Abstract
Although there have been many discussions about the influencing factors of urban expansion, the heterogeneity of the driving mechanisms behind urban form remains poorly understood. Therefore, this paper evaluated the heterogeneous impacts of potential determinants on urban form, considering regional disparities and the stage of development. Based on land use data collected from Landsat ETM and TM scenes, the landscape metrics of urban size, urban centrality, urban shape irregularity, and urban fragmentation were measured to describe the urban form of 265 Chinese cities. We find that the regional disparities and development-stage variations significantly affect urban form. All urban form variables showed a significant stair-stepping difference in cities at various development stages, indicating that as a city upgrades its level of development, the intensity of urban expansion gradually increases, the shape of the urban edge becomes more fragmented and the urban built-up area becomes more compact. Urban form in Chinese cities shows significant geographical heterogeneity in terms of its driving forces. The effect of the socioeconomic factors on urban form also presented changes depending on the development stage. Our results provide helpful references for policymakers within urban spatial structure planning and land resource management.
1. Introduction
Urban populations have witnessed constant growth in recent decades, and urbanization is now a global phenomenon []. At present, more than 50% of the global population lives in urban areas, and this proportion is expected to exceed 67% by 2050 []. The built-up area of cities around the world has expanded rapidly in line with the increase in urban population []. Beyond sheer size, this expansion has also led to changes in other urban form parameters, such as urban compactness and urban shape complexity. Urban areas are the engines of population aggregation and economic growth, upgrade industrial structures, and lead to social prosperity []. However, urban areas not only offer opportunities for social and economic development—they are also linked to the creation of severe environmental challenges [,]. Aiming to address these challenges, sustainable plans for urban development must be devised; such plans, in turn, require a greater scientific comprehensive of the spatiotemporal patterns and causes of changes in urban form [].
Urban form, which is the physical arrangement of structures, spaces, and objects that make up cities, plays a pivotal role in society. It refers to the spatial distribution and organization of urban entities, encompassing factors such as building density, land use patterns, infrastructure, and transportation systems. This formation significantly impacts not only how we navigate cities, but also how resources are utilized, and how physical activity within these spaces is facilitated [,,]. Urban form has been measured, characterized, and evaluated in a variety of ways, sometimes indirectly—for instance, population density [] and the economy []. Recent developments in remote sensing technologies have seen the increasing utilization of landscape metrics to measure urban form, which is often addressed regarding the three aspects of urban expansion, urban shape complexity, and urban compactness [,]. Beyond these analyses, urban form has also long been considered as a field of intervention and study within the disciplines of urban management and spatial planning [,]. In the above traditions, much of the research has been devoted to investigating the influencing factors and mechanisms at work in urban form, with scholars addressing aspects as diverse as physical factors [,,], population [,,], economic growth [,,,], infrastructure [,], industry [], and policy [,,]. Although increasing attention has focused on the determinants of urban form, previous studies in the field have only focused on urban expansion (or urban growth) [,,], examining various factors in order to investigate its causes [,]. Nevertheless, the term “urban form” describes the form of the spatial distribution of the composition of urban entities, including not only urban growth but also urban shape and fragmentation. There has been little discussion about the determinants of these other aspects of urban form to date.
In addition, although much of the previous literature has focused on the determinants of urban form, they only focused on one single city or region, such as Beijing [,], Guangzhou [,], Jiangsu [] or the Yangtze River Delta [,]. The strength and direction of the impact of the various determinants on changes in urban form appears to differ between studies. Some studies have analyzed data from different periods and found that the contribution of various determinants to urban expansion changes over time [,]. This finding naturally provokes the question: do the driving forces behind changes in urban form vary in space and at different developmental stages? Despite the importance of this question, variations in the influencing factors behind changes in urban form have rarely been studied in relation to their effects at different geographical scales and/or economic development levels. This study will attempt to fill this gap by evaluating the influencing factors that affect urban form in China, considering a range of different economic development stages and different geographical locations.
To sum up, lots of studies exist have explored the influencing factors of urban expansion, and these findings enhance our comprehension of the spatial and temporal characteristics of urban growth and its influencing factors. Nevertheless, previous studies suffer from some drawbacks. Firstly, the research has generally been directed towards the influencing factors behind urban sprawl (or urban growth) [,,]. Urban form, however, is a more comprehensive term than urban expansion, and knowledge about the driving forces of urban form—which is necessary for urban management and spatial planning—is still lacking. Second, the heterogeneity of urban form factors is rarely discussed within contemporary scholarly discourse. Due to the wide range of natural environments, geophysical conditions, and socioeconomic conditions that characterize urban areas, the driving forces behind urban form can be expected to vary from region to region and stage to stage. This variation has not yet been comprehensively dealt with by the literature. Third, existing analyses of the driving forces at work in urban form have mainly been carried out at the level of individual cities [,]. Several studies have produced estimates of the drivers of urban sprawl in some counties or cities []. A nationwide survey of the drivers of urban form, however, remains lacking in the Chinese context. Such a study would be essential to the formulation of national policies. Thus, the contribution of this paper is to evaluate the spatial–temporal patterns of the urban form of China’s urban areas, and to verify the heterogeneity of the driving forces behind those identified patterns. On the basis of land use data interpreted from Landsat TM scenes and Landsat ETM scenes, landscape metrics are applied to estimate the urban form of 265 cities in China, taking into account the perspectives of urban size, urban centrality, urban shape irregularity, and urban fragmentation. A panel regression model is adopted to evaluate the impacts of the selected potential determinants on urban form with consideration of regional location and development stage. The results of this study constitute a helpful reference for policymakers within urban land-use management and spatial planning.
2. Data and Methodology
2.1. Study Area
Since the economic reforms of 1978, China—the second-largest economy and largest developing country in the world—has witnessed the greatest flow of rural–urban migration in world history, with an urbanization rate increase from 17.6% in 1978 to 57.35% in 2016, at an average annual growth rate of 1.02%. With the total area of urban land expanding from 7438 km2 in 1981 to 45,566 km2 in 2015, urban areas in China have also undergone significant expansion, accompanied by considerable changes to the configuration of the urban landscape pattern. With its vast territory and large differences in the level of development of its various regions, China offers scholars an excellent opportunity to study the spatiotemporal pattern of urban form and geographical heterogeneity in the driving mechanisms of urban form. In this paper, we selected all 265 prefecture-level cities in China as study cases (Figure 1). Using Chenery’s criteria, which are based on per capita GDP and the most common indicator used to evaluate the stage of economic development [], the 265 cities were classified into three development categories on the basis of per capita GDP: cities in the primary and middle stages of industrialization (77 cities), cities in the late stage of industrialization (117 cities), and cities in the developed stage (68 cities) (Figure 2).
Figure 1.
Study area.
Figure 2.
The cities included in this study, and their different stages of development.
2.2. Indicators Quantifying Urban Form
In order to characterize the spatiotemporal dynamics at work in the urban form patterns of China’s 265 prefecture cities from 1990 to 2015, urban built-up area boundaries were determined using the global database of annual urban dynamics data from 1985 to 2015 at 30 m resolution, employing a large amount of surface reflectance data provided by Landsat satellite, which were published by Liu et al. (2020) [].
Landscape metrics, which aim to measure both the regulation and the design of the uses of urban space, have been widely used to represent urban form by describing the pattern and structure of a landscape. According to previous studies, six landscape metrics were adopted to measure urban form and its changes: total area (TA), number of urban patches (NP), the largest patch index (LPI), the landscape shape index (LSI), the percentage of like adjacencies (PLADJ), and the aggregation index (AI). These metrics were considered to characterize four aspects of urban form, namely size, centrality, shape irregularity and fragmentation. Each of these aspects provides a unique perspective on the understanding of urban form. The ‘size’ is often associated with urban expansion, depicting the extent of a city’s growth. ‘Centrality’ relates to urban compactness, reflecting the efficient use of space within a city. ‘Shape irregularity’ ties in with urban shape complexity, encapsulating the intricacy of the city’s layout, while ‘fragmentation’ examines the degree of discontinuity in urban spaces. In the context of urban form, these aspects interact in complex ways. For instance, unchecked urban expansion can lead to an increase in shape irregularity and fragmentation, while compromising centrality or urban compactness. The choice of these metrics and an understanding of their interplay provide a more comprehensive view of urban form, addressing not only growth but also shape and fragmentation, and thus enriching our investigation of urban form.
Size is measured by two metrics: TA and NP. TA, which measures the total area of all urban land within all patches, helps to reveal the expansion process behind the built-up area of a particular city. NP measures discrete urban areas throughout the urban landscape, and generally increases with the rapid growth in the urban core area. Nevertheless, NP is expected to decrease if the urban area expands and merges into an overall urban area. Urban centrality is characterized by LPI, which reveals the percentage of the largest patch in the urban landscape area and represents the dominance of the city in the landscape. The extent of shape irregularity was represented by LSI in this study. LSI provides an indication of the geometric complexity of an entire urban area by measuring the perimeter-to area ratio of the whole landscape. As the LSI values increase, the shape of the urban built-up area becomes more complex. Urban fragmentation was described by PLADJ and AI. PLADJ is an absolute indicator of the degree of urban landscape aggregation, and its value ranges from 0 to 100%, with larger values representing a more concentrated urban landscape. AI is calculated as an area-weighted average class clustering index and is used to calculate the probability that urban patches are adjacent to each other throughout a given landscape. A larger AI value represents a more compact urban built-up area—AI is 1 when the urban built-up area is maximally disaggregated and equals 100 when the urban area is aggregated to the maximum extent into a compact, single patch. Table 1 gives a detailed description of these six landscape metrics.
Table 1.
The details of the selected landscape metrics.
2.3. Panel Regression Model for Influencing Factors Analysis
Whilst the task of evaluating the driving forces of urban extension has garnered considerable attention from scholars, previous studies have mainly emphasized the influencing factors of urban expansion. The influencing factors of other aspects of urban form have not always been examined, nor has the fact that socioeconomic factors may modify these other aspects. Observations of multiple individuals in multiple periods can be treated simultaneously by the panel regression model; recognizing this capacity, this study used panel regression to quantitatively measure the driving mechanisms behind urban form, taking the research period of 1990–2015 into account. On the basis of previous studies and data availability, we selected five variables to identify the underlying mechanisms at work in urban form, namely population, gross domestic product, industrial structure, per capita urban road area, and fixed investment (Figure 3). The five variables were assumed to be linked with urban form by means of the following models:
where TAit represents total area of city i in year t, NPit represents the number of urban patches of city i in year t, LPIit stands for number of urban patches of city i in year t, LSIit represents landscape shape index of city i in year t, PLADJit denotes percentage of like adjacencies of city i in year t, AIit stands for the aggregation index of city i in year t, the intercepts for all individuals are denoted by , to denote coefficients of the independent variables. P is population, GDP refers to gross domestic product, IS represents industrial structure, ROAD denotes per capita urban road area, FAI stands for fixed asset investment, and is the random error.
Figure 3.
Box charts of the five driving factors.
Population (P) is the foundation of urbanization and is believed to constitute a crucial variable, driving urban expansion and the transmutation of urban form by affecting the urban market, rigid demand, and agglomeration ability []. The process of urbanization implies a growing urban population and an increasing demand for urban construction land, which are realized by means of urban expansion and urban renewal, which in turn drive microscopic changes in urban landscapes []. Gross domestic product (GDP) is the most commonly used economic variable to characterize macro-level economic development. Industrial structure (IS) can also reflect economic development. The prior literature has found that the power of economic development often determines the urban form itself [,]. Per capita urban road area (ROAD) represents transportation infrastructure, an index that has improved in the past 30 years. ROAD is believed to have significant impacts on urban form. On the one hand, urban expansion along particular routes is one of the popular urban growth patterns []. On the other hand, transportation infrastructure also directly leads to the fragmentation of urban landscapes. Fixed asset investment (FAI) is assumed to constitute one of the influencing factors in relation to urban form, as this acts as a basic financial security for urban development []. All data were from the China City Statistical Yearbook (1996–2016).
3. Results and Discussion
3.1. Dynamic Pattern of Urban Form
Between 1990 and 2015, China experienced accelerating industrialization and urbanization, which together caused a significant expansion of the urban area of cities and brought about dramatic changes in urban form. Figure 4 shows the change characteristics of the four aspects of urban form studied over this period in China. From these figures, significant differences can be seen in the urban form of different regions at different times. Further comparison of urban form metrics between regions allows for a more elaborate observation of the changes in urban form between 1990 and 2015. A significant increase in the urban area (represented by TA and NP) can be observed between 1990 and 2015. In 2015, higher levels of expansion were predominantly observed on the east coast and in Chongqing. It is not surprising that cities located in the eastern region had a larger average urban area than those situated in the central and western regions. Such a finding seems to be consistent with the previous literature findings, showing that the attributes of urban area vary from region to region [,]. Such variation reflects, to a great extent, the relatively early development of urban land in the east, as well as its status as a developmental focus area of the “reform and opening” policy []. We found a significant decrease in urban centrality from 1990 to 2015; in 1990, LSI was found to have a relatively higher value in the cities along the Yangtze River and the southeastern coastal areas, where high-density hydrological networks exist. This finding reflects the way in which the urban development in these regions has been limited by natural conditions, whilst cities located in more developed regions may have experienced the benefits of a “leap-forward” development model. For these reasons, the geometrical shape of urban areas in those cities may appear more irregular. The LSI of all regions increased in the period from 1990 to 2015. The spatial distribution of LSI was relatively even in 2015, showing that as cities expand, they become restricted by various factors, which makes their urban boundaries more irregular. A significant decrease in the urban compactness (represented by PLADJ and AI) can be observed between 1990 and 2015. This finding reveals a trend showing that China’s urban areas are becoming less intensive and compact.


Figure 4.
Urban form changes between 1990 and 2015.
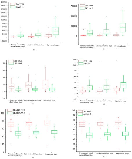
As mentioned above, the studied cities were classified into three categories on the basis of their per capita GDP, in accordance with Chenery’s economic development stage criterion, namely the primary and middle stages of industrialization, late-stage industrialization, and the developed stage. Figure 5 contains box charts that show the urban form characteristics (measured using TA, NP, LPI, LSI, PLADJ and AI metrics) of cities in the three different economic development categories. It can be seen from Figure 5 that TA and NP showed a significant stair-stepping difference. Meanwhile, the urban construction areas of cities at the developed stage were much larger than those of cities at the other two stages. This phenomenon was most obvious in 2015, when total area evidenced a larger average difference with a greater significance than the figures for 1990. The urban area of the developed-stage cities increased by 236.65%, whilst the cities in a stage of late industrialization and cities in the primary and middle stages of industrialization increased by 186.96% and 157.45%, respectively, between 1990 and 2015. The average intensity of urban expansion was highest for developed cities, followed by cities at a stage of late industrialization, with the lowest intensity being recorded in cities at the primary and middle stages. This indicates that, as cities progress in economic development terms, the scale of new construction land and the intensity of urban expansion gradually increase. LPI showed a significant stair-stepping difference in 1990, but in 2015 there was no such significant difference and the LPI value significantly decreased, indicating that the polarization phenomenon of the urban area has been significantly alleviated. The measures of LSI also showed an apparent stair-stepping difference, revealing that as cities enter more advanced stages of development, the shape of their urban edges becomes more fragmented. The measures of PLADJ and AI in 2015 were significantly smaller than those in 1990, which means that the urban compactness of cities at different stages has declined. These findings clearly indicate that the location and development stage of a city significantly affects its urban form.
Figure 5.
Box charts showing the urban form characteristics of cities at different economic development stages, where the (a–f) means the variations of total area (TA), number of urban patches (NP), the largest patch index (LPI), the landscape shape index (LSI), the percentage of like adjacencies (PLADJ), and the aggregation index (AI). The x in the figure means the outliers.
3.2. Influencing Factors of Urban Form
Prior to the panel regression analysis, a variance inflation factor (VIF) test was used to verify the presence of severe multicollinearity between the independent variables. It can be seen from Table 2 that the VIFs of all five variables were less than 10 and the tolerances were greater than 0.1, revealing that the selected five variables are not collinear. Thus, we were able to examine the parameters of the panel data model. The most widely used forms of panel regression model are the random effect (RE) estimator with a large degree of freedom and the fixed effect (FE) estimator with a relatively small degree of freedom. The Hausman test is generally used to determine which estimator is more suitable. In this study, a panel regression model was established to investigate the effects of socioeconomic variables on urban form.
Table 2.
Correlation coefficients of the independent variables.
Table 3 displays the estimation results. It can be seen that the factor of population exhibited a significant positive relationship with TA, NP, and LSI, showing that growth in the total population of a given county will result in more complex patterns of urban development and an increase in the urban area. Most existing studies have also drawn similar conclusions, noting that population changes directly affect urban form [,]. While population exhibited a negative relationship with LPI, PLADJ and AI, it was indicated that increases in the total population of a given county will lead to a decrease in city centrality and compactness. The economic disparity between urban and rural areas, coupled with increases in urban employment opportunities, lead to the massive migration of people from rural to urban areas, bringing aboutrapid growth in the construction area of the cities receiving these migrants []. GDP displayed a positive effect in relation to TA, NP, LPI, PLADJ and AI, while it exerted a negative effect on LSI and AI, that the growth of GDP brings about more centricity, more compact, less complex patterns of urban development and the growth of urban areas. Such results are in accordance with prior studies that found GDP to be a driver of urban expansion []. Industrial structure has a positive impact on TA, NP and LSI while demonstrating negative correlations with respect to LPI, PLADJ and A, indicating that an increase in the metric of industrial structure results in an expansion of the urban area and more complex patterns of urban development, a result that reinforces the findings of previous studies []. The infrastructure factor, represented by the ROAD metric, was shown to have statistically significant effects on the selected landscape metrics. Of these six variables, ROAD was found to have a positive impact on TA, revealing that ROAD benefits urban development by providing easier transportation access. This finding reflects the gradual evolution of infrastructure investment into an important driving force for urban land expansion. ROAD was found to have negative effects on LPI, PLADJ and AI; it was revealed that the improvement in infrastructure will result in less centrality and less compactness in a given city. In addition, we note that FAI exhibited a positive relationship with respect to TA, NP and LSI, indicating that increases in FAI result in complexity in patterns of urban development and an increase in urban areas.
Table 3.
Estimated results of panel data model.
3.3. Heterogeneity Effect
It can be seen from the above results that significant differences exist between China’s regions in terms of urban form, which reflects their diverse economic levels, development policies, and natural conditions. For the purpose of measuring the relationship between different factors and urban form in various regions, three panel models were established to estimate the various effects of the selected driving forces on urban form in the regions of eastern China, central China, and western China.
Table 4, Table 5 and Table 6 set out the estimated results for these three different regions in China. These findings show that population exerted a negative effect on TA and NP in western China, but had a positive influence on TA and NP in eastern and central China, indicating that increases in the size of the population result in a decrease in urban size in western China and an increase in urban size in eastern and central China. The coefficient of population’s effect on urban area was the highest in eastern China, followed by central China and then western China, indicating that population size has the strongest impact on the urban area of cities in eastern China. GDP was observed to have exerted a positive influence on urban size in central and western regions but a negative influence in eastern China. This discovery is inconsistent with the prior literature, which has recognized the role of economic growth as the influencing factor of urban growth [,,]. The industrial structure variable was positively related to the variable of urban size in all three regions, supporting the perspective that industrialization is a significant part of urban extension in China []. The coefficient of the effect of industrial structure on the size of cities was the highest in eastern China, lower in central China, and the lowest in western China, indicating that industrial structure has the largest impact on urban size in eastern China. The ROAD variable was found to be positively linked to TA and NP. A number of other relevant studies have drawn a similar conclusion, attributing the positive impact of ROAD on urban size to easier transportation access []. The influence of ROAD in central and western China seemed to be more significant than in eastern China, a finding that reveals that traffic has a greater impact on urban size in less developed regions. The impact of FAI on urban expansion also showed regional differences. A positive correlation between FAI and urban size was found in all three regions.
Table 4.
The estimated results for eastern China.
Table 5.
The estimated results for central China.
Table 6.
The estimated results for western China.
The impact of the five socioeconomic factors on urban centrality demonstrated regional heterogeneity. The results indicated that the population variable negatively correlated with LPI in eastern and central, while it exerted a positive effect in western China. This finding indicated that increases in the size of the population result in a decrease in urban centrality in eastern and central China and an increase in urban centrality in western China. GDP had negative effects on LPI in western China and exerted a positive influence on LPI in eastern and central China. This indicates that increases in GDP result in an increase in urban centrality in eastern and central China, but lead to a decrease in urban centrality in western China. The industrial structure factor was found to correlate to decreases in LPI in all three regions, which demonstrates that industrial structure directly impacts urban centrality. ROAD and FAI maintained a negative correlation with LPI in all three regions, revealing that transportation impacts urban centrality. Moreover, for cities in the eastern region, FAI was identified as being the most influential factor in relation to urban centrality, while in cities in central and western regions, the most influential factor was ROAD.
The impacts of socioeconomic factors on urban shape complexity also varied across different regions. Population was observed to exert a positive impact on LSI in eastern and central China while it showed negative effects in western China, suggesting that increases in the size of the population result in more complex urban expansion shapes in eastern and central China and less complex urban expansion shapes in western China. Surprisingly, no significant influence was observed between GDP and urban shape complexity in eastern and central China; GDP was only correlated to urban shape complexity in western China. Further, the industrial structure factor showed negative effects on LSI in eastern China and exerted a negative influence on LSI in western and central China. The transportation variable, represented by ROAD, was not statistically significant in eastern China, and correlated to increases in LSI in western and central China. This finding corroborates the findings of several previous studies that highlight the role of public transit in contributing to urban form in China []. FAI was statistically significant in relation to LSI in eastern and central China. FAI was found to have a positive effect on LSI, indicating that increases in FAI result in increases in urban shape complexity.
The impact of the five socioeconomic factors on urban compactness demonstrated regional heterogeneity. The results indicated that the population variable was statistically significant for PLADH and AI in eastern and central China and was not found to exert a significant influence on western China, which is inconsistent with the findings of previous studies []. Population growth stimulates the increase in urban areas and the number of urban areas; as such, increases in the size of a population lead to more complex urban development patterns. GDP showed positive effects on PLADJ and AI in eastern China and exerted a negative influence on PLADJ and AI in western and central China. This indicates that increases in GDP result in an increase in urban compactness in eastern China, but a decrease in urban compactness in western and central China. The industrial structure factor was found to correlate to decreases in PLADJ and AI in all regions, which demonstrates that industrial structure directly impacts urban compactness. ROAD maintained a significant correlation with PLADJ and AI in all regions, revealing that transportation also impacts urban compactness. These results are in line with earlier cases that have shown that the evolution of urban road networks can have an impact on urban form []. This finding can be partially illustrated by the way in which urban road development can promote the formation of sub-centers and form a decentralized urban form. FAI exerted a significant impact on PLADJ and AI in eastern China, while this factor seems to have little impact on PLADJ and AI in central and western China.
Although China generally entered the middle stage of industrialization in 2010, given the vast territory of China, regional natural resources, economic foundations, and policy differences, different levels of socioeconomic development can be seen in different regions. For the purpose of measuring the associations between various factors and urban form in cities at different economic development levels, we also established three panel regression models to test the various effects of selected driving forces on urban form in cities at the primary and middle stages of industrialization, late stage of industrialization, and the developed stage.
Table 7, Table 8 and Table 9 review the estimated results with respect to the different economic development levels in China. They reveal that population was only statistically significant in relation to its effects on TA and NP for cities at the developed stage. Moreover, the influence of population on TA was the greatest in cities at the developed stage, indicating that with an increase in a city’s level of development, population becomes more important in relation to urban expansion. GDP is shown to have exerted a positive influence on TA at all stages. Industrial structure was statistically significant for urban size at all stages and the influence of industrial structure on urban size was the highest in developed cities. The influence of ROAD on cities in the late stage of industrialization and within the developed stage seemed to be more significant than in cities at the primary and middle stages. This finding reveals that traffic has a greater impact on urban expansion in more developed periods. The coefficient of ROAD’s influence on the size of urban areas was highest in cities in the late stage of industrialization, followed by cities in the developed stage, and was lowest in cities in the primary and middle stages, indicating that transportation development has the most significant influence on urban expansion in the later stages of industrialization. In addition, FAI was shown to exert significant effects on urban size at the developed stage. Moreover, for cities at the primary and middle stages, GDP was identified as the most influential factor in relation to urban expansion, while in cities experiencing a late industrialization or developed stage, the most influential factor was ROAD.
Table 7.
The estimated results for cities at primary and middle industrialization stages.
Table 8.
The estimated results for cities at the late industrialization stage.
Table 9.
The estimated results for cities at the developed stage.
The effect of the five socioeconomic factors on urban centrality also demonstrated heterogeneity in terms of the development level of the cities being studied. Our results indicate that the population variable brought about negative effects on LSI in cities at the primary and middle stages of industrialization as well as the developed stage, and had a positive influence on LSI in cities in the late stage. In addition, GDP did not appear to exert a significant effect on urban shape complexity in cities at the primary and middle stages of industrialization, or in cities at the late stage of industrialization; it only has a significant positive effect on LSI in the developed stage. The industrial structure was significantly correlated with LSI, revealing that industrial structure impacts urban centrality. ROAD was found to maintain a significant correlation with respect to LPI in late industrialized and developed cities, revealing that the influence of transportation on urban compactness increased advances in development stage. FAI exerted a negative impact on LPI in cities at all stages of development.
The impact of the five socioeconomic factors on urban shape complexity also showed heterogeneity in relation to the development level of cities. Population showed significant positive effects at each stage of development. GDP showed positive effects in relation to LSI in cities within the primary and middle stages of industrialization, as well as in cities at a stage of late industrialization, and was found to exert a negative influence on LSI in developed cities. This indicates that the influence of GDP on urban shape complexity first increases and then decreases as development progresses. The industrial structure was observed to demonstrate positive correlations with respect to LSI in cities within the primary and middle stages of industrialization, and exerted a negative influence on LSI in late-industrialized cities and developed cities. The transportation variable, represented by ROAD, was positive in cities at all stages. The positive effects of ROAD on urban shape complexity can probably be attributed to interaction effects with other factors. In addition, FAI exerted positive effects on LSI in cities in the late industrialization stage and the developed stage, and had a negative influence on LSI in cities in the primary and middle stages of industrialization.
The impact of the five socioeconomic factors on urban compactness also demonstrated heterogeneity in terms of the development level of the cities being studied. Our results indicate that the population variable brought about negative effects on PLADJ and AI in cities at each stage of development. In addition, GDP had negative effects in relation to PLADJ and AI in cities at the primary and middle stages of industrialization as well as in cities at a stage of late industrialization and was observed to demonstrate positive correlations with respect to PLADJ and AI in developed cities. The industrial structure was significantly correlated with PLADJ and AI, revealing that industrial structure impacts urban compactness. ROAD was found to maintain a significant correlation with respect to PLADJ and AI in late-industrialized and developed cities, revealing that the influence of transportation on urban compactness increased advances in development stage. FAI did not appear to have a significant influence with respect to urban compactness in cities at the primary and middle stages of industrialization, or in cities at the late stage of industrialization or the developed stage.
4. Conclusions and Policy Implications
This paper aimed to measure the impacts of a range of selected potential determinants on urban form in 265 prefecture-level cities in China by considering regional disparities and variations in the stage of development evidenced by a given city. Landscape metrics were employed to quantitatively address urban form from the perspectives of urban size, urban centrality, urban shape irregularity, and urban fragmentation. We also selected five potential influencing factors that constituted the independent variables for this paper. A panel regression model was utilized to measure the association between the three urban form variables and the five driving forces.
The main results can be concluded as follows: first, significant differences existed in the urban form of cities in different regions at different times. All three of the urban form variables addressed in the study showed a significant stair-stepping difference in cities at various development stages. Second, urban form in China showed significant geographical heterogeneity in terms of the driving forces bringing about change. Most of the explanatory factors explored in this study presented significant regional differences. Population, industrial structure, and FAI were found to exert the greatest impact on urban size in eastern China, revealing that these factors have a greater impact on urban size in more developed regions. Third, five socioeconomic factors regarding urban form also had a different impact between cities at different stages of development. For example, GDP showed positive effects in relation to LSI in cities in the primary and middle stages of industrialization, as well as in cities at a stage of late industrialization, and was observed to demonstrated negative correlations with respect to LSI in developed cities. This indicates that the influence of GDP on urban shape complexity first increases and then decreases as development progresses.
In recent decades, urban areas in China have also undergone significant expansion, accompanied by considerable changes to the configuration of the urban landscape pattern. China is a vast territory, with large differences in development between various regions [,,,]. The results of this paper contain significant policy suggestions for the Chinese government. The variations that we found in the influence exerted by a range of factors on urban form reveal the extent of regional disparities and development differences within China. To achieve a sustainable urban form, future policymakers should consider differences in the developmental stage of a city, as well as regional differences, avoiding a “one size fits all” approaches to policy formulation. In addition, based on sound analyses of the determinants of urban form changes, decision-makers working with urban landscapes should be aware of the importance of accurately differentiating driving mechanisms. Regional differences and development stage changes need to be considered when formulating urban development policies in China. In particular, the results of this study suggest that population plays an important role in rapid urban expansion in eastern China and in cities at the developed stage. China should strengthen the policy of “population access”, especially in the developed, large eastern cities, implementing strict population access in order to control disorderly and unplanned urban expansion. Combining population policy with urbanization policy can solve the problem of urban expansion management in China [,,]. In addition, the ROAD variable was observed to have a significant impact on urban form, suggesting that urban expansion and morphological evolution are related to improved transportation infrastructure. Therefore, optimizing existing road networks and rationally planning road development may effectively guide the direction and speed of urban growth. Furthermore, the close connection between urban form and industrial structure shows that secondary industries in China’s development heavily rely on resource inputs, and development cannot be achieved with land resources. Urgent acceleration in the upgrading and transformation of Chinese industry is thus required if the country is to go from relying on extensive resource use and labor-intensive growth methods to a capital-intensive, knowledge-intensive mode of growth.
Despite the valuable findings presented in this paper, some limitations must be acknowledged. Firstly, this study conceptualizes urban form in terms of urban expansion, urban shape irregularity, and urban compactness, represented by certain landscape metrics. However, urban form is a complex phenomenon that is shaped by a multitude of factors, extending beyond the aspects discussed in this paper. Moreover, while landscape metrics provide a useful tool for quantifying urban form, they do not represent the only possible measure. Secondly, the multitude of variables that influence urban form poses another limitation to this study. Although this research considers a number of key determinants, it cannot encompass all possible variables that might affect urban form [,,]. Therefore, while the factors studied here are important, the complexity of urban form could be further influenced by additional factors not included in this study.
Future research in this field could explore alternative or additional metrics to quantify urban form, possibly capturing aspects not represented by the landscape metrics used in this study. Furthermore, given the multifaceted nature of urban form, studies that incorporate a wider range of influencing variables, particularly ones unique to different socio-cultural or geopolitical contexts, could enhance our understanding of urban form. Such endeavors will contribute to a more comprehensive understanding of urban form and its determinants, leading to more effective urban planning and management strategies.
Author Contributions
Conceptualization, R.W. and Y.Z.; methodology, R.W. and Y.Z.; software, M.D. and Q.L.; validation, M.D. and Q.L.; formal analysis, Y.Z.; investigation, C.S.; resources, C.S.; data curation, Q.L.; writing—original draft preparation, R.W. and Y.Z.; supervision, R.W.; project administration, R.W.; funding acquisition, R.W. All authors have read and agreed to the published version of the manuscript.
Funding
This work was supported by the National Natural Science Foundation of China (No. 42001147), Guangdong Province Natural Science Fund (No. 2022A1515011728).
Institutional Review Board Statement
Not applicable.
Informed Consent Statement
Not applicable.
Data Availability Statement
Data are contained within the article.
Conflicts of Interest
The authors declare no conflict of interest.
References
- Zhang, Z.H.; Su, S.L.; Xiao, R.; Jiang, D.W.; Wu, J.P. Identifying determinants of urban growth from a multi-scale perspective: A case study of the urban agglomeration around Hangzhou Bay, China. Appl. Geogr. 2013, 45, 193–202. [Google Scholar] [CrossRef]
- Zhang, Q.; Su, S. Determinants of urban expansion and their relative importance: A comparative analysis of 30 major metropolitans in China. Habitat Int. 2016, 58, 89–107. [Google Scholar] [CrossRef]
- Ramachandra, T.V.; Aithal, B.H.; Sanna, D.D. Insights to urban dynamics through landscape spatial pattern analysis. Int. J. Appl. Earth Obs. Geoinf. 2012, 18, 329–343. [Google Scholar]
- Seto, K.C.; Sanchez-Rodriguez, R.; Fragkias, M. The New Geography of Contemporary Urbanization and the Environment. Annu. Rev. Environ. Resour. 2010, 35, 167–194. [Google Scholar] [CrossRef]
- Liu, J.Y.; Deng, X.Z. Impacts and mitigation of climate change on Chinese cities. Curr. Opin. Environ. Sustain. 2011, 3, 188–192. [Google Scholar] [CrossRef]
- Pauchard, A.; Aguayo, M.; Pena, E.; Urrutia, R. Multiple effects of urbanization on the biodiversity of developing countries: The case of a fast-growing metropolitan area (Concepcion, Chile). Biol. Conserv. 2006, 127, 272–281. [Google Scholar] [CrossRef]
- Schneider, A.; Chang, C.; Paulsen, K. The changing spatial form of cities in Western China. Landsc. Urban Plan. 2015, 135, 40–61. [Google Scholar] [CrossRef]
- Duque, J.C.; Lozano-Gracia, N.; Patino, J.E.; Restrepo, P. Urban form and productivity: What shapes are Latin-American cities? Environ. Plan. B Urban Anal. City Sci. 2022, 49, 131–150. [Google Scholar] [CrossRef]
- Grimm, N.B.; Faeth, S.H.; Golubiewski, N.E.; Redman, C.L.; Wu, J.; Bai, X.; Briggs, J.M. Global change and the ecology of cities. Science 2008, 319, 756–760. [Google Scholar] [CrossRef]
- Tsai, Y.H. Quantifying urban form: Compactness versus ‘Sprawl’. Urban Stud. 2005, 42, 141–161. [Google Scholar] [CrossRef]
- Li, F.; Zhou, T. Effects of urban form on air quality in China: An analysis based on the spatial autoregressive model. Cities 2019, 89, 130–140. [Google Scholar] [CrossRef]
- Zhang, C.Q.; Chen, P.Y. Industrialization, urbanization, and carbon emission efficiency of Yangtze River Economic Belt-empirical analysis based on stochastic frontier model. Environ. Sci. Pollut. Res. 2021, 28, 66914–66929. [Google Scholar] [CrossRef] [PubMed]
- Shi, K.; Xu, T.; Li, Y.; Chen, Z.; Gong, W.; Wu, J.; Yu, B. Effects of urban forms on CO2 emissions in China from a multi-perspective analysis. J. Environ. Manag. 2020, 262, 110300. [Google Scholar] [CrossRef]
- Zhou, C.S.; Li, S.J.; Wang, S.J. Examining the Impacts of Urban Form on Air Pollution in Developing Countries: A Case Study of China’s Megacities. Int. J. Environ. Res. Public Health 2018, 15, 1565. [Google Scholar] [CrossRef]
- Schneider, A.; Woodcock, C.E. Compact, dispersed, fragmented, extensive? A comparison of urban growth in twenty-five global cities using remotely sensed data, pattern metrics and census information. Urban Stud. 2008, 45, 659–692. [Google Scholar] [CrossRef]
- Wang, S.J.; Wang, J.Y.; Fang, C.L.; Li, S.J. Estimating the impacts of urban form on CO2 emission efficiency in the Pearl River Delta, China. Cities 2019, 85, 117–129. [Google Scholar] [CrossRef]
- Luo, J.; Wei, Y.H.D. Modeling spatial variations of urban growth patterns in Chinese cities: The case of Nanjing. Landsc. Urban Plan. 2009, 91, 51–64. [Google Scholar] [CrossRef]
- Muller, K.; Steinmeier, C.; Kuchler, M. Urban growth along motorways in Switzerland. Landsc. Urban Plan. 2010, 98, 3–12. [Google Scholar] [CrossRef]
- Vermeiren, K.; Van, R.A.; Loopmans, M.; Serwajja, E.; Mukwaya, P. Urban growth of Kampala, Uganda: Pattern analysis and scenario development. Landsc. Urban Plan. 2012, 106, 199–206. [Google Scholar] [CrossRef]
- Braimoh, A.K.; Onishi, T. Spatial determinants of urban land use change in Lagos, Nigeria. Land Use Policy 2007, 24, 502–515. [Google Scholar] [CrossRef]
- Dewan, A.M.; Yamaguchi, Y. Land use and land cover change in Greater Dhaka, Bangladesh: Using remote sensing to promote sustainable urbanization. Appl. Geogr. 2009, 29, 390–401. [Google Scholar] [CrossRef]
- Hernández-Flores, M.D.L.L.; Otazo-Sánchez, E.M.; Galeana-Pizaña, M.; Roldán-Cruz, E.I.; Razo-Zárate, R.; González-Ramírez, C.A.; Galindo-Castillo, E.; Gordillo-Martínez, A.J. Urban driving forces and megacity expansion threats. Study case in the Mexico City periphery. Habitat Int. 2017, 64, 109–122. [Google Scholar] [CrossRef]
- Liu, J.Y.; Zhan, J.Y.; Deng, X.Z. Spatio-temporal patterns and driving forces of urban land expansion in China during the economic reform era. AMBIO J. Hum. Environ. 2005, 34, 450–455. [Google Scholar] [CrossRef]
- Ma, Y.L.; Xu, R.S. Remote sensing monitoring and driving force analysis of urban expansion in Guangzhou City, China. Habitat Int. 2010, 34, 228–235. [Google Scholar] [CrossRef]
- Maimaitijiang, M.; Ghulam, A.; Sandoval, J.S.O.; Maimaitiyiming, M. Drivers of land cover and land use changes in St. Louis metropolitan area over the past 40 years characterized by remote sensing and census population data. Int. J. Appl. Earth Obs. Geoinf. 2015, 35, 161–174. [Google Scholar] [CrossRef]
- Shao, Z.F.; Ding, L.; Li, D.R.; Altan, O.; Huq, M.E.; Li, C.M. Exploring the Relationship between Urbanization and Ecological Environment Using Remote Sensing Images and Statistical Data: A Case Study in the Yangtze River Delta, China. Sustainability 2020, 12, 5620. [Google Scholar] [CrossRef]
- Aljoufie, M.; Brussel, M.; Zuidgeest, M.; van Maarseveen, M. Urban growth and transport infrastructure interaction in Jeddah between 1980 and 2007. Int. J. Appl. Earth Obs. Geoinf. 2013, 21, 493–505. [Google Scholar] [CrossRef]
- Chen, J.F.; Chang, K.T.; Karacsonyi, D.; Zhang, X.L. Comparing urban land expansion and its driving factors in Shenzhen and Dongguan, China. Habitat Int. 2014, 43, 61–71. [Google Scholar] [CrossRef]
- Jones, C.; Henderson, D. Broadband and uneven spatial development: The case of Cardiff City-Region. Local Econ. 2019, 34, 228–247. [Google Scholar] [CrossRef]
- Feng, J.; Lichtenberg, E.; Ding, C.R. Balancing act: Economic incentives, administrative restrictions, and urban land expansion in China. China Econ. Rev. 2015, 36, 184–197. [Google Scholar] [CrossRef]
- Xiao, J.; Shen, Y.; Ge, J.; Tateishi, R.; Tang, C.; Liang, Y.; Huang, Z. Evaluating urban expansion and land use change in Shijiazhuang, China, by using GIS and remote sensing. Landsc. Urban Plan. 2006, 75, 69–80. [Google Scholar] [CrossRef]
- Ye, C.; Liu, Z.J.; Cai, W.B.; Chen, R.S.; Liu, L.L.; Cai, Y.L. Spatial Production and Governance of Urban Agglomeration in China 2000-2015: Yangtze River Delta as a Case. Sustainability 2019, 11, 1343. [Google Scholar] [CrossRef]
- Li, H.; Wei, Y.D.; Liao, F.H.; Huang, Z.J. Administrative hierarchy and urban land expansion in transitional China. Appl. Geogr. 2015, 56, 177–186. [Google Scholar] [CrossRef]
- Li, H.; Wei, Y.D.; Korinek, K. Modelling urban expansion in the transitional Greater Mekong Region. Urban. Stud. 2018, 55, 1729–1748. [Google Scholar] [CrossRef]
- Wei, Y.D.; Ewing, R. Urban expansion, sprawl and inequality. Landsc. Urban Plan. 2018, 177, 259–265. [Google Scholar] [CrossRef]
- Wei, Y.D.; Ye, X.Y. Urbanization, urban land expansion and environmental change in China. Stoch. Environ. Res. Risk Assess. 2014, 28, 757–765. [Google Scholar] [CrossRef]
- Wei, W.; Wang, X.; Zhu, H.; Li, J.; Zhou, S.; Zou, Z. Carbon emissions of urban power grid in Jing-Jin-Ji region: Characteristics and influential factors. J. Clean. Prod. 2017, 168, 428–440. [Google Scholar] [CrossRef]
- Li, X.M.; Zhou, W.Q.; Ouyang, Z.Y. Forty years of urban expansion in Beijing: What is the relative importance of physical, socioeconomic, and neighborhood factors? Appl. Geogr. 2013, 38, 1–10. [Google Scholar] [CrossRef]
- Wu, W.J.; Zhao, S.Q.; Zhu, C.; Jiang, J.L. A comparative study of urban expansion in Beijing, Tianjin and Shijiazhuang over the past three decades. Landsc. Urban Plan. 2015, 134, 93–106. [Google Scholar] [CrossRef]
- Sun, C.; Wu, Z.F.; Lv, Z.Q.; Yao, N.; Wei, J.B. Quantifying different types of urban growth and the change dynamic in Guangzhou using multi-temporal remote sensing data. Int. J. Appl. Earth Obs. Geoinf. 2013, 21, 409–417. [Google Scholar] [CrossRef]
- Xiong, G.P.; Cao, X.; Hamm, N.A.S.; Lin, T.; Zhang, G.Q.; Chen, B.H. Unbalanced Development Characteristics and Driving Mechanisms of Regional Urban Spatial Form: A Case Study of Jiangsu Province, China. Sustainability 2021, 13, 3121. [Google Scholar] [CrossRef]
- Haas, J.; Ban, Y.F. Urban growth and environmental impacts in Jing-Jin-Ji, the Yangtze, River Delta and the Pearl River Delta. Int. J. Appl. Earth Obs. Geoinf. 2014, 30, 42–55. [Google Scholar] [CrossRef]
- Tian, G.J.; Jiang, J.; Yang, Z.F.; Zhang, Y.Q. The urban growth, size distribution and spatio-temporal dynamic pattern of the Yangtze River Delta megalopolitan region, China. Ecol. Model. 2011, 222, 865–878. [Google Scholar] [CrossRef]
- Aspinall, R. Modelling land use change with generalized linear models—A multi-model analysis of change between 1860 and 2000 in Gallatin Valley, Montana. J. Environ. Manag. 2004, 72, 91–103. [Google Scholar] [CrossRef] [PubMed]
- Fang, C.; Li, G.; Wang, S. Changing and Differentiated Urban Landscape in China: Spatiotemporal Patterns and Driving Forces. Environ. Sci. Technol. 2016, 50, 2217–2227. [Google Scholar] [CrossRef]
- Li, G.; Sun, S.; Fang, C. The varying driving forces of urban expansion in China: Insights from a spatial-temporal analysis. Landsc. Urban Plan. 2018, 174, 63–77. [Google Scholar] [CrossRef]
- Thapa, R.B.; Murayama, Y. Drivers of urban growth in the Kathmandu valley, Nepal: Examining the efficacy of the analytic hierarchy process. Appl. Geogr. 2010, 30, 70–83. [Google Scholar] [CrossRef]
- Li, S.; Zhou, C.; Wang, S.; Gao, S.; Liu, Z. Spatial Heterogeneity in the Determinants of Urban Form: An Analysis of Chinese Cities with a GWR Approach. Sustainability 2019, 11, 479. [Google Scholar] [CrossRef]
- Qi, Y.; Yang, Y.; Jin, F. China’s economic development stage and its spatio-temporal evolution: A prefectural-level analysis. J. Geogr. Sci. 2013, 23, 297–314. [Google Scholar] [CrossRef]
- Liu, X.; Huang, Y.; Xu, X.; Li, X.; Li, X.; Ciais, P.; Lin, P.; Gong, K.; Ziegler, A.D.; Chen, A.; et al. High-spatiotemporal-resolution mapping of global urban change from 1985 to 2015. Nat. Sustain. 2020, 3, 564–570. [Google Scholar] [CrossRef]
- Seto, K.C.; Kaufmann, R.K. Modeling the drivers of urban land use change in the Pearl River Delta, China: Integrating remote sensing with socioeconomic data. Land Econ. 2003, 79, 106–121. [Google Scholar] [CrossRef]
- Kuang, W.H.; Chi, W.F.; Lu, D.S.; Dou, Y.Y. A comparative analysis of megacity expansions in China and the U.S.: Patterns, rates and driving forces. Landsc. Urban Plan. 2014, 132, 121–135. [Google Scholar] [CrossRef]
- Angel, S.; Parent, J.; Civco, D.L.; Blei, A.; Potere, D. The dimensions of global urban expansion: Estimates and projections for all countries, 2000–2050. Prog. Plann. 2011, 75, 53–107. [Google Scholar] [CrossRef]
- Tian, L. Land use dynamics driven by rural industrialization and land finance in the pen-urban areas of China: “The examples of Jiangyin and Shunde”. Land Use Policy 2015, 45, 117–127. [Google Scholar] [CrossRef]
- Wu, R.; Wang, J.Y.; Wang, S.J.; Feng, K.S. The drivers of declining CO2 emissions trends in developed nations using an extended STIRPAT model: A historical and prospective analysis. Renew. Sust. Energ. Rev. 2021, 149, 111328. [Google Scholar] [CrossRef]
- Zhou, C.S.; Wang, S.J.; Feng, K.S. Examining the socioeconomic determinants of CO2 emissions in China: A historical and prospective analysis. Resour Conserv Recycl. 2018, 130, 1–11. [Google Scholar] [CrossRef]
- Wang, S.J.; Huang, Y.Y.; Zhou, Y.Q. Spatial spillover effect and driving forces of carbon emission intensity at the city level in China. J. Geogr. Sci. 2019, 29, 231–252. [Google Scholar] [CrossRef]
- Wang, S.J.; Cui, Z.T.; Lin, J.J.; Xie, J.Y.; Su, K. The coupling relationship between urbanization and ecological resilience in the Pearl River Delta. J. Geogr. Sci. 2022, 32, 44–64. [Google Scholar] [CrossRef]
- Xie, Z.H.; Wu, R.; Wang, S.J. How technological progress affects the carbon emission efficiency? Evidence from national panel quantile regression. J. Clean. Prod. 2021, 307, 127133. [Google Scholar] [CrossRef]
- Wang, S.J.; Zeng, J.Y.; Liu, X.P. Examining the multiple impacts of technological progress on CO2 emissions in China: A panel quantile regression approach. Renew. Sust. Energ. Rev. 2019, 103, 140–150. [Google Scholar] [CrossRef]
- Wang, S.J.; Shi, C.Y.; Fang, C.L.; Feng, K.S. Examining the spatial variations of determinants of energy-related CO2 emissions in China at the city level using Geographically Weighted Regression Model. Appl. Energy 2019, 235, 95–105. [Google Scholar] [CrossRef]
- Wang, S.J.; Liu, X.P.; Zhou, C.S.; Hu, J.C.; Ou, J.P. Examining the impacts of socioeconomic factors, urban form, and transportation networks on CO2 emissions in China’s megacities. Appl. Energy 2017, 185, 189–200. [Google Scholar] [CrossRef]
- Fang, C.L.; Wang, S.J.; Li, G.D. Changing urban forms and carbon dioxide emissions in China: A case study of 30 provincial capital cities. Appl. Energy 2015, 158, 519–531. [Google Scholar] [CrossRef]
- Wang, S.J.; Fang, C.L.; Guan, X.L.; Pang, B.; Ma, H.T. Urbanisation, energy consumption, and carbon dioxide emissions in China: A panel data analysis of China’s provinces. Appl. Energy 2014, 136, 738–749. [Google Scholar] [CrossRef]
Disclaimer/Publisher’s Note: The statements, opinions and data contained in all publications are solely those of the individual author(s) and contributor(s) and not of MDPI and/or the editor(s). MDPI and/or the editor(s) disclaim responsibility for any injury to people or property resulting from any ideas, methods, instructions or products referred to in the content. |
© 2023 by the authors. Licensee MDPI, Basel, Switzerland. This article is an open access article distributed under the terms and conditions of the Creative Commons Attribution (CC BY) license (https://creativecommons.org/licenses/by/4.0/).