Abstract
The Arctic river basins, among the most sensitive regions to climate warming, are experiencing rapid temperature rise and permafrost thawing that profoundly affect their hydrological and hydrochemical systems. However, our understanding of chemical export from Arctic basins to oceans remains limited due to scarce data, particularly in permafrost-dominated regions. This study examines the spatiotemporal variations and seasonal dynamics of major ions (Na+, K+, Mg2+, Ca2+, Cl−, SO42−) and dissolved organic carbon (DOC) concentrations across three river basins with varying permafrost extents: the Severnaya Dvina (2006–2008, 2012–2014), the Pechora (2016–2019) and the Taz Rivers (2016–2020). All the data were sourced from published Chemical Geological researches and were taken from Mendeley and PANGAEA datasets. Our results showed that DOC concentrations ranged from 1.75 to 26.40 mg/L, with the Severnaya Dvina River exhibiting the highest levels of DOC concentrations, alongside significantly elevated ion concentrations compared to the other two basins. A positive correlation was observed between DOC concentrations and river discharge, with peaks during the spring flood and summer baseflow due to leaching processes. The Severnaya Dvina and Pechora Rivers exhibited the highest DOC values during the spring flood, reaching 26.40 mg/L and 8.07 mg/L, respectively. In contrast, the Taz River had the highest runoff during the spring flood season, but the DOC concentration reached its highest value of 11.69 mg/L in the summer. Specifically, a 1% increase in river discharge corresponded to a 1.25% rise in DOC concentrations in the Severnaya Dvina River and a 1.04% increase in the Pechora River, while there was no significant correlation between runoff and DOC concentrations in the Taz River. Major ion concentrations demonstrated a negative correlation with river discharge, remaining relatively high during winter low-flow period. A robust power-law relationship between river discharge and concentration of DOC and major ions was observed, with distinct variations across the three river basins depending on permafrost extent. The Pechora and Taz Rivers, characterized by extensive permafrost, exhibited increasing trends in river discharge and DOC concentrations, accompanied by decreasing major ion concentrations, whereas the non-permafrost-dominated Severnaya Dvina River basin showed the opposite pattern. The Taz River, with the most extensive permafrost, also displayed a delayed DOC peak and more complex seasonal ion concentration patterns. These findings highlight the importance of varying permafrost extents and their implications for water quality and environmental protection in these vulnerable regions.
1. Introduction
Recent global warming has rapidly accelerated temperature increases in the Arctic region [1,2,3,4,5,6,7], leading to the thickening of the active layer and degradation of permafrost [8,9]. This degradation results in the release of previously frozen materials into the atmosphere [6,10,11], hydrosphere [12,13] and biosphere [14,15,16], thereby altering global biogeochemical [17,18] cycles and triggering various climate and environmental impacts [19].
Previous studies have explored the concentrations and spatiotemporal dynamics of dissolved organic carbon (DOC) and major ions in Arctic river basins [20,21,22,23,24], for example, emerging solute-induced mineralization with significant increases in annual flux of total dissolved solids from the Ob, Kolyma and Yukon Rivers [25,26,27], along with significant rises in alkalinity fluxes in major Arctic rivers such as the Ob and Yenisei [28]. In contrast, other research indicates that the total concentration of major ions in certain regions, like northern West Siberia, might remain relatively stable in the coming decades, despite seasonal variability [29,30]. Furthermore, climate models predict a steady rise in riverine DOC inputs to the Arctic Ocean, potentially doubling over the next century [31], with seasonal variations in DOC export closely linked to changes in runoff under warming conditions [25,32]. River export fluxes of dissolved carbon [33,34], nutrients and some alkalinity [35,36] from land to the Arctic Ocean are fairly well quantified thanks to intensive work by the US and Russian State Hydrological Surveys and multi-year sampling within the Partners/Arctic GRO program [3]. Studies of riverine dissolved carbon, metalsand water chemistry ion [31] contents in six of the larger Arctic rivers have been richly researched with a large number of measurement stations. However, the hydrochemical changes in mid-sized Arctic river basins have not been systematically studied. These rivers, despite limited data availability, exhibit high sensitivity to climate change and permafrost thaw, serving as crucial indicators of climatic and environmental shifts in the Arctic [37]. Thus, a comprehensive analysis of water chemistry and organic carbon content in these basins is critical for understanding the broader implications of climate and environmental changes in the Arctic and beyond.
The hydrological and hydrochemical processes in the permafrost region are complex, governed by a myriad of factors such as precipitation patterns [38,39,40], ice and snowmelt [6,10,11] and seasonal variations [41,42,43]. Rivers in these regions act as integrators of weathered materials in the watershed, serving as key corridors for transporting continental weathering products and terrestrial carbon to the ocean [31]. Hydrological processes, such as glacier melting and seasonal changes in runoff, play an important role in controlling the transport of solutes and carbon in river systems by modulating biogeochemical reactions [31]. These processes significantly impact the geochemical composition and fluxes of solutes and carbon in riverine environments. The thawing of permafrost further alters hydrological dynamics by changing surface and subsurface interactions [31,44], leading to the release of previously sequestered organic matter, including dissolved organic carbon (DOC), into the rivers. As the active layer deepens, DOC is transported along more extended flow paths through mineral soils, where most of the unstable DOC is degraded and mineralized into greenhouse gases, which are subsequently released into the atmosphere. The remaining more recalcitrant DOC is transported into rivers and streams [31]. Given the likelihood of substantial shifts in material fluxes within Arctic rivers as the climate continues to warm, understanding the changes in surface water quality in these watersheds is of paramount importance for comprehending broader environmental and climatic transformations in the Arctic and globally.
However, fieldwork in these Arctic regions is particularly challenging due to extreme conditions, limited availability of real-time observational data and the intrinsic variability of hydrological processes. Current knowledge of permafrost hydrology in the Arctic remains incomplete, underscoring the need for further investigation into the impacts of permafrost degradation. This study analyzes the concentrations of dissolved organic carbon and six major ions (Na+, K+, Mg2+, Ca2+, Cl−, SO42−) in the Severnaya Dvina (2006–2008, 2012–2014) [1], Pechora (2016–2019) [2] and Taz (2016–2020) [3] river basins based on multi-sourced data collection. Through seasonal analysis, curve fitting, correlation analysis and trend assessment, the hydrochemical status of these three rivers is systematically evaluated. This research aims to elucidate the temporal and spatial trends in DOC and major ion concentrations, identify seasonal dynamics, investigate influencing factors and clarify the underlying mechanisms. This study provides critical insights into the influence of permafrost degradation on river water quality under the current Arctic warming. Note that this study aims to conduct a comprehensive comparative analysis of three river basins with varying permafrost extents, thereby enhancing our understanding of the mechanisms by which permafrost thaw influences hydrochemical processes in Arctic basins.
2. Materials and Methods
2.1. Study Area
The study focuses on three mid-sized river basins—the Severnaya Dvina, Pechoraand Taz River basins—located in the northern Eurasian continent, within the mid- to high-latitude region of the Northern Hemisphere (ranging from 58.5° to 69° N and 38° to 86° E) in the north of Eurasia (Figure 1). The region is characterized by predominantly plain with a dense fluvial network and a tundra or temperate continental climate. The vegetation primarily consists of forest-tundra and coniferous forest biomes, dominated by species such as spruce, pine and larch [1,2,3]. The meteoro-hydrological and permafrost characteristics of these basins are outlined in Table 1.
Figure 1.
Locations and permafrost coverage of the Severnaya Dvina, the Pechora and the Taz River basins.
Table 1.
Meteoro-hydrological and permafrost conditions of the study area (1990–2019).
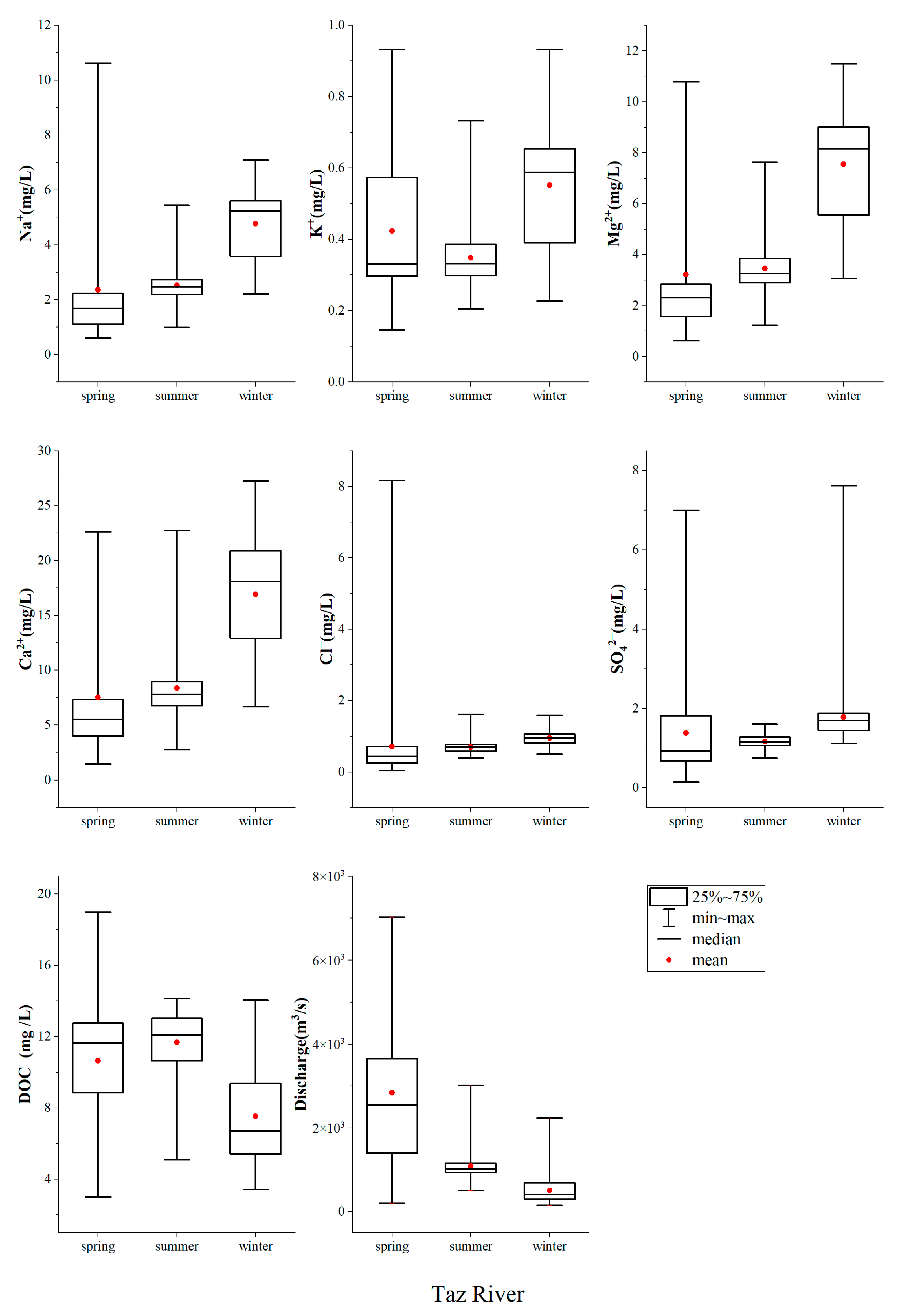
The Severnaya Dvina River basin (58.5°–65° N, 38°–56° E) spans 0.36 million km2 and is formed by the confluence of the Sukhona and Yug Rivers, with the Vychegda River as its largest tributary. The basin features an extensively developed hydrological network, consisting of approximately 61,900 rivers and streams with a total length of 206,000 km. The climate in this region is predominantly temperate continental, characterized by a multi-year annual mean temperature of around 1.82 °C, annual precipitation of 721 mm, average annual evapotranspiration of 392 mm and average runoff of approximately 328 mm. There is no permafrost developed in the basin, and the watershed is covered with thick glacial deposits [1].
The Pechora River basin (62°–69° N, 46°–66° E), spanning an area of about 0.32 million km2 with a river length of about 1810 km, is located on the plains between the Ural and Timan mountains at an average elevation of 105 m. The basin experiences a temperate continental climate, with an average annual air temperature of −2.29 °C, annual precipitation of 709 mm, average evapotranspiration of 277 mm and average runoff of 441 mm. Approximately 40% of its northern and northeastern parts are located in the permafrost zone [2].
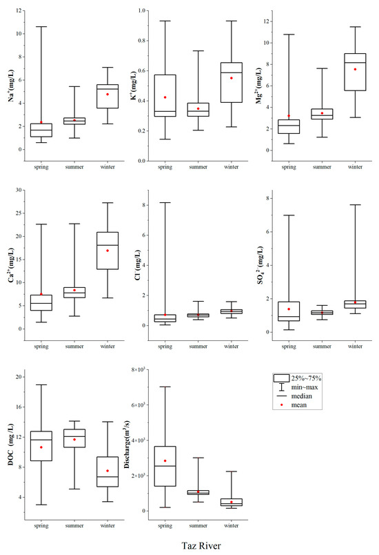
The Taz River basin (62°–68° N, 78°–86° E), covering 0.15 million km2 with a river length of 1400 km, originates from the Siberian Uvaly, a hilly region within the central West Siberian lowlands. The basin lies entirely within the permafrost zone, which is sporadic and island in the south and continuous in the north. The average annual temperature of this basin is −5.44 °C with an annual precipitation of 597 mm, evapotranspiration of 284 mm and runoff of 319 mm. The main biomes are tundra, forest tundra and taiga, and the basin’s lithology is composed primarily of clays, silts and sands, overlaid by Quaternary sediments including loess, fluvial, glacial and lake deposits [3].
2.2. Data and Methodology
The concentration of major ions and DOC data were obtained from the literature and shared data websites (Table 2). In total, these hydrochemical data were collected from a total of 17 sampling sites across three river basins. Specifically, the Severnaya Dvina River basin contributed 128 and 51 datasets from the periods 2006–2008 and 2012–2014, respectively; the Pechora River basin provided 161 datasets from 2016 to 2019; and the Taz River basin contributed 278 datasets from 2016 to 2020. Average monthly discharge data from 2012 to 2014 were available for the Severnaya Dvina River basin, with daily discharge data collected for the Pechora and Taz River basins.
Table 2.
Research data statement.
The study mainly collected the river runoff, DOC and concentration of six ions (Na+, K+, Mg2+, Ca2+, Cl− and SO42−) in the Severnaya Dvina River, Pechora River and Taz River. Correlation analysis was used to judge the relationship between river runoff, DOC and the six major ions in the rivers. Seasonal analysis was conducted according to the following classifications: spring (May, June and July), summer (August, September and October) and winter (November to April). This classification was used to observe the seasonal variations in the concentrations of various substances in the three rivers, in line with previous studies [45,46]. Nonlinear fitting was used to show the relationship between riverine substance content and runoff.
Additionally, the Pearson correlation coefficient, described as follows, was used in this study:
where Xi and Yi represent the measured values for each of the two categories of runoff, DOC or six ion concentrations and and are the mean values of the two categories, respectively. R = 0 indicates that the two variables are not correlated, a positive value indicates a positive correlation, a negative value indicates a negative correlation, and a larger absolute value indicates a stronger correlation. R-values are shown in the lower left section of the correlation analysis chart. In the correlation analysis, the significance level p < 0.001 is displayed as ***, indicating a strong correlation between the two parameters; the significance level p < 0.01 is displayed as **, indicating a strong correlation between the two parameters; the significance level p < 0.05 is displayed as *, indicating a strong correlation between the two parameters.
3. Results
3.1. Spatiotemporal Variations of Riverine DOC and Major Ion Concentrations
The Severnaya Dvina, Pechora and Taz River basins exhibit notable differences in discharge, dissolved organic carbon (DOC) concentrations and major ion levels (refer to Figure 2, Figure 3, Figure 4 and Figure 5). Specifically, the Pechora Basin has the highest discharge, reaching up to 1.5 × 104 m3/s during the spring freshet, whereas the Taz Basin shows the lowest discharge, with spring values around 2818 m3/s and a winter minimum of 156 m3/s. Conversely, the Severnaya Dvina River consistently demonstrates significantly higher DOC and major ion concentrations across all seasons compared to the Pechora and Taz basins.
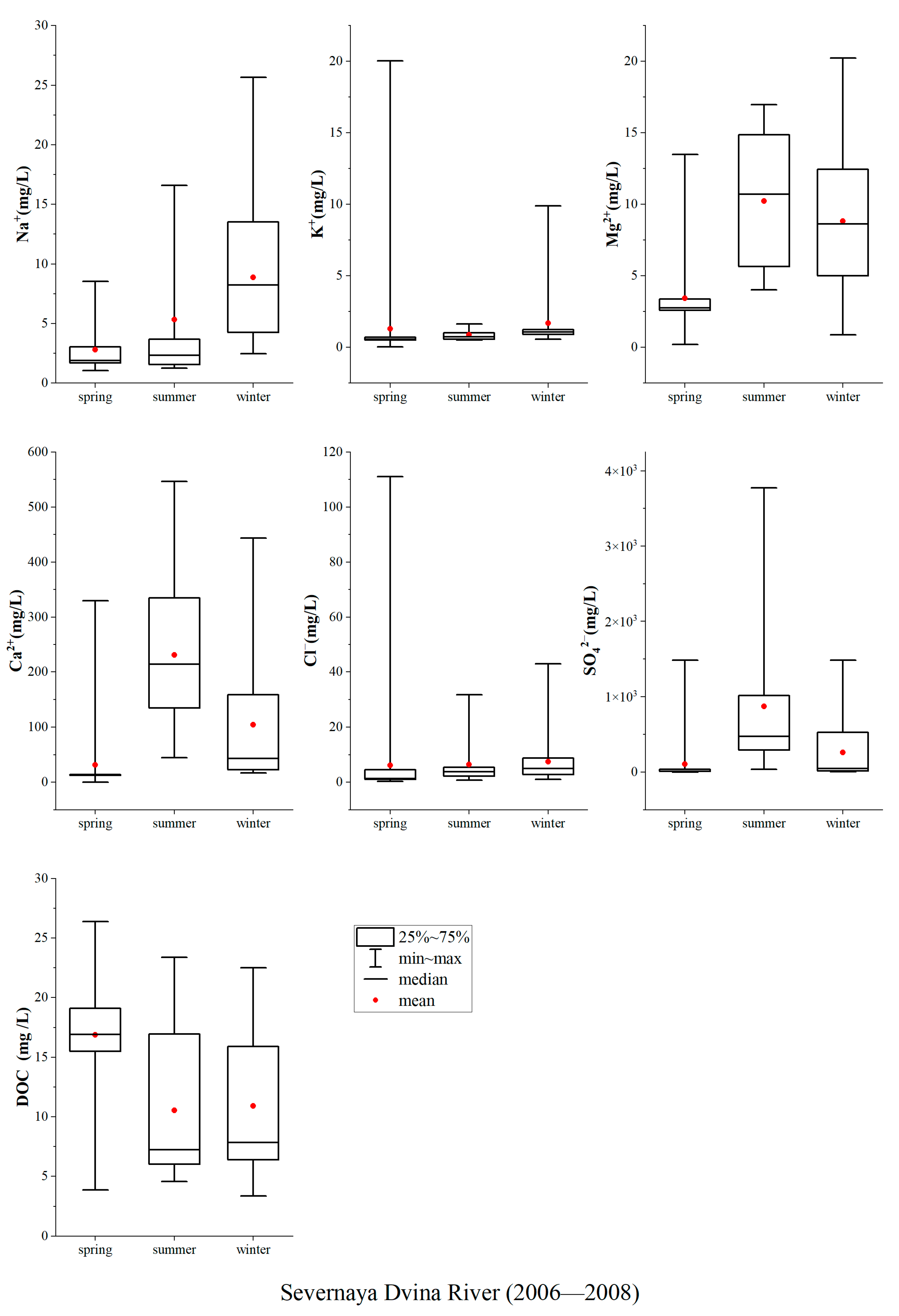
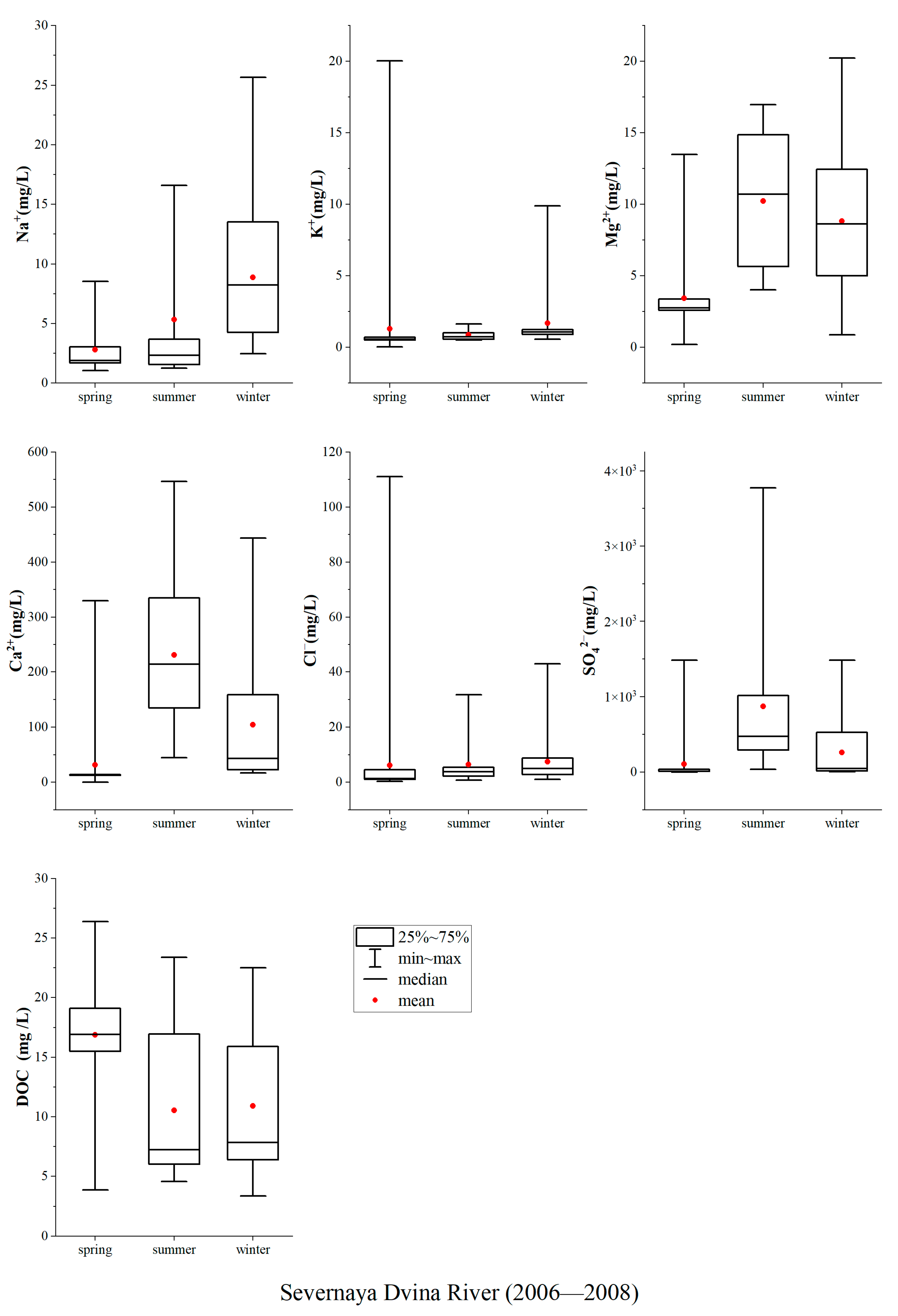
Figure 2.
Seasonal discharge and hydrochemical characteristics of Severnaya Dvina River (2006–2008).
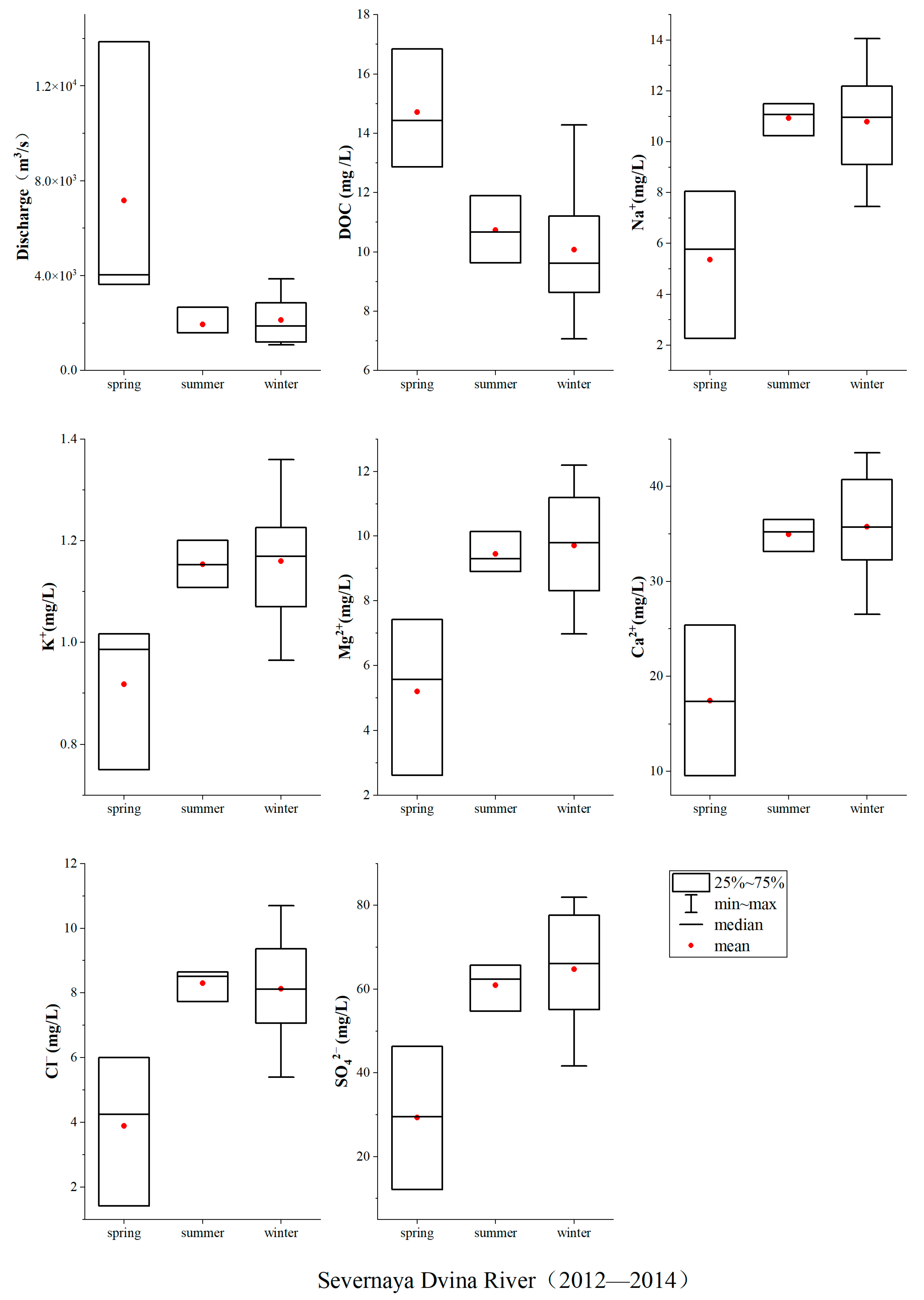
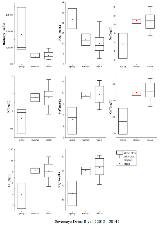
Figure 3.
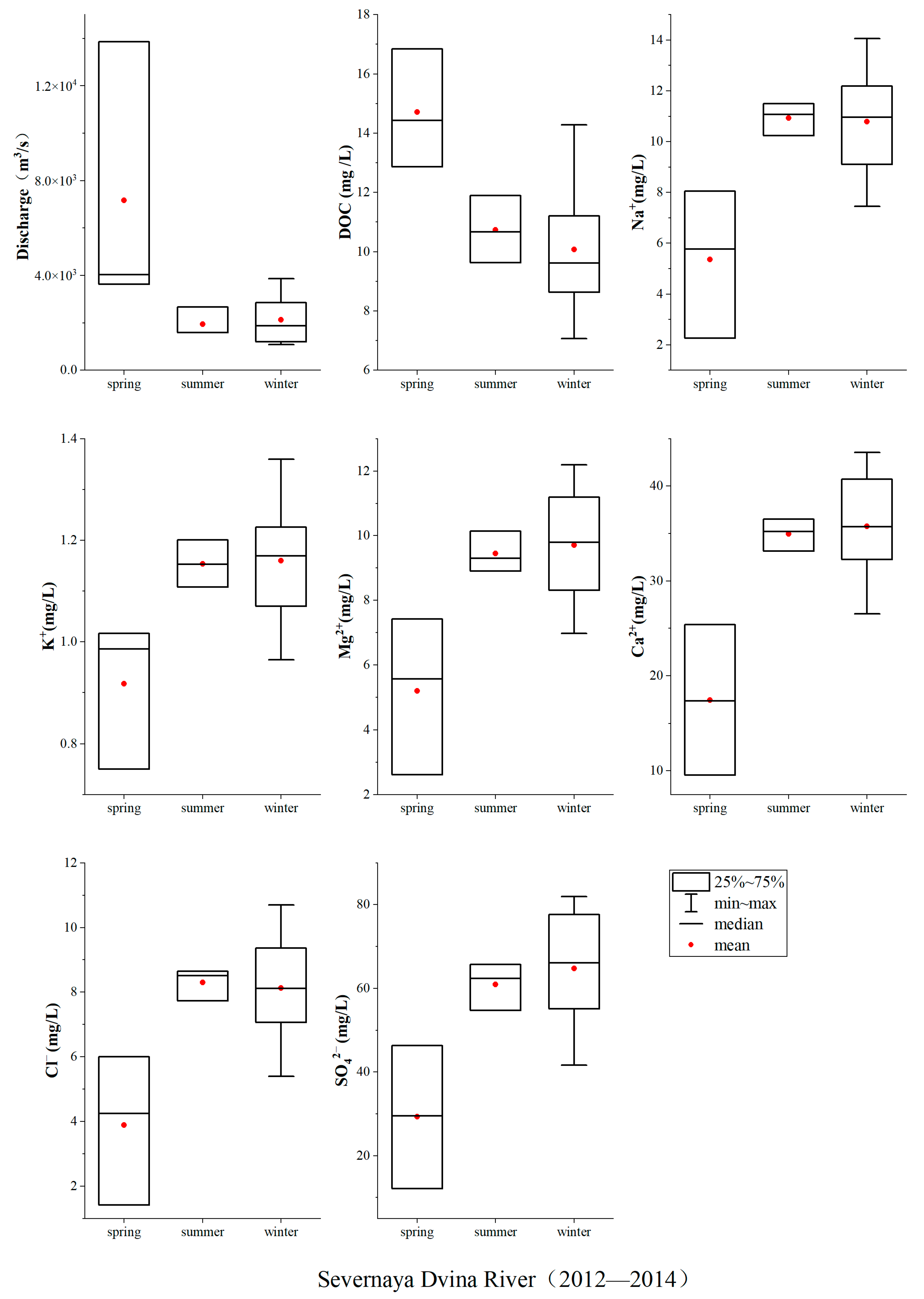
Seasonal discharge and hydrochemical characteristics of Severnaya Dvina River (2012–2014).
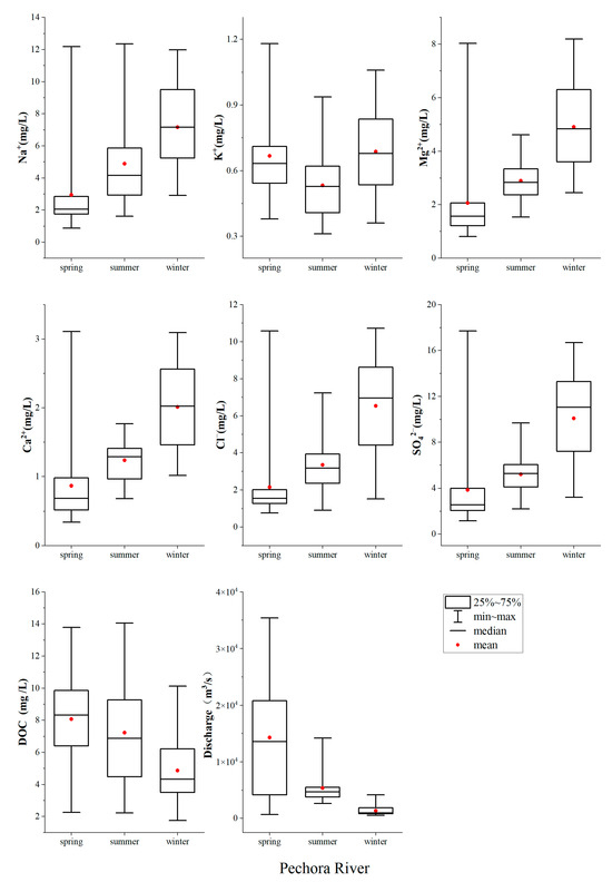
Figure 4.
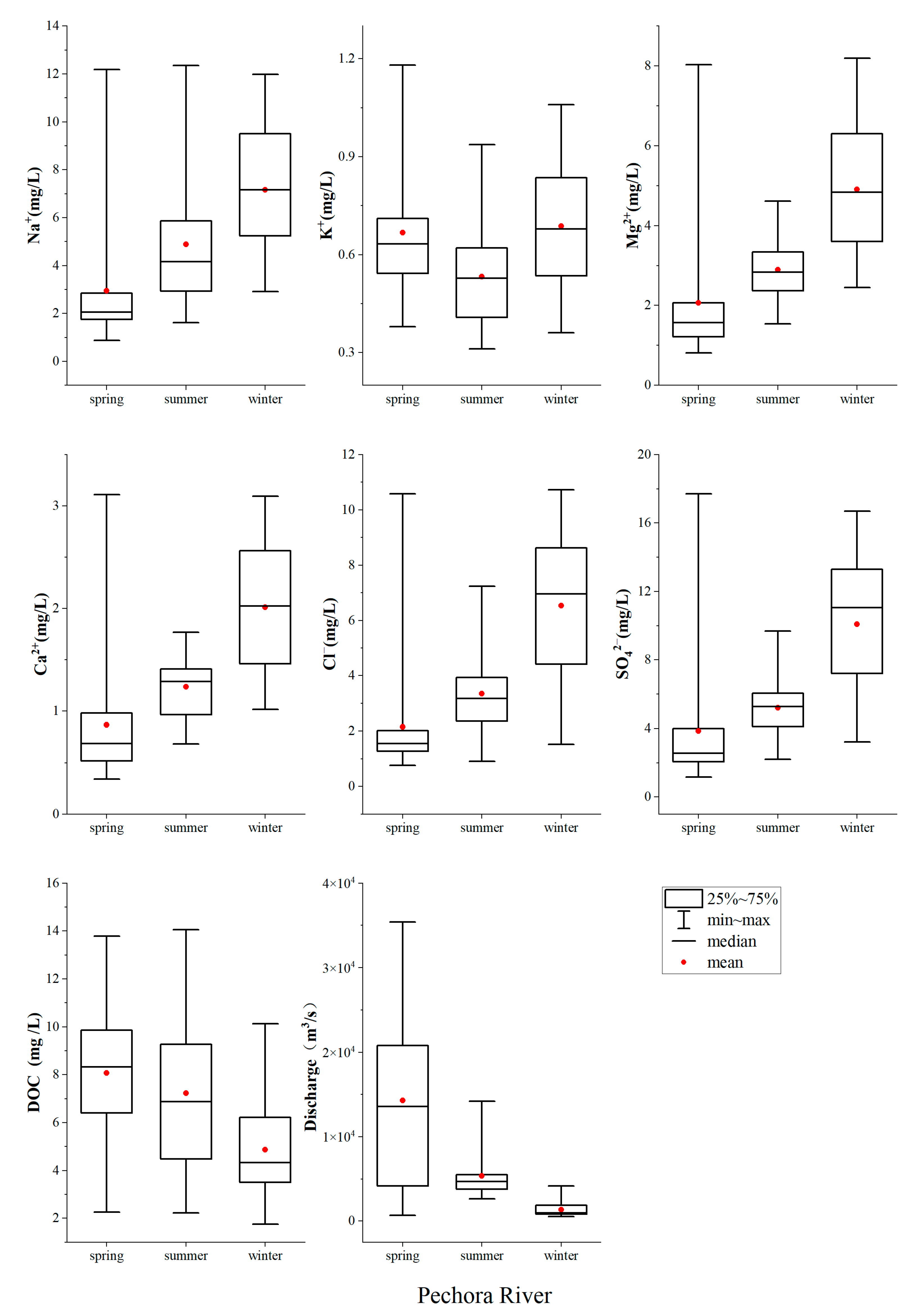
Seasonal discharge and hydrochemical characteristics of Pechora River (2016–2019).
Figure 5.
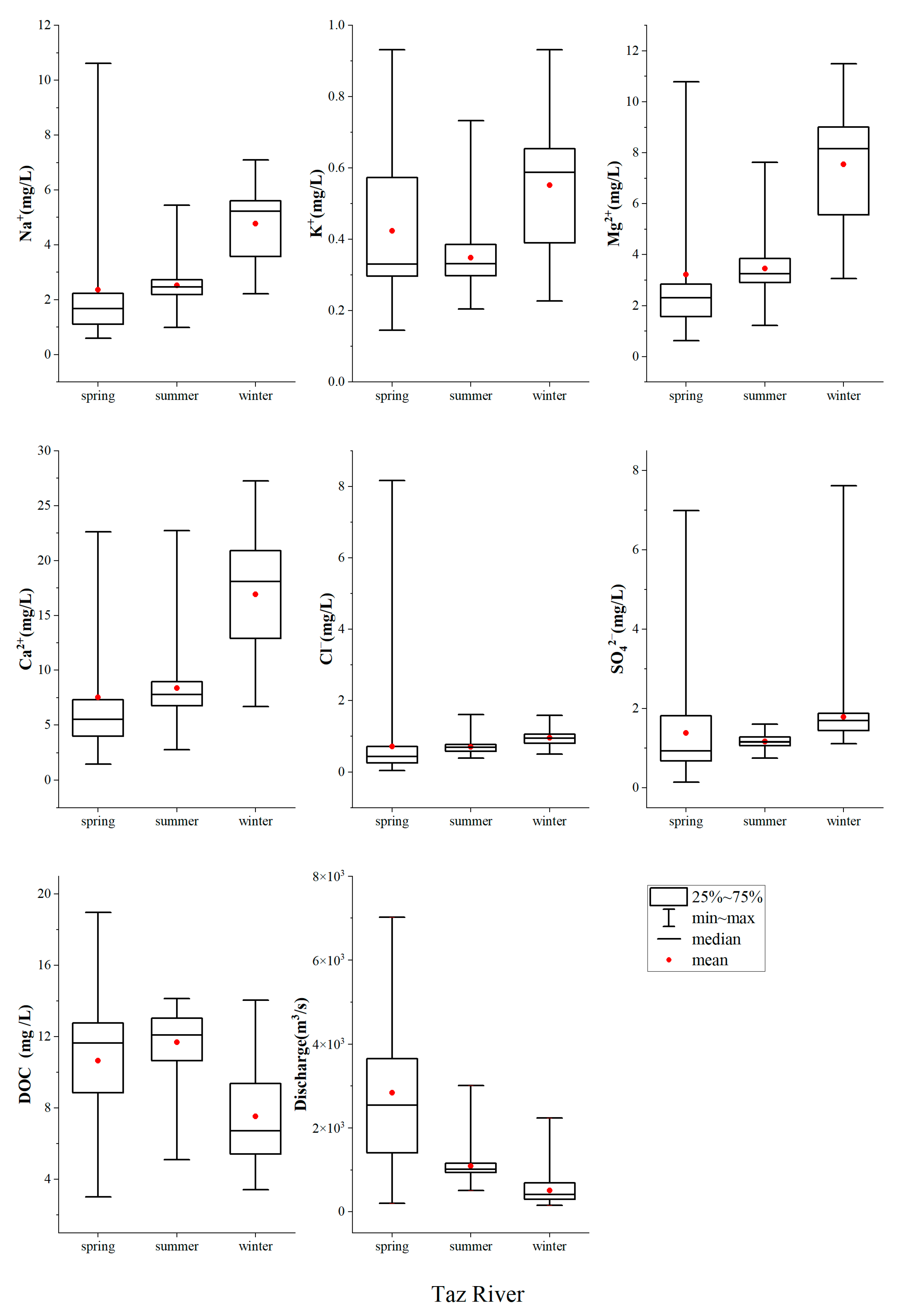
Seasonal discharge and hydrochemical characteristics of Taz River (2016–2020).
The average DOC concentrations in the Severnaya Dvina River were 12.78 and 11.84 mg/L in the periods 2006–2008 and 2012–2014, respectively. The maximum DOC values recorded were 16.87 and 14.72 mg/L, with peak levels of 26.4 and 16.85 mg/L occurring during spring, while the lowest values observed were 3.35 and 7.07 mg/L, with corresponding mean minimum values of 10.55 and 10.07 mg/L during the summer and winter. In the Pechora River, the average DOC concentration from 2016 to 2019 was 6.73 mg/L, with a maximum DOC concentration of 14.06 mg/L in summer. However, its DOC concentration was higher in spring (8.07 mg/L) than in summer (7.24 mg/L). The minimum DOC value was 1.75 mg/L, with a mean minimum value of 4.88 mg/L, both recorded in winter. The average DOC concentration in the Taz River from 2016 to 2020 was 9.96 mg/L, with maximum values of 18.98 mg/L in spring and 14.06 mg/L in summer and a minimum value of 7.53 mg/L recorded in winter.
Regarding major ions, the Severnaya Dvina River during the years 2006–2008 showed that Ca2+ and SO42− had higher mean values in summer than in winter, while other ions had the highest mean value in winter. The results of the integrated seasonal analysis of the Severnaya Dvina River are consistent with the study published by Pokrovsky and Chupakov et al. [1,2,3,4]. Except for Ca2+ (546.3 mg/L), Cl− (111 mg/L) and SO42− (3776 mg/L), which had their highest concentrations during specific seasons (spring and summer) between 2006 and 2008, the maximum concentrations of the other ions in the Severnaya Dvina River basin generally occurred in winter, while the minimum concentrations were mostly observed in spring. The study of the Taz River conducted by Pokrovsky et al., published in Chemical Geology, revealed that soluble elements originating from groundwater and deep soil mineral horizons (Cl−, SO42−, Na+, K+, Mg2+, Ca2+) reached their maximum concentrations at the end of winter, just before the spring ice-off. In contrast, dissolved organic carbon (DOC) exhibited peak concentrations during the spring flood and autumn high flow, with minimal values recorded in winter [32]. Based on this article, the current paper sought to analyze the concentration of elements and daily runoff data of the Taz River from Mendeley (https://data.mendeley.com), in order to provide a more comprehensive understanding of the elemental characteristics of the Taz River. The seasonal characteristics of major ion concentrations in the Pechora and Taz Rivers are similar to those in the Severnaya Dvina River, with most ions reaching their maximum and minimum mean values in winter and spring, respectively, except for a few deviations. For instance, in the Taz basin, except for the minimum mean concentration of Na+ (2.37 mg/L) and Mg2+ (3.22 mg/L) in spring, the minimum mean values of other ion concentrations occurred in summer, and the concentrations of the six ions all showed the minimum concentration in spring.
Despite the moderate size of the study area’s watersheds, runoff, the concentration of DOC and major ions in mid-sized Arctic river basins have responded significantly to environmental changes under global warming. In recent years, total river runoff in the Pechora and Taz River basins has increased, in line with other Arctic river trends [47]. In the Severnaya Dvina River, the dissolved organic carbon (DOC) content during the period of 2012–2014 is relatively lower compared to that of 2006–2008. Additionally, the concentrations of Ca2+ and SO42− recorded in 2012 are notably lower than those observed in 2006–2008. Conversely, the concentrations of Na+, K+, Mg2+ and Cl− in 2012 are relatively higher than in 2006–2008. Between 2015 and 2019, the average annual runoff in the Pechora River increased from 4108 m3/s to 6553.5 m3/s, while the DOC and major ion content decreased to some extent. In the Taz River, the mean annual runoff in 2020 is higher than that of 2015, increasing from 1020.27 m3/s to 1232.45 m3/s. However, the DOC and major ion content in 2020 are lower than in 2015 (Figure 6).
Figure 6.
Interannual trends in discharge, DOC and major ions in the Severnaya Dvina (a), Pechora (b) and Taz (c) River basins.
The three river basins exhibit pronounced seasonal variability in both runoff and water quality, with distinct seasonal patterns differing among the basins. Analysis of water chemistry data from the Severnaya Dvina River reveals that DOC concentrations peak during the spring at 16.87 mg/L and 14.72 mg/L during the years 2006–2008 and 2012–2014, respectively, with consistently high levels in the spring and summer, while winter exhibits the lowest concentrations. Conversely, Na+, K+, Mg2+, Ca2+, Cl− and SO42− concentrations reach their highest levels during winter, with the lowest values observed in spring (Figure 2 and Figure 3). Similarly, in the Pechora River, DOC concentrations are highest in spring, at 8.07 mg/L, and lowest in winter, at around 4.88 mg/L, during the years 2016–2019. However, the ion concentrations, with the exception of Na+, are highest in winter and lowest in spring (Figure 4). Notably, the Taz River shows a more varied seasonal distribution of DOC with peak concentrations in spring at 18.98 mg/L, and the mean maximum is 11.69 mg/L in summer. Ion concentrations of Na+ and Cl− peak in spring, while K+ Mg2+, Ca2+ and SO42− reach their maximum levels in winter. Overall, ion concentrations in the Taz River are predominantly high in winter, followed by spring and a notable variability in summer, where ion levels exhibit significant fluctuations between high and low extremes (Figure 5).
3.2. Relationship Between Discharge and Hydrochemical Variability
Significant correlations were observed between river discharge, DOC and major ion (Na+, K+, Mg2+, Ca2+, Cl−, SO42−) concentrations across the Severnaya Dvina, Pechora and Taz River basins (p < 0.05). In the Severnaya Dvina and Pechora Rivers, DOC concentrations increased significantly with rising discharge (p < 0.001, R > 0). On average, for every 1% increase in discharge, DOC concentrations rose by 1.25% in the Severnaya Dvina River and by 1.04% in the Pechora River. In contrast, runoff had no statistically significant impact on DOC levels in the Taz River. DOC concentrations in all three basins peaked during the spring and summer high-flow periods, correlating positively with river runoff. Higher DOC transport occurred during the spring flood (May–July) and summer high-flow season (August–October), with concentrations declining during the winter low-flow period (November–April).
Except for K+ in the Pechora River and K+ and SO42− in the Taz River basin (p > 0.05), major ions in all three basins decreased significantly with increasing discharge (p < 0.05, R < 0) (Figure 7). Major ion concentrations, characterized by their solubility and mobility, were inversely correlated with runoff, decreasing sharply during high-flow periods and increasing during winter low flows.

Figure 7.
The correlations between element concentrations in the Severnaya Dvina, Pechora and Taz Rivers: discharge, DOC, Na+, K+, Mg2+, Ca2+, Cl− and SO42−; color represents the correlation coefficient.
The nonlinear fitting curve between river substance concentrations and runoff across the Severnaya Dvina, the Pechora and the Taz Rivers revealed a strong power-law relationship, with DOC and ion concentrations fitting the equation y = axb. Among these basins, the Severnaya Dvina exhibited the best overall fit between hydrochemical variables and runoff (Figure 8). In the Pechora basin, all major ions except for K+ and DOC showed a strong relationship with runoff, which potentially due to the leaching processes of the exit litter fall of the previous year during freshet of the next year [48,49]. Notably, while DOC concentrations generally increased with higher runoff, there was substantial variability in DOC levels across different seasons (Figure 9). In contrast, K+ concentrations remained relatively consistent between spring high-flow and summer seasons, ranging from 0.3 to 0.9 mg/L. The Taz River basin demonstrated the most complex interactions, with only Na+, Mg2+, Ca2+ and Cl− showing a significant power-law relationship with runoff (Figure 10).
Figure 8.
Nonlinear curve fitting analysis of concentration–discharge relationships for DOC and major ions in Severnaya Dvina River basin.
Figure 9.
Seasonal variations and nonlinear curve fitting analysis of concentration–discharge relationships for DOC and major ions in Pechora River basin.
Figure 10.
Seasonal variations and nonlinear curve fitting analysis of concentration–discharge relationships for DOC and major ions in Taz River basin.
4. Discussion
The Severnaya Dvina, Pechora and Taz River basins each display distinct spatiotemporal variations in DOC and major ion concentrations, reflective of the complex interplay between climatic, hydrological and geological factors. These variations highlight the significance of understanding localized environmental conditions to better manage and protect water resources in Arctic regions. It is important to note that the data for each basin in this study are not derived from the same sampling points, and the spatial heterogeneity of river hydrochemical characteristics must be taken into account. Specific geological conditions may result in local anomalies in water chemistry. Additionally, the variation in water sampling points between the two periods [22] and the limited number of water samples may contribute to differences in river water chemistry. The observed seasonal dilution of major ions during the onset of increased flow, followed by chemical stabilization towards the end of the high-flow period, highlights the dynamic response of these river systems to hydrological regime variations. This pattern aligns with previous studies in Siberian rivers [29,30], which suggests that increased spring snowmelt floods and summer precipitation exert a pronounced dilution effect on major ion concentrations [2,50,51,52,53,54]. Data confirm that the total dissolved solids (TDSs) in all six East Siberian rivers are 32–64% lower during high-flow seasons compared to low-flow seasons [22]. The primary reason for this difference is that runoff during the low-flow season primarily originates from mineral-rich groundwater [55,56]. In contrast, during high-flow seasons, river flow is predominantly generated by rainfall and the melting of snow and ice. As a result, river water may be diluted, leading to a lower mineral content [57]. During winter baseflow, concentrations of soluble cations and anions reach their peak, while spring floods lead to a sharp decline in these elements and a simultaneous increase in DOC. Studies have demonstrated that the mechanisms driving changes in dissolved organic carbon (DOC) exports in Arctic river basins are intricate and primarily influenced by permafrost conditions. These conditions include the extent of permafrost, the age of sediments, the concentration of DOC within the permafrost and the associated hydrological characteristics of permafrost regions [25]. The seasonal variation of dissolved organic carbon (DOC) flux in the six major Arctic rivers is more pronounced in basins with extensive permafrost coverage. The land source is relatively new, primarily contributing DOC derived from modern plant litter at the surface. In contrast, rich peat deposits in areas with discontinuous permafrost are transported by rivers, which are characterized by the release of older carbon [58,59]. DOC concentrations typically rise sharply in May; however, in the Mackenzie and Yenisei River basins, this increase is delayed until June [25]. This observation aligns with the findings of this study, which indicate that the Severnaya Dvina, Pechora and Taz Rivers exhibit the highest average DOC levels during the high flow periods of spring and summer. Notably, the extent of continuous permafrost observed in the six Arctic river studies correlates with greater restrictions on organic carbon output [25]. However, the dissolved organic carbon (DOC) output from the Taz River, which has a broader coverage of permafrost, is higher than that of the Pechora River, which has less continuous permafrost coverage. This finding is inconsistent with the patterns observed in the six major Arctic rivers and may be attributed to the greater thickness of the active layer of permafrost in the Taz River.
This rise in DOC during spring can be attributed to surface runoff traversing organic-rich soils, which introduces substantial organic matter into the rivers [33,60,61,62,63]. Subsurface water fluxes during summer baseflow are mainly influenced by water–rock interactions, which depend on the depth and continuity of the permafrost [29,30]. In areas with continuous permafrost, these interactions are limited, but in regions with discontinuous and sporadic permafrost, they have a greater influence on riverine DOC and chemistry [23,64]. For instance, in the Severnaya Dvina, where permafrost is absent with an annual mean temperature of 1.82 °C, spring snowmelt sharply increases DOC concentrations as runoff transports organic matter into the river. Similarly, the Pechora River, with 40% discontinuous permafrost coverage and an annual mean temperature of −2.29 °C, also experiences a DOC peak in spring due to combined snowmelt and permafrost dynamics. In contrast, the Taz River, entirely underlain by permafrost with the lowest annual mean temperature of −5.44 °C, shows a delayed DOC peak in summer, likely due to slower thawing of higher ground ice content of 80.70% and the development of a deeper active layer of ~84.60 cm [65,66], which enhance subsurface water–rock interactions and organic matter release during high flow.
Warming-induced permafrost degradation may further influence the hydrochemical dynamics of Arctic rivers [2,67,68,69,70]. As the active layer deepens and ground ice melts, the enhanced chemical weathering of underlying rocks and prolonged water–rock interactions are expected to alter ion and DOC concentrations [71,72]. The variable contributions of rock weathering processes, controlled by hydrological pathways and reaction times, play a pivotal role in shaping river solute profiles [73,74,75]. Additionally, surface organic matter [76], glacial melting [77], precipitation [39] and anthropogenic activities [24,78,79,80] in Arctic region are increasingly recognized as critical factors impacting Arctic river water quality.
This study highlights the distinct seasonal and regional characteristics of water quality and riverine DOC dynamics in mid-sized Arctic basins, distinguishing them from those observed in larger Arctic rivers. These findings emphasize the importance of considering localized variations in hydrology and material cycles within Arctic basins. The observed differences in water quality across basins with varying permafrost development suggest that, with accelerating climate warming, the hydrological regimes and their impacts on water chemistry will undergo significant changes. The comparative analysis of the three basins indicates that permafrost degradation is likely to result in earlier and more pronounced changes in water chemistry in response to runoff. This underscores the need to consider spatial heterogeneity and the delayed effects of differential permafrost development in future research and management strategies.
5. Conclusions
This study provides a comprehensive analysis of dissolved organic carbon (DOC) and six major ions (Na+, K+, Mg2+, Ca2+, Cl− and SO42−) in the Severnaya Dvina, Pechora and Taz Rivers, and it reveals significant differences in multi-year trends and seasonal hydrochemical characteristics among these river basins. In the Pechora and Taz Rivers, which are predominantly underlined by permafrost, along with the rising discharge, DOC concentration exhibits increasing trends, while major ion concentrations exhibit decreasing trends. In contrast, there is no obvious change trend of DOC content and main ion concentration in the Severnaya Dvina River without permafrost. Seasonally, DOC concentrations are positively correlated with river discharge, peaking during spring floods and high summer flows, reflecting the leaching effect of surface waters on soils. Conversely, the concentrations of Na+, K+, Mg2+, Ca2+, Cl− and SO42− decrease with increasing river runoff, indicating a dilution effect. The DOC of the Taz River, with the most developed permafrost, displays distinct seasonal characteristics compared to the other basins, highlighting the impact of permafrost extent and the potential impacts of climate warming on permafrost degradation and associated water chemistry. This study highlights the critical influence of permafrost degradation under a warming climate on seasonal water quality changes and the necessity of considering permafrost conditions when assessing future changes in Arctic river systems.
Author Contributions
Y.Y.: Data curation, Software, Writing—original draft. P.W.: Conceptualization, Writing—review and editing, Project administration. S.L.: Investigation, Data curation, Software, Supervision, Writing—original draft. D.C. and R.W.: Software, Formal analysis. C.D.: Conceptualization, Writing—review and editing, Project administration. All authors have read and agreed to the published version of the manuscript.
Funding
This research was funded by the Science & Technology Fundamental Investigation Program (Nos. 2022FY101900, 2022FY101901) and the National Natural Science Foundation of China (Nos. 42371033, 42061134017).
Data Availability Statement
The original contributions presented in the study are included in the article, further inquiries can be directed to the corresponding author.
Acknowledgments
We acknowledge the pan-Arctic catchment database (ARCADE) provided by Speetjens et al., 2023. We extend our sincere gratitude to all the authors enumerated in Table 2 for their invaluable contributions to the study data. The authors also gratefully acknowledge the editor and four anonymous reviewers for their valuable comments and suggestions, which have led to substantial improvements on an earlier version of the manuscript.
Conflicts of Interest
The authors declare no conflicts of interest.
References
- Chupakov, A.V.; Pokrovsky, O.S.; Moreva, O.Y.; Shirokova, L.S.; Neverova, N.V.; Chupakova, A.A.; Kotova, E.I.; Vorobyeva, T.Y. High resolution multi-annual riverine fluxes of organic carbon, nutrient and trace element from the largest european arctic river, severnaya dvina. Chem. Geol. 2020, 538, 119491. [Google Scholar] [CrossRef]
- Chupakov, A.V.; Pokrovsky, O.S.; Moreva, O.Y.; Kotova, E.I.; Vorobyeva, T.Y.; Shirokova, L.S. Export of organic carbon, nutrients and metals by the mid-sized pechora river to the arctic ocean. Chem. Geol. 2023, 632, 121524. [Google Scholar] [CrossRef]
- Pokrovsky, O.S.; Manasypov, R.M.; Chupakov, A.V.; Kopysov, S. Element transport in the taz river, western Siberia. Chem. Geol. 2022, 614, 121180. [Google Scholar] [CrossRef]
- Pokrovsky, O.S.; Viers, J.; Shirokova, L.S.; Shevchenko, V.P.; Filipov, A.S.; Dupré, B. Dissolved, suspended, and colloidal fluxes of organic carbon, major and trace elements in the severnaya dvina river and its tributary. Chem. Geol. 2010, 273, 136–149. [Google Scholar] [CrossRef]
- Bjorkman, A.D.; Gallois, E.C. Winter in a warming arctic. Nat. Clim. Chang. 2020, 10, 1071–1073. [Google Scholar] [CrossRef]
- Bowen, J.C.; Ward, C.P.; Kling, G.W.; Cory, R.M. Arctic amplification of global warming strengthened by sunlight oxidation of permafrost carbon to CO2. Geophys. Res. Lett. 2020, 47, e2020GL087085. [Google Scholar] [CrossRef]
- Cai, Z.Y.; You, Q.L.; Wu, F.Y.; Chen, H.W.; Chen, D.L.; Cohen, J.D. arctic warming revealed by multiple cmip6 models: Evaluation of historical simulations and quantification of future projection uncertainties. J. Clim. 2021, 34, 4871–4892. [Google Scholar] [CrossRef]
- Biskaborn, B.K.; Smith, S.L.; Noetzli, J.; Matthes, H.; Vieira, G.; Streletskiy, D.A.; Schoeneich, P.; Romanovsky, V.E.; Lewkowicz, A.G.; Abramov, A. Permafrost is warming at a global scale. Nat. Commun. 2019, 10, 264. [Google Scholar] [CrossRef]
- Nitze, I.; Grosse, G.; Jones, B.M.; Romanovsky, V.E.; Boike, J. Remote sensing quantifies widespread abundance of permafrost region disturbances across the arctic and subarctic (vol 9, 5423, 2018). Nat. Commun. 2019, 10, 472. [Google Scholar] [CrossRef]
- Rocher-Ros, G.; Sponseller, R.A.; Bergström, A.K.; Myrstener, M.; Giesler, R. Stream metabolism controls diel patterns and evasion of CO2 in Arctic streams. Glob. Chang. Biol. 2020, 26, 1400–1413. [Google Scholar] [CrossRef]
- Serikova, S.; Pokrovsky, O.S.; Ala-Aho, P.; Kazantsev, V.; Kirpotin, S.N.; Kopysov, S.G.; Krickov, I.V.; Laudon, H.; Manasypov, R.M.; Shirokova, L.S.; et al. High riverine CO2 emissions at the permafrost boundary of Western Siberia. Nat. Geosci. 2018, 11, 825–829. [Google Scholar] [CrossRef]
- Liu, S.; Wang, P.; Wang, T.; Huang, Q.; Yu, J. Characteristic analysis of organic carbon output and its affecting factors of Arctic rivers in Siberia. Acta Geogr. Sin. 2021, 76, 1065–1077. [Google Scholar]
- Qiang, M.; Huijun, J. Impacts of climate warming on soil organic carbon pools in permafrost regions. J. Glaciol. Geocryol. 2020, 42, 91–103. Available online: https://kns.cnki.net/kcms2/article/abstract?v=RguDcq0jw7U5MF-UxTwEVaneuklMBn-zl3PU6Zp9w-r_7RYKyC6PM6aIcQrOwFA4n-BoBfg9sTXw_2GfR6UygdFGaIPf4CCVmJmIOJuSwczuYhVAoRG6oMieIGbEXmgiP33i0qKI7b8zD0Zw9kGm5-Ny3uL7abA0oFxIgvCVGq1mSpYvpyF7SYR-Mo8bEPOg&uniplatform=NZKPT&language=CHS (accessed on 25 January 2024).
- Berner, L.T.; Beck, P.S.A.; Bunn, A.G.; Goetz, S.J. Plant response to climate change along the forest-tundra ecotone in northeastern Siberia. Glob. Chang. Biol. 2013, 19, 3449–3462. [Google Scholar] [CrossRef]
- Lacroix, F.; Ilyina, T.; Mathis, M.; Laruelle, G.G.; Regnier, P. Historical increases in land-derived nutrient inputs may alleviate effects of a changing physical climate on the oceanic carbon cycle. Glob. Chang. Biol. 2021, 27, 5491–5513. [Google Scholar] [CrossRef]
- Scanes, E.; Scanes, P.R.; Ross, P.M. Climate change rapidly warms and acidifies Australian estuaries. Nat. Commun. 2020, 11, 1803. [Google Scholar] [CrossRef]
- Dai, M.H.; Su, J.Z.; Zhao, Y.Y.; Hofmann, E.E.; Cao, Z.M.; Cai, W.J.; Gan, J.P.; Lacroix, F.; Laruelle, G.G.; Meng, F.F.; et al. Carbon fluxes in the coastal ocean: Synthesis, boundary processes, and future trends. Annu. Rev. Earth Planet. Sci. 2022, 50, 593–626. [Google Scholar] [CrossRef]
- Tank, S.E.; Vonk, J.E.; Walvoord, M.A.; McClelland, J.W.; Laurion, I.; Abbott, B.W. Landscape matters: Predicting the biogeochemical effects of permafrost thaw on aquatic networks with a state factor approach. Permafr. Periglac. Process. 2020, 31, 358–370. [Google Scholar] [CrossRef]
- Wang, P.; Huang, Q.; Liu, S.; Yu, J.; Zhang, Y.; Wang, T.; Bai, B.; Pozdniakov Sergey, P.; Frolova Natalia, L.; Liu, C. Arctic runoff changes and their driving mechanisms under rapid warming: A review. Acta Geogr. Sin. 2023, 78, 2718–2734. [Google Scholar]
- Coch, C.; Ramage, J.L.; Lamoureux, S.F.; Meyer, H.; Knoblauch, C.; Lantuit, H. Impacts of permafrost disturbance on doc, total dissolved solids and suspended sediment in low arctic coastal catchments. In Proceedings of the AGU Fall Meeting Abstracts, Washington, DC, USA, 12 December 2018; p. B31H-2586. [Google Scholar]
- Martens, J.; Wild, B.; Muschitiello, F.; O’Regan, M.; Jakobsson, M.; Semiletov, I.; Dudarev, O.V.; Gustafsson, Ö. Remobilization of dormant carbon from Siberian-Arctic permafrost during three past warming events. Sci. Adv. 2020, 6, abb6546. [Google Scholar] [CrossRef]
- Wang, P.; Huang, Q.; Liu, S.; Liu, Y.; Li, Z.; Pozdniakov, S.P.; Wang, T.; Kazak, E.S.; Frolova, N.L.; Gabysheva, O.I.; et al. Climate warming enhances chemical weathering in permafrost-dominated eastern Siberia. Sci. Total Environ. 2024, 906, 167367. [Google Scholar] [CrossRef] [PubMed]
- Pokrovsky, O.S.; Manasypov, R.M.; Kopysov, S.G.; Krickov, I.V.; Shirokova, L.S.; Loiko, S.V.; Lim, A.G.; Kolesnichenko, L.G.; Vorobyev, S.N.; Kirpotin, S.N. Impact of permafrost thaw and climate warming on riverine export fluxes of carbon, nutrients and metals in western siberia. Water 2020, 12, 1817. [Google Scholar] [CrossRef]
- Tank, S.E.; McClelland, J.W.; Spencer, R.G.M.; Shiklomanov, A.I.; Suslova, A.; Moatar, F.; Amon, R.M.W.; Cooper, L.W.; Elias, G.; Gordeev, V.V.; et al. Recent trends in the chemistry of major northern rivers signal widespread Arctic change. Nat. Geosci. 2023, 16, 789–796. [Google Scholar] [CrossRef]
- Liu, S.; Wang, P.; Huang, Q.; Yu, J.; Pozdniakov, S.P.; Kazak, E.S. Seasonal and spatial variations in riverine DOC exports in permafrost-dominated Arctic river basins. J. Hydrol. 2022, 612, 128060. [Google Scholar] [CrossRef]
- Toohey, R.C.; Herman-Mercer, N.M.; Schuster, P.F.; Mutter, E.A.; Koch, J.C. Multidecadal increases in the Yukon River Basin of chemical fluxes as indicators of changing flowpaths, groundwater, and permafrost. Geophys. Res. Lett. 2016, 43, 12120–12130. [Google Scholar] [CrossRef]
- Wu, J.; Xu, N.; Wang, Y.C.; Zhang, W.; Borthwick, A.G.L.; Ni, J.R. Global syndromes induced by changes in solutes of the world’s large rivers. Nat. Commun. 2021, 12, 5940. [Google Scholar] [CrossRef]
- Drake, T.W.; Tank, S.E.; Zhulidov, A.V.; Holmes, R.M.; Gurtovaya, T.; Spencer, R.G.M. Increasing alkalinity export from large russian arctic rivers. Environ. Sci. Technol. 2018, 52, 8302–8308. [Google Scholar] [CrossRef]
- Ivanova, I.; Savichev, O.; Trifonov, N.; Kolubaeva, Y.V.; Volkova, N. Major-Ion chemistry and quality of water in rivers of northern west siberia. Water 2021, 13, 3107. [Google Scholar] [CrossRef]
- Vorobyev, S.N.; Pokrovsky, O.S.; Serikova, S.; Manasypov, R.M.; Krickov, I.V.; Shirokova, L.S.; Lim, A.; Kolesnichenko, L.G.; Kirpotin, S.N.; Karlsson, J. Permafrost boundary shift in Western Siberia may not modify dissolved nutrient concentrations in rivers. Water 2017, 9, 985. [Google Scholar] [CrossRef]
- Terhaar, J.; Orr, J.C.; Ethé, C.; Regnier, P.; Bopp, L. Simulated arctic ocean response to doubling of riverine carbon and nutrient delivery. Glob. Biogeochem. Cycles 2019, 33, 1048–1070. [Google Scholar] [CrossRef]
- Mu, C.C.; Zhang, F.; Chen, X.; Ge, S.M.; Mu, M.; Jia, L.; Wu, Q.B.; Zhang, T.J. Carbon and mercury export from the Arctic rivers and response to permafrost degradation. Water Res. 2019, 161, 54–60. [Google Scholar] [CrossRef] [PubMed]
- Behnke, M.I.; McClelland, W.; Tank, S.E.; Kellerman, A.M.; Holmes, R.M.; Haghipour, N.; Eglinton, T.I.; Raymond, P.A.; Suslova, A.; Zhulidov, A.V.; et al. Pan-Arctic riverine dissolved organic matter: Synchronous molecular stability, shifting sources and subsidies. Glob. Biogeochem. Cycles 2021, 35, e2020GB006871. [Google Scholar] [CrossRef]
- Raymond, P.A.; McClelland, J.W.; Holmes, R.M.; Zhulidov, A.V.; Mull, K.; Peterson, B.J.; Striegl, R.G.; Aiken, G.R.; Gurtovaya, T.Y. Flux and age of dissolved organic carbon exported to the Arctic Ocean: A carbon isotopic study of the five largest arctic rivers. Glob. Biogeochem. Cycles 2007, 21. [Google Scholar] [CrossRef]
- Cooper, L.W.; McClelland, J.W.; Holmes, R.M.; Raymond, P.A.; Gibson, J.J.; Guay, C.K.; Peterson, B.J. Flow-weighted values of runoff tracers (δ18O, DOC, Ba, alkalinity) from the six largest Arctic rivers. Geophys. Res. Lett. 2008, 35. [Google Scholar] [CrossRef]
- Tank, S.E.; Striegl, R.G.; McClelland, J.W.; Kokelj, S.V. Multi-decadal increases in dissolved organic carbon and alkalinity flux from the mackenzie drainage basin to the arctic ocean. Environ. Res. Lett. 2016, 11, 054015. [Google Scholar] [CrossRef]
- Vonk, J.E.; Speetjens, N.J.; Poste, A.E. Small watersheds may play a disproportionate role in arctic land-ocean fluxes. Nat. Commun. 2023, 14, 3442. [Google Scholar] [CrossRef]
- Berezovskaya, S.; Yang, D.Q.; Kane, D.L. Compatibility analysis of precipitation and runoff trends over the large Siberian watersheds. Geophys. Res. Lett. 2004, 31. [Google Scholar] [CrossRef]
- Berghuijs, W.R.; Woods, R.A.; Hrachowitz, M. A precipitation shift from snow towards rain leads to a decrease in streamflow. Nat. Clim. Change 2014, 4, 583–586. [Google Scholar] [CrossRef]
- Xiao, C.; Su, B.; Dou, T.; Yang, J.; Li, S. Interpretation of IPCC SROCC on polar system changes and their impacts and adaptations. Progress. Inquisitiones Mutat. Clim. 2020, 16, 153–162. [Google Scholar]
- Magritsky, D.V.; Frolova, N.L.; Evstigneev, V.M.; Povalishnikova, E.S.; Kireeva, M.B.; Pakhomova, O.M. Long-term changes of river water inflow into the seas of the Russian Arctic sector. Polarforschung 2018, 87, 177–194. [Google Scholar]
- McClelland, J.W.; Holmes, R.M.; Peterson, B.J.; Stieglitz, M. Increasing river discharge in the Eurasian Arctic: Consideration of dams, permafrost thaw, and fires as potential agents of change. J. Geophys. Res.-Atmos. 2004, 109. [Google Scholar] [CrossRef]
- St Jacques, J.M.; Sauchyn, D.J. Increasing winter baseflow and mean annual streamflow from possible permafrost thawing in the Northwest Territories, Canada. Geophys. Res. Lett. 2009, 36. [Google Scholar] [CrossRef]
- Lanxiang, W.; Huike1, D.; Chuanfei, W.; Xiaodong, W. Cycling of carbon, nitrogen and pollutants under permafrost degradation: A review. J. Glaciol. Geocryol. 2021, 43, 1365–1382. [Google Scholar]
- Lesack, L.F.W.; Marsh, P.; Hicks, F.E.; Forbes, D.L. Timing, duration, and magnitude of peak annual water-levels during ice breakup in the Mackenzie Delta and the role of river discharge. Water Resour. Res. 2013, 49, 8234–8249. [Google Scholar] [CrossRef]
- Streletskiy, D.A.; Tananaev, N.I.; Opel, T.; Shiklomanov, N.I.; Nyland, K.E.; Streletskaya, I.D.; Tokarev, I.; Shiklomanov, A.I. Permafrost hydrology in changing climatic conditions: Seasonal variability of stable isotope composition in rivers in discontinuous permafrost. Environ. Res. Lett. 2015, 10, 095003. [Google Scholar] [CrossRef]
- Ahmed, R.; Prowse, T.; Dibike, Y.; Bonsal, B.; O’Neil, H. Recent Trends in Freshwater Influx to the Arctic Ocean from Four Major Arctic-Draining Rivers. Water 2020, 12, 1189. [Google Scholar] [CrossRef]
- Gislason, S.R.; Oelkers, E.H.; Eiriksdottir, E.S.; Kardjilov, M.I.; Gisladottir, G.; Sigfusson, B.; Snorrason, A.; Elefsen, S.; Hardardottir, J.; Torssander, P.; et al. Direct evidence of the feedback between climate and weathering. Earth Planet. Sci. Lett. 2009, 277, 213–222. [Google Scholar] [CrossRef]
- Graly, J.A.; Humphrey, N.F.; Landowski, C.M.; Harper, J.T. Chemical weathering under the Greenland Ice Sheet. Geology 2014, 42, 551–554. [Google Scholar] [CrossRef]
- Douglas, T.A.; Blum, J.D.; Guo, L.D.; Keller, K.; Gleason, J.D. Hydrogeochemistry of seasonal flow regimes in the Chena River, a subarctic watershed draining discontinuous permafrost in interior Alaska (USA). Chem. Geol. 2013, 335, 48–62. [Google Scholar] [CrossRef]
- Guo, L.; Cai, Y.; Belzile, C.; Macdonald, R.W. Sources and export fluxes of inorganic and organic carbon and nutrient species from the seasonally ice-covered Yukon River. Biogeochemistry 2012, 107, 187–206. [Google Scholar] [CrossRef]
- Moatar, F.; Abbott, B.W.; Minaudo, C.; Curie, F.; Pinay, G. Elemental properties, hydrology, and biology interact to shape concentration-discharge curves for carbon, nutrients, sediment, and major ions. Water Resour. Res. 2017, 53, 1270–1287. [Google Scholar] [CrossRef]
- Rose, L.A.; Karwan, D.L.; Godsey, S.E. Concentration-discharge relationships describe solute and sediment mobilization, reaction, and transport at event and longer timescales. Hydrol. Process. 2018, 32, 2829–2844. [Google Scholar] [CrossRef]
- Thompson, S.E.; Basu, N.B.; Lascurain, J.; Aubeneau, A.; Rao, P.S.C. Relative dominance of hydrologic versus biogeochemical factors on solute export across impact gradients. Water Resour. Res. 2011, 47, W00J05. [Google Scholar] [CrossRef]
- Cochand, M.; Molson, J.; Lemieux, J.M. Groundwater hydrogeochemistry in permafrost regions. Permafr. Periglac. Process. 2019, 30, 90–103. [Google Scholar] [CrossRef]
- Dmitry Novikov, A.; Saraev Mikhail, M. Hydrogeochemistry of the Arctic areas of Siberian petroleum basins. Pet. Explor. Dev. 2017, 44, 737–744. [Google Scholar]
- Bagard, M.L.; Chabaux, F.; Pokrovsky, O.S.; Viers, J.; Prokushkin, A.S.; Stille, P.; Rihs, S.; Schmitt, A.D.; Dupré, B. Seasonal variability of element fluxes in two Central Siberian rivers draining high latitude permafrost dominated areas. Geochim. Cosmochim. Acta 2011, 75, 3335–3357. [Google Scholar] [CrossRef]
- Sheng, Y.W.; Smith, L.C.; MacDonald, G.M.; Kremenetski, K.V.; Frey, K.E.; Velichko, A.A.; Lee, M.; Beilman, D.W.; Dubinin, P. A high-resolution GIS-based inventory of the west Siberian peat carbon pool. Glob. Biogeochem. Cycles 2004, 18, GB3004. [Google Scholar] [CrossRef]
- Wild, B.; Andersson, A.; Bröder, L.; Vonk, J.; Hugelius, G.; McClelland, J.W.; Song, W.J.; Raymond, P.A.; Gustafsson, Ö. Rivers across the Siberian Arctic unearth the patterns of carbon release from thawing permafrost. Proc. Natl. Acad. Sci. USA 2019, 116, 10280–10285. [Google Scholar] [CrossRef]
- Boyer, E.W.; Hornberger, G.M.; Bencala, K.E.; McKnight, D.M. Response characteristics of DOC flushing in an alpine catchment. Hydrol. Process. 1997, 11, 1635–1647. [Google Scholar] [CrossRef]
- McLaughlin, C.; Kaplan, L.A. Biological lability of dissolved organic carbon in stream water and contributing terrestrial sources. Freshw. Sci. 2013, 32, 1219–1230. [Google Scholar] [CrossRef]
- Mei, Y.; Hornberger, G.M.; Kaplan, L.A.; Newbold, J.D.; Aufdenkampe, A.K. Estimation of dissolved organic carbon contribution from hillslope soils to a headwater stream. Water Resour. Res. 2012, 48, W09514. [Google Scholar] [CrossRef]
- Rember, R.D.; Trefry, J.H. Increased concentrations of dissolved trace metals and organic carbon during snowmelt in rivers of the Alaskan Arctic. Geochim. Cosmochim. Acta 2004, 68, 477–489. [Google Scholar] [CrossRef]
- O’Donnell, J.A.; Aiken, G.R.; Swanson, D.K.; Panda, S.; Butler, K.D.; Baltensperger, A.P. Dissolved organic matter composition of Arctic rivers: Linking permafrost and parent material to riverine carbon. Glob. Biogeochem. Cycles 2016, 30, 1811–1826. [Google Scholar] [CrossRef]
- Obu, J.; Westermann, S.; Barboux, C.; Bartsch, A.; Delaloye, R.; Grosse, G.; Heim, B.; Hugelius, G.; Irrgang, A.; Kääb, A.M.; et al. ESA Permafrost Climate Change Initiative (Permafrost_cci): Permafrost Ground Temperature for the Northern Hemisphere, v3.0, CEDA [Data Set]. 2021. Available online: https://doi.org/10.5285/b25d4a6174de4ac78000d034f500a268 (accessed on 31 August 2024).
- Ran, Y.H.; Li, X.; Cheng, G.D.; Che, J.X.; Aalto, J.; Karjalainen, O.; Hjort, J.; Luoto, M.; Jin, H.J.; Obu, J.; et al. New high-resolution estimates of the permafrost thermal state and hydrothermal conditions over the Northern Hemisphere. Earth Syst. Sci. Data 2022, 14, 865–884. [Google Scholar] [CrossRef]
- Gandois, L.; Tananaev, N.I.; Prokushkin, A.; Solnyshkin, I.; Teisserenc, R. Seasonality of DOC export from a russian subarctic catchment underlain by discontinuous permafrost, highlighted by high-frequency monitoring. J. Geophys. Res.-Biogeosci. 2021, 126, e2020JG006152. [Google Scholar] [CrossRef]
- Krickov, I.V.; Lim, A.G.; Manasypov, R.M.; Loiko, S.V.; Vorobyev, S.N.; Shevchenko, V.P.; Dara, O.M.; Gordeev, V.V.; Pokrovsky, O.S. Major and trace elements in suspended matter of western Siberian rivers: First assessment across permafrost zones and landscape parameters of watersheds. Geochim. Cosmochim. Acta 2020, 269, 429–450. [Google Scholar] [CrossRef]
- Krickov, I.V.; Pokrovsky, O.S.; Manasypov, M.; Lim, A.G.; Shirokova, L.S.; Viers, J. Colloidal transport of carbon and metals by western Siberian rivers during different seasons across a permafrost gradient. Geochim. Cosmochim. Acta 2019, 265, 221–241. [Google Scholar] [CrossRef]
- Olefeldt, D.; Goswami, S.; Grosse, G.; Hayes, D.; Hugelius, G.; Kuhry, P.; McGuire, A.D.; Romanovsky, V.; Sannel, A.B.K.; Schuur, E. Circumpolar distribution and carbon storage of thermokarst landscapes. Nat. Commun. 2016, 7, 13043. [Google Scholar] [CrossRef]
- Keller, K.; Blum, J.D.; Kling, G.W. Stream geochemistry as an indicator of increasing permafrost thaw depth in an arctic watershed. Chem. Geol. 2010, 273, 76–81. [Google Scholar] [CrossRef]
- Zolkos, S.; Tank, S.E.; Kokelj, S.V. Mineral weathering and the permafrost carbon-climate feedback. Geophys. Res. Lett. 2018, 45, 9623–9632. [Google Scholar] [CrossRef]
- Frey, K.E.; McClelland, J.W. Impacts of permafrost degradation on arctic river biogeochemistry. Hydrol. Process. 2009, 23, 169–182. [Google Scholar] [CrossRef]
- Neff, J.C.; Finlay, J.C.; Zimov, S.A.; Davydov, S.P.; Carrasco, J.J.; Schuur, E.A.G.; Davydova, A.I. Seasonal changes in the age and structure of dissolved organic carbon in Siberian rivers and streams. Geophys. Res. Lett. 2006, 33, e2020JG006152. [Google Scholar] [CrossRef]
- Rushlow, C.R.; Sawyer, A.H.; Voss, C.I.; Godsey, S.E. The influence of snow cover, air temperature, and groundwater flow on the active-layer thermal regime of Arctic hillslopes drained by water tracks. Hydrogeol. J. 2020, 28, 2057–2069. [Google Scholar] [CrossRef]
- Finstad, A.G.; Andersen, T.; Larsen, S.; Tominaga, K.; Blumentrath, S.; de Wit, H.A.; Tommervik, H.; Hessen, D.O. From greening to browning: Catchment vegetation development and reduced S-deposition promote organic carbon load on decadal time scales in Nordic lakes. Sci. Rep. 2016, 6, 31944. [Google Scholar] [CrossRef]
- Yang, D.; Zhao, Y.; Armstrong, R.; Robinson, D. Yukon River streamflow response to seasonal snow cover changes. Hydrol. Process. Int. J. 2009, 23, 109–121. [Google Scholar] [CrossRef]
- Bergen, K.M.; Loboda, T.; Newell, J.P.; Kharuk, V.; Hitztaler, S.; Sun, G.; Johnson, T.; Hoffman-Hall, A.; Ouyang, W.; Park, K.; et al. Long-term trends in anthropogenic land use in Siberia and the Russian Far East: A case study synthesis from Landsat. Environ. Res. Lett. 2020, 15, 105007. [Google Scholar] [CrossRef]
- Maavara, T.; Chen, Q.W.; Van Meter, K.; Brown, L.E.; Zhang, J.Y.; Ni, J.R.; Zarfl, C. River dam impacts on biogeochemical cycling. Nat. Rev. Earth Environ. 2020, 1, 103–116. [Google Scholar] [CrossRef]
- Zolkos, S.; Zhulidov, A.V.; Gurtovaya, T.Y.; Gordeev, V.V.; Berdnikov, S.; Pavlova, N.; Kalko, E.A.; Kuklina, Y.A.; Zhulidov, D.A.; Kosmenko, L.S.; et al. Multidecadal declines in particulate mercury and sediment export from Russian rivers in the pan-Arctic basin. Proc. Natl. Acad. Sci. USA 2022, 119, e2119857119. [Google Scholar] [CrossRef]
Disclaimer/Publisher’s Note: The statements, opinions and data contained in all publications are solely those of the individual author(s) and contributor(s) and not of MDPI and/or the editor(s). MDPI and/or the editor(s) disclaim responsibility for any injury to people or property resulting from any ideas, methods, instructions or products referred to in the content. |
© 2024 by the authors. Licensee MDPI, Basel, Switzerland. This article is an open access article distributed under the terms and conditions of the Creative Commons Attribution (CC BY) license (https://creativecommons.org/licenses/by/4.0/).










