The Cross-Verification of Different Methods for Soil Erosion Assessment of Natural and Agricultural Low Slopes in the Southern Cis-Ural Region of Russia
Abstract
1. Introduction
1.1. The Review and Description of Methods and Models for Soil Loss Estimation Used in Study
1.1.1. Short-Term Sediment Yield Measurements
1.1.2. Medium-Term Radiocesium (137Cs) Technique
1.1.3. Soil Profile Truncation Method
1.1.4. The WaTEM/SEDEM Model
1.1.5. The Snowmelt Erosion Models and the Regional Russian Model of State Hydrological Institute
2. Materials and Methods
2.1. Study Site and Main Geomorphological and Climatic Characteristics
2.2. Field Work and Sampling and Laboratory Analysis
2.3. Soil Loss Estimation
2.3.1. Field Soil Erosion Measurements/Observations and Simulation Experiments
2.3.2. Modeling
- WaTEM/SEDEM. Calculation of soil erosion rates was carried out using mathematical models separately for rainfall and snowmelt erosion only for cultivated slopes. Rainfall erosion was estimated using the WaTEM/SEDEM v. 2004 model [59,60]. We used a computer program developed at the Laboratory for Experimental Geomorphology (LEG), K.U. Leuven, Belgium [61]. The calculation algorithm is based on the RUSLE [58]. The following input parameters were used:
- SHI model. As was noted in the section above, the snowmelt-induced sediment yield in this study was estimated using the SHI model. Water reserves in snow were obtained by field measurements for the period 2009–2019. The snow–water equivalent was measured by calculation of snow height and density. It varied from 68 to 211 mm in different years. Soil erodibility factor was calculated based on Corg content and particle size distribution of the soil. LS factor was calculated on the basis of digital elevation model constructed from the topographic map. C-factor = 1 due to the fact that the arable plot was kept without vegetation.
2.4. Statistical Analysis
3. Results and Discussion
3.1. Results of Field Soil Erosion Measurements/Observations and Simulation Experiments
3.2. Results of Application of Soil Truncation Method
3.3. Results of WaTEM/SEDEM and SHI Modeling
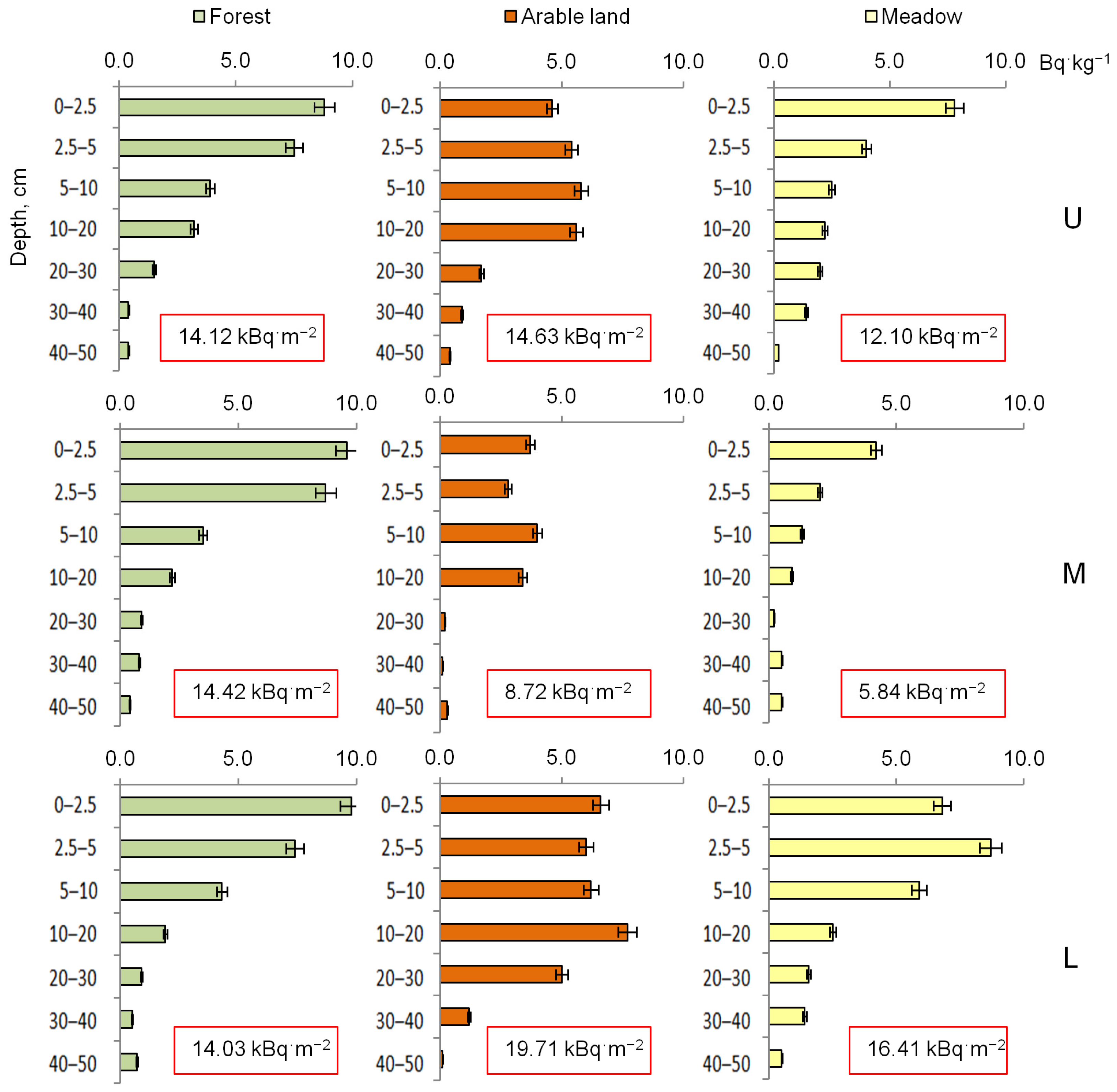
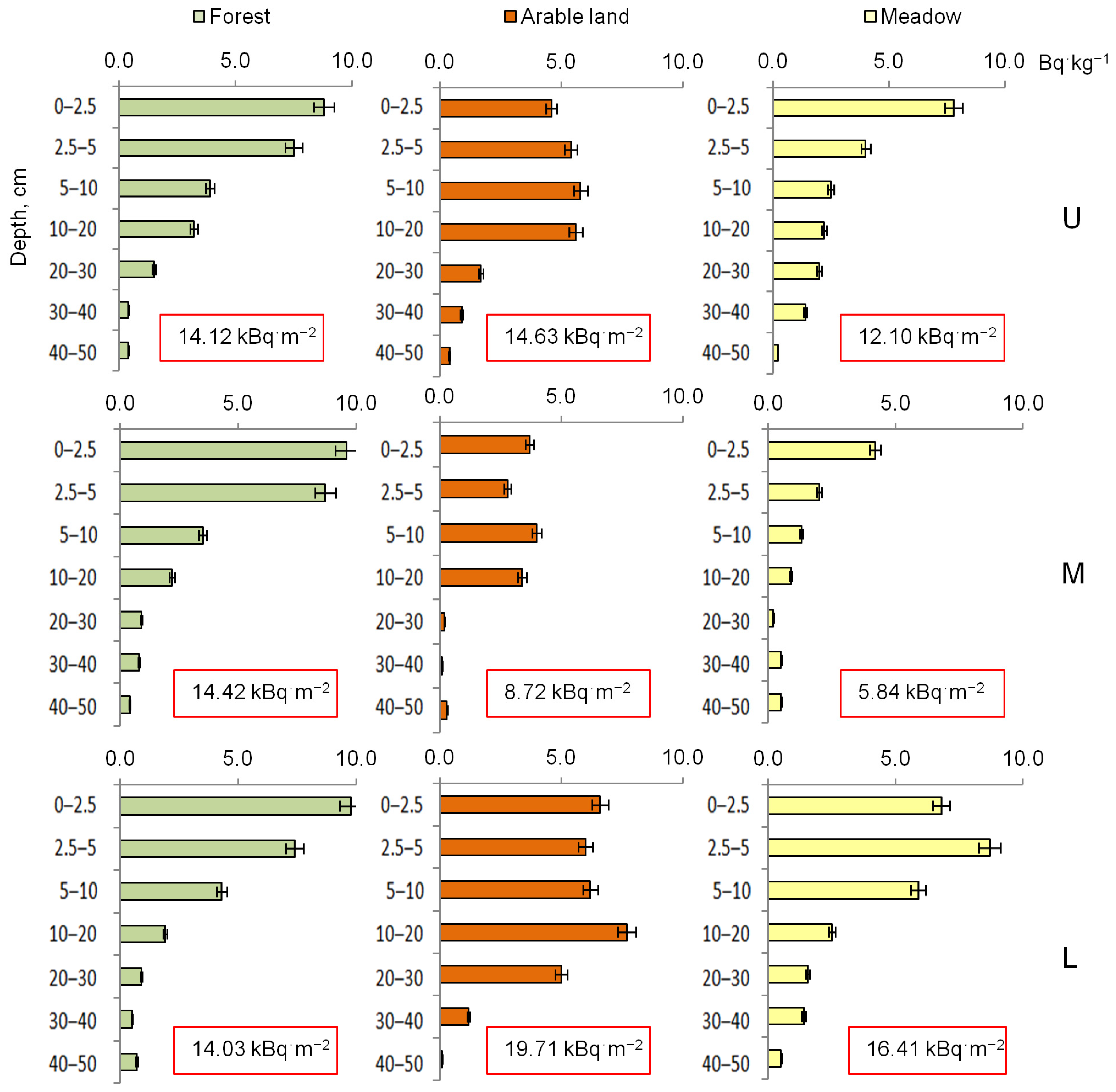
3.4. Results of Application of 137Cs for Evaluation of Relative Soil Losses Along the Slope and Current Radiological Conditions in the Southern Cis-Ural
3.5. Limitations of Applied Methods and Techniques
4. Conclusions
Supplementary Materials
Author Contributions
Funding
Data Availability Statement
Conflicts of Interest
References
- Pimentel, D.; Burgess, M. Soil erosion threatens food production. Agriculture 2013, 3, 443–463. [Google Scholar] [CrossRef]
- Borrelli, P.; Robinson, D.A.; Fleischer, L.R.; Lugato, E.; Ballabio, C.; Alewell, C.; Meusburger, K.; Modugno, S.; Schütt, B.; Ferro, V.; et al. An assessment of the global impact of 21st century land use change on soil erosion. Nat. Commun. 2017, 8, 2013. [Google Scholar] [CrossRef] [PubMed]
- Ceglar, A.; Crepinsek, Z.; Zupanc, V.; Kajfez-Bogataj, L. A comparative study of rainfall erosivity for eastern and western Slovenia. Acta Agric. Slov. 2008, 91, 331–341. [Google Scholar] [CrossRef]
- Panagos, P.; Borrelli, P.; Poesen, J.; Ballabio, C.; Lugato, E.; Meusburger, K.; Montanarella, L.; Alewell, C. The new assessment of soil loss by water erosion in Europe. Environ. Sci. Policy 2015, 54, 438–447. [Google Scholar] [CrossRef]
- Voronkova, O.; Sycheva, I.; Kovaleva, I.; Khasanova, A.; Gorovoy, S.; Vorozheykina, T. Assessing the environmental impact of the intensification of agricultural production. J. Environ. Manag. Tour. 2019, 10, 697–705. [Google Scholar] [CrossRef]
- Komissarov, M.A.; Ogura, S. Siltation and radiocesium pollution of small lakes in different catchment types far from the Fukushima Daiichi nuclear power plant accident site. Int. Soil Water Conserv. Res. 2020, 8, 56–65. [Google Scholar] [CrossRef]
- Golosov, V.N.; Gennadiev, A.N.; Markelov, M.V.; Zhidkin, A.P.; Kovach, R.G.; Olson, K.R.; Chendev, Y.G. Spatial and temporal features of soil erosion in the forest-steppe zone of the East-European Plain. Eurasian Soil Sci. 2011, 44, 794–801. [Google Scholar] [CrossRef]
- Litvin, L.F.; Kiryukhina, Z.P.; Krasnov, S.F.; Dobrovol’skaya, N.G. Dynamics of agricultural soil erosion in European Russia. Eurasian Soil Sci. 2017, 50, 1343–1352. [Google Scholar] [CrossRef]
- Maltsev, K.; Yermolaev, O. Assessment of soil loss by water erosion in small river basins in Russia. Catena 2020, 195, 104726. [Google Scholar] [CrossRef]
- Zhidkin, A.P.; Komissarov, M.A.; Shamshurina, E.N.; Mishchenko, A.V. Soil erosion in the Central Russian Upland: A review. Eurasian Soil Sci. 2023, 56, 226–237. [Google Scholar] [CrossRef]
- Abdrakhmanov, R.F.; Batanov, B.N.; Gabbasova, I.M.; Komissarov, A.V.; Maslov, V.V.; Yunusov, S.A. Water Balance Station; BSAU: Ufa, Russia, 2002; p. 82. (In Russian) [Google Scholar]
- Komissarov, M.A.; Gabbasova, I.M. Snowmelt—Induced soil erosion on gentle slopes in the Southern Cis-Ural region. Eurasian Soil Sci. 2014, 47, 598–607. [Google Scholar] [CrossRef]
- Sobol, N.V.; Gabbasova, I.M.; Komissarov, M.A. Effect of rainfall intensity and slope steepness on the development of soil erosion in the Southern Cis-Ural region (A model experiment). Eurasian Soil Sci. 2017, 50, 1098–1104. [Google Scholar] [CrossRef]
- Shamshurina, E.N.; Komissarov, M.A.; Zhidkin, A.P. Soil erosion in the Republic of Bashkortostan: Historical review, current status and prospects for further research. Bull. Bashkir State Agrar. Univ. 2019, 4, 60–69. (In Russian) [Google Scholar] [CrossRef]
- Surmach, G.P. Water Erosion and Its Control; Hydrometeoizdat: Leningrad, Russia, 1976; p. 256. (In Russian) [Google Scholar]
- Barabanov, A.T.; Dolgov, S.V.; Koronkevich, N.I.; Panov, V.I.; Petel’ko, A.I. Surface runoff and snowmelt infiltration into the soil on plowlands in the Forest-Steppe and Steppe zones of the East European Plain. Eurasian Soil Sci. 2018, 51, 66–72. [Google Scholar] [CrossRef]
- Gusarov, A.V.; Golosov, V.N.; Sharifullin, A.G.; Gafurov, A.M. Contemporary trend in erosion of arable southern chernozems (Haplic chernozems pachic) in the west of Orenburg oblast (Russia). Eurasian Soil Sci. 2018, 51, 561–575. [Google Scholar] [CrossRef]
- Zhang, B.Q.; He, C.S.; Burnham, M.; Zhang, L.H. Evaluating the coupling effects of climate aridity and vegetation restoration on soil erosion over the Loess Plateau in China. Sci. Total Environ. 2016, 539, 436–449. [Google Scholar] [CrossRef]
- O’Neal, M.R.; Nearing, M.A.; Vining, R.C.; Southworth, J.; Pfeifer, R.A. Climate change impacts on soil erosion in Midwest United States with changes in crop management. Catena 2005, 61, 165–184. [Google Scholar] [CrossRef]
- Mikheev, V.A. Climatology and Meteorology; UlSTU: Ulyanovsk, Russia, 2009; p. 77. (In Russian) [Google Scholar]
- Klimenko, V.V.; Klimenko, A.V.; Tereshin, A.G.; Mikushina, O.V. Will energy transition be capable to halt the global warming and why the climate change projections are so wrong? Therm. Eng. 2022, 69, 149–162. [Google Scholar] [CrossRef]
- Sobol, N.V.; Gabbasova, I.M.; Komissarov, M.A. Impact of climate changes on erosion processes in Republic of Bashkortostan. Arid Ecosyst. 2015, 5, 216–221. [Google Scholar] [CrossRef]
- Zhidkin, A.P.; Golosov, V.N.; Svetlichny, A.A.; Pyatkova, A.V. An assessment of load on the arable slopes on the basis of field methods and mathematic models. Geomorfologiya 2015, 2, 41–53. [Google Scholar] [CrossRef]
- Wischmeier, W.H.; Smith, D.D. Predicting Rainfall Erosion Losses; Agriculture Handbook 537; U.S. Department of Agriculture: Washington, DC, USA, 1978; p. 65.
- Litvin, L.F. Geography of Soil Erosion on Agricultural Land in Russia; IKC “Akademkniga”: Moscow, Russia, 2002; p. 255. (In Russian) [Google Scholar]
- Zhang, X.J. Evaluating and improving 137Cs technology for estimating soil erosion using soil loss data measured during 1954–2015. Earth Sci. Rev. 2023, 247, 104619. [Google Scholar] [CrossRef]
- Ritchie, J.C.; McHenry, J.R. Application of radioactive fallout caesium-137 for measuring soil erosion and sediment accumulation rates and patterns: A review. J. Environ. Qual. 1990, 19, 215–233. [Google Scholar] [CrossRef]
- Korobova, E.M.; Linnik, V.G.; Chizhikova, N.P. Distribution of 137Cs in the particle-size fractions and in the profiles of alluvial soils on floodplains of the Iput and its tributary Buldynka Rivers (Bryansk oblast). Eurasian Soil Sci. 2007, 40, 367–379. [Google Scholar] [CrossRef]
- Guan, Z.; Tang, X.Y.; Yang, J.E.; Ok, Y.S.; Xu, Z.H.; Nishimura, T.; Reid, B.J. A review of source tracking techniques for fine sediment within a catchment. Environ. Geochem. Health 2017, 39, 1221–1243. [Google Scholar] [CrossRef] [PubMed]
- Komissarov, M.A.; Gabbasova, I.M. Erosion of agrochernozems under sprinkler irrigation and rainfall simulation in the southern forest-steppe of Bashkir Cis-Ural region. Eurasian Soil Sci. 2017, 50, 253–261. [Google Scholar] [CrossRef]
- Komissarov, M.A.; Ogura, S. Distribution and migration of radiocesium in sloping landscapes three years after the Fukushima-1 nuclear accident. Eurasian Soil Sci. 2017, 50, 861–871. [Google Scholar] [CrossRef]
- Konoplev, A.V.; Golosov, V.N.; Yoschenko, V.I.; Nanba, K.; Takase, T.; Onda, Y.; Wakiyama, Y. Vertical distribution of radiocesium in soils of the area affected by the Fukushima Dai-ichi nuclear power plant accident. Eurasian Soil Sci. 2016, 49, 570–580. [Google Scholar] [CrossRef]
- Mamikhin, S.V.; Golosov, V.N.; Paramonova, T.A.; Shamshurina, E.N.; Ivanov, M.M. Vertical distribution of 137Cs in alluvial soils of the Lokna River floodplain (Tula oblast) long after the Chernobyl accident and its simulation. Eurasian Soil Sci. 2016, 49, 1432–1442. [Google Scholar] [CrossRef]
- Anjum, R.; Tang, Q.; Collins, A.L.; Gao, J.; Long, Y.; Zhang, X.; He, X.; Shi, Z.; Wen, A.; Wei, J. Sedimentary chronology reinterpreted from Changshou Lake of the Three Gorges Reservoir Area reveals natural and anthropogenic controls on sediment production. Environ. Sci. Pollut. Res. 2018, 25, 17620–17633. [Google Scholar] [CrossRef]
- Turnage, K.; Lee, S.; Foss, J.; Kim, K.H.; Larsen, I.L. Comparison of soil erosion and deposition rates using radiocesium, RUSLE, and buried soils in dolines in East Tennessee. Environ. Geol. 1997, 29, 1–10. [Google Scholar] [CrossRef]
- Theocharopoulos, S.P.; Florou, H.; Walling, D.E.; Kouloumbis, P.; Christou, M.; Tountas, P.; Nikolaou, T. Soil erosion and deposition rates in a cultivated catchment area in central Greece, estimated using the 137Cs technique. Soil Tillage Res. 2003, 69, 153–162. [Google Scholar] [CrossRef]
- Nouira, A.; Sayouty, E.H.; Benmansour, M. Use of 137Cs technique for soil erosion study in the agricultural region of Casablanca in Morocco. J. Environ. Radioact. 2003, 68, 11–26. [Google Scholar] [CrossRef] [PubMed]
- Sac, M.M.; Ugur, A.; Yener, G.; Ozden, B. Estimates of soil erosion using cesium-137 tracer models. Environ. Monit. Assess. 2008, 136, 461–467. [Google Scholar] [CrossRef] [PubMed]
- Gheysari, F.; Ayoubi, S.; Abdi, M.R. Using cesium-137 to estimate soil particle redistribution by wind in an arid region of central Iran. Eurasian J. Soil Sci. 2016, 5, 285–293. [Google Scholar] [CrossRef][Green Version]
- Golosov, V.N.; Gusarov, A.V.; Sharifullin, A.G.; Ivanova, N.N. Assessment of the trend of degradation of arable soils on the basis of data on the rate of stratozem development obtained with the use of 137Cs as a chronomarker. Eurasian Soil Sci. 2017, 50, 1195–1208. [Google Scholar] [CrossRef]
- Golosov, V.N. Special Considerations for Areas Affected by Chernobyl Fallout. In Handbook for the Assessment of Soil Erosion and Sedimentation Using Environmental Radionuclides; Zapata, F., Ed.; Kluwer Academic Publishers: Dordracht, The Netherlands, 2002; pp. 165–183. [Google Scholar]
- Izrael, Y.A.; Kvasnikova, E.V.; Nazarov, I.M.; Stukin, E.D. Radioactive contamination of Russia by cesium-137 at the turn of the century. Russ. Meteorol. Hydrol. 2000, 4, 1–10. [Google Scholar]
- Shamshurina, E.N.; Golosov, V.N.; Ivanov, M.M. Spatial-temporal reconstruction of the Chernobyl (137)Cs fallout field on the soil cover in the upper reaches of the Lokna river basin. Radiat. Biol. Radioecol. 2016, 4, 414–425. (In Russian) [Google Scholar] [CrossRef]
- Richards, P.G.; Kim, W.Y. Testing the nuclear test-nab. Nature 1997, 389, 781–782. [Google Scholar] [CrossRef]
- Abagyan, A.A.; Ilyin, L.A.; Izrael, Y.A.; Legasov, V.A.; Petrov, V.E. The information on the Chernobyl accident and its consequences prepared for IAEA. At. Energy 1986, 61, 301–320. [Google Scholar]
- Aleksakhin, R.M.; Buldakov, L.A.; Gubanov, V.A.; Drozhko, U.G.; Ilyin, L.A.; Kryshev, I.I.; Linge, I.I.; Romanov, G.N.; Savkin, M.N.; Saurov, M.M.; et al. Major Nuclear Accidents: Consequences and Protective Measures; Izdat: Moscow, Russia, 2001; p. 572. (In Russian) [Google Scholar]
- Kuznetsov, V.M.; Nazarov, A.G. Production Association Mayak (Chelyabinsk-65); Klyuch-S: Moscow, Russia, 2006; pp. 470–529. (In Russian) [Google Scholar]
- Nordyke, M.D. The Soviet program for peaceful uses of nuclear explosions. Sci. Glob. Secur. 1998, 7, 1–117. [Google Scholar] [CrossRef][Green Version]
- Gorelov, V.S.; Mazitova, A.K.; Abdrakhmanov, N.K. Nature and Ecology of Bashkortostan—The Largest Center of the Fuel and Energy Complex of Russia; Reaktiv: Ufa, Russia, 2004; p. 139. (In Russian) [Google Scholar]
- Sobolev, S.S. The Development of Erosion Processes in the Territory of the European Part of the USSR and the Fight Against Them; Publishing House of the Academy of Sciences of the USSR: Leningrad, Russia, 1948; p. 308. (In Russian) [Google Scholar]
- Lewis, D.T.; Lepele, M.J. Quantification of soil loss and sediment produced from eroded land. Soil Sci. Soc. Am. J. 1982, 46, 369–372. [Google Scholar] [CrossRef]
- Golosov, V.N.; Collins, A.L.; Dobrovolskaya, N.G.; Bazhenova, O.I.; Ryzhov, Y.V.; Sidorchuk, A.Y. Soil loss on the arable lands of the forest-steppe and steppe zones of European Russia and Siberia during the period of intensive agriculture. Geoderma 2021, 381, 114678. [Google Scholar] [CrossRef]
- Wakatsuki, T.; Rasyidin, A. Rates of weathering and soil formation. Geoderma 1992, 52, 251–263. [Google Scholar] [CrossRef]
- Aksoy, H.; Kavvas, M.L. A review of hillslope and watershed scale erosion and sediment transport models. Catena 2005, 64, 247–271. [Google Scholar] [CrossRef]
- Karydas, C.G.; Panagos, P.; Gitas, I.Z. A classification of water erosion models according to their geospatial characteristics. Int. J. Digit. Earth 2014, 7, 229–250. [Google Scholar] [CrossRef]
- Pandey, A.; Himanshu, S.K.; Mishra, S.K.; Singh, V.P. Physically based soil erosion and sediment yield models revisited. Catena 2016, 147, 595–620. [Google Scholar] [CrossRef]
- Chitsaz, N.; Malekian, A. Development of a risk-based multi-criteria approach for watershed prioritization with consideration of soil erosion alleviation (case study of Iran). Environ. Earth Sci. 2016, 75, 1448. [Google Scholar] [CrossRef]
- Renard, K.G. Predicting Soil Erosion by Water: A Guide to Conservation Planning with the Revised Universal Soil Loss Equation (RUSLE); US Department of Agriculture, Agricultural Research Service: Washington, DC, USA, 1997.
- Van Oost, K.; Govers, G.; Desmet, P. Evaluating the effects of changes in landscape structure on soil erosion by water and tillage. Landsc. Ecol. 2000, 15, 577–589. [Google Scholar] [CrossRef]
- Van Rompay, A.; Verstraeten, G.; Van Oost, K.; Govers, G.; Poesen, J. Modelling mean annual sediment yield using a distributed approach. Earth Surf. Proc. Land. 2001, 26, 1221–1236. [Google Scholar] [CrossRef]
- Verstraeten, G.; Van Oost, K.; Van Rompaey, A.; Poesen, J.; Govers, G. Evaluating an integrated approach to catchment management to reduce soil loss and sediment pollution through modeling. Soil Use Manag. 2002, 18, 386–394. [Google Scholar] [CrossRef]
- Van Rompaey, A.; Krasa, J.; Dostal, T.; Govers, G. Modelling sediment supply to rivers and reservoirs in Eastern Europe during and after the collectivisation period. Hydrobiologia 2003, 494, 169–176. [Google Scholar] [CrossRef]
- Krasa, J.; Dostal, T.; Jachymova, B.; Bauer, M.; Devaty, J. Soil erosion as a source of sediment and phosphorus in rivers and reservoirs–watershed analyses using WaTEM/SEDEM. Environ. Res. 2019, 171, 470–483. [Google Scholar] [CrossRef] [PubMed]
- Keesstra, S.D.; van Dam, O.; Verstraeten, G.; van Huissteden, J. Changing sediment dynamics due to natural reforestation in the Dragonja catchment, SW Slovenia. Catena 2009, 78, 60–71. [Google Scholar] [CrossRef]
- Bezak, N.; Rusjan, S.; Petan, S.; Sodnik, J.; Mikos, M. Estimation of soil loss by the WATEM/SEDEM model using an automatic parameter estimation procedure. Environ. Earth Sci. 2015, 74, 5245–5261. [Google Scholar] [CrossRef]
- Lieskovsky, J.; Kenderessy, P. Modelling the effect of vegetation cover and different tillage practices on soil erosion in vineyards: A case study in Vrable (Slovakia) using WATEM/SEDEM. Land Degrad. Dev. 2014, 25, 288–296. [Google Scholar] [CrossRef]
- Van Rompaey, A.; Bazzoffi, P.; Jones, R.J.A.; Montanarella, L. Modeling sediment yields in Italian catchments. Geomorphology 2005, 65, 157–169. [Google Scholar] [CrossRef]
- Quinton, J.N.; Govers, G.; Van Oost, K.; Bardgett, R.D. The impact of agricultural soil erosion on biogeochemical cycling. Nat. Geosci. 2010, 3, 311–314. [Google Scholar] [CrossRef]
- Alatorre, L.C.; Begueria, S.; Lana-Renault, N.; Navas, A.; Garcia-Ruiz, J.M. Soil erosion and sediment delivery in a mountain catchment under scenarios of land use change using a spatially distributed numerical model. Hydrol. Earth Syst. Sci. 2012, 16, 1321–1334. [Google Scholar] [CrossRef]
- Van Loo, M.; Dusar, B.; Verstraeten, G.; Renssen, H.; Notebaert, B.; D’Haen, K.; Bakker, J. Human induced soil erosion and the implications on crop yield in a small mountainous Mediterranean catchment (SW-Turkey). Catena 2017, 149, 491–504. [Google Scholar] [CrossRef]
- Szilassi, P.; Jordan, G.; van Rompaey, A.; Csillag, G. Impacts of historical land use changes on erosion and agricultural soil properties in the Kali Basin at Lake Balaton, Hungary. Catena 2006, 68, 96–108. [Google Scholar] [CrossRef]
- Feng, X.; Wang, Y.; Chen, L.; Fu, B.; Bai, G. Modeling soil erosion and its response to land-use change in hilly catchments of the Chinese Loess Plateau. Geomorphology 2010, 118, 239–248. [Google Scholar] [CrossRef]
- Shi, Z.H.; Ai, L.; Fang, N.F.; Zhu, H.D. Modeling the impacts of integrated small watershed management on soil erosion and sediment delivery: A case study in the Three Gorges Area, China. J. Hydrol. 2012, 438, 156–167. [Google Scholar] [CrossRef]
- Liu, Y.; Fu, B. Assessing sedimentological connectivity using WATEM/SEDEM model in a hilly and gully watershed of the Loess Plateau, China. Ecol. Indic. 2016, 66, 259–268. [Google Scholar] [CrossRef]
- Haregeweyn, N.; Poesen, J.; Verstraeten, G.; Govers, G.; de Vente, J.; Nyssen, J.; Deckers, J.; Moeyersons, J. Assessing the performance of a spatially distributed soil erosion and sediment delivery model (WATEM/SEDEM) in Northern Ethiopia. Land Degrad. Dev. 2013, 24, 188–204. [Google Scholar] [CrossRef]
- Didone, E.J.; Minella, J.P.G.; Evrard, O. Measuring and modelling soil erosion and sediment yields in a large cultivated catchment under no-till of Southern Brazil. Soil Tillage Res. 2017, 174, 24–33. [Google Scholar] [CrossRef]
- Verstraeten, G.; Prosser, I.P.; Fogarty, P. Predicting the spatial patterns of hillslope sediment delivery to river channels in the Murrumbidgee catchment, Australia. J. Hydrol. 2007, 334, 440–454. [Google Scholar] [CrossRef]
- Zhidkin, A.; Fomicheva, D.; Ivanova, N.; Dostál, T.; Yurova, A.; Komissarov, M.; Krása, J. A detailed reconstruction of changes in the factors and parameters of soil erosion over the past 250 years in the forest zone of European Russia (Moscow region). Int. Soil Water Conserv. Res. 2022, 10, 149–160. [Google Scholar] [CrossRef]
- Fomicheva, D.V.; Zhidkin, A.P.; Komissarov, M.A. Multiscale estimates of soil erodibility variation under conditions of high soil cover heterogeneity in the northern forest-steppe of the Central Russian Upland. Eurasian Soil Sci. 2024, 57, 325–336. [Google Scholar] [CrossRef]
- Albert, M.; Krajeski, G. A fast, physically based point snowmelt model for use in distributed applications. Hydrol. Process. 1998, 12, 1809–1824. [Google Scholar] [CrossRef]
- Bavera, D.; De Michele, C.; Pepe, M.; Rampini, A. Melted snow volume control in the snowmelt runoff model using a snow water equivalent statistically based model. Hydrol. Process. 2012, 26, 3405–3415. [Google Scholar] [CrossRef]
- Debeer, C.M.; Pomeroy, J.W. Influence of snowpack and melt energy heterogeneity on snow cover depletion and snowmelt runoff simulation in a cold mountain environment. J. Hydrol. 2017, 553, 199–213. [Google Scholar] [CrossRef]
- Ollesch, G.; Kistner, I.; Meissner, R.; Lindenschmidt, K.E. Modelling of snowmelt erosion and sediment yield in a small low-mountain catchment in Germany. Catena 2006, 68, 131–176. [Google Scholar] [CrossRef]
- Weigert, A.; Wenk, G.; Ollesch, G.; Fritz, H. Simulation of snowmelt erosion using the EROSION 3D model. J. Plant Nutr. Soil Sci. 2003, 166, 128–130. [Google Scholar] [CrossRef]
- Nemetova, Z.; Honek, D.; Kohnova, S.; Hlavcova, K.; Sulc Michalkova, M.; Socuvka, V.; Veliskova, Y. Validation of the EROSION-3D Model through Measured Bathymetric Sediments. Water 2020, 12, 1082. [Google Scholar] [CrossRef]
- Botterweg, P.; Leek, R.; Romstad, E.; Vatn, A. The EUROSEM-GRIDSEM modeling system for erosion analyses under different natural and economic conditions. Ecol. Model. 1998, 108, 115–129. [Google Scholar] [CrossRef]
- Instructions for Determination and Estimation of the Hydrological Characteristics under Designing of Erosion Control Measures in the European Territory of the USSR; Gidrometeoizdat: Leningrad, Russia, 1979; p. 62. (In Russian)
- Kuznetsov, M.S.; Gendugov, V.M.; Kosonozhkin, V.I. Eroding effect of the water flow on thawing soil. Eurasian Soil Sci. 1999, 32, 1245–1250. [Google Scholar]
- Kuznetsov, M.S.; Demidov, V.V.; Gendugov, V.M. Experience in modeling of soil erosion upon snow melting. Eurasian Soil Sci. 2001, 34, 901–905. [Google Scholar]
- Kuznetsov, M.S.; Demidov, V.V. Erosion of Soils in the Forest-Steppe Zone of the Central Russia: Simulation, Prediction, and Environmental Implications; Polteks: Moscow, Russia, 2002. (In Russian) [Google Scholar]
- Sukhanovskii, Y.P. A physically based model of soil erosion during snow melting. Eurasian Soil Sci. 2008, 41, 890–901. [Google Scholar] [CrossRef]
- Larionov, G.A. Soil Erosion and Deflation: Basic Patterns and Quantitative Estimates; MSU: Moscow, Russia, 1993; p. 200. (In Russian) [Google Scholar]
- Khaziev, F.K.; Mukatanov, A.K.; Khabirov, I.K.; Koltsova, G.A.; Gabbasova, I.M.; Ramazanov, R.Y. Soils of Bashkortostan. Vol. 1. Ecologic-Genetic and Agroproductive Characterization; Gilem: Ufa, Russia, 1995; p. 385. (In Russian) [Google Scholar]
- Selyaninov, G.T. Methods of agricultural climatology. Agric. Meteorol. 1930, 22, 4–20. [Google Scholar]
- Lozbenev, N.; Komissarov, M.; Zhidkin, A.; Gusarov, A.; Fomicheva, D. Comparative assessment of digital and conventional soil mapping: A case study of the southern Cis-Ural region, Russia. Soil Syst. 2022, 6, 14. [Google Scholar] [CrossRef]
- Vadyunina, A.F.; Korchagina, Z.A. Methods of Studying the Physical Properties of Soils; Agropromizdat: Moscow, Russia, 1986; p. 416. (In Russian) [Google Scholar]
- Sokolov, A.V. Agrochemical Methods of Soil Studies; Nauka: Moscow, Russia, 1975. (In Russian) [Google Scholar]
- Panagos, P.; Borrelli, P.; Meusburger, K.; Yu, B.; Klik, A.; Lim, K.J.; Yang, J.E.; Ni, J.; Miao, C.; Chattopadhyay, N.; et al. Global rainfall erosivity assessment based on high-temporal resolution rainfall records. Sci. Rep. 2017, 7, 4175. [Google Scholar] [CrossRef] [PubMed]
- Wu, Q.; Riise, G.; Lundekvam, H.; Mulder, J.; Haugen, L.E. Influences of suspended particles on the runoff of pesticides from an agricultural field at Askim, SE-Norway. Environ. Geochem. Health 2004, 26, 295–302. [Google Scholar] [CrossRef] [PubMed]
- Tanasienko, A.A.; Yakutina, O.P.; Chumbaev, A.S. Effect of amount on runoff, soil loss and suspended during periods of snowmelt in southern West Siberia. Catena 2011, 87, 45–51. [Google Scholar] [CrossRef]
- Komissarov, M.A.; Klik, A. Impact of no-till, conservation and conventional tillage on erosion and soil properties in Lower Austria. Eurasian Soil Sci. 2020, 53, 503–511. [Google Scholar] [CrossRef]
- Atlas of Geoecological Maps on the Territory of the Observation Zone of FSUE PA Mayak; CJSC Geospetsecologiya: Ozersk, Russia, 2007; p. 106. (In Russian)
- Edomskaya, M.A.; Lukashenko, S.N.; Stupakova, G.A.; Kharkin, P.V.; Gluchshenko, V.N.; Korovin, S.V. Estimation of radionuclides global fallout levels in the soils of CIS and eastern Europe territory. J. Environ. Radioact. 2022, 247, 106865. [Google Scholar] [CrossRef]
- Trapeznikov, A.V.; Molchanova, I.V.; Karavaeva, E.N.; Trapeznikova, V.N. Migration of Radionuclides in Freshwater and Terrestrial Ecosystems; Publishing House of the Ural University: Yekaterinburg, Russia, 2007; p. 479. (In Russian) [Google Scholar]
- Mikhailovskaya, L.N.; Molchanova, I.V.; Nifontova, M.G. Global fallout radionuclides in plants of terrestrial ecosystems of the Ural region. Russ. J. Ecol. 2015, 46, 7–13. [Google Scholar] [CrossRef]
- Report on the Environmental Situation in the Republic of Bashkortostan in 2016; Ministry of Nature Management and Ecology of the Republic of Bashkortostan: Ufa, Russia, 2016; p. 187. (In Russian)
- SanPiN 2.3.2.1078-01. Hygienic requirements for food safety and nutritional value. In Sanitary and Epidemiological Rules and Norms; Chief State Sanitary Physician of the Russian Federation: Moscow, Russia, 2001. (In Russian)
- Unified Guidelines for Agricultural Production in the Radioactively Contaminated Territories of Belarus and the Russian Federation; VNIIRAE: Moscow, Russia, 2004; p. 70. (In Russian)
- Komissarov, M.A.; Ogura, S. The efficiency of moldboard plowing upon deactivation and rehabilitation of radioactively contaminated pastures in the North of Japan. Eurasian Soil Sci. 2018, 51, 947–954. [Google Scholar] [CrossRef]
- Yasumiishi, M.; Masoudi, P.; Nishimura, T.; Ochi, K.; Ye, X.; Aldstadt, J.; Komissarov, M. Assessment of ambient dose equivalent rate distribution patterns in a forested-rugged terrain using field-measured and modeled dose equivalent rates. Radiat. Meas. 2023, 168, 106978. [Google Scholar] [CrossRef]
- Ramzaev, V.; Yonehara, H.; Hille, R.; Barkovsky, A.; Mishine, A.; Sahoo, S.K.; Kurotaki, K.; Uchiyama, M. Gamma-doserates from terrestrial and Chernobyl radionuclides insideand outside settlements in the Bryansk Region, Russia in 1996–2003. J. Environ. Radioact. 2006, 85, 205–227. [Google Scholar] [CrossRef]
- Kutlakhmedov, Y.; Davydchuk, V.; Arapis, G.; Kutlakhmedova-Vyshnyakova, V. Radiocapacity of forest ecosystems. In Contaminated Forests. NATO Science Series (Series 2: Environmental Security); Springer: Dordrecht, The Netherlands, 1999. [Google Scholar] [CrossRef]
- Gonze, M.A.; Mourlon, C.; Calmon, P.; Manach, E.; Debayle, C.; Baccou, J. Modelling the dynamics of ambient dose rates induced by radiocaesium in the Fukushima terrestrial environment. J. Environ. Radioact. 2016, 161, 22–34. [Google Scholar] [CrossRef][Green Version]
- Kang, S.; Yoneda, M.; Shimada, Y.; Satta, N.; Fujita, Y.; Shin, I.H. Interpreting the deposition and vertical migration characteristics of 137Cs in forest soil after the Fukushima Dai-ichi Nuclear Power Plant accident. Environ. Monit. Assess. 2017, 189, 384. [Google Scholar] [CrossRef] [PubMed]
- Branford, D.; Fowler, D.; Moghaddam, M. Study of aerosol deposition at a wind exposed forest edge using 210Pb and 137Cs soil inventories. Water Air Soil Pollut. 2004, 157, 107–116. [Google Scholar] [CrossRef]
- Gaspar, L.; Navas, A.; Walling, D.E.; Machín, J.; Gómez Arozamena, J. Using 137Cs and 210Pbex to assess soil redistribution on slopes at different temporal scales. Catena 2013, 102, 46–54. [Google Scholar] [CrossRef]
- Golosov, V.N.; Shamshurina, E.N.; Kolos, G.I.; Petel’ko, A.I.; Zhidkin, A.P. Spatiotemporal changes in the erosion and deposition processes in a small catchment in the north of the Central Russian Upland. Eurasian Soil Sci. 2024, 57, 838–852. [Google Scholar] [CrossRef]
- Golosov, V.N.; Zhidkin, A.P.; Petel’ko, A.I.; Osipova, M.S.; Ivanova, N.N.; Ivanov, M.M. Field verification of erosion models based on the studies of a small catchment in the Vorobzha River basin (Kursk oblast, Russia). Eurasian Soil Sci. 2022, 55, 1508–1523. [Google Scholar] [CrossRef]
- Cerdan, O.; Govers, G.; Le Bissonnais, Y.; Van Oost, K.; Poesen, J.; Saby, N.; Gobin, A.; Vacca, A.; Quinton, J.; Auerswald, K.; et al. Rates and spatial variations of soil erosion in Europe: A study based on erosion plot data. Geomorphology 2010, 122, 167–177. [Google Scholar] [CrossRef]






| Location | Assessment Method | Mean Value of Soil Loss for Slope (All Methods) | |||
|---|---|---|---|---|---|
| WaTEM/SEDEM (Rainfall Erosion), SE ± 0.01 | SHI Model (Snowmelt Erosion), SE ± 0.01 | Soil Profile Truncation, SE ± 0.1 | Field Monitoring/Simulation, SE ± 0.01 | ||
| Forest | U (±0.2), M (±0.2), L (±0.2) | U (±0.01), M (±0.2), L (±0.01) | ~0 | ||
| Arable land | U (0); M (−2.7); L (+1.9) | M (−0.14) | U (±0.2); M (−1.4); L (+1.5) | U (±0.01); M (−0.6); L (+0.7) | ~1.3 |
| Meadow | U (±0.2); M (−0.3); L (+0.3) | U (±0.01); M (−0.2); L (+0.1) | ~0.2 | ||
| Location | Slope Part | Humus-Accumulative Horizon Thickness (A + AB), cm | Corg, % | pH H2O | Exchange Cations, cmol(+) kg−1 | Nalc | Pav | Pt | |
|---|---|---|---|---|---|---|---|---|---|
| Ca2+ | Mg2+ | mg·kg−1 | |||||||
| Forest | U | 64 ± 4 | 6.0 | 6.0 | 45 | 9 | 306 | 3.4 | 271.1 |
| M | 62 ± 4 | 5.9 | 5.9 | 43 | 10 | 295 | 3.2 | 255.4 | |
| L | 66 ± 5 | 6.0 | 6.0 | 44 | 10 | 301 | 3.4 | 258.7 | |
| Arable land | U | 42 ± 3 | 5.0 | 5.9 | 35 | 12 | 175 | 2.5 | 188.1 |
| M | 35 ± 3 | 4.3 | 6.4 | 29 | 13 | 168 | 2.0 | 135.6 | |
| L | 51 ± 4 | 5.8 | 6.2 | 38 | 17 | 205 | 2.9 | 230.3 | |
| Meadow | U | 45 ± 3 | 5.3 | 5.9 | 33 | 11 | 231 | 2.7 | 219.3 |
| M | 43 ± 2 | 5.1 | 6.1 | 29 | 10 | 219 | 2.5 | 204.4 | |
| L | 47 ± 4 | 5.4 | 6.0 | 31 | 12 | 240 | 2.8 | 228.8 | |
Disclaimer/Publisher’s Note: The statements, opinions and data contained in all publications are solely those of the individual author(s) and contributor(s) and not of MDPI and/or the editor(s). MDPI and/or the editor(s) disclaim responsibility for any injury to people or property resulting from any ideas, methods, instructions or products referred to in the content. |
© 2024 by the authors. Licensee MDPI, Basel, Switzerland. This article is an open access article distributed under the terms and conditions of the Creative Commons Attribution (CC BY) license (https://creativecommons.org/licenses/by/4.0/).
Share and Cite
Komissarov, M.; Golosov, V.; Zhidkin, A.; Fomicheva, D.; Konoplev, A. The Cross-Verification of Different Methods for Soil Erosion Assessment of Natural and Agricultural Low Slopes in the Southern Cis-Ural Region of Russia. Land 2024, 13, 1767. https://doi.org/10.3390/land13111767
Komissarov M, Golosov V, Zhidkin A, Fomicheva D, Konoplev A. The Cross-Verification of Different Methods for Soil Erosion Assessment of Natural and Agricultural Low Slopes in the Southern Cis-Ural Region of Russia. Land. 2024; 13(11):1767. https://doi.org/10.3390/land13111767
Chicago/Turabian StyleKomissarov, Mikhail, Valentin Golosov, Andrey Zhidkin, Daria Fomicheva, and Alexei Konoplev. 2024. "The Cross-Verification of Different Methods for Soil Erosion Assessment of Natural and Agricultural Low Slopes in the Southern Cis-Ural Region of Russia" Land 13, no. 11: 1767. https://doi.org/10.3390/land13111767
APA StyleKomissarov, M., Golosov, V., Zhidkin, A., Fomicheva, D., & Konoplev, A. (2024). The Cross-Verification of Different Methods for Soil Erosion Assessment of Natural and Agricultural Low Slopes in the Southern Cis-Ural Region of Russia. Land, 13(11), 1767. https://doi.org/10.3390/land13111767

