Utilisation of Intrinsic and Extrinsic Soil Information to Derive Soil Nutrient Management Zones for Banana Production in a Smallholder Farm
Abstract
:1. Introduction
2. Materials and Methods
2.1. Site Description
2.2. Land Management Practices in the Banana Plantation and Optimal Soil Nutrient Requirements for Banana
2.3. Soil Sampling Strategy and Collection of Soil Nutrient Samples in the Field
2.4. Soil Sample Preparation and Analysis of Soil Physicochemical Properties in the Laboratory
2.5. Generation of Environmental Predictors
2.6. Classical and Geostatistical Analysis
2.7. Generation of Soil NutrientSpatial Maps and Delineation of Management Zones
3. Results
3.1. Descriptive Statistics of Soil Nutrients Essential for Banana Production
3.2. Spatial Structure of Essential Soil Nutrients across the Banana Plantation
3.3. Spatial Distribution of Soil Nutrients across the 12 ha Banana Plantation
3.4. Correlation of Soil Nutrients and Edaphic Factors
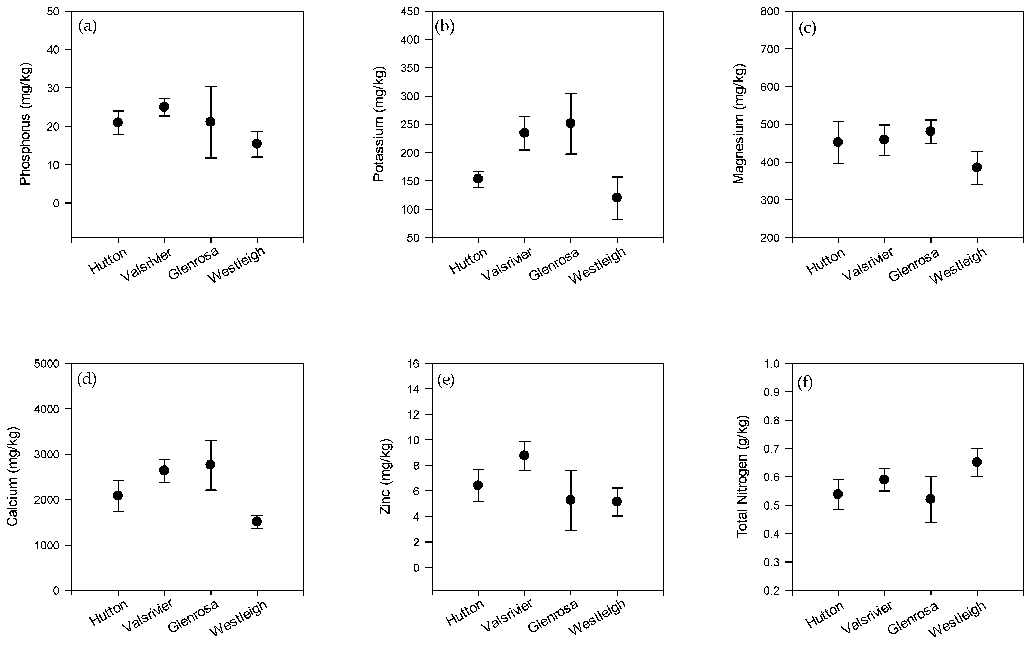
3.5. Distribution of Soil Nutrients in Hutton, Valsrivier, Glenrosa, and Westleigh Soil
3.6. Soil Nutrient Management Zones
4. Discussion
5. Conclusions
Author Contributions
Funding
Data Availability Statement
Acknowledgments
Conflicts of Interest
References
- Guo, L.; Sun, Z.; Ouyang, Z.; Han, D.; Li, F. A comparison of soil quality evaluation methods for Fluvisol along the lower Yellow River. Catena 2017, 152, 135–143. [Google Scholar] [CrossRef]
- Sun, H.; Jin, Q.; Wang, Q.; Shao, C.; Zhang, L.; Guan, Y.; Tian, H.; Li, M.; Zhang, Y. Effects of soil quality on effective ingredients of Astragalus mongholicus from the main cultivation regions in China. Ecol. Indic. 2020, 114, 106296. [Google Scholar] [CrossRef]
- Lal, R. Soil health and carbon management. J. Food Energy Secur. 2016, 5, 212–222. [Google Scholar] [CrossRef]
- Rojas, R.V.; Achouri, M.; Maroulis, J.; Caon, L. Healthy soils: A prerequisite for sustainable food security. Environ. Earth Sci. 2016, 75, 180. [Google Scholar] [CrossRef]
- Pienaar, L.; Traub, L. Understanding the smallholder farmer in South Africa: Towards a sustainable livelihoods’ classification. In Proceedings of the International Association of Agricultural Economists (IAAE), Milan, Italy, 9–14 August 2015. (No. 1008-2016-79955). [Google Scholar]
- Li, K.; Wang, C.; Zhang, H.; Zhang, J.; Jiang, R.; Feng, G.; Liu, X.; Zuo, Y.; Yuan, H.; Zhang, C.; et al. Evaluating the effects of agricultural inputs on the soil quality of smallholdings using improved indices. Catena 2022, 209, 105838. [Google Scholar]
- Zhang, S.; Chen, Y.; Zhao, P.; Zhang, H.; Cui, Z. Increasing wheat yield for smallholder farmers with technology transfer. J. Agro. 2020, 112, 5096–5104. [Google Scholar] [CrossRef]
- Abdulrasak, Y.L.; Lawal, B.A.; Raji, B.A.; Yakubu, M.; Panti, A.A. An Assessment of Farmers Awareness and Perception on use of Soil Information in Niger State. J. Soil Water Conserv. 2019, 34, 946–951. [Google Scholar]
- Najafian, A.; Dayani, M.; Motaghian, H.R.; Nadian, H. Geostatistical assessment of the spatial distribution of some chemical properties in calcareous soils. J. Integr. Agric. 2012, 11, 1729–1737. [Google Scholar] [CrossRef]
- Lark, M.; Wheeler, H.C. Understanding and using yield maps—An analytical tool for their interpretation. J. Outlook Agric. 2000, 29, 39–45. [Google Scholar] [CrossRef]
- Goldblatt, A.; von Bormann, T. Agriculture: Facts and Trends. Worldwide Fund for Nature-SA. 2010. Available online: https://www.wwf.org.za (accessed on 25 April 2023).
- Goovaerts, P. Geostatistical tools for characterizing the spatial variability of microbiological and physico-chemical soil properties. J. Bio. Fert. Soils. 1998, 27, 315–334. [Google Scholar] [CrossRef]
- Haygarth, P.M.; Bilotta, G.S.; Bol, R.; Brazier, R.E.; Butler, P.J.; Freer, J.; Gimbert, L.J.; Granger, S.J.; Krueger, T.; Macleod, C.J.A.; et al. Processes affecting transfer of sediment and colloids, with associated phosphorus, from intensively farmed grasslands: An overview of key issues. J. Hydro. Proc. 2006, 20, 4407–4413. [Google Scholar] [CrossRef]
- Gorres, J.H.; Amador, J.A. Spatial patterns. In Encyclopedia of Soils in the Environment; University of Rhode Island: Kingston, RI, USA, 2005. [Google Scholar]
- White, R.E. Principles and Practice of Soil Science: The Soil As A Natural Resource; John Wiley and Sons: Hoboken, NJ, USA, 2005. [Google Scholar]
- Goldhaber, M.; Banwart, S.A. Soil formation. In Soil Carbon: Science, Management and Policy for Multiple Benefits; CABI: Wallingford, UK, 2015; pp. 82–97. [Google Scholar]
- Brady, N.C.; Weil, R.R. The Nature and Properties of Soils; Prentice Hall: Upper Saddle River, NJ, USA, 2008; Volume 13, pp. 662–710. [Google Scholar]
- Song, F.F.; Xu, M.G.; Duan, Y.H.; Cai, Z.J.; Wen, S.L.; Chen, X.N.; Shi, W.Q.; Colinet, G. Spatial variability of soil properties in red soil and its implications for site-specific fertiliser management. J Integr. Agric. 2020, 19, 2313–2325. [Google Scholar] [CrossRef]
- Behera, S.K.; Shukla, A.K. Spatial distribution of surface soil acidity, electrical conductivity, soil organic carbon content and exchangeable potassium, calcium and magnesium in some cropped acid soils of India. Land Degrad. Dev. 2015, 26, 71–79. [Google Scholar]
- Mcbratney, A.; Field, D.J.; Koch, A. The dimensions of soil security. Geoderma 2014, 213, 203–213. [Google Scholar]
- Mishra, U.; Riley, W.J. Scaling impacts on environmental controls and spatial heterogeneity of soil organic carbon stocks. Biogeosciences 2015, 12, 3993–4004. [Google Scholar] [CrossRef]
- Park, S.J.; Vlek, P.L.G. Environmental correlation of three-dimensional spatial soil variability: A comparison of three adaptive techniques. Geoderma 2002, 109, 117–140. [Google Scholar] [CrossRef]
- Liu, X.; Wu, J.; Xu, J. Characterizing the risk assessment of heavy metals and sampling uncertainty analysis in paddy field by geostatistics and GIS. J. Environ. Pollut. 2006, 141, 257–264. [Google Scholar] [CrossRef]
- Zhang, X.Y.; Yue-Yu, S.U.I.; Zhang, X.D.; Kai, M.E.N.G.; Herbert, S.J. Spatial variability of nutrient properties in black soil of northeast China. Pedosphere 2007, 17, 19–29. [Google Scholar] [CrossRef]
- Niang, A.; Becker, M.; Ewert, F.; Dieng, I.; Gaiser, T.; Tanaka, A.; Senthilkumar, K.; Rodenburg, J.; Johnson, J.M.; Akakpo, C.; et al. Variability and determinants of yields in rice production systems of West Africa. Field Crops Res. 2017, 207, 19–29. [Google Scholar] [CrossRef]
- Kumar, P.; Sharima, M.; Shukla, A.K.; Butail, N.P. Spatial variability of soil nutrients in apple orchards and agricultural areas in Kinnaur region of cold desert, Trans-Himalaya, India. Environ. Monitor. Assess. 2022, 194, 290. [Google Scholar] [CrossRef] [PubMed]
- Webster, R. Spatial variation, soil properties. In Encyclopedia of soils in the environment; Rothamsted Research: Harpenden, UK, 2005. [Google Scholar]
- Shit, P.K.; Bhunia, S.G.; Maiti, R. Spatial analysis of soil properties using GIS based geostatistics models. Model Earth Sys. Environ. 2016, 2, 107. [Google Scholar] [CrossRef]
- Fromm, H.; Winter, K.; Filser, J.; Hantschel, R.; Beese, F. The influence of soil type and cultivation system on the spatial distributions of the soil fauna and microorganisms and their interactions. Geoderma 1993, 60, 109–118. [Google Scholar] [CrossRef]
- Wigginton, J.D.; Lockaby, B.G.; Trettin, C.C. Soil organic matter formation and sequestration across a forested floodplain chronosequence. Ecol. Eng. 2000, 15, S141–S155. [Google Scholar] [CrossRef]
- Vieira, V.A.D.S.; Mello, C.R.D.; Lima, J.M.D. Spatial variability of soil physical atribbutes in small watershed. Ciência E Agrotecnologia 2007, 31, 1477–1485. [Google Scholar] [CrossRef]
- Zheng, Z.; Zhang, F.; Ma, F.; Chai, X.; Zhu, Z.; Shi, J.; Zhang, S. Spatiotemporal changes in soil salinity in a drip-irrigated field. Geoderma 2009, 149, 243–248. [Google Scholar] [CrossRef]
- Liu, L.; Wang, H.; Dai, W.; Lei, X.; Yang, X.; Li, X. Spatial variability of soil organic carbon in the forestlands of northeast China. J. Forestr. Res. 2014, 25, 867–876. [Google Scholar] [CrossRef]
- Uwiragiye, Y.; Ngaba, M.J.Y.; Zhao, M.; Elrys, A.S.; Heuvelink, G.B.; Zhou, J. Modelling and mapping soil nutrient depletion in humid highlands of East Africa using ensemble machine learning: A case study from Rwanda. Catena 2022, 217, 106499. [Google Scholar]
- Gallardo, A. Spatial variability of soil properties in a floodplain forest in northwest Spain. Ecosystems 2003, 6, 564–576. [Google Scholar] [CrossRef]
- Silveira, M.L.; Comerford, N.B.; Reddy, K.R.; Prenger, J.; Debusk, W.F. Soil properties as indicators of disturbance in forest ecosystems of Georgia, USA. Ecol. Indic. 2009, 9, 740–747. [Google Scholar] [CrossRef]
- Wang, H.J.; Shi, X.Z.; Yu, D.S.; Weindorf, D.C.; Huang, B.; Sun, W.X.; Ritsema, C.J.; Milne, E. Factors determining soil nutrient distribution in a small-scaled watershed in the purple soil region of Sichuan Province, China. Soil Till. Res. 2009, 105, 300–306. [Google Scholar] [CrossRef]
- Song, Y.Q.; Zhu, A.X.; Cui, X.S.; Liu, Y.L.; Hu, Y.M.; Li, B. Spatial variability of selected metals using auxiliary variables in agricultural soils. Catena 2019, 174, 499–513. [Google Scholar] [CrossRef]
- Swafo, S.M.; Dlamini, P.E. Unlocking the Land Capability and Soil Suitability of Makuleke Farm for Sustainable Banana Production. Sustainability 2022, 15, 453. [Google Scholar] [CrossRef]
- Lopez, A.; Espinosa, J. Manual on the Nutrition and Fertilization of Banana; International Plant Nutrition Institute: Peachtree Corners, GA, USA., 2000; Available online: Https://store.ipni.net/products/manual-on-the-nutrition-and-fertilization-of-banana (accessed on 4 August 2023).
- Weinert, M.; Simpson, M. Subtropical Banana Nutrition-Matching Nutrition Requirements to Growth Demands; New South Wales Department of Primary Industries: Orange, Australia, 2016.
- Akehurst, A.; Newley, P.; Hickey, M. Soil and Water Best Management Practices for NSW Banana Growers; New South Wales Department of Primary Industries: Orange, Australia, 2008.
- Fox, R.L. Banana. In Detecting Mineral Nutrient Deficiencies in Tropical and Temperate Crops; CRC Press: Boca Raton, FL, USA, 2019. [Google Scholar]
- Kock, A. Diatom Diversity and Response to Water Quality within the Makuleke Wetlands and Lake Sibaya. Doctoral Dissertation, Environment Sciences at the Potchefstroom Campus, North-West University, Potchefstroom, South Africa, 2017. [Google Scholar]
- IUSS Working Group WRB. World Reference Base for Soil Resources. In International Soil Classification System for Naming Soils and Creating Legends for Soil Maps, 4th edition; International Union of Soil Sciences (IUSS): Vienna, Austria, 2022. [Google Scholar]
- Soil Classification Working Group. Soil Classification Working Group. Soil classification: A natural and anthropogenic system for South Africa. In Agricultural Research Council, Institute for Soil; Climate and Water (ARC-ISCW): Pretoria, South Africa, 2018. [Google Scholar]
- Food and Agriculture Organizations of the United States, FAO. Banana; Viale delle Terme di Carcalla: Rome, Italy, 2018.
- DAFF. A profile of the South African Banana Market Value Chain; Department of Agriculture, Land Reform and Rural Development: Pretoria, South Africa, 2020. [Google Scholar]
- Sys, C.; Van Ranst, E.; Debaveye, J.; Beenaert, F. Land evaluation part III. Crop Requir. 1993, 1, 3. [Google Scholar]
- Baxter, S. Guidelines for soil description. Rome: Food and Agriculture Organization of the United Nations. Exper. Agric. 2007, 43, 263–264. [Google Scholar] [CrossRef]
- Bouyoucos, G.J. Hydrometer Method improved for making particle size analysis of soils. J. Agr. 1962, 54, 464–465. [Google Scholar] [CrossRef]
- Murphy, J.; Riley, J.R. 1962. A modified single solution method for the determination of phosphate in natural waters. Anal. Chim. Acta 1962, 27, 31–36. [Google Scholar] [CrossRef]
- Matejovic, I. The application of Dumas method for determination of carbon, nitrogen, and sulphur in plant samples. Rostl. Vyrob. 1996, 42, 313–316. [Google Scholar]
- Wilding, L.P. Spatial variability: Its documentation, accomodation and implication to soil surveys. In Soil Spatial Variability; Pudoc Scientific Publisher: Wageningen, The Netherlands, 1985; pp. 166–194. [Google Scholar]
- Oliver, M.A.; Webster, R. A tutorial guide to geostatistics: Computing and modelling variograms and kriging. Catena 2014, 113, 56–69. [Google Scholar] [CrossRef]
- Mulla, D.J.; Mcbratney, A.B. Soil spatial variability. In Soil Physics Companion; CRC Press: Boca Raton, FL, USA, 2002; pp. 343–373. [Google Scholar]
- Crawford, T.W. Scale analytical. In International Encyclopedia of Human Geography; Kitchin, R., Ed.; Nigel Thrift: Oxford, UK, 2009. [Google Scholar] [CrossRef]
- Cambardella, C.A.; Moorman, T.B.; Parkin, T.B.; Karlen, D.L.; Novak, J.M.; Turco, R.F.; Konopka, A.E. Field-scale variability of soil properties in central Iowa soils. Soil Sci. Society Am. J. 1994, 58, 1501–1511. [Google Scholar] [CrossRef]
- Hengl, T.; Heuvelink, G.; Stein, A. A generic framework for spatial prediction of soil variables based on regression kriging. Geordema 2004, 120, 75–93. [Google Scholar] [CrossRef]
- Hengl, T.; Heuvelink, G.B.; Rossiter, D.G. About regression-kriging. From equations to case studies. Comput. Geosci. 2007, 33, 1301–1315. [Google Scholar] [CrossRef]
- Fox, J. Applied Regression Analysis and Generalized Linear Models, 3rd ed.; Sage Publications: Thousand Oaks, CA, USA, 2006. [Google Scholar]
- Suda, A.; Makino, T. Functional effects of manganese and iron oxides on the dynamics of trace elements in soils with a special focus on arsenic and cadmium: A review. Geoderma 2016, 270, 68–75. [Google Scholar] [CrossRef]
- Chesworth, W. Geochemistry of micronutrients. Micronutr. Agric. 1991, 4, 1–30. [Google Scholar]
- Alloway, B.J. Zinc in Soils and Crop Nutrition: International Fertiliser Industry Association, 2nd ed.; Izaand IFA Brussels: Brussels, Belgium; Paris, France, 2008. [Google Scholar]
- Sharma, R.P.; Singh, M.; Sharma, J.P. Correlation studies on micronutrients vis-àvis soil properties in some soils of Nagpur district in semi-arid region of Rajasthan. J. Indian Society Soil Sci. 2003, 51, 522–527. [Google Scholar]
- Driessen, P.; Deckers, J.; Spaargaren, O.; Nachtergaele, F. Lecture Notes on the Major Soils of the World (No. 94); Food and Agriculture Organization (FAO): Roma, Italy, 2000.
- Qafoku, N.P.; Van Ranst, E.; Noble, A.; Baert, G. Variable charge soils: Their mineralogy, chemistry and management. Adv. Agr. 2004, 84, 160–217. [Google Scholar]
- Fey, M. Soils of South Africa; Cambridge University Press: Cambridge, UK, 2010. [Google Scholar]
- Berg, B. Litter decomposition and organic matter turnover in northern forest soils. Fores. Ecol. Manag. 2000, 133, 13–22. [Google Scholar] [CrossRef]
- Galgo, S.J.C.; Asio, V.B. Properties, geochemical composition, and fertility of highly weathered soils in Central Philippines. Eur. J. Soil Sci. 2022, 11, 113–125. [Google Scholar] [CrossRef]
- Khan, F.; Hayat, Z.; Ahmad, W.; Ramzan, M.; Shah, Z.; Sharif, M.; Mian, I.A.; Hanif, M. Effect of slope position on physico-chemical properties of eroded soil. Soil Environ. 2013, 32, 22–28. [Google Scholar]
- Feng, X.H.; Zhai, L.M.; Tan, W.F.; Liu, F.; He, J.Z. Adsorption and redox reactions of heavy metals on synthesized Mn oxides minerals. Environ. Pollu. 2007, 147, 366–373. [Google Scholar] [CrossRef]
- Dotaniya, M.L.; Meena, V.D.; Basak, B.B.; Meena, R.S. Potassium Uptake by Crops as Well as Microorganisms. In Potassium Solubilizing Microorganisms for Sustainable Agriculture; Meena, V., Maurya, B., Verma, J., Meena, R., Eds.; Springer: New Delhi, India, 2016. [Google Scholar] [CrossRef]
- Foth, H.D.; Ellis, B.G. Soil fertility; CRC Press: Boca Raton, FL, USA, 2018. [Google Scholar]
- Kome, G.K.; Enang, R.K.; Tabi, F.O.; Yerima, B.P.K. Influence of clay minerals on some soil fertility attributes: A review. Open J. Soil Sci. 2019, 9, 155–188. [Google Scholar] [CrossRef]
- Donoghue, S.; Furley, P.A.; Stuart, N.; Haggis, R.; Trevaskis, A.; Lopez, G. The nature and spatial variability of lowland savanna soils: Improving the resolution of soil properties to support land management policy. Soil Use Manag. 2019, 35, 547–560. [Google Scholar] [CrossRef]
- Behera, S.K.; Mathur, R.K.; Shukla, A.K.; Suresh, K.; Prakash, C. Spatial variability of soil properties and delineation of soil management zones of oil palm plantations grown in a hot and humid tropical region of southern India. Catena 2018, 165, 251–259. [Google Scholar] [CrossRef]
- Bhunia, G.S.; Shit, P.K.; Chattopadhyay, R. Assessment of spatial variability of soil properties using geostatistical approach of lateritic soil (West Bengal, India). Ann. Agrar. Sci. 2018, 16, 436–443. [Google Scholar] [CrossRef]







| Soil | Topsoil Name | Topsoil Colour | EA (cmol/kg) | ECEC (cmol/kg) | pH (KCl) | C:N Ratio | TC (g/kg) | Mn (mg/kg) | Cu (mg/kg) | Clay (%) | Silt (%) | Sand (%) | Texture |
|---|---|---|---|---|---|---|---|---|---|---|---|---|---|
| Hu | Orthic A | 5YR 3/4 Dark Reddish Brown | 0.08 ± 0.1 | 14.5 ± 2.0 | 5.5 ± 0.24 | 19 ± 3.57 | 10.2 ± 2.0 | 21.25 ± 3.5 | 12.1 ± 1.8 | 33 ± 0.9 | 31 ± 2.5 | 36 ± 2.8 | Cl |
| Va | Orthic A | 10R 2.5/1 Reddish Black | 0.06 ± 0.0 | 17.6 ± 1.4 | 5.6 ± 0.2 | 20 ± 2.6 | 12.1 ± 1.8 | 28.00 ± 4.4 | 10.77 ± 1.2 | 25 ± 0.89 | 27 ± 2.3 | 48 ± 2.01 | Scl |
| Gs | Orthic A | 5YR 3/3 Dark Reddish Brown | 0.07 ± 0.0 | 18.4 ± 2.8 | 5.7 ± 0.3 | 19.5 ± 2.7 | 10.5 ± 2.1 | 26.74 ± 8.6 | 11.9 ± 2.0 | 21 ± 2.4 | 17 ± 2.1 | 62 ± 3.3 | Scl |
| We | Orthic A | 5YR 3/4 Dark Reddish Brown | 0.1 ± 0.0 | 11 ± 1.0 | 5.3 ± 0.05 | 20.5 ± 3.4 | 13.5 ± 3.2 | 26.15 ± 4.2 | 12.9 ± 1.7 | 29 ± 1.5 | 25 ± 1.5 | 46 ± 2.87 | Scl |
| Property | Min | Max | Mean | Median | SD | Skewness | Kurtosis | CV (%) | CV Classification |
|---|---|---|---|---|---|---|---|---|---|
| P (mg/kg) | 1 | 44 | 22 | 22 | 11 | 0.02 | −0.17 | 51 | High |
| K (mg/kg) | 82 | 516 | 212 | 195 | 105 | 1.21 | 1.49 | 49 | High |
| Ca (mg/kg) | 715 | 4364 | 2338 | 1987 | 941 | 0.43 | −0.65 | 40 | High |
| Mg (mg/kg) | 238 | 751 | 453 | 429 | 117 | 0.31 | 0.1 | 26 | Moderate |
| Zn (mg/kg) | 0.2 | 16 | 7 | 8 | 5 | −0.11 | −0.8 | 60 | High |
| TN (g/kg) | 0.3 | 1.1 | 0.58 | 0.5 | 0.16 | 1.47 | 2.79 | 28 | Moderate |
| Variable | N | Model | Co | Co + C | Ao | N:S (%) | R2 |
|---|---|---|---|---|---|---|---|
| P (mg/kg) | 27 | Spherical | 6 | 126 | 51 | 5 | 0.43 |
| K (mg/kg) | 27 | Spherical | 10 | 12,020 | 130 | 0.08 | 0.70 |
| Ca (mg/kg) | 27 | Exponential | 818,206 | 818,206 | 234 | 100 | 0.74 |
| Mg (mg/kg) | 27 | Exponential | 9300 | 28,060 | 1833 | 33 | 0.15 |
| Zn (mg/kg) | 27 | Linear | 11 | 26 | 721 | 42 | 0.26 |
| TN (mg/kg) | 27 | Linear | 0.03 | 0.03 | 234 | 100 | 0.34 |
Disclaimer/Publisher’s Note: The statements, opinions and data contained in all publications are solely those of the individual author(s) and contributor(s) and not of MDPI and/or the editor(s). MDPI and/or the editor(s) disclaim responsibility for any injury to people or property resulting from any ideas, methods, instructions or products referred to in the content. |
© 2023 by the authors. Licensee MDPI, Basel, Switzerland. This article is an open access article distributed under the terms and conditions of the Creative Commons Attribution (CC BY) license (https://creativecommons.org/licenses/by/4.0/).
Share and Cite
Swafo, S.M.; Dlamini, P.E. Utilisation of Intrinsic and Extrinsic Soil Information to Derive Soil Nutrient Management Zones for Banana Production in a Smallholder Farm. Land 2023, 12, 1651. https://doi.org/10.3390/land12091651
Swafo SM, Dlamini PE. Utilisation of Intrinsic and Extrinsic Soil Information to Derive Soil Nutrient Management Zones for Banana Production in a Smallholder Farm. Land. 2023; 12(9):1651. https://doi.org/10.3390/land12091651
Chicago/Turabian StyleSwafo, Seome Michael, and Phesheya Eugine Dlamini. 2023. "Utilisation of Intrinsic and Extrinsic Soil Information to Derive Soil Nutrient Management Zones for Banana Production in a Smallholder Farm" Land 12, no. 9: 1651. https://doi.org/10.3390/land12091651
APA StyleSwafo, S. M., & Dlamini, P. E. (2023). Utilisation of Intrinsic and Extrinsic Soil Information to Derive Soil Nutrient Management Zones for Banana Production in a Smallholder Farm. Land, 12(9), 1651. https://doi.org/10.3390/land12091651

