A Spatio-Temporal Analysis of the Ecological Compensation for Cultivated Land in Northeast China
Abstract
:1. Introduction
2. Materials and Methods
2.1. Study Area
2.2. Data Sources
2.3. Research Mechanism
2.4. Methods
2.4.1. The Ecological Footprint of Cultivated Land
2.4.2. The Ecological Carrying Capacity of Cultivated Land
2.4.3. Measurement of the ESVs of Cultivated Land
2.4.4. Calculating the Ecological Compensation for Cultivated Land
3. Results
3.1. The Ecological Footprint of Cultivated Land in Northeast China
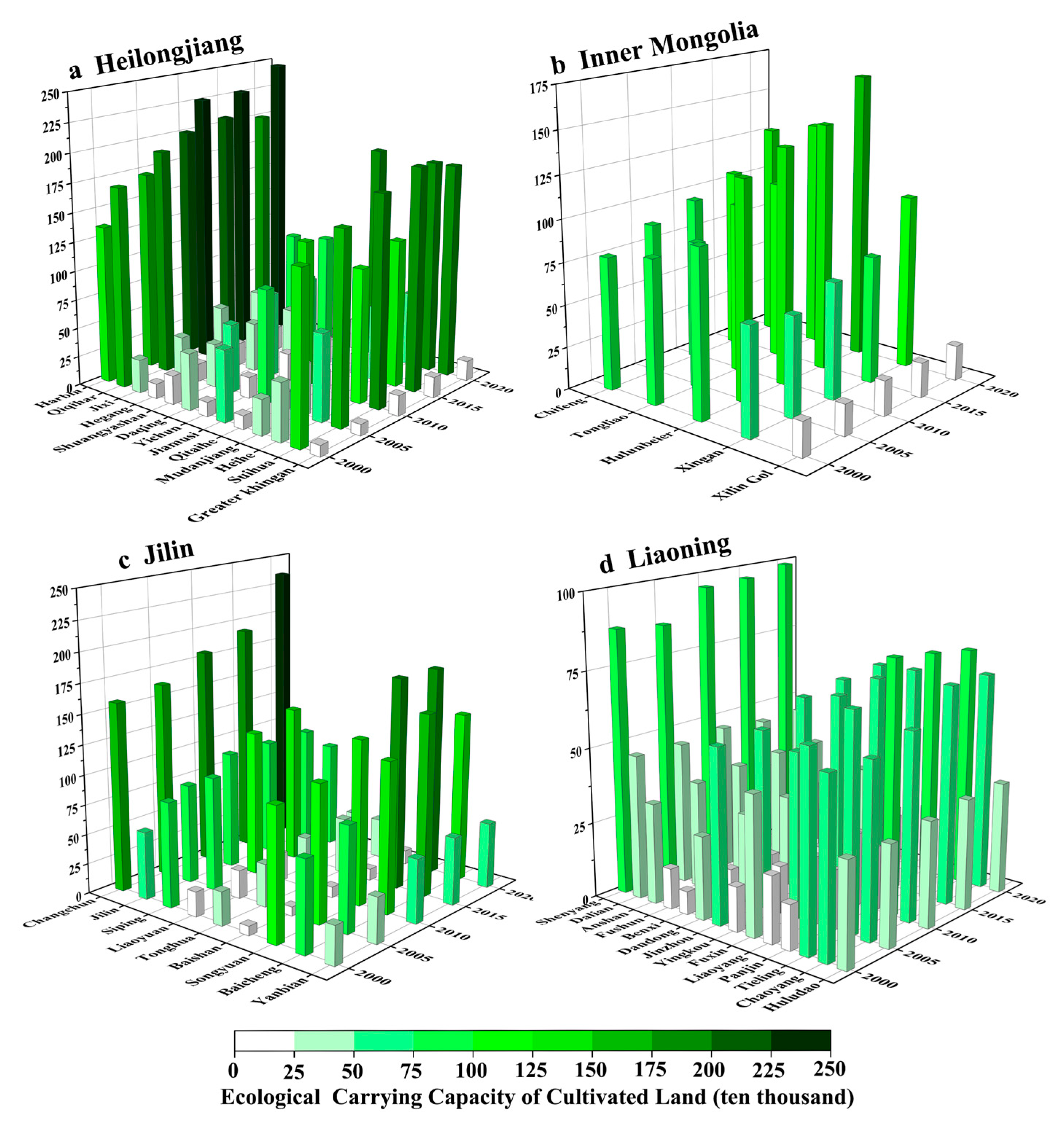
3.2. Ecological Carrying Capacity of Cultivated Land in Northeast China
3.3. Value of the Ecosystem Services of Cultivated Land in Northeast China
3.4. Amount of Ecological Compensation Needed for Cultivated Land in Northeast China
4. Discussion
4.1. The Rationality of Ecological Compensation for Cultivated Land
4.2. Recommendations for the Ecological Compensation of Cultivated Land in Northeast China
4.2.1. Transforming Government-Oriented Approaches and Introducing Market Mechanisms
4.2.2. Diversify the Approach to Ecological Compensation for Cultivated Land
4.2.3. Determine Reasonable Standards of Compensation for Cultivated Land and Promote Positive Interactions among Stakeholders
4.3. Limitations and Future Prospects
5. Conclusions
Author Contributions
Funding
Institutional Review Board Statement
Informed Consent Statement
Data Availability Statement
Conflicts of Interest
References
- Yi, Z.; Zhou, W.; Razzaq, A.; Yang, Y. Land Resource Management and Sustainable Development: Evidence from China’s Regional Data. Resour. Policy 2023, 84, 103732. [Google Scholar] [CrossRef]
- Du, H.; Zhao, L.; Zhang, P.; Li, J.; Yu, S. Ecological Compensation in the Beijing-Tianjin-Hebei Region Based on Ecosystem Services Flow. J. Environ. Manag. 2023, 331, 117230. [Google Scholar] [CrossRef] [PubMed]
- Ren, W.; Xu, Y.; Ni, J. Development, Hotspots and Trend Directions of Marine Ecological Compensation in China: A Bibliometric-Based Assessment. Mar. Policy 2023, 156, 105815. [Google Scholar] [CrossRef]
- Fan, Q.; Abbas, J.; Zhong, Y.; Pawar, P.S.; Adam, N.A.; Alarif, G.B. Role of Organizational and Environmental Factors in Firm Green Innovation and Sustainable Development: Moderating Role of Knowledge Absorptive Capacity. J. Clean. Prod. 2023, 411, 137262. [Google Scholar] [CrossRef]
- Zhang, X.; Li, F.; Li, X. Bibliometric Analysis of Ecological Compensation and Its Application in Land Resources. Landsc. Ecol. Eng. 2021, 17, 527–540. [Google Scholar] [CrossRef]
- Liu, M.; Yang, L.; Min, Q.; Sang, W. Theoretical Framework for Eco-Compensation to National Parks in China. Glob. Ecol. Conserv. 2020, 24, e01296. [Google Scholar] [CrossRef]
- Wang, J.; Wang, L. Study on the Efficiency of Air Pollution Control and Responsibility Allocation in the Yangtze River Delta Region in China from the Perspective of Ecological Compensation. J. Clean. Prod. 2023, 423, 138700. [Google Scholar] [CrossRef]
- Feng, X.; Li, Y.; Chen, X.; Lv, Y.; Zhang, Z.; Chen, S. Study of the Allocation Strategy of Water Pollutant Emission Permits under a Bidirectional Ecological Compensation Mechanism. Ecol. Indic. 2023, 154, 110849. [Google Scholar] [CrossRef]
- Gastineau, P.; Mossay, P.; Taugourdeau, E. Ecological Compensation: How Much and Where? Ecol. Econ. 2021, 190, 107191. [Google Scholar] [CrossRef]
- Vaissière, A.-C.; Meinard, Y. A Policy Framework to Accommodate Both the Analytical and Normative Aspects of Biodiversity in Ecological Compensation. Biol. Conserv. 2021, 253, 108897. [Google Scholar] [CrossRef]
- Ding, Z.; Yao, S. Theory and Valuation of Cross-Regional Ecological Compensation for Cultivated Land: A Case Study of Shanxi Province, China. Ecol. Indic. 2022, 136, 108609. [Google Scholar] [CrossRef]
- Hu, Y.; Huang, J.; Hou, L. Impacts of the Grassland Ecological Compensation Policy on Household Livestock Production in China: An Empirical Study in Inner Mongolia. Ecol. Econ. 2019, 161, 248–256. [Google Scholar] [CrossRef]
- Pei, S.; Zhang, C.; Liu, C.; Liu, X.; Xie, G. Forest Ecological Compensation Standard Based on Spatial Flowing of Water Services in the Upper Reaches of Miyun Reservoir, China. Ecosyst. Serv. 2019, 39, 100983. [Google Scholar] [CrossRef]
- Elofsson, K.; Hiron, M.; Kačergytė, I.; Pärt, T. Ecological Compensation of Stochastic Wetland Biodiversity: National or Regional Policy Schemes? Ecol. Econ. 2023, 204, 107672. [Google Scholar] [CrossRef]
- Liu, M.; Zhang, A.; Zhang, X.; Xiong, Y. Research on the Game Mechanism of Cultivated Land Ecological Compensation Standards Determination: Based on the Empirical Analysis of the Yangtze River Economic Belt, China. Land 2022, 11, 1583. [Google Scholar] [CrossRef]
- Zhong, X.; Guo, D.; Li, H. Quantitative Assessment of Horizontal Ecological Compensation for Cultivated Land Based on an Improved Ecological Footprint Model: A Case Study of Jiangxi Province, China. Int. J. Environ. Res. Public Health 2023, 20, 4618. [Google Scholar] [CrossRef] [PubMed]
- Bai, Y.; Liu, M.; Yang, L. Calculation of Ecological Compensation Standards for Arable Land Based on the Value Flow of Support Services. Land 2021, 10, 719. [Google Scholar] [CrossRef]
- Chen, X.; Wang, J. Quantitatively Determining the Priorities of Regional Ecological Compensation for Cultivated Land in Different Main Functional Areas: A Case Study of Hubei Province, China. Land 2021, 10, 247. [Google Scholar] [CrossRef]
- Guo, J.; Wei, Z.; Xie, X.; Ren, J.; Zhou, H. Dynamic Change and Driving Force of Natural Capital in Qinghai Province Based on the Three-Dimensional Ecological Footprint, China. Ecol. Indic. 2022, 145, 109673. [Google Scholar] [CrossRef]
- Liu, M.; Yunxiao, B.; Boru, S. Analysis of the Hotspots of Ecological Compensation Research in China in the Past 20 Years Based on a Bibliometric Study. J. Resour. Ecol. 2022, 13, 80–92. [Google Scholar] [CrossRef]
- Gao, X.; Shen, J.; He, W.; Zhao, X.; Li, Z.; Hu, W.; Wang, J.; Ren, Y.; Zhang, X. Spatial-Temporal Analysis of Ecosystem Services Value and Research on Ecological Compensation in Taihu Lake Basin of Jiangsu Province in China from 2005 to 2018. J. Clean. Prod. 2021, 317, 128241. [Google Scholar] [CrossRef]
- Wang, R.; Bai, Y.; Alatalo, J.M.; Yang, Z.; Yang, Z.; Yang, W.; Guo, G. Impacts of Rapid Urbanization on Ecosystem Services under Different Scenarios—A Case Study in Dianchi Lake Basin, China. Ecol. Indic. 2021, 130, 108102. [Google Scholar] [CrossRef]
- Ćosić-Flajsig, G.; Vučković, I.; Karleuša, B. An Innovative Holistic Approach to an E-Flow Assessment Model. Civ. Eng. J. 2020, 6, 2188–2202. [Google Scholar] [CrossRef]
- Zheng, D.; Wang, Y.; Hao, S.; Xu, W.; Lv, L.; Yu, S. Spatial-Temporal Variation and Tradeoffs/Synergies Analysis on Multiple Ecosystem Services: A Case Study in the Three-River Headwaters Region of China. Ecol. Indic. 2020, 116, 106494. [Google Scholar] [CrossRef]
- Guan, Q.; Hao, J.; Ren, G.; Li, M.; Chen, A.; Duan, W.; Chen, H. Ecological Indexes for the Analysis of the Spatial–Temporal Characteristics of Ecosystem Service Supply and Demand: A Case Study of the Major Grain-Producing Regions in Quzhou, China. Ecol. Indic. 2020, 108, 105748. [Google Scholar] [CrossRef]
- Xiong, K.; Kong, F. The Analysis of Farmers’ Willingness to Accept and Its Influencing Factors for Ecological Compensation of Poyang Lake Wetland. Procedia Eng. 2017, 174, 835–842. [Google Scholar] [CrossRef]
- Dimal, M.O.R.; Jetten, V. An Integrated Spatial Econometric Approach in Valuing Soil Conservation Using Contingent Valuation. Soil Use Manag. 2021, 37, 377–389. [Google Scholar] [CrossRef]
- Liziński, T.; Wróblewska, A.; Rauba, K. Application of CVM Method in the Evaluation of Flood Control and Water and Sewage Management Projects. J. Water Land Dev. 2015, 24, 41–49. [Google Scholar] [CrossRef]
- Zhou, Z.; Sun, X.; Zhang, X.; Wang, Y. Inter-Regional Ecological Compensation in the Yellow River Basin Based on the Value of Ecosystem Services. J. Environ. Manag. 2022, 322, 116073. [Google Scholar] [CrossRef]
- Peng, H.; Zhang, X.; Ren, W.; He, J. Spatial Pattern and Driving Factors of Cropland Ecosystem Services in a Major Grain-Producing Region: A Production-Living-Ecology Perspective. Ecol. Indic. 2023, 155, 111024. [Google Scholar] [CrossRef]
- Qian, F.; Xu, H.; Feng, R.; Wang, D.; Jia, Y.; Gu, H. Estimation and Analysis of Cultivated Land Ecological Compensation in Liaoning Province Based on Three-Dimensional Ecological Footprint Model. Agric. Resour. Zoning China 2023, 44, 97–109. [Google Scholar]
- Li, X.; Li, S.; Li, C.; Shi, J.; Wang, N. The Impact of High-Quality Development on Ecological Footprint: An Empirical Research Based on STIRPAT Model. Ecol. Indic. 2023, 154, 110881. [Google Scholar] [CrossRef]
- Pan, X.; Xu, L.; Yang, Z.; Yu, B. Payments for Ecosystem Services in China: Policy, Practice, and Progress. J. Clean. Prod. 2017, 158, 200–208. [Google Scholar] [CrossRef]
- Fan, M.; Chen, L. Spatial Characteristics of Land Uses and Ecological Compensations Based on Payment for Ecosystem Services Model from 2000 to 2015 in Sichuan Province, China. Ecol. Inform. 2019, 50, 162–183. [Google Scholar] [CrossRef]
- Liu, L.; Wang, X.; Meng, X.; Cai, Y. The Coupling and Coordination between Food Production Security and Agricultural Ecological Protection in Main Food-Producing Areas of China. Ecol. Indic. 2023, 154, 110785. [Google Scholar] [CrossRef]
- Dang, Y.; Zhao, Z.; Kong, X.; Lei, M.; Liao, Y.; Xie, Z.; Song, W. Discerning the Process of Cultivated Land Governance Transition in China since the Reform and Opening-up-- Based on the Multiple Streams Framework. Land Use Policy 2023, 133, 106844. [Google Scholar] [CrossRef]
- Song, Z.; Peng, Y.; Li, Z.; Zhang, S.; Liu, X.; Tan, S. Two Irrigation Events Can Achieve Relatively High, Stable Corn Yield and Water Productivity in Aeolian Sandy Soil of Northeast China. Agric. Water Manag. 2022, 260, 107291. [Google Scholar] [CrossRef]
- Pan, T.; Zhang, C.; Kuang, W.; Luo, G.; Du, G.; Yin, Z. Large-Scale Rain-Fed to Paddy Farmland Conversion Modified Land-Surface Thermal Properties in Cold China. Sci. Total Environ. 2020, 722, 137917. [Google Scholar] [CrossRef]
- Yao, X.; Chen, W.; Song, C.; Gao, S. Sustainability and Efficiency of Water-Land-Energy-Food Nexus Based on Emergy-Ecological Footprint and Data Envelopment Analysis: Case of an Important Agriculture and Ecological Region in Northeast China. J. Clean. Prod. 2022, 379, 134854. [Google Scholar] [CrossRef]
- Mao, D.; Luo, L.; Wang, Z.; Wilson, M.C.; Zeng, Y.; Wu, B.; Wu, J. Conversions between Natural Wetlands and Farmland in China: A Multiscale Geospatial Analysis. Sci. Total Environ. 2018, 634, 550–560. [Google Scholar] [CrossRef]
- Liu, M.; Liu, W.; Yang, L.; Jiao, W.; He, S.; Min, Q. A Dynamic Eco-Compensation Standard for Hani Rice Terraces System in Southwest China. Ecosyst. Serv. 2019, 36, 100897. [Google Scholar] [CrossRef]
- Baoyuan, L.; Ganlin, Z.; Yun, X.; Bo, S.; Zhijia, G.; Yingying, D. Delineating the Black Soil Region and Typical Black Soil Region of Northeastern China. Chin. Sci. Bull. 2020, 66, 96–106. [Google Scholar] [CrossRef]
- Liu, J.; Kuang, W.; Zhang, Z.; Xu, X.; Qin, Y.; Ning, J.; Zhou, W.; Zhang, S.; Li, R.; Yan, C.; et al. Spatiotemporal Characteristics, Patterns, and Causes of Land-Use Changes in China since the Late 1980s. J. Geogr. Sci. 2014, 24, 195–210. [Google Scholar] [CrossRef]
- Ning, J.; Liu, J.; Kuang, W.; Xu, X.; Zhang, S.; Yan, C.; Li, R.; Wu, S.; Hu, Y.; Du, G.; et al. Spatiotemporal Patterns and Characteristics of Land-Use Change in China during 2010–2015. J. Geogr. Sci. 2018, 28, 547–562. [Google Scholar] [CrossRef]
- Liu, M.; Li, W. The Calculation of China’s Equivalence Factor under Ecological Footprint Model Based on Net Primary Productivity. J. Nat. Resour. 2009, 24, 1550–1559. [Google Scholar]
- Fan, Z.; Liu, J.; Yu, H.; Lu, H.; Zhang, P. Spatial-Temporal Pattern and Influencing Factors of Land Ecological Carrying Capacity in The National Pilot Zones for Ecological Conservation in China. Land 2022, 11, 2199. [Google Scholar] [CrossRef]
- Liu, M.; Li, W.; Xie, G. Yield factor measurement of China’s ecological footprint based on net primary productivity. Chin. J. Ecol. 2010, 29, 592–597. [Google Scholar] [CrossRef]
- Wackernagel, M.; Onisto, L.; Bello, P.; Callejas Linares, A.; Susana López Falfán, I.; Méndez Garcıa, J.; Isabel Suárez Guerrero, A.; Guadalupe Suárez Guerrero, M. National Natural Capital Accounting with the Ecological Footprint Concept. Ecol. Econ. 1999, 29, 375–390. [Google Scholar] [CrossRef]
- Costanza, R.; de Groot, R.; Sutton, P.; van der Ploeg, S.; Anderson, S.J.; Kubiszewski, I.; Farber, S.; Turner, R.K. Changes in the Global Value of Ecosystem Services. Glob. Environ. Chang. 2014, 26, 152–158. [Google Scholar] [CrossRef]
- Xie, G.D.; Lin, Z.; Chun-Xia, L.U.; Yu, X.; Cao, C. Expert Knowledge Based Valuation Method of Ecosystem Services in China. J. Nat. Resour. 2008, 23, 911–919. [Google Scholar] [CrossRef]
- Gao-Di, X.; Yu, X.; Lin, Z.; Chun-Xia, L.U. Study on Ecosystem Services Value of Food Production in China. Chin. J. Eco-Agric. 2005, 13, 10–13. [Google Scholar] [CrossRef]
- Jin, J.; He, R.; Wang, W.; Gong, H. Valuing Cultivated Land Protection: A Contingent Valuation and Choice Experiment Study in China. Land Use Policy 2018, 74, 214–219. [Google Scholar] [CrossRef]
- Sheng, W.; Zhen, L.; Xie, G.; Xiao, Y. Determining Eco-Compensation Standards Based on the Ecosystem Services Value of the Mountain Ecological Forests in Beijing, China. Ecosyst. Serv. 2017, 26, 422–430. [Google Scholar] [CrossRef]
- Kou, J.; Li, C.; Ma, W. The Coupling of Agricultural Water Footprint and Socioeconomic Development in Ecological Functional Zones: A Case Study of Gansu Province, China. Anthropocene 2023, 43, 100391. [Google Scholar] [CrossRef]
- Zhang, X.; Ren, W.; Peng, H. Urban Land Use Change Simulation and Spatial Responses of Ecosystem Service Value under Multiple Scenarios: A Case Study of Wuhan, China. Ecol. Indic. 2022, 144, 109526. [Google Scholar] [CrossRef]
- Wang, J.; Su, D.; Wu, Q.; Li, G.; Cao, Y. Study on Eco-Efficiency of Cultivated Land Utilization Based on the Improvement of Ecosystem Services and Emergy Analysis. Sci. Total Environ. 2023, 882, 163489. [Google Scholar] [CrossRef]









| Symbols | Explanation | Unit |
|---|---|---|
| i | Rice, maize, soybean | / |
| oi | The regional per capita production of food crop i | kg/person |
| mi | The sown area of food crop i | ha |
| pi | The mean cost of food crop i across the nation | CNY/kg |
| qi | The output or production of food crop i | kg/ha |
| M | The area of cultivated land for food crop i | ha |
| En | Engel coefficient for urban and rural areas | % |
| pi | The national average yield for crop i | kg/ha |
| a | Biologically productive land area of cultivated land per capita | ha/person |
| r | Equivalence factor | / |
| y | Yield factor | / |
| N | The total population of the region | Number |
| GDP | GDP of China | CNY |
| Province | Inner Mongolia | Liaoning | Jilin | Heilongjiang |
|---|---|---|---|---|
| Yield factor | 0.52 | 0.84 | 0.83 | 0.58 |
| Primary Types | Secondary Types | Equivalent Factor |
|---|---|---|
| Provision | Food manufacturing | 1.00 |
| Raw material production | 0.39 | |
| Regulation | Gas regulation | 0.72 |
| Climate regulation | 0.97 | |
| Water conservation | 0.77 | |
| Waste disposal | 1.39 | |
| Support | Soil formation and retention | 1.47 |
| Biodiversity | 1.02 | |
| Culture | Aesthetic landscape | 0.17 |
Disclaimer/Publisher’s Note: The statements, opinions and data contained in all publications are solely those of the individual author(s) and contributor(s) and not of MDPI and/or the editor(s). MDPI and/or the editor(s) disclaim responsibility for any injury to people or property resulting from any ideas, methods, instructions or products referred to in the content. |
© 2023 by the authors. Licensee MDPI, Basel, Switzerland. This article is an open access article distributed under the terms and conditions of the Creative Commons Attribution (CC BY) license (https://creativecommons.org/licenses/by/4.0/).
Share and Cite
Wang, L.; Faye, B.; Li, Q.; Li, Y. A Spatio-Temporal Analysis of the Ecological Compensation for Cultivated Land in Northeast China. Land 2023, 12, 2179. https://doi.org/10.3390/land12122179
Wang L, Faye B, Li Q, Li Y. A Spatio-Temporal Analysis of the Ecological Compensation for Cultivated Land in Northeast China. Land. 2023; 12(12):2179. https://doi.org/10.3390/land12122179
Chicago/Turabian StyleWang, Lu, Bonoua Faye, Quanfeng Li, and Yunkai Li. 2023. "A Spatio-Temporal Analysis of the Ecological Compensation for Cultivated Land in Northeast China" Land 12, no. 12: 2179. https://doi.org/10.3390/land12122179
APA StyleWang, L., Faye, B., Li, Q., & Li, Y. (2023). A Spatio-Temporal Analysis of the Ecological Compensation for Cultivated Land in Northeast China. Land, 12(12), 2179. https://doi.org/10.3390/land12122179

