Next Article in Journal
Unraveling Projected Changes in Spatiotemporal Patterns and Drought Events across Mainland China Using CMIP6 Models and an Intensity–Area–Duration Algorithm
Previous Article in Journal
The Interconnectedness of Land–Crops–Livestock and Environmental Quality in Emerging Asian Economies: Challenges of Agriculturalization and Carbonization
 
 
Font Type:
Arial Georgia Verdana
Font Size:
Aa Aa Aa
Line Spacing:
Column Width:
Background:
Article

Assessment of Landscape Ecological Risk and Its Driving Factors for the Ebinur Lake Basin from 1985 to 2022

1
College of Ecology and Environment, Xinjiang University, Urumqi 830017, China
2
State Key Laboratory of Desert and Oasis Ecology, Key Laboratory of Ecological Safety and Sustainable Development in Arid Lands, Xinjiang Institute of Ecology and Geography, Chinese Academy of Sciences, Urumqi 830011, China
3
CAS Research Center for Ecology and Environment of Central Asia, Urumqi 830011, China
4
China-Kazakhstan Joint Laboratory for Remote Sensing Technology and Application, Al-Farabi Kazakh National University, Almaty 050012, Kazakhstan
5
University of Chinese Academy of Sciences, Beijing 100049, China
*
Authors to whom correspondence should be addressed.
Land 2024, 13(10), 1572; https://doi.org/10.3390/land13101572
Submission received: 21 August 2024 / Revised: 19 September 2024 / Accepted: 25 September 2024 / Published: 27 September 2024
(This article belongs to the Section Landscape Ecology)

Abstract

The Ebinur Lake Basin (ELB), which is a typical watershed in an arid region, has an extremely delicate natural ecosystem. Rapid urbanisation and economic growth have triggered substantial ecological and environmental transformations in this key economic hub of Xinjiang. However, a comprehensive and systematic knowledge of the evolving ecological conditions in the ELB remains limited. Therefore, this study modelled the landscape ecological risk index (LERI) using land use/land cover (LULC) data from 1985 to 2022 and assessed the drivers of landscape ecological risk (LER) using a geographical detector model (GDM). The findings revealed that (1) from 1985 to 2022, the construction land, cropland, and forestland areas in the ELB increased, whereas those of water bodies, grasslands, and barren land decreased. (2) Between 1985 and 2022, LER in the ELB showed a downward trend. Spatially, LER was predominantly characterised by lower and lowest risk levels. The higher and highest risk status has been around Ebinur lake and has continued to improve each year. (3) Climatic factors, particularly temperature and precipitation, were identified as the most significant drivers of the LER change from 1985 to 2022. The findings provide crucial scientific knowledge for advancing sustainable development and maintaining ecological security in the ELB.

1. Introduction

The stability of ecosystem structure and function is linked to the sustainable development of the local ecosystem. however, with rapid population growth and increased urbanisation, the structure and function of ecosystems are under serious threat [1]. Unsustainable land use has led to serious environmental impacts [2], including soil erosion, grassland degradation, and ecosystem imbalances. These challenges hinder the harmonious development of society and the natural environment [3].With the increasing deterioration of the ecological environment, ecological risk assessment (ERA) has received more and more attention and application as one of the ways to manage ecological risks and protect ecosystems [4].
Ecological risk is the potential negative effect of the natural environment or human activities on ecosystems [5]. As ERA research progresses and ecological problems become more complex, landscape ecological risk assessment (LERA) has gained increasing attention [6]. A landscape, a geographical entity with distinct visual features [7], comprises various ecosystems and land-use types [8]. It reflects the interplay between human activity and ecological processes and is therefore particularly well suited to studying the effect of human actions on ecology [9]. Unlike traditional ERA, LERA is a combination of geographic and ecological processes for the evaluation of the impact of ecological risks on the landscape [6]. They reveal the spatiotemporal heterogeneity of ecological risk in specific areas [10] and enable the spatial visualisation of LER [11]. LERA is a crucial subset of ERA [12] and is defined as the potential for negative consequences arising from the interaction between ecological processes and natural or man-made landscape structures [13,14]. As foundational theories and research methods have evolved, LERA has become an effective means of addressing ecological issues [15], and can serve as a basis for ecosystem conservation and management [16].
In recent years, scholars have extensively researched landscape ecological evaluation methods and constructed models by applying them to various regions and objects. Significant progress has been made in the way LER objectives are set and evaluated [17]. The primary LER evaluation research focus areas are cities [18], watersheds [19], and nature reserves [20]. Regarding the assessment methods, LERA is divided into the two following categories: risk source–sink [21] and landscape pattern methods [22]. The risk source–sink approach is primarily used in areas with well-defined risk sources [23], such as environmental pollution, natural disasters, or human disturbances, and is an approach for assessing ecological risk in terms of the hazards that the risk sources pose to the area [24].The landscape pattern method evaluates LER by analysing spatial patterns on a regional scale. This approach incorporates various ecological characteristics and transcends the traditional research framework by focusing on overall risk instead of isolated factors [25]. It broadens risk assessment from a single ecological component to a comprehensive indicator that accounts for spatial heterogeneity, using LULC changes as catalysts for ecological risk alterations [26]. Additionally, it evaluates changes in LER by analysing the spatial structure and dynamic transformations within the landscape [27].
The landscape pattern method characterises ecological risk in multi-risk source regions without requiring extensive measurement data. It also analyses natural disaster, human disturbance, and environmental pollutant indicators [28]. The ELB is located in the western part of Xinjiang, China, where economic development is relatively slow and the ecological environment is fragile and complex in an arid and semi-arid region. The landscape pattern method requires minimal ecological data, and LULC can serve as the primary data source for evaluating LER in the ELB. The LER analysis aims to protect the regional ecosystems and promote sustainable development, necessitating a deeper understanding of the factors that influence regional ecological risk [29]. Currently, the primary methods for studying LER driving factors are geographically weighted regression [30], boosted regression trees [15], and the geographical detector model (GDM) [31]. Using GDM to explore LER driving factors has the distinct advantage [32] of effectively detecting spatial heterogeneity among variables, identifying influencing factors, and explaining their interactions. This method can also quantify the extent to which individual factors contribute to ecological risk. Consequently, GDM was chosen for this study to analyse the factors driving LER changes.
The ELB, situated in arid Central Asia, features a unique “mountain–oasis–desert–lake system” [33]. Since the reform and opening policy, rapid agricultural and industrial development in the ELB, along with ecological deterioration [34], has caused issues such as water scarcity, greenland reduction, and soil salinisation [35]. Numerous scholars have explored the ecological and environmental challenges in the ELB. Wang [36] tracked long-term changes in the water surface of Ebinur Lake using Google Earth Engine to identify the main factors contributing to the lake’s shrinkage. Zhang [37] used the CLUE-S model to simulate LULC in Jinghe County in 2017, using data from 2007. They predicted ecological risks for 2027 under three different development scenarios. Wei [38] used the InVEST model to evaluate habitat quality and degradation in the ELB. However, there is a lack of long-term LER evaluation studies in the region. Therefore, this study aims to evaluate the long-term changes in LER with full consideration of spatial scale effects and drivers. The results of this study will provide a scientific basis for regional land use planning, ecological conservation, and restoration initiatives.
To fully comprehend LER changes and driving factors in the ELB, this study addressed three key questions: (1) What are the spatiotemporal patterns of LER? (2) What factors drive the LER? (3) How are LULC changes related to LER? This study analysed the spatiotemporal distribution and changes in landscape types, examined alterations in landscape pattern indices, and assessed the spatiotemporal distribution of LER. Additionally, this study investigated the factors driving LER changes using the GDM. These results can inform long-term development plans for the watershed, aiding its overall ecological protection. This research holds significant theoretical and practical value in promoting the coordinated development of local ecosystems and land use.

2. Materials and Methods

2.1. Study Area

The ELB (43°55′–46°02′, 79°41′–85°35′) is situated in north-western Xinjiang, China, covering an area of 52,606 km2 (Figure 1). This region exhibits a typical temperate arid continental climate characterized by low precipitation and high evapotranspiration, leading to relatively fragile ecosystems [39]. The average annual rainfall in the region ranges from 100 to 200 mm, while the annual evaporation varies between 1500 and 2000 mm [40]. The Ebinur Lake, the largest saline lake in Xinjiang, primarily receives inflows from the Kuitun, Boertala, and Jing Rivers [41]. Over the past 40 years, the lake water level has dropped by 2–3 m due to reduced inflows from major rivers, such as the Boertala and Jing [42]. This has caused significant lake surface shrinkage, leading to desertification of the dried-up lakebed and beach, with sections becoming saline and alkaline [43]. Since the early 21st century, the ecological challenges in the ELB have escalated, endangering the ecological security and coordinated development of the Tianshan North slope economic belt.

2.2. Data Sources

The data used in this research comprises LULC data, a digital elevation model (DEM), temperature, precipitation, population, artificial nightlights, roads, waterways, and railways in the ELB (Table 1). The LULC data were sourced from a dataset produced by Wuhan University based on Landsat data and processed using the Google Earth Engine. The overall accuracy of the data was 79.31% [44]. In this study, LULC data were classified and summarised, resulting in spatial distribution maps of six landscape types: grassland, cropland, forestland, water body, barren land, and construction land.

2.3. Research Framework

The framework for the research is presented in Figure 2. Initially, the spatial distribution of LULC in the ELB was analysed to calculate the LULC transfer matrix. This analysis helped identify the LULC changes and transfer directions. Subsequently, landscape indices were derived from the LULC data, and their variations were explored. A LERI model was developed to map the spatial distribution of LER and examine its changes and spatial correlations. Finally, the GDM was used to identify the primary factors driving changes in LER within the basin.

2.4. LULC Change Analysis

This study employed LULC data to explore the spatial distribution, transformation characteristics, and transition directions of six landscape types in the ELB from 1985 to 2022. The results of the analysis form a vital basis for subsequent evaluations of the LER.

2.5. Landscape Ecological Risk Assessment

2.5.1. Division of Assessment Units

Using the Fishnet tool, the ecological risk assessment area was divided into a 3 km × 3 km grid comprising 6107 risk units. The LERI for each unit was computed and attributed to the centre of each respective unit. Fragstats 4.2 was employed to perform these calculations.

2.5.2. LER Model Construction

In this research, the landscape vulnerability (Fi) and disturbance (Ei) indices were employed as foundational components to construct the LERI model. The model is used to quantitatively assess the level of LER in an area [45]. The corresponding formula is as follows:
L E R I k = i = 1 n A k i A i R i
where n is the number of landscape types, Aki is the landscape area of type i in the kth unit, Ak is the area of the kth unit, Ri is the landscape type i loss index, and LERIk is the LERI of the kth unit. Specific indicator calculation formulae are listed in Table 2.

2.5.3. LER Analysis

The LER Spatiotemporal distribution and variation analysis was divided into two sections.
In the first step, the calculated LER values were inserted into risk units using an ordinary kriging interpolation method to obtain the spatial distribution of the LERs, and they were classified into five categories using Jenks natural breaks. These categories were lowest (LER ≤ 0.0304), lower (0.0304 < LER ≤ 0.0451), medium (0.0451 < LER ≤ 0.0609), higher (0.0609 < LER ≤ 0.0790), and highest risk (0.0790 < LER ≤ 0.1472). The classification for the other years followed the same scheme that was established in 1985.
In the second step, to examine the changes in LERs within the study area, LER level changes from 1985 to 2022 were reclassified into five distinct regions: (1) LER decreased by two or more ranks (classified as an extremely ecologically improved area). (2) LER decreased by one rank (classified as an ecologically improved area). (3) LER remained unchanged (classified as an ecologically stable area). (4) LER increased by one rank (classified as an ecologically deteriorated area). (5) LER increased by two or more ranks (classified as an extremely ecologically deteriorated area).

2.6. LER Spatial Autocorrelation Analysis

Spatial autocorrelation analysis for assessment of similarity and distribution patterns of attribute values across spatial units [22,47]. In this research, spatial autocorrelation analyses were carried out at global and local scales [48].LER spatial distribution in the ELB was analysed for 1985, 1995, 2005, 2015, and 2022 using GeoDa 1.22 [49].

2.7. Geographical Detector Model

GDM is a statistical approach for determining spatial disparities and identifying its underlying drivers. In this research, we employed factor and interaction detectors to demonstrate the impact of these drivers on LER. The factor detector assesses the contribution of each of the drivers to LER, with higher q-values indicating a greater effect of the drivers on LER. The interaction detector evaluates how interactions between different factors affect LER by comparing the q-values of individual factors with those of combined factors, determining whether the interactions are enhanced, weakened, or independent. In this study, LER was the dependent variable, whereas ecological and socioeconomic factors were the independent variables. The GDM was applied using the “GD” package in R 4.3, and all factors were resampled to 1 km resolution [50].

3. Results

3.1. Spatial and Temporal Change Characteristics in LULC Types

3.1.1. LULC Spatial and Temporal Distributions

Between 1985 and 2022, the primary LULC types in the ELB were grassland, barren land, and cropland (Figure 3). Grassland covering the most extensive area was primarily based in the northern and western parts of the ELB. Barren land, the second largest LULC type, was primarily found around Ebinur Lake and in the central and eastern regions of the ELB. Cropland was concentrated around Wenquan, Bole, Jinghe, and Wusu in the eastern and southern parts of the ELB, with both cropland and construction land expanding annually. In recent years, the area of water bodies has consistently reduced, and by 2022, water bodies will comprise only 4.23% of the total ELB area.
Between 1985 and 2022, the average proportions of grassland, barren land, and cropland in the ELB were 56.37, 24.88, and 11.94%, respectively (Figure 4). Construction land, cropland, and forestland increased while grassland decreased during this period. The water bodies and barren land exhibited a fluctuating pattern, initially increasing and then decreasing. Notably, cropland expanded the most, growing by 3992.46 km2, and its share rose from 8.30% (1985) to 15.89% (2022). Grassland showed the largest reduction, shrinking by 4742.30 km2, with its share decreasing from 60.33% (1985) to 51.32% (2022). Forestland increased by 591.99 km2, with its share increasing from 1.01% (1985) to 1.58% (2022). Although construction land accounted for a small percentage, it grew steadily, reflecting significant urbanisation. Barren land decreased by 329.18 km2, with its share decreasing from 25.82% (1985) to 25.20% (2022). The water body area diminished by 137.62 km2, from 4.49% (1985) to 4.23% (2022) of the total basin area.

3.1.2. LULC Transfer Analysis

Between 1985 and 2022, cropland, forestland, and construction land in the ELB expanded predominantly because of incoming transfers. Conversely, grassland, barren land, and water bodies decreased, primarily because of outgoing transfers (Table 3). Among them, the total amount of grassland transferred was 6945.27 km2, primarily to cropland (3003.10 km2) and barren land (2935.62 km2). The total amount of barren land transferred was 3693.26 km2, second only to grassland, primarily to grassland (1813.36 km2) and cropland (1445.68 km2). The total amount of water bodies transferred was 477.57 km2, primarily to barren land (393.01 km2) and grassland (56.94 km2). When transfer-out was greater than transfer-in, the area of water bodies decreased significantly. The total amount of cropland transferred was 4454.32 km2, primarily from grassland (3003.10 km2) and barren land (1445.68 km2). The total amount of forestland transferred was 592.01 km2, primarily from grassland (577.65 km2). The total amount of land transferred to construction land was 624.85 km2, primarily transferred from barren land (285.06 km2) and grassland (254.56 km2). With very little transfer-out, the area of construction land grew steadily.
From 1985 to 2022, the transfer between LULC types in the ELB was primarily distributed in the eastern and north-western regions, with most conversions to grassland and barren land (Figure 5). From 1985 to 1995, transfers of each landscape type occurred in the western and eastern regions of the basin, with the interconversion of grassland and barren land being dominant. From 1995 to 2005, the different landscape-type distribution locations did not change significantly, and landscape-type transformation was primarily dominated by barren to grassland and grassland to cropland. From 2005 to 2015, human activity increase [51], and most changes were dominated by grassland to cropland. From 2015 to 2022, interconversion of grassland and barren land continued to dominate within the ELB, although there was conversion of water bodies to barren land. Ecological imbalances and water depletion were caused by the expansion of cropland and the growing use of water in agriculture.

3.2. LER Spatial and Temporal Change Characterisation

3.2.1. Landscape Index Change Characteristics

The landscape index for each landscape in the ELB showed a steady decline from 1985 to 2022, indicating an enhancement in the ecological environment and a decrease in ecological risk. The number of forest patches declined and then increased during this period. The landscape fragmentation, separation, disturbance, and loss indices in forest land showed a clear downward trend, whereas landscape dominance gradually increased, indicating clustering and the formation of dominant landscapes (Figure 6). Conversely, cropland patches displayed a declining trend in number, with decreases in fragmentation, separation, disturbance, and loss indices. The landscape dominance of cropland fluctuated, first decreasing and then increasing. Grassland patches followed a pattern of decrease, increase, and subsequent decrease, with the fragmentation, separation, dominance, and loss indices reflecting this trend. Water body patches increased and then decreased as their fragmentation, separation, disturbance, and loss indices decreased. However, the dominance of water bodies fluctuated, initially increasing and then decreasing, indicating that larger water areas shrank, whereas smaller patches became more dispersed owing to external disturbances. Barren land patches exhibited an overall decreasing trend. The landscape pattern index for barren land fluctuated: first decreased, then increased, and finally decreased again, reflecting more changes with overall stability. The construction land patches and their degree of dominance gradually increased, whereas fragmentation, separation, disturbance, and loss indices steadily decreased. This trend suggests that construction land is expanding and becoming more consolidated without significantly increasing ecological environmental risk.

3.2.2. LER Spatial Distribution Characterisation

From 1985 to 2022, the LER in the ELB consistently decreased, reflecting an improvement in the ecological environment (Figure 7). The average annual LER values for 1985, 1995, 2005, 2015, and 2022 were 0.0430, 0.0390, 0.0361, 0.0347, and 0.0331, respectively. The LER exhibited notable spatial and temporal variations throughout the basin. Spatially, most areas have lower and lowest LER values, while areas with higher and highest LER values are situated in the central and eastern parts of the ELB. These higher risk areas are concentrated around Ebinur lake, and are also sporadically distributed around Wenquan, Bole, Jinghe, and Wusu. The combined percentage of the lowest and lower risk areas rose steadily, accounting for 55.95% (1985), 63.11% (1995), 71.01% (2005), 75.62% (2015), and 81.57% (2022) of the ELB, respectively. Since 1995, the higher and highest risk regions in the eastern and central basin markedly decreased and completely disappeared by 2022. It is worth noting that the risk around Ebinur lake has remained high, possibly due to frequent fluctuations in the size of the lake and changes in the area of barren land.

3.2.3. LER Transfer Analysis

Between 1985 and 2022, the LER in the ELB predominantly shifted towards the lowest and lower risk levels, indicating a general decline in ecological risk (Figure 8). The overall trend is to move from medium, higher, and highest risk levels to lower and lowest risk levels, which significantly improves the ecological risk profile. According to the Sankey diagram, the lowest and lower risk areas are increasing annually. However, the percentage of medium risk areas declined from 21.38% (1985) to 17.09% (2022). Higher risk areas saw a reduction from 17.22% (1985) to 1.21% (2022), and highest risk areas decreased from 5.47% (1985) to 0.12% (2022) over the same period.

3.2.4. LER Spatial Transfer Analysis

The LER changes in the ELB were primarily characterised by ecologically stable areas, followed by ecologically improved and extremely ecologically improved areas (Figure 9). Stable regions, predominantly grasslands, were mainly situated in the northern part of the basin. The ecologically improved and extremely ecologically improved areas were largely in the eastern region of the basin. From 1985 to 1995, aside from the stable regions, the ecologically improved and extremely ecologically improved areas constituted a significant portion, mostly in the east. This was associated with a shift in landscape type, as barren land and croplands were primarily converted into grassland, significantly enhancing the LER in that region. Ecologically deteriorated and extremely ecologically deteriorated areas were mostly found in the western basin, where much of the land was converted for construction use, leading to a decline in LER. From 1995 to 2005, ecologically deteriorated and extremely ecologically deteriorated areas expanded, primarily in the eastern region of the basin, as the landscape shifted from grassland to cropland and barren land. Between 2005 and 2015, the ecological changes were dominated by ecologically improved areas, followed by ecologically deteriorated areas. From 2015 to 2022, the central basin experienced the most significant improvement, and the percentage of deteriorated areas decreased. From 2015 to 2022, the basin was dominated by ecologically improved areas, primarily in the central part of the basin, with the ecologically deteriorated areas decreasing. Changes in LER were primarily influenced by shifts in landscape type: areas converted to grassland saw substantial LER improvement, whereas areas converted into barren land, cropland, and construction land experienced a great increase in ecological risk.

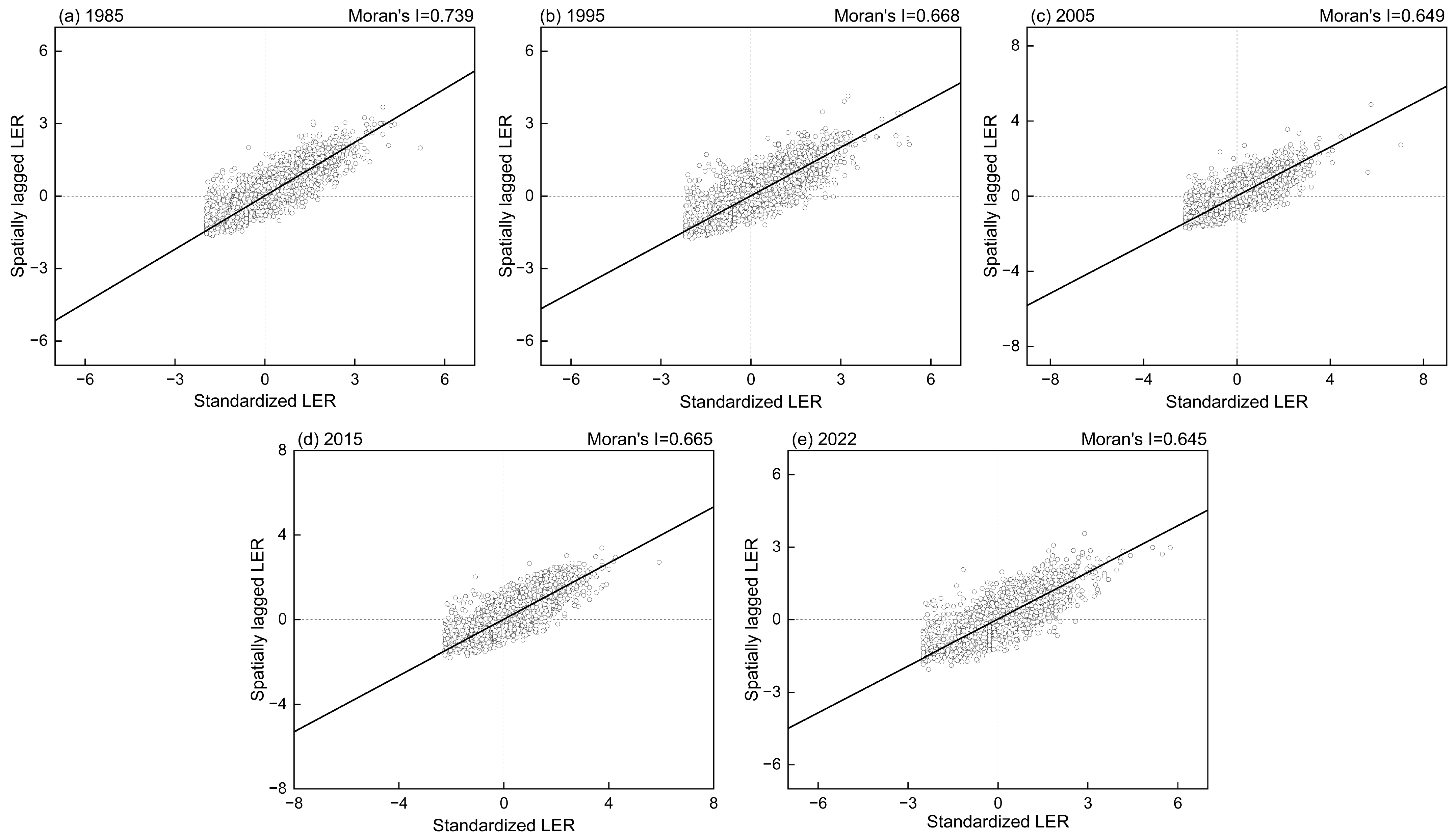
3.3. LER Spatial Autocorrelation Characteristics

From 1985 to 2020, Global Moran’s I exceeds 0.6 (Table 4), showing significant positive spatial correlation (Figure 10). We further performed a local spatial correlation analysis (Figure 11). The “High–High” clusters are predominantly situated in the eastern and central parts of the ELB and are ruled by cropland and barren land. In contrast, the “Low–Low” clusters were mostly situated in the northern and western parts of the ELB and were dominated by grassland. Compared with the “High–High” areas, the “Low–Low” areas have stable geomorphological types, better ecological environments, and fewer human activities, resulting in lower LER values.

3.4. LER Driving Force Analysis

Considering previous research results and the current status of ELB, 10 indicators, including socioeconomic and ecological factors, were selected for this study, and the GDM was used to investigate the main factors influencing LER over five periods from 1985 to 2022. The conclusion of the factor detectors are listed in Table 5.
LER is shaped by a combination of factors, and each factor has a different degree of influence. The main factors affecting LER are temperature, DEM, and precipitation. Temperature consistently exerted the most stable and significant influence, ranking first. The DEM held the second position, although its contribution to LER gradually diminished over time. The impact of precipitation on LER also showed a decreasing trend but remained within the top four influential factors. Notably, the influence of NDVI on LER steadily increased annually. The effect of other factors on LER is negligible. The impact of population growth on LER first declined and then increased as the population continued to grow. Whereas socioeconomic factors minimally impacted the overall spatial pattern of LER, their damage to the local landscape remained significant. However, ecological and environmental factors had a much higher explanatory power than those of socioeconomic factors.
The results of the interaction detection demonstrated that the interaction between the two factors was synergistically enhanced and more significant than the effect of a single factor (Figure 12). From 1985 to 2022, the interaction between NDVI and temperature or DEM exhibited the greatest strength. Although the q value for interactions among social factors remained low, the combination of social and natural factors exhibited a stronger interaction than social factors alone, indicating that natural factors have higher explanatory power for LER and that social factors can indirectly influence changes in LER.

4. Discussion

4.1. LER Responses to LULC Changes

The distribution of LER is primarily affected by the distribution of LULC [26]. In the northern and western parts of the ELB, grassland and forestland prevailed as the primary LULC types, contributing to a unified landscape classification. These areas are distant from concentrated human activity and experienced minimal human intervention, leading to lower LER. In contrast, the central and eastern sections of the basin consisted predominantly of barren land, cropland, and construction land, which were characterised by delicate natural conditions [52]. These regions experienced significant anthropogenic interference with croplands, and the integrity of other landscape types has been disrupted by the expansion of construction land [48]. Consequently, the LER in these areas was substantially higher than that in other regions [53].
In the ELB, both the fragmentation and separation indices for the six landscape types showed downward trends. Although the prominence of cropland, construction land, and forestland increased over time, the significance of grassland, barren land, and water bodies declined. This displays that the growth of cropland and construction land made them the prevailing landscape types, disrupting the continuity of water bodies, grasslands, and barren land, leading to increased fragmentation. As a result, cropland and construction land became dominant, contributing to a more stable ecosystem. The vulnerability of construction land is lower when the LER is calculated using the landscape index method, so the increase in construction land does not significantly raise the LER.
The LER exhibited a declining trend between 1985 and 2022. These changes in LER were likely influenced by national environmental governance policies. In 2000, the Xinjiang Autonomous Region established the Ebinur Lake Wetland Nature Reserve, which was upgraded to a state-level nature reserve in 2007. At the beginning of the 21st century, in order to counteract the ecological risks posed by urbanization, the state implemented a policy of returning agricultural land to forests. The local government has implemented a reduction in groundwater extraction and is actively engaged in reservoir construction to alleviate water stress on Ebinur lake. Since 2010, there has been significant advocacy for the construction of an ecological civilisation, highlighting the importance of harmonious human–nature development as a key component of socioeconomic progress, and ecological environmental protection has received substantial support from the state. The combined influence of these policies and the implementation of various protective measures by the local government has led to the gradual improvement in the ecology of the ELB. This improvement was the primary reason for the reduction in LER in this region [54].

4.2. Influence of Natural and Socioeconomic Factors on LER Spatial and Temporal Variability

In this study, 10 representative drivers from both natural and socioeconomic perspectives were selected to comprehensively analyse the intrinsic mechanisms behind changes in LER spatiotemporal patterns in the ELB. The GDM analysis results indicated that temperature, precipitation, and DEM were the most significant factors influencing LER [55]. This suggests that climate change is a major factor affecting LER [56]. Against the backdrop of global change, the ecological impacts of temperature and precipitation on ELB are particularly important. Furthermore, the ELB is situated in the arid region of Central Asia, which is ecologically fragile and highly vulnerable to the effects of climate change [57]. Elevation also had a substantial impact on influencing the LER of the basin. In the high elevation areas within the ELB, the landscape types are mainly grassland and forestland, and the landscape types are stable, while the landscape types in the low elevation areas are complex [15], and the interference from human activities has become greater, so this may affect the LER values [54]. The influence of NDVI on LER also tends to increase year by year; this is because the growth of vegetation can improve the regional environment, and temperature and precipitation are important factors affecting the growth of vegetation, which indirectly affects the change of LER.
Socioeconomic factors have a relatively small effect on LER, but the combined effect of natural and socioeconomic factors on the ELB is more significant, suggesting that social factors indirectly influence changes in LER. Therefore, human activities and economic development still affect the LER of the ELB.

4.3. Management Measures and Recommendations

The declining trend in LER in the ELB in recent years demonstrates the effectiveness of implemented ecological and environmental protection policies. However, despite improvements in the overall ecological condition, differentiated management strategies are still needed for different areas to ensure the long-term stability and sustainable development of the ecosystem. Firstly, the highest risk areas around Ebinur lake should be better managed to reduce ecological risk by transforming barren land into grassland or forestland. In these areas, native drought-tolerant grasses and shrubs should be extensively planted to restore native vegetation, improve soil quality, and reduce soil erosion. For the highest risk areas, large-scale artificial afforestation projects can be implemented to plant tree species that are resistant to wind, sand, and floods. This will not only enhance the ecosystem’s self-regulatory capacity but also provide habitats for wildlife and foster a more stable ecosystem. Secondly, in higher risk areas, the overall protection of cropland, grassland, and forestland should be enhanced, while large-scale reclamation of agricultural land should be avoided. Soil erosion should be prevented by planting trees, and the carbon sink capacity of the ecosystem should be enhanced. Frequent land-use changes should be minimized, and excessive fragmentation of the landscape avoided. The disturbance caused by human activities should be minimized through rational planning and management to protect the ecological integrity and stability of the region. Thirdly, although the lowest and lower risk areas are currently in good ecological condition, sustainable ecological development policies should be formulated to prevent the gradual rise of ecological risks. In these zones, the government should guide the integration of local economic development with ecological protection and promote models of a low-carbon economy and green agriculture. Destructive activities, such as overdevelopment and the entry of heavy industries, should be avoided to maintain the region’s ecological balance. Finally, ecological monitoring in the ELB should be strengthened, the ecological compensation mechanism improved, and irrational land use reduced. To ensure the sustainable development of the ELB, land development should be slowed, the industrial structure optimized, and the construction of a green, low-carbon economic system promoted.

4.4. Study Limitations and Future Work

Using LULC data, this research developed a model to evaluate regional LER and investigate its influencing factors, which offers a crucial foundation for environmental management in the ELB. However, this research has several limitations. Firstly, as the evaluation of the LER is based on LULC data, the accuracy of the latter has a direct impact on the results of the evaluation. The accuracy of the LULC data used in this study was 79.31%, but there was still a discrepancy between the classification results and the actual situation. Therefore, any future risk assessment requires timely risk evaluation using LULC data with higher temporal and spatial resolutions.
Second, landscape pattern indices can be subject to errors owing to the scale effect inherent in these indices [31]. In this study, the resolution of the assessment unit was set to 3 km×3 km instead of 1 km×1 km in order to reasonably control the responsible nature of the calculation and based on the fact that the area of a sample unit should be 2–5 times the average landscape patch area in the region in order for the sample unit to effectively reflect the characteristics of the landscape pattern. Future evaluations of LER should analyse and compare landscape pattern indices on multiple or optimal scales [58]. Additionally, although LULC-based ERAs are widely used and recognised, they have significant limitations. Specifically, the impact of other relevant factors, such as climate change, environmental pollution, and human economic activities, on ecological risk is often overlooked. The ecosystem is a complex and integrated system, and ecological risks are formed by the interaction of multiple factors, so incorporating more factors into the existing evaluation system will more accurately quantify ecological risk changes [26]. To address current shortcomings and upcoming challenges, a more comprehensive risk assessment methodology must be adopted to provide more accurate and reliable data and references for ecosystem management. This study analyses LULC changes and evaluates LERs in ecologically vulnerable regions at the regional scale [59], providing a case study of arid and semi-arid regions in Central Asia and a regional case study of LULC changes at the global scale [7].

5. Conclusions

In this study, we assessed the spatial and temporal changes in LER in the ELB region from 1985 to 2022, and we identified the main factors driving the changes in LER using GDM. These findings provide important insights and references for strengthening and standardising management strategies in the area.
  • Grassland and barren land are the dominant landscape types in the ELB, and the areas of construction land, barren land, and forestland are increasing.
  • From 1985 to 2022, the fragmentation and separation indices of the six landscape types have decreased.
  • LERs in the ELB region are falling. As of 2022, 81.57% of regions will be at the lowest and lower risk levels. The main types of LULC in higher and the highest LER areas are barren land and cropland. Higher and the highest risk areas were consistently located around Ebinur Lake.
  • Temperature and precipitation are the most important factors affecting LER.

Author Contributions

A.A.: Conceptualization, formal analysis, validation, data curation writing—original draft, writing—review and editing, visualization. B.W.: Conceptualization, validation, software. J.C.: Software, data curation. N.W.: Methodology, investigation, writing—review and editing, project administration, funding acquisition. Y.G.: Conceptualization, methodology, writing—review and editing. J.A.: Writing—review and editing, project administration, funding acquisition. All authors have read and agreed to the published version of the manuscript.

Funding

This research was funded by the Natural Science Foundation of Xinjiang Uygur Autonomous Region (2022D01A352), the National Natural Science Foundation of China (42171014, 42307523) and the Youth Innovation Promotion Association of CAS (2023459).

Data Availability Statement

Data will be made available on request due to privacy.

Acknowledgments

The authors are grateful to the anonymous reviewers for their valuable comments and suggestions to improve this study.

Conflicts of Interest

The authors declare that they have no known competing financial interests or personal relationships that could have appeared to influence the work reported in this paper.

References

  1. Ran, P.; Hu, S.; Frazier, A.E.; Qu, S.; Yu, D.; Tong, L. Exploring changes in landscape ecological risk in the Yangtze River Economic Belt from a spatiotemporal perspective. Ecol. Indic. 2022, 137, 108744. [Google Scholar] [CrossRef]
  2. Liu, Y.; Yuan, X.; Li, J.; Qian, K.; Yan, W.; Yang, X.; Ma, X. Trade-offs and synergistic relationships of ecosystem services under land use change in Xinjiang from 1990 to 2020: A Bayesian network analysis. Sci. Total Environ. 2023, 858, 160015. [Google Scholar] [CrossRef] [PubMed]
  3. Guo, H.; Cai, Y.; Li, B.; Wan, H.; Yang, Z. An improved approach for evaluating landscape ecological risks and exploring its coupling coordination with ecosystem services. J. Environ. Manag. 2023, 348, 119277. [Google Scholar] [CrossRef] [PubMed]
  4. Rao, J.; Ouyang, X.; Pan, P.; Huang, C.; Li, J.; Ye, Q. Ecological Risk Assessment of Forest Landscapes in Lushan National Nature Reserve in Jiangxi Province, China. Forests 2024, 15, 484. [Google Scholar] [CrossRef]
  5. Xu, M.; Matsushima, H. Multi-dimensional landscape ecological risk assessment and its drivers in coastal areas. Sci. Total Environ. 2024, 908, 168183. [Google Scholar] [CrossRef]
  6. Chen, A.; Yang, X.; Guo, J.; Zhang, M.; Xing, X.; Yang, D.; Xu, B.; Jiang, L. Dynamic of land use, landscape, and their impact on ecological quality in the northern sand-prevention belt of China. J. Environ. Manag. 2022, 317, 115351. [Google Scholar] [CrossRef] [PubMed]
  7. González-Ávila, I.; Jato-Espino, D.; Paixão, M.A.; Carvalho, M.M.; Kobiyama, M. Sociogeomorphological Analysis in a Headwater Basin in Southern Brazil with Emphasis on Land Use and Land Cover Change. Land 2023, 12, 306. [Google Scholar] [CrossRef]
  8. Nedd, R.; Light, K.; Owens, M.; James, N.; Johnson, E.; Anandhi, A. A Synthesis of Land Use/Land Cover Studies: Definitions, Classification Systems, Meta-Studies, Challenges and Knowledge Gaps on a Global Landscape. Land 2021, 10, 994. [Google Scholar] [CrossRef]
  9. Zhang, D.; Jing, P.; Sun, P.; Ren, H.; Ai, Z. The non-significant correlation between landscape ecological risk and ecosystem services in Xi’an Metropolitan Area, China. Ecol. Indic. 2022, 141, 109118. [Google Scholar] [CrossRef]
  10. Zhang, Y.; Yang, R.; Li, X.; Sun, M.; Zhang, L.; Lu, Y.; Meng, L.; Liu, Y.; Wang, C. Designing a Sustainable Development Path Based on Landscape Ecological Risk and Ecosystem Service Value in Southwest China. Sustainability 2023, 15, 3648. [Google Scholar] [CrossRef]
  11. Xie, H.; Wen, J.; Chen, Q.; Wu, Q. Evaluating the landscape ecological risk based on GIS: A case-study in the Poyang Lake region of China. Land Degrad. Dev. 2021, 32, 2762–2774. [Google Scholar] [CrossRef]
  12. Ren, D.; Cao, A. Analysis of the heterogeneity of landscape risk evolution and driving factors based on a combined GeoDa and Geodetector model. Ecol. Indic. 2022, 144, 109568. [Google Scholar] [CrossRef]
  13. Cao, Q.; Zhang, X.; Lei, D.; Guo, L.; Sun, X.; Kong, F.E.; Wu, J. Multi-scenario simulation of landscape ecological risk probability to facilitate different decision-making preferences. J. Clean. Prod. 2019, 227, 325–335. [Google Scholar] [CrossRef]
  14. Xie, J.; Zhao, J.; Zhang, S.; Sun, Z. Optimal Scale and Scenario Simulation Analysis of Landscape Ecological Risk Assessment in the Shiyang River Basin. Sustainability 2023, 15, 15883. [Google Scholar] [CrossRef]
  15. Hou, M.; Ge, J.; Gao, J.; Meng, B.; Li, Y.; Yin, J.; Liu, J.; Feng, Q.; Liang, T. Ecological Risk Assessment and Impact Factor Analysis of Alpine Wetland Ecosystem Based on LUCC and Boosted Regression Tree on the Zoige Plateau, China. Remote Sens. 2020, 12, 368. [Google Scholar] [CrossRef]
  16. Liu, J.; Liu, Z.; Liu, X. Rethinking landscape ecological risk assessment and its applicability: Counterintuitive findings from coastal areas. Land Degrad. Dev. 2024, 35, 1850–1862. [Google Scholar] [CrossRef]
  17. Li, W.; Wang, Y.; Xie, S.; Sun, R.; Cheng, X. Impacts of landscape multifunctionality change on landscape ecological risk in a megacity, China: A case study of Beijing. Ecol. Indic. 2020, 117, 106681. [Google Scholar] [CrossRef]
  18. Zhang, W.; Chang, W.J.; Zhu, Z.C.; Hui, Z. Landscape ecological risk assessment of Chinese coastal cities based on land use change. Appl. Geogr. 2020, 117, 102174. [Google Scholar] [CrossRef]
  19. Bao, T.; Wang, R.; Song, L.; Liu, X.; Zhong, S.; Liu, J.; Yu, K.; Wang, F. Spatio-Temporal Multi-Scale Analysis of Landscape Ecological Risk in Minjiang River Basin Based on Adaptive Cycle. Remote Sens. 2022, 14, 5540. [Google Scholar] [CrossRef]
  20. Wang, H.; Liu, X.; Zhao, C.; Chang, Y.; Liu, Y.; Zang, F. Spatial-temporal pattern analysis of landscape ecological risk assessment based on land use/land cover change in Baishuijiang National nature reserve in Gansu Province, China. Ecol. Indic. 2021, 124, 107454. [Google Scholar] [CrossRef]
  21. Wu, J.; Zhu, Q.; Qiao, N.; Wang, Z.; Sha, W.; Luo, K.; Wang, H.; Feng, Z. Ecological risk assessment of coal mine area based on “source-sink” landscape theory—A case study of Pingshuo mining area. J. Clean. Prod. 2021, 295, 126371. [Google Scholar] [CrossRef]
  22. Liu, J.; Wang, M.; Yang, L. Assessing Landscape Ecological Risk Induced by Land-Use/Cover Change in a County in China: A GIS- and Landscape-Metric-Based Approach. Sustainability 2020, 12, 9037. [Google Scholar] [CrossRef]
  23. Yang, Y.; Chen, J.; Lan, Y.; Zhou, G.; You, H.; Han, X.; Wang, Y.; Shi, X. Landscape Pattern and Ecological Risk Assessment in Guangxi Based on Land Use Change. Int. J. Environ. Res. Public Health 2022, 19, 1595. [Google Scholar] [CrossRef] [PubMed]
  24. Wang, Q.; Zhang, P.; Chang, Y.; Li, G.; Chen, Z.; Zhang, X.; Xing, G.; Lu, R.; Li, M.; Zhou, Z. Landscape pattern evolution and ecological risk assessment of the Yellow River Basin based on optimal scale. Ecol. Indic. 2024, 158, 111381. [Google Scholar] [CrossRef]
  25. Wang, K.; Zheng, H.; Zhao, X.; Sang, Z.; Yan, W.; Cai, Z.; Xu, Y.; Zhang, F. Landscape ecological risk assessment of the Hailar River basin based on ecosystem services in China. Ecol. Indic. 2023, 147, 109795. [Google Scholar] [CrossRef]
  26. Gong, J.; Cao, E.; Xie, Y.; Xu, C.; Li, H.; Yan, L. Integrating ecosystem services and landscape ecological risk into adaptive management: Insights from a western mountain-basin area, China. J. Environ. Manag. 2021, 281, 111817. [Google Scholar] [CrossRef] [PubMed]
  27. Yan, Z.; Wang, Y.; Wang, Z.; Zhang, C.; Wang, Y.; Li, Y. Spatiotemporal Analysis of Landscape Ecological Risk and Driving Factors: A Case Study in the Three Gorges Reservoir Area, China. Remote Sens. 2023, 15, 4884. [Google Scholar] [CrossRef]
  28. Jin, X.; Jin, Y.; Mao, X. Ecological risk assessment of cities on the Tibetan Plateau based on land use/land cover changes—Case study of Delingha City. Ecol. Indic. 2019, 101, 185–191. [Google Scholar] [CrossRef]
  29. Wang, S.; Tan, X.; Fan, F. Landscape Ecological Risk Assessment and Impact Factor Analysis of the Qinghai–Tibetan Plateau. Remote Sens. 2022, 14, 4726. [Google Scholar] [CrossRef]
  30. Yu, T.; Bao, A.; Xu, W.; Guo, H.; Jiang, L.; Zheng, G.; Yuan, Y.; Nzabarinda, V. Exploring Variability in Landscape Ecological Risk and Quantifying Its Driving Factors in the Amu Darya Delta. Int. J. Environ. Res. Public Health 2020, 17, 79. [Google Scholar] [CrossRef] [PubMed]
  31. Ai, J.; Yu, K.; Zeng, Z.; Yang, L.; Liu, Y.; Liu, J. Assessing the dynamic landscape ecological risk and its driving forces in an island city based on optimal spatial scales: Haitan Island, China. Ecol. Indic. 2022, 137, 108771. [Google Scholar] [CrossRef]
  32. Wu, J.; Luo, J.; Zhang, H.; Qin, S.; Yu, M. Projections of land use change and habitat quality assessment by coupling climate change and development patterns. Sci. Total Environ. 2022, 847, 157491. [Google Scholar] [CrossRef] [PubMed]
  33. Wang, X.; Zhang, F.; Kung, H.-T.; Ghulam, A.; Trumbo, A.L.; Yang, J.; Ren, Y.; Jing, Y. Evaluation and estimation of surface water quality in an arid region based on EEM-PARAFAC and 3D fluorescence spectral index: A case study of the Ebinur Lake Watershed, China. Catena 2017, 155, 62–74. [Google Scholar] [CrossRef]
  34. Abuduwaili, J.; Zhang, Z.Y.; Jiang, F.Q. Assessment of the Distribution, Sources and Potential Ecological Risk of Heavy Metals in the Dry Surface Sediment of Aibi Lake in Northwest China. PLoS ONE 2015, 10, e0120001. [Google Scholar] [CrossRef] [PubMed]
  35. Wang, X.; Zhang, F.; Ding, J.; Kung, H.-T.; Latif, A.; Johnson, V.C. Estimation of soil salt content (SSC) in the Ebinur Lake Wetland National Nature Reserve (ELWNNR), Northwest China, based on a Bootstrap-BP neural network model and optimal spectral indices. Sci. Total Environ. 2018, 615, 918–930. [Google Scholar] [CrossRef]
  36. Wang, J.; Ding, J.; Li, G.; Liang, J.; Yu, D.; Aishan, T.; Zhang, F.; Yang, J.; Abulimiti, A.; Liu, J. Dynamic detection of water surface area of Ebinur Lake using multi-source satellite data (Landsat and Sentinel-1A) and its responses to changing environment. Catena 2019, 177, 189–201. [Google Scholar] [CrossRef]
  37. Zhang, Y.; Li, Y.; Lv, J.; Wang, J.; Wu, Y. Scenario simulation of ecological risk based on land use/cover change—A case study of the Jinghe county, China. Ecol. Indic. 2021, 131, 108176. [Google Scholar] [CrossRef]
  38. Wei, Q.; Abudureheman, M.; Halike, A.; Yao, K.; Yao, L.; Tang, H.; Tuheti, B. Temporal and spatial variation analysis of habitat quality on the PLUS-InVEST model for Ebinur Lake Basin, China. Ecol. Indic. 2022, 145, 109632. [Google Scholar] [CrossRef]
  39. Wei, Q.; Halike, A.; Yao, K.; Chen, L.; Balati, M. Construction and optimization of ecological security pattern in Ebinur Lake Basin based on MSPA-MCR models. Ecol. Indic. 2022, 138, 108857. [Google Scholar] [CrossRef]
  40. Yushanjiang, A.; Zhang, F.; Yu, H.; Kung, H.-T. Quantifying the spatial correlations between landscape pattern and ecosystem service value: A case study in Ebinur Lake Basin, Xinjiang, China. Ecol. Eng. 2018, 113, 94–104. [Google Scholar] [CrossRef]
  41. Zeng, H.; Wu, B.; Zhu, W.; Zhang, N. A trade-off method between environment restoration and human water consumption: A case study in Ebinur Lake. J. Clean. Prod. 2019, 217, 732–741. [Google Scholar] [CrossRef]
  42. Abuduwaili, J.; Gabchenko, M.V.; Junrong, X. Eolian transport of salts—A case study in the area of Lake Ebinur (Xinjiang, Northwest China). J. Arid. Environ. 2008, 72, 1843–1852. [Google Scholar] [CrossRef]
  43. Abuduwaili, J.; Zhang, Z.; Jiang, F.q.; Liu, D.w. The Disastrous Effects of Salt Dust Deposition on Cotton Leaf Photosynthesis and the Cell Physiological Properties in the Ebinur Basin in Northwest China. PLoS ONE 2015, 10, e0124546. [Google Scholar] [CrossRef] [PubMed]
  44. Yang, J.; Huang, X. The 30m annual land cover dataset and its dynamics in China from 1990 to 2019. Earth Syst. Sci. Data Discuss. 2021, 13, 3907–3925. [Google Scholar] [CrossRef]
  45. Lin, X.; Wang, Z. Landscape ecological risk assessment and its driving factors of multi-mountainous city. Ecol. Indic. 2023, 146, 109823. [Google Scholar] [CrossRef]
  46. Mo, W.; Wang, Y.; Zhang, Y.; Zhuang, D. Impacts of road network expansion on landscape ecological risk in a megacity, China: A case study of Beijing. Sci. Total Environ. 2017, 574, 1000–1011. [Google Scholar] [CrossRef]
  47. Ke, X.; Wang, X.; Guo, H.; Yang, C.; Zhou, Q.; Mougharbel, A. Urban ecological security evaluation and spatial correlation research-----based on data analysis of 16 cities in Hubei Province of China. J. Clean. Prod. 2021, 311, 127613. [Google Scholar] [CrossRef]
  48. Ju, H.; Niu, C.; Zhang, S.; Jiang, W.; Zhang, Z.; Zhang, X.; Yang, Z.; Cui, Y. Spatiotemporal patterns and modifiable areal unit problems of the landscape ecological risk in coastal areas: A case study of the Shandong Peninsula, China. J. Clean. Prod. 2021, 310, 127522. [Google Scholar] [CrossRef]
  49. Anselin, L.; Syabri, I.; Kho, Y. GeoDa: An introduction to spatial data analysis. In Handbook of Applied Spatial Analysis: Software Tools, Methods and Applications; Springer: Berlin/Heidelberg, Germany, 2009; pp. 73–89. [Google Scholar]
  50. Song, Y.; Wang, J.; Ge, Y.; Xu, C. An optimal parameters-based geographical detector model enhances geographic characteristics of explanatory variables for spatial heterogeneity analysis: Cases with different types of spatial data. GIScience Remote Sens. 2020, 57, 593–610. [Google Scholar] [CrossRef]
  51. Zhang, Z.; Xia, F.; Yang, D.; Huo, J.; Wang, G.; Chen, H. Spatiotemporal characteristics in ecosystem service value and its interaction with human activities in Xinjiang, China. Ecol. Indic. 2020, 110, 105826. [Google Scholar] [CrossRef]
  52. Song, Q.; Hu, B.; Peng, J.; Bourennane, H.; Biswas, A.; Opitz, T.; Shi, Z. Spatio-temporal variation and dynamic scenario simulation of ecological risk in a typical artificial oasis in northwestern China. J. Clean. Prod. 2022, 369, 133302. [Google Scholar] [CrossRef]
  53. Wang, L.-J.; Luo, G.-Y.; Ma, S.; Wang, H.-Y.; Jiang, J.; Zhang, J.-G. Integrating landscape ecological risk into ecosystem service value assessment: A case study of Nanjing City, China. Ecol. Indic. 2023, 154, 110625. [Google Scholar] [CrossRef]
  54. Tan, L.; Luo, W.; Yang, B.; Huang, M.; Shuai, S.; Cheng, C.; Zhou, X.; Li, M.; Hu, C. Evaluation of landscape ecological risk in key ecological functional zone of South–to–North Water Diversion Project, China. Ecol. Indic. 2023, 147, 109934. [Google Scholar] [CrossRef]
  55. Liu, L.; Peng, J.; Li, G.; Guan, J.; Han, W.; Ju, X.; Zheng, J. Effects of drought and climate factors on vegetation dynamics in Central Asia from 1982 to 2020. J. Environ. Manag. 2023, 328, 116997. [Google Scholar] [CrossRef] [PubMed]
  56. Wang, R.; Ding, J.; Ge, X.; Wang, J.; Qin, S.; Tan, J.; Han, L.; Zhang, Z. Impacts of climate change on the wetlands in the arid region of Northwestern China over the past 2 decades. Ecol. Indic. 2023, 149, 110168. [Google Scholar] [CrossRef]
  57. Song, X.; Chen, F.; Sun, Y.; Ma, J.; Yang, Y.; Shi, G. Effects of land utilization transformation on ecosystem services in urban agglomeration on the northern slope of the Tianshan Mountains, China. Ecol. Indic. 2024, 162, 112046. [Google Scholar] [CrossRef]
  58. Li, B.; Yang, Y.; Jiao, L.; Yang, M.; Li, T. Selecting ecologically appropriate scales to assess landscape ecological risk in megacity Beijing, China. Ecol. Indic. 2023, 154, 110780. [Google Scholar] [CrossRef]
  59. Ashmore, P. Towards a sociogeomorphology of rivers. Geomorphology 2015, 251, 149–156. [Google Scholar] [CrossRef]
Figure 1. Ebinur Lake Basin geographical location.
Figure 1. Ebinur Lake Basin geographical location.
Land 13 01572 g001
Figure 2. Framework of this study.
Figure 2. Framework of this study.
Land 13 01572 g002
Figure 3. Spatial distribution of landscape-type changes in the Ebinur Lake Basin.
Figure 3. Spatial distribution of landscape-type changes in the Ebinur Lake Basin.
Land 13 01572 g003
Figure 4. LULC dynamics in the Ebinur Lake Basin from 1985 to 2022. (a) Sankey diagram of LULC types, (b) bar chart of landscape-type areas.
Figure 4. LULC dynamics in the Ebinur Lake Basin from 1985 to 2022. (a) Sankey diagram of LULC types, (b) bar chart of landscape-type areas.
Land 13 01572 g004
Figure 5. Change map of LULC in the Ebinur Lake Basin, 1985–2022 (Note: 12 is cropland–forestland, 13 is cropland–grassland, 14 is cropland–water, 15 is cropland–barren land, 16 is cropland–construction land, 21 is forestland–cropland, 23 is forestland–grassland, 24 is forestland–water, 26 is forestland–construction land, 31 is grassland–cropland, 32 is grassland–forestland, 34 is grassland–water body, 35 is grassland–barren land, 36 is grassland–construction land, 41 is water body–cropland, 42 is water body–forestland, 43 is water body–grassland, 45 is water body–barren land, 46 is water body–construction land, 51 is barren land–cropland, 52 is barren land–forestland, 53 is barren land–grassland, 54 is barren land–water body, 56 is barren land–construction land, 61 is construction land–cropland, 63 is construction land–grassland, 64 is construction land–water body, 65 is construction land–barren land).
Figure 5. Change map of LULC in the Ebinur Lake Basin, 1985–2022 (Note: 12 is cropland–forestland, 13 is cropland–grassland, 14 is cropland–water, 15 is cropland–barren land, 16 is cropland–construction land, 21 is forestland–cropland, 23 is forestland–grassland, 24 is forestland–water, 26 is forestland–construction land, 31 is grassland–cropland, 32 is grassland–forestland, 34 is grassland–water body, 35 is grassland–barren land, 36 is grassland–construction land, 41 is water body–cropland, 42 is water body–forestland, 43 is water body–grassland, 45 is water body–barren land, 46 is water body–construction land, 51 is barren land–cropland, 52 is barren land–forestland, 53 is barren land–grassland, 54 is barren land–water body, 56 is barren land–construction land, 61 is construction land–cropland, 63 is construction land–grassland, 64 is construction land–water body, 65 is construction land–barren land).
Land 13 01572 g005
Figure 6. Variation in landscape indices from 1985 to 2022.
Figure 6. Variation in landscape indices from 1985 to 2022.
Land 13 01572 g006
Figure 7. The spatial distributions of LER in the Ebinur Lake Basin from 1985 to 2022.
Figure 7. The spatial distributions of LER in the Ebinur Lake Basin from 1985 to 2022.
Land 13 01572 g007
Figure 8. Changes in LER in the Ebinur Lake Basin from 1985 to 2022. (a) Sankey diagram of LER levels, (b) bar chart of different LER levels.
Figure 8. Changes in LER in the Ebinur Lake Basin from 1985 to 2022. (a) Sankey diagram of LER levels, (b) bar chart of different LER levels.
Land 13 01572 g008
Figure 9. Spatial distribution of LER transfers from 1985 to 2022 in the Ebinur Lake Basin (Note: 2 is an extremely ecologically deteriorated area, 1 is an ecologically deteriorated area, 0 is an ecologically stable area, −1 is an ecologically improved area, and −2 is an extremely ecologically improved area).
Figure 9. Spatial distribution of LER transfers from 1985 to 2022 in the Ebinur Lake Basin (Note: 2 is an extremely ecologically deteriorated area, 1 is an ecologically deteriorated area, 0 is an ecologically stable area, −1 is an ecologically improved area, and −2 is an extremely ecologically improved area).
Land 13 01572 g009
Figure 10. Global Moran’s I scatter plots of LER in the Ebinur Lake Basin from 1985 to 2022.
Figure 10. Global Moran’s I scatter plots of LER in the Ebinur Lake Basin from 1985 to 2022.
Land 13 01572 g010
Figure 11. The LISA maps in the Ebinur Lake Basin from 1985 to 2022.
Figure 11. The LISA maps in the Ebinur Lake Basin from 1985 to 2022.
Land 13 01572 g011
Figure 12. The results of interaction detector (X1 is the DEM; X2 is the slope; X3 is the NDVI; X4 is the distance to the waterway; X5 is the distance to the railway; X6 is the distance to the roadway; X7 is the precipitation; X8 is the temperature; X9 is the population; X10 is the artificial nightlight).
Figure 12. The results of interaction detector (X1 is the DEM; X2 is the slope; X3 is the NDVI; X4 is the distance to the waterway; X5 is the distance to the railway; X6 is the distance to the roadway; X7 is the precipitation; X8 is the temperature; X9 is the population; X10 is the artificial nightlight).
Land 13 01572 g012
Table 1. Data sources and details.
Table 1. Data sources and details.
TypeDetailsResolutionData Source
Land useFive-phase land use-type maps from 1985, 1995, 2005, 2015, and 202230 mhttps://zenodo.org/records/8176941 (accessed on 31 February 2024)
DEMFor slope extraction90 mGeospatial Data Cloud Website (https://www.gscloud.cn/, accessed on 31 February 2024)
Precipitation and TemperatureAverage annual temperature and annual precipitation from 1985, 1995, 2005, 2015, and 20221 kmNational Earth System Science Data Center (http://www.geodata.cn, accessed on 31 February 2024)
Population1985, 1995, 2005, and 20151 kmEuropean Commission (https://ghsl.jrc.ec.europa.eu/, accessed on 31 February 2024)
20221 kmLandScan
(https://landscan.ornl.gov/, accessed on 31 February 2024)
Artificial night light1985, 1995, 2005, and 20151 kmNational Tibetan Plateau Data Center
(http://data.tpdc.ac.cn/, accessed on 31 February 2024)
2022500 mEarth Observation Group (https://eogdata.mines.edu/products/vnl/#v1, accessed on 31 February 2024)
NDVI1985, 1995, 2005, 2015, and 20228 kmhttps://zenodo.org/records/8253971 (accessed on 31 February 2024)
Railways, roads, and waterwaysThe Euclidean distance tool was used to calculate distances to railways, roads, and waterwaysShapefileOpenStreetMap
(https://openstreetmap.org/, accessed on 31 February 2024)
Table 2. Formulae for LERI calculations.
Table 2. Formulae for LERI calculations.
IndexCalculation FormulaFormula Description
Landscape
loss index (Ri)
R i = E i × F i (2)Fi is the vulnerability index of landscape type i; Ei is the disturbance index of landscape type i.
Landscape vulnerability index (Fi)FConstruction land = 0.0476, FForestland = 0.0952, FGrassland = 0.1429, FCropland = 0.1905,
FWater body = 0.2381, and FBarren land = 0.2857
Based on related studies [20,46], assigned construction land = 1, forestland = 2, grassland = 3, cropland = 4, water body = 5, barren land = 6, and normalised them.
Landscape
disturbance
index (Ei)
E i = a C i + b N i + c D i (3)According to existing relevant studies [22], a = 0.5, b = 0.3, and c = 0.2.
Landscape
fragmentation
index (Ci)
C i = n i A i (4)ni and Ai are the patch number and area of landscape type, respectively.
Landscape
separation
index (Ni)
N i = A 2 A i n i A (5)A is the total area.
Landscape
dominance
index (Di)
D i = α L i + β M i (6)Li is the ratio of the ith and total areas. Mi is the ratio of the ith and total patch numbers. α and β are the Li and Mi weights, respectively. Based on the expert scores [45], α = 0.6, and β = 0.4.
Table 3. Transfer matrix of LULC types in the Ebinur Lake Basin from 1985 to 2022 (unit: km2).
Table 3. Transfer matrix of LULC types in the Ebinur Lake Basin from 1985 to 2022 (unit: km2).
19852022Changes from 1985 to 2022
CroplandForestlandGrasslandWater BodyBarren LandConstruction Land
Cropland3905.498.09332.6416.5335.4069.213992.46
Forestland0.02529.460.010.000.000.00591.99
Grassland3003.10577.6524,793.20174.342935.62254.56−4742.32
Water bodies5.476.1456.941882.77393.0116.02−137.62
Barren land1445.680.131813.36149.039891.80285.06−329.18
Construction land0.060.000.010.060.0525.23624.67
Table 4. The Global Moran’s I index of LER and its test.
Table 4. The Global Moran’s I index of LER and its test.
Year19851995200520152022
Global Moran’s I index0.7390.6680.6490.6650.645
p value0.0010.0010.0010.0010.001
Z value76.91572.44768.38270.13466.701
Table 5. The results of factor detector.
Table 5. The results of factor detector.
Factor19851995200520152022
qRankqRankqRankqRankqRank
Temperature0.43110.40310.40110.40810.4001
DEM0.40320.37220.36120.34720.3362
Precipitation0.22830.27030.22730.22240.1674
Slope0.18640.12550.11650.11050.0925
Distance to railway0.10050.09460.11360.10460.0896
NDVI0.07260.16340.21640.24930.2583
Nightlight0.04570.01580.01180.02670.0437
Population0.03680.00790.00590.00590.0308
Distance to waterway0.03290.02270.01470.01080.0109
Distance to roadway0.020100.004100.005100.003100.00510
Disclaimer/Publisher’s Note: The statements, opinions and data contained in all publications are solely those of the individual author(s) and contributor(s) and not of MDPI and/or the editor(s). MDPI and/or the editor(s) disclaim responsibility for any injury to people or property resulting from any ideas, methods, instructions or products referred to in the content.

Share and Cite

MDPI and ACS Style

Adili, A.; Wu, B.; Chen, J.; Wu, N.; Ge, Y.; Abuduwaili, J. Assessment of Landscape Ecological Risk and Its Driving Factors for the Ebinur Lake Basin from 1985 to 2022. Land 2024, 13, 1572. https://doi.org/10.3390/land13101572

AMA Style

Adili A, Wu B, Chen J, Wu N, Ge Y, Abuduwaili J. Assessment of Landscape Ecological Risk and Its Driving Factors for the Ebinur Lake Basin from 1985 to 2022. Land. 2024; 13(10):1572. https://doi.org/10.3390/land13101572

Chicago/Turabian Style

Adili, Ayinigaer, Biao Wu, Jiayu Chen, Na Wu, Yongxiao Ge, and Jilili Abuduwaili. 2024. "Assessment of Landscape Ecological Risk and Its Driving Factors for the Ebinur Lake Basin from 1985 to 2022" Land 13, no. 10: 1572. https://doi.org/10.3390/land13101572

APA Style

Adili, A., Wu, B., Chen, J., Wu, N., Ge, Y., & Abuduwaili, J. (2024). Assessment of Landscape Ecological Risk and Its Driving Factors for the Ebinur Lake Basin from 1985 to 2022. Land, 13(10), 1572. https://doi.org/10.3390/land13101572

Note that from the first issue of 2016, this journal uses article numbers instead of page numbers. See further details here.

Article Metrics

Back to TopTop