Research on the Healing Potential of Urban Parks from the Perspective of Audio-Visual Integration: A Case Study of Five Urban Parks in Chengdu
Abstract
1. Introduction
2. Materials and Methods
2.1. Research Area
2.2. Selection of Research Samples
2.2.1. Visual Sample
2.2.2. Audio Sample
2.2.3. Audio-Visual Samples
2.3. Experimental Design
2.3.1. Subjects
2.3.2. Experimental Environment
2.3.3. Experimental Process
2.4. Physiological Indicators
2.5. Statistical Methods of Subjective Scale
2.6. Data Statistics
3. Results
3.1. Effects of Visual Sample and Audio Sample on Meditation
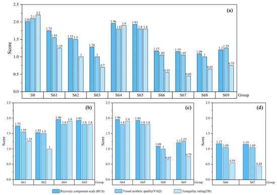
3.2. Effects of Visual Samples and Audio Samples on the Restorative Component Scale
- (1)
- The RCS, TR, and VAQ values of the first five audio-visual combinations were significantly higher than those of the last five audio-visual combinations.
- (2)
- In audio-visual stimuli, S64 was significantly greater than S61, and S65 was significantly greater than S62. Children laughing at 50% or less had a more negative impact on the scene than traffic noise at 50% or less.
- (3)
- In audio samples containing 30% and 50% traffic noise, S64 was greater than S69, and S65 was greater than S68. However, the audio samples containing 70% traffic noise (S66, S67) showed no significant difference when paired with birdsong or children laughing.
4. Discussion
4.1. Effects of Audio-Visual Interaction on Physiological Data
4.1.1. The Impact of Waterfront Recreation Space
4.1.2. The Impact of Square Recreation Spaces
4.1.3. The Impact of Interactive Amusement Spaces
4.2. Effects of Audio-Visual Interaction on Subjective Rating Data
4.3. Factors Influencing the Effectiveness of Audio-Visual Interaction in Park Therapy
4.4. Limitations and Prospects
5. Conclusions
Author Contributions
Funding
Informed Consent Statement
Data Availability Statement
Acknowledgments
Conflicts of Interest
Appendix A
| Number | Factor Abundance | Playability | Space Openness | Capacity | The Vegetation Area Exceeds the Total Area by 0.5 | Waterside | Function | Nature | Paving | |
|---|---|---|---|---|---|---|---|---|---|---|
| Walk | Rest | |||||||||
| A-1 | 0 | 0 | 1 | 1 | 0 | 1 | 0 | 0 | 0 | 0 |
| A-2 | 0 | 0 | 1 | 1 | 1 | 1 | 0 | 0 | 1 | 0 |
| A-3 | 0 | 0 | 0 | 1 | 1 | 0 | 0 | 1 | 0 | 1 |
| A-4 | 1 | 0 | 1 | 1 | 1 | 0 | 0 | 1 | 0 | 1 |
| A-5 | 1 | 0 | 1 | 0 | 0 | 1 | 1 | 0 | 1 | 0 |
| A-6 | 0 | 1 | 1 | 1 | 0 | 0 | 0 | 1 | 0 | 1 |
| A-7 | 0 | 1 | 1 | 1 | 0 | 0 | 0 | 1 | 0 | 1 |
| A-8 | 0 | 1 | 1 | 1 | 0 | 0 | 0 | 1 | 0 | 1 |
| A-9 | 0 | 0 | 1 | 1 | 0 | 1 | 0 | 0 | 0 | 1 |
| B-1 | 1 | 0 | 0 | 1 | 1 | 1 | 0 | 1 | 1 | 0 |
| B-2 | 1 | 0 | 0 | 1 | 1 | 1 | 0 | 1 | 0 | 1 |
| B-3 | 1 | 0 | 0 | 1 | 1 | 1 | 0 | 1 | 0 | 1 |
| B-4 | 1 | 0 | 0 | 1 | 1 | 1 | 1 | 0 | 1 | 0 |
| B-5 | 1 | 0 | 1 | 1 | 1 | 0 | 0 | 1 | 0 | 1 |
| B-6 | 1 | 0 | 1 | 1 | 1 | 0 | 1 | 1 | 0 | 1 |
| B-7 | 1 | 0 | 0 | 1 | 1 | 1 | 1 | 0 | 1 | 0 |
| B-8 | 1 | 0 | 0 | 1 | 1 | 1 | 0 | 0 | 1 | 0 |
| B-9 | 1 | 0 | 0 | 1 | 1 | 1 | 1 | 0 | 1 | 0 |
| B-10 | 0 | 0 | 0 | 1 | 1 | 1 | 0 | 1 | 0 | 1 |
| B-11 | 1 | 0 | 1 | 1 | 1 | 0 | 0 | 1 | 0 | 1 |
| C-1 | 0 | 1 | 1 | 1 | 0 | 0 | 0 | 1 | 0 | 1 |
| C-2 | 0 | 1 | 1 | 1 | 0 | 0 | 0 | 1 | 0 | 1 |
| C-3 | 0 | 0 | 1 | 1 | 0 | 1 | 0 | 0 | 0 | 1 |
| C-4 | 1 | 0 | 1 | 0 | 0 | 1 | 1 | 1 | 1 | 0 |
| C-5 | 1 | 0 | 1 | 0 | 0 | 1 | 1 | 0 | 1 | 0 |
| C-6 | 1 | 0 | 0 | 1 | 1 | 1 | 0 | 0 | 1 | 0 |
| C-7 | 0 | 0 | 1 | 1 | 1 | 1 | 0 | 0 | 1 | 0 |
| C-8 | 1 | 0 | 1 | 1 | 1 | 0 | 0 | 1 | 0 | 1 |
| C-9 | 0 | 1 | 1 | 1 | 1 | 0 | 0 | 1 | 0 | 1 |
| C-10 | 0 | 0 | 1 | 1 | 1 | 1 | 0 | 0 | 1 | 0 |
| C-11 | 0 | 0 | 1 | 1 | 1 | 1 | 0 | 0 | 1 | 0 |
| D-1 | 1 | 0 | 0 | 1 | 1 | 1 | 1 | 0 | 1 | 0 |
| D-2 | 1 | 0 | 0 | 1 | 1 | 1 | 0 | 0 | 1 | 0 |
| D-3 | 1 | 0 | 1 | 0 | 0 | 1 | 1 | 1 | 1 | 0 |
| D-4 | 1 | 0 | 0 | 1 | 1 | 1 | 0 | 0 | 1 | 0 |
| D-5 | 1 | 0 | 1 | 0 | 0 | 1 | 1 | 1 | 1 | 0 |
| D-6 | 0 | 0 | 1 | 1 | 0 | 0 | 1 | 0 | 0 | 1 |
| D-7 | 1 | 0 | 1 | 0 | 0 | 1 | 1 | 1 | 1 | 0 |
| E-1 | 1 | 0 | 1 | 0 | 0 | 1 | 1 | 1 | 1 | 0 |
| E-2 | 1 | 0 | 1 | 0 | 0 | 1 | 1 | 0 | 1 | 0 |
| E-3 | 1 | 0 | 0 | 1 | 1 | 1 | 1 | 1 | 1 | 0 |
| E-4 | 1 | 0 | 1 | 0 | 0 | 1 | 1 | 1 | 1 | 0 |
| E-5 | 1 | 0 | 1 | 0 | 0 | 1 | 1 | 0 | 1 | 0 |
| E-6 | 0 | 0 | 0 | 1 | 1 | 0 | 1 | 1 | 0 | 1 |

Appendix B
| Name | Shooting Position | Space Type | Scene |
|---|---|---|---|
| Guixi Ecological Park | ![]() | Modeling and ornamental space A-1 | ![]() |
| Lawn recreation space A-2 | ![]() | ||
| Park rest space A-3 | ![]() | ||
| Square recreation space A-4 | ![]() | ||
| Waterfront recreation space A-5 | ![]() | ||
| Interactive amusement space A-6 | ![]() | ||
| Interactive amusement space A-7 | ![]() | ||
| Interactive amusement space A-8 | ![]() | ||
| Modeling and ornamental space A-9 | ![]() | ||
| Water Park | ![]() | Underforest recreation space B-1 | ![]() |
| Park rest space B-2 | ![]() | ||
| Park rest space B-3 | ![]() | ||
| Underforest recreation space B-4 | ![]() | ||
| Square recreation space B-5 | ![]() | ||
| Square recreation space B-6 | ![]() | ||
| Underforest recreation space B-7 | ![]() | ||
| Underforest recreation space B-8 | ![]() | ||
| Underforest recreation space B-9 | ![]() | ||
| Park rest space B-10 | ![]() | ||
| Square recreation space B-11 | ![]() | ||
| Qinglonghu Wetland Park | ![]() | Interactive amusement space C-1 | ![]() |
| Interactive amusement space C-2 | ![]() | ||
| Modeling and ornamental space C-3 | ![]() | ||
| Waterfront recreation space C-4 | ![]() | ||
| Waterfront recreation space C-5 | ![]() | ||
| Underforest recreation space C-6 | ![]() | ||
| Lawn recreation space C-7 | ![]() | ||
| Square recreation space C-8 | ![]() | ||
| Interactive amusement space C-9 | ![]() | ||
| Lawn recreation space C-10 | ![]() | ||
| Lawn recreation space C-11 | ![]() | ||
| Tianfu Art Park | ![]() | Underforest recreation space D-1 | ![]() |
| Underforest recreation space D-2 | ![]() | ||
| Waterfront recreation space D-3 | ![]() | ||
| Underforest recreation space D-4 | ![]() | ||
| Waterfront recreation space D-5 | ![]() | ||
| Modeling and ornamental space D-6 | ![]() | ||
| Waterfront recreation space D-7 | ![]() | ||
| Xinglonghu Wetland Park | ![]() | Waterfront recreation space E-1 | ![]() |
| Waterfront recreation space E-2 | ![]() | ||
| Underforest recreation space E-3 | ![]() | ||
| Waterfront recreation space E-4 | ![]() | ||
| Waterfront recreation space E-5 | ![]() | ||
| Park rest space E-6 | ![]() |
Appendix C
| Dimension | Description | Scales | |
|---|---|---|---|
| RCS | Being-away(B) | B1 This allows me to temporarily forget the troubles of work and daily life. | 0 1 2 3 4 |
| Extent(E) | E1 There are many beautiful associations here. | 0 1 2 3 4 | |
| Fascination(F) | F1 There is a lot here that appeals to me. | 0 1 2 3 4 | |
| Compatibility(C) | C1 This gives me the opportunity to do what I love to do. | 0 1 2 3 4 | |
| TR | The environment here makes me feel very quiet. | 0 1 2 3 4 | |
| VAQ | The environment here is beautiful and striking. | 0 1 2 3 4 | |
References
- World Health Organization. World Health Organization Mental Health and COVID-19: Early Evidence of the Pandemic ‘s Impact. Sci. Br. 2022, 2, 1–11. [Google Scholar]
- Connor, R.C.; Hotopf, M.; Worthman, C.M.; Perry, V.H.; Tracey, I.; Wessely, S.; Arseneault, L.; Ballard, C.; Christensen, H.; Silver, R.C.; et al. Multidisciplinary Research Priorities for the COVID-19 Pandemic: A Call for Action for Mental Health Science. Lancet Psychiatry 2020, 7, e44–e45. [Google Scholar] [CrossRef] [PubMed]
- Ettman, C.K.; Abdalla, S.M.; Cohen, G.H.; Sampson, L.; Vivier, P.M.; Galea, S. Prevalence of Depression Symptoms in US Adults before and during the COVID-19 Pandemic. JAMA Netw. Open 2020, 3, e2019686. [Google Scholar] [CrossRef] [PubMed]
- Mertens, G.; Gerritsen, L.; Duijndam, S.; Salemink, E.; Engelhard, I.M. Fear of the Coronavirus (COVID-19): Predictors in an Online Study Conducted in March 2020. J. Anxiety Disord. 2020, 74, 102258. [Google Scholar] [CrossRef]
- Torales, J.; O’Higgins, M.; Castaldelli-Maia, J.M.; Ventriglio, A. The Outbreak of COVID-19 Coronavirus and Its Impact on Global Mental Health. Int. J. Soc. Psychiatry 2020, 66, 317–320. [Google Scholar] [CrossRef]
- Tull, M.T.; Edmonds, K.A.; Scamaldo, K.M.; Richmond, J.R.; Rose, J.P.; Gratz, K.L. Psychological Outcomes Associated with Stay-at-Home Orders and the Perceived Impact of COVID-19 on Daily Life. Psychiatry Res. 2020, 289, 113098. [Google Scholar] [CrossRef]
- Wang, C.; Riyu, P.; Xiaoyang, W.; Yilin, T.; Linkang, X.; Cyrus, S.H.; Ho, R.C. Immediate Psychological Responses and Associated Factors during the Initial Stage of the 2019 Coronavirus Disease (COVID-19) Epidemic among the General Population in China. Int. J. Environ. Res. Public Health 2020, 17, 1729. [Google Scholar] [CrossRef]
- Abbott, A. COVID’s Mental-Health Toll: How Scientists Are Tracking a Surge in Depression. Nature 2021, 590, 194–195. [Google Scholar] [CrossRef]
- Mojtabai, R. Increase in Antidepressant Medication in the US Adult Population between 1990 and 2003. Psychother. Psychosom. 2008, 77, 83–92. [Google Scholar] [CrossRef]
- Kessler, R.C.; Demler, O.; Frank, R.G.; Olfson, M.; Pincus, H.A.; Walters, E.E.; Wang, P.; Wells, K.B.; Zaslavsky, A.M. Prevalence and Treatment of Mental Disorders. N. Engl. J. Med. 2005, 353, 1184. [Google Scholar]
- Paulose-Ram, R.; Safran, M.A.; Jonas, B.S.; Gu, Q.; Orwig, D. Trends in Psychotropic Medication Use among U.S. Adults. Pharmacoepidemiol. Drug Saf. 2007, 16, 560–570. [Google Scholar] [CrossRef] [PubMed]
- Sanlong, D. Theoretic Research and Practices of Forest Health. World For. Res. 2016, 29, 1–6. [Google Scholar]
- Jia, M.; Jin, H.; Wang, S. On the Progress of Research of Landscape Plant Volatile Compounds and Their Influence on Human Health in Rehabilitation Landscape. Chinese Landsc. Archit. 2016, 13, 26–31. [Google Scholar]
- Li, S. Characteristics of Horticultural Therapy. Landsc. Archit. Acad. J. 2013, 11, 12–17. [Google Scholar]
- Duan, Y.; Zhang, Y. Construction of the Garden Landscape with Five-Sense Experience in the View of Health Recovery Environment. J. Northwest For. Univ. 2017, 32, 284–288. [Google Scholar]
- Kaplan, S. The Restorative Benefits of Nature: Toward an Integrative Framework. J. Environ. Psychol. 1995, 15, 169–182. [Google Scholar] [CrossRef]
- Chiesura, A. The Role of Urban Parks for the Sustainable City. Landsc. Urban Plan. 2004, 68, 129–138. [Google Scholar] [CrossRef]
- Schetke, S.; Qureshi, S.; Lautenbach, S.; Kabisch, N. What Determines the Use of Urban Green Spaces in Highly Urbanized Areas?—Examples from Two Fast Growing Asian Cities. Urban For. Urban Green. 2016, 16, 150–159. [Google Scholar] [CrossRef]
- Paul, S.; Nagendra, H. Factors Influencing Perceptions and Use of Urban Nature: Surveys of Park Visitors in Delhi. Land 2017, 6, 27. [Google Scholar] [CrossRef]
- Wilson, E.O. The Biophilia Hypothesis; Island Press: Washington, DC, USA, 1993. [Google Scholar]
- Coombes, E.; Jones, A.P.; Hillsdon, M. The Relationship of Physical Activity and Overweight to Objectively Measured Green Space Accessibility and Use. Soc. Sci. Med. 2010, 70, 816–822. [Google Scholar] [CrossRef]
- Elsadek, M.; Liu, B.; Lian, Z. Green Façades: Their Contribution to Stress Recovery and Well-Being in High-Density Cities. Urban For. Urban Green. 2019, 46, 126446. [Google Scholar] [CrossRef]
- Liu, B.; Chen, W.; Liu, K.; Yang, Y. The Construction of Park City Evaluation System and Practice Verification. Chin. Landsc. Archit. 2021, 37, 6–13. [Google Scholar]
- Li, M.; Xu, L. Research and Practice of Healing Environment from Public Health Perspective. J. Hum. Settl. West China 2020, 35, 39–47. [Google Scholar]
- Ward Thompson, C. Linking Landscape and Health: The Recurring Theme. Landsc. Urban Plan. 2011, 99, 187–195. [Google Scholar] [CrossRef]
- Schwarz, O. What Should Nature Sound like? Techniques of Engagement with Nature Sites and Sonic Preferences of Israeli Visitors. Ann. Tour. Res. 2013, 42, 382–401. [Google Scholar] [CrossRef]
- Zhao, J.; Xu, W.; Ye, L. Effects of Auditory-Visual Combinations on Perceived Restorative Potential of Urban Green Space. Appl. Acoust. 2018, 141, 169–177. [Google Scholar] [CrossRef]
- Alvarsson, J.J.; Wiens, S.; Nilsson, M.E. Stress Recovery during Exposure to Nature Sound and Environmental Noise. Int. J. Environ. Res. Public Health 2010, 7, 1036–1046. [Google Scholar] [CrossRef]
- Van Renterghem, T. Towards Explaining the Positive Effect of Vegetation on the Perception of Environmental Noise. Urban For. Urban Green. 2019, 40, 133–144. [Google Scholar] [CrossRef]
- Deng, L.; Luo, H.; Ma, J.; Huang, Z.; Sun, L.X.; Jiang, M.Y.; Zhu, C.Y.; Li, X. Effects of Integration between Visual Stimuli and Auditory Stimuli on Restorative Potential and Aesthetic Preference in Urban Green Spaces. Urban For. Urban Green. 2020, 53, 126702. [Google Scholar] [CrossRef]
- Li, H.; Xie, H.; Woodward, G. Soundscape Components, Perceptions, and EEG Reactions in Typical Mountainous Urban Parks. Urban For. Urban Green. 2021, 64, 127269. [Google Scholar] [CrossRef]
- Annerstedt, M.; Jönsson, P.; Wallergård, M.; Johansson, G.; Karlson, B.; Grahn, P.; Hansen, Å.M.; Währborg, P. Inducing Physiological Stress Recovery with Sounds of Nature in a Virtual Reality Forest—Results from a Pilot Study. Physiol. Behav. 2013, 118, 240–250. [Google Scholar] [CrossRef]
- Zhao, W.; Li, H.; Zhu, X.; Ge, T. Effect of Birdsong Soundscape on Perceived Restorativeness in an Urban Park. Int. J. Environ. Res. Public Health 2020, 17, 5659. [Google Scholar] [CrossRef] [PubMed]
- Jeon, J.Y.; Jo, H.I.; Lee, K. Potential Restorative Effects of Urban Soundscapes: Personality Traits, Temperament, and Perceptions of VR Urban Environments. Landsc. Urban Plan. 2021, 214, 104188. [Google Scholar] [CrossRef]
- Yang, W.; Kang, J. Acoustic Comfort Evaluation in Urban Open Public Spaces. Appl. Acoust. 2005, 66, 211–229. [Google Scholar] [CrossRef]
- Fu, E.; Ren, Y.; Li, X.; Zhang, L. Research on the Healing Potential of Rural Community Streets from the Perspective of Audiovisual Integration: A Case Study of Four Rural Communities in China. Front. Public Health 2022, 10, 861072. [Google Scholar] [CrossRef]
- Yang, Y.; Lu, Y.; Yang, L.; Gou, Z.; Zhang, X. Urban Greenery, Active School Transport, and Body Weight among Hong Kong Children. Travel Behav. Soc. 2020, 20, 104–113. [Google Scholar] [CrossRef]
- Qian, Y. Hospital Green Space from the Perspective of Audiovisual Sympathy Healing Enhancement Study. Master’s Thesis, Hefei Polytechnic University, Hefei, China, 2020. [Google Scholar]
- Brocolini, L.; Lavandier, C.; Quoy, M.; Ribeiro, C. Measurements of Acoustic Environments for Urban Soundscapes: Choice of Homogeneous Periods, Optimization of Durations, and Selection of Indicators. J. Acoust. Soc. Am. 2013, 134, 813–821. [Google Scholar] [CrossRef] [PubMed]
- Holmes, T.H.; Rahe, R.H. The Social Readjustment Rating Scale. J. Psychosom. Res. 1967, 11, 213–218. [Google Scholar] [CrossRef]
- Rieiro, H.; Diaz-Piedra, C.; Morales, J.M.; Catena, A.; Romero, S.; Gonzalez, J.R.; Fuentes, L.J.; Di Stasi, L.L. Validation of Electroencephalographic Recordings Obtained with a Consumer-Grade, Single Dry Electrode, Low-Cost Device: A Comparative Study. Sensors 2019, 19, 2808. [Google Scholar] [CrossRef]
- Crowley, K.; Sliney, A.; Pitt, I.; Murphy, D. Evaluating a Brain-Computer Interface to Categorise Human Emotional Response. In Proceedings of the 2010 10th IEEE International Conference on Advanced Learning Technologies, Sousse, Tunisia, 5–7 July 2010; pp. 276–278. [Google Scholar] [CrossRef]
- Laumann, K.; Gärling, T.; Stormark, K.M. Rating Scale Measures of Restorative Components of Environments. J. Environ. Psychol. 2001, 21, 31–44. [Google Scholar] [CrossRef]
- Han, K.T. A Reliable and Valid Self-Rating Measure of the Restorative Quality of Natural Environments. Landsc. Urban Plan. 2003, 64, 209–232. [Google Scholar] [CrossRef]
- Aletta, F.; Kang, J.; Axelsson, Ö. Soundscape Descriptors and a Conceptual Framework for Developing Predictive Soundscape Models. Landsc. Urban Plan. 2016, 149, 65–74. [Google Scholar] [CrossRef]
- Meng, Q.; Zhang, S.; Kang, J. Effects of Typical Dining Styles on Conversation Behaviours and Acoustic Perception in Restaurants in China. Build. Environ. 2017, 121, 148–157. [Google Scholar] [CrossRef]
- Ratcliffe, E.; Gatersleben, B.; Sowden, P.T. Bird Sounds and Their Contributions to Perceived Attention Restoration and Stress Recovery. J. Environ. Psychol. 2013, 36, 221–228. [Google Scholar] [CrossRef]
- Liu, J.; Kang, J.; Behm, H.; Luo, T. Effects of Landscape on Soundscape Perception: Soundwalks in City Parks. Landsc. Urban Plan. 2014, 123, 30–40. [Google Scholar] [CrossRef]
- Liu, F.; Liu, S.; Kang, J. Gender Difference in Soundscape Evaluation in Urban Open Spaces—A Case Study on the City of Sheffield in UK. Build. Sci. 2012, 28, 50–56. [Google Scholar]
- Wang, Q. Research on Landscape Evaluation of Jinan Urban Parks Based on Multi-Dimensional Quantitative Analysis. Master’s Thesis, Shandong Agricultural University, Taian, China, 2022. [Google Scholar]
- Wortzel, J.D.; Wiebe, D.J.; DiDomenico, G.E.; Visoki, E.; South, E.; Tam, V.; Greenberg, D.M.; Brown, L.A.; Gur, R.C.; Gur, R.E.; et al. Association Between Urban Greenspace and Mental Wellbeing during the COVID-19 Pandemic in a U.S. Cohort. Front. Sustain. Cities 2021, 3, 686159. [Google Scholar] [CrossRef]
- Bangjun, Z.; Lili, S.; Guoqing, D. The Influence of the Visibility of the Source on the Subjective Annoyance Due to Its Noise. Appl. Acoust. 2003, 64, 1205–1215. [Google Scholar] [CrossRef]
- Luo, H.; Deng, L.; Jiang, S.; Song, C.; Fu, E.; Ma, J.; Sun, L.; Huang, Z.; Jiang, M.; Zhu, C.; et al. Assessing the Influence of Individual Factors on Visual and Auditory Preference for Rural Landscape: The Case of Chengdu, China. J. Environ. Plan. Manag. 2022, 65, 727–744. [Google Scholar] [CrossRef]
- Peschardt, K.K.; Stigsdotter, U.K. Associations between Park Characteristics and Perceived Restorativeness of Small Public Urban Green Spaces. Landsc. Urban Plan. 2013, 112, 26–39. [Google Scholar] [CrossRef]
- Ouis, D. Annoyance from Road Traffic Noise: A Review. J. Environ. Psychol. 2001, 21, 101–120. [Google Scholar] [CrossRef]
- Maleki, K.; Hosseini, S. Investigation of the Effect of Leaves, Branches and Canopies of Trees on Noise Pollution Reduction. Ann. Environ. Sci. 2011, 5, 13–21. [Google Scholar]
- Thompson, C.W. Urban Open Space in the 21st Century. Landsc. Urban Plan. 2002, 60, 59–72. [Google Scholar] [CrossRef]
- Grahn, P.; Stigsdotter, U.K. The Relation between Perceived Sensory Dimensions of Urban Green Space and Stress Restoration. Landsc. Urban Plan. 2010, 94, 264–275. [Google Scholar] [CrossRef]
- Mitchell, R.; Popham, F. Greenspace, Urbanity and Health: Relationships in England. J. Epidemiol. Community Health 2007, 61, 681–683. [Google Scholar] [CrossRef]












| Park Names | Year of First Opening/Years of Recent Renewal | Park Features | Construction Scale (km2) | Bearing from the City Center/Distance (km) |
|---|---|---|---|---|
| Guixi Ecological Park (A) | 2016/2021 | Athletic vitality | About 0.933 | Due South/10.5 |
| Water Park (B) | 1997/2022 | Ecological | 0.024 | Northeast/2.7 |
| Qinglonghu Wetland Park (C) | 2016/2020 | Demonstration | About 20.000 | Due East/12.7 |
| Tianfu Art Park (D) | 2021/2022 | The Beauty of Art | About 2.022 | Northwest/8 |
| Xinglonghu Wetland Park (E) | 2016/2022 | Large volume | About 3.573 | Due South/29.4 |
| Homogeneity of Variance | ANOVA | |||||
|---|---|---|---|---|---|---|
| Levene’s Statistic | df 1 | df 2 | p | F | p | |
| Visual stimuli | 3.197 | 6 | 133 | 0.006 ** | ||
| Audio stimuli | 1.369 | 11 | 228 | 0.189 | 27.298 | 0.000 ** |
| Visual Effect | Audio Effect | Audio-visual Effect | Gender Effect | |||||
|---|---|---|---|---|---|---|---|---|
| F | p | F | p | F | p | F | p | |
| Visual & Audio-visual (+S0) | 42.035 | 0.000 ** | ||||||
| Audio (V1) & Audio-visual (V1) | 15.538 | 0.000 ** | 32.408 | 0.000 ** | 4.431 | 0.014 * | ||
| Audio (V4) & Audio-visual (V4) | 18.362 | 0.000 ** | 7.058 | 0.001 * | 5.882 | 0.017 * | ||
| Audio (V6) & Audio-visual (V6) | 25.478 | 0.000 * | 30.696 | 0.000 ** | 4.233 | 0.000 ** | ||
Disclaimer/Publisher’s Note: The statements, opinions and data contained in all publications are solely those of the individual author(s) and contributor(s) and not of MDPI and/or the editor(s). MDPI and/or the editor(s) disclaim responsibility for any injury to people or property resulting from any ideas, methods, instructions or products referred to in the content. |
© 2023 by the authors. Licensee MDPI, Basel, Switzerland. This article is an open access article distributed under the terms and conditions of the Creative Commons Attribution (CC BY) license (https://creativecommons.org/licenses/by/4.0/).
Share and Cite
Yang, Z.; Zhao, X.; Zhu, L.; Xia, Y.; Ma, Y.; Wu, J.; Xiong, X.; Yang, N.; Lu, M. Research on the Healing Potential of Urban Parks from the Perspective of Audio-Visual Integration: A Case Study of Five Urban Parks in Chengdu. Land 2023, 12, 1317. https://doi.org/10.3390/land12071317
Yang Z, Zhao X, Zhu L, Xia Y, Ma Y, Wu J, Xiong X, Yang N, Lu M. Research on the Healing Potential of Urban Parks from the Perspective of Audio-Visual Integration: A Case Study of Five Urban Parks in Chengdu. Land. 2023; 12(7):1317. https://doi.org/10.3390/land12071317
Chicago/Turabian StyleYang, Zhenhong, Xiaoying Zhao, Lin Zhu, Yishi Xia, Yixin Ma, Jingyan Wu, Xueqian Xiong, Ni Yang, and Miao Lu. 2023. "Research on the Healing Potential of Urban Parks from the Perspective of Audio-Visual Integration: A Case Study of Five Urban Parks in Chengdu" Land 12, no. 7: 1317. https://doi.org/10.3390/land12071317
APA StyleYang, Z., Zhao, X., Zhu, L., Xia, Y., Ma, Y., Wu, J., Xiong, X., Yang, N., & Lu, M. (2023). Research on the Healing Potential of Urban Parks from the Perspective of Audio-Visual Integration: A Case Study of Five Urban Parks in Chengdu. Land, 12(7), 1317. https://doi.org/10.3390/land12071317

















































