, ridge regression is extensively utilized to estimate models under such conditions [109]. The variance inflation factor (VIF) was utilized as a diagnostic tool for identifying the existence of multicollinearity. In contrast with the typical interpretation of VIF, the formulas conventionally employed in ridge regression may not always result in VIF values that are one or higher.
Spearman correlation analysis was employed to examine the relationship between objective assessments and subjective perceptions [110]. The correlation data were visualized with Matplotlib and Seaborn toolkits in Python 3.8. The results are presented in the form of matrix heat maps and line charts. Matrix heat maps can display the positive and negative correlation patterns, with varying color depth representing the strength of correlation. The data marked with an asterisk (*) indicate a significant correlation. Line charts effectively illustrate correlation trends across different buffer radii, facilitating intuitive comparisons among various ecosystem services.
3. Results
3.1. Overview of Ecosystem Service Analysis Results
3.1.1. Objective Assessment
The spatial distribution result of objective ESs in Century Park are illustrated in Figure 6, the indicators for various ESs all show significant spatial distribution differences. The NPP values, which are influenced by seasonal factors, were visually compared with PVIs, and the LULC distribution is consistent with the actual locations. The LST data demonstrated the typical summer conditions, with the highest temperature reaching 42.48 °C. The water retention result uses a relative value ranging from 0 to 1, with the maximum water retention corresponding to water body surfaces. In terms of cultural services, the park exhibits spatial heterogeneity in the number of planting combinations and recreational sites along the park paths.
Figure 6.
The spatial distribution maps of regulatory services (1–4) and the element maps of cultural services (5–6).
Additionally, the mean values of each ES indicator were calculated using min–max normalization, with values ranging from 0 to 1. The results are visualized as shown in Figure 7, with radar charts better able to illustrate the changes in ESs at different buffer radii. The comprehensive analysis of ES revealed a consistent increase in total ES value as the buffer distance expanded from 8 to 100 m. Among the various services evaluated, water retention consistently received the lowest scores across all buffer distances, with values ranging from 0.182 to 0.267.
Figure 7.
Mean values of the six ES indicators at seven different buffer radii.
In contrast, the aesthetic experience score, initially low at an 8 m buffer (0.244), was only slightly higher than that of water retention (0.187) and exhibited a significant upward trend as the buffer distance increased. At the 35 m buffer, the aesthetic experience became the highest-scoring ES indicator, continuing to rise within the 35–100 m range and exceeding a value of 0.88 at the 100 m buffer. In terms of NPP, PM10 filtration, and temperature regulation, the values for these three ES remained similar and stable across all buffer distances, with scores ranging from 0.482 to 0.615.
3.1.2. Subjective Perceptions
The subjective perception of overall ESs scored relatively high, with the average scores across different ESs being closely aligned (Table 5). Additionally, the average perception scores of different stakeholders and different on-site experiences showed minimal variation. This suggests that, in comprehensive parks, the differences in perceptions of various ecosystem services have a negligible impact on overall perception. Vegetation coverage, vegetation combination, and air quality received the highest rating across all groups, indicating that Century Park provides a good greening environment and improved air quality in the city center. Conversely, temperature regulation and aesthetics received relatively low scores from all stakeholders. This may be attributed to a lack of shaded areas in squares and waterfront spaces, a finding corroborated by LST data showing that many areas of Century Park exceed 30 °C during early summer (Figure 5). Unfamiliar groups with the park have a higher standard deviation, indicating greater variability in individual perceptions of PVIs. Regarding aesthetic experience, it is worth noting that Century Park has been open for over 20 years. As a result, the original design concept and maintenance of facilities reveal gaps compared with newly built green spaces, thus leading to a certain degree of decline in the overall aesthetics experience perceived by participants.
Table 5.
Perception measures of participants on ESs.
Professionals and residents exhibited noticeable differences in their scores, particularly regarding perceptions of aesthetics experience, air pollution, recreation and enjoyment, and vegetation combination, with respective differences of 0.12, 0.09, 0.09, and 0.06. Evaluating these ESs requires a certain level of professional knowledge, which may explain why individuals with varying professional backgrounds assess these services differently. Additionally, on-site experience significantly influences perception results, particularly in water flow retention, vegetation coverage, and vegetation combination, with respective differences of 0.21, 0.13, and 0.10. The PVIs taken on park paths may not fully convey the three-dimensional spatial experience of the park. Consequently, increased familiarity with the park enhances the perception of the NPP and stormwater retention capacity.
3.2. Comparison of Subjective and Objective Evaluations of ESs
We assessed the VIF values of the OLS model and found that all buffer radius VIF values exceeded 10, indicating significant multicollinearity due to the calculation of mutual nesting relationships among different buffers. Therefore, the following analysis mainly focuses on ridge regression (Appendix A, Table A1) and Spearman correlation analysis. This study primarily examines the correlation between subjective and objective analyses, without involving predictions of variables; consequently, the R2 score is not considered a key factor in the ridge regression analysis. The Spearman correlation provided stronger correlation results when evaluating ESs, so we primarily discuss the findings using this method. Notably, the subjective evaluation of temperature regulation is described in a negative manner and the objective assessment results in a negative correlation.
In the comparative results of the subjective–objective correlation of ESs for all participants (Figure 8), the results demonstrate good consistency between subjective and objective perceptions at the 35 m radius. The overall average value of NPP indicates significance at buffer distances from 35 m to 100 m. When combined with the ridge regression results, the 35 m radius emerged as that which provides the optimal synergies for NPP subjective–objective assessment, where vegetation combination exhibited a stronger and more representative correlation of the consistency in the subjective–objective evaluation of NPP. In terms of pollution mediation, water flow retention, and temperature regulation, all distances showed high correlation and significance. The optimal synergy distances for ridge regression were found to be 50 m for pollution mediation, 15 m for water flow retention, and 8 m for temperature regulation. Particularly in terms of temperature perception, it is evident that participants are more concerned about the comfort of the surrounding temperature.
Figure 8.
Spearman correlation of ES perception by all participants with buffer radius from 8 m to 100 m. (A) NPP, (B) pollution mediation—PM10, (C) water flow retention, (D) temperature regulation, (E) recreation and enjoyment, and (F) aesthetics experience. (Note: * p < 0.1. ** p < 0.05. *** p < 0.01.)
Regarding the cultural services of ecosystems, the assessment of recreation and enjoyment showed significant consistency within the radius of 75 m, with notable synergies at both 15 m and 50 m buffers. This indicates that participants consider both close-range and medium-distance landscape perceptions when evaluating recreational aspects. The cultural ecosystem services related to aesthetic experience reveal a distinct tradeoff between subjective and objective perceptions. The study’s findings indicate a negative correlation within a 35 m buffer, with ridge regression analysis identifying this distance as the optimal convergence point. This negative correlation was unexpected, given that aesthetic experience was assessed based on the count of all natural land cover types and recreational sites. These results suggest that the public’s subjective aesthetic perception tends to favor simpler combinations of landscape elements within the open and expansive space of a 35 m distance. However, open spaces and simple plant combinations may lead to a reduction in ecosystem regulation services. Furthermore, the optimal convergence distances for different elements vary, typically falling within the near-to-medium-distance landscape scenes of a 50 m buffer. This highlights the differences in participants’ focus on various ESs.
3.3. Analysis of Different Stakeholders
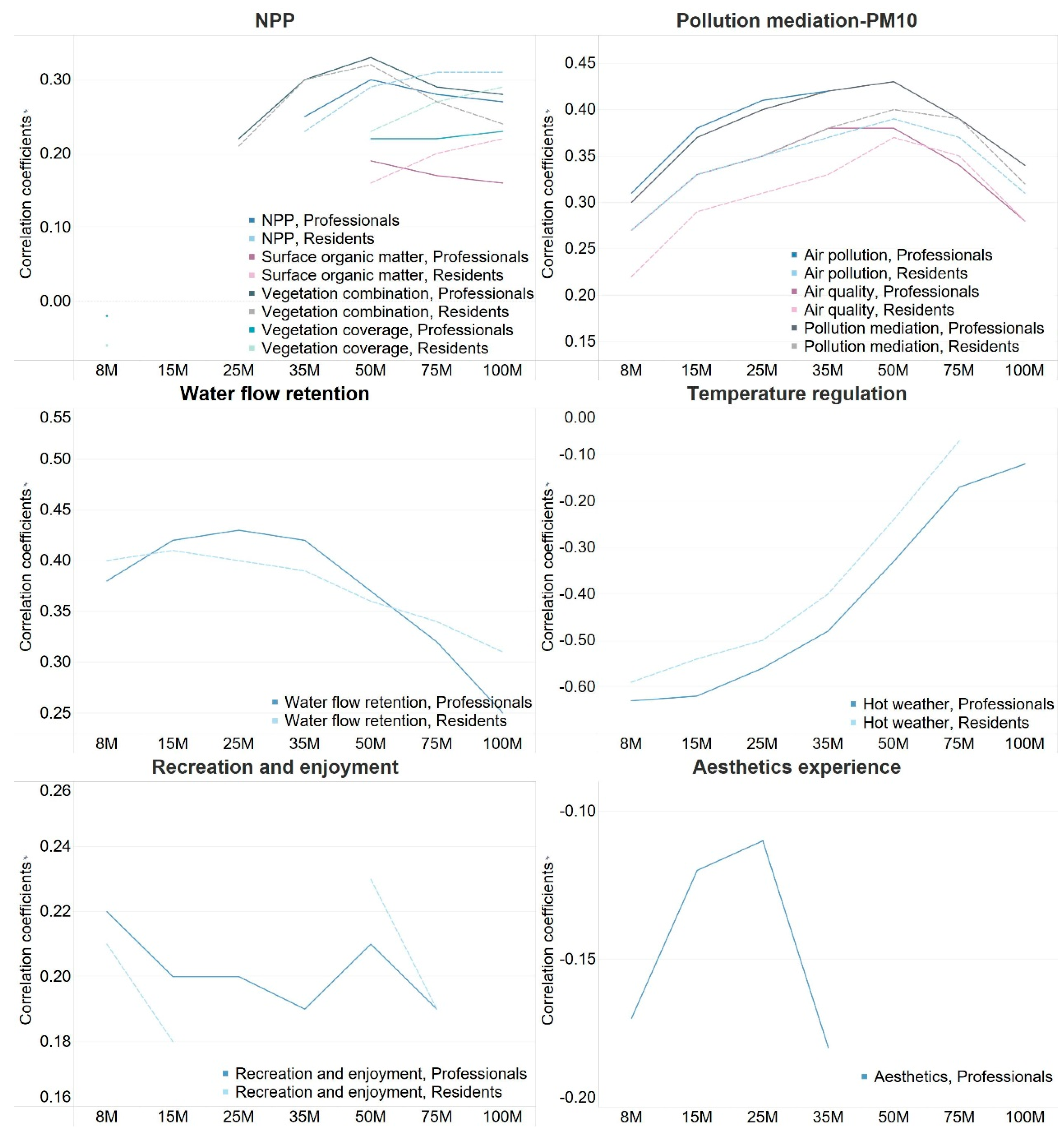
Stakeholders have different demands and spatial recognition of ecosystem services. After excluding data with weak significance, we created a line chart illustrating the correlation coefficients for different stakeholders based on buffer radius (Figure 9). In terms of NPP, professionals did not demonstrate a distinct assessment advantage. In contrast, residents showed higher correlation coefficients in the overall NPP evaluation at radii above 75 m. This implies that professionals achieve a stronger convergence between subjective perceptions and objective NPP assessments only within the radius from 35 m to 50 m.
Figure 9.
Correlation coefficients by buffer radii for different stakeholders.
In terms of pollution mediation, professionals demonstrated better convergence of perceptions at all distances compared with residents, although both groups showed their highest correlation at the 50 m buffer. For water flow retention, there was no significant difference in perceptions between the two groups, though the radii with the highest correlation varied—professionals at 25 m radius and residents at 15 m radius. When assessing temperature regulation, both groups showed a decreasing trend in correlation as the buffer radius increased, and the overall correlation was better for professionals, with the optimal perception distance for both participants at 8 m.
The cultural services of ES generally perform less effectively when compared with regulatory services. This discrepancy can be attributed to the significant variations in individual preferences for recreation and their understanding of aesthetics experience [111], which results in discontinuities in the correlation curves. In particular, residents do not show a significant correlation in their aesthetic perceptions at any distance, while professionals exhibit a more consistent approach. Regarding recreation and enjoyment, professionals’ perception intensity at different distances is consistent with objective assessments. Conversely, residents focus more on their recreational experiences at radii of 8–15 m and 50–75 m. In terms of aesthetic experiences, only professionals show a negative correlation in their perceptions at radii from 8 m to 35 m, with the highest aesthetic correlation occurring at 35 m. The tradeoff result indicates that professionals have a negative correlation with the number of elements included in the scene, suggesting that better aesthetic experiences are reflected in scenes with fewer, more minimalist landscape elements.
3.4. Analysis of Different On-Site Experiences
The subjective perception assessment in this study primarily relies on online PVI surveys. For participants who have not visited Century Park, there is an absence of continuous spatial experience and holistic perception of the park. Therefore, comparing different on-site experiences helps to understand how familiarity with the park affects the understanding of ESs. Participants who are more familiar with the park exhibit better synergy within a 35 m radius. Conversely, the correlation coefficients for each ES are 0.03 to 0.15 lower for the familiar group compared with the unfamiliar group.
In the perception of NPP, the on-site experience varies with different radii (Figure 10). For participants more familiar with the park, the highest correlation in perception is observed at a radius of 50 m, while for those less familiar, the highest correlation extends to 100 m. In the detailed assessment indicators of NPP, the correlation for the less familiar group gradually increases with radius, particularly in the indicators of vegetation coverage and surface organic matter. In terms of pollution mediation, the highest convergence is at the radius of 50 m. Across all radii, the overall correlation indicators for the group of those less familiar are consistently higher, with the maximum difference in correlation coefficients of 0.12. This suggests that the actual pollution mediation performance may not align with the perceptions from PVIs, as the presence of particulate matter in the air is primarily perceived through breathing. Regarding water flow retention, the less familiar group exhibits a higher correlation in perception, peaking at a radius of 15 m, while the familiar group shows the best correlation at a radius of 35 m. As the perception radius increases, the correlation difference between the two groups decreases, converging above 75 m.
Figure 10.
Correlation coefficients by buffer radii for on-site experience.
Water flow retention is primarily related to the permeability of the ground surface and the water retention capacity of the soil [95]. Thus, the less familiar group focuses more on the surface conditions of spaces that are closer (8–15 m), resulting in a higher correlation that is due to the PVIs taken along the paths. In contrast, those familiar with the park consider the overall spatial surface conditions more when assessing. Different on-site experiences show a decreasing trend in correlation strength for temperature regulation, with the highest convergence in perception at a close radius of 8 m. The perception of temperature is directly perceived through the body’s apparent temperature, and the correlation effect is stronger for those unfamiliar with the park. Similar to the perception of air pollution, temperature is primarily sensed by organs, and the actual perceived ambient temperature may be mitigated by the vegetation and shade conditions in PVIs, thus reducing the intensity of perception.
For cultural services, participants with better on-site experiences tend to have enhanced perceptual performance. In the context of recreation and enjoyment, participants familiar with the park exhibit positive perceptual alignment within the 8–75 m radii range, whereas those unfamiliar with the park show lower consistency in perception, limited to the 8–25 m radii range. Regarding aesthetics experience, both groups exhibit a negative correlation within the 8–35 m radii range, with the optimal perceptual distance being 35 m. This observation suggests a tradeoff, wherein individuals with a superior on-site experience exhibit a stronger negative correlation between aesthetic appeal and the complexity or density of landscape elements in close proximity, which in turn indicates a preference for simpler or more open spaces [112].
4. Discussion
4.1. Aligning Subjective Perceptions with Objective Assessments in ES Evaluation
The objective assessment and subjective perceptions of ESs involves complex tradeoffs and synergistic effects [42,113]. The driving factors for ESs in urban parks can vary depending on the type of park. Century Park is a typical urban comprehensive park and provides a combination of regulatory and cultural services. For specialized parks, such as historical parks, cultural parks or ecological parks, the evaluation indicators for ecosystem services may be dominated by one particular type of service.
Tradeoffs among ESs can lead to different outcomes in various scenarios. These tradeoffs often occur because maximizing one service may come at the expense of another, and the balance between services can shift depending on management decisions, environmental conditions, and societal values [114]. Therefore, we did not conduct a detailed analysis of the overall ES assessment. A preliminary attempt was made to analyze the correlation between subjective and objective evaluations of ESs under the assumption that all factors have equal weight. This was achieved by normalizing and summing all participants’ evaluations (Appendix A, Figure A3). The results show a correlation only at a radius of 75 m, which significantly differs from the results obtained when separately selecting the perception of ESs (at a 35 m radius). Relevant studies have shown that the recreational potential of forest ecosystems, the visual quality of forest landscapes, and the total services of vegetation have higher quality within a 0–50 m buffer zone [115]. The optimal synergistic ES perception buffer of 35 m supports the value realization of ecosystem services provided by small-scale green infrastructure [116]. In the objective assessment of urban green space ecosystem services, such as noise reduction, PM10 purification, and urban heat island mitigation, buffer distances of 50 m and 100 m are typically regarded as benefit areas [117]. In terms of cultural ecosystem service perception, within a 300 m buffer range, urban green spaces can provide effective cultural services, including aesthetic experiences and recreational opportunities [118]. Professionals seem to have a more practical and management-centered perception of nature, while residents appear to prioritize the enjoyment of nature, resulting in significant differences in their perceptual distances [119]. More research has focused on the planning scale with buffer radii of several kilometers in urban areas [26,120]. Future research should explore the tradeoffs between subjective and objective evaluation of ESs, which could provide a more comprehensive understanding of the optimal design scale from the perspective of the overall ESs.
4.2. Distinguishing Between Subjective and Objective Evaluation of Cultural Services
Many methods have been used to quantify urban ecosystem services over the past two decades [121]. In the Millennium Ecosystem Assessment, cultural services are defined as the non-material benefits provided by ecosystems, which inherently carry a certain degree of subjectivity. In current mainstream assessments of cultural ecosystem services [122], the intangible nature of cultural service values makes them difficult to quantify directly. Cultural services, such as recreation, enjoyment, aesthetic experience, and social interaction, are deeply influenced by subjective human experiences and cannot be adequately represented by a single objective indicator. The methods for evaluating leisure and aesthetic value are diverse, and these values resist capture through purely instrumental thinking. However, multi-faceted quantitative analysis can enhance our understanding of cultural ecosystem services, providing a solid foundation for objective decision making [123]. Subjective valuation methods are often employed to indirectly reflect their value, such as the contingent valuation method (CVM), travel cost method (TCM), and willingness to pay (WTP) [101].
In this study, instead of analyzing the subjective content of reviews such as emotions and personal experiences. We consider the distribution of recreational sites and facilities and the cumulative number of reviews for each recreational sites as objective evaluation indicators. The popularity of recreational sites, which is inherently objective, reflects the site’s objective cultural service conditions (e.g., accessibility, frequency of use, etc.).
The subjective perception of cultural services was assessed using the WTP method. This approach involved scoring participants’ subjective feelings in specific PVI to evaluate their willingness to engage in recreation and entertainment activities. Importantly, participants did not actually participate in recreational or aesthetic experiences in the corresponding PVI areas during the scoring process. Instead, their responses served as a subjective measure of their perception of cultural ecosystem services, reflecting their willingness to engage in such activities.
4.3. Ecological Governance Behind ES Perception Differences
Ecosystem service research has traditionally focused on objective geographical mapping assessment methods based on ecological rationality [124]. These methods predominantly emphasize rational choice, often overlooking the diverse social perspectives on the significance of ecosystems for human wellbeing [125]. This difference may lead to divergences in the understanding and resolution of ecological issues, thereby affecting the formulation and implementation of policies for ecological protection and sustainable development [126]. The on-site experiences of different stakeholders also significantly impact the spatial subjective perception of ESs (Appendix A, Figure A1 and Figure A2), particularly the differences in perception between professionals and residents, which may be related to their professional knowledge background and their understanding of the value of ESs. For instance, professionals show greater consistency in the assessment of NPP, while residents exhibit stronger subjectivity in their perception of recreational and aesthetic experience. Additionally, participants with experience visiting parks have a more detailed and comprehensive perception of ESs, indicating that on-site experience is crucial for forming an accurate perception of ESs [100].
The differences between subjective feelings and objective assessments may lead to challenges in the identification and resolution of ecological issues. For instance, residents with a strong cultural identification with the local ESs may resist proposed development projects based on objective assessments, even if these projects are economically beneficial. Conversely, if decision makers rely solely on objective assessments and ignore the subjective experiences of the local community, this may lead to social conflicts and the failure of ecological protection measures. Moreover, the assessment and management of ESs must account for spatial and temporal scales. Assessments at different scales may reveal different service values and tradeoffs, which is crucial for understanding the complexity and dynamics of ESs. The current ecological governance decision-making system is inherently disabled when achieving ecological rationality [127]. However, the subjective perception of ESs can effectively support public participation in the decision-making process of ecological governance, providing better emotional support and procedural fairness for both subjective and objective aspects.
4.4. Promoting Urban Park Design by Perception Ranges
We effectively integrate perception into specific spatial scales by evaluating the convergence of perceptions at different radii, which greatly assists in the performance-based design of ecosystem services [128]. Key environmental factors, such as thermal comfort and air quality, significantly influence people’s behavior in urban parks, affecting visitation rates and overall attractiveness [129,130]. When designing and managing urban parks, several specific recommendations should be considered to optimize subjective and objective perceptions of ecosystem service. Firstly, there is zoning for ES optimization, wherein it is important to consider the optimal perception distance for these factors so as to enhance the attractiveness of recreational sites and their usage rate. Designers can use these insights to create zones that prioritize specific ecosystem services. For example, regarding carbon sequestration capacity and tree combinations, planting zones should be optimized for the ideal carbon sequestration perception distance, ensuring that carbon sequestration efforts do not overshadow recreational services. Areas with dense tree cover are ideal for providing regulating services such as air filtration and temperature regulation. These “cooling zones” could be strategically placed near urban heat islands or areas with poor air quality, making them functional while also being inviting for visitors seeking shaded and cool environments. Second, there are mixed-use zones to balance tradeoffs. The study found tradeoffs in the context of aesthetic experiences. A practical approach to addressing these tradeoffs is the creation of mixed-use zones, where patches of trees can be integrated into open, grass-dominated landscapes. This strategy allows designers to provide temperature regulation benefits while still maintaining open spaces for recreational activities; meanwhile, efforts to enhance ecosystem regulating services should be maximized in areas farther away from the pathways. Thirdly, it is recommended to enhance visitor perceptions. The combination of recreational facilities and spatial arrangements of park paths at the optimal synergy distance can enhance the aesthetic experience of visitors, thereby promoting the physical and mental health of visitors and their social wellbeing [105]. Subjective perceptions play an important role in how visitors evaluate ecosystem services. Park designers can enhance these perceptions by incorporating features that make ecosystem services more visible and tangible.
The perception of ESs is also a focus in the field of landsenses ecology [131], acting as a bridge for studying the mutual services and feedback between humans and ecosystem [132]. The perception of ESs is directly related to how people interact with the natural environment and the sense of satisfaction and happiness they derive from these interactions [133]. There are differences in the perception of ESs among different stakeholders, which should be considered when designing urban parks so as to enhance their interaction with park spaces. Landscape ecology emphasizes the importance of multi-scale characteristics, highlighting that changes in perception radius are crucial, especially in design management. By enhancing cultural services at smaller scales and strengthening supply services at larger scales, it is possible to balance visitor experience with the needs of low-carbon cities, sponge cities, and other urban management requirements.
4.5. Limitations
Although this study has well demonstrated the differences and connections between subjective and objective perceptions of ecosystem services, there are still several shortcomings. (1) As the study used seven discrete radii to undertake the analysis and evaluation, the optimal perception radius obtained may not be the most accurate. This is because ESs occurring between these buffer distances are not directly considered. The selection of predefined radii may influence the results, especially if key ecological processes or stakeholder perceptions occur at radii not included in the analysis. This could lead to an underestimation or overestimation of certain services at specific distances. To address this issue, future research could employ a more diverse set of perception radii for a more refined analysis or adopt a continuous buffer approach. Such methodologies would provide a more granular understanding of how ESs change across different spatial scales. (2) The stakeholder grouping could be further subdivided, as this study did not separate the professionals and residents who have or have not visited the park, which may lead to the influence of different user group differences on each other. Future research could expand to a richer set of stakeholders, such as park managers and city policy makers; Additionally, larger sample sizes should be incorporated to strengthen the robustness and validity of the findings. (3) The study focuses on large comprehensive parks, such as Century Park, a broader analysis and evaluation can be conducted for different types of urban parks in further research. (4) We only considered the perception of PVI in a single season. Although phenological changes in Shanghai are not as pronounced as in higher latitude areas, the flowering in spring can temporarily influence the perception of cultural services. Future research could investigate the differences in perception across different seasons. (5) This study prioritizes analyzing the correlation between subjective and objective assessments over precise calculations. Therefore, the indicators were simplified in order to evaluate cultural services, potentially reducing the accuracy of the results.
5. Conclusions
This study provides a comprehensive analysis of the synergies between objective assessments and subjective perceptions of ESs across various buffer gradients in Century Park, Shanghai. The research offers valuable insights into how PVIs influence stakeholders’ perception of ESs. The key findings of the study are summarized below.
Spatial patterns in objective assessments: The objective evaluations of ESs in Century Park reveal significant spatial heterogeneity. Indicators such as NPP, air filtration, temperature regulation, and water retention exhibit distinct spatial patterns, primarily influenced by LULC characteristics. Cultural services, including recreation and aesthetic experiences, influenced by the popularity of recreational sites and nature landscape land covers, also show variability along park pathways. The radar chart analysis indicates that as the buffer radius expands from 8 m to 100 m, the overall ES value increases, with aesthetic experience showing the most pronounced improvement.
Subjective perceptions and stakeholder differences: Subjective perceptions of ESs among stakeholders reveal relatively high and consistent scores across different ESs, with minimal variation between groups. However, distinctions were noticeable in specific areas such as aesthetic experience, air quality, and recreation, where professionals and residents differed in their evaluations. On-site experience plays a significant role in shaping perceptions, with greater familiarity with the park enhancing perceptions of vegetation coverage, water retention and temperature regulation.
Correlation between objective and subjective assessments: The correlation analysis, achieved through Spearman correlation and ridge regression, highlights that a buffer radius of 35 m offers an optimal synergy between the subjective and objective assessments of most ESs. Objective assessments provide a quantifiable measure of ecosystem services, while subjective perceptions capture the sensory and experiential aspects that are critical for urban park stakeholders. This synergy underscores the importance of integrating objective and subjective assessments to comprehensively evaluate ecosystem services.
This study underscores the importance of incorporating diverse stakeholder perspectives. Professionals show better synergy in pollution mediation and temperature regulation, while residents show higher synergy in NPP beyond a 75 m radius. For recreation and aesthetics, professionals that prefer simpler landscapes at 35 m radius and residents had significant individual differences in aesthetics experiences with poor correlation. On-site experience contributes to shaping synergy in cultural services, with participants more familiar with the park exhibiting better synergy within a 35 m radius. Conversely, the correlation coefficients for each ES are 0.03 to 0.15 lower for the familiar group compared with the unfamiliar group. This implies that subjective experience can influence rational assessments of objective regulatory services and suggests that visual experiences of PVIs can offer a new approach to shaping perceptions of ecosystem services.
In conclusion, this study demonstrates the synergy of varying radii with both subjective perception and objective analysis when seeking to effectively govern urban green spaces. Objective evaluations lay the groundwork for grasping ecosystem benefits while subjective views deepen our understanding of how these benefits are perceived and appreciated by visitors to parks. There is general synergy and partial differences between objective and subjective evaluations across different radii. By bridging the gap between objective assessments and individual experiences of ESs, city planners and park managers can make more rational decisions that enhance the ecological and social value of urban parks.
Author Contributions
Conceptualization, N.D. and W.W.; methodology, W.W.; software, W.W. and Y.W.; validation, W.W., N.D. and Y.W.; formal analysis, Q.Y.; investigation, G.L.; resources, N.D.; data curation, W.W.; writing—original draft preparation, W.W., Q.Y. and Y.W.; writing—review and editing, W.W. and N.D.; visualization, Q.Y.; supervision, N.D.; funding acquisition, N.D. All authors have read and agreed to the published version of the manuscript.
Funding
This research was funded by the Special Funds of the Tongji University for the “Sino-German Cooperation 2.0 Strategy”, grant number ZD2023007; the Key Laboratory of Ecology and Energy Saving Study of Dense Habitat (Tongji University), Ministry of Education, in collaboration with Shanghai Tongji Urban Planning and Design Institute Co., Joint Open Topic of 2022, grant number KY-2022-LH-A05; University-Industry Collaborative Education Program, Ministry of Education, PRC, grant number 231100155154454.
Data Availability Statement
The raw data supporting the conclusions of this article will be made available by the authors on request.
Conflicts of Interest
Author Weixuan Wei was employed by the company Future Urban (Shanghai) Design Consulting Co., Ltd., Author Guanpeng Liu was employed by the company Shanghai Yaoshun Architectural Co., Ltd. The remaining authors declare that the research was conducted in the absence of any commercial or financial relationships that could be construed as a potential conflict of interest. The authors declare that this study received funding from Shanghai Tongji Urban Planning and Design Institute Co. The funder was not involved in the study design, collection, analysis, interpretation of data, the writing of this article or the decision to submit it for publication.
Appendix A
Table A1.
Standardized coefficients of ridge regression models by all participants.
Table A1.
Standardized coefficients of ridge regression models by all participants.
| coef. | std err | t | P | R2 | F | |
|---|---|---|---|---|---|---|
| NPP—average | ||||||
| const | 3.22283 × 100 | 0.148 | 21.706 | 0.000 *** | 0.087 | 4.158 (0.000 ***) |
| 8 m | −4.04847 × 10−1 | 0.231 | −1.751 | 0.081 * | ||
| 15 m | −4.10597 × 10−1 | 0.256 | −1.604 | 0.11 | ||
| 25 m | 2.45486 × 10−1 | 0.287 | 0.856 | 0.393 | ||
| 35 m | 3.74992 × 10−1 | 0.254 | 1.476 | 0.141 | ||
| 50 m | 4.41862 × 10−1 | 0.252 | 1.75 | 0.081* | ||
| 75 m | 1.33344 × 10−1 | 0.22 | 0.605 | 0.546 | ||
| 100 m | 3.05538 × 10−1 | 0.272 | 1.122 | 0.263 | ||
| Pollution mediation—PM10—average | ||||||
| const | 3.04647 × 100 | 0.082 | 37.201 | 0.000 *** | 0.205 | 11.293 (0.000 ***) |
| 8 m | 5.84892 × 10−4 | 0.001 | 0.404 | 0.687 | ||
| 15 m | 3.35597 × 10−3 | 0.001 | 2.348 | 0.020 ** | ||
| 25 m | 1.33010 × 10−3 | 0.002 | 0.742 | 0.458 | ||
| 35 m | 3.10330 × 10−3 | 0.002 | 1.482 | 0.139 | ||
| 50 m | 6.93850 × 10−3 | 0.003 | 2.424 | 0.016 ** | ||
| 75 m | 6.48556 × 10−3 | 0.003 | 1.887 | 0.060 * | ||
| 100 m | −2.79892 × 10−3 | 0.004 | −0.633 | 0.527 | ||
| Water flow retention | ||||||
| const | 3.85117 × 100 | 0.055 | 70.129 | 0.000 *** | 0.288 | 17.744 (0.000 ***) |
| 8 m | 1.45180 × 10−3 | 0.001 | 2.395 | 0.017 ** | ||
| 15 m | 5.66464 × 10−4 | 0 | 3.488 | 0.001 *** | ||
| 25 m | 1.29561 × 10−4 | 0 | 1.952 | 0.052 * | ||
| 35 m | 5.07074 × 10−5 | 0 | 1.408 | 0.16 | ||
| 50 m | 7.63139 × 10−6 | 0 | 0.379 | 0.705 | ||
| 75 m | 1.42507 × 10−5 | 0 | 1.638 | 0.103 | ||
| 100 m | 3.95974 × 10−7 | 0 | 0.061 | 0.951 | ||
| Temperature regulation | ||||||
| const | 1.15460 × 101 | 0.897 | 12.865 | 0.000 *** | 0.438 | 34.114 (0.000 ***) |
| 8 m | −1.35682 × 10−1 | 0.018 | −7.554 | 0.000 *** | ||
| 15 m | −8.02565 × 10−2 | 0.019 | −4.227 | 0.000 *** | ||
| 25 m | −4.83078 × 10−2 | 0.019 | −2.566 | 0.011 ** | ||
| 35 m | −1.53078 × 10−2 | 0.021 | −0.746 | 0.456 | ||
| 50 m | 9.52292 × 10−3 | 0.024 | 0.393 | 0.695 | ||
| 75 m | 1.23506 × 10−2 | 0.022 | 0.568 | 0.57 | ||
| 100 m | 1.51034 × 10−2 | 0.028 | 0.546 | 0.586 | ||
| Recreation and enjoyment | ||||||
| const | 3.13800 × 100 | 0.091 | 34.612 | 0.000 *** | 0.045 | 2.046 (0.049 **) |
| 8 m | 2.54941 × 10−5 | 0 | 1.933 | 0.054 * | ||
| 15 m | 7.88871 × 10−7 | 0 | 0.062 | 0.95 | ||
| 25 m | −1.14759 × 10−6 | 0 | −0.084 | 0.933 | ||
| 35 m | −1.52468 × 10−5 | 0 | −1.095 | 0.274 | ||
| 50 m | 1.65244 × 10−5 | 0 | 1.13 | 0.26 | ||
| 75 m | 2.47760 × 10−5 | 0 | 1.698 | 0.091 * | ||
| 100 m | −1.74262 × 10−5 | 0 | −1.409 | 0.16 | ||
| Aesthetics experience | ||||||
| const | 3.29297 × 100 | 0.26 | 12.664 | 0.000 *** | 0.065 | 3.068 (0.004 ***) |
| 8 m | −5.21561 × 10−2 | 0.03 | −1.765 | 0.079 * | ||
| 15 m | 9.21160 × 10−4 | 0.027 | 0.034 | 0.973 | ||
| 25 m | 6.90967 × 10−3 | 0.027 | 0.257 | 0.797 | ||
| 35 m | −8.98622 × 10−2 | 0.031 | −2.892 | 0.004 *** | ||
| 50 m | −5.85399 × 10−3 | 0.037 | −0.158 | 0.875 | ||
| 75 m | 1.27572 × 10−1 | 0.043 | 2.935 | 0.004 *** | ||
| 100 m | −6.85384 × 10−2 | 0.054 | −1.258 | 0.209 | ||
Note: * p < 0.1. ** p < 0.05. *** p < 0.01.
Figure A1.
Spearman correlation of ecosystem service perception by different stakeholders. (A) Professionals and (B) residents. (Note: * p < 0.1. ** p < 0.05. *** p < 0.01).
Figure A1.
Spearman correlation of ecosystem service perception by different stakeholders. (A) Professionals and (B) residents. (Note: * p < 0.1. ** p < 0.05. *** p < 0.01).

Figure A2.
Spearman correlation of ecosystem service perception by different on-site experience. (A) Unfamiliar (never visited the park) and (B) familiar (have visited the park). (Note: * p < 0.1. ** p < 0.05. *** p < 0.01).
Figure A2.
Spearman correlation of ecosystem service perception by different on-site experience. (A) Unfamiliar (never visited the park) and (B) familiar (have visited the park). (Note: * p < 0.1. ** p < 0.05. *** p < 0.01).

Figure A3.
Spearman correlation between ESs and all participants. (Note: ** p < 0.05. *** p < 0.01).
Figure A3.
Spearman correlation between ESs and all participants. (Note: ** p < 0.05. *** p < 0.01).

References
- Häyhä, T.; Franzese, P.P. Ecosystem Services Assessment: A Review under an Ecological-Economic and Systems Perspective. Ecol. Model. 2014, 289, 124–132. [Google Scholar] [CrossRef]
- Fisher, B.; Turner, R.K.; Morling, P. Defining and Classifying Ecosystem Services for Decision Making. Ecol. Econ. 2009, 68, 643–653. [Google Scholar] [CrossRef]
- Wallace, K.J. Classification of Ecosystem Services: Problems and Solutions. Biol. Conserv. 2007, 139, 235–246. [Google Scholar] [CrossRef]
- Hernández-Morcillo, M.; Plieninger, T.; Bieling, C. An Empirical Review of Cultural Ecosystem Service Indicators. Ecol. Indic. 2013, 29, 434–444. [Google Scholar] [CrossRef]
- Zhu, S.C.; Huang, J.L.; Zhao, Y.L. Coupling Coordination Analysis of Ecosystem Services and Urban Development of Resource-Based Cities: A Case Study of Tangshan City. Ecol. Indic. 2022, 136, 108706. [Google Scholar] [CrossRef]
- Song, F.; Su, F.L.; Mi, C.X.; Sun, D. Analysis of Driving Forces on Wetland Ecosystem Services Value Change: A Case in Northeast China. Sci. Total Environ. 2021, 751, 141778. [Google Scholar] [CrossRef]
- Lyu, R.; Zhang, J.; Xu, M.; Li, J. Impacts of Urbanization on Ecosystem Services and Their Temporal Relations: A Case Study in Northern Ningxia, China. Land Use Policy 2018, 77, 163–173. [Google Scholar] [CrossRef]
- Lovell, S.T.; Taylor, J.R. Supplying Urban Ecosystem Services through Multifunctional Green Infrastructure in the United States. Landsc. Ecol. 2013, 28, 1447–1463. [Google Scholar] [CrossRef]
- VanderWilde, C.P.; Newell, J.P. Ecosystem Services and Life Cycle Assessment: A Bibliometric Review. Resour. Conserv. Recycl. 2021, 169, 105461. [Google Scholar] [CrossRef]
- Zhang, C.; Su, B.; Beckmann, M.; Volk, M. Emergy-Based Evaluation of Ecosystem Services: Progress and Perspectives. Renew. Sustain. Energy Rev. 2024, 192, 114201. [Google Scholar] [CrossRef]
- Chettri, N.; Aryal, K.; Thapa, S.; Uddin, K.; Kandel, P.; Karki, S. Contribution of Ecosystem Services to Rural Livelihoods in a Changing Landscape: A Case Study from the Eastern Himalaya. Land Use Policy 2021, 109, 105643. [Google Scholar] [CrossRef]
- Ellili-Bargaoui, Y.; Walter, C.; Lemercier, B.; Michot, D. Assessment of Six Soil Ecosystem Services by Coupling Simulation Modelling and Field Measurement of Soil Properties. Ecol. Indic. 2021, 121, 107211. [Google Scholar] [CrossRef]
- Yang, W.; Yang, Z. Integrating Ecosystem-Service Tradeoffs into Environmental Flows Decisions for Baiyangdian Lake. Ecol. Eng. 2014, 71, 539–550. [Google Scholar] [CrossRef]
- Leviston, Z.; Walker, I.; Green, M.; Price, J. Linkages between Ecosystem Services and Human Wellbeing: A Nexus Webs Approach. Ecol. Indic. 2018, 93, 658–668. [Google Scholar] [CrossRef]
- Swetnam, R.D.; Fisher, B.; Mbilinyi, B.P.; Munishi, P.K.T.; Willcock, S.; Ricketts, T.; Mwakalila, S.; Balmford, A.; Burgess, N.D.; Marshall, A.R.; et al. Mapping Socio-Economic Scenarios of Land Cover Change: A GIS Method to Enable Ecosystem Service Modelling. J. Environ. Manag. 2011, 92, 563–574. [Google Scholar] [CrossRef]
- Martínez-Harms, M.J.; Balvanera, P. Methods for Mapping Ecosystem Service Supply: A Review. Int. J. Biodivers. Sci. Ecosyst. Serv. Manag. 2012, 8, 17–25. [Google Scholar] [CrossRef]
- Yang, D.; Liu, W.; Tang, L.Y.; Chen, L.; Li, X.Z.; Xu, X.L. Estimation of Water Provision Service for Monsoon Catchments of South China: Applicability of the InVEST Model. Landsc. Urban Plan. 2019, 182, 133–143. [Google Scholar] [CrossRef]
- Semmens, D.J.; Sherrouse, B.C.; Ancona, Z.H. Using Social-Context Matching to Improve Spatial Function-Transfer Performance for Cultural Ecosystem Service Models. Ecosyst. Serv. 2019, 38, 100945. [Google Scholar] [CrossRef]
- Bagstad, K.J.; Semmens, D.; Villa, F.; Johnson, G.W. Quantifying and Valuing Ecosystem Services: An Application of ARIES to the San Pedro River Basin, USA. In Handbook on the Economics of Ecosystem Services and Biodiversity; Edward Elgar Publishing: Cheltenham, UK, 2014; ISBN 978-1-78195-151-4. [Google Scholar]
- Koellner, T.; Bonn, A.; Arnhold, S.; Bagstad, K.J.; Fridman, D.; Guerra, C.A.; Kastner, T.; Kissinger, M.; Kleemann, J.; Kuhlicke, C.; et al. Guidance for Assessing Interregional Ecosystem Service Flows. Ecol. Indic. 2019, 105, 92–106. [Google Scholar] [CrossRef]
- Turner, K.G.; Anderson, S.; Gonzales-Chang, M.; Costanza, R.; Courville, S.; Dalgaard, T.; Dominati, E.; Kubiszewski, I.; Ogilvy, S.; Porfirio, L.; et al. A Review of Methods, Data, and Models to Assess Changes in the Value of Ecosystem Services from Land Degradation and Restoration. Ecol. Model. 2016, 319, 190–207. [Google Scholar] [CrossRef]
- Li, Y.; Liu, Z.; Li, S.; Li, X. Multi-Scenario Simulation Analysis of Land Use and Carbon Storage Changes in Changchun City Based on FLUS and InVEST Model. Land 2022, 11, 647. [Google Scholar] [CrossRef]
- Petrakis, R.E.; Norman, L.M.; Lysaght, O.; Sherrouse, B.C.; Semmens, D.; Bagstad, K.J.; Pritzlaff, R. Mapping Perceived Social Values to Support a Respondent-Defined Restoration Economy: Case Study in Southeastern Arizona, USA. Air Soil Water Res. 2020, 13, 1178622120913318. [Google Scholar] [CrossRef]
- Bodnaruk, E.W.; Kroll, C.N.; Yang, Y.; Hirabayashi, S.; Nowak, D.J.; Endreny, T.A. Where to Plant Urban Trees? A Spatially Explicit Methodology to Explore Ecosystem Service Tradeoffs. Landsc. Urban Plan. 2017, 157, 457–467. [Google Scholar] [CrossRef]
- Hao, R.; Yu, D.; Liu, Y.; Liu, Y.; Qiao, J.; Wang, X.; Du, J. Impacts of Changes in Climate and Landscape Pattern on Ecosystem Services. Sci. Total Environ. 2017, 579, 718–728. [Google Scholar] [CrossRef]
- Chen, W.; Zeng, J.; Chu, Y.; Liang, J. Impacts of Landscape Patterns on Ecosystem Services Value: A Multiscale Buffer Gradient Analysis Approach. Remote Sens. 2021, 13, 2551. [Google Scholar] [CrossRef]
- Zhang, J.; Li, S.; Dong, R.; Jiang, C.; Ni, M. Influences of Land Use Metrics at Multi-Spatial Scales on Seasonal Water Quality: A Case Study of River Systems in the Three Gorges Reservoir Area, China. J. Clean. Prod. 2019, 206, 76–85. [Google Scholar] [CrossRef]
- Kinnoumè, S.M.D.; Gouwakinnou, G.N.; Noulèkoun, F.; Balagueman, R.O.; Houehanou, T.D.; Natta, A.K. Trees Diversity Explains Variations in Biodiversity-Ecosystem Function Relationships across Environmental Gradients and Conservation Status in Riparian Corridors. Front. For. Glob. Chang. 2024, 7, 1291252. [Google Scholar] [CrossRef]
- Breitbach, N.; Tillmann, S.; Schleuning, M.; Grünewald, C.; Laube, I.; Steffan-Dewenter, I.; Böhning-Gaese, K. Influence of Habitat Complexity and Landscape Configuration on Pollination and Seed-Dispersal Interactions of Wild Cherry Trees. Oecologia 2012, 168, 425–437. [Google Scholar] [CrossRef]
- Xiao, Y.; Piao, Y.; Pan, C.; Lee, D.; Zhao, B. Using Buffer Analysis to Determine Urban Park Cooling Intensity: Five Estimation Methods for Nanjing, China. Sci. Total Environ. 2023, 868, 161463. [Google Scholar] [CrossRef]
- Wolf, K.L. The Changing Importance of Ecosystem Services across the Landscape Gradient. In Urban-Rural Interfaces; Laband, D.N., Lockaby, B.G., Zipperer, W.C., Eds.; American Society of Agronomy, Soil Science Society of America, Crop Science Society of America, Inc.: Madison, WI, USA, 2012; pp. 127–146. ISBN 978-0-89118-616-8. [Google Scholar]
- McDonnell, M.J.; Pickett, S.T.A. Ecosystem Structure and Function along Urban-Rural Gradients: An Unexploited Opportunity for Ecology. Ecology 1990, 71, 1232–1237. [Google Scholar] [CrossRef]
- Wiederkehr, F.; Wilkinson, C.L.; Zeng, Y.; Yeo, D.C.J.; Ewers, R.M.; O’Gorman, E.J. Urbanisation Affects Ecosystem Functioning More than Structure in Tropical Streams. Biol. Conserv. 2020, 249, 108634. [Google Scholar] [CrossRef]
- Campbell, A.J.; Lichtenberg, E.M.; Carvalheiro, L.G.; Menezes, C.; Borges, R.C.; Coelho, B.W.T.; Freitas, M.A.B.; Giannini, T.C.; Leão, K.L.; De Oliveira, F.F.; et al. High Bee Functional Diversity Buffers Crop Pollination Services against Amazon Deforestation. Agric. Ecosyst. Environ. 2022, 326, 107777. [Google Scholar] [CrossRef]
- Pulighe, G.; Fava, F.; Lupia, F. Insights and Opportunities from Mapping Ecosystem Services of Urban Green Spaces and Potentials in Planning. Ecosyst. Serv. 2016, 22, 1–10. [Google Scholar] [CrossRef]
- Benez-Secanho, F.J.; Dwivedi, P. Analyzing the Provision of Ecosystem Services by Conservation Easements and Other Protected and Non-Protected Areas in the Upper Chattahoochee Watershed. Sci. Total Environ. 2020, 717, 137218. [Google Scholar] [CrossRef]
- Jager, H.I.; Nair, S.S.; Efroymson, R.A.; DeRolph, C.R.; Parish, E.S.; Wang, G. Ecosystem Services from Partially Harvested Riparian Buffers Can Offset Biomass Production Costs. Sci. Total Environ. 2023, 889, 164199. [Google Scholar] [CrossRef]
- Ferretti, V. From Stakeholders Analysis to Cognitive Mapping and Multi-Attribute Value Theory: An Integrated Approach for Policy Support. Eur. J. Oper. Res. 2016, 253, 524–541. [Google Scholar] [CrossRef]
- Zhang, W.; Yu, Y.; Wu, X.; Pereira, P.; Lucas Borja, M.E. Integrating Preferences and Social Values for Ecosystem Services in Local Ecological Management: A Framework Applied in Xiaojiang Basin Yunnan Province, China. Land Use Policy 2020, 91, 104339. [Google Scholar] [CrossRef]
- Jericó-Daminello, C.; Schröter, B.; Mancilla Garcia, M.; Albert, C. Exploring Perceptions of Stakeholder Roles in Ecosystem Services Coproduction. Ecosyst. Serv. 2021, 51, 101353. [Google Scholar] [CrossRef]
- Pagdee, A.; Kawasaki, J. The Importance of Community Perceptions and Capacity Building in Payment for Ecosystems Services: A Case Study at Phu Kao, Thailand. Ecosyst. Serv. 2021, 47, 101224. [Google Scholar] [CrossRef]
- Iniesta-Arandia, I.; García-Llorente, M.; Aguilera, P.A.; Montes, C.; Martín-López, B. Socio-Cultural Valuation of Ecosystem Services: Uncovering the Links between Values, Drivers of Change, and Human Well-Being. Ecol. Econ. 2014, 108, 36–48. [Google Scholar] [CrossRef]
- Zhang, D.; Li, Z.; Zhong, J.; Yang, J. A Framework for Prioritizing Urban Ecological Infrastructure (UEI) Implementation Tasks Based on Residents’ Ecological Demands and Government Policies. J. Environ. Manag. 2024, 354, 120369. [Google Scholar] [CrossRef] [PubMed]
- Wang, Y.; Sun, J.; Liu, C.; Liu, L. Exploring the Nexus between Perceived Ecosystem Services and Well-Being of Rural Residents in a Mountainous Area, China. Appl. Geogr. 2024, 164, 103215. [Google Scholar] [CrossRef]
- Haase, D.; Larondelle, N.; Andersson, E.; Artmann, M.; Borgström, S.; Breuste, J.; Gomez-Baggethun, E.; Gren, Å.; Hamstead, Z.; Hansen, R.; et al. A Quantitative Review of Urban Ecosystem Service Assessments: Concepts, Models, and Implementation. AMBIO 2014, 43, 413–433. [Google Scholar] [CrossRef] [PubMed]
- Gomes, G.C.; Gomes, J.C.C.; Barbieri, R.L.; Miura, A.K.; de Sousa, L.P. Environmental and Ecosystem Services, Tree Diversity and Knowledge of Family Farmers. Floresta Ambiente 2019, 26, e20160314. [Google Scholar] [CrossRef]
- Ulicsni, V.; Babai, D.; Juhász, E.; Molnár, Z.; Biró, M. Local Knowledge about a Newly Reintroduced, Rapidly Spreading Species (Eurasian Beaver) and Perception of Its Impact on Ecosystem Services. PLoS ONE 2020, 15, e0233506. [Google Scholar] [CrossRef]
- Ciftcioglu, G.C. Assessment of the Relationship between Ecosystem Services and Human Wellbeing in the Social-Ecological Landscapes of Lefke Region in North Cyprus. Landsc. Ecol. 2017, 32, 897–913. [Google Scholar] [CrossRef]
- Plieninger, T.; Dijks, S.; Oteros-Rozas, E.; Bieling, C. Assessing, Mapping, and Quantifying Cultural Ecosystem Services at Community Level. Land Use Policy 2013, 33, 118–129. [Google Scholar] [CrossRef]
- Chen, H.; Qiu, L.; Gao, T. Application of the Eight Perceived Sensory Dimensions as a Tool for Urban Green Space Assessment and Planning in China. Urban For. Urban Green. 2019, 40, 224–235. [Google Scholar] [CrossRef]
- Hermes, J.; Van Berkel, D.; Burkhard, B.; Plieninger, T.; Fagerholm, N.; von Haaren, C.; Albert, C. Assessment and Valuation of Recreational Ecosystem Services of Landscapes. Ecosyst. Serv. 2018, 31, 289–295. [Google Scholar] [CrossRef]
- Ji, J.L.; Heyes, S.B.; MacLeod, C.; Holmes, E.A. Emotional Mental Imagery as Simulation of Reality: Fear and Beyond—A Tribute to Peter Lang. Behav. Ther. 2016, 47, 702–719. [Google Scholar] [CrossRef]
- Yang, Y.; Lu, Y.; Yang, L.; Gou, Z.; Zhang, X. Urban Greenery, Active School Transport, and Body Weight among Hong Kong Children. Travel Behav. Soc. 2020, 20, 104–113. [Google Scholar] [CrossRef]
- Dai, S.; Li, Y.; Stein, A.; Yang, S.; Jia, P. Street View Imagery-Based Built Environment Auditing Tools: A Systematic Review. Int. J. Geogr. Inf. Sci. 2024, 38, 1136–1157. [Google Scholar] [CrossRef]
- Luo, J.; Zhao, T.; Cao, L.; Biljecki, F. Water View Imagery: Perception and Evaluation of Urban Waterscapes Worldwide. Ecol. Indic. 2022, 145, 109615. [Google Scholar] [CrossRef]
- Lu, Y.; Ferranti, E.J.S.; Chapman, L.; Pfrang, C. Assessing Urban Greenery by Harvesting Street View Data: A Review. Urban For. Urban Green. 2023, 83, 127917. [Google Scholar] [CrossRef]
- Wang, W.; Xiao, L.; Zhang, J.; Yang, Y.; Tian, P.; Wang, H.; He, X. Potential of Internet Street-View Images for Measuring Tree Sizes in Roadside Forests. Urban For. Urban Green. 2018, 35, 211–220. [Google Scholar] [CrossRef]
- Yu, X.; Qi, W. Measuring Vegetation Greenery in Park Using iPhone Panoramic Image and a New Green Vegetation Extraction Index. Urban For. Urban Green. 2021, 65, 127310. [Google Scholar] [CrossRef]
- Xiao, Y.; Zhang, Y.H.; Sun, Y.Y.; Tao, P.H.; Kuang, X.M. Does Green Space Really Matter for Residents’ Obesity? A New Perspective From Baidu Street View. Front. Public Health 2020, 8, 332. [Google Scholar] [CrossRef]
- Gledhill, D.; Tian, G.Y.; Taylor, D.; Clarke, D. Panoramic Imaging—A Review. Comput. Graph. 2003, 27, 435–445. [Google Scholar] [CrossRef]
- Tian, T.; Sun, L.; Peng, S.; Sun, F.; Che, Y. Understanding the Process from Perception to Cultural Ecosystem Services Assessment by Comparing Valuation Methods. Urban For. Urban Green. 2021, 57, 126945. [Google Scholar] [CrossRef]
- Dunford, R.; Harrison, P.; Smith, A.; Dick, J.; Barton, D.N.; Martin-Lopez, B.; Kelemen, E.; Jacobs, S.; Saarikoski, H.; Turkelboom, F.; et al. Integrating Methods for Ecosystem Service Assessment: Experiences from Real World Situations. Ecosyst. Serv. 2018, 29, 499–514. [Google Scholar] [CrossRef]
- Gos, P.; Lavorel, S. Stakeholders’ Expectations on Ecosystem Services Affect the Assessment of Ecosystem Services Hotspots and Their Congruence with Biodiversity. Int. J. Biodivers. Sci. Ecosyst. Serv. Manag. 2012, 8, 93–106. [Google Scholar] [CrossRef]
- Bryce, R.; Irvine, K.N.; Church, A.; Fish, R.; Ranger, S.; Kenter, J.O. Subjective Well-Being Indicators for Large-Scale Assessment of Cultural Ecosystem Services. Ecosyst. Serv. 2016, 21, 258–269. [Google Scholar] [CrossRef]
- Friedrich, L.A.; Glegg, G.; Fletcher, S.; Dodds, W.; Philippe, M.; Bailly, D. Using Ecosystem Service Assessments to Support Participatory Marine Spatial Planning. Ocean Coast. Manag. 2020, 188, 105121. [Google Scholar] [CrossRef]
- Lopes, R.; Videira, N. Valuing Marine and Coastal Ecosystem Services: An Integrated Participatory Framework. Ocean Coast. Manag. 2013, 84, 153–162. [Google Scholar] [CrossRef]
- Aretano, R.; Petrosillo, I.; Zaccarelli, N.; Semeraro, T.; Zurlini, G. People Perception of Landscape Change Effects on Ecosystem Services in Small Mediterranean Islands: A Combination of Subjective and Objective Assessments. Landsc. Urban Plan. 2013, 112, 63–73. [Google Scholar] [CrossRef]
- Frank, S.; Fürst, C.; Koschke, L.; Witt, A.; Makeschin, F. Assessment of Landscape Aesthetics—Validation of a Landscape Metrics-Based Assessment by Visual Estimation of the Scenic Beauty. Ecol. Indic. 2013, 32, 222–231. [Google Scholar] [CrossRef]
- Kim, H.; Han, S. Interactive 3D Building Modeling Method Using Panoramic Image Sequences and Digital Map. Multimed. Tools Appl. 2018, 77, 27387–27404. [Google Scholar] [CrossRef]
- Ogasawara, Y. New Seasonal Measurement with Stability and Clustering Seasonal Patterns: A Case Study in Japan from 2011 to 2019. PLoS ONE 2022, 17, e0267453. [Google Scholar] [CrossRef]
- Ito, K.; Biljecki, F. Assessing Bikeability with Street View Imagery and Computer Vision. Transp. Res. Part C Emerg. Technol. 2021, 132, 103371. [Google Scholar] [CrossRef]
- Zhou, B.; Zhao, H.; Puig, X.; Xiao, T.; Fidler, S.; Barriuso, A.; Torralba, A. Semantic Understanding of Scenes Through the ADE20K Dataset. Int. J. Comput. Vis. 2019, 127, 302–321. [Google Scholar] [CrossRef]
- Martinez-Sanchez, L.; See, L.; Yordanov, M.; Verhegghen, A.; Elvekjaer, N.; Muraro, D.; d’Andrimont, R.; Van Der Velde, M. Automatic Classification of Land Cover from LUCAS In-Situ Landscape Photos Using Semantic Segmentation and a Random Forest Model. Environ. Model. Softw. 2024, 172, 105931. [Google Scholar] [CrossRef]
- Wang, R.; Liu, Y.; Lu, Y.; Yuan, Y.; Zhang, J.; Liu, P.; Yao, Y. The Linkage between the Perception of Neighbourhood and Physical Activity in Guangzhou, China: Using Street View Imagery with Deep Learning Techniques. Int. J. Health Geogr. 2019, 18, 18. [Google Scholar] [CrossRef] [PubMed]
- Li, X. Quantifying the Shade Provision of Street Trees in Urban Landscape—A Case Study in Boston, USA, Using Google Street View. Landsc. Urban Plan. 2018, 169, 81–91. [Google Scholar] [CrossRef]
- Bolund, P.; Hunhammar, S. Ecosystem Services in Urban Areas. Ecol. Econ. 1999, 29, 293–301. [Google Scholar] [CrossRef]
- Giedych, R.; Maksymiuk, G. Specific Features of Parks and Their Impact on Regulation and Cultural Ecosystem Services Provision in Warsaw, Poland. Sustainability 2017, 9, 792. [Google Scholar] [CrossRef]
- Buchel, S.; Frantzeskaki, N. Citizens’ Voice: A Case Study about Perceived Ecosystem Services by Urban Park Users in Rotterdam, the Netherlands. Ecosyst. Serv. 2015, 12, 169–177. [Google Scholar] [CrossRef]
- Xie, Q.; Yue, Y.; Sun, Q.; Chen, S.; Lee, S.-B.; Kim, S.W. Assessment of Ecosystem Service Values of Urban Parks in Improving Air Quality: A Case Study of Wuhan, China. Sustainability 2019, 11, 6519. [Google Scholar] [CrossRef]
- Preston, P.D.; Dunk, R.M.; Smith, G.R.; Cavan, G. Examining Regulating Ecosystem Service Provision by Brownfield and Park Typologies and Their Urban Distribution. Urban For. Urban Green. 2024, 95, 128311. [Google Scholar] [CrossRef]
- Koh, Y.F.; Loc, H.H.; Park, E. Towards a “City in Nature”: Evaluating the Cultural Ecosystem Services Approach Using Online Public Participation GIS to Support Urban Green Space Management. Sustainability 2022, 14, 1499. [Google Scholar] [CrossRef]
- Cannell, M.G.R. World Forest Biomass and Primary Production Data; Academic Press Inc.: London, UK; New York, NY, USA, 1982; ISBN 978-0-12-158780-2. [Google Scholar]
- Mitchell, C.P.; Zsuffa, L.; Andersson, S.; Stevens, D.J. Forestry, Forest Biomass, and Biomass Conversion: The IEA Bioenergy Agreement (1986–1989) Summary Reports; Elsevier Applied Science: Amsterdam, The Netherlands, 1990; ISBN 978-1-85166-443-6. [Google Scholar]
- Shanghai Tongji Urban Planning & Design Institute. Design of Comprehensive Renovation Plan of Century Park; Shanghai Tongji Urban Planning & Design Institute: Shanghai, China, 2018; p. 104. [Google Scholar]
- Wang, Z. The Analysis of Practice on Enhancing the Ecologically Scenic Function in Shanghai Century Park. Master’s Thesis, Shanghai Jiao Tong University, Shanghai, China, 2009. [Google Scholar]
- Pereira, P.; Inácio, M.; Pinto, L.; Kalinauskas, M.; Bogdzevic, K.; Zhao, W. Mapping Ecosystem Services in Urban and Peri-urban Areas. A Systematic Review. Geogr. Sustain. 2024, 5, 491–509. [Google Scholar] [CrossRef]
- Simeon, M.; Wana, D. Impacts of Land Use Land Cover Dynamics on Ecosystem Services in Maze National Park and Its Environs, Southwestern Ethiopia. Heliyon 2024, 10, e30704. [Google Scholar] [CrossRef] [PubMed]
- Zhang, B.; Feng, Q.; Lu, Z.; Li, Z.; Zhang, B.; Cheng, W. Ecosystem Service Value and Ecological Compensation in Qilian Mountain National Park: Implications for Ecological Conservation Strategies. Ecol. Indic. 2024, 167, 112661. [Google Scholar] [CrossRef]
- Wu, J.; Wang, Y.; Qiu, S.; Peng, J. Using the Modified I-Tree Eco Model to Quantify Air Pollution Removal by Urban Vegetation. Sci. Total Environ. 2019, 688, 673–683. [Google Scholar] [CrossRef] [PubMed]
- Arnaiz-Schmitz, C.; Herrero-Jáuregui, C.; Schmitz, M.F. Recreational and Nature-Based Tourism as a Cultural Ecosystem Service. Assessment and Mapping in a Rural-Urban Gradient of Central Spain. Land 2021, 10, 343. [Google Scholar] [CrossRef]
- Fischer, L.K.; Honold, J.; Botzat, A.; Brinkmeyer, D.; Cvejić, R.; Delshammar, T.; Elands, B.; Haase, D.; Kabisch, N.; Karle, S.J.; et al. Recreational Ecosystem Services in European Cities: Sociocultural and Geographical Contexts Matter for Park Use. Ecosyst. Serv. 2018, 31, 455–467. [Google Scholar] [CrossRef]
- Balzan, M.V.; Debono, I. Assessing Urban Recreation Ecosystem Services through the Use of Geocache Visitation and Preference Data: A Case-Study from an Urbanised Island Environment. One Ecosyst. 2018, 3, e24490. [Google Scholar] [CrossRef]
- Jahani, A.; Allahverdi, S.; Saffariha, M.; Alitavoli, A.; Ghiyasi, S. Environmental Modeling of Landscape Aesthetic Value in Natural Urban Parks Using Artificial Neural Network Technique. Model. Earth Syst. Environ. 2022, 8, 163–172. [Google Scholar] [CrossRef]
- Yue, W.; Xu, J.; Tan, W.; Xu, L. The Relationship between Land Surface Temperature and NDVI with Remote Sensing: Application to Shanghai Landsat 7 ETM+ Data. Int. J. Remote Sens. 2007, 28, 3205–3226. [Google Scholar] [CrossRef]
- Baraldi, R.; Chieco, C.; Neri, L.; Facini, O.; Rapparini, F.; Morrone, L.; Rotondi, A.; Carriero, G. An Integrated Study on Air Mitigation Potential of Urban Vegetation: From a Multi-Trait Approach to Modeling. Urban For. Urban Green. 2019, 41, 127–138. [Google Scholar] [CrossRef]
- Depellegrin, D.; Blazauskas, N.; Vigl, L.E. Aesthetic Value Characterization of Landscapes in Coastal Zones. In Proceedings of the 2012 IEEE/OES Baltic International Symposium (BALTIC), Klaipeda, Lithuania, 8–10 May 2012; pp. 1–6. [Google Scholar]
- Norman, J.F.; Adkins, O.C.; Pedersen, L.E.; Reyes, C.M.; Wulff, R.A.; Tungate, A. The Visual Perception of Exocentric Distance in Outdoor Settings. Vis. Res. 2015, 117, 100–104. [Google Scholar] [CrossRef]
- Lynch, K.; Hack, G. Site Planning, 3rd ed.; MIT Press: Cambridge, MA, USA, 1984; ISBN 978-0-262-12106-4. [Google Scholar]
- Gehl, J. Life Between Buildings: Using Public Space; Island Press: Washington, DC, USA, 2011. [Google Scholar]
- Wu, B.; Liang, W.; Wang, J.; Cui, D. Rural Residents’ Perceptions of Ecosystem Services: A Study from Three Topographic Areas in Shandong Province, China. Land 2022, 11, 1034. [Google Scholar] [CrossRef]
- Huber, R.; Finger, R. A Meta-analysis of the Willingness to Pay for Cultural Services from Grasslands in Europe. J. Agric. Econ. 2020, 71, 357–383. [Google Scholar] [CrossRef]
- Typhina, E. Urban Park Design + Love for Nature: Interventions for Visitor Experiences and Social Networking. Environ. Educ. Res. 2017, 23, 1169–1181. [Google Scholar] [CrossRef]
- Wilson, J.; Rose, J. A Predator in the Park: Mixed Methods Analysis of User Preference for Coyotes in Urban Parks. Leis. Stud. 2019, 38, 435–451. [Google Scholar] [CrossRef]
- Crouch, M.; McKenzie, H. The Logic of Small Samples in Interview-Based Qualitative Research. Soc. Sci. Inf. 2006, 45, 483–499. [Google Scholar] [CrossRef]
- Wang, P.; Han, L.; Hao, R.; Mei, R. Understanding the Relationship between Small Urban Parks and Mental Health: A Case Study in Shanghai, China. Urban For. Urban Green. 2022, 78, 127784. [Google Scholar] [CrossRef]
- Xu, W.; Zhao, J. Investigating Visual Aesthetic Fatigue in Urban Green Spaces. Int. J. Environ. Res. 2023, 17, 27. [Google Scholar] [CrossRef]
- Larson, L.R.; Jennings, V.; Cloutier, S.A. Public Parks and Wellbeing in Urban Areas of the United States. PLoS ONE 2016, 11, e0153211. [Google Scholar] [CrossRef]
- Shekhar, S. Encyclopedia of GIS, 2nd ed.; Springer: Berlin/Heidelberg, Germany; New York, NY, USA, 2017; ISBN 978-3-319-17884-4. [Google Scholar]
- García, C.B.; García, J.; Martín, M.M.L.; Salmerón, R. Collinearity: Revisiting the Variance Inflation Factor in Ridge Regression. J. Appl. Stat. 2015, 42, 648–661. [Google Scholar] [CrossRef]
- Ko, H.; Son, Y. Perceptions of Cultural Ecosystem Services in Urban Green Spaces: A Case Study in Gwacheon, Republic of Korea. Ecol. Indic. 2018, 91, 299–306. [Google Scholar] [CrossRef]
- Breiby, M.A. Exploring Aesthetic Dimensions in a Nature-Based Tourism Context. J. Vacat. Mark. 2014, 20, 163–173. [Google Scholar] [CrossRef]
- Zhao, K.; Xia, Q. Research on the Construction of Urban Green Open Space System Based on the Landscape Aesthetics Service Mapping: A Case Study of Xinwan District in Fushun County. Chin. Landsc. Archit. 2024, 40, 43–49. [Google Scholar] [CrossRef]
- Deng, X.; Xiong, K.; Yu, Y.; Zhang, S.; Kong, L.; Zhang, Y. A Review of Ecosystem Service Trade-Offs/Synergies: Enlightenment for the Optimization of Forest Ecosystem Functions in Karst Desertification Control. Forests 2023, 14, 88. [Google Scholar] [CrossRef]
- Chen, T.; Peng, L.; Wang, Q. Scenario Decision of Ecological Security Based on the Trade-off among Ecosystem Services. China Environ. Sci. 2021, 41, 3956–3968. [Google Scholar] [CrossRef]
- Saklaurs, M.; Lībiete, Z.; Donis, J.; Kitenberga, M.; Elferts, D.; Jūrmalis, E.; Jansons, Ā. Provision of Ecosystem Services in Riparian Hemiboreal Forest Fixed-Width Buffers. Forests 2022, 13, 928. [Google Scholar] [CrossRef]
- Thapa, P.; Torralba, M.; Bhaskar, D.; Nagendra, H.; Plieninger, T. Green in Grey: Ecosystem Services and Disservices Perceptions from Small-Scale Green Infrastructure along a Rural-Urban Gradient in Bengaluru, India. Ecosyst. People 2023, 19, 2223307. [Google Scholar] [CrossRef]
- Derkzen, M.L.; Van Teeffelen, A.J.A.; Verburg, P.H. REVIEW: Quantifying Urban Ecosystem Services Based on High-resolution Data of Urban Green Space: An Assessment for Rotterdam, the Netherlands. J. Appl. Ecol. 2015, 52, 1020–1032. [Google Scholar] [CrossRef]
- Lin, Y.; Zhang, M.; Gan, M.; Huang, L.; Zhu, C.; Zheng, Q.; You, S.; Ye, Z.; Shahtahmassebi, A.; Li, Y.; et al. Fine Identification of the Supply–Demand Mismatches and Matches of Urban Green Space Ecosystem Services with a Spatial Filtering Tool. J. Clean. Prod. 2022, 336, 130404. [Google Scholar] [CrossRef]
- Riechers, M.; Barkmann, J.; Tscharntke, T. Perceptions of Cultural Ecosystem Services from Urban Green. Ecosyst. Serv. 2016, 17, 33–39. [Google Scholar] [CrossRef]
- Yang, R.; Qin, B.; Lin, Y. Assessment of the Impact of Land Use Change on Spatial Differentiation of Landscape and Ecosystem Service Values in the Case of Study the Pearl River Delta in China. Land 2021, 10, 1219. [Google Scholar] [CrossRef]
- Ma, Y.; Yang, J. A Review of Methods for Quantifying Urban Ecosystem Services. Landsc. Urban Plan. 2025, 253, 105215. [Google Scholar] [CrossRef]
- Dai, P.; Zhang, S.; Liu, R.; Yang, Y. Research Advances in Cultural Ecosystem Services—An Analysis Based on Web of Science. Acta Ecol. Sin. 2019, 39, 1863–1875. [Google Scholar] [CrossRef]
- Cooper, N.; Brady, E.; Steen, H.; Bryce, R. Aesthetic and Spiritual Values of Ecosystems: Recognising the Ontological and Axiological Plurality of Cultural Ecosystem ‘Services’. Ecosyst. Serv. 2016, 21, 218–229. [Google Scholar] [CrossRef]
- Bartlett, R.V. Ecological Rationality: Reason and Environmental Policy. Environ. Ethics 1986, 8, 221–239. [Google Scholar] [CrossRef]
- Scholte, S.S.K. Integrating Socio-Cultural Perspectives into Ecosystem Service Valuation: A Review of Concepts and Methods. Ecol. Econ. 2015, 114, 67–78. [Google Scholar] [CrossRef]
- Taylor, L.E.; Hurley, P.T. (Eds.) A Comparative Political Ecology of Exurbia; Springer International Publishing: Cham, Switzerland, 2016; ISBN 978-3-319-29460-5. [Google Scholar]
- Rega, C. The Concept of Ecological Rationality and Its Application to Spatial Planning. In Ecological Rationality in Spatial Planning; Cities and Nature Series; Springer International Publishing: Cham, Switzerland, 2020; pp. 25–49. ISBN 978-3-030-33026-2. [Google Scholar]
- Benyus, J.; Dwyer, J.; El-Sayed, S.; Hayes, S.; Baumeister, D.; Penick, C.A. Ecological Performance Standards for Regenerative Urban Design. Sustain. Sci. 2022, 17, 2631–2641. [Google Scholar] [CrossRef]
- Liu, Y.; Fan, J.; Xie, S.; Chen, X. Study on the Spatial and Temporal Distribution of Thermal Comfort and Its Influencing Factors in Urban Parks. Atmosphere 2024, 15, 183. [Google Scholar] [CrossRef]
- Rao, F. Unravelling Key Environmental Factors Influencing Urban Park Visits: Thermal Comfort and Air Quality. Urban Clim. 2024, 57, 102096. [Google Scholar] [CrossRef]
- Zhao, J.; Liu, X.; Dong, R.; Shao, G. Landsenses Ecology and Ecological Planning toward Sustainable Development. Int. J. Sustain. Dev. World Ecol. 2016, 23, 293–297. [Google Scholar] [CrossRef]
- Yan, Y.; Tang, L. Extended Applications of Landsenses Ecology: An Introduction. Int. J. Sustain. Dev. World Ecol. 2021, 28, 585–587. [Google Scholar] [CrossRef]
- Tarsitano, E.; Sinibaldi, P.; Colao, V. Green Days in the Park: A Case Study on Landsenses Ecology. Int. J. Sustain. Dev. 2021, 28, 632–643. [Google Scholar] [CrossRef]
Disclaimer/Publisher’s Note: The statements, opinions and data contained in all publications are solely those of the individual author(s) and contributor(s) and not of MDPI and/or the editor(s). MDPI and/or the editor(s) disclaim responsibility for any injury to people or property resulting from any ideas, methods, instructions or products referred to in the content. |
© 2024 by the authors. Licensee MDPI, Basel, Switzerland. This article is an open access article distributed under the terms and conditions of the Creative Commons Attribution (CC BY) license (https://creativecommons.org/licenses/by/4.0/).









