Assessing the Resilience of Stream Ecosystems to Rainfall Impact
Abstract
1. Introduction
2. Materials and Methods
2.1. Study Area and Selecting Reference and Impaired Streams
2.2. System Performance as a Concept of Quantifying Resilience
2.3. Analytic Framework
2.4. Statistical Approach
3. Results
3.1. WQSP Variability Recovery Period of Reference and Impaired Streams
3.2. Analysis of the Impact of Rainfall on WQSP
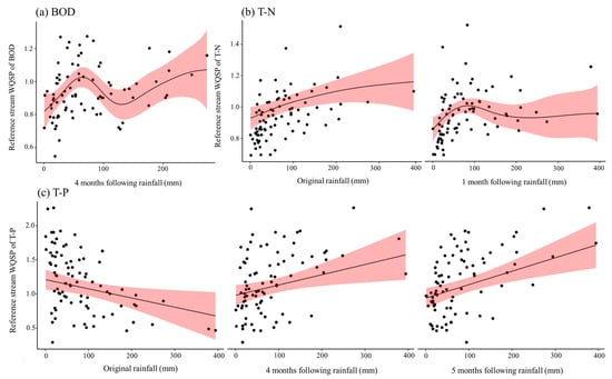
3.2.1. LM and GAM Analyses of Reference Streams for BOD, T-N, and T-P
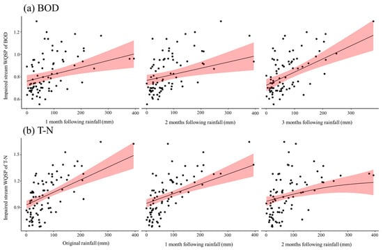
3.2.2. LM and GAM Analyses of Impaired Streams for BOD, T-N, and T-P
3.3. Comparison of Sensitivity and Stability of Resilience
3.3.1. Comparison of Sensitivity through Robustness
3.3.2. Comparison of Stability through Rapidity
4. Discussion
4.1. Nonlinearity of WQSP for Reference and Impaired Streams
4.2. Robustness Comparison of Reference and Impaired Streams
5. Conclusions
Author Contributions
Funding
Data Availability Statement
Acknowledgments
Conflicts of Interest
References
- An, Z.; Wu, G.; Li, J.; Sun, Y.; Liu, Y.; Zhou, W.; Cai, Y.; Duan, A.; Li, L.; Mao, J. Global monsoon dynamics and climate change. Annu. Rev. Earth Planet. Sci. 2015, 43, 29–77. [Google Scholar] [CrossRef]
- Lee, J.J.; Kim, Y.J. Analysis of flow duration characteristics due to environmental change in Korea river basin. J. Korean Soc. Hazard. Mitig. 2011, 11, 67–75. [Google Scholar] [CrossRef]
- Kim, J.S.; Park, S.Y.; Hong, H.P.; Chen, J.; Choi, S.J.; Kim, T.W.; Lee, J.H. Drought risk assessment for future climate projections in the Nakdong River Basin, Korea. Int. J. Climatol. 2020, 40, 4528–4540. [Google Scholar] [CrossRef]
- Matthews, W.J.; Marsh-Matthews, E. Effects of drought on fish across axes of space, time and ecological complexity. Freshw. Biol. 2003, 48, 1232–1253. [Google Scholar] [CrossRef]
- Wilkinson, C.L.; Yeo, D.C.; Tan, H.H.; Hadi Fikri, A.; Ewers, R.M. Resilience of tropical, freshwater fish (Nematabramis everetti) populations to severe drought over a land-use gradient in Borneo. Environ. Res. Lett. 2019, 14, 045008. [Google Scholar] [CrossRef]
- Ching, Y.C.; Lee, Y.H.; Toriman, M.E.; Abdullah, M.; Yatim, B.B. Effect of the big flood events on the water quality of the Muar River, Malaysia. Sustain. Water Resour. Manag. 2015, 1, 97–110. [Google Scholar] [CrossRef]
- Son, M.W. Influences of An Extreme Flood on Habitual Environment of Aquatic Ecosystem of Urban Stream. J. Korean Assoc. Reg. Geogr. 2008, 14, 105–113. [Google Scholar]
- Ministry of Environment (MOE). Aquatic Ecosystem Reference Stream Suitability Assurance and Utilization Research; Korean Literature; Ministry of Environment: Incheon, Republic of Korea, 2016.
- Folke, C. Resilience: The emergence of a perspective for social-ecological systems analyses. Glob. Environ. Chang. 2006, 16, 253–267. [Google Scholar] [CrossRef]
- Holling, C.S. Resilience and stability of ecological systems. Annu. Rev. Ecol. Evol. Syst. 1973, 4, 1–23. [Google Scholar] [CrossRef]
- Timmerman, P. Vulnerability, Resilience, and the Collapse of Society. In Environmental Monograph 1; Institute for Environmental Studies, Toronto University: Toronto, ON, Canada, 1981. [Google Scholar]
- Korea Research Institute for Human Settlements (KRIHS). Research on Regional Resilience Improvement Coping with Flooding Disaster by Climate Change Effect (I) -Development and Application of Resilience Assessment Methods-; Korean Literature; Korea Research Institute for Human Settlements: Seojong, Republic of Korea, 2016.
- Korea Land and Housing Corporation (LH). A Research on Urban Resilience for Urbam Regeneration; Korean Literature; Land and Housing Institute: Jinju, Republic of Korea, 2015.
- Kang, S.J.; Jo, S.H.; Hong, S.Y. A Policy Implication for Community Resilience from Natural Disasters; Gyeonggi Research Institute: Suwon, Republic of Korea, 2013. [Google Scholar]
- Tran, H.T.; Balchanos, M.; Domerçant, J.C.; Mavris, D.N. A framework for the quantitative assessment of performance-based system resilience. Reliab. Eng. Syst. Saf. 2017, 158, 73–84. [Google Scholar] [CrossRef]
- Vasistha, P.; Ganguly, R. Water quality assessment of natural lakes and its importance: An overview. Mater. Today Proc. 2020, 32, 544–552. [Google Scholar] [CrossRef]
- Wang, F.; Wang, Y.; Zhang, K.; Hu, M.; Weng, Q.; Zhang, H. Spatial heterogeneity modeling of water quality based on random forest regression and model interpretation. Environ. Res. 2021, 202, 111660. [Google Scholar] [CrossRef] [PubMed]
- Ministry of Environment (MOE); National Institute of Environmental Research (NIER). Waterwide Aquatic Ecological Monitoring Program (V); Korean Literature; Ministry of Environment and National Institute of Environmental Research: Incheon, Republic of Korea, 2012.
- National Institute of Environment Research (NIER). A Study on Reference Stream Criteria Enhancing the Applicability of River Ecosystem Health Assessment; Korean Literature; National Institute of Environmental Research: Incheon, Republic of Korea, 2015.
- Hashimoto, T.; Stedinger, J.R.; Loucks, D.P. Reliability, resiliency, and vulnerability criteria for water resource system performance evaluation. Water Resour. Res. 1982, 18, 14–20. [Google Scholar] [CrossRef]
- Simonovic, S.P.; Peck, A. Dynamic resilience to climate change caused natural disasters in coastal megacities quantification framework. Int. J. Environ. Clim. Chang. 2013, 3, 378–401. [Google Scholar] [CrossRef] [PubMed]
- Lee, J.H. Stream Engineering; Korean Literature; Goomiseokwan: Seoul, Republic of Korea, 2018. [Google Scholar]
- Choi, Y.; Kim, Y.; Kim, S.; Kim, M. Management of Ponding Depth and Discharge Filtration from Paddy Fields for Controlling Nonpoint Source Pollution. J. Korean Soc. Agric. Eng. 2015, 57, 125–130. [Google Scholar]
- Park, S.M.; Shin, Y.K. The Impact of Monsoon Rainfall on the Water Quality in the Upstream Watershed of Southern Han River. Korean J. Ecol. Environ. 2011, 44, 373–384. [Google Scholar]
- Song, I.-H.; Kang, M.-S.; Hwang, S.-H.; Song, J.-H. Characteristics and EMCs of NPS pollutants runoff from a forest-paddy composite watershed. J. Korean Soc. Agric. Eng. 2012, 54, 9–17. [Google Scholar] [CrossRef]
- Kang, S.; An, K. Spatio-temporal variation analysis of physico-chemical water quality in the Yeongsan-river watershed. J. Ecol. Environ. 2006, 39, 73–84. [Google Scholar]
- Won, C.; Choi, Y.; Seo, J.; Kim, K.; Shin, M.; Choi, J. Determination of EMC and unit loading of rainfall runoff from forestry-crops field. J. Korean Soc. Water Environ. 2009, 25, 615–623. Available online: https://www.koreascience.or.kr/article/JAKO200910103491724.page (accessed on 13 November 2023).
- Lee, M.; Young-shin, L. A study on runoff characteristics of nonpoint pollutant with rainfall intensity—A case of fowls manure. J. Wetl. Res. 2009, 11, 91–97. [Google Scholar]
- Liu, L.; You, X. Water quality assessment and contribution rates of main pollution sources in Baiyangdian Lake, northern China. Environ. Impact Assess. Rev. 2023, 98, 106965. [Google Scholar] [CrossRef]
- Sun, D.; Wang, X.; Yu, M.; Ouyang, Z.; Liu, G. Dynamic evolution and decoupling analysis of agricultural nonpoint source pollution in Taihu Lake Basin during the urbanization process. Environ. Impact Assess. Rev. 2023, 100, 107048. [Google Scholar] [CrossRef]
- Ten Veldhuis, J.A.E.; Skovgard Olsen, A. Hydrological response times in lowland urban catchments characterised by looped drainage systems. In Proceedings of the 9th International Workshop on Precipitation in Urban Areas: Urban Challenges in Rainfall Analysis, UrbanRain 2012, St Moritz, Switzerland, 6–9 December 2012. [Google Scholar]
- Walsh, C.J.; Roy, A.H.; Feminella, J.W.; Cottingham, P.D.; Groffman, P.M.; Morgan, R.P. The urban stream syndrome: Current knowledge and the search for a cure. J. N. Am. Benthol. Soc. 2005, 24, 706–723. [Google Scholar] [CrossRef]
- Miller, J.D.; Kim, H.; Kjeldsen, T.R.; Packman, J.; Grebby, S.; Dearden, R. Assessing the impact of urbanization on storm runoff in a peri-urban catchment using historical change in impervious cover. J. Hydrol. 2014, 515, 59–70. [Google Scholar] [CrossRef]
- McGrane, S.J. Impacts of urbanisation on hydrological and water quality dynamics, and urban water management: A review. Hydrol. Sci. J. 2016, 61, 2295–2311. [Google Scholar] [CrossRef]
- Orta-Ortiz, M.S.; Geneletti, D. What variables matter when designing nature-based solutions for stormwater management? A review of impacts on ecosystem services. Environ. Impact Assess. Rev. 2022, 95, 106802. [Google Scholar] [CrossRef]
- Huang, H.; Cheng, S.; Wen, J.; Lee, J. Effect of growing watershed imperviousness on hydrograph parameters and peak discharge. Hydrol. Process. 2008, 22, 2075–2085. [Google Scholar] [CrossRef]
- Braud, I.; Breil, P.; Thollet, F.; Lagouy, M.; Branger, F.; Jacqueminet, C.; Kermadi, S.; Michel, K. Evidence of the impact of urbanization on the hydrological regime of a medium-sized periurban catchment in France. J. Hydrol. 2013, 485, 5–23. [Google Scholar] [CrossRef]
- Lee, S.-H.; Bae, S.-K. Long-term trend of groundwater recharge according to urbanization. J. Environ. Sci. 2010, 19, 779–785. [Google Scholar] [CrossRef][Green Version]
- Burges, S.J.; Wigmosta, M.S.; Meena, J.M. Hydrological effects of land-use change in a zero-order catchment. J. Hydrol. Eng. 1998, 3, 86–97. [Google Scholar] [CrossRef]
- Hümann, M.; Schüler, G.; Müller, C.; Schneider, R.; Johst, M.; Caspari, T. Identification of runoff processes—The impact of different forest types and soil properties on runoff formation and floods. J. Hydrol. 2011, 409, 637–649. [Google Scholar] [CrossRef]
- Gang, D.H.; Na, J.H.; Park, I.H.; Kim, J.H.; Gwon, O.S.; Lee, S.J. Ecosystem service valuation of forests using sewage reservoir calculation equation. In Proceedings of the Korean Institute of Landscape Architecture Conference, Mokpo, Korea, 12–14 October 2016. [Google Scholar]
- Neary, D.G.; Ice, G.G.; Jackson, C.R. Linkages between forest soils and water quality and quantity. For. Ecol. Manag. 2009, 258, 2269–2281. [Google Scholar] [CrossRef]







| Analysis Results of Reference Streams | Variables | Performance | |||||||||||
|---|---|---|---|---|---|---|---|---|---|---|---|---|---|
| P | P1 | P2 | P3 | P4 | P5 | Constant | R2 | AIC | BIC | ||||
| BOD | LM | Coefficients | b | 0.0003 | −0.0002 | 0.0003 | −0.0001 | 0.0004 | 0.0003 | 0.841 | 0.12 | −67.1 | −47.9 |
| β | 0.19 | −0.09 | 0.16 | −0.01 | 0.17 | 0.19 | - | ||||||
| T-value | 1.52 | −0.7 | 1.2 | −0.04 | 1.21 | 1.39 | 20.39 ** | ||||||
| GAM | F-value | 2.51 | 1.47 | 2.81 | 0.23 | 3.18 ** | 3.5 | 0.94 ** | 0.23 | −78.3 | −47.1 | ||
| EDF | 1.18 | 1 | 1 | 1 | 4.69 | 1 | |||||||
| T-N | LM | Coefficients | b | 0.0007 | 0.00003 | 0.0001 | 0.0001 | 0.0001 | −0.0003 | 0.893 | 0.12 | −67.1 | −47.9 |
| β | 0.34 | 0.02 | 0.07 | 0.35 | 0.06 | −0.21 | - | ||||||
| T-value | 2.82 ** | 0.14 | 0.59 | 0.29 | 0.49 | −1.75 | 24.62 ** | ||||||
| GAM | F-value | 3.05 * | 2.59 * | 0.1 | 0.001 | 0.29 | 1.57 | 0.94 ** | 0.23 | −78.3 | −47.1 | ||
| EDF | 2.45 | 3.47 | 1 | 1 | 1 | 1 | |||||||
| T-P | LM | Coefficients | b | −0.001 | −0.001 | −0.001 | 0.0001 | 0.001 | 0.002 | 1.13 | 0.41 | 67.9 | 87.3 |
| β | −0.27 | −0.09 | −0.11 | 0.03 | 0.23 | 0.32 | - | ||||||
| T-value | −2.79 ** | −0.94 | −1.14 | 0.28 | 2.26 * | 3.27 ** | 12.10 ** | ||||||
| GAM | F-value | 5.72 * | 0.7 | 0.61 | 1.12 | 6.43 * | 13.12 ** | 1.17 ** | 0.44 | 66.6 | 91.1 | ||
| EDF | 1 | 1 | 1 | 2.48 | 1 | 1 | |||||||
| Analysis Results of Impaired Streams | Variables | Performance | |||||||||||
|---|---|---|---|---|---|---|---|---|---|---|---|---|---|
| P | P1 | P2 | P3 | P4 | P5 | Constant | R2 | AIC | BIC | ||||
| BOD | LM | Coefficients | b | 0.0005 | 0.001 | 0.001 | 0.003 | 0.0005 | −0.0001 | 0.841 | 0.53 | 35.4 | 54.5 |
| β | 0.09 | 0.25 | 0.25 | 0.44 | 0.08 | −0.04 | - | ||||||
| T-value | 1.52 | 1.05 | 2.69 ** | 2.67 ** | 4.87 ** | 0.85 | −0.37 | ||||||
| GAM | F-value | 2.51 | 1.16 | 9.65 ** | 8.07 ** | 27.23 ** | 0.84 | 0.21 | 0.56 | 34.5 | 60.5 | ||
| EDF | 1.18 | 1.81 | 1 | 1 | 1 | 2.05 | 1 | ||||||
| T-N | LM | Coefficients | b | 0.001 | 0.001 | 0.0005 | 0.0003 | 0.0001 | −0.0002 | 0.893 | 0.74 | −10.49 | −85.4 |
| β | 0.44 | 0.39 | 0.2 | 0.11 | 0.05 | −0.1 | - | ||||||
| T-value | 2.82 ** | 6.30 ** | 5.41 ** | 2.94 ** | 1.66 | 0.67 | −1.48 | ||||||
| GAM | F-value | 3.05 * | 37.15 ** | 28.40 ** | 5.01 ** | 2.13 | 0.42 | 1.23 | 0.73 | −104.3 | −80.9 | ||
| EDF | 2.45 | 1 | 1 | 1.59 | 1 | 1 | 1.45 | ||||||
| T-P | LM | Coefficients | b | −0.0004 | 0.0002 | 0.001 | 0.001 | 0.001 | 0.0004 | 1.13 | 0.04 | 113.4 | 132.9 |
| β | −0.08 | 0.04 | 0.17 | 0.12 | 0.1 | 0.07 | - | ||||||
| T-value | −2.79 ** | −0.63 | 0.33 | 1.32 | 0.97 | 0.82 | 0.57 | ||||||
| GAM | F-value | 5.72 * | 0.43 | 0.2 | 1.94 | 0.89 | 0.66 | 0.17 | 0.05 | 113.7 | 135.4 | ||
| EDF | 1 | 1.55 | 1 | 1 | 1 | 1 | 1 | ||||||
| WQSP Classification | Fluctuation Range | Time Lag Results | ||
|---|---|---|---|---|
| LM | GAM | |||
| BOD | Reference | 0.473 | - | 4 months |
| Impaired | 1.046 | 1 month | 1 month | |
| T-N | Reference | 0.391 | No time lag | No time lag |
| Impaired | 0.676 | No time lag | No time lag | |
| T-P | Reference | 1.223 | 4 months | 4 months |
| Impaired | 0.842 | - | - | |
| WQSP Classification | Recovery Period | Rainfall Period Showing a Significant Relationship in Succession | ||
|---|---|---|---|---|
| LM | GAM | |||
| BOD | Reference | 11.14 | - | 1 month |
| Impaired | 13.5 | 3 months | 3 months | |
| T-N | Reference | 11.43 | 1 month | 2 months |
| Impaired | 13.17 | 3 months | 3 months | |
| T-P | Reference | 11.0 | 2 months | 2 months |
| Impaired | 11.43 | - | - | |
| Classification | Average | Standard Deviation | t-Value | ||
|---|---|---|---|---|---|
| Reference | Impaired | Reference | Impaired | ||
| Urban area | 8.14 | 49.37 | 8.22 | 22.12 | 7.306 ** |
| Agricultural area | 19.02 | 20.10 | 10.95 | 20.78 | 0.195 |
| Forest area | 55.30 | 11.85 | 19.08 | 11.92 | −8.219 ** |
| Grassy area | 3.25 | 6.93 | 3.43 | 3.53 | 3.278 ** |
| Wetland | 3.65 | 1.16 | 4.86 | 1.70 | −2.013 |
| Bare soil | 4.67 | 3.43 | 3.79 | 3.16 | −1.091 |
| Water | 5.97 | 7.16 | 4.83 | 9.50 | 0.510 |
Disclaimer/Publisher’s Note: The statements, opinions and data contained in all publications are solely those of the individual author(s) and contributor(s) and not of MDPI and/or the editor(s). MDPI and/or the editor(s) disclaim responsibility for any injury to people or property resulting from any ideas, methods, instructions or products referred to in the content. |
© 2023 by the authors. Licensee MDPI, Basel, Switzerland. This article is an open access article distributed under the terms and conditions of the Creative Commons Attribution (CC BY) license (https://creativecommons.org/licenses/by/4.0/).
Share and Cite
Park, Y.; Lee, J.; Park, S.-R.; Lee, S.-W. Assessing the Resilience of Stream Ecosystems to Rainfall Impact. Land 2023, 12, 2072. https://doi.org/10.3390/land12112072
Park Y, Lee J, Park S-R, Lee S-W. Assessing the Resilience of Stream Ecosystems to Rainfall Impact. Land. 2023; 12(11):2072. https://doi.org/10.3390/land12112072
Chicago/Turabian StylePark, Yujin, Junga Lee, Se-Rin Park, and Sang-Woo Lee. 2023. "Assessing the Resilience of Stream Ecosystems to Rainfall Impact" Land 12, no. 11: 2072. https://doi.org/10.3390/land12112072
APA StylePark, Y., Lee, J., Park, S.-R., & Lee, S.-W. (2023). Assessing the Resilience of Stream Ecosystems to Rainfall Impact. Land, 12(11), 2072. https://doi.org/10.3390/land12112072

