The Mechanism of Land Registration Program on Land Transfer in Rural China: Considering the Effects of Livelihood Security and Agricultural Management Incentives
Abstract
:1. Introduction
2. Institutional Background and Theoretical Analysis
2.1. Institutional Background
- For the first time, the Land Registration Rules in 1989 started the general land registration, and clearly stipulated that the acquisition, change, or transfer of land is invalid without registration. The Land Management Law in 1998 extended a second round of land contracting and management rights to 30 years and enforced the distribution of land registration and certification by law for the first time;
- The second time was the Ministry of Land and Resources in 2001. In addition, the Rural Land Contract Law in 2002 clearly required rural collective economic organizations or villagers’ committees to issue a formal land contract and a certificate of land contracting and management rights to farmers. The Property Law in 2007 exactly defined land contracting and management rights as usufructuary rights. The land certificate was the basis for the mortgage of management rights;
- For the third time, the Decision of the Central Committee of the Communist Party of China on Several Major Issues Concerning Promoting Rural Reform and Development in 2008 clearly gave farmers more guaranteed land contracting and management rights. The existing land contracting relationship should be kept stable and unchanged for a long time, and the contracted land should be confirmed, registered, and certified, which fully reflects the stability and continuity of contracting rights. This round of the land registration program is gradually promoted, from the initial pilot work within the villages, townships, counties, and provinces, and then extended to the whole country. Specifically, from 2009 to 2010, it was determined that eight villages in eight provinces, including Sichuan Province, took the lead in registering land contracting and management rights and issuing certificates to households; from 2011 to 2013, pilot projects were carried out in hundreds of counties. Among them, in 2011, the pilot program for land registration was expanded to 50 counties, covering 710 townships and 12,150 villages in 28 provinces (autonomous regions and municipalities). In 2013, 105 counties (cities, districts) were further identified as pilot areas for the registration of land contracting and management rights nationwide; in 2014, the central government implemented provincial pilot projects in Shandong, Anhui, and Sichuan provinces; in 2015, the pilot projects continued to be expanded and nine provinces (autonomous regions), including Jiangsu, Jiangxi, Hubei, Hunan, Gansu, Ningxia, Jilin, Guizhou, and Henan, were selected to carry out pilot projects in the whole province. As of 2019, the registration and certification of rural contracted land had entered the final stage.
2.2. Theoretical Analysis
2.2.1. Land Registration Program: Overcome the Cooperative Dilemma between Land Supply and Demand Parties
2.2.2. Land Registration Program, Behavioral Disciplines, and Land Transfer
- 1.
- Land Registration Program, Livelihood Security, and the Behavior of Land Supply Party
- 2.
- Land Registration Program, Agricultural Management Incentives, and the Behavior of Land Demand Party
3. Data Source, Variable Definition, and Empirical Approach
3.1. Data Source
3.2. Variable Definition
3.2.1. Explained Variables
- 1.
- According to the direction, this article classifies land transfer behavior into two categories: land transfer-out and transfer-in. In the original questionnaire, land transfer-out is measured by the question “C5005b: Have you transferred the land’s right of management to another person or entity?”. Land transfer-in is measured by the question “C5011a Does your household have inward transferred land?”. Furthermore, land transfer is measured by the combination of C5005b and C5011a. Therefore, the explained variables are binary. More specifically, 1 if a household has transferred land, transferred land out, or transferred land in, or 0 otherwise.
3.2.2. Explanatory Variable
- 2.
- The implementation of the land registration program has become a key stage for China to accelerate from traditional agriculture to modern agriculture. In practice, there are great differences in the progress of land contracting and management rights registration and certification among households in rural villages. Based on this, the explanatory variable-land registration in this article is set by the standard that the farmer households actually obtain the land certificate and measured by the question “C5004c Did your household have the land management rights certificate for?” in the questionnaire. Therefore, the explanatory variable is binary. Specifically, 1 if a household has officially registered the land contracting and management rights, obtaining certificates for the confirmation of the land rights, or 0 otherwise.
3.2.3. Mediating Variables
- 3.
- Mediating variables are security, job-number, agri-time, crop-yield, and crop-value. Referring to the study of Knutsson et al. [67], two indexes measure livelihood security: security and job-number. More specifically, in the original questionnaire, security is measured by the question “A4027b Do you feel secure living in today’s era?” Specifically, 1 if a household feels secure, or 0 otherwise; job-number is measured by the question “A3002 How many jobs do you presently have?”, and the answer ranges from 1 to 5. As for agricultural management incentives, this article uses agri-time, crop-yield, and crop-value as the evaluation indexes to measure. More specifically, agri-time is measured by the question “B1003 Last year, for how many months were your family members doing agricultural business? (Unit: month)”, and the answer ranges from 1–12; crop-yield is measured by the question “B1004f Last year, the total crop output of your household was (Unit: kilograms)”, and the answer ranges from 0–1720000; crop value is measured by the question “B1004h: Last year, the total crop output of your household was (Unit:yuan)”, and the answer ranges from 0–8,000,000.
3.2.4. Instrumental Variables
- 4.
- Based on the study of Angrist et al. [68], concern and investment-choice are selected as the IVs for analysis. More specifically, concern is measured by the question “A4002a What is your degree of concern for economic and financial information?”, and the answer is recorded from 1 (not at all) to 5 (extremely concerned); investment choice is measured by the question “A4003 Which of the choices below do you want to invest in most if you have adequate money?”, and the answer is recorded from 1 (unwilling to carry any risk) to 5 (project with high-risk and high-return).
3.2.5. Control Variables
- 5.
- To eliminate the interference of other factors, based on existing studies by Di Falco et al. [12], Li et al. [13], Besley [33], and Wang et al. [34], control variables selected in this article include gender, health, agri-member, impoverishment, cadre, income, land-acreage, quality, and age. The definitions and coding of all variables are presented in Table 2.
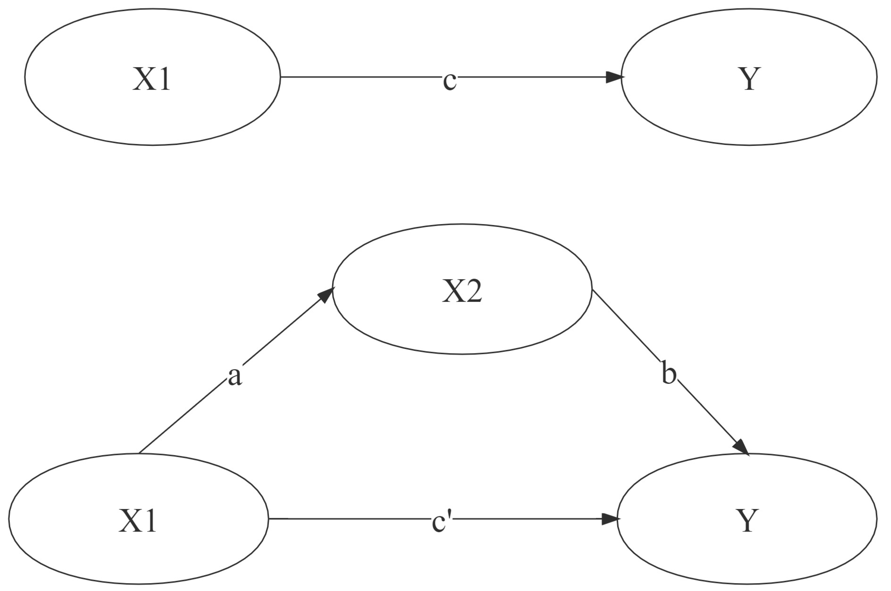
3.3. Mediation Methods
- Referring to the study of Breen et al. [72], the method for estimating mediating effects in a Logit or Probit model always performs better than other methods by identifying total, direct, and indirect effects under the sequential ignorability assumption;
- In order to clearly communicate information and correctly interpret the results from models with binary {0,1} explained variables in a meaningful way, researchers often report marginal effects or odds ratios. Among them, odds ratios are unique to Logit models. Whether to use odds ratios depends on the model specification. If the explanatory variables of interest are discrete, odds ratios are generally preferable to average marginal effects [73].
- Adequacy of the model. Goodness of fit is an important basis for evaluating the rationality of the model. The goodness of fit of a logit model can be represented by the percentage of correct predictions [74]. The percentages of correct predictions of households’ land transfer, land transfer-out and transfer-in models as shown in Equations (3)–(5) are as high as 73.76%, 93.76%, and 79.46%, respectively. In general, the model set in this article is relatively reasonable;
- Multi-collinearity. Multi-collinearity problem creates large variance associated with the parameter estimates [75]. This article tests the multi-collinearity of all explanatory variables and shows that the mean VIF is 1.05. This indicates that there is no multi-collinearity problem;
- Heteroskedasticity and Spatial Autocorrelation. Even though the country pilots the implementation of land registration step by step, from villages, towns, districts, counties, and provinces to the whole country, it always takes the village as a basic unit, and the whole village is implemented. This means that there might be problems with heteroscedasticity and spatial autocorrelation. On the one hand, the model has a heteroscedasticity problem, which is further investigated by the BP test (Chi(2) = 95.09; p < 0.01) [76] and the White-test (Chi(2) = 400.49; p < 0.01) [77]; on the other hand, even though we use cross-sectional data to analyze (in the case of cross-sectional data, time-series autocorrelation could be avoided), spillover effects-spatial autocorrelation may interfere with the results. We examine the spatial autocorrelation using Moran’s I index [78]. The Moran’s I values range from −1 to + 1. The higher the absolute values, the stronger the spatial autocorrelation. The statistics tools in GeoDa software could offer Moran’s I value along with a p-value. More specifically, based on Queen Contiguity, spatial weight matrix is generated. In addition, with random spatial distribution (199 permutations), the results show that Moran’s I is 0.341 and the p-value is 0.005 (<0.01). This is an indication of the strong spatial autocorrelation. Therefore, clustering robustness standard error is used to alleviate heteroscedastic and spatial autocorrelation interference. It is worth noting that, regardless of whether there is autocorrelation or not, in order to solve heterogeneity, the regression model in this article uses clustering robustness standard error, which is also the method to eliminate the interference of spatial autocorrelation;
- Normality. On the one hand, both explained variables and the core explanatory variable are binary, and the method for estimating mediating effects is based on Logit model, which cannot satisfy the normality; on the other hand, the sample size of this study has reached 17,310. In the case of large samples, no normality test is required.
- Linearity. Based on Linktest, the regression coefficient of _hatsq is statistically insignificant (Coef. = 0.769; p = 0.411 (>0.1)). It means that the model specification is reasonable. Moreover, we replace the Logit model and test it with the Probit model and find that the results are still robust (Table A1);
- Endogeneity. To adequately control for the potential endogeneity issues associated with land registration variable, instrumental variables are incorporated into empirical analysis. The Instrumental Variables (IVs) of this article are defined as concern and investment-choice. 2SLS, LIML, IV-probit and IV-probit (two-stage) [79,80] for endogeneity testing are employed, and the specific model is as follows:
4. Results
4.1. Descriptive Results
4.2. Empirical Results
4.2.1. The Impacts of the Land Registration Program on Land Transfer
4.2.2. Mediating Effects of Livelihood Security and Agricultural Management Incentives
- 1.
- Suppression Effects: Livelihood Security
- 2.
- Mediation Effects: Agricultural Management Incentives
4.2.3. Robustness Test
4.2.4. Endogenous Variable Processing
5. Discussion
- The article elaborates on the mechanism of the land registration program on land transfer, which is complementary to the existing literature in terms of research perspective and research content;
- This article constructs a theoretical framework of “the land registration program-behavioral disciplines-land transfer out/in” and uses the mediation models to reveal and verify the logical relationship between the land registration program and land transfer out/in, which provides a novel perspective for a deep understanding of the intricate driving factors behind the decrease in the land transfer growth rate in rural China;
- This article is instructive to re-examine the real needs of the peasant and provides policy implications to improve the rural social security system and the supporting system for land registration programs.
6. Conclusions and Implications
- Suggesting the rural social security system should be optimized. Farmers’ behavior choices are directly influenced by both the difficult situation of living without land and the situation of worrying after living without land. This reflects farmers’ self-protection under the absence or imperfection of the rural social security system. Therefore, the government should actively respond to the changes in the rural social structure and rural residents’ needs for a better life, promote the development of rural social security undertakings to a high-quality stage; and fully enhance farmers’ survival security so that they can migrate to the secondary and tertiary industries and transfer their land out [34,36];
- Suggesting the government should actively carry out the linkage reform of the supporting systems related to land registration programs, such as establishing a standardized land transaction market, promoting the land acquisition and compensation system, improving agriculture subsidy programs, promoting the efficient allocation of productive factors and resources in a multi-pronged manner, and laying a solid foundation for the sustainable and stable growth of farmers’ income.
Author Contributions
Funding
Institutional Review Board Statement
Informed Consent Statement
Data Availability Statement
Acknowledgments
Conflicts of Interest
Appendix A
| Variables | Model (1) | Model (2) | Model (3) | Model (4) | Model (5) | Model (6) |
|---|---|---|---|---|---|---|
| Probit | Logit | Probit | Logit | Probit | Logit | |
| Land Transfer | Land Transfer-In | Land Transfer-Out | ||||
| Land registration | 0.132 *** | 0.221 *** | 0.097 ** | 0.167 ** | 0.149 ** | 0.316 ** |
| (0.047) | (0.079) | (0.048) | (0.085) | (0.060) | (0.126) | |
| Gender | −0.017 | −0.030 | −0.029 ** | −0.055 ** | 0.019 | 0.039 |
| (0.013) | (0.022) | (0.014) | (0.024) | (0.019) | (0.039) | |
| Health | 0.014 | 0.023 | 0.000 | 0.002 | 0.043 * | 0.092 * |
| (0.016) | (0.027) | (0.017) | (0.030) | (0.025) | (0.052) | |
| Agri member | 0.002 | 0.005 | 0.047 ** | 0.081 ** | −0.101 ** | −0.228 ** |
| (0.024) | (0.040) | (0.024) | (0.040) | (0.043) | (0.099) | |
| Impoverishment | −0.025 | −0.038 | −0.004 | −0.003 | −0.086 | −0.177 |
| (0.054) | (0.091) | (0.058) | (0.102) | (0.080) | (0.170) | |
| Cadre | −0.033 | −0.057 | −0.029 | −0.051 | −0.031 | −0.038 |
| (0.074) | (0.124) | (0.079) | (0.138) | (0.106) | (0.227) | |
| Income | 0.024 *** | 0.042 *** | 0.034 *** | 0.062 *** | −0.012 * | −0.024 * |
| (0.005) | (0.009) | (0.006) | (0.011) | (0.007) | (0.014) | |
| Land acreage | 0.002 * | 0.003 | 0.003 ** | 0.004 * | −0.001 | −0.002 |
| (0.001) | (0.002) | (0.001) | (0.002) | (0.002) | (0.006) | |
| Quality | 0.044 ** | 0.075 ** | 0.022 | 0.039 | 0.082 *** | 0.168 *** |
| (0.020) | (0.034) | (0.022) | (0.038) | (0.029) | (0.060) | |
| Age | −0.001 | −0.002 | −0.003 *** | −0.005 *** | 0.003 *** | 0.007 *** |
| (0.001) | (0.001) | (0.001) | (0.002) | (0.001) | (0.002) | |
| Cons. | −1.032 *** | −1.712 *** | −1.185 *** | −2.009 *** | −1.881 *** | −3.409 *** |
| (0.119) | (0.203) | (0.135) | (0.241) | (0.169) | (0.357) | |
| Wald chi2 (10) | 53.65 | 53.58 | 78.82 | 77.29 | 36.19 | 36.29 |
| Pseudo R2 | 0.008 | 0.008 | 0.013 | 0.013 | 0.015 | 0.015 |
| Obs. | 17,310 | 17,310 | 17,303 | 17,303 | 17,297 | 17,297 |
References
- Deng, X.; Xu, D.; Zeng, M.; Qi, Y. Does Early-Life Famine Experience Impact Rural Land Transfer? Evidence from China. Land Use Policy 2019, 81, 58–67. [Google Scholar] [CrossRef]
- Du, J.; Zeng, M.; Xie, Z.; Wang, S. Power of Agricultural Credit in Farmland Abandonment: Evidence from Rural China. Land 2019, 8, 184. [Google Scholar] [CrossRef]
- Zheng, H.; Zhang, Z. Analyzing Characteristics and Implications of the Mortgage Default of Agricultural Land Management Rights in Recent China Based on 724 Court Decisions. Land 2021, 10, 729. [Google Scholar] [CrossRef]
- Xu, D.; Liu, E.; Wang, X.; Tang, H.; Liu, S. Rural Households’ Livelihood Capital, Risk Perception, and Willingness to Purchase Earthquake Disaster Insurance: Evidence from Southwestern China. Int. J. Environ. Res. Public Health 2018, 15, 1319. [Google Scholar] [CrossRef]
- Xu, D.; Deng, X.; Guo, S.; Liu, S. Sensitivity of Livelihood Strategy to Livelihood Capital: An Empirical Investigation Using Nationally Representative Survey Data from Rural China. Soc. Indic. Res. 2019, 144, 113–131. [Google Scholar] [CrossRef]
- Heltberg, R. Property Rights and Natural Resource Management in Developing Countries. J. Econ. Surv. 2002, 16, 189–214. [Google Scholar] [CrossRef]
- Jin, S.; Deininger, K. Land Rental Markets in the Process of Rural Structural Transformation: Productivity and Equity Impacts from China. J. Comp. Econ. 2009, 37, 629–646. [Google Scholar] [CrossRef]
- Min, S.; Waibel, H.; Huang, J. Smallholder Participation in the Land Rental Market in a Mountainous Region of Southern China: Impact of Population Aging, Land Tenure Security and Ethnicity. Land Use Policy 2017, 68, 625–637. [Google Scholar] [CrossRef]
- Macours, K.; de Janvry, A.; Sadoulet, E. Insecurity of Property Rights and Social Matching in the Tenancy Market. Eur. Econ. Rev. 2010, 54, 880–899. [Google Scholar] [CrossRef]
- Yami, M.; Snyder, K.A. After All, Land Belongs to the State: Examining the Benefits of Land Registration for Smallholders in Ethiopia. Land Degrad. Dev. 2016, 27, 465–478. [Google Scholar] [CrossRef]
- Holden, S.T.; Ghebru, H.; Deininger, K. Tenure Insecurity, Gender, Low-Cost Land Certification and Land Rental Market Participation in Ethiopia. J. Dev. Stud. 2011, 47, 31–47. [Google Scholar] [CrossRef]
- Di Falco, S.; Laurent-Lucchetti, J.; Veronesi, M.; Kohlin, G. Property Rights, Land Disputes and Water Scarcity: Empirical Evidence from Ethiopia. Am. J. Agric. Econ. 2020, 102, 54–71. [Google Scholar] [CrossRef]
- Li, H.; Zhong, Z. Impact of Confirmation of Land Right on Farmers’ Willingness to Transfer Land: The Moderating Effect Based on Institutional Credibility of Land Confirmation System. Resour. Sci. 2020, 42, 1657–1667. [Google Scholar] [CrossRef]
- Place, F.; Migot-Adholla, S.E. The Economic Effects of Land Registration on Smallholder Farms in Kenya: Evidence from Nyeri and Kakamega Districts. Land Econ. 1998, 74, 360–373. [Google Scholar] [CrossRef]
- Deininger, K.; Feder, G. Land Registration, Governance, and Development: Evidence and Implications for Policy. World Bank Res. Observ. 2009, 24, 233–266. [Google Scholar] [CrossRef]
- Hombrados, J.G.; Devisscher, M.; Martínez, M.H. The Impact of Land Titling on Agricultural Production and Agricultural Investments in Tanzania: A Theory-Based Approach. J. Dev. Eff. 2015, 7, 530–544. [Google Scholar] [CrossRef]
- Besley, T.J.; Burchardi, K.B.; Ghatak, M. Incentives and the De Soto Effect. Q. J. Econ. 2012, 127, 237–282. [Google Scholar] [CrossRef]
- Gould, K.A. Land Regularization on Agricultural Frontiers: The Case of Northwestern Petén, Guatemala. Land Use Policy 2006, 23, 395–407. [Google Scholar] [CrossRef]
- Saint-Macary, C.; Keil, A.; Zeller, M.; Heidhues, F.; Dung, P.T.M. Land Titling Policy and Soil Conservation in the Northern Uplands of Vietnam. Land Use Policy 2010, 27, 617–627. [Google Scholar] [CrossRef]
- Toulmin, C. Securing Land and Property Rights in Sub-Saharan Africa: The Role of Local Institutions. Land Use Policy 2009, 26, 10–19. [Google Scholar] [CrossRef]
- Zhang, L.; Cao, Y.; Bai, Y. The Impact of the Land Certificated Program on the Farmland Rental Market in Rural China. J. Rural Stud. 2022, 93, 165–175. [Google Scholar] [CrossRef]
- Chernina, E.; Castañeda Dower, P.; Markevich, A. Property Rights, Land Liquidity, and Internal Migration. J. Dev. Econ. 2014, 110, 191–215. [Google Scholar] [CrossRef]
- de Janvry, A.; Emerick, K.; Gonzalez-Navarro, M.; Sadoulet, E. Delinking Land Rights from Land Use: Certification and Migration in Mexico. Am. Econ. Rev. 2015, 105, 3125–3149. [Google Scholar] [CrossRef]
- Kemper, N.; Ha, L.V.; Klump, R. Property Rights and Consumption Volatility: Evidence from a Land Reform in Vietnam. World Dev. 2015, 71, 107–130. [Google Scholar] [CrossRef]
- Deininger, K.; Ali, D.A.; Alemu, T. Impacts of Land Certification on Tenure Security, Investment, and Land Market Participation: Evidence from Ethiopia. Land Econ. 2011, 87, 312–334. [Google Scholar] [CrossRef]
- Yang, H.; Huang, K.; Deng, X.; Xu, D. Livelihood Capital and Land Transfer of Different Types of Farmers: Evidence from Panel Data in Sichuan Province, China. Land 2021, 10, 532. [Google Scholar] [CrossRef]
- Brandt, L.; Huang, J.; Li, G.; Rozelle, S. Land Rights in Rural China: Facts, Fictions and Issues. China J. 2002, 47, 67–97. [Google Scholar] [CrossRef]
- Deininger, K.; Jin, S. Securing Property Rights in Transition: Lessons from Implementation of China’s Rural Land Contracting Law. J. Econ. Behav. Organ. 2009, 70, 22–38. [Google Scholar] [CrossRef]
- Wang, H.; Riedinger, J.; Jin, S. Land Documents, Tenure Security and Land Rental Development: Panel Evidence from China. China Econ. Rev. 2015, 36, 220–235. [Google Scholar] [CrossRef]
- Abdulai, A.; Owusu, V.; Goetz, R. Land Tenure Differences and Investment in Land Improvement Measures: Theoretical and Empirical Analyses. J. Dev. Econ. 2011, 96, 66–78. [Google Scholar] [CrossRef]
- Galiani, S.; Schargrodsky, E. Land Property Rights and Resource Allocation. J. Law Econ. 2011, 54, S329–S345. [Google Scholar] [CrossRef]
- Newman, C.; Tarp, F.; Broeck, K.V.D. Property Rights and Productivity: The Case of Joint Land Titling in Vietnam. Land Econ. 2015, 91, 91–105. [Google Scholar] [CrossRef]
- Besley, T. Property Rights and Investment Incentives: Theory and Evidence from Ghana. J. Political Econ. 1995, 103, 903–937. [Google Scholar] [CrossRef]
- Wang, Y.; Li, X.; Li, W.; Tan, M. Land Titling Program and Farmland Rental Market Participation in China: Evidence from Pilot Provinces. Land Use Policy 2018, 74, 281–290. [Google Scholar] [CrossRef]
- Giles, J.; Mu, R. Village Political Economy, Land Tenure Insecurity, and the Rural to Urban Migration Decision: Evidence from China. Am. J. Agric. Econ. 2018, 100, 521–544. [Google Scholar] [CrossRef]
- Melesse, M.B.; Bulte, E. Does Land Registration and Certification Boost Farm Productivity? Evidence from Ethiopia. Agric. Econ. 2015, 46, 757–768. [Google Scholar] [CrossRef]
- Wang, J.; Xu, Y.; Zou, L.; Wang, Y. Does Culture Affect Farmer Willingness to Transfer Rural Land? Evidence from Southern Fujian, China. Land 2021, 10, 594. [Google Scholar] [CrossRef]
- Stark, O.; Bloom, D.E. The New Economics of Labor Migration. Am. Econ. Rev. 1985, 75, 173–178. [Google Scholar]
- Adams, J. Peasant Rationality: Individuals, Groups, Cultures. World Dev. 1986, 14, 273–282. [Google Scholar] [CrossRef]
- Krutilla, J.V. Conservation Reconsidered. Am. Econ. Rev. 1967, 57, 777–786. Available online: http://www.jstor.org/stable/1815368 (accessed on 11 May 2022).
- Bishop, R.C. Option Value: An Exposition and Extension. Land Econ. 1982, 58, 1–15. [Google Scholar] [CrossRef]
- Xie, H.L.; Lu, H. Impact of Land Fragmentation and Non-Agricultural Labor Supply on Circulation of Agricultural Land Management Rights. Land Use Policy 2017, 68, 355–364. [Google Scholar] [CrossRef]
- Zhang, B.; Druijven, P.; Strijker, D. Hui Family Migration in Northwest China: Patterns, Experiences and Social Capital. Ethn. Racial Stud. 2019, 42, 2008–2026. [Google Scholar] [CrossRef]
- Xie, Y.; Jiang, Q.B. Land Arrangements for Rural-urban Migrant Workers in China: Findings from Jiangsu Province. Land Use Policy 2016, 50, 262–267. [Google Scholar] [CrossRef]
- Mullan, K.; Grosjean, P.; Kontoleon, A. Land Tenure Arrangements and Rural-Urban Migration in China. World Dev. 2011, 39, 123–133. [Google Scholar] [CrossRef]
- Liu, G.S.; Wang, H.M.; Cheng, Y.X.; Zheng, B.; Lu, Z.L. The Impact of Rural Out-migration on Arable Land Use Intensity: Evidence from Mountain Areas in Guangdong, China. Land Use Policy 2016, 59, 569–579. [Google Scholar] [CrossRef]
- Carter, M.R.; Yao, Y. Local Versus Global Separability in Agricultural Household Models: The Factor Price Equalization Effect of Land Transfer Rights. Am. J. Agric. Econ. 2002, 84, 702–715. [Google Scholar] [CrossRef]
- Ma, X.L.; Heerink, N.; Feng, S.Y.; Shi, X.P. Farmland Tenure in China: Comparing Legal, Actual and Perceived Security. Land Use Policy 2015, 42, 293–306. [Google Scholar] [CrossRef]
- Yao, Y. The Development of The Land Lease Market in Rural China. Land Econ. 2000, 76, 252–266. [Google Scholar] [CrossRef]
- Kawasaki, K. The Costs and Benefits of Land Fragmentation of Rice Farms in Japan. Aust. J. Agric. Resour. Econ. 2010, 54, 509–526. [Google Scholar] [CrossRef]
- Cai, M. Land for Welfare in China. Land Use Policy 2016, 55, 1–12. [Google Scholar] [CrossRef]
- Ma, X.L.; Heerink, N.; Van Ierland, E.; Shi, X.P. Land Tenure Insecurity and Rural-Urban Migration in Rural China. Pap. Reg. Sci. 2016, 95, 383–406. [Google Scholar] [CrossRef]
- Scott, J.C. The Moral Economy of the Peasant: Rebellion and Subsistence in Southeast Asia; Yale University Press: New Haven, CT, USA, 1976; pp. 13–34. ISBN 978-0-300-02190-5. [Google Scholar]
- Xu, Y.T.; Huang, X.J.; Bao, H.X.H.; Ju, X.; Zhong, T.Y.; Chen, Z.G.; Zhou, Y. Rural Land Rights Reform and Agro-environmental Sustainability: Empirical Evidence from China. Land Use Policy 2018, 74, 73–87. [Google Scholar] [CrossRef]
- Qin, M.; Lin, W.S.; Li, J.; Yu, Z.; Wachenheim, C. Impact of Land Registration and Certification on Land Rental by Chinese Farmers. Land Use Policy 2020, 99, 104875. [Google Scholar] [CrossRef]
- Brasselle, A.S.; Gaspart, F.; Platteau, J.P. Land Tenure Security and Investment Incentives: Puzzling Evidence from Burkina Faso. J. Dev. Econ. 2002, 67, 373–418. [Google Scholar] [CrossRef]
- Wen, G.J. The Land Tenure System and its Saving and Investment Mechanism: The Case of Modern China. Asian Econ. J. 1995, 9, 233–260. [Google Scholar] [CrossRef]
- Alston, L.J.; Libecap, G.D.; Schneider, R. The Determinants and Impact of Property Rights: Land Titles on the Brazilian Frontier. J. Law Econ. Organ. 1996, 12, 25–61. [Google Scholar] [CrossRef]
- Feder, G.; Nishio, A. The Benefits of Land Registration and Titling: Economic and Social Perspectives. Land Use Policy 1998, 15, 25–43. [Google Scholar] [CrossRef]
- Jacoby, H.G.; Li, G.; Rozelle, S. Hazards of Expropriation: Tenure Insecurity and Investment in Rural China. Am. Econ. Rev. 2002, 92, 1420–1447. [Google Scholar] [CrossRef]
- Lovo, S. Tenure Insecurity and Investment in Soil Conservation. Evidence from Malawi. World Dev. 2016, 78, 219–229. [Google Scholar] [CrossRef]
- Goldstein, M.; Houngbedji, K.; Kondylis, F.; O’Sullivan, M.; Selod, H. Formalization without Certification? Experimental Evidence on Property Rights and Investment. J. Dev. Econ. 2018, 132, 57–74. [Google Scholar] [CrossRef]
- Grimm, M.; Klasen, S. Migration Pressure, Tenure Security, and Agricultural Intensification: Evidence from Indonesia. Land Econ. 2015, 91, 411–434. [Google Scholar] [CrossRef]
- Popkin, S. The Rational Peasant. Theory Soc. 1980, 9, 411–471. [Google Scholar] [CrossRef]
- Popkin, S. The Rational Peasant: The Political Economy of Rural Society in Vietnam; University of California Press: Berkeley, CA, USA, 1979; pp. 5–32. ISBN 0-520-03954-8. [Google Scholar]
- Gan, L.; Yin, Z.; Tan, J. Report on the Development of Household Finance in Rural China (2014); Springer: Singapore, 2016; ISBN 978-981-10-0408-7. [Google Scholar]
- Knutsson, P.; Ostwald, M. A Process-Oriented Sustainable Livelihoods Approach-A Tool for Increased Understanding of Vulnerability, Adaptation and Resilience. Mitig. Adapt. Strateg. Glob. Chang. 2006. [Google Scholar] [CrossRef]
- Angrist, J.D.; Krueger, A.B. Instrumental Variables and the Search for Identification: From Supply and Demand to Natural Experiments. J. Econ. Perspect. 2001, 15, 69–85. [Google Scholar] [CrossRef]
- Cheung, G.W.; Lau, R.S. Testing Mediation and Suppression Effects of Latent Variables: Bootstrapping with Structural Equation Models. Organ. Res. Methods 2008, 11, 296–325. [Google Scholar] [CrossRef]
- Conger, A.J. A Revised Definition for Suppressor Variables: A Guide to Their Identification and Interpretation. Educ. Psychol. Meas. 1974, 34, 35–46. [Google Scholar] [CrossRef]
- Zhou, X.S.; Ma, W.L.; Renwick, A.; Li, G.C. Off-farm Work Decisions of Farm Couples and Land Transfer Choices in Rural China. Appl. Econ. 2020, 52, 6229–6247. [Google Scholar] [CrossRef]
- Breen, R.; Karlson, K.B.; Holm, A. Total, Direct, and Indirect Effects in Logit and Probit Models. Sociol. Methods. Res. 2013, 42, 164–191. [Google Scholar] [CrossRef]
- Norton, E.C.; Dowd, B.E. Log Odds and the Interpretation of Logit Models. Health Serv. Res. 2018, 53, 859–878. [Google Scholar] [CrossRef]
- Kanninen, B.J.; Khawaja, M.S. Measuring Goodness-of-fit for the Double-bounded Logit Model. Am. J. Agric. Econ. 1995, 77, 885–890. [Google Scholar] [CrossRef]
- Greene, W.H. Econometric Analysis, 6th ed.; Prentice Hall: Upper Saddle River, NJ, USA, 2008; ISBN 978-0-13-513740-6. [Google Scholar]
- Breusch, T.S.; Pagan, A.R. A Simple Test for Heteroscedasticity and Random Coefficient Variation. Econometrica 1979, 47, 1287–1294. [Google Scholar] [CrossRef]
- White, H. A Heteroskedasticity-Consistent Covariance Matrix Estimator and a Direct Test for Heteroskedasticity. Econometrica 1980, 48, 817–838. [Google Scholar] [CrossRef]
- Moran, P.A.P. Notes on Continuous Stochastic Phenomena. Biometrika 1950, 37, 17–23. [Google Scholar] [CrossRef]
- Newey, W.K. Efficient Estimation of Limited Dependent Variable Models with Endogenous Explanatory Variables. J. Econom. 1987, 36, 231–250. [Google Scholar] [CrossRef]
- Liu, R.Q.; Yu, C.; Jiang, J.; Huang, Z.B.; Jiang, Y.M. Farmer Differentiation, Generational Differences and Farmers’ Behaviors to Withdraw from Rural Homesteads: Evidence from Chengdu, China. Habitat Int. 2020, 103, 102231. [Google Scholar] [CrossRef]
- Stock, J.H.; Yogo, M. Testing for Weak Instruments in Linear IV Regression. In Identification and Inference for Econometric Models: Essays in Honor of Thomas Rothenberg; Andrews, D.W.K., Stock, J.H., Eds.; Cambridge University Press: Cambridge, MA, USA, 2005; pp. 80–108. [Google Scholar] [CrossRef]







| Behavioral Disciplines | Land Value | Land Value Classifications | Forms of Behavior |
|---|---|---|---|
| Livelihood security | Non-market value | Social security value | Increasing households’ living security and repelling the land transfer-out, specifically, land bears the dual responsibility of endowment insurance and employment insurance, and has a strong social security function. In the context of the imperfect rural social security system, farmers lacking livelihood security refuse to transfer their land out. |
| Agricultural management incentives | Market value | Land output value | Increasing the incentives for agricultural operations and transferring in moderately large-scale land, specifically, adopting more modern agricultural machinery and technology; investing in more agricultural materials and products; spending more time on agricultural production and operation; increasing the output value and adding value of agricultural products; and obtaining more productive income from farmland management. |
| Land rental value | Increasing land transfer rents, specifically, negotiating with agricultural business entities through more effective ways to obtain higher property income from land transfer. | ||
| Agricultural subsidies | Establishing good relations with local governments, responding to problems in a timely manner, and obtaining agricultural subsidy income. |
| Variable Classes | Variable Name | Variable Definition and Coding |
|---|---|---|
| Explained variables | Land transfer | Whether to transfer land in or out: 1 = yes; 0 = no |
| Land transfer-out | Whether to transfer land out: 1 = yes; 0 = no | |
| Land transfer-in | Whether to transfer land in: 1 = yes; 0 = no | |
| Explanatory variable | Land registration | Whether to officially register the land contracting and management rights: 1 = yes; 0 = no |
| Mediating variables | Security | Whether to feel secure or not: 1 = yes; 0 = no |
| Job-number | Numbers of household head jobs, job | |
| Agri-time | Months of agricultural business, month | |
| Crop-yield | Yield of crop, kilograms | |
| Crop-value | Value of crop, yuan | |
| Instrumental variables | Concern | Level of concern for economic and financial information: 1 = not at all; 2 = seldom concerned; 3 = generally concerned; 4 = very concerned; 5 = extremely concerned |
| Investment-choice | Level of risk of the investment choices: 1 = unwilling to carry any risk; 2 = slight risk and return; 3 = average risk and return; 4 = slightly high-risk and slightly high-return; 5 = high-risk and high-return | |
| Control variables | Gender | Gender of household head: 1 = male; 0 = female |
| Health | Level of health: 1 = very bad; 2 = bad; 3 = ordinary; 4 = good; 5 = very good | |
| Agri-member | Numbers of family members participating in agricultural production or operation, people | |
| Impoverishment | Whether family is impoverished household: 1 = yes; 0 = no | |
| Cadre | Whether there is a family member working as village cadre: 1 = yes; 0 = no | |
| Income | Numbers of total income, yuan | |
| Land-acreage | Area of household’s largest piece of cultivated land, mu | |
| Quality | Level of the quality of household’s cultivated land in the contract: 1 = very bad; 2 = inferior; 3 = ordinary; 4 = better than average; 5 = very good | |
| Age | Age of household head, year |
| Variables | Total | Households with Land Registration | Households without Land Registration | |||
|---|---|---|---|---|---|---|
| Mean | SD | Mean | SD | Mean | SD | |
| Land transfer | 0.253 | 0.435 | 0.294 | 0.456 | 0.265 | 0.441 |
| Land transfer-out | 0.126 | 0.332 | 0.132 | 0.338 | 0.118 | 0.322 |
| Land transfer-in | 0.150 | 0.357 | 0.175 | 0.380 | 0.157 | 0.364 |
| Land registration | 0.459 | 0.498 | 1.000 | 0.000 | 0.000 | 0.000 |
| Security | 0.897 | 0.304 | 0.919 | 0.273 | 0.881 | 0.324 |
| Job-number | 1.040 | 0.200 | 1.041 | 0.203 | 1.044 | 0.207 |
| Agri-time | 7.334 | 3.696 | 7.493 | 3.663 | 7.139 | 3.694 |
| Crop-yield | 2.921 | 3.798 | 3.448 | 3.882 | 3.103 | 3.866 |
| Crop-value | 3.868 | 4.517 | 4.521 | 4.592 | 4.147 | 4.543 |
| Concern | 1.878 | 1.051 | 1.970 | 1.102 | 1.848 | 1.034 |
| Investment-choice | 4.205 | 1.142 | 4.177 | 1.154 | 4.239 | 1.142 |
| Gender | 0.521 | 0.500 | 0.522 | 0.500 | 0.522 | 0.500 |
| Health | 3.331 | 1.034 | 3.278 | 1.038 | 3.366 | 1.035 |
| Agri-member | 2.060 | 0.914 | 2.067 | 0.901 | 2.066 | 0.922 |
| Impoverishment | 0.161 | 0.367 | 0.167 | 0.373 | 0.148 | 0.356 |
| Cadre | 0.067 | 0.250 | 0.075 | 0.263 | 0.062 | 0.242 |
| Income | 7.486 | 3.922 | 7.308 | 4.051 | 7.615 | 3.797 |
| Land-acreage | 5.067 | 14.723 | 4.946 | 12.929 | 5.178 | 16.094 |
| Quality | 3.286 | 0.985 | 3.305 | 0.989 | 3.275 | 0.982 |
| Age | 39.454 | 21.243 | 39.999 | 21.158 | 38.750 | 21.095 |
| Variables | Model (1) | Model (2) | Model (3) |
|---|---|---|---|
| Land Transfer | Land Transfer-Out | Land Transfer-In | |
| Land registration | 0.221 *** | 0.316 ** | 0.167 ** |
| [1.247] | [1.371] | [1.181] | |
| (0.079) | (0.126) | (0.085) | |
| Gender | −0.030 | 0.039 | −0.055 ** |
| [0.971] | [1.040] | [0.947] | |
| (0.022) | (0.039) | (0.024) | |
| Health | 0.023 | 0.092 * | 0.002 |
| [1.024] | [1.096] | [1.002] | |
| (0.027) | (0.052) | (0.030) | |
| Agri-member | 0.005 | −0.228 ** | 0.081 ** |
| [1.005] | [0.797] | [1.084] | |
| (0.040) | (0.099) | (0.040) | |
| Impoverishment | −0.038 | −0.177 | −0.003 |
| [0.962] | [0.838] | [0.997] | |
| (0.091) | (0.170) | (0.102) | |
| Cadre | −0.057 | −0.038 | −0.051 |
| [0.944] | [0.962] | [0.951] | |
| (0.124) | (0.227) | (0.138) | |
| Income | 0.042 *** | −0.024 * | 0.062 *** |
| [1.042] | [0.976] | [1.064] | |
| (0.009) | (0.014) | (0.011) | |
| Land-acreage | 0.003 | −0.002 | 0.004* |
| [1.003] | [0.998] | [1.004] | |
| (0.002) | (0.006) | (0.002) | |
| Quality | 0.075 ** | 0.168 *** | 0.039 |
| [1.078] | [1.183] | [1.040] | |
| (0.034) | (0.060) | (0.038) | |
| Age | −0.002 | 0.007 *** | −0.005 *** |
| [0.998] | [1.007] | [0.995] | |
| (0.001) | (0.002) | (0.002) | |
| Cons. | −1.712 *** | −3.409 *** | −2.009 *** |
| [0.181] | [0.033] | [0.134] | |
| (0.203) | (0.357) | (0.241) | |
| Wald chi2 (10) | 53.58 | 36.29 | 77.29 |
| Pseudo R2 | 0.008 | 0.015 | 0.013 |
| Obs. | 17,310 | 17,297 | 17,303 |
| Variables | Suppression Effects: Livelihood Security | Mediation Effects: Agricultural Management Incentive | ||||||||||
|---|---|---|---|---|---|---|---|---|---|---|---|---|
| Model (1) | Model (2) | Model (3) | Model (4) | Model (5) | Model (6) | Model (7) | Model (8) | Model (9) | Model (10) | Model (11) | Model (12) | |
| Land Transfer-Out | Job-Number | Land Transfer-Out | Security | Land Transfer-Out | Land Transfer-In | Agri-Time | Land Transfer-In | Crop-Yield | Land Transfer-In | Crop-Value | Land Transfer-In | |
| Land registration | 0.316 ** | −0.175 ** | 0.340 *** | 0.444 *** | 0.545 *** | 0.167 ** | 0.371 *** | 0.149 * | 0.324 *** | 0.147 * | 0.404 *** | 0.152 * |
| [1.371] | [0.840] | [1.405] | [1.559] | [1.725] | [1.181] | [1.161] | [1.159] | [1.165] | ||||
| (0.126) | (0.089) | (0.125) | (0.138) | (0.166) | (0.085) | (0.137) | (0.085) | (0.125) | (0.086) | (0.102) | (0.084) | |
| Job-number | 0.385 *** | |||||||||||
| [1.469] | ||||||||||||
| (0.146) | ||||||||||||
| Security | −0.448 * | |||||||||||
| [0.639] | ||||||||||||
| (0.251) | ||||||||||||
| Agri-time | 0.023 ** | |||||||||||
| [1.023] | ||||||||||||
| (0.011) | ||||||||||||
| Crop-yield | 0.056 *** | |||||||||||
| [1.057] | ||||||||||||
| (0.013) | ||||||||||||
| Crop-value | 0.085 *** | |||||||||||
| [1.088] | ||||||||||||
| (0.011) | ||||||||||||
| Control | Yes | Yes | Yes | Yes | Yes | Yes | Yes | Yes | Yes | Yes | Yes | Yes |
| Cons. | −3.409 *** | −3.801 *** | 0.543 | −3.555 *** | −2.009 *** | 8.013 *** | −2.184 *** | 3.945 *** | −2.123 *** | 3.573 *** | −2.261 *** | |
| [0.033] | [0.022] | [1.721] | [0.029] | [0.134] | [0.113] | [0.120] | [0.104] | |||||
| (0.357) | (0.432) | (0.363) | (0.507) | (0.241) | (0.348) | (0.252) | (0.298) | (0.246) | (0.301) | (0.251) | ||
| Pseudo R2/R2 | 0.015 | 0.057 | 0.015 | 0.024 | 0.022 | 0.013 | 0.013 | 0.014 | 0.034 | 0.015 | 0.089 | 0.023 |
| Obs. | 17,297 | 13,688 | 13,677 | 9554 | 9546 | 17,303 | 17,106 | 17,099 | 17,023 | 17,016 | 17,145 | 17,138 |
| Variables | Model (1) | Model (2) | Model (3) | Model (4) | Model (5) |
|---|---|---|---|---|---|
| Logit | 2SLS | LIML | IV-Probit | IV-Probit (Two-Stage) | |
| Land registration | 0.221 *** | 0.592 *** | 0.593 *** | 1.380 *** | 1.777 *** |
| (0.079) | (0.144) | (0.145) | (0.191) | (0.433) | |
| Control | Yes | Yes | Yes | Yes | Yes |
| Cons. | −1.712 *** | −0.137 * | −0.138 * | −1.434 *** | −1.848 *** |
| (0.203) | (0.081) | (0.081) | (0.073) | (0.244) | |
| Wald Chi2 (10) | 53.58 | 88.42 | 88.27 | 280.37 | 90.82 |
| Obs. | 17,310 | 15,188 | 15,188 | 15,188 | 15,188 |
Publisher’s Note: MDPI stays neutral with regard to jurisdictional claims in published maps and institutional affiliations. |
© 2022 by the authors. Licensee MDPI, Basel, Switzerland. This article is an open access article distributed under the terms and conditions of the Creative Commons Attribution (CC BY) license (https://creativecommons.org/licenses/by/4.0/).
Share and Cite
Xu, L.; Chen, S.; Tian, S. The Mechanism of Land Registration Program on Land Transfer in Rural China: Considering the Effects of Livelihood Security and Agricultural Management Incentives. Land 2022, 11, 1347. https://doi.org/10.3390/land11081347
Xu L, Chen S, Tian S. The Mechanism of Land Registration Program on Land Transfer in Rural China: Considering the Effects of Livelihood Security and Agricultural Management Incentives. Land. 2022; 11(8):1347. https://doi.org/10.3390/land11081347
Chicago/Turabian StyleXu, Lei, Shixiang Chen, and Shuliu Tian. 2022. "The Mechanism of Land Registration Program on Land Transfer in Rural China: Considering the Effects of Livelihood Security and Agricultural Management Incentives" Land 11, no. 8: 1347. https://doi.org/10.3390/land11081347
APA StyleXu, L., Chen, S., & Tian, S. (2022). The Mechanism of Land Registration Program on Land Transfer in Rural China: Considering the Effects of Livelihood Security and Agricultural Management Incentives. Land, 11(8), 1347. https://doi.org/10.3390/land11081347

