Analysis of County-Scale Eco-Efficiency and Spatiotemporal Characteristics in China
Abstract
:1. Introduction
2. Materials and Methods
2.1. County Eco-Efficiency Indicator System
2.2. Data Source and Processing
2.3. Research Methods
2.3.1. Super-SBM Model Based on Undesirable Output
2.3.2. Malmquist Index
2.3.3. Spatial Autocorrelation Analysis
3. Results and Discussion
3.1. County-Scale Eco-Efficiency and Assessment in China
3.1.1. General Characteristics of County Eco-Efficiency
3.1.2. Spatially Divergent Characteristics of Eco-Efficiency
3.1.3. Eco-Efficiency Loss and Improvement Analysis
3.1.4. Dynamic Evolution Analysis of Eco-Efficiency
3.2. Spatial Correlation Effect of County-Scale Eco-Efficiency in China
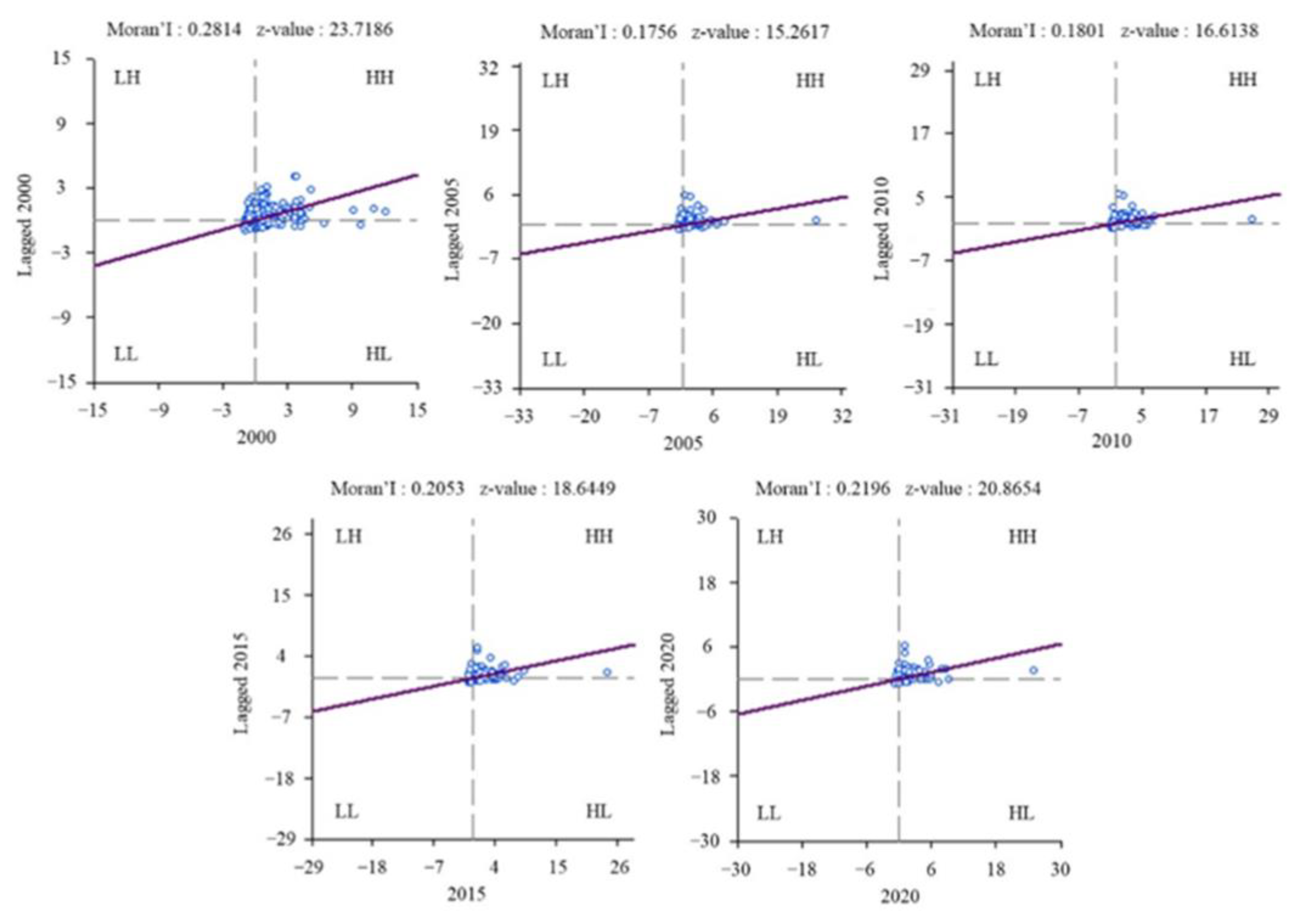
3.2.1. Global Correlation Pattern of Eco-Efficiency
3.2.2. Local Correlation Pattern of Eco-Efficiency
3.3. Analysis of Input-Output Relationship
4. Conclusions
4.1. Findings
4.2. Implications for Policy and Practice
4.3. Limitations
Author Contributions
Funding
Data Availability Statement
Conflicts of Interest
References
- Nie, G.; Qiu, Y. Prediction and analysis of the impact of urbanization on environmental pollution in China. Res. World 2017, 10, 10–16. [Google Scholar]
- He, X. County-based modernization and shared prosperity. Explor. Controv. 2021, 1, 24–26. [Google Scholar]
- Hu, X.; Zhang, Z.; Chen, X.; Wang, Y. Geographic detection of spatial-temporal difference and its influencing factors on county economic development: A case study of gansu province. Geogr. Res. 2019, 38, 772–783. [Google Scholar]
- Schaltegger, S.; Sturm, A. Ökologische rationalität: Ansatzpunkte zur ausgestaltung von ökologieorientierten managementinstrumenten. Die Unternehm. 1990, 44, 273–290. [Google Scholar]
- EEA. Making Sustainability Accountable: Eco-Efficiency, Resource Productivity and Innovation; EEA: Copenhagen, Denmark, 1999. [Google Scholar]
- WBCSD. Eco-Efficient Leadership for Improved Economic and Environmental Performance; WBCSD: Geneva, Switzerland, 1996. [Google Scholar]
- OECD. Eco-Efficiency; The Organization for Economic Co-operation and Development: Paris, France, 1998. [Google Scholar]
- Gössling, S.; Peeters, P.; Ceron, J.-P.; Dubois, G.; Patterson, T.; Richardson, R.B. The eco-efficiency of tourism. Ecol. Econ. 2004, 54, 417–434. [Google Scholar]
- Zhao, W.; Sun, Y.; Zhang, W.; Liang, S. Eco-efficiency analysis of municipal solid waste recycling systems by using life cycle approaches. Acta Ecol. Sin. 2016, 36, 7208–7216. [Google Scholar]
- Michelsen, O.; Fet, A.M.; Dahlsrud, A. Eco-efficiency in extended supply chains: A case study of furniture production. J. Environ. Manag. 2006, 79, 290–297. [Google Scholar] [CrossRef]
- Cerutti, A.K.; Beccaro, G.L.; Bagliani, M.; Donno, D.; Bounous, G. Multifunctional ecological footprint analysis for assessing eco-efficiency: A case study of fruit production systems in Northern Italy. J. Clean. Prod. 2013, 40, 108–117. [Google Scholar]
- Hu, W.; Han, Z.; Ge, Y.; Hu, Y.; Zhang, Y.; Peng, F. Chinese marine eco-economic system development efficiency based on emergy. Econ. Geogr. 2018, 8, 162–171. [Google Scholar]
- Chen, X.; Meng, Q.; Shi, J.; Shen, Y. Ecological Efficiency Measurement and Analysis of Spatial—Temporal Evolution in Eight Comprehensive Economic Areas of China. Econ. Manag. Rev. 2022, 38, 109–121. [Google Scholar]
- Xu, T.; Zhu, Q.; Mei, J.; Chen, Y. Spatio-temporal Pattern Changes and Optimal Strategies of Provincial Ecological Efficiency in China. Soil Water Conserv. Res. 2022, 29, 380–388. [Google Scholar]
- Zhang, Z.; Xue, B.; Chen, X.; Li, Y. Convergence in spatial difference of industrial environmental efficiency in China. China Popul. Resour. Environ. 2015, 25, 30–38. [Google Scholar]
- Korhonen, P.J.; Luptacik, M. Eco-efficiency analysis of power plants: An extension of data envelopment analysis. Eur. J. Oper. Res. 2004, 154, 437–446. [Google Scholar] [CrossRef]
- Hahn, T.; Figge, F.; Liesen, A.; Barkemeyer, R. Opportunity cost based analysis of corporate eco-efficiency: A methodology and its application to the CO2-efficiency of German companies. J. Environ. Manag. 2010, 91, 1997–2007. [Google Scholar] [CrossRef] [PubMed]
- Camarero, M.; Castillo, J.; Picazo-Tadeo, A.J.; Tamarit, C. Eco-Efficiency and Convergence in OECD Countries. Environ. Resour. Econ. 2013, 55, 87–106. [Google Scholar]
- Huang, J.; Yang, X.; Cheng, G.; Wang, S. A comprehensive eco-efficiency model and dynamics of regional eco-efficiency in China. J. Clean. Prod. 2014, 67, 228–238. [Google Scholar] [CrossRef]
- Demiral, E.E.; Sağlam, Ü. Eco-efficiency and Eco-productivity assessments of the states in the United States: A two-stage Non-parametric analysis. Appl. Energ. 2021, 303, 117649. [Google Scholar]
- Moutinho, V.; Fuinhas, J.A.; Marques, A.C.; Santiago, R. Assessing eco-efficiency through the DEA analysis and decoupling index in the Latin America countries. J. Clean. Prod. 2018, 205, 512–524. [Google Scholar]
- Bianchi, M.; Valle, I.d.; Tapia, C. Measuring eco-efficiency in European regions: Evidence from a territorial perspective. J. Clean. Prod. 2020, 276, 123246. [Google Scholar]
- Hou, M.; Yao, S. Measurement and temporal-spatial dynamic evolution of urban eco-efficiency in China. China Popul. Resour. Environ. 2018, 28, 13–21. [Google Scholar]
- Ren, Y.; Fang, C.; Lin, X.; Sun, S.; Li, G.; Fan, B. Evaluation of the eco-efficiency of four major urban agglomerations in coastal eastern China. J. Geogr. Sci. 2019, 29, 1315–1330. [Google Scholar]
- Kun, W.; Kairui, Y.; Hong, R.; Lei, G. The impact of industrial agglomeration on ecological efficiency: An empirical analysis based on 244 Chinese cities. Environ. Impact Assess. Rev. 2022, 96, 106841. [Google Scholar]
- Zhang, Z.; Wang, K.; Chen, X. Relationship between China Ecological Efficiency and Environmental Regulation——Based on SBM Model and Provincial Panel Data. Econ. Surv. 2015, 32, 126–131. [Google Scholar]
- Qiu, L.; Zhou, J. Temporal and spatial differentiation and influencing factors of eco-efficiency at county scale in Zhejiang province. East China Econ. Manag. 2020, 34, 11–20. [Google Scholar]
- Ma, Y.; Tong, Y.; Ren, J. Calculation and robustness test of county-scale ecological efficiency based on multi-source remote sensing data: Taking the urban agglomeration in the middle reaches of Yangtze River as an example. J. Nat. Resour. 2019, 34, 1196–1208. [Google Scholar]
- Li, X.; Zhao, L.; Liu, Y.; Jiang, Z.; Cai, L. Eco-efficiency measurement and spatial-temporal characteristics analysis of county-scale in Shandong Province. World Geogr. Res. 2022, 31, 120–129. [Google Scholar]
- Ren, Y.; Fang, C. Spatial pattern and evaluation of eco-efficiency in counties of the Beijing-Tianjin-Hebei Urban Agglomeration. Prog. Geogr. 2017, 36, 87–98. [Google Scholar]
- Amaral, S.; Câmara, G.; Monteiro, A.M.V.; Quintanilha, J.A.; Elvidge, C.D. Estimating population and energy consumption in Brazilian Amazonia using DMSP night-time satellite data. Comput. Environ. Urban 2005, 29, 179–195. [Google Scholar] [CrossRef]
- Elvidge, C.D.; Baugh, K.E.; Kihn, E.A.; Kroehl, H.W.; Davis, E.R.; Davis, C.W. Relation between satellite observed visible-near infrared emissions, population, economic activity and electric power consumption. Int. J. Remote Sens. 1997, 18, 1373–1379. [Google Scholar] [CrossRef]
- Wang, N.; Zhang, S.; Zeng, Q. Prediction of Population Aging in Chongqing: A study Based on Metabolic Grey GM (1, 1) Model. Northwest Popul. 2017, 38, 66–70. [Google Scholar]
- Cui, X.; Fang, C.; Wang, Z.; Bao, C. Spatial relationship of high-speed transportation construction and land-use efficiency and its mechanism: Case study of Shandong Peninsula urban agglomeration. J. Geogr. Sci. 2019, 29, 549–562. [Google Scholar]
- Ren, Y.; Bai, Y.; Liu, Y.; Wang, J.; Zhang, F.; Wang, Z. Conflict or Coordination? Analysis of Spatio-Temporal Coupling Relationship between Urbanization and Eco-Efficiency: A Case Study of Urban Agglomerations in the Yellow River Basin, China. Land 2022, 11, 882. [Google Scholar]
- Tone, K. A slacks-based measure of efficiency in data envelopment analysis. Eur. J. Oper. Res. 2001, 130, 498–509. [Google Scholar]
- Andersen, P.; Petersen, N.C. A Procedure for Ranking Efficient Units in Data Envelopment Analysis. Manag. Sci. 1993, 39, 1261–1264. [Google Scholar]
- Tian, P.; Wang, H.; Li, J.; Cao, L.; Hu, Q. Eco-efficiency evaluation and influencing factors analysis of county-level cities in the East China Sea coastal zone. Geogr. Res. 2021, 40, 2347–2366. [Google Scholar]
- Malmquist, S. Index numbers and indifference surfaces. Trab. Estadística 1953, 4, 209–242. [Google Scholar] [CrossRef]
- Xie, H.; Wang, W. Spatiotemporal differences and convergence of urban industrial land use efficiency for China’s major economic zones. J. Geogr. Sci. 2015, 25, 1183–1198. [Google Scholar] [CrossRef]
- Färe, R.; Grosskopf, S.; Lindgren, B.; Roos, P. Productivity changes in Swedish pharamacies 1980–1989: A non-parametric Malmquist approach. J. Prod. Anal. 1992, 3, 85–101. [Google Scholar] [CrossRef]
- Pastor, J.T.; Lovell, C.A.K. A global Malmquist productivity index. Econ. Lett. 2005, 88, 266–271. [Google Scholar]
- Zhao, Z.; Bai, Y.; Wang, G.; Chen, J.; Yu, J.; Liu, W. Land eco-efficiency for new-type urbanization in the Beijing-Tianjin-Hebei Region. Technol. Forecast. Soc. Chang. 2018, 137, 19–26. [Google Scholar] [CrossRef]
- Ren, M.; Wang, X.; Liu, Z.; Liu, L.; Zhang, W. Analysis on Spatio-temporal Change and the Influencing Factors of Regional Eco-efficiency of China. East China Econ. Manag. 2019, 33, 71–79. [Google Scholar]
- Ren, W.; Zhang, Z.; Wang, Y.; Xue, B.; Chen, X. Measuring regional eco-efficiency in China (2003–2016): A “Full World” perspective and network data envelopment analysis. Int. J. Environ. Res. Public Health 2020, 17, 3456. [Google Scholar] [CrossRef] [PubMed]
- Wang, E.; Wu, C. Spatial-temporal differences of provincial eco-efficiency in China based on super efficiency DEA model. Chin. J. Manag. 2011, 8, 443–450. [Google Scholar]
- He, C. The Policy Factors of Economic Stall in Northeast Region———Based on the Inspection of “ Northeast Revitalization”Policy Effect. Econ. Syst. Reform 2017, 01, 44–49. [Google Scholar]








| Target Layer | Criterion Layer | Indicator Layer | Specific Indicator Composition |
|---|---|---|---|
| County-scale eco-efficiency | Input indicators | Labor | Year-end total population |
| Energy | Energy consumption index | ||
| Land | Arable land area | ||
| Construction land area | |||
| Output indicators | Desirable output | GDP | |
| Undesirable output | Annual average PM2.5 concentration |
| Number of Counties/Items | Relaxation Rate | |||
|---|---|---|---|---|
| 0 | 0–30% | 30–60% | >60% | |
| 2000 | 1684 | 5 | 1 | 1 |
| 2005 | 1687 | 2 | 1 | 1 |
| 2010 | 1688 | 0 | 1 | 2 |
| 2015 | 1689 | 1 | 1 | 0 |
| 2020 | 1683 | 6 | 1 | 1 |
| B | SE(B) | Beta | t | Sig. | VIF | |
|---|---|---|---|---|---|---|
| (constant) | 0.021 | 0.001 | 14.275 | 0.000 | ||
| PGDP | 0.126 | 0.011 | 0.296 | 11.280 | 0.000 | 1.391 |
| ENI | −0.033 | 0.009 | −0.131 | −3.704 | 0.000 | 2.506 |
| AL | −0.032 | 0.007 | −0.119 | −4.397 | 0.000 | 1.476 |
| CL | −0.016 | 0.008 | −0.066 | −1.961 | 0.050 | 2.257 |
| PM2.5 | −0.025 | 0.017 | −0.033 | −1.459 | 0.145 | 1.018 |
Disclaimer/Publisher’s Note: The statements, opinions and data contained in all publications are solely those of the individual author(s) and contributor(s) and not of MDPI and/or the editor(s). MDPI and/or the editor(s) disclaim responsibility for any injury to people or property resulting from any ideas, methods, instructions or products referred to in the content. |
© 2023 by the authors. Licensee MDPI, Basel, Switzerland. This article is an open access article distributed under the terms and conditions of the Creative Commons Attribution (CC BY) license (https://creativecommons.org/licenses/by/4.0/).
Share and Cite
Zhang, H.; Sun, Y.; Fan, Z.; Long, Z.; Wan, S.; Zhang, Z.; Chen, X. Analysis of County-Scale Eco-Efficiency and Spatiotemporal Characteristics in China. Land 2023, 12, 438. https://doi.org/10.3390/land12020438
Zhang H, Sun Y, Fan Z, Long Z, Wan S, Zhang Z, Chen X. Analysis of County-Scale Eco-Efficiency and Spatiotemporal Characteristics in China. Land. 2023; 12(2):438. https://doi.org/10.3390/land12020438
Chicago/Turabian StyleZhang, Hui, Yingqi Sun, Zhaoying Fan, Zhi Long, Shilong Wan, Zilong Zhang, and Xingpeng Chen. 2023. "Analysis of County-Scale Eco-Efficiency and Spatiotemporal Characteristics in China" Land 12, no. 2: 438. https://doi.org/10.3390/land12020438
APA StyleZhang, H., Sun, Y., Fan, Z., Long, Z., Wan, S., Zhang, Z., & Chen, X. (2023). Analysis of County-Scale Eco-Efficiency and Spatiotemporal Characteristics in China. Land, 12(2), 438. https://doi.org/10.3390/land12020438

